物理化学公式大全.
- 格式:doc
- 大小:48.50 KB
- 文档页数:14
第一章 热力学第一定律一、基本概念系统与环境,状态与状态函数,广度性质与强度性质,过程与途径,热与功,内能与焓。
二、基本定律热力学第一定律:ΔU =Q +W 。
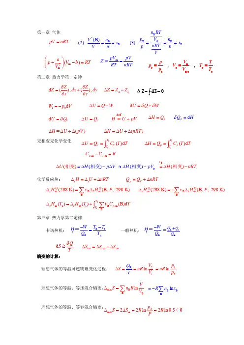
焦耳实验:ΔU =f (T ) ; ΔH =f (T )三、基本关系式1、体积功的计算 δW = -p e d V恒外压过程:W = -p e ΔV可逆过程: W =nRT 1221ln ln p p nRT V V =2、热效应、焓等容热:Q V =ΔU (封闭系统不作其他功)等压热:Q p =ΔH (封闭系统不作其他功)焓的定义:H =U +pV ; d H =d U +d(pV )焓与温度的关系:ΔH =⎰21d p T T T C3、等压热容与等容热容 热容定义:V V )(T U C ∂∂=;p p )(T H C ∂∂=定压热容与定容热容的关系:nR C C =-V p热容与温度的关系:C p =a +bT +c’T 2四、第一定律的应用1、理想气体状态变化等温过程:ΔU =0 ; ΔH =0 ; W =-Q =⎰-p e d V 等容过程:W =0 ; Q =ΔU =⎰T C d V ; ΔH =⎰T C d p 等压过程:W =-p e ΔV ; Q =ΔH =⎰T C d p ; ΔU =⎰T C d V可逆绝热过程:Q =0 ; 利用p 1V 1γ=p 2V 2γ求出T 2,W =ΔU =⎰T C d V ;ΔH =⎰T C d p不可逆绝热过程:Q =0 ;利用C V (T 2-T 1)=-p e (V 2-V 1)求出T 2,W =ΔU =⎰T C d V ;ΔH =⎰T C d p2、相变化可逆相变化:ΔH =Q =n Δ_H ;W=-p (V 2-V 1)=-pV g =-nRT ; ΔU =Q +W3、热化学物质的标准态;热化学方程式;盖斯定律;标准摩尔生成焓。
摩尔反应热的求算:)298,()298(B H H m f B mr θθν∆=∆∑ 反应热与温度的关系—基尔霍夫定律:)(])([,p B C T H m p BB m r ∑=∂∆∂ν。
最全物理化学公式集以下是一个详细的物理化学公式集合,包含了许多常用的公式和方程式。
这些公式可以帮助学生更好地理解物理化学的理论,并应用于解决相关问题。
1.经典力学:-牛顿第一定律:物体保持匀速直线运动或静止,直到有外力作用。
-牛顿第二定律:物体的加速度与作用在其上的力成正比,与物体的质量成反比。
-牛顿第三定律:对于任何两个物体,彼此之间的作用力大小相等,方向相反。
-动能定理:物体的动能等于其质量乘以速度的平方的一半。
-动量定理:物体的动量变化等于作用在其上的力乘以时间间隔。
-弹性碰撞:在碰撞中,总动量和总动能守恒。
2.热力学:-热力学第一定律:能量不会自行产生或消失,只会转化为其他形式。
-热容量公式:物体吸收或释放的热量与其质量、温度变化以及物体的热容量有关。
-理想气体状态方程:PV=nRT,其中P是压力,V是体积,n是物质的摩尔数,R是气体常数,T是温度。
-熵变方程:ΔS=Q/T,其中ΔS是系统的熵变,Q是吸收或释放的热量,T是温度。
3.电化学:-法拉第定律:通过电解的物质的质量与通过电解的电荷数成正比。
-电动势公式:电动势等于化学反应中产生的能量与电荷数的比值。
- 纳尔斯特方程:E = Eo - (RT/nF)ln(Q),其中E是电池的电动势,Eo是标准电动势,R是气体常数,T是温度,n是电子转移数,F是法拉第常数,Q是反应物的活性。
4.量子力学:-布罗意波长:λ=h/p,其中λ是波长,h是普朗克常数,p是物体的动量。
-不确定性原理:ΔxΔp≥h/(4π),其中Δx是位置的不确定度,Δp是动量的不确定度,h是普朗克常数。
5.光学:- 折射率公式:n₁sinθ₁ = n₂sinθ₂,其中n₁和n₂是介质的折射率,θ₁和θ₂是光线的入射和折射角度。
-焦距公式:1/f=1/u+1/v,其中f是透镜的焦距,u是物体的距离,v是像的距离。
6.分析化学:-摩尔浓度公式:C=n/V,其中C是溶液的摩尔浓度,n是溶质的物质的摩尔数,V是溶液的体积。
热力学第一定律功:δW =δW e +δW f(1)膨胀功 δW e =p 外dV 膨胀功为正,压缩功为负。
(2)非膨胀功δW f =xdy非膨胀功为广义力乘以广义位移。
如δW (机械功)=fdL ,δW (电功)=EdQ ,δW (表面功)=rdA 。
热 Q :体系吸热为正,放热为负。
热力学第一定律: △U =Q —W 焓 H =U +pV 理想气体的内能和焓只是温度的单值函数。
