山东大学2017年经济学院博士招生目录_山东大学考研网
- 格式:pdf
- 大小:79.74 KB
- 文档页数:3
山东大学研究生招生专业目录一、哲学类1、哲学2、逻辑学3、伦理学二、经济学类1、经济学2、财政学3、金融学4、经济管理三、法学类1、法学2、社会学3、政治学4、国际政治四、教育学类1、教育学2、心理学3、体育学4、科学教育五、文学类1、中国语言文学2、外国语言文学3、新闻传播学六、历史学类1、历史学2、考古学3、文物与博物馆学七、理学类1、数学2、物理学3、化学4、生物学5、地理学6、大气科学7、海洋科学8、地球物理学9、地质学八、工学类1、机械工程2、车辆工程3、电气工程4、电子信息工程5、自动化6、计算机科学与技术7、土木工程8、水利工程9、测绘科学与技术10、化工与制药11、地质资源与地质工程12、矿业工程13、纺织科学与工程14、轻工技术与工程15、交通运输工程16、船舶与海洋工程17、航空宇航科学与技术18、兵器科学与技术19、核工程与核技术20、农业工程21、林业工程22、环境科学与工程23、生物医学工程24、食品科学与工程九、农学类1、农学2、园艺3、植物保护4、草业科学5、森林资源十、医学类1、基础医学2、临床医学3、口腔医学4、公共卫生与预防医学5、中医学6、中西医结合7、药学8、中药学十一、管理学类1、管理科学2、工商管理3、农业经济管理4、公共管理5、图书情报与档案管理6、物流管理7、工程管理8、信息资源管理十二、艺术学类1、艺术学2、音乐与舞蹈学3、戏剧与影视学4、美术学。
经济学院博士研究生导师介绍臧旭恒,南开大学经济学博士,“泰山学者”特聘教授,孙冶方经济科学奖获得者。
现任山东大学经济学院院长、山东大学产业经济学研究所(消费与发展研究所)所长、《产业经济评论》主编。
曾为美国加州大学富布莱特访问学者和英国伦敦大学、澳大利亚昆士兰大学、意大利帕维亚大学访问学者,被美国加州大学(圣克鲁斯)聘为客座研究员,南开大学教育部重点科研基地“政治经济学研究中心”学术委员会委员、兼职研究员,辽宁大学、中国海洋大学、浙江财经学院、河南财经学院、山东财经学院等高校兼职教授,中国经济发展研究会常务理事,中华外国经济学说研究会、中国工业经济学会理事,山东省人民政府调研室特邀研究员,享受国务院政府特殊津贴专家。
《改革》、《南开经济研究》、《中国经济学前沿》(英文)等刊物学术委员会委员,《经济研究》等匿名审稿人。
在《经济研究》、《中国工业经济》发表论文多篇。
教学与研究领域:消费经济、产业经济、宏观经济分析、经济增长与发展理论。
樊丽明教授,财政部财政科学研究所经济学博士,厦门大学博士后,美国杜克大学高级访问学者,现任山东大学副校长,享受国务院特殊津贴专家,山东省“理论人才百人工程”入选专家,教育部经济学教学指导委员会委员,中国财政学会常务理事,中国税务学会理事,全国高校财政学教学研究会理事,山东省财政学会副会长,山东国际税收研究会副会长。
1998年以来共承担国家级科研项目6项,省部级科研项目8项,横向联合项目10余项,在《经济学动态》、《财贸经济》、《财政研究》、《税务研究》等CSSCI核心期刊发表论文40余篇,出版专著7部,获省部级以上奖励10项。
教学与研究领域:公共经济理论、财政税收政策、中外财政税收制度比较、宏观经济分析。
于良春教授,吉林大学经济学博士、山东大学法学博士,国家级教学名师,山东大学经济学院党委书记兼副院长。
美国佛罗里达大学高级客座研究员,荷兰提尔堡大学客座教授。
英国利物浦大学、德国爱尔兰根——纽伦堡大学访问教授。
博士研究生2008—2009学年第一学期教学时间安排表
注:1.请各负责同学课前与任课导师联系,做好上课准备,保证按时上课;2. 请各负责人课前速与任课联系,保证按时上课。
《课程汇总表》本周五下班前送到研究生办公室。
开学报到后负责的同学请与研究生办公室(69187)石老师联系;3.因经管楼609教室院里另有用途,10月1日之前到各位老师办公室上课,10月1日之后根据院里安排再定。
博士研究生2008—2009学年第一学期教学时间安排表
前送到研究生办公室。
开学报到后负责的同学请与研究生办公室(69187)石老师联系;3.因经管楼609教室院里另有用途,10月1日之前到各位老师办公室上课,10月1日之后根据院里安排再定。
经济学院博士研究生导师介绍臧旭恒,南开大学经济学博士,“泰山学者”特聘教授,孙冶方经济科学奖获得者。
