《分式》典型例题分析
- 格式:doc
- 大小:292.00 KB
- 文档页数:5
分 式【知识网络】【主要公式】1.同分母加减法则:()0b c b ca a a a±±=≠2.异分母加减法则:()0,0b d bc da bc daa c a c ac ac ac±±=±=≠≠;3.分式的乘法与除法:b d bd a c ac ∙=,b c b d bda d a c ac÷=∙=4.同底数幂的加减运算法则:实际是合并同类项5.同底数幂的乘法与除法;a m ● a n =a m+n ; a m ÷ a n =a m -n6.积的乘方与幂的乘方:(ab)m = a m b n , (a m )n = a mn7.负指数幂: a -p =1p aa 0=18.乘法公式与因式分解:平方差与完全平方式 (a+b)(a-b)= a 2- b 2 ;(a ±b)2= a 2±2ab+b 2一、考点、热点知识点一:分式的定义一般地,如果A ,B 表示两个整数,并且B 中含有字母,那么式子BA叫做分式,A 为分子,B 为分母。
知识点二:与分式有关的条件①分式有意义:分母不为0(0B ≠) ②分式无意义:分母为0(0B =)③分式值为0:分子为0且分母不为0(⎩⎨⎧≠=0B A )④分式值为正或大于0:分子分母同号(⎩⎨⎧>>00B A 或⎩⎨⎧<<00B A )⑤分式值为负或小于0:分子分母异号(⎩⎨⎧<>00B A 或⎩⎨⎧><00B A )⑥分式值为1:分子分母值相等(A=B )⑦分式值为-1:分子分母值互为相反数(A+B=0)知识点三:分式的基本性质分式的分子和分母同乘(或除以)一个不等于0的整式,分式的值不变。
字母表示:C B C ∙∙=A B A ,CB C÷÷=A B A ,其中A 、B 、C 是整式,C ≠0。
拓展:分式的符号法则:分式的分子、分母与分式本身的符号,改变其中任何两个,分式的值不变,即 BB A B B --=--=--=A A A 注意:在应用分式的基本性质时,要注意C ≠0这个限制条件和隐含条件B ≠0。
分式经典题型分类例题及练习题分式的运算一、分式定义及有关题型题型一:考查分式的定义在代数式 $\frac{x_1}{a-bx}-\frac{y}{x+y}$ 中,$\frac{x_1}{a-bx}$ 是分式。
题型二:考查分式有意义的条件当 $x$ 满足以下条件时,下列分式有意义:1)$\frac{x-4}{x+4}$2)$\frac{3x}{x^2+2}$3)$\frac{2}{x^2-1}$4)$\frac{16-x}{5-x}$5)$\frac{1}{|x|-3}-\frac{x}{x}$题型三:考查分式的值为的条件当 $x$ 取以下值时,下列分式的值为 $0$:1)$\frac{x-1}{x+3}$2)$\frac{|x|-2}{x-4}-\frac{2}{x}$3)$\frac{x^2-2x-3}{x-5}-\frac{x-6}{2}$题型四:考查分式的值为正、负的条件1)当 $x$ 为何值时,分式 $\frac{4}{8-x}$ 为正;2)当 $x$ 为何值时,分式 $\frac{5-x}{23+(x-1)/(x-2)}$ 为负;3)当 $x$ 为何值时,分式 $\frac{x+3}{|x|}$ 为非负数。
练:1.当 $x$ 取以下值时,下列分式有意义:1)$\frac{1}{6|x|-3}$2)$\frac{3-x}{(x+1)^2+1}$3)$\frac{1}{x}+\frac{1}{1+x}$2.已知 $x+\frac{1}{x}=3$,求$\frac{x^2+x+1}{2x+x^2}$ 的值。
3.解以下不等式:1)$\frac{1}{|x|-2}\leq x+1$2)$\frac{x+5}{x+2}-\frac{3}{x+3}>0$二、分式的基本性质及有关题型1.分式的基本性质:frac{AA}{BB}=\frac{MA\cdot MA^{-1}}{MB\cdot MB^{-1}}=\frac{A}{B}$2.分式的变号法则:frac{-a}{a}=-1$,$\frac{-b+b}{b-b}=1$题型一:化分数系数、小数系数为整数系数不改变分式的值,把分子、分母的系数化为整数。
第十六章分式知识点和典型例习题【知识网络】【思想方法】 1.转化思想转化是一种重要的数学思想方法,应用非常广泛,运用转化思想能把复杂的问题转化为简单问题,把生疏的问题转化为熟悉问题,本章很多地方都体现了转化思想,如,分式除法、分式乘法;分式加减运算的基本思想:异分母的分式加减法、同分母的分式加减法;解分式方程的基本思想:把分式方程转化为整式方程,从而得到分式方程的解等. 2.建模思想本章常用的数学方法有:分解因式、通分、约分、去分母等,在运用数学知识解决实际问题时,首先要构建一个简单的数学模型,通过数学模型去解决实际问题,经历“实际问题———分式方程模型———求解———解释解的合理性”的数学化过程,体会分式方程的模型思想,对培养通过数学建模思想解决实际问题具有重要意义. 3.类比法本章突出了类比的方法,从分数的基本性质、约分、通分及分数的运算法则类比引出了分式的基本性质、约分、通分及分式的运算法则,从分数的一些运算技巧类比引出了分式的一些运算技巧,无一不体现了类比思想的重要性,分式方程解法及应用也可以类比一元一次方程.第一讲 分式的运算【知识要点】1.分式的概念以及基本性质;2.与分式运算有关的运算法则3.分式的化简求值(通分与约分)4.幂的运算法则【主要公式】1.同分母加减法则:()0b c b ca a a a±±=≠2.异分母加减法则:()0,0b d bc da bc daa c a c ac ac ac±±=±=≠≠;3.分式的乘法与除法:b d bd ac ac •=,b c b d bda d a c ac÷=•= 4.同底数幂的加减运算法则:实际是合并同类项 5.同底数幂的乘法与除法;am●a n =a m+n ; a m ÷ a n =a m -n6.积的乘方与幂的乘方:(ab)m= a mb n, (a m)n= amn7.负指数幂: a-p=1pa a 0=18.乘法公式与因式分解:平方差与完全平方式(a+b)(a-b)= a2- b 2 ;(a ±b)2= a 2±2ab+b 2(一)、分式定义及有关题型题型一:考查分式的定义(一)分式的概念: 形如AB(A 、B 是整式,且B 中含有字母,B ≠0)的式子,叫做分式.其中 A 叫做分式的分子,B 叫做分式的分母.【例1】下列代数式中:yx yx y x y x b a b a y x x -++-+--1,,,21,22π,是分式的有: .题型二:考查分式有意义的条件:在分式中,分母的值不能是零.如果分母的值是零,则分式没有意义.【例2】当x 有何值时,下列分式有意义(1)44+-x x (2)232+x x (3)122-x (4)3||6--x x(5)xx 11-题型三:考查分式的值为0的条件:1、分母中字母的取值不能使分母值为零,否则分式无意义2、当分子为零且分母不为零时,分式值为零。
人教版八年级下册分式全章 知识点和典型例习题 知识点回顾知识点一:分式形如 的式子叫做分式 。
知识点二:分式B A 的值1.当 时,分式有意义;2.当 时,分式无意义;3.当 时,分式的值为0;4.当 时,分式的值为1;5.当 时, 分式的值为正;6.当 时,分式的值为负; 知识点三:分式的基本性质用式子表示 知识点四:分式中的符号法则用式子表示 知识点五: 分式的约分 约去分子、分母的最大公因式,使分式变成最简分式或者整式 1.最大公因式= 。
2.当分式的分子和分母为多项式时, 知识点六:分式的通分把异分母分式变成同分母分式的过程。
1.最简公分母= 。
2.当分式的分子和分母为多项式时,知识点七:分式的乘除法法则(用式子表示)乘法法则:用式子表示 除法法则: 用式子表示 知识点八:回顾因式分解总步骤:一提二套三分组1. 提公因式: 套 平方差公式: 2 . 公 完全平方和:式 完全平方差:知识点九:分式的加减法法则 加法法则:减法法则:知识点十:分式的混合运算先 再 最后再 。
知识点十一:整数指数幂七大公式1.同底数幂的乘法2.同底数幂的乘法3.幂的乘方4.积的乘方5.分式的乘方法则6.0指数幂7.负整数指数幂 知识点十二:科学计数法1.绝对值大于1数都可表示成2. 绝对值小于1数都可表示成 其中101<≤a 。
知识点十三:分式方程 1. 概念 2. 解法:①去分母:② ③知识点十四:分式方程解应用题的步骤 、 、 、 、【例题】下列有理式中是分式的有(1)-3x ;(2)yx ;(3)22732xy y x -;(4)x 81-;(5)35+y ; (6)112--x x ;(7)π12--m ; (8)5.023+m ;【练习】1、在下列各式ma m x xb a x xa,),1()3(,43,2,3222--÷++π中,是分式的有 个2.找出下列有理式中是分式的代号(1)-3x ;(2)yx ;(3)22732xyy x -;(4)-x 81;(5) 35+y ; (6)112--x x ;(7) π-12m ; (8)5.023+m .二.分式的值 【例题】 1.当a 时,分式321+-a a 有意义;2.当_____时,分式4312-+x x 无意义;3.若分式33x x --的值为零,则x = ;4.当_______时,分式534-+x x 的值为1;5.当______时,分式51+-x 的值为正;6.当______时分式142+-x 的值为负.【练习】1.①分式36122--x x 有意义,则x ;②当x_____时,分式1x x x-- 有意义;③当x ____时分式x x 2121-+有意义;④当x_____时,分式11x x +-有意义;⑤使分式9x 1x 2-+有意义的x 的取值范围是 ; 2.当x = 3时,分式bx a x +-无意义,则b ______ 3. ①若分式11x x -+的值为零,则x 的值为 ;②若分式)1x )(3x (1|x |=-+-,则x 的值为_________________; ③分式392--x x 当x __________时分式的值为0;④当x= _时,分式22943x x x --+的值为0;⑤当a=______时,分式2232a a a -++ 的值为零;4.当x __ 时,分式x -51的值为正.5.当x=_____时,分式232x x --的值为1.6.若分式231-+x x 的值为负数,则x 的取值范围是__________。
