高数典型例题
- 格式:doc
- 大小:951.51 KB
- 文档页数:48
高数函数定义域典型例题例1 已知()sin f x x =,2[()]1f x x ϕ=-,求()x ϕ的解析式及其定义域. 解 依题意得sin ()x ϕ=21x -,()x ϕ=2arcsin(1)x -.由2111x -≤-≤可知x ≤()x ϕ=2arcsin(1)x -,[x ∈.例2 设1,0()2,0x x f x x x -≤⎧=⎨+>⎩,2, 0(),0x x g x x x ⎧<=⎨-≥⎩.求[()]f g x .解 (1)由()0g x ≤得()0g x x =-≤即0x ≥,所以0x ≥时[()]f g x =1x +. (2)由()0g x >即2()0g x x =>得0x <.所以0x <时,[()]f g x =22x +. 故22,0[()]1, 0x x f g x x x ⎧+<=⎨+≥⎩.例3 设1,||1()0,||1x x x ϕ≤⎧=⎨>⎩,22,||1()2, ||1x x x x φ⎧-≤=⎨>⎩.试求[()]x ϕφ,{[()]}x ϕϕϕ.解 (1)由于1,|()|1[()]0,|()|0x x x φϕφφ≤⎧=⎨>⎩,且仅当||1x =时,()1x φ=;||1x ≠时,1()2x φ<≤.则1,||1[()]0,||1x x x ϕφ=⎧=⎨≠⎩.(2)当(,)x ∈-∞+∞时,0()1x ϕ≤≤.故[()]1x ϕϕ≡,(,)x ∈-∞+∞.于是{[()]}1x ϕϕϕ≡,(,)x ∈-∞+∞.注 函数复合类似“代入”,但应注意定义域的变化.复合后要写下复合函数的定义域.由于复合函数是微积分研究的主要对象之一,读者应熟练掌握复合函数的概念.例4 设()f x ,()x ϕ,()x φ均为单调递增函数,且()()()x f x x ϕφ≤≤.证明:[()][()][()]x f f x x ϕϕφφ≤≤.证明 由题设可知[()][()][()]x f x f f x ϕϕϕ≤≤, [()][()][()]f f x f x x φφφ≤≤,则由上述不等式可得[()][()][()]x f f x x ϕϕφφ≤≤.注 此处多次利用函数单调性的定义.例5 下述说法中与lim n n x a →∞=的定义等价的是( ).A .(0,1),N ε∀∈∃,当n N ≥时,有||100n x a ε-≤.B .1,N ε∀>∃,当n N >时,有||n x a ε-<.C .,0N ε∀∃>,当n N >时,有||n x a ε-<.D .,0N ε∃∀>,当n N >时,有||n x a ε-<.解 lim n n x a →∞=的定义:对于数列n x ,存在常数a ,使得对于任意给定的正数ε(不论它多么小),存在自然数N ,使当n N >时,不等式||n x a ε-<恒成立.A 与上述定义等价,因为0ε>具有任意性,100ε也具有任意性.B 因为1ε>不能保证ε为任意小,从而由||n x a ε-<不能保证n x 与a 无限接近.C 中的ε是存在性,与定义不符.D 如果存在自然数N ,使对0ε∀>,当n N >时有||n x a ε-<,这说明数列n x 有极限a ,说明D 是上述定义的充分条件.但反之如果lim n n x a →∞=,不一定能找到那样的N (它可能与ε无关.这一要求比N 与ε有关的要求更高),使对任意0ε>,当n N >时,都有||n x a ε-<,因为在定义中N 是依赖于ε的给定而确定的.因而D 不是上述定义的必要条件.故选A .例6(03研*) 设{}n a 、{}n b 、{}n c 均为非负数列,且lim 0n n a →∞=,lim 1n n b →∞=,lim n n c →∞=∞,则必有( ). A .n n a b <对任意n 成立. B .n n b c <对任意n 成立. C .lim n n n a c →∞不存在. D .lim n n n b c →∞不存在.解法1 由数列极限的定义,数列{}n a 的极限关心的是n a 在某个N (足够大)之后的性质,前面的有限多项则无关紧要.因此A 、B 中“任意n ”的条件显然不成立.“0⋅∞”型的极限是未定式,C 不成立,故选D .事实上,当lim 0n n b b →∞=≠,lim n n c →∞=∞时,由无穷大量的定义得到lim n n n b c →∞=∞.解法2 举反例:取2n a n =,1n b =,2n nc =,则可以直接排除A 、B 、C . 例7 当1x →时,函数12111x x e x ---的极限( ). A .2. B .0. C .∞. D .不存在且不为∞.分析 左、右极限存在且相等,是函数极限存在的充要条件.本题中函数211exp 11x x x ---为两个因式的乘积,易求出211lim 21x x x →-=-,所以解本题的关键是因式11x e -.注:03研表示2003年考研真题,以下同.解 因211lim 21x x x →-=-,而111lim x x e +-→=+∞,111lim 0x x e --→=.故 12111lim 1x x x e x +-→-=+∞-,12111lim 01x x x e x --→-=-.所以选D . 例8求n →∞.分析 所求极限中有根式.通常需要对分子或分母有理化.有时甚至需要对分子分母同时有理化.本题需对分子有理化.解n →∞=n=n=n =2.例9求x →解法1 分子分母有理化.则有x →21123333))))x →=2122333)))x →=32. 解法2 注意到该极限属于型,可用洛必达法则,从而x →11222203311(1)(1)(1)22lim 11(1)(1)(1)33x x x x x --→--+--⋅-+--⋅- =1122223311(10)(10)(1)2211(10)(10)(1)33----+--⋅-+--⋅-=32. 注 解法2用到的洛必达法则属于第三章的内容. 例10求limx分析 所求极限中分子与分母都有根式,通常需要有理化,但本题如果对分子分母同时有理化则很难求解,注意到该极限属于∞∞型.考虑分子分母同时除以x 的最高次幂.解法1 由于x →-∞||x x ==-.函数的分子分母同时除以x -得limx=limx =1.解法2 运用变量代换,令x t =-,则lim x=limt=lim t 1. 错误解答limxlimx 3.错解分析 错误的原因在于没有注意到x 的变化过程,而将被求极限函数分子分母同时除以x 导致错误出现.在解题过程中,最好用解法2则可避免出错.例11已知lim (51x x →+∞=.试求常数a 、b 、c 中的a 和b .分析 本题极限中出现根式可优先考虑有理化.然后利用极限运算性质来分析极限运算过程,尤其是无穷小与无穷大的相关运算性质,即可解决问题.解法1 分子有理化可得lim (5x x →+∞=2limx=(25)limx ca xb -+-=1,如果25a ≠,则lim[(25)]x ca xb x→+∞-+-=∞, 故要使lim (51x x →+∞=,必须有25a =1=,得25a =,10b =.解法2由题意有lim (51x x →+∞⋅=.当x →+∞时,由于lim (5x →+∞=5,若50≠,则lim (51x x →+∞⋅=∞≠.所以50,即25a =.由lim (51x x →+∞=⇒limx c b -=1,可得110b=.所以25a =,10b =. 例12求n →∞.分析 当n →∞时,的极限都不存在.尽管出现了根式,但无法直接有理化.应先利用三角函数的和差化积,然后再求解.解 因为=,又|2≤,即为有界量.且n →∞n →∞=n 0,即为n →∞时的无穷小量.根据有界量与无穷小的乘积仍为无穷小这一性质可知:n →∞-=0.例13 求下列极限: (1)0sin limx x x →; (2)01lim sin x x x→⋅;(3)sin limx x x →∞; (4)1lim sin x x x→∞⋅;(5)11lim sin x x x →∞⋅; (6)011lim sin x x x →⋅.解 (1)由重要极限知0sin lim 1x xx→=.(2)0x →时,1sin x 为有界量.故01lim sin x x x→⋅=0.(3)x →∞时,1x 为无穷小量,sin x 为有界变量.故sin lim x xx→∞=0.(4)解法1 x →∞时,11sinx x .故1lim sin x x x→∞⋅=1.解法2 令1x t =,则由x →∞知0t →.故1lim sin x x x →∞⋅=0sin lim 1t tt →=.(5)解法1 x →∞时,10x →,1sin x 为有界量.故11lim sin x x x→∞⋅=0.解法2 x →∞时,10x →.11sinx x .故11lim sin x x x→∞⋅=0. (6)0x →时,1x →∞.1sin x 不定.取子列12n x n π=,则n →∞时0n x →,11sin 0n nx x ⋅=.另取子列122n y n ππ=+,则n →∞时,0n y →,11sin 22n n n y y ππ⋅=+→∞. 故011lim sin x x x→⋅不存在. 注 在求极限时,一看自变量的变化过程,二看函数的变化趋势,准确判断极限类型,正确使用重要极限公式,充分利用有界量与无穷小的乘积仍为无穷小这一性质,对解题将大有帮助.例14 求下列极限:(1)30tan sin lim x x xx →-; (2)01sin cos lim1sin cos x x x px px →+-+-,其中p 为常数且0p ≠; (3)0lim x +→分析 极限若为型,且含有三角函数或反三角函数,可尝试运用重要极限 0sin lim1x xx→=.解 (1)解法1 运用重要极限0sin lim1x xx→=.30tan sin limx x x x →-=30tan (1cos )limx x x x →- =230sin 2sin 2limcos x xx x x →⋅=20sinsin 12lim ()2cos 2x x x x x x →⋅⋅=12.解法2 30tan sin lim x x x x →-=30tan (1cos )lim x x x x →-=2302lim x x x x →⋅=12. 解法3 运用洛必达法则,则30tan sin lim x x xx→-=220sec cos lim 3x x x x →-=32201cos lim 3cos x x x x →-⋅=32011cos lim 3x x x →-⋅ =2013cos (sin )lim 32x x x x →-⋅-⋅=201cos sin lim 2x x x x →⋅⋅=12. 错误解答 0x →时,tan sin x x x ,故30tan sin lim x x x x →-=30limx x xx →-=0. 错解分析 错误原因在于错误地使用了等价代换.tan sin x x -并不与x x -等价,而是与32x等价.在极限的和差运算中要慎重使用等价代换,一定要确保所做代换是等价代换.