现任山东大学经济学院院长、山东大学产业经济学研究所(消费与发展研究所)所长、《产业经济评论》主编。
曾为美国加州大学富布莱特访问学者和英国伦敦大学、澳大利亚昆士兰大学、意大利帕维亚大学访问学者,被美国加州大学(圣克鲁斯)聘为客座研究员,南开大学教育部重点科研基地“政治经济学研究中心”学术委员会委员、兼职研究员,辽宁大学、中国海洋大学、浙江财经学院、河南财经学院、山东财经学院等高校兼职教授,中国经济发展研究会常务理事,中华外国经济学说研究会、中国工业经济学会理事,山东省人民政府调研室特邀研究员,享受国务院政府特殊津贴专家。
《改革》、《南开经济研究》、《中国经济学前沿》(英文)等刊物学术委员会委员,《经济研究》等匿名审稿人。
在《经济研究》、《中国工业经济》发表论文多篇。
教学与研究领域:消费经济、产业经济、宏观经济分析、经济增长与发展理论。
樊丽明教授,财政部财政科学研究所经济学博士,厦门大学博士后,美国杜克大学高级访问学者,现任山东大学副校长,享受国务院特殊津贴专家,山东省“理论人才百人工程”入选专家,教育部经济学教学指导委员会委员,中国财政学会常务理事,中国税务学会理事,全国高校财政学教学研究会理事,山东省财政学会副会长,山东国际税收研究会副会长。
1998年以来共承担国家级科研项目6项,省部级科研项目8项,横向联合项目10余项,在《经济学动态》、《财贸经济》、《财政研究》、《税务研究》等CSSCI核心期刊发表论文40余篇,出版专著7部,获省部级以上奖励10项。
教学与研究领域:公共经济理论、财政税收政策、中外财政税收制度比较、宏观经济分析。
于良春教授,吉林大学经济学博士、山东大学法学博士,国家级教学名师,山东大学经济学院党委书记兼副院长。
美国佛罗里达大学高级客座研究员,荷兰提尔堡大学客座教授。
英国利物浦大学、德国爱尔兰根——纽伦堡大学访问教授。
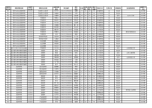
山东大学2019年硕士研究生招生考试拟录取名单
单位代码:_____ 单位名称(公章):___________________ 本表共含:_______人,其中_____人不占学院计划 分管领导签字:_____________
说明:
1.考生编号、专业代码与专业名称等务必填写完整、准确;
2.本表应按照考生录取专业代码及考生编号排序,请不要按照录取名次排序;
3.显示不全的内容请设置格式为缩小字体填充(选中表格,右键设置单元格格式,文本控制勾选“缩小字体填充”);
4.表格预留行数较多,打印前请根据实际内容删除多余的行数后再行打印;
5.保留入学资格返回(非18年录取)不需要在此表中上报;
6.推荐免试务必一并上报,如有考生放弃入学资格,请另附考生签字确认的书面说明;
7.本表作为考生录取存档材料,请勿修改格式;。
山东大学经济学院国际商务专业攻读硕士专业学位研究生培养方案(2013年5月修订稿)(专业代码:)一、培养目标培养适应复杂国际经济、政治、文化环境和国家发展需要的,通晓现代商务基础理论,具备完善的国际商务知识体系,熟练掌握现代国际商务实践技能,有较强的英语(和/或其它外语)交流能力和国际商务分析与决策能力,胜任在涉外企事业单位、政府部门和社会团体从事国际商务经营运作与管理工作的应用型、复合型、职业型的高级商务专门人才。
二、研究方向1. 国际贸易实务2. 国际市场营销3. 跨国经营管理4. 国际投资管理5. 国际商务外交三、学制与学习年限采取全日制和在职攻读两种方式。
根据培养目标和生源背景的不同,实行弹性学制,学制2-4年。
全日制硕士研究生学制为3年,学习年限为3年。
在职攻读硕士的学习年限为3-5年。
四、应修总学分数应修总学分44学分。
其中学位课10学分,专业必修课13学分,专业选修课9学分,国际商务实践4学分,学位论文4学分。
五、课程设置实行学分制,完成全部培养计划需要修满40个学分,并圆满完成毕业论文(4学分)。
课程类型分为学位课、专业必修课和专业选修课。
课程类型与学分分布如下:(一)学位课(10学分)马克思主义理论(2学分)商务外语(2学分)经济学分析与应用(3学分)国际商务(3学分)(二)专业必修课(13学分)●国际贸易实务(3学分)●商务英语口语(2学分)●国际投资与跨国企业管理(2学分)●国际金融理论与实务(2学分)●国际商务谈判(2学分)●国际商法(2学分)(三)专业选修课(13学分)学生可从以下选修课或者学院研究生通选课中选修相应课程,全部共修满9个学分。