分式经典例题及答案分式的性质一、知识回顾1、分式的定义:如果A B表示两个整式, 并且B中含有字母,那么式子A/B叫做分式。
2、分式有意义、无意义的条件:①分式有意义的条件:分式的分母不等于0;②分式无意义的条件:分式的分母等于0。
3、分式值为零的条件:当分式的分子等于0且分母不等于0时,分式的值为0。
4、分式的基本性质:分式的分子与分母同乘(或除以)一个不等于0的整式,分式的值不5、分式的通分:和分数类似,利用分式的基本性质,使分子和分母同乘适当的整式,不改变分式的值,把几个异分母分式化成相同分母的分式,这样的分式变形叫做分式的通分。
6、分式的约分:和分数一样,根据分式的基本性质,约去分式的分子和分母中的公因式,不改变分式的值,这样的分式变形叫做分式的约分。
约分后分式的分子、分母中不再含有公因式,这样的分式叫最简公因式。
约分的关键是找出分式中分子和分母的公因式。
二、典型例题毗曲•细前式去的窗5(A. x=-22D. x=1分析:先根据分式的值为0的条件列出关于x的不等式组,求出x的值即可.这种题一定要考虑到分母不为0.X+2故选D.例2W荆州烛主专的值为。
5()A. x=1B. x=-1C. x=±1D x Ml分析:要使分式的值为0, —定要分子的值为0并且分母的值不为0.解答:由x2-1=0解得:x=± 1,又Tx -1M0 即x M 1,「• x=-1 ,故选B.分析:要使分式有意义,分式的分母不能为0.解答:・・辽-5工0,「・x半5;故选A.珀蓉磊的值沁>A. x V 2B. x V 2 且x 半-1分析:易得分母为非负数,要使分式为正数,则应让分子大于0,分母不为0.解答:根据题意得:2-x >0,且(x+1)2疋0,…x v 2「且x半-1 ,故选B.例5式严寸皿5如}A. x > 0 B . x > 0C. x>0且x丰1D.无法确定分析:分母x2-2x+仁(x-1 )2,为完全平方式,分母不为0,则:X-1M0时,要使分式的值为非负数,则3x>0,由此列不等式组求解.解答:依题意,得{ 3x >0 ①{ X- 1^0 ②,解得X>0且X半1 ,故选C.例6:下列说法正确的是()A.只要分式的分子为零,则分式的值为零B.分子、分母乘以同一个代数式,分式的值不变C.分式的分子、分母同时变号,其值不变当蛊Vi时,分式—4-Jt无意文分析:根据分式的值为0的条件是:(1) 分子为0;(2)分母不为0.分式的基本性质:分式的分子与分母同乘(或除以)一个不等于0的整式,分式的值不变.解答:A、分式的分子为零,分母不为0, 则分式的值为零,故错误;B、分子、分母乘以同一个不等于0的代数式,分式的值不变,故错误;C、正确;D、当x取任意实数时,分式(|2-x|+x ) /2有意义,故错误.故选c.例任ea---=s,则x+E-邛的值为()X V X—XV1-T'■■ — 1A. -7/2B. 7/2C. 2/7D. -2/7分析:先把分式的分子、分母都除以xy , 就可以得到已知条件的形式,再把1/x-1/y=3代入就可以进行计算.解答:根据分式的基本性质,分子分母都除以xy 得,5 57+l"x -3x5+1 7------- = ------- =一I , 1 -5-1 2故选B.2 - hi 1 1 r + 2a—ab —lb例弘BMJ= ———= 2 ?求的值.a b a-^-ab-b分析:根据已知条件求出(a-b )与ab的关系,再代入所求的分式进行求值.2a-ab-2b 2(a-b)-ab -Aab -at) -5ab _6》十口& —2ab -Vai? -abQ +ab_b(口一Tf V 7例g Bffl;丄=」_ =「_,求证巧七电a-b b-c c~a分析:设恒等式等于一个常数,求出x, y,个例子,都米用的整体带入得方法,很常见。
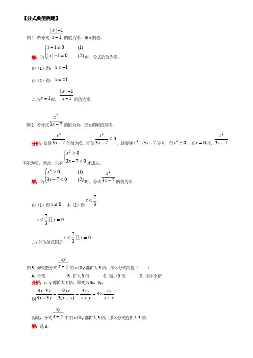
【分式典型例题】例1. 若分式11||+-x x 的值为零,求x 的值。
解:当⎩⎨⎧=-≠+)2(01||)1(01x x 时,分式的值为零。
由(1)得:1-≠x由(2)得:1±=x ∴当1=x 时,11||+-x x 的值为零。
例2. 若分式732-x x 的值为负,求x 的取值范围。
分析:欲使732-x x 的值为负,即使0732<-x x ,就要使2x 与73-x 异号,而02≥x ,若0=x 时,732-x x 不能为负,因此,只有⎩⎨⎧<->07302x x 才成立。
解:当⎩⎨⎧<->)2(073)1(02x x 时,分式732-x x 的值为负, 由(1)得0≠x ,由(2)得37<x 037≠<∴x x 且∴x 的取值范围是037≠<x x 且例3. 如果把分式y x xy+的x 和y 都扩大3倍,那么分式的值( )A. 不变B. 扩大3倍C. 缩小3倍D. 缩小9倍分析:x ,y 都扩大3倍,即变为3x ,3y , 则y x xy yx xy y x xy y x y x +⨯=+=+=+⋅33)(393333 因此,分式y x xy+中的x 和y 都扩大3倍,那么分式值扩大3倍。
解:选B 。
!例4. 计算:(1)x x x x x x x 4126)3(446222--+⋅+÷+-- (2)22221111⎪⎭⎫ ⎝⎛-+-⋅⎪⎭⎫ ⎝⎛-÷--a a a a a a a(3)x x x -+-++1111112 (4)231421222+++⋅--÷⎪⎭⎫ ⎝⎛+-a a a a a a a a a 解:(1)x x x x x x x 4126)3(446222--+⋅+÷+-- 421)2(21)3(4)2)(3(31)2()3(22--=--=---+⋅+⋅--=x x x x x x x x (2)22221111⎪⎭⎫ ⎝⎛-+-⋅⎪⎭⎫ ⎝⎛-÷--a a a a a a a 】aa a a a a a a a a 1)1()1()1()1)(1()1(2222+-=-+⋅-⋅-+--=(3)x x x -+-++1111112 11)1)(1(111---+++=x x x x 11)1)(1(1)1)(1(111)1)(1(1)1)(1(1)1)(1(12--=-+-=-+--+-=-++--++-+-=x x x x x x x x x x x x x x x (4)231421222+++⋅--÷⎪⎭⎫ ⎝⎛+-a a a a a a a a a 231241)1(222+++⋅--⋅+-+=a a a a a a a a a a1)1)(2(1)2()2)(2(12+=+++⋅--+⋅+=a a a a a a a a a a a例5. 解方程。
《分式》典型例题及解析例1.分式中,当x = a时,下列说法正确的是( )A.分式的值为零 B.分式无意义C.当a≠时,分式的值为零D.当a≠−时,分式无意义答案:C说明:当x = a时,分子x−a = 0,但需满足分式有意义,即分母2x−3≠0,x≠∴当a≠时,分式值为0,因此,答案为C.例2.分式有意义,则x的值为( )A.x≠−1 B.x≠−2 C.x≠1 D.x ≠−1,x≠−2且x≠1答案:D说明:有意义,需满足x+1≠0且x−≠0,得x≠−1且≠0,即,所以当x≠−1,x≠−2且x≠1时分式有意义,答案为D.例3.下列各式从左到右变形错误的是( )A.=B.=C.=D.=答案:D说明:选项A、B中的变形都是将左边的分式分子、分母同乘以−1,即得到右边的分式,变形过程都是正确的;选项C左边的分式隐含条件a≠0,因此,分子、分母可以同时除以a,即得到右边的分式,变形过程也是正确的;只有选项D中的变形需附加条件b ≠0,因此,答案为D.例4.当=时,A应为( )A.x−1 B.x+1 C.3(x+1)D.3(x−1)答案:D说明:由=得=,因为分式的分母x+2乘以(x−1)才能化为x2+x−2,所以根据分式的基本性质,分子3也应乘以(x−1)得3(x−1),所以A = 3(x−1),答案为D.例5.下列命题中不正确的是( )A.不论x取任何实数时,分式都有意义B.x = 0时,分式的值为0C.(2x+y)÷(y−x) =D.当x<0时,分式<0答案:B说明:不论x取任何实数,x2+1始终不会为0,所以分式有意义,选项A命题成立;选项B中命题显然错误;选项C、D中的命题不难看出都是正确的,所以答案为B.例6.分式与是同一个分式吗?分析:分式=它有意义的条件是(x+2)(x−3)≠0即x≠−2且x≠3,而分式有意义的条件是x−3≠0即x≠3,当x = −2时,分式有意义.答:由于两分式有意义的条件不同,所以与不是同一个分式.。
分式方程的典型例题解析分式方程是一种含有分式的方程,它的解法可以通过化简分式,通分消去分母,然后根据整式方程的解法进行求解。
在解分式方程时,我们需要注意分式的约分和消去分母的方法,以及解方程过程中可能出现的特殊情况。
下面我们通过几个典型的例题来具体解析分式方程的解法。
例题一:求解方程$\frac{2}{x} + \frac{3}{x+2} = \frac{5}{x^2+2x}$。
解:首先将分式方程中的分式通分,得到$\frac{2(x+2)}{x(x+2)} +\frac{3x}{x(x+2)} = \frac{5}{x(x+2)}$。
然后将分式相加并合并同类项,得到$\frac{2x+4+3x}{x(x+2)} =\frac{5}{x(x+2)}$。
继续化简,得到$\frac{5x+4}{x(x+2)} = \frac{5}{x(x+2)}$。
由于等号两边的分式相等,所以分子相等,即$5x+4=5$。
解得$x=1$。