(2)解法1运用重要极限sinlim1xxx→=.1sin coslim1sin cosxx xpx px→+-+-=sin1coslimsin1cosxx xx xpx pxx x→-+-+=2022sinsin2lim2sinsin2xxxx xpxpxppx x→+⋅+=222sinsin2()22limsinsin2()22xxx xxxpxpx p xppxpx→+⋅⋅+⋅=10p++=1p.解法2利用无穷小的等价替换:0x→时,sin x x,21cos2xx-.01sin coslim1sin cosxx xpx px→+-+-=sin1coslimsin1cosxx xx xpx pxx x→-+-+=0000sin1coslim limsin1coslim limx xx xx xx xpx pxx x→→→→-+-+=2002002lim lim()2lim limx xx xxxx xpxpxx x→→→→++=10p++=1p.解法3利用()oαββαα⇔=+.由于当0x →时,sinx x,21cos2xx-从而有sin()x x o x=+,sin()px px o px=+,222()1cos()22px p xpx o-=+.01sin coslim1sin cosxx xpx px→+-+-=222222()()22lim()()22xx xx o x op x p xpx o px o→++++++=2222()()212lim()()22xxoo x xx xp xoo px p xpx x→++++++=10001000p p+++=+++.解法4 用洛必达法则.01sin cos lim 1sin cos x x x px px →+-+-=00cos sin 1lim 0cos sin x x x p px p px p →++=++.(3) 解法1 运用重要极限0sin lim1x xx→=.0lim x +→0lim x +→=202sin lim x x+→=2200sin /2()lim x x x x +→→⋅=12. 解法2 利用等价无穷小的替换定理.0lim x +→0lim x +→=20(cos 1)2lim 2x x x +→--=2202lim x x x +→=12. 解法3 利用分子有理化和等价无穷小的替换定理.0lim x +→0lim x +→=200lim lim x x x ++→→=12. 解法4 分母先作等价替换,然后用洛必达法则.0lim x +→0lim x +→=1201(cos )(sin )2lim x x x x +-→-- =1201(cos )()2lim x x x x +-→--=12. 注 一般地,能够用重要公式0sin lim 1x xx→=来解决的问题,一般也可以通过恒等变形后作等价替换,在求极限时能用多种方法综合求解时多种方法一起使用,往往能使计算非常简便.例15(00研) 求1402sin lim()||1xx xexx e→+++. 分析 求带有绝对值的函数的极限一定要注意考虑左、右极限. 解 因为1434402sin 2sin lim()lim()011||11xxxx x xx e x e e xx xee ++--→→-+++=+=+=++,114402sin 2sin lim()lim()211||11xxx x xxe x e xx xee --→→+++=-=-=++, 所以1402sin lim()1||1xx xe xx e→++=+. 错误解答 因为 1402lim1xx xe e→++和0sin lim||x xx →均不存在,故原来的极限不存在.错解分析 如果lim ()x af x →和lim ()x ag x →均不存在,但lim[()()]x af xg x →+可能存在.用极限的四则运算来求极限时要注意条件,即参与极限四则运算的各部分的极限均要存在.例16 设2lim()8xx x a x a→∞+=-.求a 的值.分析 所求极限的函数为幂指函数.可用幂指函数的极限求法来求解.关于幂指函数()lim ()v x u x 的极限的求法参见内容提要.解法1 运用重要极限1lim(1)x x e x→∞+=.2lim()x x x a x a →∞+-=2lim(11)x x x a x a→∞++--=333lim(1)x a a x a x a x a x a -⋅⋅-→∞+-=3lim x axx ae →∞-=3a e , 得3a e =8,故ln2a =.解法2 2lim()x x x a x a →∞+-=2(1)lim(1)x x x a x a x →∞+-=2lim(1)lim(1)xx xx a x a x→∞→∞+-=2a a e e -=3a e =8,故ln2a =. 解法3 2lim()x x x a x a →∞+-=2limexpln()x x x a x a →∞+-=2exp(lim ln )x x ax x a→∞+-=3exp[lim ln(1)]x a x x a →∞+-=3exp(lim )x ax x a→∞⋅-=3a e =8,故ln2a =.例17 求21lim(sin cos )x x x x →∞+.解法1 121(sin cos 1)22sin cos 12121lim(sincos )lim[1(sin cos 1)]x x x x x xx x x x x x⋅+-+-→∞→∞+=++-,又因为21sincos 121lim (sincos 1)lim1x x x x x x xx →∞→∞+-⋅+-=21sin cos 1lim()20211x x x x x→∞-=+=+=, 故21lim(sin cos )x x x x→∞+2e =.解法2 21lim(sin cos )x x x x →∞+21limexp[ln(sin cos )]x x x x →∞=+21exp[lim ln(sin cos )]x x x x→∞=+21ln(sin cos )exp[lim]1x x x x→∞+= 0ln(sin 2cos )exp[lim ]t t t t→+=(令1t x =)0ln(1sin 2cos 1)exp[lim]t t t t →++-=0sin 2cos 1exp(lim)t t t t →+-=(用到这里In (1+x )=x)00sin 2cos 1exp(limlim )t t t t t t→→-=+2e =.解法3 21lim(sin cos )x x x x →∞+21limexp[ln(sin cos )]x x x x →∞=+21exp[lim ln(sin cos )]x x x x→∞=+21ln(sin cos )exp[lim]1x x x x→∞+= 0ln(sin 2cos )exp[lim ]t t t t →+=(令1t x =)202cos2sin exp(lim)sin 2cos t t te t t→-==+.例18(03研) 21ln(1)0lim(cos )x x x +→=_______.分析 极限属于1∞的类型,既可用重要极限,又可用求幂指函数的极限的方法. 解法1 用等价代换.21ln(1)lim(cos )x x x +→201exp[limln(cos )]ln(1)x x x →=+,而2200ln(cos )ln(1cos 1)lim limln(1)x x x x x x →→+-=+=22200cos 12lim lim x x x x x x →→--==12-, 故21ln(1)0lim(cos )x x x +→e1=. 解法2 先用等价代换,然后用洛必达法则.21ln(1)lim(cos )x x x +→ 201exp[limln(cos )]ln(1)x x x →=+,而22000sin ln(cos )ln cos 1cos lim lim lim()ln(1)22x x x xx x x x x x →→→==-=-+, 故21ln(1)lim(cos )x x x +→e1=. 例19 求11112lim ()xxxnxnx a a a n→+∞+++,其中1a ,2a ,,n a 均为正实数.分析 该极限属于1∞型,可采用例16的解法1与解法3. 解法1 11112lim ()x xxnx nx a a a n→+∞+++=11112lim (11)xxxnx nx a a a n→+∞++++-=111121111211112lim (1)x x x n x x x n a a a n nnxnx xxa a a nn x a a a nn+++-⋅⋅+++-→+∞+++-+=11112exp(lim)x xxn x a a a nnx n→+∞+++-⋅=11112(1)(1)(1)exp[lim]1xxxn x a a a x →+∞-+-++-=11112111exp(lim lim lim)111xxxn x x x a a a x xx→+∞→+∞→+∞---+++=12111ln ln ln exp(lim lim lim )111n x x x a a a x x x x x x→+∞→+∞→+∞+++ =12exp(ln ln ln )n a a a +++=12n a a a ⋅⋅.解法2 11112lim ()xxxnx nx a a a n→+∞+++=11112lim exp(ln)xxxnx a a a nx n →+∞+++⋅=11112exp(lim ln)xxxnx a a a nx n→+∞+++⋅=11112exp{lim ln[(1)1]}x xxnx a a a nx n→+∞+++⋅-+=11112exp[lim (1)]xxxnx a a a nx n→+∞+++⋅-=11112exp{lim [(1)(1)(1)]}xxxn x x a a a →+∞⋅-+-++-=12exp(ln ln ln )n aa a +++=12n a a a ⋅⋅.例20 求226n n n→∞++++.分析 此类和式极限,不容易求出它的有限项的和的一般式,可考虑用夹逼准则. 解 由于≤≤1,2,,k n =. 得222nnnk k k ===≤≤,1,2,,k n =.又2lim nn k →∞==1(1)(21)n n n n ++=13.同理2lim nn k →∞=13. 所以由夹逼准则得226n n n →∞++=13. 例21 求极限112lim()nnn nk n a a a →∞+++,其中1a ,2a ,,k a 均为正实数,k 为自然数.解 记a =12max{,,,}k a a a ,则11112()()()n n nn n nn nk a a a a ka ≤+++≤.而1lim 1n n k →∞=,1lim()n nn a a →∞=.所以112lim()n nn nk n a a a →∞+++=a =12max{,,,}k a a a .例22 []x 表示x 的取整函数.试求01lim []x x x→⋅.