硬度知识介绍及硬度对照表
- 格式:doc
- 大小:30.50 KB
- 文档页数:4
常用HV、HB、HRC硬度对照表,硬度检测到底有多少种?一文看懂常用HV、HB、HRC硬度对照表金属材料的硬度硬度是指材料抵抗局部变形,特别是塑性变形、压痕或划痕的能力。
它是衡量材料软硬的指标。
按测试方法的不同,硬度分为三种类型。
①划痕硬度。
主要用于比较不同矿物的软硬程度,方法是选一根一端硬一端软的棒,将被测材料沿棒划过,根据出现划痕的位置确定被测材料的软硬。
定性地说,硬物体划出的划痕长,软物体划出的划痕短。
②压入硬度。
主要用于金属材料,方法是用一定的载荷将规定的压头压入被测材料,以材料表面局部塑性变形的大小比较被测材料的软硬。
由于压头、载荷以及载荷持续时间的不同,压入硬度有多种,主要是布氏硬度、洛氏硬度、维氏硬度和显微硬度等几种。
③回跳硬度。
主要用于金属材料,方法是使一特制的小锤从一定高度自由下落冲击被测材料的试样,并以试样在冲击过程中储存(继而释放)应变能的多少(通过小锤的回跳高度测定)确定材料的硬度。
金属材料最常见到的布氏硬度、洛氏硬度和维氏硬度属于压入硬度,硬度值表示材料表面抵抗另一物体压入时所引起的塑性变形的能力;回跳法(肖氏、里氏)测量硬度,硬度值代表金属弹性变形功能的大小。
1、布氏硬度 Brinell Hardness用直径D的淬火钢球或硬质合金球作压头,以相应的试验力F压入试件表面,经规定的保持时间后,卸除试验力,得到一直径为d的压痕。
用试验力除以压痕表面积,所得值即为布氏硬度值,符号用HBS或HBW表示。
HBS和HBW的区别是压头的不同。
HBS表示压头为淬硬钢球,用于测定布氏硬度值在450以下的材料,如软钢、灰铸铁和有色金属等。
HBW表示压头为硬质合金,用于测定布氏硬度值在650以下的材料。
同样的试块,当其它试验条件完全相同的情况下,两种试验结果不同,HBW值往往大于HBS值,而且并无定量的规律所循。
2003年以后,我国已经等效采用国际标准,取消了钢球压头,全部采用硬质合金球头。
金属硬度10级对照表
摘要:
1.金属硬度概述
2.摩氏硬度标准
3.10 级硬度金属对照表
4.硬度与金属的实用性
正文:
一、金属硬度概述
金属硬度是指金属材料抵抗外力侵蚀或划痕的能力。
在日常生活中,我们常常会接触到各种金属制品,如黄金、白银、铜、铁等。
这些金属的硬度各不相同,因此了解金属硬度对于选择和使用金属材料具有重要意义。
二、摩氏硬度标准
摩氏硬度是以矿物的划痕程度为依据来划分矿物硬度的标准。
摩氏硬度共分为10 个等级,从1 级到10 级。
其中,1 级最软,10 级最硬。
矿物的硬度越高,其抗磨损能力越强。
三、10 级硬度金属对照表
根据摩氏硬度标准,10 级硬度金属对照表如下:
1 级:滑石(Talc)
2 级:石膏(Gypsum)
3 级:方解石(Calcite)
4 级:萤石(Fluorspar)
5 级:磷灰石(Apatite)
6 级:长石(Feldspar)
7 级:石英(Quartz)
8 级:黄玉(Topaz)
9 级:刚玉(Corundum)
10 级:金刚石(Diamond)
四、硬度与金属的实用性
金属的硬度直接影响其抗磨损、抗切割和抗拉伸能力。
在日常生活中,我们根据金属的硬度选择合适的金属材料。
例如,黄金虽然价格昂贵,但其硬度较低,容易变形,所以黄金首饰通常不会用于制作戒指等容易磨损的饰品。
而铂金硬度较高,抗磨损能力较强,因此适合制作戒指等饰品。
总之,了解金属硬度有助于我们更好地选择和使用金属材料。
金属硬度10级对照表
1级,铅。
铅是一种非常软的金属,其硬度非常低,容易被划伤。
2级,铝。
铝是一种轻质金属,比铅硬度稍高,但仍然相对较软。
3级,铜。
铜是一种常见的导电金属,相对于铝来说硬度稍高。
4级,黄铜。
黄铜是铜和锌的合金,比纯铜硬度稍高。
5级,铁。
铁是一种常见的金属,具有中等硬度。
6级,钢。
钢是铁和碳的合金,硬度较高,常用于制造工具和建筑结构。
7级,不锈钢。
不锈钢是一种具有抗腐蚀性能的钢,硬度相对较高。
8级,钛。
钛是一种轻质但硬度较高的金属,常用于航空航天和医疗器械等领域。
9级,硬质合金。
硬质合金是由钨、钴等金属粉末与粘结剂烧结而成,具有很高的硬度和耐磨性。
10级,金刚石。
金刚石是目前已知最硬的物质,具有极高的硬度和抗磨性。
需要注意的是,这只是一个常见的金属硬度对照表,不同的金属材料可能会有一定的差异。
此外,硬度测试方法和硬度单位也会影响结果的比较,因此在实际应用中需要根据具体情况进行准确的硬度测试和比较。
硬度的基本知识与各种硬度的详细介绍-CAL-FENGHAI-(2020YEAR-YICAI)_JINGBIAN硬度的基本知识与各种硬度的详细介绍中文名称:硬度英文名称:grade;hardness硬度的几个定义:定义1:表示磨粒从结合剂中完全脱离的难易程度。