热容 C =δQ/dT(1)等压热容:C p =δQ p /dT = (∂H/∂T )p (2)等容热容:C v =δQ v /dT = (∂U/∂T )v 常温下单原子分子:C v ,m =C v ,m t =3R/2常温下双原子分子:C v ,m =C v ,m t +C v ,m r =5R/2 等压热容与等容热容之差:(1)任意体系 C p —C v =[p +(∂U/∂V )T ](∂V/∂T )p (2)理想气体 C p —C v =nR 理想气体绝热可逆过程方程:pV γ=常数 TV γ-1=常数 p 1-γT γ=常数 γ=C p / C v 理想气体绝热功:W =C v (T 1—T 2)=11-γ(p 1V 1—p 2V 2) 理想气体多方可逆过程:W =1nR-δ(T 1—T 2) 热机效率:η=212T T T - 冷冻系数:β=-Q 1/W 可逆制冷机冷冻系数:β=121T T T -焦汤系数: μJ -T =Hp T ⎪⎪⎭⎫⎝⎛∂∂=-()p T C p H ∂∂ 实际气体的ΔH 和ΔU :ΔU =dT T U V ⎪⎭⎫ ⎝⎛∂∂+dV V U T ⎪⎭⎫ ⎝⎛∂∂ ΔH =dT T H P ⎪⎭⎫⎝⎛∂∂+dp p H T⎪⎪⎭⎫ ⎝⎛∂∂ 化学反应的等压热效应与等容热效应的关系:Q p =Q V +ΔnRT 当反应进度 ξ=1mol 时, Δr H m =Δr U m +∑BB γRT化学反应热效应与温度的关系:()()()dT B C T H T H 21T T m p B1m r 2m r ⎰∑∆∆,+=γ热力学第二定律Clausius 不等式:0TQS BA B A ≥∆∑→δ—熵函数的定义:dS =δQ R /T Boltzman 熵定理:S =kln Ω Helmbolz 自由能定义:F =U —TS Gibbs 自由能定义:G =H -TS 热力学基本公式:(1)组成恒定、不作非膨胀功的封闭体系的热力学基本方程:dU =TdS -pdV dH =TdS +Vdp dF =-SdT -pdV dG =-SdT +Vdp (2)Maxwell 关系:T V S ⎪⎭⎫⎝⎛∂∂=V T p ⎪⎭⎫ ⎝⎛∂∂Tp S ⎪⎪⎭⎫ ⎝⎛∂∂=-p T V ⎪⎭⎫ ⎝⎛∂∂ (3)热容与T 、S 、p 、V 的关系:C V =T VT S ⎪⎭⎫⎝⎛∂∂ C p =T p T S ⎪⎭⎫ ⎝⎛∂∂Gibbs 自由能与温度的关系:Gibbs -Helmholtz 公式 ()pT /G ⎥⎦⎤⎢⎣⎡∂∆∂T =-2T H ∆ 单组分体系的两相平衡: (1)Clapeyron 方程式:dT dp=mX m X V T H ∆∆ 式中x 代表vap ,fus ,sub 。
物理化学公式集合物理化学公式整理范德华方程:(p+a/V 2m )(V m -b)=RT (p+n 2a/V 2)(V-nb)=nRT 维锂方程:pV m =RT(1+Bp+Cp 2+Dp 3+……) 或pVm=(1+B ’/V m +C ’/V 2m +D ’/V 3m +……)压缩因子:pV=ZnRT 或 pV m =ZRT Z=V m (真实)/V m (理想) 临界压缩因子Z c =p c V m,c /RT c ,对比压力p r =p/p c 对比体积V r =V m /V m,c 对比温度 T c =T/T cZ=pVm /RT=pcVm,c /RT c ·prVr /Tr=Zc ·prVr /Tr热力学第一定律为能量守恒定律;热力学第二定律解决变化的方向,限度问题δW=-F ·dl=-p zmb dV热力学第一定律:ΔU=Q+W 对于无限小:dU=δQ+Δw恒容热Q v Q v =ΔU (dV=0, W '=0) 指系统进行恒容且无非体积功的过程中与环境交换的热,它与过程的ΔU 在量值上相等。
ΔU 只取决于始末态,故恒容热也只取决于系统的始末态。
恒压热Q p 及焓焓:H ——U+pV 单位:J Qp=ΔH(dp=0, W '=0摩尔定容热容:Cv,m=(1/n)·(δQv /dT) 单位:J ·mol -1·K -1Q v =ΔU=n ∫T1T2C v,m dT摩尔定容热容:Cp,m Qp=ΔH=n ∫T1T2C p,m DtH=U+pV=U+n RT对理想气体:Cp,m-Cv,m=R; 对单原子理想气体C v,m=3R /2,C p,m=5R/2 ;双原子气体:C v,m=5R/2, C p,m=7R/2摩尔相变焓单位:J·mol-1或kJ·mol-1Δαβ=nΔαβH m 反应进度:dξ——dn B/νB化学反应方程式写法不同,则反应进度也不相同。
第一章 气体的pVT 关系 主要公式及使用条件1. 理想气体状态方程式nRT RT M m pV ==)/(或 RT n V p pV ==)/(m式中p ,V ,T 及n 单位分别为Pa ,m 3,K 及mol. m /V V n =称为气体的摩尔体积,其单位为m 3 · mol —1。
R =8.314510 J · mol -1 · K —1,称为摩尔气体常数.此式适用于理想气体,近似地适用于低压的真实气体。
2. 气体混合物 (1) 组成摩尔分数 y B (或x B ) = ∑AA B /n n体积分数 /y B m,B B *=V ϕ∑*AVy Am,A式中∑AA n 为混合气体总的物质的量.Am,*V表示在一定T ,p 下纯气体A 的摩尔体积。
∑*AAm,A Vy 为在一定T ,p 下混合之前各纯组分体积的总和。
(2) 摩尔质量∑∑∑===BBBB B BB mix //n M n m M y M式中 ∑=BB m m 为混合气体的总质量,∑=BB n n 为混合气体总的物质的量。