分析 充分利用不等式1[]x x x -<≤是求解本题的关键.解 对任一x R ∈,有1[]x x x -<≤,则当0x ≠时有1111[]x x x-<≤.于是 (1)当0x >时,111(1)[]x x x x x x -<⋅≤⋅,由夹逼准则得01lim []1x x x +→⋅=;(2)当0x <时,111[](1)x x x x x x ⋅≤⋅<-,由夹逼准则得01lim []1x x x-→⋅=.所以01lim []1x x x→⋅=.例23 设110x =,1n x +=1,2,n =.试证数列}{n x 极限存在,并求此极限.分析 用单调有界准则来证明,先证明单调性,再证明有界性.解 用数学归纳法证明此数列的单调性.由110x =及24x ==可得12x x >. 假设{1,2,}n ∈,有1+>n n x x ,则21166+++=+>+=n n n n x x x x .由数学归纳法知,对一切N n ∈都有1+>n n x x .即数列}{n x 单调递减.又0(1,2,)n x n >=显然成立,即}{n x 有下界,由单调有界准则知}{n x 存在极限,设A x n n =∞→lim ,对n n x x +=+61两边取极限,有A = 即 260A A --=.所以3A =或2A =-(舍去),即3lim =∞→n n x .例24 设0a >,1x =2x =,1n x +=其中1,2,n =,求lim n n x →∞.分析 需先用单调有界准则证明数列极限存在.单调性易证,但上界或下界却不易估计.为此则可先假设lim n n x A →∞=,并由A A =,此即为数列的一个上界,但此上界形式较复杂,论证不太方便.可将其适当放大化简:1<= 解 先用数学归纳法证明数列{}n x 单调递增.由0a >知,210x x =>.假设10n n x x ->>成立,则1n n x x +==,所以数列{}n x 单调递增.下证有界性.下证1为数列{}n x 的上界.假设1n x <+11n x +=故01n x <<+{}n x 有界.根据单调有界准则知lim n n x →∞存在.不妨设为A ,则有A 解得A =或A =.故lim n n x →∞=注1 讨论数列{}n x 的单调性和有界性时,数学归纳法是一种简洁有效的方法.注2 如果数列{}n x 的上界(或下界)不易直接看出时,则可以先假定数列{}n x 的极限存在并求出极限值A ,据此就可以找到数列{}n x 的上界(或下界),再进一步证明其确实是数列{}n x 的上界(或下界).例25 求下列极限:(1)lim 1)n n →∞; (2)n n →∞; (3)1121lim (33)n n n n +→∞-.分析 含有指数函数或指数函数的差,一般考虑换底或提出公因子,然后结合等价替换求解.解 (1)lim 1)n n →∞=1ln lim (1)a nn n e→∞⋅-=1lim ln n n a n→∞⋅=ln a .(2)n n →∞=limexp[1)]n n →∞⋅=exp[lim 1)]n n →∞⋅=exp[lim n n →∞=exp(lim lim n n n n →∞→∞=1exp (ln5ln7)2+(3)1121lim (33)n n n n +→∞-=112(1)1lim 3[31]n n n n n ++→∞⋅-=ln32(1)lim [1]n n n n e+→∞-=2ln 3lim (1)n n n n →∞⋅+=ln3.注 本题用到了1n =(0a >),11ln na na e=以及当0x →时ln(1)x x +,1x e x-等结果.例26 当0x →时,试将21x e -,ln(1)x +,21cos x -,tan sin x x -按低阶到高阶的无穷小顺序排列.分析 注意将考虑对象均与x 进行比较,充分利用常用的等价替换关系式. 解 当0x →时,由于221x e x -, ln(1)x x +, 2242()1cos 22x x x-=,且tan sin x x -=1sin (1)cos x x-=2sin (1cos )cos 2x x x x x -⋅=32x , 故将其按低阶到高阶的无穷小顺序排列为ln(1)x +,21x e -,tan sin x x -,21cos x -.例27 设2tan (1cos )lim2ln(12)(1)x x a x b x c x d e -→+-=-+-,其中220a c +≠,则必有( ). A .4b d =. B .4b d =-. C .4a c =.D .4a c =-.分析 由于0x →,极限式中含有tan x ,21x e --,ln(12)x -,1cos x -这些无穷小量,因此要考虑运用无穷小量的有关知识.解法1 2tan (1cos )lim ln(12)(1)x x a x b x c x d e -→+--+-=20tan (1cos )lim ln(12)(1)x x x x abx x x e c dx x-→-+--+ =20000tan (1cos )limlimln(12)(1)lim limx x xx x x x a b x x x e c d x x→→-→→-+--+=22a c -=, 即4a c =-.选D .解法2 利用关系式()o αββαα⇔=+.因为当0x →时,tan x x , 1xx e -, ln(1)x x +, 21cos 2x x-, 所以tan ()x x o x =+, 1()x e x o x -=+, ln(1)()x x o x +=+, 221cos ()22x x x o -=+.则20tan (1cos )lim ln(12)(1)x x a x b x c x d e -→+--+-=22220(())(())22lim (2())(())x x x a x o x b o c x o x d x o x →+++-+++=22a c -=,即4a c =-.选D . 解法3 用洛必达法则.22200sin tan (1cos )cos lim lim 222ln(12)(1)212x x x xab x a x b x a xc c c xde dxe x -→→-++-==-=--+-+-,即4a c =-.选D . 例28(97研) 2013sin coslim(1cos )ln(1)x x x x x x →+=++_______. 分析 由于0x →,该极限属于0型,极限式中含有三角函数以及无穷小量ln(1)x +,因此要考虑运用无穷小量的有关知识.解 因为0x →时,x x ~)1ln(+,所以2013sin coslim (1cos )ln(1)x x x x x x →+++ 20013sin cos1lim lim(1cos )x x x x x x x→→+=⋅+ 01sin 1lim(3cos )2x x x x x →=⋅+13(310)22=⋅+=. 例29 已知0()ln[1]sin lim321x x f x x →+=-,求20()lim x f x x →.分析 因为0x →时,21ln 2x x -,由已知条件可知()ln[1]sin f x x +是无穷小量,而且()sin f x x与x 是同阶的无穷小.解法1 利用极限与无穷小量的关系.由题意得()ln[1]sin 321x f x x α+=+-, 其中0lim 0x α→=.即 ()ln[1](21)(3)sin x f x xα+=-+, 又因为021lim ln 2x x x→-=,故21ln 2()x x o x -=+.于是()ln[1]sin f x x+=(ln 2())(3)x o x α++=3ln 2()x o x +,则有()1sin f x x+=3ln 2()x o x e +,即 ()sin f x x=3ln 2()1x o x e +-=3ln 2()x o x ++(3ln 2())o x o x +. 所以 20()limx f x x →=01()sin lim sin x f x x x x x →⋅⋅=03ln 2()sin lim x x o x xx x →+⋅=3ln2. 解法2 利用等价无穷小替换.由于0x →时,21ln 2x x -,ln(1)x x +,sin xx .则()ln[1]sin lim21x x f x x →+-=0()sin lim ln 2x f x x x →=0()lim sin ln 2x f x x x →⋅⋅=3, 故 20()limx f x x →=0()sin lim ln 2sin ln 2x f x xx x x→⋅⋅⋅⋅=3ln2.注1 解法1用到了如下常用结论:a .0lim ()()x x f x A f x A α→=⇔=+,其中0lim 0x x α→=;b .()o αββαα⇔=+;c .当0x →时,()()k o x o x ⋅=,()()()o x ko x o x +=,()()o x o x α⋅=,其中k 为常数,lim 0x α→=.注2 本章求极限常用如下一些方法:a .利用极限四则运算法则求极限;b .利用两个重要极限求极限;c .利用夹逼准则求极限;d .利用单调有界准则求极限;e .利用无穷小的性质求极限;f .利用函数的连续性求极限.例30 讨论函数2()lim n nn nn x x f x x x +--→∞-=+的连续性.分析 该函数为含有参数的极限式,应该先求出极限得()f x ,再讨论其连续性. 解 显然当0x =时()f x 无意义.故当0x ≠时21, 0<||1()0, ||1, ||1x f x x x x ⎧-<⎪==⎨⎪>⎩,,.而()f x 在区间(,1)-∞-,(1,0)-,(0,1),(1,)+∞上是初等函数,故()f x 在这些区间上连续.又1lim ()1x f x +→=,1lim ()1x f x -→=-, 0lim ()1x f x →=-,1lim ()1x f x +→-=-,1lim ()1x f x -→-=,所以1x =±及0x =为()f x 的第一类间断点,其中0x =为()f x 的可去间断点,1x =±为()f x 的跳跃间断点.例31 讨论函数2(2), 0,sin ()sin , 01x x x x n n N xf x x x x π+⎧<≠-∈⎪⎪=⎨⎪≥⎪-⎩,的间断点及其类型.解 0x =是该分段函数的分界点.并且当0x <时x n ≠-,当0x ≥时1x ≠. (1)由于(2)lim ()lim sin x x x x f x x π--→→+==2π,200sin lim ()lim 1x x xf x x +-→→=-=0, 所以0x =为()f x 的第一类间断点中的跳跃间断点.(2)当x n →-(2n ≠)时,(2)lim ()limsin x nx n x x f x xπ→-→-+==∞.所以x n =-(2n ≠)为()f x 的第二类间断点中的无穷间断点.(3)当2x →-时,由于22(2)lim ()limsin x x x x f x xπ→-→-+==0(2)limsin t t t t π→-=2π-(令2t x =+).