分式知识点及典型例题
- 格式:docx
- 大小:99.53 KB
- 文档页数:31
考点4 分式方程的特殊解问题【例7】若关于x 的方程2222=-++-xm x x 的解为正数,求m 的取值范围?【例8】已知关于x 的分式方程21a x ++=1的解是非正数,则a 的取值范围是( ) A .a≤-1B .a≤-1且a≠-2C .a≤1且a≠-2D .a≤1【例9】如图,点A ,B 在数轴上,它们所对应的数分别是3-和xx--21,且点A ,B 到原点的距离相等,求x 的值.【课堂练习】 1、分式方程0131-x 2=+-x 的解为( )[来源Com] A .x=3 B .x=﹣5 C .x=5 D .无解2、关于x 的分式方程=1的解为正数,则字母a 的取值范围为( )A. a≥﹣1B. a >﹣1C. a≤﹣1D. a <﹣1 3、若分式方程)2)(1(11+-=--x x m x x 有增根,则m 的值为( ) A 、0和3 B 、1 C 、1和-2 D 、3 4、关于x 的分式方程1mx +=-1的解是负数,则m 的取值范围是( ) A .m >-1 B .m >-1且m≠0 C .m≥-1D .m≥-1且m≠05、方程201x xx +=+的根是 。
6、分式方程2111x x x +--=3的解是 。
-3xx --21 B .A .7、若关于x 的方程15102x mx x-=--无解,则m= 。
8、已知关于x 的分式方程2122=--x a x 的解为非负数,求a 得取值范围。
9、的值求有增根若分式方程m x x m x x ,)2)(1(11+-=--【课后作业】1、解分式方程x x -2=2+3x -2,去分母后的结果是( )A .x =2+3B .x =2(x -2)+3C .x(x -2)=2+3(x -2)D .x =3(x -2)+2 2、若分式的值为0,则x 的值是( )A. x=3B. x=0C. x=﹣3D. x=﹣43、若3x 与61x -互为相反数,则x 的值为( ) A.13 B.-13C.1D.-1 4、若方程32x x --=2mx-无解,则m=——————.5、已知x =2y +33y -2,用x 的代数式表示y ,则y =____.6、解方程:(1)x x 332=-; (2)11322x x x -=--- (3)2240x-11x -=-。
1、分式的加减:例1:化简1x +12x +13x等于( ) A .12x B .32x C .116x D .56x例2:x x x x x x 13632+-+-- 例7:2212a a a ++--224a a --例3:计算11--+a a a 的结果是( ) A 11-a B 11--a C 112---a a a D 1-a 例4:请先化简:21224x x x ---,然后选择一个使原式有意义而又喜欢的数代入求值.例5:已知:0342=-+x x 求442122++--+x x x x x 的值。
2、分式的混合运算:例1:4421642++-÷-x x x x 例2:34121311222+++-∙-+-+x x x x x x x例3:222)2222(x x x x x x x -∙-+-+- 例4:1342+∙⎪⎭⎫ ⎝⎛+-x x x3、分式求值问题:例1:已知x 为整数,且23x ++23x -+22189x x +-为整数,求所有符合条件的x 值的和.例2:已知x =2,y =12,求222424()()x y x y ⎡⎤-⎢⎥+-⎣⎦÷11x y x y ⎛⎫+ ⎪+-⎝⎭的值.例3:已知实数x 满足4x 2-4x+l=O ,则代数式2x+x21的值为________.例5:若13x x += 求1242++x x x 的值是( ). A .81 B .101 C .21 D .41 例6:已知113x y -=,求代数式21422x xy y x xy y----的值例7:先化简,再对a 取一个合适的数,代入求值221369324a a a a a a a +--+-÷-+-.4、化为一元一次的分式方程:(1)分式方程:含分式,并且分母中含未知数的方程——分式方程。
(2)解分式方程的过程,实质上是将方程两边同乘以一个整式(最简公分母),把分式方程转化为整式方程。
第九章分式知识点和典型例习题.第一讲 分式(一)、分式定义及有关题型题型一:考查分式的定义【例1】下列代数式中:,,,21,22yx y x b a b a y x x +-+--π是分式的有: .题型二:考查分式有意义的条件【例2】当x 有何值时,下列分式有意义(1)44+-x x (2)232+x x(3)122-x (4)3||6--x x(5)xx 11-题型三:考查分式的值为0的条件【例3】当x 取何值时,下列分式的值为0.(1)31+-x x(2)42||2--x x(3)653222----x x x x题型四:考查分式的值为正、负的条件【例4】(1)当x 为何值时,分式x-84为正; (2)当x 为何值时,分式2)1(35-+-x x为负; (3)当x 为何值时,分式32+-x x 为非负数.(二)分式的基本性质及有关题型1.分式的基本性质:M B M A M B M A B A ÷÷=⨯⨯= 2.分式的变号法则:bab a b a b a =--=+--=-- 题型一:化分数系数、小数系数为整数系数【例1】不改变分式的值,把分子、分母的系数化为整数.(1)y x yx 41313221+- (2)ba ba +-04.003.02.0题型二:分数的系数变号【例2】不改变分式的值,把下列分式的分子、分母的首项的符号变为正号.(1)yx yx --+-(2)ba a---(3)ba---题型三:化简求值题【例3】已知:511=+yx ,求y xy x y xy x +++-2232的值. .【例4】已知:21=-x x ,求221xx +的值.【例5】若0)32(|1|2=-++-x y x ,求yx 241-的值.练习:1.不改变分式的值,把下列分式的分子、分母的系数化为整数.(1)yx yx 5.008.02.003.0+-(2)b a ba 10141534.0-+2.已知:31=+x x ,求1242++x x x 的值.3.已知:311=-b a ,求aab b b ab a ---+232的值.4.若0106222=+-++b b a a ,求ba ba 532+-的值.5.如果21<<x ,试化简x x --2|2|xx x x |||1|1+---.(三)分式的运算1.确定最简公分母的方法: ①最简公分母的系数,取各分母系数的最小公倍数; ②最简公分母的字母因式取各分母所有字母的最高次幂. 2.确定最大公因式的方法:①最大公因式的系数取分子、分母系数的最大公约数;②取分子、分母相同的字母因式的最低次幂. 题型一:通分【例1】将下列各式分别通分. (1)cb ac a b ab c 225,3,2--; (2)a b b b a a 22,--; (3)22,21,1222--+--x x x x x x x ; (4)a a -+21,2题型二:约分【例2】约分:(1)322016xyy x -;(3)n m m n --22;(3)6222---+x x x x .