上述各式适用于任意的气体混合物。
(3)V V p p n n y ///B B B B *=== 式中p B 为气体B ,在混合的T ,V 条件下,单独存在时所产生的压力,称为B 的分压力。
*BV 为B 气体在混合气体的T ,p 下,单独存在时所占的体积。
3. 道尔顿定律p B = y B p ,∑=BB p p上式适用于任意气体。
对于理想气体V RT n p /B B =4. 阿马加分体积定律V RT n V /B B =*此式只适用于理想气体。
5. 范德华方程RT b V V a p =-+))(/(m 2mnRT nb V V an p =-+))(/(22式中a 的单位为Pa · m 6 · mol -2,b 的单位为m 3 · mol —1,a 和b 皆为只与气体的种类有关的常数,称为范德华常数.此式适用于最高压力为几个MPa 的中压范围内实际气体p ,V ,T ,n 的相互计算。
物理化学公式大全物理化学是研究物质的物理性质和化学性质之间的关系的学科。
以下是一些在物理化学中常用的公式:1.热力学方程:-理想气体状态方程:PV=nRT其中P为气体压强,V为气体体积,n为气体摩尔数,R为气体常数,T为气体温度。
-内能变化公式:ΔU=q+w其中ΔU为系统内能变化,q为系统吸取或放出的热量,w为系统对外界做的功。
-能量守恒定律:ΔE=q+w其中ΔE为系统总能量变化,q为系统吸取或放出的热量,w为系统对外界做的功。
2.动力学方程:-反应速率公式:r=k[A]^m[B]^n其中r为反应速率,k为反应速率常数,[A]和[B]分别为反应物A和B的浓度,m和n为反应物的反应级数。
- Arrhenius 公式:k = A * e^(-Ea/RT)其中 k 为反应速率常数,A 为 Arrhenius 常数,Ea 为活化能,R为气体常数,T 为反应温度。
3.量子力学方程:- 波函数公式:Ψ = Σcnφn其中Ψ 为波函数,cn 为系数,φn 为基态波函数。
- Schroedinger 方程:HΨ = EΨ其中H为哈密顿算符,Ψ为波函数,E为能量。
4.热力学方程:- 熵变公式:ΔS = q_rev / T其中ΔS 为系统熵变,q_rev 为可逆过程吸放热量,T 为温度。
- Gibbs 自由能公式:ΔG = ΔH - TΔS其中ΔG 为 Gibbs 自由能变化,ΔH 为焓变化,ΔS 为熵变化,T 为温度。
5.电化学方程:- Nerst 方程:E = E° - (RT / nF) * ln(Q)其中E为电池电势,E°为标准电势,R为气体常数,T为温度,n为电子数,F为法拉第常数,Q为电化学反应的反应物浓度比。
- Faraday 定律:nF = Q其中n为电子数,F为法拉第常数,Q为电荷数。
以上公式只是物理化学中的一小部分,这里列举的是一些常见的、基本的公式,实际上物理化学领域有非常多的公式和方程可供使用。
第一章 气体 第二章 热力学第一定律无相变无化学变化化学反应热:第三章 热力学第二定律卡诺热机: 一般热机:熵变的计算:理想气体的等温可逆物理变化过程:理想气体的等温、等压混合熵变:理想气体的等温、等容混合熵变:pV nRT =*BB(B)(2) V n x V n ==B B B B (3) B n RTp V n x nRT p n V===()m 2m a p V b RT V ⎛⎫+-= ⎪⎝⎭m pV pV RT nRT Z ==m r r r c m cc ,V p T p V T p V ,T ,===d ()()y x Z ZZ dx dy x y∂∂=+∂∂21Z Z Z ∆=-0dZ ΔZ ==⎰U Q W ∆=+d U Q W δδ=+1e dW p V =-d V U Q δ=V U Q ∆=def H U pV+=p H Q ∆=d p Q H δ= ()H U pV ∆∆+∆=()H U nRT ∆=∆+∆21()d T V V T U Q C T T ∆==⎰21()d T p p T H Q C T T∆==⎰,m ,m p V C C R -=))((H p V U ∆∆=-∆相变相变g ()H pV ≈∆-相变i.g.()H nRT =∆-相变r m B f m B (298 K)(B, , 298 K)H H P ν∆=∆∑ r m B c m B (298 K)(B, , 298 K)H H P ν∆=-∆∑21r m 2r m 1B ,m B()()(B)d T p T H T H T C T ν∆=∆+∑⎰h W Q η-=c h h T T T -=h W Q η-=ch hQ Q Q +=d Q S T δ≥iso sys surS S S ∆=∆+∆R S Q T ∆=21ln VnR V =12ln p nR p =mix B B B ln VS n R V ∆=∑B BB ln R n x =-∑mix A 22ln2ln 0.50A p S S R R P∆=∆==<p V Q Q nRT =+∆r r H U nRT ∆=∆+∆理想气体在变温可逆过程中的熵变----等容可逆变温过程:等压可逆变温过程: 