所以2x =-为()f x 的第一类间断点中的可去间断点.(4)由于211sin lim ()lim1x x xf x x →→=-=∞,所以1x =为()f x 的第二类间断点中的无穷间断点.综上所述,0x =为()f x 的跳跃间断点,1x =与x n =-(2n ≠)为()f x 的无穷间断点,2x =-为()f x 的可去间断点.例32 证明方程323910x x x --+=在开区间(0,1)内有唯一实根.分析 问题等价于证明函数32()391f x x x x =--+在开区间(0,1)内有唯一的零点,既要证明存在性,又要证明唯一性.存在性通常用零点定理来证明,唯一性常用单调性或用反证法来证明.证法1 令32()391f x x x x =--+.由于(0)10f =>,(1)100f =-<.又()f x 在[0,1]上连续.由零点定理知:至少存在一点1(0,1)x ∈使得1()0f x =.下证唯一性.对于唯一性下面给出三种证明方法.证法1 若有2(0,1)x ∈使得2()0f x =,于是12()()0f x f x ==,得12()()0f x f x -=.即2212112221()[()3()9]0x x x x x x x x -++-+-=,而1(0,1)x ∈,2(0,1)x ∈,所以221122213()90x x x x x x ++-+-<,则120x x -=,即12x x =.从而方程323910x x x --+=在开区间(0,1)内有唯一实根.证法2 若有2(0,1)x ∈且21x x ≠,使得2()0f x =.不妨设21x x >.可知12()()0f x f x ==,显然,()f x 在闭区间12[,]x x 上连续,在开区间12(,)x x 上可导.由罗尔定理知,至少存在一点12(,)(0,1)x x ξ∈∈使得()0f ξ'=,即23690ξξ--=,解得1ξ=-或3ξ=,于是(0,1)ξ∉,与假设矛盾.唯一性证得.证法3 由于2()3693(1)(3)f x x x x x '=--=+-.当(0,1)x ∈时,有()0f x '<即()f x 在(0,1)上单调递减.故()f x 在开区间(0,1)上零点唯一.证毕.证法2 令32()391f x x x x =--+,则由于(0)10f =>,(1)100f =-<,lim ()x f x →-∞=-∞,lim ()x f x →+∞=+∞,而()f x 在(,)-∞+∞上连续.所以由零点定理知()f x 在区间(,0)-∞,(0,1),(1,)+∞上至少各有一个零点.即一元三次方程323910x x x --+=在各区间(,0)-∞,(0,1),(1,)+∞内恰有一实根,即所给方程在(0,1)区间内有唯一实根.证毕.注1 证法1中唯一性的证法2和证法3涉及到微分中值定理和导数的应用等知识,这将在第三章重点讨论,它们是证明函数的零点或方程的根的唯一性的常用的两种方法.注2 零点定理在证明方程根的存在性的问题中应用较广泛.当函数()f x 在(,)a b (a 可以为-∞,b 可以为+∞)内连续,lim ()x af x +→存在(或者为-∞,或者为+∞,但不为∞),lim ()x b f x -→存在(或者为+∞,或者为-∞,但不为∞).分别记它们为()f -∞和()f +∞,且()()0f f -∞⋅+∞<.此时零点定理同样成立.例33 设函数()f x 在[,]a b 上连续,[,]i x a b ∈,0i t >(1,2,,i n =),且01ni i t ==∑.试证至少存在一点(,)a b ξ∈使得1122()()()()n n f t f x t f x t f x ξ=++⋅⋅⋅+.分析 用介值定理来证明,只需证明1122()()()n n t f x t f x t f x ++⋅⋅⋅+介于()f x 的最大值与最小值之间即可.证明 由于函数()f x 在[,]a b 上连续,所以由最值定理可知()f x 的最大值与最小值存在,令max{()|[,]}M f x x a b =∈,min{()|[,]}m f x x a b =∈,于是对任何[,]x a b ∈都有()m f x M ≤≤.由于[,]i x a b ∈,0i t >(1,2,,i n =).所以 111()nnni i i i i i i m mt t f x Mt M ====≤≤=∑∑∑,从而由介值定理知至少存在一点(,)a b ξ∈使得1122()()()()n n f t f x t f x t f x ξ=++⋅⋅⋅+.证毕.注 利用闭区间上的连续函数的性质证明与介值相关的命题,通常有两种方法: (1)直接法(利用介值定理和最值定理).解题步骤:a .从要证的等式中整理出连续函数()f x 所需取得的值()f ξ;b .说明()f ξ介于()f x 在相应区间上的最大值与最小值之间;c .利用介值定理得到命题的结论.如例33.(2)间接法(利用零点定理).解题步骤:a .作辅助函数:将要证的等式整理为左边=右边=0的形式,而左边设为辅助函数.b .寻找区间,使辅助函数在该区间端点处的函数值异号,用零点定理,如例32.。
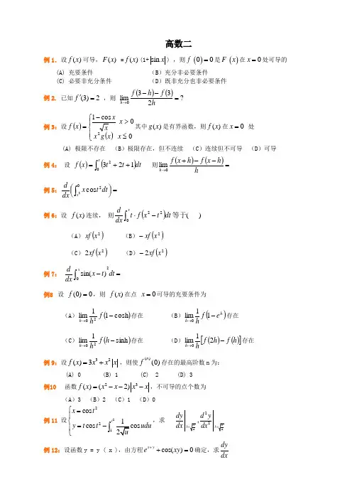
高数二例1.设()f x 可导,()F x =()f x (1+sin x ) ,则f()00=是F ()x 在0x =处可导的(A) 充要条件 (B )充分非必要条件(C) 必要非充分条件 (D )既非充分也非必要条件 例2. 已知(3)2f '= ,则 ()()?233lim=--→hf h f h例3:设()()⎪⎩⎪⎨⎧≤>-=0 0 cos 12x x g x x xxx f 其中()g x 是有界函数,则()f x 在0x = 处 (A) 极限不存在 (B )极限存在,但不连续 (C )连续但不可导 (D )可导例4: 设 ()()⎰++=xdt t tx f 02123 则()()__________lim=--+→hh x f h x f h例5:_________cos 022=⎪⎭⎫⎝⎛⎰xdt t x dx d例6:设 ()f x 连续, 则()) ( 220等于dt tx f t dxd x -⋅⎰(A )()2x xf (B )()2x xf - (C )()22x xf (D )()22x xf -例7:2sin()________x d x t dt dx-=⎰例8 设 (0)0f =,则 ()f x 在点 0x =可导的充要条件为(A )()cosh 11lim2-→f hh 存在 (B )()hh ef h -→11lim存在(C )()sinh 1lim2-→h f hh 存在 (D )()()[]h f h f hh -→21lim存在例9:设32()3f x x x x =+,则使()(0)n f 存在的最高阶数n 为:(A) 0 (B) 1 (C) 2 (D) 3例10 函数23()(2)f x x x x x =---,不可导的点个数为(A )3 (B )2 (C )1 (D )0例11设2221cos cos tx t y t t udu⎧=⎪⎨=-⎪⎩⎰,求22,t t dy d y dxdx例12:设函数y = y ( x ),由方程cos()0x yexy ++=确定,求d y d x例13: 已知1xy y xe =+,求0,=='''x x y y例14: 已知函数 f (x)具有任意阶导数,且[]2()()f x f x =,则当n 为大于2的正整数时,()()________n fx =例15: 若函数y =f (x) 有'01()2f x =,则当0x ∆→时,该函数在0x x =处的微分dy 是(A )与x ∆等价无穷小 (B )与x ∆同阶无穷小 (C )比x ∆低阶无穷小 (D )比x ∆高阶无穷小例16: 设sin 234()sin(),()xf x t dtg x x x ==+⎰,则当x = 0 时,f (x) 是 g (x) 的(A )等价无穷小 (B )同阶但非等价无穷小 (C )高阶无穷小 (D )低阶无穷小例17: 设 f (x )有连续导数,f (0) = 0, '(0)0f ≠22()()()xF x x t f t dt =-⎰,且当0x →时,'()F x 与kx 是同阶无穷小,则k =?(A)1 (B)2 (C)3 (D)4例18: 设函数f (x) 在定义域内可导,y = f (x)的图形为则'()y f x =的图形为例19: 证明方程0ln x x e π=-⎰在区间(0,)+∞有且仅有两个不同实根。
第一章函数及其图形例1:().A.{x|x>3}B.{x|x<-2}C.{x|-2<x≤1}D.{x|x≤1}注意,单选题的解答,有其技巧和方法,可参考本课件“应试指南”中的文章《高等数学(一)单项选择题的解题策略与技巧》,这里为说明解题相关的知识点,都采用直接法。
例2:函数的定义域为().解:由于对数函数lnx的定义域为x>0,同时由分母不能为零知lnx≠0,即x≠1。
由根式内要非负可知即要有x>0、x≠1与同时成立,从而其定义域为,即应选C。
例3:下列各组函数中,表示相同函数的是()解:A中的两个函数是不同的,因为两函数的对应关系不同,当|x|>1时,两函数取得不同的值。
B中的函数是相同的。
因为对一切实数x都成立,故应选B。
C中的两个函数是不同的。
因为的定义域为x≠-1,而y=x的定义域为(-∞,+∞)。
D中的两个函数也是不同的,因为它们的定义域依次为(-∞,0)∪(0,+∞)和(0,+∞)。
例4:设解:在令t=cosx-1,得又因为-1≤cosx≤1,所以有-2≤cosx-1≤0,即-2≤t≤0,从而有。
例5:f(2)没有定义。
注意,求分段函数的函数值,要把自变量代到相应区间的表达式中。
例6:函数是()。
A.偶函数B.有界函数C.单调函数D.周期函数解:由于,可知函数为一个奇函数而不是偶函数,即(A)不正确。
由函数在x=0,1,2点处的值分别为0,1,4/5,可知函数也不是单调函数;该函数显然也不是一个周期函数,因此,只能考虑该函数为有界函数。
事实上,对任意的x,由,可得,从而有。
可见,对于任意的x,有。
因此,所给函数是有界的,即应选择B。
例7:若函数f(x)满足f(x+y)=f(x)+f(y),则f(x)是()。
A.奇函数B.偶函数C.非奇非偶函数D.奇偶性不确定解:因为f(x+y)=f(x)+f(y),故f(0)=f(0+0)=f(0)+f(0)=2f(0),可知f(0)=0。
高数经典类型题
1. 求一元函数的导函数,例如:求函数f(x) = x^3 - 2x + 1的导
函数f'(x)。
2. 求二元函数的偏导数,例如:求函数f(x, y) = x^2 + y^2的
偏导数∂f/∂x。
3. 求函数的定积分,例如:求函数f(x) = 2x^2 - 3x在区间[0, 1]上的定积分∫[0,1]f(x)dx。
4. 求曲线的弧长,例如:求曲线y = x^2在点(1, 1)到点(2, 4)之
间的弧长。