题型三:分式的混合运算【例3】计算:(1)42232)()()(abcab c c b a ÷-⋅-;(2)22233)()()3(xy x y y x y x a +-÷-⋅+;(3)mn mn m n m n n m ---+-+22;(4)112---a a a ;(5)874321814121111xx x x x x x x +-+-+-+--;(6))5)(3(1)3)(1(1)1)(1(1+++++++-x x x x x x ;(7))12()21444(222+-⋅--+--x xx x x x x题型四:化简求值题【例4】先化简后求值(1)已知:1-=x ,求分子)]121()144[(48122x x x x -÷-+--的值; (2)已知:432zy x ==,求22232z y x xz yz xy ++-+的值;(3)已知:0132=+-a a ,试求)1)(1(22a a a a --的值.题型五:求待定字母的值【例5】若111312-++=--x Nx M x x ,试求N M ,的值.练习:1.计算(1))1(232)1(21)1(252+-++--++a a a a a a ;(2)ab abb b a a ----222;(3)ba c cb ac b c b a c b a c b a ---++-+---++-232;(4)ba b b a ++-22;(5))4)(4(ba abb a b a ab b a +-+-+-; (6)2121111x x x ++++-; (7))2)(1(1)3)(1(2)3)(2(1--+-----x x x x x x .2.先化简后求值(1)1112421222-÷+--⋅+-a a a a a a ,其中a 满足02=-a a .(2)已知3:2:=y x ,求2322])()[()(yxx y x y x xy y x ÷-⋅+÷-的值.3.已知:121)12)(1(45---=---x Bx A x x x ,试求A 、B 的值.4.当a 为何整数时,代数式2805399++a a 的值是整数,并求出这个整数值.第二讲 分式方程(一)分式方程题型分析题型一:用常规方法解分式方程【例1】解下列分式方程 (1)x x 311=-;(2)0132=--x x ;(3)114112=---+x x x ;(4)x x x x -+=++4535题型二:求待定字母的值【例2】若关于x 的分式方程3132--=-x mx 有增根,求m 的值.【例3】若分式方程122-=-+x ax 的解是正数,求a 的取值范围. 练习:1.解下列方程: (1)021211=-++-xxx x ; (2)3423-=--x x x ;(3)22322=--+x x x ; (4)171372222--+=--+x x x x x x(5)2123524245--+=--x x x x(6)41215111+++=+++x x x x(7)6811792--+-+=--+-x x x x x x x x2.如果解关于x 的方程222-=+-x x x k 会产生增根,求k 的值.3.当k 为何值时,关于x 的方程1)2)(1(23++-=++x x kx x 的解为非负数.4.已知关于x 的分式方程a x a =++112无解,试求a 的值.三、分式方程应用题 1.(2007沈阳)甲、乙两个施工队共同完成某居民小区绿化改造工程,乙队先单独做2天后,再由两队合作10天就能完成全部工程.已知乙队单独完成此项工程所需天数是甲队单独完成此项工程所需天数的45,求甲、乙两个施工队单独完成此项工程各需多少天?2.(2008咸宁) A、B两种机器人都被用来搬运化工原料,A型机器人比B型机器人每小时多搬运20千克,A型机器人搬运1000千克所用时间与B型机器人搬运800千克所用时间相等,两种机器人每小时分别搬运多少化工原料?3.(2008山西)某文化用品商店用2000元购进一批学生书包,面市后发现供不应求,商店又购进第二批同样的书包,所购数量是第一批购进数量的3倍,但单价贵了4元,结果第二批用了6300元。
第二讲分式方程【知识要点】1.分式方程的概念以及解法 ;2.分式方程产生增根的原因3.分式方程的应用题【主要方法】1. 分式方程主要是看分母是否有外未知数;2.解分式方程的关健是化分式方程为整式方程; 方程两边同乘以最简公分母3.解分式方程的应用题关健是准确地找出等量关系, 恰当地设末知数 .题型一:用常规方法解分式方程解下列分式方程( 1)1 3( 2)2 1x 1 x x 3x( 3)x1 4 1 ( 4)5 x x5 x 1 x2 1 x 3 4 x题型二:特殊方法解分式方程解下列方程(1)x4x 4 4 ;(2)x7 x 9 x 10 x 6x 1 x x 6 x 8 x 9 x 5(3)1 1 1 1 x2 x 5 x3 x 4题型三:求待定字母的值( 1)若关于 x 的分式方程2 1 m有增根,求 m 的值 . x 3 x3( 2)若分式方程2 xa 1 的解是正数,求 a 的取值范围 . x2( 3)若分式方程 x1m 无解,求 m 的值。
x 2 2 x( 4)若关于 x 的方程x k 2x不会产生增根,求 k 的值。
x 1x21 x 1( 5)若关于 x 分式方程1 k x2 3有增根,求 k 的值。
x 2x 24题型四:解含有字母系数的方程解关于 x 的方程(1 )xa c(c d 0) (2)11 2 (b 2a) ; bx dax b1a1 b( 3)(a b) .题型五:列分式方程解应用题一、工程类应用性问题1、一项工程,甲、乙、丙三队合做 4 天可以完成,甲队单独做 15 天可以完成,乙队单独做 12 天可以完成,丙队单独做几天可以完成?2、某市为治理污水,需要铺设一段全长3000 米的污水输送管道,为了尽量减少施工对城市交通造成的影响,实际施工时每天的工效比原计划增加25%,结果提前30 天完成了任务,实际每天铺设多长管道?二、行程中的应用性问题2、甲、乙两地相距828km,一列普通快车与一列直达快车都由甲地开往乙地,直达快车的平均速度是普通快车平均速度的 1.5 倍.直达快车比普通快车晚出发2h,比普通快车早4h 到达乙地,求两车的平均速度.3、甲、乙两人分别从相距 36 千米的 A 、B 两地同时相向而行,甲从 A 地出发和行至 1 千米时,发现有物件遗忘在 A 地,便立即返回,取到物件后又立即从 A 地向 B 地行进,这样甲、乙两人恰好在 AB 中点处相遇,又知甲比乙每小时多走0.5 千米,求甲、乙两人的速度?三、轮船顺逆水应用问题3、轮船在顺水中航行30 千米的时间与在逆水中航行20 千米所用的时间相等,已知水流速度为 2 千米/时,求船在静水中的速度。
分 式【知识网络】【主要公式】1.同分母加减法则:()0b c b ca a a a±±=≠2.异分母加减法则:()0,0b d bc da bc daa c a c ac ac ac±±=±=≠≠;3.分式的乘法与除法:b d bd a c ac ∙=,b c b d bda d a c ac÷=∙=4.同底数幂的加减运算法则:实际是合并同类项5.同底数幂的乘法与除法;a m ● a n =a m+n ; a m ÷ a n =a m -n6.积的乘方与幂的乘方:(ab)m = a m b n , (a m )n = a mn7.负指数幂: a -p =1p aa 0=18.乘法公式与因式分解:平方差与完全平方式 (a+b)(a-b)= a 2- b 2 ;(a ±b)2= a 2±2ab+b 2一、考点、热点知识点一:分式的定义一般地,如果A ,B 表示两个整数,并且B 中含有字母,那么式子BA叫做分式,A 为分子,B 为分母。