所属学科:机械工程(一级学科);磨料磨具(二级学科);磨料磨具一般名词(三级学科)定义2:水沉淀肥皂的能力,大体反映水中钙、镁离子的含量。
钙镁浓度的总和称为总硬度,以每升水含碳酸钙的毫克数或毫克当量表示。
所属学科:生态学(一级学科);水域生态学(二级学科)定义3:固体材料对外界物体压陷、刻划等作用的局部抵抗能力,是衡量材料软硬程度的一个指标。
所属学科:水利科技(一级学科);工程力学、工程结构、建筑材料(二级学科);工程力学(水利)(三级学科)入材料表面,保持一段时间,去载后,负荷与其压痕面积之比值,即为布氏硬度值(HB),单位为公斤力/mm2 (N/mm2)。
测试载荷与测试钢球的直径需根据材料的实际性能再确定。
3.维氏硬度维氏硬度试验方法是英国史密斯()和塞德兰德()于1925年提出的。
英国的维克斯—阿姆斯特朗(Vickers-Armstrong)公司试制了第一台以此方法进行试验的硬度计。
和布氏、洛氏硬度试验相比,维氏硬度试验测量范围较宽,从较软材料到超硬材料,几乎涵盖各种材料。
4.里氏硬度里氏硬度是以HL表示,里氏硬度测试技术是由瑞士狄尔马,里伯博士发明的,它是用一定质量的装有碳化钨球头的冲击体,在一定力的作用下冲击试件表面,然后反弹。
由于材料硬度不同,撞击后的反弹速度也不同。
在冲击装置上安装有永磁材料,当冲击体上下运动时,其外围线圈便感应出与速度成正比的电磁信号,再通过电子线路转换成里氏硬度值。
5.肖氏硬度简称HS。
表示材料硬度的一种标准。
由英国人肖尔(Albert 首先提出。
应用弹性回跳法将撞销从一定高度落到所试材料的表面上而发生回跳。
硬度知识一、硬度简介:硬度表示材料抵抗硬物体压入其表面的能力。
它是金属材料的重要性能指标之一。
一般硬度越高,耐磨性越好。
常用的硬度指标有布氏硬度、洛氏硬度和维氏硬度。
1.布氏硬度(HB)以一定的载荷(一般3000kg)把一定大小(直径一般为10mm)的淬硬钢球压入材料表面,保持一段时间,去载后,负荷与其压痕面积之比值,即为布氏硬度值(HB),单位为公斤力/mm2 (N/mm2)。
2.洛氏硬度(HR)当HB>450或者试样过小时,不能采用布氏硬度试验而改用洛氏硬度计量。
它是用一个顶角120°的金刚石圆锥体或直径为1.59、3.18mm的钢球,在一定载荷下压入被测材料表面,由压痕的深度求出材料的硬度。
根据试验材料硬度的不同,分三种不同的标度来表示:∙HRA:是采用60kg载荷和钻石锥压入器求得的硬度,用于硬度极高的材料(如硬质合金等)。
∙HRB:是采用100kg载荷和直径1.58mm淬硬的钢球,求得的硬度,用于硬度较低的材料(如退火钢、铸铁等)。
∙HRC:是采用150kg载荷和钻石锥压入器求得的硬度,用于硬度很高的材料(如淬火钢等)。
3 维氏硬度(HV)以120kg以内的载荷和顶角为136°的金刚石方形锥压入器压入材料表面,用材料压痕凹坑的表面积除以载荷值,即为维氏硬度HV值(kgf/mm2)。
############################################################################################# 注:洛氏硬度中HRA、HRB、HRC等中的A、B、C为三种不同的标准,称为标尺A、标尺B、标尺C。
洛氏硬度试验是现今所使用的几种普通压痕硬度试验之一,三种标尺的初始压力均为98.07N(合10kgf),最后根据压痕深度计算硬度值。
标尺A使用的是球锥菱形压头,然后加压至588.4N(合60kgf);标尺B使用的是直径为1.588mm(1/16英寸)的钢球作为压头,然后加压至980.7N(合100kgf);而标尺C使用与标尺A相同的球锥菱形作为压头,但加压后的力是1471N(合150kgf)。
硬度10级对照表硬度(Hardness)是物质抵抗划伤或变形的能力,在材料科学中有着重要的意义。
硬度测试是评估材料硬度的一种常见方法,常用硬度测试方法包括洛氏硬度测试、布氏硬度测试和维氏硬度测试等。
在硬度测试中,一些常见的材料被分级到硬度等级。
本文将介绍硬度10级对照表,以便更好地了解和比较不同材料的硬度。
1. 洛氏硬度(Rockwell Hardness)对照表洛氏硬度是最常用的硬度测试方法之一,广泛应用于金属材料的硬度测试。
下面是一个洛氏硬度10级对照表:硬度等级符号范围(HRC)1A20 – 392B40 – 493C50 – 594D60 – 695E70 – 796F80 – 897G90 – 998H100 – 1099K110 – 11910L120 – 1292. 布氏硬度(Brinell Hardness)对照表布氏硬度是另一种常见的硬度测试方法,特别适用于金属材料的硬度测试,尤其是对较大颗粒的材料。