5. 求函数的极限,例如:求函数f(x) = (3x^2 - 5x + 2)/(4x^2 -
3x + 1)在x趋向于无穷大时的极限lim(x→∞)f(x)。
6. 求函数的级数和,例如:求级数∑(n=1到∞)1/n的和。
7. 求微分方程的特解,例如:求微分方程dy/dx = x^2的特解。
8. 求参数方程的切线,例如:求参数方程x = 2t^2 + 1, y = t^3
- 1的切线方程。
9. 求多元函数的极大值和极小值,例如:求函数f(x, y) = x^2
+ y^2 - 2x在区域D={(x, y)|x^2 + y^2 ≤ 1}上的极值。
10. 求隐函数的导数,例如:求方程x^2 + y^2 - 4x + 6y - 12 = 0所定义的隐函数y(x)的导数dy/dx。
⾼等数学典型习题及参考答案第⼋章典型习题⼀、填空题、选择题1、点)3,1,4(M -到y 轴的距离是2、平⾏于向量}1,2,1{a -=?的单位向量为 3、().0431,2,0垂直的直线为且与平⾯过点=--+-z y x4、.xoz y z y x :⾯上的投影柱⾯⽅程是在曲线??==++Γ2102225、()==-=+=+=-δλδλ则平⾏与设直线,z y x :l z y x :l 1111212121()23A ()12B ()32C ()21D6、已知k 2j i 2a +-=,k 5j 4i 3b ?-+=,则与b a 3??-平⾏的单位向量为 ( )(A )}11,7,3{(B )}11,7,3{- (C )}11,7,3{1291-±(D )}11,7,3{1791-± 7、曲线==++2z 9z y x 222在xoy 平⾯上投影曲线的⽅程为()(A )==+2z 5y x 22 (B )==++0z 9z y x 222(C )==+0z 5y x 22 (D )5y x 22=+8、设平⾯的⼀般式⽅程为0A =+++D Cz By x ,当0==D A 时,该平⾯必( ) (A)平⾏于y 轴 (B) 垂直于z 轴 (C) 垂直于y 轴 (D) 通过x 轴 9、设空间三直线的⽅程分别为251214:1+=+=+z y x L ,67313:2+=+=z y x L ,41312:3-=+=z y x L 则必有 ( ) (A) 31//L L (B) 21L L ⊥ (C) 32L L ⊥ (D) 21//L L10、设平⾯的⼀般式⽅程为0=+++D Cz By Ax ,当0==B A 时,该平⾯必 ( ) (A) 垂直于x 轴 (B) 垂直于y 轴 (C) 垂直于xoy ⾯(D) 平⾏于xoy ⾯11、⽅程05z 3y 3x 222=-+所表⽰的曲⾯是()(A )椭圆抛物⾯(B )椭球⾯(C )旋转曲⾯(D )单叶双曲⾯⼆、解答题1、设⼀平⾯垂直于平⾯0=z ,并通过从点)1,1,1(-P 到直线??=+-=010z y x 的垂线,求该平⾯⽅程。
高等数学(A)1习题1-11.求下列函数的自然定义域:(3)y =1-1-x 2x⎧1-x 2≥0⎧-1≤x ≤1解:由⎨,所以函数的定义域为:[-1,0)⋃(0,1]⇒⎨⎩x ≠0⎩x ≠0(7)y =arcsin(x -3)解:由-1≤x -3≤1⇒2≤x ≤4,所以函数的定义域为:[2,4]1(8)y =3-x +arctanx⎧3-x ≥0⎧x ≤3解:由⎨x ≠0⇒⎨x ≠0,所以函数的定义域为:(-∞,0)⋃(0,3]⎩⎩9.求下列函数的反函数:(1)y =3x +1解:由y 3=x +1⇒x =y 3-1,所以反函数为:y =x 3-11-xy =(2)1+x解:由y (1+x )=1-x ⇒x =1-x 1-yy =1+x1+y ,所以反函数为:习题1-21.下列各题中,哪些数列收敛?哪些数列发散?1(2){(-1)n }n 收敛.且极限为0.⎧n -1⎫(4)⎨⎬n +1⎩⎭收敛,且极限为12n -1(6){3n }2n -12n 1n收敛.且因为:3n =(3)-(3),知极限为0.习题1-3x |x |当x →0时的左、右极限,并说明它们在x →0时的极限4.求f (x )=,φ(x )=x x 是否存在.解:x →0lim -f (x )=lim -x →0x →0x x=lim -1=1,lim +f (x )=lim +=lim +1=1x →0x →0x x →0x x →0∴lim f (x )=1|x |-x |x |x=lim -lim(-1)=-1,lim φ(x )=lim =lim =lim +1=1x →0x →0x x →0x x →0-x →0+x →0+x x →0+x x →0∴lim φ(x )不存在.lim -φ(x )=lim -x →0习题1-44.求下列极限并说明理由.(1)lim x →∞2x +1x2x +1112x +1=2+,而lim =0,由定理1可知:lim =2.解:x x →∞x →∞x x x 1-x 2(2)lim x →∞1-x1-x 2(1-x )(1+x )1-x 2=1+x ,而lim x =0,由定理1可知:lim =1解:1-x =x →0x →01-x1-x 习题1-51.计算下列极限.x 2-32(2)x lim →3x +1解:lim x →x -3x →30===023x +1lim(x 2+1)4x →32lim(x 2-3)x 2-2x +1(3)lim x →1x 2-1x 2-2x +1(x -1)2x -1lim =lim =lim =0解:x →1x 2-1x →1(x +1)(x -1)x →1x +14x 3-2x 2+x (4)lim x →03x 2+2x 解:lim 4x -2x +x 4x -2x +1=lim =x →0x →03x 2+2x 3x +2322lim(4x 2-2x +1)x →0lim(3x +2)x →0=1=02x 2-1(7)lim x →∞2x 2-x -11)2x -11x →∞x lim =lim ==解:x →∞2x 2-x -1x →∞111122--2lim(2--2)x x x →∞x x 21-1x 2lim(1-x 2-6x +8(9)lim x →4x 2-5x +4x 2-6x +8(x -4)(x -2)(x -2)2lim =lim =lim 解:x →4x 2-5x +4x →4(x -4)(x -1)x →4(x -1)=3习题1-61.计算下列极限:1-cos2x lim (5)x →0x sin x 1-cos2x 2sin 2x sin xlim =lim =2lim =2⋅1=2解:x →0x sin x x →0x sin x x →0x 2.计算下列极限.-x )(1)lim(1x →0-1lim(1-x )=lim[(1+(-x ))]=e 解:x →0x →01x1-x -11x+2x )(2)lim(1x →02lim(1+2x )=lim[(1+2x )]=e 解:x →0x →01x12x 21x习题1-75.利用等价无穷小的性质,求下列极限:tan3xlim (1)x →02x tan3x ~3x ,∴lim 解:当x →0时,(3)lim x →0tan3x 3x 33=lim =lim =x →0x →02x x →022x 2tan x -sin xsin 3x 1x ⋅x 2tan x -sin x tan x (1-cos x )2=lim 1=1lim =lim =lim 333x →0x →0x →0x →02sin xsin x x 2解:1(x →0,tan x ~x ,1-cos x ~x 2,sin 3x ~x 3)2习题1-83.下列函数在指出的点处间断,说明这些间断点属于哪一类,如果是可去间断点,那么补充或改变函数的定义使它连续:x 2-1(1)y =x 2-3x +2,x =1,x =2解:在x =1点,lim y =lim x →1(x -1)(x +1)(x +1)=lim =-2x →1(x -1)(x -2)x →1(x -2)故x =1点为第一类中的可去间断点.如果补充f (1)=-2,则f (x )在x =2点连续。
高数数学试题及答案一、单项选择题(每题2分,共10分)1. 函数y=x^2的导数是()。
A. 2xB. x^2C. 2x^2D. x答案:A2. 极限lim(x→0) (sin(x)/x)的值是()。
A. 0B. 1C. πD. 2答案:B3. 曲线y=x^3+3x^2+2在x=-1处的切线斜率是()。
A. -2B. 4C. -4D. 2答案:B4. 积分∫(0到1) x^2 dx的值是()。
A. 1/3B. 1/2C. 2/3D. 3/2答案:A5. 函数y=e^x的不定积分是()。
A. e^x + CB. e^(-x) + CC. ln(x) + CD. x^e + C答案:A二、填空题(每题2分,共10分)1. 函数y=ln(x)的定义域是()。
答案:(0, +∞)2. 微分dy=f'(x)dx中的f'(x)表示函数f(x)的()。
答案:导数3. 函数y=x^3的二阶导数是()。
答案:6x4. 曲线y=x^2在x=1处的切线方程是()。
答案:y=2x-15. 定积分∫(0到π) sin(x) dx的值是()。
答案:2三、计算题(每题10分,共20分)1. 计算极限lim(x→∞) (x^2 - 3x + 2) / (x^3 + 5x^2 - 2x)。
答案:02. 计算不定积分∫(1/(1+x^2)) dx。
答案:arctan(x) + C四、证明题(每题15分,共30分)1. 证明:若函数f(x)在区间[a, b]上连续,则f(x)在[a, b]上必有界。
答案:略2. 证明:若函数f(x)在区间[a, b]上可导,且f'(x)≥0,则f(x)在[a, b]上单调递增。
答案:略结束语:以上是本次高数数学试题及答案的全部内容,希望同学们认真复习,取得优异成绩。
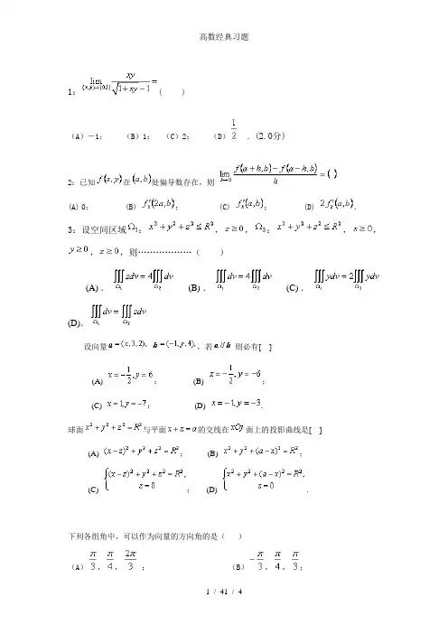
1:( )(A)-1;(B)1;(C)2;(D).(2.0分)2:已知在处偏导数存在,则(A)0; (B) ; (C) ; (D) .3:设空间区域:,,:,,,,则………………()(A).(B).(C).(D).设向量,若则必有[ ](A) ;(B) ;(C) ;(D) .球面与平面的交线在面上的投影曲线是[ ](A) ;(B) ;(C) ;(D) .下列各组角中,可以作为向量的方向角的是()(A),,;(B),,;(C),,;(D),,.空间曲线在面上的投影方程为()(A); (B) (C) (D)若函数及在单连通域D内有连续的一阶偏导数,则在D内,曲线积分与路径无关的充分必要条件是().(A) 在域D内恒有;(B) 在域D内恒有;(C) 在D内任一条闭曲线上,曲线积分;(D) 在D内任一条闭曲线上,曲线积分.设在曲线弧L上连续,L的参数方程为,其中在上具有一阶连续导数,且,则曲线积分()(A) ; (B) ;(C) ; (D).设为由曲面及平面所围成的立体的表面,则曲面积分=()(A);(B);(C);(D)0 .11. 设,有一阶连续偏导数,则. (2.0分)12. 求函数的极值。