知识点二:与分式有关的条件①分式有意义:分母不为0(0B ≠) ②分式无意义:分母为0(0B =)③分式值为0:分子为0且分母不为0(⎩⎨⎧≠=0B A )④分式值为正或大于0:分子分母同号(⎩⎨⎧>>00B A 或⎩⎨⎧<<00B A )⑤分式值为负或小于0:分子分母异号(⎩⎨⎧<>00B A 或⎩⎨⎧><00B A )⑥分式值为1:分子分母值相等(A=B )⑦分式值为-1:分子分母值互为相反数(A+B=0)知识点三:分式的基本性质分式的分子和分母同乘(或除以)一个不等于0的整式,分式的值不变。
字母表示:C B C ∙∙=A B A ,CB C÷÷=A B A ,其中A 、B 、C 是整式,C ≠0。
拓展:分式的符号法则:分式的分子、分母与分式本身的符号,改变其中任何两个,分式的值不变,即 BB A B B --=--=--=A A A 注意:在应用分式的基本性质时,要注意C ≠0这个限制条件和隐含条件B ≠0。
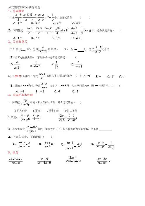
2、下列各式:a-b x+35+y3()a+b1,,,x2-1有意义。
(2)当x=时,分式x-3A.2x+3 B.1x2-2 C.x(4)、(2013黔西南州)分式x2-1x-a无意义,x=4时,此分式的值为0,则a+b的值等于(1.如果把2y(x+y)2=().3.不改变分式0.5x+0.2b+m=bB.ac-1=b-1a+b=0C.c-1D.2x+4x2-6x+92x2+8x+8;分式整章知识点及练习题1、分式概念a-b x+35+x a+b11.在,2+中,是分式的有()2xπa-b aA、1个B、2个C、3个D、4个,,,x2+1,,(x-y)中,是分式的共有()2xπ4a-b mA、1个B、2个C、3个D、4个2、分式有意义(1)当x___时,分式4x-3无意义.(3)当x为任意实数时,下列分式一定有意义的是()11D.x2+1x+1的值为零,则x的值为()A、-1B、0C、±1D、1(5)已知当x=-2时,分式x-bA.-6B.-2C.6D.24、分式的基本性质)2x-3y中的x和y都扩大5倍,那么分式的值(A扩大5倍B不变C缩小5倍D扩大4倍)2.填空:x2-y2x-y2x()x+3=x2+3x;0.3y+1的值,使分式的分子分母各项系数都化为整数,结果是4、下列各式中,正确的是()A.a+m a a+b ab-1x-y1x2-y2=x+y5、约分m2-3m+2 m2-m x2-9m2-3m9-m2=1 .在解分式方程:x - 1, 1 ,- 1 的最简公分母为 + 的结果是 ( ) m - 3 m + 3 2、计算 的正确结果是( )⎪ ÷1.化简代数式: m 2 - 2m + 1 m - 1 ÷ (m - 1 - ) 3、计算:-x-1 m + 14、先化简,再求值: 1 +5、若 x+ =2,则 x 2+ =.已知 x 2+3x+1=0,求 x 2+6、已知 a+b=3,ab=1,则 + 的值等于_______。
三.分式考点一:分式的概念1. 定义:如果A 、B 表示两个整式,且B 中含有字母,0B ≠,那么式子A B叫做分式.例1.下列代数式是分式的是 ( ).31x A x + 21.2x B +-C x.aD π2. 分式有意义的条件:分式中分母的值不能为零,即A B中,0B ≠使,分式有意义,否则分式没有意义. 例2.若分式15x -有意义,则实数x 的取值范围是 .3. 分式的值的讨论: (1) 若分式0A B =,则A=0,且0B ≠,即0{A B =≠时,0A B=.(2) 若分式0A B >,则A 、B 同号,即0{0A B >>或者0{0A B <<(3) 若分式0A B<,则A 、B 异号,即0{0A B ><或者0{0A B <>例2. 分式211x x -+的值为0,则 ( ).1A x =- .1B x = .1C x =± .0D x =针对训练: 1.若分式22221x x x x --++的值为0,则x 的值等于 .考点二.分式的基本性质1. 基本性质:分式的分子、分母都乘以(或除以)同一个不等于零的整式,分式的值不变.用符号来表示为:A A M A MB B MB M÷==÷ (M 的值不为0)2. 分式的基本性质的应用(1) 分式的约分:把一个分式的分子与分母的公共因式约去,分式的值不变,叫做约分。
说明:约分时,分子与分母不是乘积的形式,不能约分.(2) 分式的通分:把n 个异分母的分式分别化为与原来的分式相等的同分母的分式. 说明:①通分的依据是分式的基本性质, ②通分后的各分式的分母相同.③通分后的各式分式分别与原来的分式相等. ④通分的关键是确定最简公分母 ⑤分式通分的步骤:ⅰ.确定最简公分母;ⅱ.将各分式化成相同分母的分式.(3)分式的符号规则:分式的分子、分母及分式本身的符号中,改变其中任意俩个,分式的值不变.用式子表示为:,A A A A A A A BBB BBBB---==--=-==---(0B ≠).例3.(1)先化简,再求值:()2111211x x x ⎛⎫-÷+- ⎪+-⎝⎭,其中x =.(2)先化简,再求值:221211,24x x x x ++⎛⎫-÷ ⎪+-⎝⎭其中 3.x =- 针对训练:1. 化简:221211.241x x x x x x --+÷++--2. 先化简,再求值:22211.221x x x x x x x ++--÷++-其中2x =-考点三:分式的加减 1. 分式的加减,.a b a b a c ad bc ad bcc c c bd bd bd bd±±±=±=±= 2. 分式的乘除,.a c ac a c a d adb d bd b d bc bc=÷== 说明:对于分式的乘除混合运算,应先将除法运算转化为乘法运算,如分子、分母是多项式,可先将分子、分母分解因式,再相乘. 3.分式的乘方nnna ab b ⎛⎫= ⎪⎝⎭(n 为正整数) 例4.(1)化简:22221369x y x yx yx xy y+--÷--+(3) 先化简,再求值:22211(1),11m m m m m m -+-÷---+其中m =针对训练:1. 计算:2.b a ba b a b a ⎛⎫+-+ ⎪+⎝⎭2.先化简,再求值:()2211,1a a a ⎛⎫-+÷+ ⎪+⎝⎭其中 1.a =-课堂针对训练一、选择题 1.化简2111x x x x -⎛⎫⎛⎫-÷- ⎪ ⎪⎝⎭⎝⎭的结果是 ( ) 1.A xB. 1x - 1.x C x- D.1x x -2.若分式31x x -有意义,则x 应满足 ( ).0A x = B. 0x ≠ C. 1x = D. 1x ≠3.设22220,4,m n m n m n mn mn->>+==则( )A B. C. D.3二、填空题4.当x= 时,25x -.5.若ab=1,11,,1111a b x y abab=+=+++++则xy= .三、解答题 6.先化简,再求值:()222,a b a b a b-+-+其中2, 1.a b ==7.先化简,再求值:2242,6926a a a a a --÷+++其中 5.a =-。