以下是一个布氏硬度10级对照表的示例:硬度等级符号范围(HB)1B110 – 1392F140 – 1693G170 – 1994H200 – 2295K230 – 2596N260 – 2897P290 – 3198R320 – 3499S350 – 37910T380 – 4093. 维氏硬度(Vickers Hardness)对照表维氏硬度是一种用于测量材料硬度的方法,它使用比布氏硬度更小的压痕测试。
下面是维氏硬度10级对照表的示例:硬度等级符号范围(HV)1V100 – 1192W120 – 1393X140 – 1594Y160 – 1795Z180 – 19961200 – 21972220 – 23983240 – 25994260 – 279105280 – 299需要注意的是,不同硬度标准的刻度范围可能会有所不同,上述对照表中的数值仅作为参考。
结论硬度对照表有助于我们了解和比较不同材料的硬度。
硬度知识介绍及硬度对照表硬度实验的方式较多,原理也不相同,测得的硬度值和含义也不完全一样。
最普通的是静负荷压入法硬度实验,即布氏硬度(HB)、洛氏硬度(HRA,HRB,HRC)、维氏硬度(HV),橡胶塑料邵氏硬度(HA,HD)等硬度其值表示材料表面抵抗坚硬物体压入的能力。
最流行的里氏硬度(HL)、肖氏硬度(HS)则属于回跳法硬度实验,其值代表金属弹性变形功的大小。
因此,硬度不是一个单纯的物理量,而是反映材料的弹性、塑性、强度和韧性等的一种综合性能指标。
钢材的硬度:金属硬度(Hardness)的代号为H。
按硬度实验方式的不同,常规表示有布氏(HB)、洛氏(HRC)、维氏(HV)、里氏(HL)硬度等,其中以HB及HRC较为常常利用。
HB应用范围较广,HRC适用于表面高硬度材料,如热处置硬度等。
二者区别在于硬度计之测头不同,布氏硬度计之测头为钢球,而洛氏硬度计之测头为金刚石。
HV-适用于显微镜分析。
维氏硬度(HV)以120kg之内的载荷和顶角为136的金刚石方形锥压入器压入材料表面,用材料压痕凹坑的表面积除以载荷值,即为维氏硬度值(HV)。
HL手提式硬度计,测量方便,利用冲击球头冲击硬度表面后,产生弹跳;利用冲头在距试样表面1mm处的回弹速度与冲击速度的比值计算硬度,公式:里氏硬度HL=1000VB (回弹速度)/VA(冲击速度)。
目前最常常利用的便携式里氏硬度计用里氏(HL)测量后可以转化为:布氏(HB)、洛氏(HRC)、维氏(HV)、肖氏(HS)硬度。
或用里氏原理直接用布氏(HB)、洛氏(HRC)、维氏(HV)、里氏(HL)、肖氏(HS)测量硬度值。
布氏硬度(HB)一般用于材料较软的时候,如有色金属、热处置之前或退火后的钢铁。
洛氏硬度(HRC)一般用于硬度较高的材料,如热处置后的硬度等等。
一、HB-布氏硬度:布氏硬度(HB)是以必然大小的实验载荷,将必然直径的淬硬钢球或硬质合金球压入被测金属表面,维持规按时间,然后卸荷,测量被测表面压痕直径。
硬度知识一、硬度简介:硬度表示材料抵抗硬物体压入其表面的能力。
它是金属材料的重要性能指标之一。
一般硬度越高,耐磨性越好。
常用的硬度指标有布氏硬度、洛氏硬度和维氏硬度。
1.布氏硬度(HB)以一定的载荷(一般3000kg)把一定大小(直径一般为10mm)的淬硬钢球压入材料表面,保持一段时间,去载后,负荷与其压痕面积之比值,即为布氏硬度值(HB),单位为公斤力/mm2 (N/mm2)。
2.洛氏硬度(HR)当HB>450或者试样过小时,不能采用布氏硬度试验而改用洛氏硬度计量。
它是用一个顶角120°的金刚石圆锥体或直径为、3.18mm的钢球,在一定载荷下压入被测材料表面,由压痕的深度求出材料的硬度。
根据试验材料硬度的不同,分三种不同的标度来表示:HRA:是采用60kg载荷和钻石锥压入器求得的硬度,用于硬度极高的材料(如硬质合金等)。
HRB:是采用100kg载荷和直径1.58mm淬硬的钢球,求得的硬度,用于硬度较低的材料(如退火钢、铸铁等)。
HRC:是采用150kg载荷和钻石锥压入器求得的硬度,用于硬度很高的材料(如淬火钢等)。
3 维氏硬度(HV)以120kg以内的载荷和顶角为136°的金刚石方形锥压入器压入材料表面,用材料压痕凹坑的表面积除以载荷值,即为维氏硬度HV值(kgf/mm2)。
#############################################################################################注:洛氏硬度中HRA、HRB、HRC等中的A、B、C为三种不同的标准,称为标尺A、标尺B、标尺C。
洛氏硬度试验是现今所使用的几种普通压痕硬度试验之一,三种标尺的初始压力均为(合10kgf),最后根据压痕深度计算硬度值。
标尺A使用的是球锥菱形压头,然后加压至(合60kgf);标尺B使用的是直径为1.588mm(1/16英寸)的钢球作为压头,然后加压至(合100kgf);而标尺C使用与标尺A相同的球锥菱形作为压头,但加压后的力是1471N(合150kgf)。