(10.0分)13. 设,,则. (2.0分)14.设直线与平面垂直,则, .(2.0分)15.过原点且垂直于平面的直线为__________________(2.0分)16.求的偏导数。
(8.0分)17. 证明:球面∑:上任意一点处的法线都经过球心。
(8.0分)18.设,证明:(1);(2) .19:判别级数的敛散性.(2.0分)20.求级数的收敛域以及它们在收敛域内的和函数.(10.0分)21.计算其中为曲面的下侧。
(10.0分)22. 计算. (8.0分)23.求曲线在三个坐标面上的投影曲线的方程.。
1.求抛物线2x y =与直线02=--y x 之间的最短距离。
2.求点)8,2(到抛物线x y 42=的最短距离。
3.求过点)31,1,2(的平面,使它与三个坐标面在第一卦限内所围成的立体体积最小。
4.计算二重积分dxdy xy I D⎰⎰=2,其中D 是由直线2,==x x y 及双曲线1=xy 所围成的区域。
5.计算二重积分dxdy e I D y ⎰⎰-=2,其中区域D 由y 轴,直线x y y ==,1所围成。
6.求dxdy y xy I D⎰⎰+=31,其中D 由2,1,0x y y x ===所围成。
7.求dy e dx x I x y ⎰⎰-=11022。
8.求dxdy y x I D ⎰⎰+=)(,其中D 为224,x y x y ==及1=y 所围成的区域。
9.求σd y x I D⎰⎰+=)|(|,其中D 为:1||||≤+y x 。
10.求dxdy y x I D ⎰⎰--=221,其中D :y y x ≤+22。
11.求dxdy y x x I D⎰⎰--=)2(22,其中D :1)1(22≤+-y x 。
12.设{}x y x y x D ≤+=22),(,求dxdy x D ⎰⎰。
13.计算二重积分dxdy yx y x D ⎰⎰++--222211,其中D 是由圆周122=+y x 及坐标轴所围成的在第一卦限内的闭区域。
14.求ds y x c ⎰+)(,其中c 是以)0,0(O ,)0,1(A ,)1,0(B 为顶点的三角形边界。
15.设L 是半圆周24y x -=上由点)2,0(A 到点)2,0(-B 之间的一段弧。
计算⎰++Lds y x )1(。
16.计算ds y x L ⎰+22,其中L 为圆周222a y x =+(0>a )。
17.计算曲线积分⎰+L ds y x 22,其中L 为圆周x y x =+22。
18.计算曲线积分:dy y x dx y x I L)653()42(-++--=⎰,其中L 是从点)0,0(O 到点)2,3(A 再到点)0,4(B 的折线段。
例 利用二重积分的性质,估计积分2222(2)d Dx y x y σ+-⎰⎰ 的值,其中D 为半圆形区域224,0x y y +≤≥.解 我们先求函数2222(,)2f x y x y x y =+-在区域22{(,)4,0}D x y x y y =+≤≥上的最大值和最小值.由22220,420,x yf x xy f y x y '⎧=-=⎪⎨'=-=⎪⎩解得D 内驻点为(2,1)±,(2,1)2f ±=. 在边界1:0L y =(22)x -≤≤上,2()(,0)g x f x x ==在1L 上(,)f x y 的最大值为4,最小值为0.在边界222:4L x y +=(0)y ≥上,242()(,4)58(22)h x f x x x x x =-=-+-≤≤由3()4100h x x x '=-=得驻点123550,,22x x x ==-=,(0)(0,2)8h f ==. 5537()(,)2224h f ±=±=. 综上,(,)f x y 在D 上的最大值为8,最小值为0.又D 的面积为2π,所以由二重积分的估值性质知222202(2)d 82Dx y x y πσπ⋅≤+-≤⋅⎰⎰,即22220(2)d 16Dx y x y σπ≤+-≤⎰⎰.例 设D 为xoy 平面上以(1,1),(1,1),(1,1)---为顶点的三角形区域,1D 为D 在第一象限的部分,则(cos sin )()Dxy x y dxdy +=⎰⎰.(A )12cos sin D x y dxdy ⎰⎰ (B )12D xy dxdy ⎰⎰(C )14(cos sin )D xy x y dxdy +⎰⎰ (D )0解 区域D 如图所示,并记0D 为以(1,1),(1,1),(0,0)-为顶点的三角形区域,则0D 关于y 轴对称,且1D 为0D 在y 轴右侧的部分区域,区域0D D -关于x 轴对称.又xy 关于x 和y 均为奇函数;而cos sin x y 关于x 为偶函数.关于y 为奇函数,由二重积分的奇偶对称性得0,0D D D xy dxdy xy dxdy -==⎰⎰⎰⎰,故0Dxy dxdy =⎰⎰;1cos sin 2cos sin ,cos sin 0D D D D x ydxdy x y dxdy x y dxdy -==⎰⎰⎰⎰⎰⎰,故1cos sin 2cos sin DD x y dxdy x y dxdy =⎰⎰⎰⎰.所以1(cos sin )cos sin 2cos sin DDDD xy x y dxdy xy dxdy x y dxdy x y dxdy +=+=⎰⎰⎰⎰⎰⎰⎰⎰.因此我们选(A ).例 设区域}0,0,4),{(22≥≥≤+=y x y x y x D ,()f x 为D 上的正值连续函数,,a b 为常数,则Dσ= .解 由题意知,D 关于直线y x =对称,由二重积分轮换对称性得DσDσ=12D d σ=⎰⎰ 211()π2π22242D D a b a b a b a b d d σσ+++=+==⋅⋅=⎰⎰⎰⎰. 因此,我们应填“π2a b+.”例 计算二次积分220sin xydx dy yππ⎰⎰解 积分区域如图,则 原式20sin yydy dx yπ=⎰⎰2200sin sin sin y dy ydy ydy ππππ==+-⎰⎰⎰4=;例设D为椭圆区域22(1)(2)149x y--+≤,计算二重积分()Dx y dxdy+⎰⎰.解令12cos,23sin,x ry r=+⎧⎨=+⎩θθ则D的极坐标表示为01,02r≤≤≤≤θπ,且(,)6(,)x yrrθ∂=∂.由式(10.2.8),可得2100()6(32cos3sin)Dx y dxdy d r r rdr+=++⎰⎰⎰⎰πθθθ2326(cos sin)1823d=++=⎰πθθθπ.例计算二重积分⎰⎰+Dyxyx dd)(,其中D为.122++≤+yxyx解解法1 D的边界曲线为,2/3212122=⎪⎭⎫⎝⎛-+⎪⎭⎫⎝⎛-yx这是一个以⎪⎭⎫⎝⎛21,21为圆心,23为半径的圆域,采用一般的变量代换,令⎪⎪⎩⎪⎪⎨⎧-=-=,21,21yvxu即作变换⎪⎪⎩⎪⎪⎨⎧+=+=,21,21vyux于是D变为.2/3:22≤+'vuD.111),(),(==∂∂=vuyxJ所以,()d d(1)1d dD Dx y x y u v u v'+=++⋅⋅⎰⎰⎰⎰(再用极坐标).23023d d )cos (sin d d d )1sin cos (d 222/30202/3020ππθθθθθθθππ=+⎪⎪⎭⎫ ⎝⎛⋅=++=++=⎰⎰⎰⎰⎰⎰r r r r rr r r D解法2 由于积分区域D :23212122≤⎪⎭⎫ ⎝⎛-+⎪⎭⎫ ⎝⎛-y x 关于21=x (即)021=-x 对称,故⎰⎰=⎪⎭⎫ ⎝⎛-D y x x .0d d 21 类似地,由于D 关于⎪⎭⎫⎝⎛=-=02121y y 即对称,故 ⎰⎰=⎪⎭⎫ ⎝⎛-D y x y .0d d 21 从而.2323d d d d 1d d 21d d 21d d )(2ππ=⎪⎪⎭⎫ ⎝⎛⋅===⋅+⎪⎭⎫ ⎝⎛-+⎪⎭⎫ ⎝⎛-=+⎰⎰⎰⎰⎰⎰⎰⎰⎰⎰面积D y x y x y x y y x x y x y x D D D DD例 计算y x e I Dy xd d },max{22⎰⎰=,其中,}10,10|),{(≤≤≤≤=y x y x D解 D 由x y =分为D 2,D 2两部分,如图.⎪⎩⎪⎨⎧≤≤≤≤≤≤≤≤=1,10:,0,10:,21},max{2222y x x D e x y x D e e y x y x x e y y e x y x e y x e I yy xx D y D x d d d d d d d d 01010222212⎰⎰⎰⎰⎰⎰⎰⎰+=+=21110d d 2d d 2222x e x xe y e x x x xx ⎰⎰⎰⎰===.1102-==e e x例 利用二重积分计算定积分1(,0)ln b ax x I dx a b x-=>⎰解 因为1ln ln bb a btt aa x x x dt x x x-==⎰所以 ⎰⎰⎰⎰⎰⎪⎭⎫⎝⎛++=+=+===bab aba batta b t dt t dx x dt dx dt x I 11ln )1ln(11)(11例 ],[)(b a x f 为上的连续函数,且0)(>x f ,试利用二重积分证明.)()(1d )(2a b x f x x f baba-≥⎰⎰证 因为x x f y y f x x f x x f b a b a babad )(1d )(d )(1d )(⎰⎰⎰⎰=,d d )()(d d )()(y x y f x f y x x f y f DD⎰⎰⎰⎰≥= 其中 所以},,|),{(b y a b x a y x D ≤≤≤≤=⎰⎰⎰⎰⎰⎰+=DD bab ay x y f x f y x x f y f x x f x x f d d )()(d d )()(d )(1d )(2 y x y f x f y f x f y x y f x f x f y f DDd d )()()()(d d )()()()(22⎰⎰⎰⎰≥+=,)(2d d 22a b y x D-==⎰⎰亦即.)(d )(1d )(2a b x x f x x f baba-≥⎰⎰例 计算⎰1d )(x x xf ,其中⎰=21d int)(x t tS x f 解 当10,102≤≤≤≤x x 时⎰⎰⎰-===111222,d sin d sin d sin )(x x x y yy y y y t t tx f从而x y y y x x x xf x d d sin d )(101102⎰⎰⎰⎥⎦⎤⎢⎣⎡-= 图y x y yx y y y x x xDd d sin d sin d 1102⎰⎰⎰⎰-=⋅-=,其中D 曲线1,2==y x y ,和0=x 所围成,如图10-8。