分式知识点及典型例题一、分式的定义如果 A、B 表示两个整式,并且 B 中含有字母,那么式子 A/B 就叫做分式。
其中 A 叫做分子,B 叫做分母。
需要注意的是:分式的分母不能为 0,因为分母为 0 时,分式无意义。
例如:1/x ,(x + 1)/(x 2)都是分式,而 1/2 就不是分式,因为它的分母 2 不含字母。
二、分式有意义的条件分式有意义的条件是分母不为 0。
即:对于分式 A/B,B ≠ 0 时,分式有意义。
例如:对于分式 1/(x 1) ,要使其有意义,则x 1 ≠ 0,即x ≠ 1。
三、分式的值为 0 的条件分式的值为 0 时,要同时满足两个条件:1、分子为 0 ,即 A = 0 。
2、分母不为 0 ,即B ≠ 0 。
例如:若分式(x 1)/(x + 2)的值为 0,则 x 1 = 0 且 x +2 ≠0 ,解得 x = 1 。
四、分式的基本性质分式的分子和分母同时乘以(或除以)同一个不为 0 的整式,分式的值不变。
即:A/B =(A×C)/(B×C), A/B =(A÷C)/(B÷C)(C ≠ 0 )例如:将分式 2x/3y 的分子分母同时乘以 2 ,得到 4x/6y ,分式的值不变。
五、约分把一个分式的分子和分母的公因式约去,叫做约分。
约分的关键是确定分子和分母的公因式。
确定公因式的方法:1、系数:取分子和分母系数的最大公因数。
2、字母:取相同字母的最低次幂。
例如:对分式(6xy)/(9x²y)进行约分,分子分母的系数 6 和 9 的最大公因数是 3 ,字母部分 x 的最低次幂是 1 ,y 的最低次幂是 1 ,所以公因式是 3xy ,约分后得到 2/(3x) 。
六、通分把几个异分母的分式分别化成与原来的分式相等的同分母的分式,叫做通分。
通分的关键是确定几个分式的最简公分母。
确定最简公分母的方法:1、取各分母系数的最小公倍数。
2、凡单独出现的字母连同它的指数作为最简公分母的一个因式。
人教版八年级下册分式全章 知识点和典型例习题 知识点回顾知识点一:分式形如 的式子叫做分式 。
知识点二:分式B A 的值1.当 时,分式有意义;2.当 时,分式无意义;3.当 时,分式的值为0;4.当 时,分式的值为1;5.当 时, 分式的值为正;6.当 时,分式的值为负; 知识点三:分式的基本性质用式子表示 知识点四:分式中的符号法则用式子表示 知识点五: 分式的约分 约去分子、分母的最大公因式,使分式变成最简分式或者整式 1.最大公因式= 。
2.当分式的分子和分母为多项式时, 知识点六:分式的通分把异分母分式变成同分母分式的过程。
1.最简公分母= 。
2.当分式的分子和分母为多项式时,知识点七:分式的乘除法法则(用式子表示)乘法法则:用式子表示 除法法则: 用式子表示 知识点八:回顾因式分解总步骤:一提二套三分组1. 提公因式: 套 平方差公式: 2 . 公 完全平方和:式 完全平方差:知识点九:分式的加减法法则 加法法则:减法法则:知识点十:分式的混合运算先 再 最后再 。
知识点十一:整数指数幂七大公式1.同底数幂的乘法2.同底数幂的乘法3.幂的乘方4.积的乘方5.分式的乘方法则6.0指数幂7.负整数指数幂 知识点十二:科学计数法1.绝对值大于1数都可表示成2. 绝对值小于1数都可表示成 其中101<≤a 。
知识点十三:分式方程 1. 概念 2. 解法:①去分母:② ③知识点十四:分式方程解应用题的步骤 、 、 、 、【例题】下列有理式中是分式的有(1)-3x ;(2)yx ;(3)22732xy y x -;(4)x 81-;(5)35+y ; (6)112--x x ;(7)π12--m ; (8)5.023+m ;【练习】1、在下列各式ma m x xb a x xa,),1()3(,43,2,3222--÷++π中,是分式的有 个2.找出下列有理式中是分式的代号(1)-3x ;(2)yx ;(3)22732xyy x -;(4)-x 81;(5) 35+y ; (6)112--x x ;(7) π-12m ; (8)5.023+m .二.分式的值 【例题】 1.当a 时,分式321+-a a 有意义;2.当_____时,分式4312-+x x 无意义;3.若分式33x x --的值为零,则x = ;4.当_______时,分式534-+x x 的值为1;5.当______时,分式51+-x 的值为正;6.当______时分式142+-x 的值为负.【练习】1.①分式36122--x x 有意义,则x ;②当x_____时,分式1x x x-- 有意义;③当x ____时分式x x 2121-+有意义;④当x_____时,分式11x x +-有意义;⑤使分式9x 1x 2-+有意义的x 的取值范围是 ; 2.当x = 3时,分式bx a x +-无意义,则b ______ 3. ①若分式11x x -+的值为零,则x 的值为 ;②若分式)1x )(3x (1|x |=-+-,则x 的值为_________________; ③分式392--x x 当x __________时分式的值为0;④当x= _时,分式22943x x x --+的值为0;⑤当a=______时,分式2232a a a -++ 的值为零;4.当x __ 时,分式x -51的值为正.5.当x=_____时,分式232x x --的值为1.6.若分式231-+x x 的值为负数,则x 的取值范围是__________。
分式知识点及例题嘿,咱们今天就来好好聊聊分式这个家伙!分式这家伙,在数学的世界里可是个活跃分子。
先来说说啥是分式,简单说,就是形如 A/B 的式子,其中 B 中含有字母。
比如说,5/x ,这就是个分式。
咱们来看个例子啊,就说小明帮妈妈做蛋糕,妈妈准备了 300 克面粉,要求小明按照面粉和水 3:2 的比例来加水。
那小明就得算啦,设要加 x 克水,那比例式就是 300/x = 3/2 ,这时候 x 就等于 200 克。
这里面 300/x 就是个分式。
分式有它自己的性质,就像人有自己的脾气一样。
分式的分子分母同时乘以(或除以)同一个不为 0 的整式,分式的值不变。
比如说,分式 2/3 ,分子分母同时乘以 2 ,就变成 4/6 ,但它们的值是一样的。
再来讲讲分式的运算。
分式的加减乘除,那可是各有各的门道。
先看加法,比如说(1/x) +(2/x) ,分母相同,分子直接相加,结果就是 3/x 。
要是分母不同,像 1/(x + 1) + 1/(x 1) ,这就得先通分,找到它们的最小公倍数,变成(x 1)/(x + 1)(x 1) +(x + 1)/(x + 1)(x 1) ,然后分子相加,得到 2x/(x + 1)(x 1) 。
乘法呢,就简单多啦,分子乘分子,分母乘分母。
比如(2/x)×(3/y) ,结果就是 6/(xy) 。
除法,就是把除数倒过来变成乘法。
像(2/x)÷(3/y) ,就变成(2/x)×(y/3) ,结果是 2y/(3x) 。