●国际贸易政策研究(3学分)●企业并购与重组案例(2学分)●外汇市场与外汇业务(2学分)●战略管理(2学分)●商务外交策略(2学分)●财务管理理论与实务(2学分)●国际商务精品讲座(2学分)●专业写作(2学分)(四)国际商务实践(4学分)专业实践是专业学位研究生重要的培养环节,充分的、高质量的专业实践是专业学位教育质量的重要保证。
有志于学三十而立——山东大学经济学院简介(2007年6月26日修订)山东大学经济学院是在1977年成立的原山东大学经济学系的基础上,于1987年组建而成的。
学院下设经济学系、财政学系、金融学系、国际经济与贸易学系、风险管理与保险学系等5个系,以及产业经济(消费与发展)研究所等研究机构。
山东大学经济学院把应用经济学作为发展重点,同时兼顾理论经济学的建设。
山东大学经济学科现在拥有应用经济学、理论经济学一级学科博士学位授予权和应用经济学博士后流动站,目前有政治经济学、西方经济学、国民经济学、财政学、金融学、产业经济学、国际贸易学7个博士专业,设有政治经济学、西方经济学、世界经济学、国民经济学、区域经济学、财政学、金融学、产业经济学、国际贸易学、劳动经济学、数量经济学、投资经济学和保险学等13个硕士专业和经济学、财政学、金融学、国际经济与贸易学、保险学、金融工程6个本科生招生专业,同时与山东大学数学院合作建设金融数学与金融工程人才培养基地。
产业经济学为国家重点学科,政治经济学、产业经济学、财政学为省级重点学科;产业经济学同时是山东省“泰山学者特聘教授”设岗学科,学院拥有“211工程”和“985工程”学科建设平台。
消费经济学和产业经济学研究在全国具有重要的地位。
依托产业经济学“985工程”二期建设,学院正在延揽人才、整合力量,希望在规制理论与政策、地方财政和税收理论与制度构建、金融工程与金融投资、国际经贸理论研究等方面取得突破和进展。
山东大学经济学院地处齐鲁大地,秉承百年名校的优良传统和文化底蕴,拥有一支学术造诣深、梯队合理的教学科研队伍。
学院现有教职工92人,其中专任教师71名,教授23人,副教授29人;博士生导师24人(含兼职与外聘8人),硕士生导师46人(含兼职11人),具有博士学位的教师48人,在职攻读博士学位的教师11人;有长期(一年以上)海外访学经历的14人;“泰山学者”特聘教授1人,国家级教学名师1人,山东省有突出贡献中青年专家1人,享受国务院特殊津贴专家4人,学院还从国内外知名高校和科研机构聘任了几十位兼职教授(师)。
山东大学经济学院2010届学生毕业典礼暨学位授予仪式上的讲话尊敬的各位老师、同学、校友和家长:大家好!今天,又有一批优秀的学子将走出山大校园,五百多名经院毕业生将怀揣着光荣与梦想,告别朝夕相处的老师与同学,开始人生的新的旅程。
在此,我代表山东大学经济学院向圆满完成学业的334名本科生、150名硕士研究生和32名博士研究生表示热烈的祝贺。
向教书育人的老师们以及关心和支持学院发展的各位领导、校友和朋友致以崇高的敬意!同时,也向培育子女成长的家长和支持学子完成学业的家人亲友表示衷心的感谢!感谢各位来到山东大学中心校区科学会堂,参加这庄严、神圣的毕业典礼。
几年前,同学们怀着无限的憧憬和梦想来到山东大学。
这里留下了你们青春的风采,执着的追求,拼博的热情,收获的喜悦,宝贵的情感。
现在,你们要离开了,仿佛是站在人生的路口上,不管是向往、兴奋、憧憬和期待,还是伤感、惆怅、无奈和迷茫,所有的这一切都将过去,都将成为你们沉甸甸的精神财富,全新的生活在等待着你们。
同学们,今天对你们来说,是一个很有纪念意义的特殊日子,标志着你们已顺利完成了大学或研究生的学业;同时也标志着你们将真正步入社会。
有人说大学就是一个社会,也有人说大学是社会的缩影,但大学同真正的社会还是有很大的差别。
当今的大学承担着人才培养、科学研究、社会服务等三大功能,用“象牙塔”来形容大学的人越来越少了。
在大学和社会之间,人们越来越不愿意把大学形容成与世隔绝的梦幻境地、逃避现实生活的世外桃源,大学要承担起引领社会发展的重任。
作为学术的殿堂,大学就要鼓励探索,允许失败,甚至是宽容错误。
离开校园后,社会不会也不可能,再像老师和同学那样包容你的过错。
因为有些错误,将使我们自身和社会都付出巨大的代价。
无论是工作、立业,还是结婚、育子,都要求你们担当起成人的责任。
同学们,今天对于山大,对于经济学院来讲,同样是一个特殊的日子,因为我们的学子将要远行。
你们将奔赴世界各地、四面八方,成为山东大学的一张张名片,一个个使者。