高等数学试题题库及答案一、单项选择题(每题2分,共10题)1. 函数f(x)=x^2+2x+1的导数是:A. 2x+2B. 2x+1C. x^2+2xD. 2x^2+2x+1答案:A2. 极限lim(x→0) (sin(x)/x)的值是:A. 0B. 1C. -1D. 不存在答案:B3. 若f(x)在x=a处连续,则下列哪个选项一定成立:A. f(a)存在B. f(a)=lim(x→a)f(x)C. f(a)=lim(x→a)f(x)且f(a)存在D. f(a)不存在答案:C4. 函数y=e^x的不定积分是:A. e^x + CB. e^xC. ln(e^x) + CD. ln(x) + C答案:A5. 曲线y=x^3-3x^2+2在点(1,0)处的切线斜率是:A. 0B. 1C. -2D. 2答案:C6. 以下哪个函数是奇函数:A. f(x)=x^2B. f(x)=x^3C. f(x)=x+1D. f(x)=x^2+1答案:B7. 二重积分∬(x^2+y^2)dxdy在区域D上,其中D是由x^2+y^2≤1定义的圆盘,其值是:A. πB. 2πC. π/2D. 4π答案:A8. 微分方程dy/dx=2x的通解是:A. y=x^2+CB. y=2x+CC. y=x^2D. y=2x^2+C答案:A9. 函数f(x)=x^3在x=0处的泰勒展开式是:A. x^3B. x^3+3x^2+3x+1C. x^3+3x^2+3xD. x^3+3x^2答案:C10. 以下哪个级数是收敛的:A. 1+1/2+1/4+1/8+...B. 1-1/2+1/3-1/4+...C. 1+1/2+1/3+1/4+...D. 1-1/2+1/3-1/4+1/5-...答案:A二、填空题(每题3分,共5题)11. 函数f(x)=x^2+3x+2的二阶导数是________。
答案:212. 极限lim(x→∞) (x^2-3x+2)/(x^3+x)的值是________。
大一高数每个知识点的例题一、函数与极限1. 函数的定义与性质例题:已知函数$f(x)=-2x^2+3x+1$,求函数$f(x)$的定义域。
2. 极限的定义与基本性质例题:求极限$\lim_{x \to 1}\frac{x^2-1}{x-1}$。
二、导数与微分1. 导数的定义与基本性质例题:已知函数$y=3x^2-2x+1$,求函数$y$在$x=2$处的导数。
2. 高阶导数与函数的凹凸性例题:已知函数$f(x)=x^3-3x^2+2$,求$f(x)$的凹凸区间。
三、微分中值定理与泰勒展开1. 罗尔定理与拉格朗日中值定理例题:证明函数$f(x)=e^x-x-1$在区间$(0,1)$内存在唯一根。
2. 泰勒展开与麦克劳林展开例题:求函数$f(x)=\cos x$的部分麦克劳林展开式。
四、不定积分与定积分1. 不定积分的基本性质与常见公式例题:求不定积分$\int 2x^2+3x-1 \,dx$。
2. 定积分的定义与性质例题:计算定积分$\int_0^2 (x^2+1) \,dx$。
五、常微分方程1. 一阶常微分方程的可分离变量与线性方程例题:求解微分方程$\frac{dy}{dx}=x^2+y$。
2. 高阶常微分方程与特征方程例题:求解微分方程$y''-2y'+y=e^x$。
六、多元函数与偏导数1. 多元函数的定义与性质例题:判断函数$z=2x^2+3y^2-xy$的单调性。
2. 偏导数的定义与计算例题:求函数$f(x,y)=2x^2+3xy-1$的偏导数$\frac{\partialf}{\partial x}$和$\frac{\partial f}{\partial y}$。
七、重积分与曲线积分1. 重积分的定义与计算例题:计算二重积分$\iint_{D} (x^2+y^2) \,dxdy$,其中$D$为由曲线$y=x^2$和$y=2x$所围成的区域。
2. 曲线积分的定义与计算例题:计算曲线积分$\int_{C} y \,dx + x \,dy$,其中曲线$C$为$x^2+y^2=1$上从点$(1,0)$到点$(0,1)$的一段弧。
(A )椭圆抛物面 (B )椭球面、填空题、选择题1、 点M(4, 1,3)到y 轴的距离是_2、 平行于向量a { 1,2,1}的单位向量为3、过点0,2, 1且与平面x y 3z 4 0垂直的直线为x 9、设空间三直线的方程分别为L 1 :-1则必有(2 2 211、方程匚yJ 0所表示的曲面是3 3 5第八章典型习题(A) L 1//L 3 (B) L 1 L 2(C)L2L3(D) L 1 //L 210、设平面的一般式方程为Ax By CzB 0时, 该平面必((A)垂直于x 轴 (B)垂直于y 轴(C) 垂直于xoy 面(D) 平行于xoy 面4、曲线:z 10在xoz 面上的投影柱面方程是5、设直线 l 1:宁 宁七与l 2专孑三平行,则—6、已知a 2i j2k , b 3i 4j 5k ,则与3a b 平行的单位向量为( (A ){3,7,11}(B ){3, 7,11} ( C )——{3, 7,11}129(D )_V9{3,7,11}x 27、曲线zz 2 9在xoy 平面上投影曲线的方程为(x 25( B )x 20y 2z 29( C )x 2 y 2 58、设平面的一般式方程为Ax By Cz D 0时,该平面必((A)平行于y 轴(B)垂直于z 轴 (C)垂直于y 轴(D) 通过x 轴L 2:3 冷(C )旋转曲面(D )单叶双曲面二、解答题x 01、设一平面垂直于平面z 0,并通过从点P(1, 1,1)到直线的垂线,求该平面方y z 1 0程。
x 32、求过直线 2y 4 z 23且平行于直线 x 4 --一 ——的平面方程. 7 2 3、求过点 1,2,1 x v 2z且平行于直线 71 0的直线方程•x 2y z 1 02x y 2 04、已知平面 :y2x 2 0与直线L:,求通过L 且与垂直的平面方程3y 2z 2 05、求过球面x2 y 2 z 22X 2y 4Z 0的球心且与直线写 专 盘垂直的平面方程第九章典型习题、填空题、选择题xy z 0,求-z ;由方程e x y xyze z 确定了函数z z x, y ,求—z。
1. y 2dx+(x+1)dy=0 并求满足初始条件:x=0,y=1的特解。
解:y 2dx=-(x+1)dy 2y dy dy=-11+x dx两边积分: -y 1=-ln|x+1|+ln|c| y=|)1(|ln 1+x c另外y=0,x=-1也是原方程的解 x=0,y=1时 c=e特解:y=|)1(|ln 1+x c2.x(lnx-lny)dy-ydx=0解:原方程为:dx dy =x y ln x y令x y =u ,则dx dy =u+ x dx duu+ x dx du=ulnuln(lnu-1)=-ln|cx| 1+ln x y=cy.3.dx dy =y x xy y321++ 解:原方程为:dx dy =yy 21+31x x + y y 21+dy=31x x +dx两边积分:x(1+x 2)(1+y 2)=cx 24. (1+x)ydx+(1-y)xdy=0 解:原方程为: y y -1dy=-x x 1+dx两边积分:ln|xy|+x-y=c另外 x=0,y=0也是原方程的解。
5.(y+x )dy+(x-y)dx=0解:原方程为:dx dy =-y x y x +- 令x y =u 则dx dy =u+x dx du代入有: -112++u u du=x 1dxln(u 2+1)x 2=c-2arctgu 即 ln(y 2+x 2)=c-2arctg 2x y. 6. x dx dy -y+22y x -=0解:原方程为: dx dy =x y +x x ||-2)(1x y - 则令x y =u dx dy =u+ x dx du211u -du=sgnx x 1dx arcsin x y=sgnxln|x|+c7. tgydx-ctgxdy=0 解:原方程为:tgy dy =ctgx dx两边积分:ln|siny|=-ln|cosx|-ln|c| siny=x c cos 1=x ccos 另外y=0也是原方程的解,而c=0时,y=0. 所以原方程的通解为sinycosx=c.8 dx dy +y e x y 32+=0解:原方程为:dx dy =y ey 2e x 32 e x 3-3e 2y -=c. 9. dx dy=e y x -解:原方程为:dx dy=e x e y -e y =ce x10dx dy=(x+y)2解:令x+y=u,则dx dy =dx du -1dx du-1=u 2211u +du=dxarctgu=x+carctg(x+y)=x+c 11y xy dx dy x y 321++=解:原式可化为:x x y x x y x y x yy x y c c c c x dx x dy y y x y dx dy 2222222232232)1(1)1)(1(),0(ln 1ln 21ln 1ln 2111,0111=++=++≠++-=++=+≠+∙+=+)故原方程的解为(即两边积分得故分离变量得显然12. dx dy =2)(1y x +解:令x+y=u,则dx dy =dx du -1dx du -1=21uu-arctgu=x+cy-arctg(x+y)=c. 13. dx dy =1212+-+-y x y x解: 原方程为:(x-2y+1)dy=(2x-y+1)dxxdy+ydx-(2y-1)dy-(2x+1)dx=0dxy-d(y 2-y)-dx 2+x=cxy-y 2+y-x 2-x=c 14: dx dy =25--+-y x y x解:原方程为:(x-y-2)dy=(x-y+5)dxxdy+ydx-(y+2)dy-(x+5)dx=0 dxy-d(21y 2+2y)-d(21x 2+5x)=0y 2+4y+x 2+10x-2xy=c. 15: dx dy=(x+1) 2+(4y+1) 2+8xy 1+解:原方程为:dx dy=(x+4y )2+3令x+4y=u 则dx dy =41dx du -4141dx du -41=u 2+3dx du=4 u 2+13 u=23tg(6x+c)-1 tg(6x+c)=32(x+4y+1).1、y y x '+='13解:令t p y dx dy 1=='=,则23311t t t t x +=⎪⎭⎫ ⎝⎛+=, 从而()()c t t c dt t c t t d t c pdx y ++=++=++=+=⎰⎰⎰223231223, 于是求得方程参数形式得通解为⎪⎩⎪⎨⎧++=+=c t t y t t x 223223. 2、()0133='--'y x y 解:令tx p y dx dy =='=,则()()0133=--tx x tx ,即t t t t x 1123-=-=, 从而c t t d t t t c pdx y +⎪⎭⎫ ⎝⎛-⎪⎭⎫ ⎝⎛-=+=⎰⎰1122 ()c dt t t t +⎪⎭⎫ ⎝⎛+-=⎰23121 c dt t t t +⎪⎭⎫ ⎝⎛--=⎰2412 c tt t ++-=1215225, 于是求得方程参数形式得通解为⎪⎪⎩⎪⎪⎨⎧++-=-=c t t t y t t x 121521252. 