理想气体在变温可逆过程中的熵变:可逆相变中熵变计算:变温相变中熵变计算:环境熵变计算:第四章 多组分体系热力学偏摩尔量集合公式:拉乌尔定律:亨利定律:理想液态混合物性质:21,md T V T nCS TT ∆=⎰21,md T p T nC S TT∆=⎰22.1121.1222..11ln ln ln ln ln ln V m P m P m V m T VS nC nR T V T pS nC nR T p V p S nC nC V p ∆=+∆=+∆=+()()()H S T ∆∆=可逆相变相变相变B ,m Br m r m 298K (B)()(298K)d p T C S T S T T ν∆=∆+∑⎰sys sursurQ S T -∆= def G H TS - def A U TS -(1) d d d U T S p V =-(2) d d d H T S V p =+(3) d d d A S T p V =--(4) d d d G S T V p =-+2112d = nRTln V T V V A p V V ∆=-⎰212112d = nRTln nRTln p T p p V G V p p V ∆==⎰k B B B=1X n X =∑C B B ,,(C B) def S V n U n μ≠⎛⎫∂ ⎪∂⎝⎭C B ,,(C B) def S p n H n ≠⎛⎫∂ ⎪∂⎝⎭C B ,,(C B) def T V n A n ≠⎛⎫∂ ⎪∂⎝⎭C B ,,(C B) def T p n G n ≠⎛⎫∂ ⎪∂⎝⎭*A A Ap p x=B ,B B x p k x =B ,B B m p k m =B ,B B c p k c =mix 0V ∆=mix 0H ∆=mix 0S ∆>mix B BBln S R n x ∆=-∑依数性: 沸点升高凝固点下降渗透压:第五章 化学平衡:标准平衡常数与温度关系:第六章 相平衡Clapeyron 方程:Clausius -Clapeyron 方程:杠杆规则:pT m r G ,θp )(RTlnK θ∆=-mix 0G ∆<mix B B i B m x ln T S G RT n x =-∆∆=∑b b B T k m ∆=*2b b A *vap m,A ()R T k M H =∆f f B T k m ∆=*2f f A*fus m,A ()R T k M H =⋅∆B V n RT ∏=B c RT ∏=r m ,ln ln T p p p G RT K RT Q ∆=-+()r m ,r m ()ln T p pG G T RT Q ∆=∆+()B Br m m f (298 K)(B,,298 K)G P G ν=∆∆∑()BBB B e B B B ep p K n n p νν∑⎛⎫ ⎪= ⎪ ⎪⎝⎭∏∑r m 2ln p K H T RT ⎛⎫ ⎪ ⎪⎝⎭∂∆=∂ 2112r m ()11ln ()K T K T T T H R -⎛⎫ ⎪⎝⎭∆= 'C S R R =--2f C P =-+d d p H T T V ∆=∆vap m 2d ln d H p T RT ∆=vap m 2112()11ln ()H p T p T R T T ∆⎛⎫=- ⎪⎝⎭(l)(g)m cb m bd ⋅=⋅一、习题:A 与B 体系形成不稳定化合物C ,其组成含B 50%, A 与B 还可以形成固态部分互溶体系。
一、 统计热力学能级公式Boltzmann 分布()kT g qNn j j j ε-=ex p *,此为能级εj 上的分布数,g j 为能级εj 的统计权重, 也即能级εj 的简并度。
()()∑∑-=-=能级j j j j jkT g kT q εεexp exp 量子态,分子配分函数。
q = q t q r q v q e q n ,q t 、q r 、q v 、q e 、q n 分别为分子平动,转动、振动、电子运动和核运动配分函数注:Ikh Θk h Θ22r v π8,==ν分别为振动和转动特征温度。
σ:分子对称数。
热力学量与配分函数的关系⎪⎩⎪⎨⎧=离域子体系定域子体系,!,N q q Q N N Stirling 公式ln N !=N ln N -NA =-kT ln Q ,特征函数。
VV T Q kT Q k T A S ⎪⎭⎫⎝⎛∂∂+=⎪⎭⎫⎝⎛∂∂-=ln lnV V T Q kT T Q kT Q kT Q kT TS A U ⎪⎭⎫ ⎝⎛∂∂=⎪⎭⎫ ⎝⎛∂∂++-=+=ln ln ln ln 22TT V Q kT V A p ⎪⎭⎫⎝⎛∂∂=⎪⎭⎫ ⎝⎛∂∂-=lnTV Q kTV Q kT pV A G ⎪⎭⎫ ⎝⎛∂∂+-=+=ln lnTV V Q kTV T Q kT pV U H ⎪⎭⎫⎝⎛∂∂+⎪⎭⎫ ⎝⎛∂∂=+=ln ln 2显然,凡是与S 有关的量对定域子和离域子有区别。
Boltzmann 熵定律S =k ln Ω,式中Ω 为系统总微观状态数。
例:1. (a) HCl 分子的振动能级间隔是5.94×10-20 J, 计算在298K 时某一能级和其较低一能级上分子数的比值。