咱们再看个实际的例子,还是小明做蛋糕。
做好蛋糕坯子后,要给蛋糕表面抹奶油。
小明发现,一罐奶油能抹 5 个蛋糕,现在有 2 罐奶油,一共要做 15 个蛋糕,那还缺几罐奶油?设还缺 x 罐奶油,那式子就是 2×5/(5 + x) = 15 ,算出来 x = 1/3 ,也就是还缺 1/3 罐奶油。
这里面 2×5/(5 + x) 就是个复杂点的分式。
分式知识点总结及例题一、分式的概念分式是指以分数的形式表示的数,通常由分子和分母两部分组成,分子表示分数的一部分,分母表示分数的总份额。
分式通常用来表示比例、部分和整体的关系。
二、分式的基本性质1. 分式的分子和分母可以分别约分。
2. 分式的值与分子和分母的乘除有关。
3. 分式的运算可以转化为通分和通分的计算问题。
三、分式的化简分式的化简是指将分式表示的数化为最简形式的操作,主要包括分子分母约分、常数和分式的转化等。
四、分式的加减法分式的加减法是指对分式的分子和分母进行通分后,进行加减运算的操作。
五、分式的乘法和除法分式的乘法是指对分式的分子和分母分别进行乘法运算后,化简为最简形式的操作。
分式的除法是指对分式进行倒数运算,然后化简为最简形式的操作。
六、分式的应用分式在实际问题中有着广泛的应用,如物体的比例尺、物体的比重、长方形的面积和周长等问题都可以用分式进行表示和计算。
七、例题1. 化简分式$\frac{6}{8}$解:分子和分母可以同时除以2,得到$\frac{6}{8}=\frac{3}{4}$,所以$\frac{6}{8}$的最简形式为$\frac{3}{4}$。
2. 计算$\frac{3}{5}+\frac{2}{3}$解:先将两个分式通分,得到$\frac{3}{5}+\frac{2}{3}=\frac{9}{15}+\frac{10}{15}=\frac{19}{15}$,再化简得$\frac{19}{15}=1 \frac{4}{15}$。
3. 计算$\frac{5}{6} \times \frac{2}{3}$解:将两个分式分别相乘得到$\frac{5}{6} \times \frac{2}{3}=\frac{10}{18}$,再将$\frac{10}{18}$化简为最简形式,得$\frac{10}{18}=\frac{5}{9}$。
4. 计算$\frac{4}{5} \div \frac{2}{3}$解:将两个分式进行倒数运算,得到$\frac{4}{5} \div \frac{2}{3}=\frac{4}{5} \times\frac{3}{2}=\frac{12}{10}=1 \frac{2}{10}=1 \frac{1}{5}$。
分式与分式方程【知识框架】【知识点&例题】知识点一:分式的基本概念一般地,如果,表示两个整式,并且中含有字母,那么式子B A 叫做分式,为分子,为分母。
知识点二:分式的基本性质 分式的分子和分母同乘(或除以)一个不等于的整式,分式的值不变。
字母表示:C B C••=A B A,C B C÷÷=A B A ,其中、、是整式,。
拓展:分式的符号法则:分式的分子、分母与分式本身的符号,改变其中任何两个,分式的值不变,即B B AB B --=--=--=AAA注意:在应用分式的基本性质时,要注意这个限制条件和隐含条件B ≠0。
知识点三:分式的乘除法法则分式乘分式:用分子的积作为积的分子,分母的积作为积的分母。
式子表示为:db c a d c b a ••=•分式除以分式:把除式的分子、分母颠倒位置后,与被除式相乘。
式子表示为cc ••=•=÷bd a d b a d c b a 分式的乘方:把分子、分母分别乘方。
式子n n nb a b a =⎪⎭⎫ ⎝⎛巩固练习:1.若分式的值为0,则x 的值为 .2.当= 时,分式的值为零.3.计算x xy y xy y xy y x xy y22222222++-÷+-+4.先化简,再求值:其中.242x x --x 26(1)(3)x x x x ----2291333x x x x x ⎛⎫-⋅ ⎪--+⎝⎭13x =5.先化简,再求值:,其中.6、先化简,再求值:,其中7、解下列方程:(1)(2)(3) (4)532224x x x x -⎛⎫--÷ ⎪++⎝⎭3x 22144(1)1a a a a a-+-÷--1a =-3522x x =-223444x x x x =--+22093x x x +=-+35012x x -=+9、在年春运期间,我国南方出现大范围冰雪灾害,导致某地电路断电.该地供电局组织电工进行抢修.供电局距离抢修工地千米.抢修车装载着所需材料先从供电局出发,分钟后,电工乘吉普车从同一地点出发,结果他们同时到达抢修工地.已知吉普车速度是抢修车速度的倍,求这两种车的速度。
第二单元 分式及其运算知识点及单元练习知识回顾:1 分母为零时,分式无意义;分母不为零时,分式有意义。
分子为零,分母不为零时,分式的值为零。
2.分式的基本性质:分式的分子与分母都乘以(或除以)同一个不为零的整式,分式的值不变。
用式子表示为:B A =M B M A ⋅⋅;B A =M B M A ÷÷(其中M 是不为零的整式)。
(1)x 取什么值时,分式3+x x 有意义﹖(2) 3分式的变号法则:分式的分子、分母与分式本身的符号,改变其中任何两个的符号,分式的值不变。
如B A =B A --=-BA -=-B A - 4. 约分:根据分式的基本性质,把一个分式的分子于分母的公因式约去,叫做分式的约分5. 最简分式: 约分后,分子于分母不再有公因式,我们把这样的式子叫做最简分式。
6、分式的通分:把几个异分母分式化成与原来分式相等的同分母分式,叫做分式的通分。
关键是确定几个分式的最简公分母。
各分母所有因式的最高次幂的积叫做最简公分母。
7. 分式的乘除法:(1)分式乘以分式,用分子的积做积的分子,分母的积做为积的分母。
(2)分式除以分式,把除式的分子、分母颠倒位置后,与被除式相乘。
8. 分式的乘方:是把分子、分母各自乘方。
9、分式的加减法:(1)同分母的分式相加减,分母不变,把分子相加减,即:cb ac b c a ±=± (2)异分母分式加减法:先通分变为同分母的分式,然后再加减。
10、分式方程的特征: ① 含分母 ② 分母里含有未知数。
11、解分式方程的基本思路:把分式方程转化为整式方程。
12.分式方程的解法一般步骤:第一步、去分母,即在方程的两边都乘以最简公分母,把原方程化为整式方程。
第二步、解整式方程。
第三步、验根,把整式方程的根代入最简公分母,使最简公分母不等于零的根是原方程的根,使最简公分母等于零的根是原方程的增根。
巩固练习:一.填空题:1 计算: ① a b b b a a 222-+- ② 22222222yx x x y y y x y x ---+-+ 2. x__________时,分式7215--x x 无意义。
基础知识1.同底数幂的乘法:,(m,n 都是正整数),即同底数幂相乘,底数不变,指mnm na a a +=g 数相加。
2.幂的乘方:,(m,n 都是正整数),即幂的乘方,底数不变,指数相乘。
()m nmn a a=3.积的乘方:,(n 为正整数),即积的乘方,等于把积的每一个因式分别乘()n n nab a b =方,再把所得的幂相乘。