因此,原方程的解为$x=1$。
例题二:求解方程$\frac{1}{x-1} + \frac{2}{x-2} = \frac{3}{x-3}$。
解:同样地,将方程通分,得到$\frac{x-2}{(x-1)(x-2)} + \frac{2(x-1)}{(x-1)(x-2)} = \frac{3(x-2)}{(x-1)(x-2)}$。
合并同类项,得到$\frac{x-2+2(x-1)}{(x-1)(x-2)} = \frac{3(x-2)}{(x-1)(x-2)}$。
进一步化简,得到$\frac{x-2+2x-2}{(x-1)(x-2)} = \frac{3x-6}{(x-1)(x-2)}$。
继续化简,得到$\frac{3x-4}{(x-1)(x-2)} = \frac{3x-6}{(x-1)(x-2)}$。
由于等号两边的分式相等,所以分子相等,即$3x-4=3x-6$。
然而,这个方程没有解,因为等号两边的式子相等,无法将方程化简成一个恒等式。
分式方程典型易错点及典型例题分析一、错用分式的基本性质例1 化简错解:原式分析:分式的基本性质是“分式的分子与分母都乘以(或除以)同一个不等于零的整式,分式的值不变”,而此题分子乘以3,分母乘以2,违反了分式的基本性质.正解:原式二、错在颠倒运算顺序例2 计算错解:原式分析:乘除是同一级运算,除在前应先做除,上述错解颠倒了运算顺序,致使结果出现错误.正解:原式三、错在约分例1 当为何值时,分式有意义[错解]原式.由得.∴时,分式有意义.[解析]上述解法错在约分这一步,由于约去了分子、分母的公因式,扩大了未知数的取值范围,而导致错误.[正解]由得且.∴当且,分式有意义.四、错在以偏概全例2 为何值时,分式有意义[错解]当,得.∴当,原分式有意义.[解析]上述解法中只考虑的分母,没有注意整个分母,犯了以偏概全的错误.[正解] ,得,由,得.∴当且时,原分式有意义.五、错在计算去分母例3 计算.[错解]原式=.[解析]上述解法把分式通分与解方程混淆了,分式计算是等值代换,不能去分母,.[正解]原式.六、错在只考虑分子没有顾及分母例4 当为何值时,分式的值为零.[错解]由,得.∴当或时,原分式的值为零.[解析]当时,分式的分母,分式无意义,谈不上有值存在,出错的原因是忽视了分母不能为零的条件.[正解]由由,得.由,得且.∴当时,原分式的值为零.典例分析类型一:分式及其基本性质1.当x为任意实数时,下列分式一定有意义的是()A. B.C.D.2.若分式的值等于零,则x =_______;3.求分式的最简公分母。
【变式1】(1)已知分式的值是零,那么x的值是()A.-1B.0C.1 D.±1(2)当x________时,分式没有意义.【变式2】下列各式从左到右的变形正确的是()A.B.C.D.(一) 通分约分4.化简分式:【变式1】顺次相加法计算:【变式2】整体通分法计算:(二)裂项或拆项或分组运算5.巧用裂项法计算:【变式1】分组通分法计算:【变式2】巧用拆项法计算:类型三:条件分式求值的常用技巧6.参数法已知,求的值.【变式1】整体代入法已知,求的值.【变式2】倒数法:在求代数式的值时,有时出现条件或所求分式不易变形,但当分式的分子、分母颠倒后,变形就非常的容易,这样的问题适合通常采用倒数法.已知:,求的值.【变式3】主元法:当已知条件为两个三元一次方程,而所求的分式的分子与分母是齐次式时,通常我们把三元看作两元,即把其中一元看作已知数来表示其它两元,代入分式求出分式的值.已知:,求的值.解分式方程的基本思想是去分母,课本介绍了在方程两边同乘以最简公分母的去分母的方法,现再介绍几种灵活去分母的技巧.(一)与异分母相关的分式方程7.解方程=【变式1】换元法 解方程:32121---=-xxx (二)与同分母相关的分式方程 8.解方程3323-+=-x x x 【变式1】解方程87178=----xx x 【变式2】解方程125552=-+-xx x9.甲、乙两个小商贩每次都去同一批发商场买进白糖.甲进货的策略是:每次买1000元钱的糖;乙进货的策略是每次买1000斤糖,最近他俩同去买进了两次价格不同的糖,问两人中谁的平均价格低一些?【变式1】 甲开汽车,乙骑自行车,从相距180千米的A 地同时出发到B .若汽车的速度是自行车的速度的2倍,汽车比自行车早到2小时,那么汽车及自行车的速度各是多少【变式2】 A 、B 两地路程为150千米,甲、乙两车分别从A 、B 两地同时出发,相向而行,2小时后相遇,相遇后,各以原来的速度继续行驶,甲车到达B 后,立即沿原路返回,返回时的速度是原来速度的2倍,结果甲、乙两车同时到达A 地,求甲车原来的速度和乙车的速度.【主要公式】1.同分母加减法则:()0b c b ca aaa±±=≠ 2.异分母加减法则:()0,0b d bc da bc da a c ac ac ac ac ±±=±=≠≠; 3.分式的乘法与除法:b d bd a c ac •=,b c b d bda d a c ac÷=•= 4.同底数幂的加减运算法则:实际是合并同类项 5.同底数幂的乘法与除法;a m ● a n =a m+n ; a m ÷ a n =a m -n6.积的乘方与幂的乘方:(ab)m= a m b n , (a m)n= a mn7.负指数幂: a-p=1a0=1pa8.乘法公式与因式分解:平方差与完全平方式(a+b)(a-b)= a2- b2 ;(a±b)2= a2±2ab+b2。
分式部分典型例题分析1. 已知实数a 满足a 2+4a -8=0,求1a +1-a +3a 2-1·a 2-2a +1a 2+6a +9的值.分析:先化简,原式=4a 2+4a+3,从已知条件可知a 2+4a=8,∴原式=48+3=411注:不需要解出a 的值,要有整体的思想,把a 2+4a 看做一个整体,整体带入即可。
类型题1:已知a 2-3a +1=0,则分式a 2a 4+1的值是( )。
此题需要把a 4+1看做一个整体,所以根据已知条件凑出a 4+1这个整体来,其过程是把已知条件变形为a 2+1=-3a ,再两边同时平方得,a 4+2a 2+1=9a 2,即a 4+1=7a 2,这样即可得到答案(1/7)。
类型题2:已知x −1x =3,求4−x 22+3x 2的值待求表达式中出现了x 的平方,而已知条件中没有x 的平方,∴把已知条件的左右两边同时乘以x(∵x ≠0),整理得x 2-3x=1,4−x 22+3x 2=4−12(x 2−3x).同样把(x 2-3x )看做整体。
2. 已知2x -3y +z =0,3x -2y -6z =0,且z≠0,求x 2+y 2+z22x 2+y 2-z2的值分析:两个方程是无法解出三个未知数的,∴只能考虑消元带入。
观察已知两个方程的特点,可以考虑把它们相加,因为它们相加后的系数都为5.这样相加后得到x=y+z ①,再把①带入已知条件的任意一个方程可得到y=3z ②,把②带入①得到x=4z ③,最后再把②③带入待求的表达式即可算出结果(13/20)。
注:这里我们把x 和y 都用z 来表示,这样待求的表达式中就只含有未知数z 了,但是分子分母的每一个项都是含有z 2,所以可以约分。
类型题1:已知1a +1b =4,则4a +3ab +4b-3a +2ab -3b =________。
同样一个方程也无法解出两个未知数a,b 来,只能考虑带入。
观察待求表达式可变形为3ab+4(a+b)2ab−3(a+b)①,所以如果能把a+b 用ab 的乘积来表示,则问题就解决了。
初二数学上册:分式运算6大技巧+例题
分式运算的一般方法就是按分式运算法则和运算顺序进行运算。
但对某些较复杂的题目,使用一般方法有时计算量太大,导致出错,有时甚至算不出来,下面列举几例介绍分式运算的几点技巧。
一、分段分步法
例1、计算:
分析:若一次通分,计算量太大,注意到相邻分母之间,依次通分构成平方差公式,采用分段分步法,则可使问题简单化。
解:原式
二、分裂整数法
例2、计算:
分析:当算式中各分式的分子次数与分母次数相同次数时,一般要先利用分裂整数法对分子降次后再通分;在解某些分式方程中,也可使用分裂整数法。
解:原式
三、拆项法
例3、计算:
分析:对形如上面的算式,分母要先因式分解,再逆用公式
,各个分式拆项,正负抵消一部分,再通分。
在解某些分式方程中,也可使用拆项法。
解:原式
四、活用乘法公式
例4、计算:
分析:在本题中,原式乘以同一代数式,之后再除以同一代数式还原,就可连续使用平方差公式,分式运算中若恰当使用乘法公式,可使计算简便。
解:当且时,
原式
五、巧选运算顺序
例5、计算:
分析:此题若按两数和(差)的平方公式展开前后两个括号,计算将很麻烦,一般两个分式的和(差)的平方或立方不能按公式展开,只能先算括号内的。
解:原式
六、见繁化简
例6、计算:
分析:若运算中的分式不是最简分式,可先约分,再选用适当方法通分,可使运算简便。
解:原式。