根据德国标准DIN50150,以下是常用范围的钢材抗拉强度与维氏硬度、布氏硬度、洛氏硬度的对照表。
660 58.3670 58.8680 59.2690 59.7700 60.1720 61.0740 61.8760 62.5780 63.3800 64.0820 64.7840 65.3860 65.9880 66.4900 67.0920 67.5940 68.0硬度日常生活中,人们对材料的评价往往爱用“软”、“硬”来描述,如铅就被认为软,钢就被认为硬。
实际上,“软”、“硬”与前面我们所讲的材料的强度密切相关。
在工程上,为了在不破坏工件的情况下,方便地成批检验产品的质量,在对结构材料的性能评价上,还确定了“硬度”这样一个性能指标。
本质上一般可以认为,硬度是指材料表面上不大的体积内抵抗变形或破裂的能力。
根据不同的实验方法,硬度值的物理意义有所不同。
如压入法的硬度值是材料表面抵抗另一物体压入时所引起的塑性变形抗力;刻划法硬度值表示材料表面局部破裂的能力。
在生产上使用最广泛的是静负荷压入法试验,根据压头形状、材料及加载大小的不同,硬度可有布氏硬度、洛氏硬度、维氏硬度和显微硬度,它们适用于不同的材料。
各种硬度的压头形状、材料、载荷、运用范围等见表3-1。
实践证明材料的强度越高,硬度值也越高。
材料的各硬度值之间、硬度和强度之间有近似的对应关系。
我们简单介绍一些,对大家今后检验材料也许是有用的。
非淬火钢σb=0.362HB HB>175σb=0.345HB HB<175碳钢σb=51.32×104/(100-HRC)2HRC<10铸钢σb=(0.3-0.4)HBσb=8.61×103/(100-HRC) HRC>40上述式中σb的单位为kg/mm2断裂韧性机械零件的脆性断裂和材料的脆性检测是工程技术中必须解决的一个重要问题。
在工程设计中,是用屈服强度σ0.2并考虑一定的安全系数来确定结构材料的许用应力[σ]的,即[σ]≤σ0.2/n,n>1,n就是安全系数。
硬度知识一、硬度简介:硬度表示材料抵抗硬物体压入其表面的能力。
它是金属材料的重要性能指标之一。
一般硬度越高,耐磨性越好。
常用的硬度指标有布氏硬度、洛氏硬度和维氏硬度。
1.布氏硬度(HB)以一定的载荷(一般3000kg)把一定大小(直径一般为10mm)的淬硬钢球压入材料表面,保持一段时间,去载后,负荷与其压痕面积之比值,即为布氏硬度值(HB),单位为公斤力/mm2 (N/mm2)。
2.洛氏硬度(HR)当HB>450或者试样过小时,不能采用布氏硬度试验而改用洛氏硬度计量。
它是用一个顶角120°的金刚石圆锥体或直径为1.59、3.18mm的钢球,在一定载荷下压入被测材料表面,由压痕的深度求出材料的硬度。
根据试验材料硬度的不同,分三种不同的标度来表示:∙HRA:是采用60kg载荷和钻石锥压入器求得的硬度,用于硬度极高的材料(如硬质合金等)。
∙HRB:是采用100kg载荷和直径1.58mm淬硬的钢球,求得的硬度,用于硬度较低的材料(如退火钢、铸铁等)。
∙HRC:是采用150kg载荷和钻石锥压入器求得的硬度,用于硬度很高的材料(如淬火钢等)。
3 维氏硬度(HV)以120kg以内的载荷和顶角为136°的金刚石方形锥压入器压入材料表面,用材料压痕凹坑的表面积除以载荷值,即为维氏硬度HV值(kgf/mm2)。
注:洛氏硬度中HRA、HRB、HRC等中的A、B、C为三种不同的标准,称为标尺A、标尺B、标尺C。
洛氏硬度试验是现今所使用的几种普通压痕硬度试验之一,三种标尺的初始压力均为98.07N(合10kgf),最后根据压痕深度计算硬度值。
标尺A使用的是球锥菱形压头,然后加压至588.4N(合60kgf);标尺B使用的是直径为1.588mm(1/16英寸)的钢球作为压头,然后加压至980.7N(合100kgf);而标尺C使用与标尺A相同的球锥菱形作为压头,但加压后的力是1471N(合150kgf)。
硬度知识一、硬度简介:硬度表示材料抵抗硬物体压入其表面的能力。
它是金属材料的重要性能指标之一。
一般硬度越高,耐磨性越好。
常用的硬度指标有布氏硬度、洛氏硬度和维氏硬度。
1.布氏硬度(HB)以一定的载荷(一般3000kg)把一定大小(直径一般为10mm)的淬硬钢球压入材料表面,保持一段时间,去载后,负荷与其压痕面积之比值,即为布氏硬度值(HB),单位为公斤力/mm2 (N/mm2)。
2.洛氏硬度(HR)当HB>450或者试样过小时,不能采用布氏硬度试验而改用洛氏硬度计量。
它是用一个顶角120°的金刚石圆锥体或直径为1.59、3.18mm的钢球,在一定载荷下压入被测材料表面,由压痕的深度求出材料的硬度。
根据试验材料硬度的不同,分三种不同的标度来表示:HRA:是采用60kg载荷和钻石锥压入器求得的硬度,用于硬度极高的材料(如硬质合金等)。
HRB:是采用100kg载荷和直径1.58mm淬硬的钢球,求得的硬度,用于硬度较低的材料(如退火钢、铸铁等)。