4.整式的乘法:(1)单项式的乘法法则:一般地,单项式相乘,把它们的系数、相同字母的幂分别相乘,对于只在一个单项式里含有的字母,则连同它的指数作为积的一个因式.(2)单项式乘多项式法则:单项式与多项式相乘,就是根据乘法分配律,用单项式乘多项式的每一项,再把所得的积相加.可用下式表示:m (a +b +c )=ma +mb +mc (a 、b 、c 都表示单项式)(3)多项式的乘法法则:多项式与多项式相乘,先用一个多项式的每一项乘另一个多项式的每一项,再把所得的积相加.5.乘法公式:(1)平方差公式:平方差公式可以用语言叙述为“两个数的和与这两个的差积等于这两个数的平方差”,即用字母表示为:(a +b )(a -b )=a 2-b 2;其结构特征是:公式的左边是两个一次二项式的乘积,并且这两个二项式中有一项是完全相同的,另一项则是互为相反数,右边是乘式中两项的平方差.(2)完全平方公式:完全平方公式可以用语言叙述为“两个数和(或差)的平方,等于第一数的平方加上(或减去)第一数与第二数乘积的2倍,加上第二数的平方”,即用字母表示为:(a +b )2=a 2+2ab +b 2;(a -b )2=a 2-2ab +b 2;其结构特征是:左边是“两个数的和或差”的平方,右边是三项,首末两项是平方项,且符号相同,中间项是2ab ,且符号由左边的“和”或“差”来确定. 在完全平方公式中,字母a 、 b 都具有广泛意义,它们既可以分别取具体的数,也可以取一个单项式、一个多项式或代数式(3)添括号时,如果括号前面是正号,括到括号里的各项都不变号;如果括号前面是负号,括到括号里的各项都变号。
分式★学习目标1.知道分式的概念,会进行分式的约分与通分2.会分式的加减、乘除及分式的混合运算3、能根据分式的定义解决分式有无意义问题和分式的值为0问题 案例导学【题型一】分式的概念1、使分式4x 2x -有意义的x 的取值范围是( ) A. x=2 B. x ≠2C. x=-2D. x ≠-2 【题型二】分式的约分与通分1、 计算:1x xx 2--2、已知两个分式4x 4A 2-=,x 212x 1B -++=,其中x ≠±2,则A 与B 的关系是( ) A. 相等 B. 互为倒数 C. 互为相反数D. A 大于B 【题型三】分式的计算1、化简:b a b b a a 22--- 2、1x 2x 21x 1x 2x 22+-÷-+-3、)2a 42a a (a 2a a 222---⋅+ 4、化简1x x )1x 11(2-÷-+【题型四】分式有无意义问题1、使式子1|x |1-有意义的取值为( )A. x>0B. x ≠1C. x ≠-1D. 1x ±≠2、当x=_________时,分式3x 1-没有意义。
3、函数x 212y -=的自变量x 的取值范围是_________________。
【题型四】分式的值为0问题1、当m=_________时,分式2m 3m )3m )(1m (2+---的值为0。
2、若3x 2x 1|x |2-+-的值为0,则x 的值是( )A. ±1B. 1C. -1D. 不存在【题型五】条件求值问题1、若3x 1x =+,则1x x x 242++的值是( ) A. 81B. 101C. 21D. 412、已知12x +=,求x 1)1x 2x x x x 1x (22÷+---+的值。
3、若关于x 的方程ax=3x-5有负数解,则a 的取值范围是( )A.a<3B.a>3C.a ≥3D.a ≤3【题型六】分式方程问题1、解方程:x 312212x 61--=-2、若关于x 的方程01x x1x 1m =----有增根,则m 的值是( )A. 3B. 2C. 1D. -13、已知x=12+,求xx x x x x x 112122÷⎪⎭⎫ ⎝⎛+---+的值.4、当m=______时,方程233xmx x =---会产生增根.。
分式知识点及典型例题正文:分式,又称有理数,是数学中的一个重要概念,它由分子和分母组成,表示两个数的比值关系。
在分式的运算中,我们需要了解一些基本知识点,并且通过典型的例题来加深理解。
一、分式的定义和基本性质分式可以用“a/b”的形式表示,其中a为分子,b为分母。
分子和分母都可以是整数、小数或者其他分式。
分式也可以是正数、负数或者零。
分式的基本性质有:1. 当分子为0时,分式的值为0,即0/b=0。
2. 当分母为1时,分式的值等于分子本身,即a/1=a。
3. 当分子和分母互为相反数时,分式的值为-1,即(-a)/a=-1。
二、分式的运算1. 分式的加减运算分式的加减运算遵循相同分母则分子相加减的原则。
具体步骤如下:(1)将两个分式的分母化为相同的分母;(2)将两个分式的分子按照相同分母相加减;(3)将结果化简为最简形式。
例如:计算1/3 + 1/4 - 1/6。
解:首先将三个分式的分母化为12,得到4/12 + 3/12 - 2/12,再将分子相加减,得到5/12。
2. 分式的乘除运算分式的乘除运算遵循分子相乘除,分母相乘除的原则。
具体步骤如下:(1)将两个分式的分子相乘或相除;(2)将两个分式的分母相乘或相除;(3)将结果化简为最简形式。
例如:计算2/3 × 5/8 ÷ 4/5。
解:根据乘除法的原则,分子相乘得到10,分母相乘得到24,再将结果化简为最简形式,得到5/12。
三、分式的简化分式的简化是将分子和分母的公因式约去,使其达到最简形式。
具体步骤如下:(1)求分子和分母的最大公因数;(2)将分子和分母分别除以最大公因数。
例如:将12/18简化为最简分式。
解:求12和18的最大公因数为6,将分子和分母都除以6,得到最简分式2/3。
四、分式的应用举例1. 问题:小明爸爸买了一块布长3米,要均分给他和他妹妹,他分到几分之几的布?解:设小明分到的布的长度为x米,他妹妹分到的布的长度为y米,则由题意可得分式x/y=3/2。
分式知识点题型总结分式是初中数学中的重要内容之一,它在数学的学习和实际应用中都有着广泛的用途。
下面我们来对分式的相关知识点和常见题型进行一个全面的总结。
一、分式的定义如果 A、B 表示两个整式,并且 B 中含有字母,那么式子 A/B 就叫做分式。
其中 A 叫做分子,B 叫做分母。
需要注意的是,分母 B 的值不能为 0,如果 B=0,那么分式 A/B 就没有意义。
二、分式的基本性质分式的分子和分母同时乘以(或除以)同一个不为 0 的整式,分式的值不变。
用式子表示为:A/B = A×C/B×C,A/B = A÷C/B÷C(C 为不等于 0 的整式)。
三、分式的约分把一个分式的分子和分母的公因式约去,叫做分式的约分。
约分的关键是确定分子和分母的公因式。
四、分式的通分把几个异分母的分式分别化成与原来的分式相等的同分母的分式,叫做分式的通分。
通分的关键是确定几个分式的最简公分母。
五、分式的运算1、分式的乘除法分式乘分式,用分子的积作为积的分子,分母的积作为积的分母;分式除以分式,把除式的分子、分母颠倒位置后,与被除式相乘。
2、分式的加减法同分母分式相加减,分母不变,把分子相加减;异分母分式相加减,先通分,变为同分母的分式,再加减。
六、分式方程分母中含有未知数的方程叫做分式方程。
解分式方程的一般步骤:1、去分母,方程两边同时乘以最简公分母,将分式方程化为整式方程。
2、解整式方程。