分式方程应用例题分析一.解答题(共30小题)1.市政府计划对城区道路进行改造,现安排甲、乙两个工程队共同完成.已知甲队的工作效率是乙队工作效率的1.5倍,甲队改造240米的道路比乙队改造同样长的道路少用2天.(1)甲、乙两个工程队每天能改造道路的长度分别是多少米?(2)若甲队工作一天的改造费用为7万元,乙队工作一天的改造费用为5万元,如需改造的道路全长为1800米,改造总费用不超过220万元,至少安排甲队工作多少天?2.某地下管道,若由甲队单独铺设,恰好在规定时间内完成;若由乙队单独铺设,需要超过规定时间15天才能完成,如果先由甲、乙两队合做10天,再由乙队单独铺设正好按时完成.(1)这项工程的规定时间是多少天?(2)已知甲队每天的施工费用为5000元,乙队每天的施工费用为3000元,为了缩短工期以减少对居民交通的影响,工程指挥部最终决定该工程由甲、乙队合做来完成,那么该工程施工费用是多少?3.某一工程,在工程招标时,接到甲、乙两个工程队的投标书.施工一天,需付甲工程队工程款1.2万元,乙工程队工程款0.5万元.工程领导小组根据甲,乙两队的投标书测算,有如下方案:(1)甲队单独完成这项工程刚好如期完成;(2)乙队单独完成这项工程要比规定日期多用6天;(3)若甲,乙两队合做3天,余下的工程由乙队单独做也正好如期完成.试问:在不耽误工期的前提下,你觉得哪一种施工方案最节省工程款?请说明理由.4.某地在进入防汛期间,准备对4800米长的河堤进行加固,在加固工程中,该地驻军出色地完成了任务,它们在加固600米后,采用了新的加固模式,每天加固的长度是原来的2倍,结果只用9天就完成了加固任务.(1)求该地驻军原来每天加固大坝的米数;(2)由于汛情严重,该驻军部队又接到了加固一段长4200米大坝的任务,他们以上述新的加固模式进行了2天后,接到命令,必须在4天内完成剩余任务,求该驻军每天至少还要再多加固多少米?5.武汉某道路改造工程,若由甲、乙两工程队合作20天可完成;若甲工程队先单独施工40天,再由乙工程队单独施工10天也可完成.(1)求甲、乙两工程队单独完成此项工程各需要多少天?(2)如果甲工程队施工每天需付施工费1万元,乙工程队施工每天需付施工费2.5万元,并且要求整个工期不能超过30天,问如何安排甲、乙工程队做这项工程使得花费最少?6.已知某项工程由甲、乙两队合做12天可以完成,共需工程费用27720元.乙队单独完成这项工程所需时间是甲队单独完成这项工程所需时间的1.5倍,且甲队每天的工程费用比乙队多250元.(1)求甲、乙两队单独完成这项工程各需多少天?(2)若工程管理部门决定从这两个队中选一个队单独完成此项工程,从节约资金的角度考虑,应选择哪个工程队?请说明理由.7.雅安地震,某地驻军对道路进行清理.该地驻军在清理道路的工程中出色完成了任务.这是记者与驻军工程指挥部的一段对话:记者:你们是用9天完成4800米长的道路清理任务的?指挥部:我们清理600米后,采用新的清理方式,这样每天清理长度是原来的2倍.通过这段对话,请你求出该地驻军原来每天清理道路的米数.8.某校为美化校园,计划对某一区域进行绿化,安排甲、乙两个工程队完成.已知甲队每天能完成绿化的面积是乙队每天能完成绿化的面积的2倍,并且在独立完成面积为400m2区域的绿化时,甲队比乙队少用4天,求甲、乙两工程队每天能完成绿化的面积分别是多少m2?9.某市政工程队承担着1200米长的道路维修任务.为了减少对交通的影响,在维修了240米后通过增加人数和设备提高了工程进度,工作效率是原来的4倍,结果共用了6小时就完成了任务.求原来每小时维修多少米?10.A、B两地相距18千米,甲工程队要在A、B两地间铺设一条送天然气管道,乙工程队要在A、B两地间铺设一条输油管道.已知乙工程队的工作效率是甲队的1.5倍,甲队提前3周开工,结果两队同时完成任务,求甲、乙两队每周各铺设多少千米管道?11.仙桃是遂宁市某地的特色时令水果.仙桃一上市,水果店的老板用2400元购进一批仙桃,很快售完;老板又用3700元购进第二批仙桃,所购件数是第一批的倍,但进价比第一批每件多了5元.(1)第一批仙桃每件进价是多少元?(2)老板以每件225元的价格销售第二批仙桃,售出80%后,为了尽快售完,剩下的决定打折促销.要使得第二批仙桃的销售利润不少于440元,剩余的仙桃每件售价至少打几折?(利润=售价﹣进价)12.老张用400元购买了若干只种兔,老李用440元也购买了相同只数的种兔,但单价比老张购买的种兔的单价贵5元.(1)老张与老李购买的种兔共有多少只?(2)一年后,老张养兔数比买入种兔数增加了2只,老李养兔数比买入种兔数的2倍少1只,两人将兔子全部售出,则售价至少为多少元时,两人所获得的总利润不低于960元?13.某体育用品商场预测某品牌运动服能够畅销,用32000元购进了一批这种运动服,上市后很快脱销,商场又用68000元购进第二批这种运动服,所购数量是第一批购进数量的2倍,但每套进价多了10元.(1)该商场第一次购进这种运动服多少套?(2)如果这两批运动服每套的售价相同,且全部售完后总利润率不低于20%,那么每套售价至少是多少元?(利润率=×100%.14.“军运会”期间,某纪念品店老板用5000元购进一批纪念品,由于深受顾客喜爱,很快售完,老板又用6000元购进同样数目的这种纪念品,但第二次每个进价比第一次每个进价多了2元.(1)求该纪念品第一次每个进价是多少元?(2)老板以每个15元的价格销售该纪念品,当第二次纪念品售出时,出现了滞销,于是决定降价促销,若要使第二次的销售利润不低于900元,剩余的纪念品每个售价至少要多少元?15.某水果店2400元购进一批葡萄,很快售完;又用5000元购进第二批葡萄,所购件数是第一批的2倍,但进价比第一批每件多了5元.(1)求第一批葡萄每件进价多少元?(2)若以每件150元的价格销售第二批葡萄,售出80%后,为了尽快售完,决定打折促销,要使第二批葡萄的销售利润不少于640元,剩余的葡萄每件售价至少打几折(利润=售价﹣进价)?16.随着人们“节能环保,绿色出行”意识的增强,越来越多的人喜欢骑自行车出行,同时也给自行车商家带来商机.某自行车行销售A型,B型两种自行车,经统计,2019年此车行销售这两种自行车情况如下:A自行车销售总额为8万元.每辆B型自行车的售价比每辆A型自行车的售价少200元,B型自行车销售数量是A自行车的1.25倍,B自行车销售总额比A型自行车销售总额多12.5%.(1)求每辆B型自行车的售价多少元.(2)若每辆A型自行车进价1400元,每辆B型自行车进价1300元,求此自行车行2019年销售A,B型自行车的总利润.17.春节前夕,某超市用6000元购进了一批箱装饮料,上市后很快售完,接着又用8800元购进第二批这种箱装饮料.已知第二批所购箱装饮料的进价比第一批每箱多20元,且数量是第一批箱数的倍.(1)求第一批箱装饮料每箱的进价是多少元;(2)若两批箱装饮料按相同的标价出售,为加快销售,商家决定最后的10箱饮料按八折出售,如果两批箱装饮料全部售完利润率不低于36%(不考虑其他因素),那么每箱饮料的标价至少多少元?18.某商店用1000元人民币购进水果销售,过了一段时间又用2800元购进这种水果,所购数量是第一次购进数量的2倍,但每千克的价格比第一次购进的贵了2元.(1)求该商店第一次购进水果多少千克?(2)该商店两次购进的水果按照相同的标价销售一段时间后,将最后剩下的100千克按照标价的半价出售.售完全部水果后,利润不低于1700元,则最初每千克水果的标价至少是多少?19.某服装店老板到厂家选购A、B两种品牌的羽绒服,B品牌羽绒服每件进价比A品牌羽绒服每件进价多200元,若用10000元购进A种羽绒服的数量是用7000元购进B种羽绒服数量的2倍.(1)求A、B两种品牌羽绒服每件进价分别为多少元?(2)若A品牌羽绒服每件售价为800元,B品牌羽绒服每件售价为1200元,服装店老板决定一次性购进A、B两种品牌羽绒服共80件,在这批羽绒服全部出售后所获利润不低于30000元,则最少购进B品牌羽绒服多少件?20.某商场第一次用22000元购进某款智能清洁机器人进行销售,很快销售一空,商家又用48000元第二次购进同款智能清洁机器人,所购进数量是第一次的2倍,但单价贵了10元.(1)求该商家第一次购进智能清洁机器人多少台?(2)若所有智能清洁机器人都按相同的标价销售,要求全部销售完毕的利润率不低于20%(不考虑其它因素),那么每台智能清洁机器人的标价至少是多少元?21.张康和李健两名运动爱好者周末相约到丹江环库绿道进行跑步锻炼.(1)周日早上6点,张康和李健同时从家出发,分别骑自行车和步行到离家距离分别为6千米和1.6千米的绿道环库路入口汇合,结果同时到达,且张康每分钟比李健每分钟多行220米,求张康和李健的速度分别是多少米/分?(2)两人到达绿道后约定先跑6千米再休息,李健的跑步速度是张康跑步速度的a倍,两人在同起点,同时出发,结果李健先到目的地b分钟.①当a=1.2,b=6时,求李健跑了多少分钟?②求张康的跑步速度多少米/分?(直接用含a,b的式子表示)22.小明和小强两名运动爱好者周末相约到滨江大道进行跑步锻炼.(1)周六早上6点,小明和小强同时从家出发,分别骑自行车和步行到离家距离分别为4500米和1200米的滨江大道入口汇合,结果同时到达.若小明每分钟比小强多行220米,求小明和小强的速度分别是多少米/分?(2)两人到达滨江大道后约定先跑1000米再休息.小强的跑步速度是小明跑步速度的m倍,两人在同起点,同时出发,结果小强先到目的地n分钟.①当m=3,n=6时,求小强跑了多少分钟?②小明的跑步速度为米/分(直接用含m,n的式子表示).23.为了全面推进青少年素质教育,我市某中学组织八年级学生前往距学校10km的“示范性综合实践基地”开展社会实践活动.一部分学生骑自行车先走,过了20min后,其余学生乘汽车出发,结果他们同时到达.已知汽车的速度是骑车学生速度的2倍,求骑车学生的速度.24.近年来骑自行车运动成为时尚,甲、乙两人相约由A地出发骑自行车去B景区游玩(匀速骑行),已知甲骑行180千米与乙骑行200千米所用的时间相同,且乙每小时比甲每小时多骑行5千米.(1)求甲、乙两人的速度各是多少;(2)如果A地到B景区的路程为180千米,甲、乙两人到达B景区游玩一段时间后,甲按原速返回A地,同时乙按原速骑行1.5小时后,因体力消耗,每小时骑行速度减少m 千米,如果甲回到A地时,乙距离A地不超过25千米,求乙的速度每小时最多减少多少千米.25.某周日,珂铭和小雪从新天地小区门口同时出发,沿同一条路线去离该小区1800米的少年宫参加活动,为响应节能环保,绿色出行的号召,两人步行,已知珂铭的速度是小雪的速度的1.2倍,结果珂铭比小雪早6分钟到达.(1)求小雪的速度;(2)活动结束后返回,珂铭与小雪的速度均与原来相同,若小雪计划比珂铭至少提前6分钟回到小区,则小雪至少要比珂铭提前多长时间出发?26.甲、乙两地相距120千米,一辆大巴车从甲地出发,行驶1小时后,一辆小汽车从甲地出发,小汽车和大巴车同时到达到乙地,已知小汽车的速度是大巴车的2倍,求大巴车和小汽车的速度.27.用分式方程解决问题:元旦假期有两个小组去攀登一座高h米的山,第二组的攀登速度是第一组的a倍.(1)若h=450,a=1.2,两小组同时开始攀登,结果第二组比第一组早15min到达顶峰求两个小组的攀登速度.