(b)对于I 2分子,振动能级间隔是0.43×10-20 J, 试作同样的计算。
解:根据Boltzmann 分布()[]kT g g n n j j jj jj εε--=+++111exp 对于一维谐振子,能级为非简并的,即g j+1= g j =1,因此2. 设在温度恒定为T 、中间以挡板隔开的两个体积均为V 的容器内,分别装有1 mol A和1 mol B 的理想气体,抽取挡板后达平衡,试求混合前后系统微观状态数之比。
初中物理化学公式大全物理公式:1.动力学公式:- 动力学方程:F = ma-重力加速度:g=9.8m/s^2-力的合成:F=√(Fx^2+Fy^2)- 动能公式:Ek = (1/2)mv^2-动能的损失:Ek=W-功:W=Fd-加速度公式:a=(v-u)/t2.电磁学公式:-电流强度:I=Q/t-电压公式:V=I*R-阻抗公式:Z=V/I-电阻:R=V/I-电功率:P=IV-工作功率:P=F*v- 磁感应强度:B = F/qv-磁感应强度与电流的关系:B=μ0*I/(2πr)3.光学公式:-焦距公式:1/f=1/u+1/v-放大率:V=h'/h-光速:c=λ*f- 折射定律:n1*sinθ1 = n2*sinθ2-光的反射定律:θ1=θ2化学公式:1.物质计算公式:-相对分子质量:Mr=m/Mn-摩尔质量:M=m/n-摩尔质量和物质的计算:n=m/M-摩尔质量计算物质的质量:m=n*M-物质的量:n=N/N0-化学方程式的平衡:aA+bB->cC+dD-反应物的物质的量:n=V*c-反应物的物质的质量:m=n*M2.酸碱盐反应公式:-酸溶液的浓度计算:C1*V1=C2*V2-电离度:α=n/C- 盐酸的摩尔质量:M(HCl) = 36.5 g/mol- 硫酸的摩尔质量:M(H2SO4) = 98 g/mol- 碳酸钠的摩尔质量:M(Na2CO3) = 106 g/mol 3.化学能量转化公式:-燃烧热:Q=m*C*ΔT- 反应放热:Q = -mcΔT-标准焓变:ΔH=Q/n4.化学平衡反应公式:-平衡定律:K=[C]^c*[D]^d/[A]^a*[B]^b。
1. 热力学第一定律的数学表示式W Q U +=∆或 'a m bδδδd δd U Q W Q p V W=+=-+ 系统得功为正,对环境作功为负。
上式适用于封闭体系的一切过程。
2. 焓的定义式 3. 焓变(1) )(pV U H ∆+∆=∆式中)(pV ∆为pV 乘积的增量,只有恒压下)()(12V V p pV -=∆在数值上等于体积功。
(2) 2,m 1d p H nC T ∆=⎰此式适用于理想气体单纯pVT 变化的一切过程,或真实气体的恒压变温过程,或纯的液体、固体物质压力变化不大的变温过程。
4. 热力学能(又称内能)变此式适用于理想气体单纯pVT 变化的一切过程。
5. 恒容热和恒压热V Q U =∆ (d 0,'0V W == p Q H =∆ (d 0,'0)p W == 6. 热容的定义式 (1)定压热容和定容热容δ/d (/)p p pC Q T H T ==∂∂δ/d (/)V V V C Q T U T ==∂∂(2)摩尔定压热容和摩尔定容热容,m m /(/)p p p C C n H T ==∂∂ ,m m /(/)V V VC C n U T ==∂∂ 上式分别适用于无相变变化、无化学变化、非体积功为零的恒压和恒容过程。
(3)质量定压热容(比定压热容)式中m 和M 分别为物质的质量和摩尔质量。
(4) ,m ,mp V C C R -= 此式只适用于理想气体。
,m//p p p c C m CM==pVU H +=2,m 1d V U nC T∆=⎰7. 摩尔蒸发焓与温度的关系21vap m 2vap m 1vap ,m ()()d T p TH T H T C T ∆=∆+∆⎰式中 vap ,m p C ∆ = ,m p C (g) —,m p C (l),上式适用于恒压蒸发过程。
8. 体积功(1)定义式 V p W d a m b -=∂ 或 V p W d amb ∑-=(2) )()(1221T T nR V V p W --=--= 适用于理想气体恒压过程。
物理化学公式物理化学公式是物理学和化学的交叉学科的重要组成部分,被广泛应用于科学和工程领域。
这些公式描述了物质和能量之间的关系,提供了揭示自然界行为的数学工具。
在本文中,将介绍一些物理化学领域的常见公式。
物理化学学科涉及的公式众多且复杂,其中一些是由著名科学家在长期的研究和实验基础上总结出来的。
以下是一些物理化学中常见的公式:1. 理想气体状态方程:PV = nRT其中,P是气体的压强,V是体积,n是摩尔数,R是气体常数,T 是温度。
该公式描述了理想气体在不同温度和压力下的状态。
2. 质量守恒定律:m₁ + m₂ = m₃这是化学反应中最基本的公式,表示反应前后物质的质量守恒。
3. 热力学第一定律(能量守恒定律):ΔU = q + w其中,ΔU表示系统内能的变化,q表示系统吸收的热量,w表示系统对外做功。
这个公式表明了能量在物理化学过程中的守恒。