HRC:是采用150kg载荷和钻石锥压入器求得的硬度,用于硬度很高的材料(如淬火钢等)。
3 维氏硬度(HV)以120kg以内的载荷和顶角为136°的金刚石方形锥压入器压入材料表面,用材料压痕凹坑的表面积除以载荷值,即为维氏硬度HV值(kgf/mm2)。
########################################################################注:洛氏硬度中HRA、HRB、HRC等中的A、B、C为三种不同的标准,称为标尺A、标尺B、标尺C。
洛氏硬度试验是现今所使用的几种普通压痕硬度试验之一,三种标尺的初始压力均为98.07N(合10kgf),最后根据压痕深度计算硬度值。
标尺A使用的是球锥菱形压头,然后加压至588.4N(合60kgf);标尺B使用的是直径为1.588mm(1/16英寸)的钢球作为压头,然后加压至980.7N(合100kgf);而标尺C使用与标尺A相同的球锥菱形作为压头,但加压后的力是1471N(合150kgf)。
硬度知识一、硬度简介:硬度表示材料抵抗硬物体压入其表面的能力。
它是金属材料的重要性能指标之一。
一般硬度越高,耐磨性越好。
常用的硬度指标有布氏硬度、洛氏硬度和维氏硬度。
1.布氏硬度(HB)以一定的载荷(一般3000kg)把一定大小(直径一般为10mm)的淬硬钢球压入材料表面,保持一段时间,去载后,负荷与其压痕面积之比值,即为布氏硬度值(HB),单位为公斤力/mm2 (N/mm2)。
2.洛氏硬度(HR)当HB>450或者试样过小时,不能采用布氏硬度试验而改用洛氏硬度计量。
它是用一个顶角120°的金刚石圆锥体或直径为1.59、3.18mm的钢球,在一定载荷下压入被测材料表面,由压痕的深度求出材料的硬度。
根据试验材料硬度的不同,分三种不同的标度来表示:•HRA:是采用60kg载荷和钻石锥压入器求得的硬度,用于硬度极高的材料(如硬质合金等)。
•HRB:是采用100kg载荷和直径1.58mm淬硬的钢球,求得的硬度,用于硬度较低的材料(如退火钢、铸铁等)。
•HRC:是采用150kg载荷和钻石锥压入器求得的硬度,用于硬度很高的材料(如淬火钢等)。
3 维氏硬度(HV)以120kg以内的载荷和顶角为136°的金刚石方形锥压入器压入材料表面,用材料压痕凹坑的表面积除以载荷值,即为维氏硬度HV值(kgf/mm2)。
#############################################################################################注:洛氏硬度中HRA、HRB、HRC等中的A、B、C为三种不同的标准,称为标尺A、标尺B、标尺C。
洛氏硬度试验是现今所使用的几种普通压痕硬度试验之一,三种标尺的初始压力均为98.07N(合10kgf),最后根据压痕深度计算硬度值。
标尺A使用的是球锥菱形压头,然后加压至588.4N(合60kgf);标尺B使用的是直径为1.588mm(1/16英寸)的钢球作为压头,然后加压至980.7N(合100kgf);而标尺C使用与标尺A相同的球锥菱形作为压头,但加压后的力是1471N(合150kgf)。
洛氏硬度(HRC)、布氏硬度(HB)等硬度对照区别和换算硬度是衡量材料软硬程度的一个性能指标。
硬度试验的方法较多,原理也不相同,测得的硬度值和含义也不完全一样。
最普通的是静负荷压入法硬度试验,即布氏硬度(HB)、洛氏硬度(HRA,HRB,HRC)、维氏硬度(HV),橡胶塑料邵氏硬度(HA,HD)等硬度其值表示材料表面抵抗坚硬物体压入的能力。
最流行的里氏硬度(HL)、肖氏硬度(HS)则属于回跳法硬度试验,其值代表金属弹性变形功的大小。
因此,硬度不是一个单纯的物理量,而是反映材料的弹性、塑性、强度和韧性等的一种综合性能指标。
钢材的硬度:金属硬度(Hardness)的代号为H。
按硬度试验方法的不同,●常规表示有布氏(HB)、洛氏(HRC)、维氏(HV)、里氏(HL)硬度等,其中以HB及HRC较为常用。
●HB应用范围较广,HRC适用于表面高硬度材料,如热处理硬度等。
两者区别在于硬度计之测头不同,布氏硬度计之测头为钢球,而洛氏硬度计之测头为金刚石。
●HV-适用于显微镜分析。
维氏硬度(HV)以120kg以内的载荷和顶角为136°的金刚石方形锥压入器压入材料表面,用材料压痕凹坑的表面积除以载荷值,即为维氏硬度值(HV)。
●HL手提式硬度计,测量方便,利用冲击球头冲击硬度表面后,产生弹跳;利用冲头在距试样表面1mm处的回弹速度与冲击速度的比值计算硬度,公式:里氏硬度HL=1000×VB(回弹速度)/ VA(冲击速度)。
●目前最常用的便携式里氏硬度计用里氏(HL)测量后可以转化为:布氏(HB)、洛氏(HRC)、维氏(HV)、肖氏(HS)硬度。
或用里氏原理直接用布氏(HB)、洛氏(HRC)、维氏(HV)、里氏(HL)、肖氏(HS)测量硬度值。