(2)若第二组比第一组晚出发30min,结果两组同时到达顶峰,求第二组的攀登速度比第一组快多少?(用含a,h的代数式表示)28.八年级为筹备红色研学旅行活动,王老师开车前往距学校180km的研学训练营地考察,出发后第一小时内按原计划的速度匀速行驶,一小时后以原来速度的1.5倍匀速行驶,并比原计划提前了40min到达研学训练营地.求王老师前一小时行驶速度.29.某次列车现阶段的平均速度是200千米/小时,未来还将提速,在相同的时间内,列车现阶段行驶a千米,提速后列车比现阶段多行驶150千米.(1)求列车平均提速多少千米/小时?(2)若提速后列车的平均速度是300千米/小时,则题中的a为多少千米?30.某车间接到一批限期(可以提前)完成的零件加工任务.如果每天加工150个,则恰好按期完成;如果每天加工200个,则可比原计划提前5天完成.(1)求这批零件的个数;(2)车间按每天加工200个零件的速度加工了m个零件后,提高了加工速度,每天加工250个零件,结果比原计划提前6天完成了生产任务,求m的值.分式方程应用例题分析参考答案与试题解析一.解答题(共30小题)1.【解答】解:(1)设乙工程队每天能改造道路的长度为x米,则甲工程队每天能改造道路的长度为1.5x米,根据题意得:﹣=2,解得:x=40,经检验,x=40是所列分式方程的解,且符合题意,∴1.5x=60.答:甲工程队每天能改造道路的长度为60米,乙工程队每天能改造道路的长度为40米.(2)设安排甲队工作m天,则安排乙队工作天,根据题意得:7m+5×≤220,解得:m≥10.答:至少安排甲队工作10天.2.【解答】解:(1)设这项工程的规定时间是x天,根据题意得:(+)×10+=1.解得:x=30.经检验x=30是原分式方程的解.答:这项工程的规定时间是30天.(2)该工程由甲、乙队合做完成,所需时间为:1÷(+)=18(天),则该工程施工费用是:18×(5000+3000)=144000(元),答:该工程的费用为144000元.3.【解答】解:设规定日期为x天.由题意得+=1,3(x+6)+x2=x(x+6),3x=18,解之得:x=6.经检验:x=6是原方程的根.方案(1):1.2×6=7.2(万元);方案(2)比规定日期多用6天,显然不符合要求;方案(3):1.2×3+0.5×6=6.6(万元).∵7.2>6.6,∴在不耽误工期的前提下,选第三种施工方案最节省工程款.4.【解答】解:(1)设原来每天加固x米,解得:x=300,经检验x=300是原方程的解,答:原来每天加固300米;(2)设每天还要再多加固a米,4(600+a)+2×600≥4200,解得:a≥150,答:至少比之前多加固150米.5.【解答】解:(1)设甲工程队单独完成此项工程需要x天,则乙工程队单独完成此项工程需要天,根据题意得:+=1,解得:x=60,经检验,x=60是原方程的解,∴=30.答:甲工程队单独完成此项工程需要60天,乙工程队单独完成此项工程需要30天.(2)设甲工程队施工m天,则乙工程队施工(30﹣0.5m)天,∵整个工期不能超过30天,∴m≤30.设甲、乙工程队完成这项工程需付施工费w万元,根据题意得:w=m+2.5×(30﹣0.5m)=﹣0.25m+75,∴w随m的增大而减小,∴当m=30时,w取最小值,最小值=﹣0.25×30+75=67.5,此时30﹣0.5m=30﹣0.5×30=15.答:安排甲、乙工程队同时施工,甲工程队施工30天、乙工程队施工15天,施工费最低,最低施工费为67.5万元.6.【解答】解:(1)设甲需要x天,则乙需要1.5x天,根据题意可得:,解得:x=20,经检验x=20是原分式方程的解,则1.5x=30,答:甲单独完成这项工程需20天,乙队单独完成这项工程各需30天;(2)设甲每天的费用是y元;乙每天的费用是(y﹣250)元根据题意可得:12y+12(y﹣250)=27720解得:y=1280元.1280﹣250=1030元甲单独完成共需要费用:1280×20=25600元乙单独完成共需要费用:1030×30=30900元.因此甲单独完成需要的费用低.选甲工程队单独完成.7.【解答】解:设原来每天清理道路x米,,解得,x=300检验:当x=300时,2x≠0,∴x=300是原方程的解,答:该地驻军原来每天清理道路300米.8.【解答】解:(1)设乙工程队每天能完成绿化的面积是x(m2),根据题意得﹣=4解得:x=50经检验:x=50是原方程的解所以甲工程队每天能完成绿化的面积是50×2=100(m2)答:甲、乙两工程队每天能完成绿化的面积分别是100m2、50m2.9.【解答】解:设原来每小时维修x米.根据题意得+=6,解得x=80,经检验,x=80是原方程的解,且符合题意.答:原来每小时维修80米.10.【解答】解:设甲工程队每周铺设管道x千米,则乙工程队每周铺设管道1.5x千米,根据题意得:﹣=3,解得:x=2,经检验x=2是原方程的解,则乙工程队每周铺设管道1.5×2=3千米管道,答:甲工程队每周铺设管道2千米,则乙工程队每周铺设管道3千米.11.【解答】解:(1)设第一批仙桃每件进价x元,则,解得x=180.经检验,x=180是原方程的根.答:第一批仙桃每件进价为180元;(2)设剩余的仙桃每件售价打y折.可得×0.1y﹣3700≥440,解得y≥6.答:剩余的仙桃每件售价至少打6折.12.【解答】解:(1)设老张买的种兔共有x只,∴=﹣5,解得:x=8,经检验,x=8是原分式方程的解,∴8+8=16,答:老张与老李购买的种兔共有16只.(2)设售价为a元,由题意可知:(8+2)a+(8×2﹣1)a﹣400﹣400≥960,解得:a≥72,答:售价至少为72元时,两人所获得的总利润不低于960元13.【解答】解:(1)设该商场第一次购进这种运动服x套,第二次购进2x套,由题意得,﹣=10,解得:x=200,经检验:x=200是原分式方程的解,且符合题意,答:该商场第一次购进200套;(2)设每套售价是y元,两批运动服总数:200+400=600由题意得:600y﹣32000﹣68000≥(32000+68000)×20%,解得:y≥200,答:每套售价至少是200元.14.【解答】解:(1)设该纪念品第一次每个进价是x元,∴第二次每个进价是(x+2)元,∴根据题意可知:=,解得:x=10,经检验,x=10是方程的解,答:该纪念品第一次进价为10元.(2)设剩余的纪念品每个售价要y元,×500×(y﹣12)+×500×(15﹣12)≥900,解得:y≥12,答:剩余的纪念品每个售价至少12元.15.【解答】解:(1)设第一批葡萄每件进价x元,根据题意,得:×2=,解得x=120.经检验,x=120是原方程的解且符合题意.答:第一批葡萄每件进价为120元.(2)设剩余的葡萄每件售价打y折.根据题意,得:×150×80%+×150×(1﹣80%)×0.1y﹣5000≥640,解得:y≥7.答:剩余的葡萄每件售价最少打7折.16.【解答】解:(1)设每辆B型自行车的售价为x元,则每辆A型自行车的售价为(x+200)元.依题意,得方程两边乘x(x+200),得80000×1.25x=80000×(1+12.5%)(x+200)解得x=1800经检验,x=1800是原分式方程的解,且符合实际意义.答:每辆B型自行车的售价为1800元.(2)每辆A型自行车的售价为1800+200=2000元,销售数量为80000÷2000=40辆;B型自行车的总销售额为80000×(1+12.5%)=90000元,销售数量为40×1.25=50辆.总利润为(80000+90000)﹣(1400×40+1300×50)=49000元.答:此自行车行2019年销售A,B型自行车的总利润为.49000元17.【解答】解:(1)该第一批箱装饮料每箱的进价是x元,则第二批购进(x+20)元,根据题意,得解得:x=200(2)设每箱饮料的标价为y元,根据题意,得(30+40﹣10)y+0.8×10y≥(1+36%)(6000+8800)解得:y≥296答:至少标价296元.18.【解答】解:(1)设第一次购进水果x千克,依题意可列方程:.解得x=200.经检验:x=200是原方程的解.答:第一次购进水果200千克;(2)由(1)可知,二次共购进水果600千克,设最初水果标价为y元,依题意可列不等式:500y+100×﹣3800≥1700.解得y≥10.答:最初每千克水果标价至少为10元.19.【解答】解:(1)设A种羽绒服每件的进价为x元,根据题意的解得x=500经检验x=500是原方程的解x+200=700(元)答:A种羽绒服每件的进价为500元,B种羽绒服每件的进价为700元.(2)设购进B品牌的羽绒服m件,根据题意的(800﹣500)(80﹣m)+(1200﹣700)m≥30000解得m≥30∵m为整数∴m的最小值为30.答:最少购进B品牌的羽绒服30件.20.【解答】解:(1)设该商家第一次购进智能清洁机器人x台,则第二次购进智能清洁机器人2x台,依题意,得:﹣=10,解得:x=200,经检验,x=200是原方程的解,且符合题意.答:该商家第一次购进智能清洁机器人200台.(2)设每台智能清洁机器人的标价为y元,依题意,得:(200+200×2)y﹣(22000+48000)≥(22000+48000)×20%,解得:y≥140.答:每台智能清洁机器人的标价至少为140元.21.【解答】解:(1)设李健的速度为x米/分,则张康的速度为(x+220)米/分,根据题意,得:,解得:x=80,经检验,x=80是原方程的根,且符合题意,∴x+220=300.答:李健的速度为80米/分,张康的速度为300米/分.(2)①∵a=1.2,b=6,∴6÷(1.2﹣1)=30(分钟).答:李健跑了30分钟;②李健跑了的时间为分钟,张康跑了的时间为分钟,张康的跑步速度为米/分.22.【解答】解:(1)设小强的速度为x米/分,则小明的速度为(x+220)米/分,根据题意得:.解得:x=80.经检验,x=80是原方程的根,且符合题意.