4. 阿伏伽德罗常数(用于描述分子和原子间的关系):Nₐ = 6.0221 × 10²³ mol⁻¹它表示在摩尔中包含的粒子数目,由此可推导出物质的摩尔质量。
5. 波尔原子模型公式:E = -2.178 × 10⁻¹⁸ (Z²/n²) J其中,E表示氢原子的能量,Z表示核电荷数,n表示电子的主量子数。
这个公式用于描述氢原子的能级和能量。
6. 平均气体动能公式:KE = (3/2) kT其中,KE表示气体分子的平均动能,k是玻尔兹曼常量,T是温度。
这个公式表明了温度和气体分子动能之间的关系。
7. 化学反应速率公式:v = k[A]ⁿ[B]ᵐ这是描述化学反应速率的公式,v表示反应速率,k是速率常数,[A]和[B]分别表示反应物A和B的浓度,ⁿ和ᵐ是反应物在反应速率中的指数。
8. Nernst方程:E = E° - (RT/nF) ln(Q)该方程描述了电池电势的计算,E表示电池的电势,E°是标准电势,R是气体常数,T是温度,n是电子转移数,F是法拉第常数,Q是反应物浓度的比值。
物理化学公式大全物理化学是研究物质及其性质与能量变化之间关系的学科。
在物理化学的学习与研究过程中,掌握一些重要的公式是十分关键的。
下面是物理化学公式的大全,帮助你更好地理解和运用这些公式。
1. 热力学公式1.1 热力学第一定律dU = dq + dw其中,dU表示系统内能的变化,dq表示系统吸收的热量,dw表示系统对外界所做的功。
1.2 热力学第二定律(卡诺循环)η = 1 - Tc / Th其中,η表示卡诺循环的热效率,Tc表示循环过程中的低温热源温度,Th表示循环过程中的高温热源温度。
1.3 熵变ΔS = ∫dq / T其中,ΔS表示熵变,dq表示吸收的热量,T表示温度。
2. 电化学公式2.1 奥姆定律I = U / R其中,I表示电流强度,U表示电压,R表示电阻。
2.2 法拉第定律I = nFv其中,I表示电流强度,n表示电离物质的摩尔数,F表示法拉第常数,v表示电离的速率。
2.3 电解质溶液中浓度的关系c = n / V其中,c表示溶液的浓度,n表示溶质的物质的量,V表示溶液的体积。
3. 量子化学公式3.1 玻尔模型电子能级En = - 13.6 / n²其中,En表示第n个电子能级的能量。
3.2 库仑势能E = - (Z × e²) / (4πε₀r)其中,E表示两个带电粒子之间的库仑势能,Z表示电荷的量子数,e表示元电荷,ε₀表示真空介电常数,r表示两个带电粒子的距离。
4. 动力学公式4.1 反应速率常数k = A × e^(-Ea / RT)其中,k表示反应速率常数,A表示指前因子,Ea表示活化能,R 表示气体常数,T表示温度。
4.2 阿伦尼乌斯方程k = Z × f(ΔE)其中,k表示反应速率常数,Z表示碰撞频率,f(ΔE)表示碰撞激活因子,ΔE表示碰撞能量。
5. 其他公式5.1 时间-位移关系x = v₀t + 1/2at²其中,x表示位移,v₀表示初始速度,t表示时间,a表示加速度。
物理化学公式集热力学第一定律功:δW=δW e+δW f(1)膨胀功δW e=p外dV 膨胀功为正,压缩功为负。
(2)非膨胀功δW f=xdy非膨胀功为广义力乘以广义位移。
如δW(机械功)=fdL,δW(电功)=EdQ,δW(表面功)=rdA。
热Q:体系吸热为正,放热为负。
热力学第一定律:△U=Q—W 焓H=U+pV理想气体的内能和焓只是温度的单值函数。
热容C=δQ/dT(1)等压热容:C p=δQ p/dT=(∂H/∂T)p(2)等容热容:C v=δQ v/dT=(∂U/∂T)v常温下单原子分子:C v,m=C v,m t=3R/2常温下双原子分子:C v,m=C v,m t+C v,m r=5R/2等压热容与等容热容之差:(1)任意体系C p—C v=[p+(∂U/∂V)T](∂V/∂T)p(2)理想气体C p—C v=nR理想气体绝热可逆过程方程:pVγ=常数TVγ-1=常数p1-γTγ=常数γ=C p/ C v理想气体绝热功:W=C v(T1—T2)=(p1V1—p2V2)理想气体多方可逆过程:W=(T1—T2)热机效率:η=冷冻系数:β=-Q1/W可逆制冷机冷冻系数:β=焦汤系数:μJ-T==-实际气体的ΔH和ΔU:ΔU=+ΔH=+化学反应的等压热效应与等容热效应的关系:Q p=Q V+ΔnRT当反应进度ξ=1mol时,Δr H m=Δr U m+RT化学反应热效应与温度的关系:热力学第二定律Clausius不等式:熵函数的定义:dS=δQ R/T Boltzman熵定理:S=klnΩHelmbolz自由能定义:F=U—TS Gibbs自由能定义:G=H-TS热力学基本公式:(1)组成恒定、不作非膨胀功的封闭体系的热力学基本方程:dU=TdS-pdV dH=TdS+VdpdF=-SdT-pdV dG=-SdT+Vdp(2)Maxwell关系:==-(3)热容与T、S、p、V的关系:C V=T C p=TGibbs自由能与温度的关系:Gibbs-Helmholtz公式=-单组分体系的两相平衡:(1)Clapeyron方程式:=式中x代表vap,fus,sub。
物理化学公式集热力学第一定律功:δW=δW e+δW f(1)膨胀功δW e=p外dV 膨胀功为正,压缩功为负。