3、检验,将求得的整式方程的解代入最简公分母,如果最简公分母不为 0,则整式方程的解是原分式方程的解;否则,这个解不是原分式方程的解。
七、常见题型1、分式有意义、无意义及值为 0 的条件例如:当 x 为何值时,分式(x 1)/(x + 2) 有意义?分析:要使分式有意义,分母不能为 0,即 x +2 ≠ 0,解得x ≠ -2。
当 x 为何值时,分式(x 1)/(x + 2) 无意义?分析:分母为 0 时,分式无意义,即 x + 2 = 0,解得 x =-2。
4. 同底数幕的加减运算法则:实际是合并同类项5. 同底数幕的乘法与除法;a m • a n =a m+n ; a m - a n =a m -n6. 积的乘方与幕的乘方:(ab)m = a m b n , (a m )n = a mn17. 负指数幕:a -p = —pa 0=1a p8•乘法公式与因式分解:平方差与完全平方式 (a+b)(a-b)= a 2- b 2 ;(a ±b) 2= a 2 ±2ab+b 2—、考占、执占、 J 八、、J 八、、八、、 知识点一:分式的定义A一般地,如果A , B 表示两个整数,并且B 中含有字母,那么式子 A 叫做分式,A 为分B子,B 为分母。
知识点二:与分式有关的条件【知识网络】【主要公式】a2•异分母加减法则:- a a be daac ac bd b c3.分式的乘法与除法也?da c ac abe da a ac c b/ d a c0,c 0 ; bd ac①分式有意义:分母不为0 (B 0)②分式无意义:分母为0 (B 0)③分式值为0 :分子为0且分母不为0 (口B 0A 0 A 0④分式值为正或大于0 :分子分母同号(c c或c C)B 0 B 0⑤分式值为负或小于0:分子分母异号(八。
或八°)B 0 B 0⑥分式值为1 :分子分母值相等(A=B)⑦分式值为-1 :分子分母值互为相反数(A+B=0)知识点三:分式的基本性质分式的分子和分母同乘(或除以)一个不等于0的整式,分式的值不变。
字母表示:A A-C,A ,其中A、B、C是整式,C 0。
B B?C BBC拓展:分式的符号法则:分式的分子、分母与分式本身的符号,改变其中任何两个,分式的值不变,即A A A AB B B B注意:在应用分式的基本性质时,要注意C 0这个限制条件和隐含条件B 0。
知识点四:分式的约分定义:根据分式的基本性质,把一个分式的分子与分母的公因式约去,叫做分式的约分。
步骤:把分式分子分母因式分解,然后约去分子与分母的公因。
注意:①分式的分子与分母为单项式时可直接约分,约去分子、分母系数的最大公约数, 然后约去分子分母相同因式的最低次幕。
②分子分母若为多项式,约分时先对分子分母进行因式分解,再约分。
知识点四:最简分式的定义一个分式的分子与分母没有公因式时,叫做最简分式。
知识点五:分式的通分①分式的通分:根据分式的基本性质,把几个异分母的分式分别化成与原来的分式相等的同分母分式,叫做分式的通分。
②分式的通分最主要的步骤是最简公分母的确定。
最简公分母的定义:取各分母所有因式的最高次幕的积作公分母,这样的公分母叫做最简公分母。
确定最简公分母的一般步骤:I取各分母系数的最小公倍数;n单独出现的字母(或含有字母的式子)的幕的因式连同它的指数作为一个因式;川相同字母(或含有字母的式子)的幕的因式取指数最大的。
IV保证凡出现的字母(或含有字母的式子)为底的幕的因式都要取。
注意:分式的分母为多项式时,一般应先因式分解。
知识点六分式的四则运算与分式的乘方①分式的乘除法法则:分式乘分式,用分子的积作为积的分子,分母的积作为积的分母。
式子表示为:a?c曇b d b?d分式除以分式:把除式的分子、分母颠倒位置后,与被除式相乘。
式子表示为a c a d a?db d bc b ?c②分式的乘方:把分子、分母分别乘方。
式子a n a n③分式的加减法则:同分母分式加减法:分母不变,把分子相加减。
式子表示为a b a bc c c异分母分式加减法:先通分,化为同分母的分式,然后再加减。
式子表示为a c ad bcb d bd整式与分式加减法:可以把整式当作一个整数,整式前面是负号,要加括号,看作是分母为1的分式,再通分。
④分式的加、减、乘、除、乘方的混合运算的运算顺序先乘方、再乘除、后加减,同级运算中,谁在前先算谁,有括号的先算括号里面的,也要注意灵活,提高解题质量。
注意:在运算过程中,要明确每一步变形的目的和依据,注意解题的格式要规范,不要随便跳步,以便查对有无错误或分析出错的原因。
加减后得出的结果一定要化成最简分式(或整式)。
知识点六整数指数幕① 引入负整数、零指数幕后,指数的取值范围就推广到了全体实数,并且正正整数幕的法则对对负整数指数幕一样适用。
即m n m n ★ a a am mn ★ a a★ ab n a n b n★a m a n a mn(a 0)★ a n a n★ n 1 (0)★不★a n (a 0)b b a★a0 1 (a 0)(任何不等于零的数的零次幕都等于1)其中m , n均为整数。
科学记数法若一个数x是Ovxvl的数,则可以表示为a 10n(1 a 10,即a的整数部分只有一位,n为整数)的形式,n的确定n=从左边第一个0起到第一个不为0的数为止所有的0的个数的相反数。
女口0.000000125= 1.25 10-77个0若一个数x是x>10的数则可以表示为a 10n(1 a 10,即a的整数部分只有一位,n为整数)的形式,n的确定n=比整数部分的数位的个数少1。
如120 000 000= 1.2 108 9个数字知识点七分式方程的解的步骤⑴去分母,把方程两边同乘以各分母的最简公分母。
(产生增根的过程)⑵解整式方程,得到整式方程的解。
⑶检验,把所得的整式方程的解代入最简公分母中:如果最简公分母为0,则原方程无解,这个未知数的值是原方程的增根;如果最简公分母不为0,则是原方程的解。
产生增根的条件是:①是得到的整式方程的解;②代入最简公分母后值为0。
知识点八列分式方程基本步骤①审一仔细审题,找出等量关系。
②设一合理设未知数。
③列一根据等量关系列出方程(组)④解一解出方程(组)。
注意检验⑤答一答题。
二、典型例题(一)、分式定义及有关题型题型一:考查分式的定义【例1】下列代数式中:-,^x y, a b,J!题型二:考查分式有意义的条件【例2】当x有何值时,下列分式有意义题型三:考查分式的值为0的条件【例3】当x取何值时,下列分式的值为0.题型四:考查分式的值为正、负的条件【例4】(1)当x为何值时,分式名为正;8 x(2 )当x 为何值时,分式一5 x2为负; 3 (x1)23x x2(3) J (4)x2 1 |x| 3,是分式的有:(1)|x| 2x2 42x 2x 32x 5x 6(3)当x 为何值时,分式 工套为非负数.x 3练习:1 .当x 取何值时,下列分式有意义:2. 当x 为何值时,下列分式的值为零:3 .解下列不等式(1)阳 0(2)占 0(二)分式的基本性质及有关题型题型一:化分数系数、小数系数为整数系数【例1】不改变分式的值,把分子、分母的系数化为整数题型二:分数的系数变号(1)12 x y 23 1 1 x y 3 4(2)0.2a 0.03b 0.04a b(1 )1 6|x| 3(2)(x 1)21(1)(2)25 x 2 x 2 6x 51. 