∴x+220=300.答:小强的速度为80米/分,小明的速度为300米/分.(2)①设小明的速度为y米/分,∵m=3,n=6,∴,解之得.∴小强跑的时间为:(分)②小强跑的时间:分钟,小明跑的时间:分钟,小明的跑步速度为:分.故答案为:.23.【解答】解:设骑车学生的速度为xkm/h,则汽车的速度为2xkm/h,依题意,得:﹣=,解得:x=15,经检验,x=15是原分式方程的解,且符合题意.答:骑车学生的速度是15km/h.24.【解答】解:(1)设甲的速度为x千米/时,则乙的速度为(x+5)千米/时,依题意,得:=,解得:x=45,经检验,x=45是原方程的解,且符合题意,∴x+5=50.答:甲的速度为45千米/时,乙的速度为50千米/时.(2)依题意,得:180﹣50×1.5﹣(180÷45﹣1.5)(50﹣m)≤25,解得:m≤18.答:乙的速度每小时最多减少18千米.25.【解答】解:设小雪的速度是x米/分钟,则珂铭速度是 1.2x米/分钟,依题意得:,解得:x=50,经检验x=50是原方程的解,答:小雪的速度是50米/分钟.(2)1.2×50=60(米/分钟),1800÷50=36(分钟),1800÷60=30(分钟),设小雪比珂铭提前a分钟出发,根据题意得,a+30﹣36≥6,解得a≥12,答:小雪至少要比珂铭提前出发12分钟.26.【解答】解:设大巴车速度为x千米/小时,则小汽车的速度为2x千米/小时.依题意,得﹣1=,解得:x=60,经检验,x=60是原分式方程的解,且符合题意,∴2x=120.答:大巴车速度为60千米/小时,小轿车的速度为120千米/小时.27.【解答】解:(1)设第一组的速度为xm/min,则第二组的速度为1.2xm/min,由题意得,﹣=15,解得:x=5,经检验:x=5是原分式方程的解,且符合题意,则1.2x=6.答:第一组的攀登速度5m/min,第二组的攀登速度6m/min;(2)设第一组的平均速度为ym/min,则第二组的平均速度为aym/min,由题意得,﹣=30,解得:y=,经检验:y=是原分式方程的解,且符合题意,则ay﹣y=﹣=,答:第二组的平均攀登速度比第一组快m/min.28.【解答】解:设王老师前一小时行驶速度为xkm/h,则一小时后的行驶速度为1.5xkm/h,依题意,得:﹣(1+)=,解得:x=60,经检验,x=60是原方程的解,且符合题意.答:王老师前一小时行驶速度为60km/h.29.【解答】解:(1)设列车平均提速x千米/小时,依题意,得:=,解得:x=,经检验,x=是原方程的解,且符合题意.答:列车平均提速千米/小时.(2)依题意,得:200+=300,解得:a=300,经检验,a=300是原方程的解,且符合题意.答:题中的a为300千米.30.【解答】解:(1)设这批零件有x个,则由题意得:﹣=5,解得:x=3000,答:设这批零件有3000个.(2)由题意得:,解得:m=2000答:m的值是2000.。
分式方程1.分式方程的概念分母中含有未知数的方程叫做分式方程.注意:“分母中含有未知数”是分式方程与整式方程的根本区别,也是判定一个方程为分式方程的依据.2.分式方程的解法(1)解分式方程的基本思路是将分式方程化为整式方程,具体做法是去分母,即方程两边同乘以各分式的最简公分母.(2)解分式方程的步骤:①找最简公分母,当分母是多项式时,先分解因式;②去分母,方程两边都乘最简公分母,约去分母,化为整式方程;③解整式方程;④验根.注意:解分式方程过程中,易错点有:①去分母时要把方程两边的式子作为一个整体,记得不要漏乘整式项;②忘记验根,最后的结果还要代回方程的最简公分母中,只有最简公分母不是零的解才是原方程的解.3.增根在方程变形时,有时可能产生不适合原方程的根,这种根叫做方程的增根.由于可能产生增根,所以解分式方程要验根,其方法是将根代入最简公分母中,使最简公分母为零的根是增根,否则是原方程的根.注意:增根虽然不是方程的根,但它是分式方程去分母后变形而成的整式方程的根.若这个整式方程本身无解,当然原分式方程就一定无解.4.分式方程的应用(1)分式方程的应用主要涉及工程问题,有工作量问题、行程问题等.每个问题中涉及到三个量的关系,如:工作时间=工作量工作效率,时间=路程速度等.(2)列分式方程解应用题的一般步骤:①设未知数;②找等量关系;③列分式方程;④解分式方程;⑤检验(一验分式方程,二验实际问题);⑥答.经典例题解分式方程1.解方程:2211xx x+=--;【答案】x=0;【分析】分式方程去分母转化为整式方程,求出整式方程的解得到x 的值,经检验即可得到分式方程的解;【解析】解:(1)2211x x x+=-- 去分母得:x 2=2x 2-- 解得x=0, 经检验x=0是分式方程的解;【点睛】本题考查了解分式方程与解不等式组,解分式方程的基本思想是“转化思想”,把分式方程转化为整式方程求解.解一元一次不等式组要注意不等号的变化.2.代数式31x -与代数式23x -的值相等,则x =_____. 【答案】7【分析】根据题意列出分式方程,去分母,解整式方程,再检验即可得到答案.【解析】解:根据题意得:3213x x =--,去分母得:3x ﹣9=2x ﹣2,解得:x =7, 经检验x =7是分式方程的解.故答案为:7.【点睛】本题考查的是解分式方程,掌握分式方程的解法是解题的关键.1.分式22x x -与282x x -的最简公分母是_______,方程228122-=--x x x x的解是____________. 【答案】()2x x - x=-4【分析】根据最简公分母的定义得出结果,再解分式方程,检验,得解.【解析】解:∵()222x x x x -=-,∴分式22x x -与282x x -的最简公分母是()2x x -, 方程228122-=--x x x x,去分母得:()2282x x x -=-,去括号得:22282x x x -=-, 移项合并得:2280x x +-=,变形得:()()240x x -+=,解得:x=2或-4,∵当x=2时,()2x x -=0,当x=-4时,()2x x -≠0,∴x=2是增根,∴方程的解为:x=-4.【点睛】本题考查了最简公分母和解分式方程,解题的关键是掌握分式方程的解法.2. 解方程:24111x x x =+-- 【答案】x=3.【分析】观察可得方程最简公分母为(x 2-1),去分母,转化为整式方程求解,结果要检验.【解析】解:24111x x x =+--去分母得,2(1)41x x x +=+- 解得,x=3, 经检验,x=3是原方程的根,所以,原方程的根为:x=3.【点睛】(1)解分式方程的基本思想是“转化思想”,把分式方程转化为整式方程求解;(2)解分式方程一定注意要检验.经典例题 分式方程的解1.关于x 的分式方程2m x -﹣32x -=1有增根,则m 的值( ) A .m =2B .m =1C .m =3D .m =﹣3 【答案】D【分析】分式方程去分母转化为整式方程,由分式方程有增根,确定出m 的值即可.【解析】解:去分母得:m +3=x ﹣2,由分式方程有增根,得到x ﹣2=0,即x =2,把x =2代入整式方程得:m +3=0,解得:m =﹣3,故选:D .【点睛】此题考查了分式方程的增根,增根确定后可按如下步骤进行:①化分式方程为整式方程;②把增根代入整式方程即可求得相关字母的值.2.若关于x 的方程2134416x m m x x ++=-+-无解,则m 的值为__. 【答案】-1或5或13-【分析】直接解方程再利用一元一次方程无解和分式方程无解分别分析得出答案.【解析】去分母得:()443x m x m ++-=+,可得:()151m x m +=-,当10m +=时,一元一次方程无解,此时1m =-,当10m +≠时,则5141m x m -==±+, 解得:5m =或13-.故答案为:1-或5或13-.【点睛】此题主要考查了分式方程的解,正确分类讨论是解题关键.1.若关于x 的分式方程33122x m x x +=+--有增根,则m =_________. 【答案】3. 【分析】先把分式方程去分母转化为整式方程,然后由分式方程有增根求出x 的值,代入到转化以后的整式方程中计算即可求出m 的值.【解析】解:去分母得:()332x m x =++-,整理得:21x m =+,∵关于x 的分式方程33122x m x x +=+--有增根,即20x -=,∴2x =, 把2x =代入到21x m =+中得:221m ⨯=+,解得:3m =,故答案为:3.【点睛】本题主要考查了利用增根求字母的值,增根就是使最简公分母为零的未知数的值;解决此类问题的步骤:①化分式方程为整式方程;②让最简公分母等于零求出增根的值;③把增根代入到整式方程中即可求得相关字母的值.2.若分式方程无解,则【答案】±1 【解析】去分母得:x-a=ax+a ,整理得:所以a-1=2a ,解得a=-1;②整式方程无解考点:分式方程的解.1.若关于x 的分式方程32x x -=2m -A .m <﹣10 B .m ≤﹣10 【答案】D【分析】分式方程去分母化为整式方程,【解析】解:去分母得35(x m =-+由方程的解为正数,得到100m +>,且则m 的范围为10m >-且6≠-m ,故选【点睛】本题主要考查了分式方程的计算程的分母不可为零是做对题目的关键.2.已知关于x 的分式方程1x k k x x +-=+【答案】12k >且1k ≠. 分析:分式方程去分母得:()(x k +【解析】∵分式方程解为负数,∴-+由211k -+≠±得0k ≠和1k ≠∴k 的取值考点:1.分式方程的解;2.分式有意义的条1.已知关于x 的分式方程21m x +-A .3B .4【答案】B 【分析】根据解分式方程,可得分式方程的【解析】解:去分母,得:m+2(x-1)=3,的值为 .:(1-a )x=2a ,由于分式方程无解,所以由两种情程无解,即1-a=0,解得a=1;综上a=±1.经典例题x+5的解为正数,则m 的取值范围为( ) C .m ≥﹣10且m ≠﹣6 D .m >﹣10且,表示出方程的解,由分式方程的解为正数求出2)x -,解得102m x +=, 且2x ≠,104m +≠,故选:D .