时代公司生产的TH系列里氏硬度计就有此功能,是传统台式硬度机的有益补充!”(详细情况请点击《里氏硬度计HL1000B/HL1000D/HL2000TH140便携式系列》)1、HB - 布氏硬度:布氏硬度(HB)一般用于材料较软的时候,如有色金属、热处理之前或退火后的钢铁。
常用HV、HB、HRC硬度对照表,硬度检测到底有多少种?一文看懂常用HV、HB、HRC硬度对照表金属材料的硬度硬度是指材料抵抗局部变形,特别是塑性变形、压痕或划痕的能力。
它是衡量材料软硬的指标。
按测试方法的不同,硬度分为三种类型。
①划痕硬度。
主要用于比较不同矿物的软硬程度,方法是选一根一端硬一端软的棒,将被测材料沿棒划过,根据出现划痕的位置确定被测材料的软硬。
定性地说,硬物体划出的划痕长,软物体划出的划痕短。
②压入硬度。
主要用于金属材料,方法是用一定的载荷将规定的压头压入被测材料,以材料表面局部塑性变形的大小比较被测材料的软硬。
由于压头、载荷以及载荷持续时间的不同,压入硬度有多种,主要是布氏硬度、洛氏硬度、维氏硬度和显微硬度等几种。
③回跳硬度。
主要用于金属材料,方法是使一特制的小锤从一定高度自由下落冲击被测材料的试样,并以试样在冲击过程中储存(继而释放)应变能的多少(通过小锤的回跳高度测定)确定材料的硬度。
金属材料最常见到的布氏硬度、洛氏硬度和维氏硬度属于压入硬度,硬度值表示材料表面抵抗另一物体压入时所引起的塑性变形的能力;回跳法(肖氏、里氏)测量硬度,硬度值代表金属弹性变形功能的大小。
1、布氏硬度 Brinell Hardness用直径D的淬火钢球或硬质合金球作压头,以相应的试验力F压入试件表面,经规定的保持时间后,卸除试验力,得到一直径为d的压痕。
用试验力除以压痕表面积,所得值即为布氏硬度值,符号用HBS或HBW表示。
HBS和HBW的区别是压头的不同。
HBS表示压头为淬硬钢球,用于测定布氏硬度值在450以下的材料,如软钢、灰铸铁和有色金属等。
HBW表示压头为硬质合金,用于测定布氏硬度值在650以下的材料。
同样的试块,当其它试验条件完全相同的情况下,两种试验结果不同,HBW值往往大于HBS值,而且并无定量的规律所循。
2003年以后,我国已经等效采用国际标准,取消了钢球压头,全部采用硬质合金球头。
布氏硬度HB洛氏硬度HR知识及对照表(DOC 62页)硬度知识一、硬度简介:硬度表示材料抵抗硬物体压入其表面的能力。
它是金属材料的重要性能指标之一。
一般硬度越高,耐磨性越好。
常用的硬度指标有布氏硬度、洛氏硬度和维氏硬度。
1.布氏硬度(HB)以一定的载荷(一般3000kg)把一定大小(直径一般为10mm)的淬硬钢球压入材料表面,保持一段时间,去载后,负荷与其压痕面积之比值,即为布氏硬度值(HB),单位为公斤力/mm2 (N/mm2)。
2.洛氏硬度(HR)当HB>450或者试样过小时,不能采用布氏硬度试验而改用洛氏硬度计量。
它是用一个顶角120°的金刚石圆锥体或直径为1.59、3.18mm的钢球,在一定载荷下压入被测材料表面,由压痕的深度求出材料的硬度。
根据试验材料硬度的不同,分三种不同的标度来表示:•HRA:是采用60kg载荷和钻石锥压入器求得的硬度,用于硬度极高的材料(如硬质合金等)。
•HRB:是采用100kg载荷和直径1.58mm淬硬的钢球,求得的硬度,用于硬度较低的材料(如退火钢、铸铁等)。
•HRC:是采用150kg载荷和钻石锥压入器求得的硬度,用于硬度很高的材料(如淬火钢等)。
3 维氏硬度(HV)以120kg以内的载荷和顶角为136°的金刚石方形锥压入器压入材料表面,用材料压痕凹坑的表面积除以载荷值,即为维氏硬度HV值(kgf/mm2)。
################################################### ##########################################注:洛氏硬度中HRA、HRB、HRC等中的A、B、C为三种不同的标准,称为标尺A、标尺B、标尺C。
洛氏硬度试验是现今所使用的几种普通压痕硬度试验之一,三种标尺的初始压力均为98.07N(合10kgf),最后根据压痕深度计算硬度值。
标尺A使用的是球锥菱形压头,然后加压至588.4N(合60kgf);标尺B使用的是直径为1.588mm(1/16英寸)的钢球作为压头,然后加压至980.7N(合100kgf);而标尺C使用与标尺A相同的球锥菱形作为压头,但加压后的力是1471N(合150kgf)。
硬度知识一、硬度简介:硬度表示材料抵抗硬物体压入其表面的能力。
它是金属材料的重要性能指标之一。
一般硬度越高,耐磨性越好。
常用的硬度指标有布氏硬度、洛氏硬度和维氏硬度。
1.布氏硬度(HB)以一定的载荷(一般3000kg)把一定大小(直径一般为10mm)的淬硬钢球压入材料表面,保持一段时间,去载后,负荷与其压痕面积之比值,即为布氏硬度值(HB),单位为公斤力/mm2 (N/mm2)。