分式的基本性质: 2 .分式的变号法则:A A M A M BB MB Ma a a ab b b b【例2】不改变分式的值,把下列分式的分子、分母的首项的符号变为正号(1)X y(2)ab(3ax y a b b题型三:化简求值题【例3】已知:1 15,求2x 3xy 2y的值•x y x 2xy y提示:整体代入,①x y 3xy,②转化出--x y【例4】已知:x「,求x2令的值.[例5 】若|x y 1 | (2x 3)20,求七的值.练习:1 •不改变分式的值,把下列分式的分子、分母的系数化为整数1 22 •已知:x 丄3,求4 X 2 的值.XX 4 X 2 11丄3,求2a 3ab 2b的值. a bb ab a4 .若 a 2 2a b 26b 10,求設的值.0.03x 0.2y 0.08x 0.5y(2)0.4a - b51a -1b 4 103 .已知:、(三)分式的运算1. 确定最简公分母的方法:① 最简公分母的系数,取各分母系数的最小公倍数; ② 最简公分母的字母因式取各分母所有字母的最高次幕2 .确定最大公因式的方法:①最大公因式的系数取分子、分母系数的最大公约数; ②取分子、分母相同的字母因式的最低次幕.题型一:通分【例1】将下列各式分别通分.(1)_b _______ ;( 2) _____ ;() 2ab ,3a 2c ,5b 2c ;()a b' 2b 2a ;题型二:约分22 22【例2】约分:(1)正扌;(2) ;(3)20 xym nx x 65.如果1x 2,试化简害x 1 |x ||x 1| "x"(3)1 ______ x _______ 2x 2 x ,1 2x x 2,x 2x 2(4)2,题型四:化简求值题【例4】先化简后求值2(1)已知:x 1,求分子1[(- 4 1)(-丄)]的值;x 4 4x2 x 题型三:分式的混合运算 【例3】计算: 2 2 (1)(aJb)3 (土)2 (竺)4;c ab a(2)3 a(x3(x 2 y 2)m 2n n 2m n m m n n m2(5)1 x 1 x2x4x 3 8x 71 x21 x4(6)1 (x 1)(x 1)1 (x 1)(x 3)1 (x 3)(x 5)(2)已知: 求xy 2yz 3xz 飞的值;z(3)已知: a2 3a 1 0,试求(a2評m的值.题型五:求待定字母的值[例5】若1 3xx21代,试求M,N的值.练习:1 •计算(1 ) 2a 52(a 1)a 12(a 1)2a 32(a 1)2b22ab ba(3) a b c a 2b 3c b 2ca b c b c a cab' 2b2a b ;4ab (5) (a b R a b4abr_b);1 2 ;x 1 x2;(7) 1(x 2)(x 3)2 1(x 1)(x 3) (x 1)(x 2)2 .先化简后求值(1) 彳2 .a 1 a 42a 2 a 2a 1门'其中a满足322 2(2)已知x:y 2:3,求(-仝)[(x xy xy)(- Y)3] 的值.3 .已知: 5x 4(x 1)(2x 1)吕,试求A、B的值4 .当a为何整数时,代数式399a 805的值是整数,并求出这个整数值a 2(四八整数指数幕与科学记数法题型一:运用整数指数幕计算(2)(3x3y2z 1) (5xy 2z3)【例1 】计算:(1)(a 2)3(be 1)3(4)[(x y)3(x 2 2y) ] (x y)题型二:化简求值题[例2】已知x x 15,求(1)x2x 2的值;(2)求x4x 4的值.题型三:科学记数法的计算[例 3】计算:32 23 22 3(1) (3 10 ) (8.2 10 ) ; ( 2) (4 10 ) (2 10 ).1 32 2 2 3(2) (3 m n ) (m n)2 2 2(4)[4(x y) (x y)] [2(x y) 1(x y)] 2练习: 1 •计算:(1)(31)(5)2111 0(0.25 ) 2007 4 20082 .已知x 25x 10,求(1 ) x x 1 , (2) x 2 x 2的值.(3)2 2 2 2 (2ab ) (a b)3. 23、2(3a b ) (ab )第二讲分式方程(一)分式方程题型分析 题型一:用常规方法解分式方程【例1】解下列分式方程提示易出错点:①分子不添括号②漏乘整数项;③约去相同因式至使漏根;④忘记验根 题型二:特殊方法解分式方程【例2】解下列方程提示:(1)换元法,设 十 y ;( 2 )裂项法,x 1【例3】解下列方程组(1)(2)x 2(1)4x 44;x 9 x 10 x 6 x8 x 9x5题型三:求待定字母的值【例4】若关于x 的分式方程三1 »有增根,求m 的值.提示:题型四:解含有字母系数的方程【例6】解关于x 的方程一手(c d 0)b x d提示:(1) a,b,Gd 是已知数;(2) c d 0.题型五:列分式方程解应用题练习:【例5】若分式方程 2x a x 21的解是正数,求a 的取值范围.1 •解下列方程:(1) 2x1 2x(2)(3) 2xx 2 x2x x2(5) 5x 42x~4 2x 5 13x~2 2(6)(7)2 .解关于x的方程:(1) 2 /c、b(b2a); (2)3.如果解关于x的方程代2会产生增根, 求k的值.4.当k为何值时'关于x的方程汁丄)1的解为非负数.5•已知关于x 的分式方程务a 无解,试求a 的值.(二)分式方程的特殊解法解分式方程,主要是把分式方程转化为整式方程,通常的方法是去分母,并且要检验, 但对一些特殊的分式方程,可根据其特征,采取灵活的方法求解,现举例如下: 一、交叉相乘法例1 •解方程:丄三x x 2、化归法三、左边通分法例2 •解方程:2 x 2 1例3 :解方程:・—8x 7 7 x四、分子对等法1 a 1 b例4 .解方程:(a b)a xb x五、观察比较法4x5x 217六、分离常数法例6 .解方程:七、分组通分法例7 •解方程:1111x 2 x 5 x 3 x 4(三)分式方程求待定字母值的方法若分式方程M -无解,x求m的值若关于x的方程k2x2 1=不会产生增根,求k的值三、课后练习一、分式1、分式概念1 1 1 1 1.各式中,一 x+ y, , , — 4xy32 xy 5 a2、分式有意义例3 •若关于x 分式方程丄 宀23有增根,求k 的值x 4例4 •若关于x 的方程亠占卫x x x x”有增根x 1, 求k 的值a b2 .在x 3 5 x a b 12 一中,是分式的有a()xJ abA 、1个B、2个C 、3个D 、4 个3、下列各式:a bx 3 5y3 2 , a , x 1 ,4a b 1(xmy )中,是分式的共有( )2 xb A 、1个 B 、2个 C 、3个 D 、4个A 、1个B 、2个C 、3个D 、4个x分式的个数有()(1)当XM __ 时,分式2x有意义;-" x 2(2)当x ____ 时,分式-—-有意义;x 12x 1(3 )分式-------- 中,当x 时,分式没有意义,当x 时,分式的值为零;2 x ------- ------------------------------------------4(4) 当x ____ 时,分式——有意义。