计算,去分母化为整式方程,根据方程的解求出m11-的解为负数,则k 的取值范围是 . )()(211121211x k x x x k k --+=-⇒=-+-+≠±12102k k ⇒. 的取值范围是12k >且1k ≠. 义的条件;3.解不等式;4.分类思想的应用.31x =--的解为非负数,则正整数m 的所有个数为C .5 D .6 方程的解,根据分式方程的解为负数,可得不等式,移项、合并,解得:x=52m -, 两种情况:①分母为0,即x=-1,m ≠﹣6求出m 的范围即可.的范围,其中考虑到分式方).数为( ) 等式,解不等式,即可解题.∵分式方程的解为非负数,∴52m -≥0且52m -≠1,解得:m≤5且m≠3, ∵m 为正整数∴m=1,2,4,5,共4个,故选:B .【点睛】本题考查了分式方程的解,先求出分式方程的解,再求出符合条件的不等式的解.2.已知关于x 的分式方程433x k x x -=--的解为非正数,则k 的取值范围是( ) A .12k ≤-B .12k -≥C .12k >-D .12k <- 【答案】A【分析】表示出分式方程的解,由解为非正数得出关于k 的不等式,解出k 的范围即可.【解析】解:方程433x k x x-=--两边同时乘以(3)x -得:4(3)x x k --=-, ∴412x x k -+=-,∴312x k -=--,∴43k x =+, ∵解为非正数,∴403k +≤,∴12k ≤-,故选:A . 【点睛】本题考查了分式方程的解及解一元一次不等式,熟练掌握分式方程的解法和一元一次不等式的解法是解题的关键.经典例题1.已知关于x 的分式方程2322(2)(3)x k x x x +=+--+的解满足41x -<<-,且k 为整数,则符合条件的所有k 值的乘积为( )A .正数B .负数C .零D .无法确定 【答案】A【分析】先解出关于x 的分式方程得到x=63k -,代入41x -<<-求出k 的取值,即可得到k 的值,故可求解. 【解析】关于x 的分式方程2322(2)(3)x k x x x +=+--+得x=217k -, ∵41x -<<-∴21471k --<<-解得-7<k <14 ∴整数k 为-6,-5,-4,-3,-2,-1,0,1,2,3,4,5,6,7,8,9,10,11,12,13,又∵分式方程中x≠2且x≠-3∴k≠35且k≠0∴所有符合条件的k 中,含负整数6个,正整数13个,∴k 值的乘积为正数,故选A .【点睛】此题主要考查分式方程与不等式综合,解题的关键是熟知分式方程的求解方法.1.若关于x 的分式方程21m x x =-有正整数解,则整数m 的值是( ) A .3B .5C .3或5D .3或4 【答案】D 【分析】解带参数m 的分式方程,得到2122m x m m ==+--,即可求得整数m 的值. 【解析】解:21m x x=-,两边同时乘以()1x x -得:()21x m x =-, 去括号得:2x mx m =-,移项得:2x mx m -=-,合并同类项得:()2m x m -=-,系数化为1得:2122m x m m ==+--, 若m 为整数,且分式方程有正整数解,则3m =或4m =,当3m =时,3x =是原分式方程的解;当4m =时,2x =是原分式方程的解;故选:D .【点睛】本题考查分式方程的解,始终注意分式方程的分母不为0这个条件.经典例题 分式方程的应用1.八年级学生去距学校10千米的博物馆参观,一部分学生骑自行车先走,过了20分钟后,其余学生乘汽车出发,结果他们同时到达,已知汽车的速度是骑车学生速度的2倍.设骑车学生的速度为x 千米/小时,则所列方程正确的是( )A .10x -102x =20B .102x -10x =20C .10x -102x =13D .102x -10x =13【答案】C【分析】根据八年级学生去距学校10千米的博物馆参观,一部分学生骑自行车先走,过了20分钟后,其余学生乘汽车出发,结果他们同时到达,可以列出相应的方程,从而可以得到哪个选项是正确的.【解析】由题意可得,10x -102x =13,故选:C . 【点睛】此题考查由实际问题抽象出分式方程,解题的关键是明确题意,找出题目中的等量关系,列出相应的方程. 2.某体育用品商店出售毽球,有批发和零售两种售卖方式,小明打算为班级购买键球,如果给每个人买一个毽球,就只能按零售价付款,共需80元;如果小明多购买5个毽球,就可以享受批发价,总价是72元.已知按零售价购买40个毽球与按批发价购买50个毽球付款相同,则小明班级共有多少名学生?设班级共有x 名学生,依据题意列方程得( )A .807250405x x ⨯=⨯+ B .807240505x x ⨯=⨯+ C .728040505x x ⨯=⨯- D .728050405x x ⨯=⨯- 【答案】B 【分析】根据“按零售价购买40个毽球与按批发价购买50个毽球付款相同”建立等量关系,分别找到零售价与批发价即可列出方程.【解析】设班级共有x 名学生,依据题意列【点睛】本题主要考查列分式方程,读懂题1.数学家斐波那契编写的《算经》中有如元钱,则第二次每人所得与第一次相同,【答案】10406x x =+ 【分析】根据“第二次每人所得与第一次相【解析】解:根据题意得,1040x x =【点睛】本题主要考查分式方程的实际应用2.如图,著名旅游景区B 位于大山深处增强景区的吸引力,发展壮大旅游经济,BC =100≈1.4等数据(1)公路修建后,从A 地到景区B 旅游可(2)为迎接旅游旺季的到来,修建公路时结果提前50天完成了施工任务.求施工队【答案】(1)从A 地到景区B 旅游可以少【解析】解:(1)过点C 作AB 的垂线在直角△BCD 中,AB ⊥CD ,sin30°=CD ∴CD =BC•sin30°=100×=50(千米)在直角△ACD 中,AD =CD =50(千米∴AB =50+50(千米),∴AC+BC ﹣AB =50+100﹣(50+50答:从A 地到景区B 旅游可以少走35千米(2)设施工队原计划每天修建x 千米,解得x =0.14,经检验x =0.14是原分式方题意列方程得,807240505x x ⨯=⨯+故选:B . 读懂题意找到等量关系是解题的关键.中有如下问题:一组人平分10元钱,每人分得若干,求第一次分钱的人数.设第一次分钱的人数为一次相同,”列分式方程即可得到结论. 06+,故答案为:10406x x =+ 际应用,找出等量关系,列出分式方程,是解题的关深处,原来到此旅游需要绕行C 地,沿折线A→C→B,修建了一条从A 地到景区B 的笔直公路.请结合等数据信息,解答下列问题: 旅游可以少走多少千米? 路时,施工队使用了新的施工技术,实际工作时每天的施工队原计划每天修建多少千米?可以少走35千米;(2)施工队原计划每天修建0.14线CD ,垂足为D ,BC,BC =1000千米, ),BD =BC•cos30°=100×=50(千米),千米),AC ==50(千米), )=50+50﹣50≈35(千米).千米; ,依题意有,﹣=50,分式方程的解. 若干;若再加上6人,平分40数为x 人,则可列方程_____.题的关键.C→B 方可到达.当地政府为了请结合∠A =45°,∠B =30°,每天的工效比原计划增加25%,.14千米. ),答:施工队原计划每天修建0.14千米.点评:(1)过点C作AB的垂线CD,垂足为D,在直角△BCD中,解直角三角形求出CD的长度和BD的长度,在直角△ACD中,解直角三角形求出AD的长度和AC的长度,再求出AB的长度,进而求出从A地到景区B旅游可以少走多少千米;(2)本题先由题意找出等量关系即原计划的工作时间﹣实际的工作时间=50,然后列出方程可求出结果,最后检验并作答.。
分式知识点及典型例题一、分式的定义如果 A、B 表示两个整式,并且 B 中含有字母,那么式子 A/B 就叫做分式。
其中 A 叫做分子,B 叫做分母。
需要注意的是,分式的分母不能为 0,因为分母为 0 时,分式没有意义。
例如:\(\frac{x}{y}\),\(\frac{a + b}{c}\)都是分式,而\(\frac{3}{5}\)(分母不含有字母)就不是分式。
二、分式有意义的条件分式有意义的条件是分母不为 0。
即:对于分式\(\frac{A}{B}\),当\(B ≠ 0\)时,分式有意义。
例如:对于分式\(\frac{x + 1}{x 2}\),要使其有意义,则\(x 2 ≠ 0\),即\(x ≠ 2\)。
三、分式的值为 0 的条件分式的值为 0 时,要同时满足两个条件:1、分子为 0,即\(A = 0\);2、分母不为 0,即\(B ≠ 0\)。
例如:若分式\(\frac{x 3}{x + 5}\)的值为 0,则\(x 3 = 0\)且\(x +5 ≠ 0\),解得\(x = 3\)。
四、分式的基本性质分式的分子与分母同时乘以(或除以)同一个不为 0 的整式,分式的值不变。
用式子表示为:\(\frac{A}{B} =\frac{A×C}{B×C}\),\(\frac{A}{B} =\frac{A÷C}{B÷C}\)(\(C ≠ 0\))例如:\(\frac{2}{3} =\frac{2×2}{3×2} =\frac{4}{6}\),\(\frac{6}{9} =\frac{6÷3}{9÷3} =\frac{2}{3}\)五、约分把一个分式的分子与分母的公因式约去,叫做分式的约分。
约分的关键是确定分子与分母的公因式。
例如:对分式\(\frac{6x}{9x^2}\)进行约分,分子分母的公因式为\(3x\),约分后为\(\frac{2}{3x}\)六、通分把几个异分母的分式分别化成与原来的分式相等的同分母的分式,叫做分式的通分。
分式重点知识及经典例题一、分式的定义:如果A 、B 表示两个整式,并且B 中含有字母,那么式子BA 叫做分式。
例1.下列各式a π,11x +,15x+y ,22a b a b --,-3x 2,0•中,是分式的有( )个。