2.洛氏硬度(HR)当HB>450或者试样过小时,不能采用布氏硬度试验而改用洛氏硬度计量。
它是用一个顶角120°的金刚石圆锥体或直径为1.59、3.18mm的钢球,在一定载荷下压入被测材料表面,由压痕的深度求出材料的硬度。
根据试验材料硬度的不同,分三种不同的标度来表示:•HRA:是采用60kg载荷和钻石锥压入器求得的硬度,用于硬度极高的材料(如硬质合金等)。
•HRB:是采用100kg载荷和直径1.58mm淬硬的钢球,求得的硬度,用于硬度较低的材料(如退火钢、铸铁等)。
•HRC:是采用150kg载荷和钻石锥压入器求得的硬度,用于硬度很高的材料(如淬火钢等)。
3 维氏硬度(HV)以120kg以内的载荷和顶角为136°的金刚石方形锥压入器压入材料表面,用材料压痕凹坑的表面积除以载荷值,即为维氏硬度HV值(kgf/mm2)。
#############################################################################################注:洛氏硬度中HRA、HRB、HRC等中的A、B、C为三种不同的标准,称为标尺A、标尺B、标尺C。
洛氏硬度试验是现今所使用的几种普通压痕硬度试验之一,三种标尺的初始压力均为98.07N(合10kgf),最后根据压痕深度计算硬度值。
标尺A使用的是球锥菱形压头,然后加压至588.4N(合60kgf);标尺B使用的是直径为1.588mm(1/16英寸)的钢球作为压头,然后加压至980.7N(合100kgf);而标尺C使用与标尺A相同的球锥菱形作为压头,但加压后的力是1471N(合150kgf)。
硬度知识介绍及硬度对照表
硬度试验的方法较多,原理也不相同,测得的硬度值和含义也不完全一样。
最普通的是静负荷压入法硬度试验,即布氏硬度(HB)、洛氏硬度(HRA,HRB,HRC)、维氏硬度(HV),橡胶塑料邵氏硬度(HA,HD)等硬度其值表示材料表面抵抗坚硬物体压入的能力。
最流行的里氏硬度(HL)、肖氏硬度(HS)则属于回跳法硬度试验,其值代表金属弹性变形功的大小。
因此,硬度不是一个单纯的物理量,而是反映材料的弹性、塑性、强度和韧性等的一种综合性能指标。
钢材的硬度:金属硬度(Hardness)的代号为H。
按硬度试验方法的不同,常规表示有布氏(HB)、洛氏(HRC)、维氏(HV)、里氏(HL)硬度等,其中以HB及HRC较为常用。
HB应用范围较广,HRC适用于表面高硬度材料,如热处理硬度等。
两者区别在于硬度计之测头不同,布氏硬度计之测头为钢球,而洛氏硬度计之测头为金刚石。
HV-适用于显微镜分析。
维氏硬度(HV)以120kg以内的载荷和顶角为136的金刚石方形锥压入器压入材料表面,用材料压痕凹坑的表面积除以载荷值,即为维氏硬度值(HV)。
HL手提式硬度计,测量方便,利用冲击球头冲击硬度表面后,产生弹跳;利用冲头在距试样表面1mm处的回弹速度与冲击速度的比值计算硬度,公式:里氏硬度HL=1000VB(回弹速度)/V A(冲击速度)。
目前最常用的便携式里氏硬度计用里氏(HL)测量后可以转化为:布氏(HB)、洛氏(HRC)、维氏(HV)、肖氏(HS)硬度。
或用里氏原理直接用布氏(HB)、洛氏(HRC)、维氏(HV)、里氏(HL)、肖氏(HS)测量硬度值。
布氏硬度(HB)一般用于材料较软的时候,如有色金属、热处理之前或退火后的钢铁。
洛氏硬度(HRC)一般用于硬度较高的材料,如热处理后的硬度等等。
1、HB-布氏硬度:
布氏硬度(HB)是以一定大小的试验载荷,将一定直径的淬硬钢球或硬质合金球压入被测金属表面,保持规定时间,然后卸荷,测量被测表面压痕直径。
布式硬度值是载荷除以压痕球形表面积所得的商。
一般为:以一定的载荷(一般3000kg)把一定大小(直径一般为10mm)的淬硬钢球压入材料表面,保持一段时间,去载后,负荷与其压痕面积之比值,即为布氏硬度值(HB),单位为公斤力/mm2(N/mm2)。
2、HR-洛氏硬度
洛氏硬度(HR-)是以压痕塑性变形深度来确定硬度值指标。
以0.002毫米作为一个硬度单位。
当HB450或者试样过小时,不能采用布氏硬度试验而改用洛氏硬度计量。
它是用一个顶角120的金刚石圆锥体或直径为1.59、3.18mm的钢球,在一定载荷下压入被测材料表面,由压痕的深度求出材料的硬度。
根据试验材料硬度的不同,分三种不同的标度来表示:HRA:是采用60kg载荷和钻石锥压入器求得的硬度,用于硬度极高的材料(如硬质合金等)。
HRB:是采用100kg载荷和直径1.59mm淬硬的钢球,求得的硬度,用于硬度较低的材料(如退火钢、铸铁等)。
HRC:是采用150kg载荷和钻石锥压入器求得的硬度,用于硬度很高的材料(如淬火钢等)。
另外:(1)HRC含意是洛式硬度C标尺,(2)HRC和HB在生产中的应用都很广泛(3)HRC适用范围HRC20--67,相当于HB225--650若硬度高于此范围则用洛式硬度A标