(2)非膨胀功δW f=xdy非膨胀功为广义力乘以广义位移。
如δW(机械功)=fdL,δW(电功)=EdQ,δW(表面功)=rdA。
热Q:体系吸热为正,放热为负。
热力学第一定律:△U=Q—W 焓H=U+pV理想气体的内能和焓只是温度的单值函数。
热容C=δQ/dT(1)等压热容:C p=δQ p/dT=(∂H/∂T)p(2)等容热容:C v=δQ v/dT=(∂U/∂T)v常温下单原子分子:C v,m=C v,m t=3R/2常温下双原子分子:C v,m=C v,m t+C v,m r=5R/2等压热容与等容热容之差:(1)任意体系C p—C v=[p+(∂U/∂V)T](∂V/∂T)p(2)理想气体C p—C v=nR理想气体绝热可逆过程方程:pVγ=常数TVγ-1=常数p1-γTγ=常数γ=C p/ C v理想气体绝热功:W=C v(T1—T2)=(p1V1—p2V2)理想气体多方可逆过程:W=(T1—T2)热机效率:η=冷冻系数:β=-Q1/W可逆制冷机冷冻系数:β=焦汤系数:μJ-T==-实际气体的ΔH和ΔU:ΔU=+ΔH=+化学反应的等压热效应与等容热效应的关系:Q p=Q V+ΔnRT当反应进度ξ=1mol时,Δr H m=Δr U m+RT化学反应热效应与温度的关系:热力学第二定律Clausius不等式:熵函数的定义:dS=δQ R/T Boltzman熵定理:S=klnΩHelmbolz自由能定义:F=U—TS Gibbs自由能定义:G=H-TS 热力学基本公式:(1)组成恒定、不作非膨胀功的封闭体系的热力学基本方程:dU=TdS-pdV dH=TdS+VdpdF=-SdT-pdV dG=-SdT+Vdp(2)Maxwell关系:==-(3)热容与T、S、p、V的关系:C V=T C p=TGibbs自由能与温度的关系:Gibbs-Helmholtz公式=-单组分体系的两相平衡:(1)Clapeyron方程式:=式中x代表vap,fus,sub。
(2)Clausius-Clapeyron方程式(两相平衡中一相为气相):=(3)外压对蒸汽压的影响:p g是在惰性气体存在总压为p e时的饱和蒸汽压。
吉不斯-杜亥姆公式:SdT-Vdp+=0dU=TdS-pdV+dH=TdS+Vdp+dF=-SdT-pdV+dG=-SdT+Vdp+在等温过程中,一个封闭体系所能做的最大功等于其Helmbolz自由能的减少。
等温等压下,一个封闭体系所能做的最大非膨胀功等于其Gibbs自由能的减少。
统计热力学波兹曼公式:S=klnΩ一种分布的微观状态数:定位体系:t i=N!非定位体系:t i=波兹曼分布:=在A、B两个能级上粒子数之比:=波色-爱因斯坦统计:N i=费米-狄拉克统计:N i=分子配分函数定义:q=-i为能级能量q=-i为量子态能量分子配分函数的分离:q=q n q e q t q r q v能级能量公式:平动:εt=转动:εr=振动:εv=分子配分函数表达式:平动:当所有的平动能级几乎都可被分子到达时一维:q t=二维:q t=A 三维:q t=转动:线性q r===为转动特征温度非线性q r=振动:双原子分子q V===为振动特征温度多原子线性:q V=多原子非线性:q V=电子运动:q e=(2j+1)原子核运动:q n=(2S n+1)热力学函数表达式:F=-kTlnq N(定位)F=-kTln(非定位)S=klnq N+NkT(定位)S=kln+NkT(非定位)G=-kTlnq N+NkTV(定位)G=-kTln+NkTV(非定位)U=NkT2H=NkT2+NkTVP=NkT C V=一些基本过程的ΔS、ΔG、ΔF的运算公式(W f=0)一些基本过程的W、Q、ΔU、ΔH的运算公式(W f=0)溶液-多组分体系体系热力学在溶液中的应用溶液组成的表示法:(1)物质的量分数:(2)质量摩尔浓度:(3)物质的量浓度:(4)质量浓度拉乌尔定律亨利定律:化学势的各种表示式和某些符号的物理意义:气体:(1)纯理想气体的化学势标准态:任意温度,p=pφ=101325Pa。
μφ(T)为标准态时的化学势(2)纯实际气体的化学势标准态:任意温度,f=pφ且复合理想气体行为的假想态(即p=pφ,γ=1),μφ(T)为标准态时的化学势。
(3)混合理想气体中组分B的化学势因为所以不是标准态时的化学势,是纯B气体在指定T、p时的化学势。
溶液:(1)理想溶液组分的化学势所以不是标准态时的化学势而是温度为T、溶液上方总压为p时,纯液体B的化学势。
(2)稀溶液中各组分的化学势溶剂:不是标准态时的化学势而是温度为T、溶液上方总压为p时,纯溶剂A的化学势。
溶质:,,均不是标准态时的化学势,均是T,p的函数,它们分别为:当x B=1,m B=1molkg-1,c B=1moldm-3时且服从亨利定律的那个假想态的化学势。
(4)非理想溶液中各组分的化学势溶剂:不是标准态的化学势,而是a A,x=1即x A=1,γA=1的纯组分A的化学势。
溶质:,,均不是标准态时的化学势,均是T,p的函数,它们分别为:当a B,x=1,a B,m=1,a B,c=1时且服从亨利定律的那个假想态的化学势。