二、 分式有意义的条件是分母不为零;【B ≠0】分式没有意义的条件是分母等于零;【B=0】分式值为零的条件分子为零且分母不为零。
【B ≠0且A=0 即子零母不零】例2.下列分式,当x 取何值时有意义。
(1)2132x x ++; (2)2323x x +-。
例3.下列各式中,无论x 取何值,分式都有意义的是( )。
A .121x +B .21x x +C .231x x+ D .2221x x +例4.当x______时,分式2134x x +-无意义。
当x_______时,分式2212x x x -+-的值为零。
例5.已知1x -1y=3,求5352x xy y x xy y +---的值。
三、分式的基本性质:分式的分子与分母同乘或除以一个不等于0的整式,分式的值不变。
(0≠C )四、分式的通分和约分:关键先是分解因式。
例6.不改变分式的值,使分式115101139x y x y -+的各项系数化为整数,分子、分母应乘以(• )。
例7.不改变分式2323523x x x x -+-+-的值,使分子、分母最高次项的系数为正数,则是(• )。
C B C A B A ⋅⋅=C B C A B A ÷÷=例8.分式434y x a +,2411x x --,22x xy y x y-++,2222a ab ab b +-中是最简分式的有( )。
例9.约分:(1)22699x x x ++-; (2)2232m m m m-+-例10.通分:(1)26x ab ,29y a bc ; (2)2121a a a -++,261a -例11.已知x 2+3x+1=0,求x 2+21x的值.例12.已知x+1x =3,求2421x x x ++的值.五、分式的运算:分式乘法法则:分式乘分式,用分子的积作为积的分子,分母的积作为分母。
《分式》复习提纲
考点1. 分式的概念
1、下列各有理式 π
y
y x y x y x x y xy y x x x ,31),(23,,53,81,4,
23,822++-+---中,分式的个数是( )
A. 3个
B. 4个
C. 5个
D. 6个 考点2. 分式的意义
分式:B
A
(A ,B 都是整式,且B 中含有字母,B ≠0)
① 分式有意义⇔ ;② 分式无意义⇔ ;③ 分式值为零⇔
1、若分式32
-x 有意义,则x__________
2、 要使分式
)
5)(32(23-+-x x x 有意义,则( ) A. x ≠23- B. x ≠5 C. x ≠23-且x ≠5 D. x ≠2
3
-或x ≠5
3、 当a 为任意有理数时,下列分式一定有意义的是( )
A . 112++a a B. 12+a a C. 112++a a D. 21
a
a +
4、分式
3
24
x x +-当x 时有意义;当x 时分式没有意义;当x 时分式的值为零。
5、当x 时,分式2
5
2++x x 的值是零;当x 时,分式242--x x 的值是零;
当x 时,分式
x x -+22
的值是零
考点3、最简公分母、最简分式 1、分式
ac b bc a ab
c 3,2,2
--的最简公分母是 ;分式1
3x ,11x x +-,225(1)xy x -的最简公分母为________
2、下列分式中是最简分式的是( )
A. 122+x x
B. x 24
C. 1
12--x x D. 11--x x
3、下列分式中是最简分式的是( )
A. 2
2
2)
(y x y x -- B. 2x xy - C. xy x y x ++2 D. 22-+x x 考点4、分式的基本性质
1. 不改变分式的值,把下列各式的分子与分母中各项的系数都化为整数。
(1)y x y
x 213221-+; (2)b a b a -+2.05.03.0
2、把分式xy
y x +中的分子、分母的x 、y 同时扩大2倍,那么分式的值( )
A. 扩大2倍
B. 缩小为原来的2
1 C. 不变 D. 缩小为原来的4
1
3、约分(1)4
3
22016xy y x -= ;(2)4
4422+--x x x = 4、通分(1)
b a 21,2
1ab
; (2)y x -1,y x +1; (3)221y x -,xy x +21.
考点5、计算
1、(1)222222x b yz a z b xy a ÷= ;(2)49
3222--⋅+-x x x x = ;(3)43222)1.().()(
ab a b b a --= (4) x x x x x x 362996222+-÷-+- (5)ab a b a a b a b a --+-2224. (6)
(7)xy y x xy y x 22)()(--+ (8)22y x x --22x y y - (9)
(11)211a a a --- (12)
⎪⎭
⎫
⎝⎛---÷--225262x x x x
2、先化简)2(2
2
22a b ab a ab
a b a ++÷--,当b= —1时,请你为 a 选一个适当的数代入求值
22212(1)441x x x
x x x x
-+÷+⨯
++-16
24
432---x x a a a +--2
2214)10(
3、(1)如果2-=y x ,那么分式2
22
222223y
xy x y xy x +-+-的值为 ; (2)如果,211=+y x 那么分式y
xy x y xy x 22323+-+-的值为 (3)已知
1
22432+-
-=--+x B
x A x x x ,其中A 、B 为常数,则A -B 的值为 (4)某人上山的速度为a ,下山的速度为b ,则他上山、下山的平均速度(假设按原路返回)为____________
考点6、零指数幂与负整指数幂
计算:(1)2
21-⎪⎭
⎫
⎝⎛= ;(2)220)2()21()2(---+--= ;
(3)013)13()3
1
()2(16-+--÷- = (4)(8×105)÷(-2×104)=
(5)()()2
3
323a b ab ----⨯(结果只含正整数指数幂)=
考点7、科学计数法
(1) 用科学计数法表示:0-.000 0064=
(2) 一个纳米粒子的直径是35纳米,它等于 米(请用科学记数法表示) 考点8、分式方程的概念
下列关于x 的方程是分式方程的是( )
A. 23356x x ++-=
B. 324x =π
C. x a b x
a b a b
-=- D. 2(1)11x x -=- 考点9、分式方程的解 1、当x= 时,
1
25x x x x
+--与
互为相反数 2、若分式方程1473
3x x x
-+=--有增根,增根为 ;当k=_____时,分式方程0
1
11
x k x x x x +-=--+有增根。
3、已知关于x 的分式方程x
x a x 3
11=---无解,则a = 4、关于x 的方程
11
2=-+x a
x 的解是正数,则a 的取值围是 考点10、解分式方程
(1)x x 321=- (2)1132422x x +=-- (3)21212
339x x x -=+--
(4)
x x x -+=-3231 (5)1262=++-x x x (6)21
234
42+-=
-++-x x x x x
考点11、分式方程的应用题
1、某人生产一种零件,计划在30天完成,若每天多生产6个,则25天完成且还多生产10个,问原计划每天生产多少个零件?设原计划每天生产x 个,列方程式是( ) A.
3010256x x -=+ B. 3010256x x +=+ C. 3025106
x
x =++ D. 3010
25106
x x +=-+ 2、某工地调来72人挖土和运土,已知3人挖出的土1人恰好能全部运走,怎样调配劳动力使挖出的土能及时运走且不窝土,解决此问题可设派x 人挖土,其它人运土,列方程:①x+3x=72,
②72-x=3x ,③7213x x -=, ④372x
x
=-.上述所列方程正确的( )
A. 1个
B. 2个
C. 3个
D. 4个
3、某工程需要在规定日期完成,如果甲工程队独做,恰好如期完成; 如果乙工作队独做,则超过规定日期3天,现在甲、乙两队合作2天,剩下的由乙队独做,恰好在规定日期完成,求规定日期.如果设规定日期为x 天,下面所列方程中错误的是( )
A. 213x x x +=+
B. 233x x =+
C. 1
122133x x x x -⎛⎫+⨯+= ⎪
++⎝⎭
D. 113x x x +=+ 4、某中学全体同学到距学校15千米的科技馆参观,一部分同学骑自行车走40分钟后,其余同学乘汽车出发,结果他们同时到达科技馆, 已知汽车的速度是自行车速度的3倍,求汽车的速度.设汽车的速度是x 千米/小时,则汽车行驶时间为______, 自行车行驶时间为______.根据题意列方程_____________________.解得汽车的速度为_______.
5、 为改善生态环境,防止水土流失,某村拟在荒坡地上种植960棵树, 由于青年团员的支持,
每日比原计划多种20棵,结果提前4天完成任务,原计划每天种植多少棵?设原计划每天种植x 棵,根据题意得方程_____ _______. 6、某商店经销一种商品,由于进货价降低6.4%,使得利润率提高了8%,那么原来经销这种商品的利润率是_________.
7、 某人骑自行车比步行每小时快8千米,坐汽车比骑自行车每小时快16千米,此人从A 地出发,先步行4千米,然后乘坐汽车10千米就到在B 地,他又骑自行车从B 地返回A 地,结果往返所用的时间相等,求此人步行的速度.
8、某一工程,在工程招标时,接到甲、乙两个工程队的投标书.施工一天,需付甲工程队工
程款1.5万元, 乙工程队工程款1.1万元.工程领导小组根据甲、乙两队的投标书测算:(1)甲队单独完成这项工程刚好如期完成;
(2)乙队单独完成这项工程要比规定日期多用5天;
(3)若甲、乙两队合做4天,余下的工程由乙队单独做也正好如期完成.
在不耽误工期的前提下,你觉得哪一种施工方案最节省工程款?。