尺HRA。
若硬度低于此范围则用洛式硬度B标尺HRB。
布式硬度上限值HB650,不能高于此值。
(4)洛氏硬度计C标尺之压头为顶角120度的金刚石圆锥,试验载荷为一确定值,中国标准是150公斤力。
布氏硬度计之压头为淬硬钢球(HBS)或硬质合金球(HBW),试验载荷随球直径不同而不同,从3000到31.25公斤力。
(5)洛式硬度压痕很小,测量值有局部性,须测数点求平均值,适用成品和薄片,归于无损检测一类。
布式硬度压痕较大,测量值准,不适用成品和薄片,一般不归于无损检测一类。
(6)洛式硬度的硬度值是一无名数,没有单位。
(因此习惯称洛式硬度为多少度是不正确的。
)布式硬度的硬度值有单位,且和抗拉强度有一定的近似关系。
(7)洛式硬度直接在表盘上显示、也可以数字显示,操作方便,快捷直观,适用于大量生产中。
布式硬度需要用显微镜测量压痕直径,然后查表或计算,操作较繁琐。
(8)在一定条件下,HB与HRC可以查表互换。
其心算公式可大概记为:1HRC1/10HB
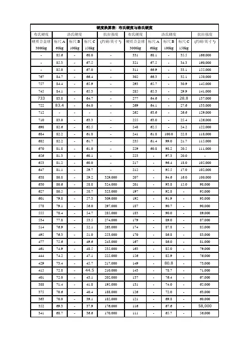
根据德国标准DIN50150,以下是常用范围的钢材抗拉强度与维氏硬度、布氏硬度、洛氏硬度的对照表。
抗拉强度RmN/mm2 维氏硬度HV 布氏硬度HB 洛氏硬度HRC
250 80 76.0 -
270 85 80.7 -
285 90 85.2 -
305 95 90.2 -
320 100 95.0 -
335 105 99.8 -
350 110 105 -
370 115 109 -
380 120 114 -
400 125 119 -
415 130 124 -
430 135 128 -
450 140 133 -
465 145 138 -
480 150 143 -
490 155 147 -
510 160 152 -
530 165 156 -
545 170 162 -
560 175 166 -
575 180 171 -
595 185 176 -
610 190 181 -
625 195 185 -
640 200 190 -
660 205 195 -
675 210 199 -
690 215 204 -
705 220 209 - 720 225 214 - 740 230 219 - 755 235 223 - 770 240 228 20.3 785 245 233 21.3 800 250 238 22.2 820 255 242 23.1 835 260 247 24.0 850 265 252 24.8 865 270 257 25.6 880 275 261 26.4 900 280 266 27.1 915 285 271 27.8 930 290 276 28.5 950 295 280 29.2 965 300 285 29.8 995 310 295 31.0 1030 320 304 32.2 1060 330 314 33.3 1095 340 323 34.4 1125 350 333 35.5 1115 360 342 36.6 1190 370 352 37.7 1220 380 361 38.8 1255 390 371 39.8 1290 400 380 40.8 1320 410 390 41.8 1350 420 399 42.7 1385 430 409 43.6 1420 440 418 44.5 1455 450 428 45.3 1485 460 437 46.1 1520 470 447 46.9 1555 480 (456) 47.7 1595 490 (466) 48.4 1630 500 (475) 49.1 1665 510 (485) 49.8 1700 520 (494) 50.5 1740 530 (504) 51.1 1775 540 (513) 51.7 1810 550 (523) 52.3 1845 560 (532) 53.0
1880 570 (542) 53.6 1920 580 (551) 54.1 1955 590 (561) 54.7 1995 600 (570) 55.2 2030 610 (580) 55.7 2070 620 (589) 56.3 2105 630 (599) 56.8
2145 640 (608) 57.3 2180 650 (618) 57.8 660 58.3
670 58.8
680 59.2
690 59.7
700 60.1
720 61.0
740 61.8
760 62.5
780 63.3
800 64.0
820 64.7
840 65.3
860 65.9
880 66.4
900 67.0
920 67.5
940 68.0。