(4)活度a的求算公式:ü 蒸汽压法:溶剂a A=γA x A=p A /p A *溶质:a B=γB x B=p A /k cü 凝固点下降法:溶剂ü Gibbs-Duhem公式从溶质(剂)的活度求溶剂(质)的活度。
(5)理想溶液与非理想溶液性质:理想溶液:非理想溶液:超额函数:溶液热力学中的重要公式:(1)Gibbs-Duhem公式(2)Duhem-Margule公式:对二组分体系:稀溶液依数性:(1)凝固点降低:(2)沸点升高:(3)渗透压:化平衡学化学反应亲和势:A=-化学反应等温式:平衡常数的表达式:温度,压力及惰性气体对化学平衡的影响:电解质溶液法拉第定律:Q=nzF m=t+=====r+为离子移动速率,U+( U-)为正(负)离子的电迁移率(亦称淌度)。
近似:(浓度不太大的强电解质溶液)离子迁移数:t B===+=1电导:G=1/R=I/U=kA/l电导率:k=1/ρ 单位:S·m-1 莫尔电导率:Λm=kV m=k/c 单位S·m2·mol-1科尔劳乌施经验式:Λm=离子独立移动定律:=奥斯特瓦儿德稀释定律:=平均质量摩尔浓度:=平均活度系数:=平均活度:==电解质B的活度:a B==m+=v+m B m-=v-m B离子强度:I=德拜-休克尔公式:lg=-A|z+z--|可逆电池的电动势及其应用(Δr G)T,p=-W f,max(Δr G m)T,p=zEFNernst Equation:若电池反应为 cC+dD=gG+hHE=Eφ-标准电动势Eφ与平衡常数Kφ的关系:Eφ=还原电极电势的计算公式:=计算电池反应的有关热力学函数变化值:==-zEF+Q R=T=zF zF=电极书面表示所采用的规则:负极写在左方,进行氧化反应(是阳极),正极写在右方,进行还原反应(是阴极)电动势测定的应用:(1)求热力学函数变量Δr G m、Δr G mΦ、、及电池的可逆热效应Q R等。
(2)求氧化还原反应的热力学平衡常数KΦ值:KΦ=EΦ= E=(3)求难溶盐的溶度积K sp、水的离子积K w及弱酸弱碱的电离常数等。
(4)求电解质溶液的平均活度系数和电极的值。
(5)从液接电势求离子的迁移数。
Pt,H2(p)|HCl(m)|HCl(m’)| H2(p),Pt1-1价型:E j= E=E c+E j=高价型:M z+A z-(m1)|M z+A z-(m2) E j=(6)利用醌氢醌电极或玻璃电极测定溶液的pH电解与极化作用E分解=E可逆+ΔE不可逆+IRΔE不可逆=η阴+η阳η阴=(φ可逆-φ不可逆)阴η阳=(φ不可逆-φ可逆)阳φ阳,析出=φ阳,可逆+η阳φ阴,析出=φ阴,可逆-η阴η=a+blnjE(实际分解)=E(理论分解)+η(阴)+η(阳)+IR对电解池,由于超电势的存在,总是使外加电压增加而多消耗电能;对原电池,由于超电势的存在,使电池电动势变小而降低了对外作功的能力。
在阴极上,(还原)电势愈正者,其氧化态愈先还原而析出;同理,在阳机上,则(还原)电势愈负者其还原态愈先氧化而析出。
(需外加电压小)化学反应动力学半衰期法计算反应级数:k p=k c(RT)1-n E a-E a’=Q化学反应动力学基础二:Z AB==μ=若体系只有一种分子:Z AA==碰撞参数:b=d AB sinθ碰撞截面:反应截面:k SCT(T)=k SCT(T)==几个能量之间的关系:E a=E c+RT/2=E0+mRT=式中是反应物形成活化络合物时气态物质的代数和,对凝聚相反应,=0。
对气相反应也可表示为:E a=(式中n为气相反应的系数之和)原盐效应:弛豫法:36.79%界面现象与T的关系:两边均乘以T,,即的值将随温度升高而下降,所以若以绝热方式扩大表面积,体系的温度必将下降。
杨-拉普拉斯公式:p s为曲率半径,若为球面p s=,平面p s。
液滴愈小,所受附加压力愈大;液滴呈凹形,R‘为负值,p s为负值,即凹形面下液体所受压力比平面下要小。
毛细管:p s==ΔρghΔρgh=(R为毛细管半径)开尔文公式:p0和p分别为平面与小液滴时所受的压力对于液滴(凸面R‘>0),半径愈小,蒸汽压愈大。
对于蒸汽泡(凹面R‘<0),半径愈小,蒸汽压愈小。
两个不同液滴的蒸汽压:溶液越稀,颗粒越大。
液体的铺展:非表面活性物质使表面张力升高,表面活性物质使表面张力降低。
吉不斯吸附公式:为表面超额若,>0,正吸附;,<0,负吸附。
表面活性物质的横截面积:A m=粘附功: W a值愈大,液体愈容易润湿固体,液固界面愈牢。
内聚功:浸湿功:铺展系数:,液体可在固体表面自动铺展。
接触角:Langmuir等温式:θ:表面被覆盖的百分数。
离解为两个分子:混合吸附:即:BET公式:弗伦德利希等温式:乔姆金吸附等温式:吸附剂的总表面积:S=A m Ln n=V m/22400cm3mol-1气固相表面催化反应速率:单分子反应:(产物吸附很弱)(产物也能吸附)双分子反应:(AB都吸附)(AB均吸附,但吸附的B不与吸附的A反应)(B不吸附)胶体分散体系和大分子溶液布朗运动公式:(D为扩散系数)球形粒子的扩散系数:渗透压:渗透力:F=扩散力=-F沉降平衡时粒子随高度分布公式:瑞利公式:电势表面电势Stern电势电解质浓度增加电势减小。