3、y e y y ''=2解:令p y dxdy ='=,则p e p y 2=, 从而()c e pd p x p +=⎰21 ()c dp e p pe p p p ++=⎰221 =()⎰++c dp pe e p p 2 ()c e p p ++=1,于是求得方程参数形式的通解为()⎪⎩⎪⎨⎧=++=p p ey y c e p x 21, 另外,y=0也是方程的解.4、()a y y 212='+, a 为常数 解:令ϕtg y dx dy ='=,则ϕϕϕ222cos 2sec 212a a tg a y ==+=, 从而()c ad tg c dy p x +=+=⎰⎰ϕϕ2cos 211 c a c d a ++-=+-=⎰⎰22cos 14cos 42ϕϕϕ ()c a ++-=ϕϕ2sin 2,于是求得方程参数形式的通解为()⎩⎨⎧=++-=ϕϕϕ2cos 22sin 2a y c a x . 5、='+22y x 1 解:令t p y dxdy cos =='=,则t t x sin cos 12=-=, 从而()c t td y +=⎰sin cos c dt t c tdt ++=+=⎰⎰22cos 1cos 2 c t t ++=2sin 4121, 于是求得方程参数形式的通解为⎪⎩⎪⎨⎧++==c t t y t x 2sin 4121sin .6、()()2221y y y '-=-' 解:令yt y ='-2,则11-='-yt y ,得tt y 1+=, 所以()()dt t dt t t t t dt t t t t t t d yt dy y dy dx 222222*********-=--=--=⎪⎭⎫ ⎝⎛+-⎪⎭⎫ ⎝⎛+=-='=-, 从而c tc dt t x +=+⎪⎭⎫ ⎝⎛-=⎰112, 于是求得方程参数形式的通解为⎪⎪⎩⎪⎪⎨⎧+=+=t t y c t x 11, 因此方程的通解为c x c x y -+-=1.习题2.52.ydy x xdy ydx 2=-解:两边同除以2x ,得: ydy x xdy ydx =-2 c y x y d +-=221 即c y x y =+221 4.xyx y dx dy -= 解:两边同除以x ,得x yx y dx dy -=1令u xy = 则dx du x u dx dy +=即dx du x u dx dy +=uu -=1 得到()2ln 211y c u -=, 即2ln 21⎪⎭⎫ ⎝⎛-=y c y x 另外0=y 也是方程的解。
高等数学考试题库(附答案)1. 解析:求函数 f(x) = x^2 在区间 [0, 2] 上的定积分。
2. 解析:求函数 f(x) = e^x 在区间 [1, 1] 上的定积分。
3. 解析:求函数 f(x) = sin(x) 在区间[0, π] 上的定积分。
4. 解析:求函数 f(x) = cos(x) 在区间[0, π/2] 上的定积分。
5. 解析:求函数 f(x) = ln(x) 在区间 [1, e] 上的定积分。
6. 解析:求函数 f(x) = x^3 在区间 [1, 1] 上的定积分。
7. 解析:求函数f(x) = √x 在区间 [0, 4] 上的定积分。
8. 解析:求函数 f(x) = 1/x 在区间 [1, 2] 上的定积分。
9. 解析:求函数 f(x) = tan(x) 在区间[0, π/4] 上的定积分。
10. 解析:求函数 f(x) = 1/(1 + x^2) 在区间 [0, 1] 上的定积分。
11. 解析:求函数 f(x) = x^2 + 1 在区间 [0, 1] 上的定积分。
12. 解析:求函数 f(x) = e^(x) 在区间 [0, 2] 上的定积分。
13. 解析:求函数 f(x) = sin^2(x) 在区间[0, π] 上的定积分。
14. 解析:求函数 f(x) = cos^2(x) 在区间[0, π/2] 上的定积分。
15. 解析:求函数 f(x) = 1/(1 + x^2) 在区间 [1, 1] 上的定积分。
16. 解析:求函数f(x) = √(1 x^2) 在区间 [1, 1] 上的定积分。
17. 解析:求函数 f(x) = x^3 3x^2 + 2x 在区间 [0, 2] 上的定积分。
18. 解析:求函数 f(x) = e^(2x) 在区间 [1, 1] 上的定积分。
19. 解析:求函数 f(x) = ln(x) 在区间 [1, e^2] 上的定积分。
20. 解析:求函数 f(x) = sin(x)cos(x) 在区间[0, π/2] 上的定积分。
简单高数题一、函数与极限部分(6题)1. 求极限 lim_{x to 1}(x^2 - 1)/(x - 1)- 解析:- 首先对分子进行因式分解,x^2 - 1=(x + 1)(x - 1)。
- 则原式可化为lim_{x to 1}((x + 1)(x - 1))/(x - 1)。
- 当xto1时,x≠1,可以约去x - 1,得到lim_{x to 1}(x + 1)。
- 把x = 1代入x+1,得到极限值为2。
2. 设函数f(x)=<=ft{begin{array}{ll}x+1, & x<0 0, & x = 0 x - 1, &x>0end{array}right.,求lim_{x to 0}f(x)- 解析:- 当xto0^-(即x从左边趋近于0)时,f(x)=x + 1,则lim_{x to 0^-}f(x)=lim_{x to 0^-}(x + 1)=1。
- 当xto0^+(即x从右边趋近于0)时,f(x)=x - 1,则lim_{x to0^+}f(x)=lim_{x to 0^+}(x - 1)= - 1。
- 因为lim_{x to 0^-}f(x)≠lim_{x to 0^+}f(x),所以lim_{x to 0}f(x)不存在。
3. 求函数y=√(x^2 - 4)+(1)/(x - 3)的定义域。
- 解析:- 对于根式部分,要使√(x^2 - 4)有意义,则x^2-4≥slant0。
- 解不等式x^2 - 4≥slant0,即(x + 2)(x - 2)≥slant0,得到x≤slant - 2或x≥slant2。
- 对于分式部分,要使(1)/(x - 3)有意义,则x - 3≠0,即x≠3。
- 综合起来,函数的定义域为(-∞,-2]∪[2,3)∪(3,+∞)。
4. 已知函数f(x)=ln(x + 1),求f^′(0)。
- 解析:- 首先对f(x)=ln(x + 1)求导,根据求导公式(ln(u))^′=(1)/(u)u^′,这里u=x + 1,u^′ = 1。
第一章函数及其图形例1:().1}A. {x | x>3}B. {x | x<-2}C. {x |-2< x ≤1}D. {x | x≤注意,单选题的解答,有其技巧和方法,可参考本课件“应试指南”中的文章《高等数学(一)单项选择题的解题策略与技巧》,这里为说明解题相关的知识点,都采用直接法。
例2:函数的定义域为().例3:下列各组函数中,表示相同函数的是()解:A中的两个函数是不同的,因为两函数的对应关系不同,当|x|>1时,两函数取得不同的值。
B中的函数是相同的。
因为对一切实数x都成立,故应选B。
C中的两个函数是不同的。
因为的定义域为x≠-1,而y=x的定义域为(-∞,+∞)。
D中的两个函数也是不同的,因为它们的定义域依次为(-∞,0)∪(0,+∞)和(0,+∞)。
例4:设解:在令t=cosx-1,得又因为-1≤cosx≤1,所以有-2≤cosx-1≤0,即-2≤t≤0,从而有。
例5:f(2)没有定义。
注意,求分段函数的函数值,要把自变量代到相应区间的表达式中。
例6:函数是()。
A.偶函数 B.有界函数 C.单调函数 D.周期函数解:由于,可知函数为一个奇函数而不是偶函数,即(A)不正确。
由函数在x=0,1,2点处的值分别为0,1,4/5,可知函数也不是单调函数;该函数显然也不是一个周期函数,因此,只能考虑该函数为有界函数。
事实上,对任意的x,由,可得,从而有。
可见,对于任意的x,有。
因此,所给函数是有界的,即应选择B。
例7:若函数f(x)满足f(x+y)=f(x)+f(y),则f(x)是()。
A.奇函数 B.偶函数 C.非奇非偶函数D.奇偶性不确定解:因为f(x+y)=f(x)+f(y),故f(0)= f(0+0)=f(0)+f(0)=2f(0),可知f(0)=0。
在f(x+y)=f(x)+f(y)中令y = -x,得0 = f(0) = f(x-x) = f[ x+(-x) ] = f(x)+f(-x)所以有f(-x) = - f(x),即f(x)为奇函数,故应选 A 。
例 8:函数的反函数是()。
A.B.C.D.解:于是,是所给函数的反函数,即应选C。
例 9:下列函数能复合成一个函数的是()。
A.B.C.D.解:在(A)、(B)中,均有u=g(x)≤0,不在f (u)的定义域内,不能复合。
在(D)中,u=g(x)=3也不满足f(u)的定义域,也不能复合。
只有(C)中的定义域内,可以复合成一个函数,故应选C。
例 10:函数可以看成哪些简单函数复合而成:解:,三个简单函数复合而成。
第二章极限与连续例1:下列数列中,收敛的数列是()A. B. C. D.解:(A)中数列为0,1,0,1,……其下标为奇数的项均为0,而下标为偶数的项均为1,即奇偶数项分别趋于不同的常数值,从而可知该数列没有极限,是发散的。
由于,故(B)中数列发散。
由于正弦函数是一个周期为的周期函数,当时,并不能无限趋近于一个确定的值,因而(C)中数列也发散。
由于,故(D)中数列收敛。
例2:设,则a=( )A.0B.1C.3D.1/3解:假设=0,则所给极限为,其分子趋于∞,而分母趋于有限值3,所以极限为∞,不是1/5,因而≠0。
当≠0时,所给极限为,故应选C。
一般地,如果有理函数,其中、分别为n的k次、l次多项式,那么,当时,当k=l时,f (n)的极限为、的最高次项的系数之比;当k<l时,f (n)的极限为零;当k>l时,f (n)的极限为∞。
对于当x→∞(或+∞,-∞)时x的有理分式函数的极限,也有类似的结果。
例3.A. 0B. 1C. πD. n解利用重要极限,故应选C。
注:第一重要极限的本质是,这里的可以想象为一个空的筐子,里面可以填入任意以零为极限的表达式(三个填入的内容要相同)。
类似地,第二重要极限可以看作是,其中可以同时填入相同的任意趋于无穷大的表达式。
例4.求解法 1解法 2解法 3例5.A. 0B. 1C. 1/2D. 1/4解:由于,故应选D。
例6.解:注意本题属于“∞-∞”型,是个未定式,不能简单地认为它等于0或认为是∞,对于此类问题一般需要将函数进行通分,然后设法进行化简,进而求出其极限值。
例7. 当x→0时,的()。
A. 同阶无穷小量B. 高阶无穷小量C. 低价无穷小量D. 较低阶的无穷小量解:由于可知是x的同阶无穷小量,所以应选A。
例8. 当等价的无穷小量是( )A. B. C. D.解:由于可知的高阶无穷小量,同时等价的无穷小量,所以选D。
例9. 下列变量在给定的变化过程中是无穷大量的是( )A. B.C. D.解:由于所以应选A.例10.要使函数在x=0处连续,f(0)应该补充定义的数值是( )A.1/2B.2C.1D.0解:要使函数f(x)在x=0处连续,必须有因此要令f(0)=1.故应选C。
例11.设求k,使f(x)连续。
解:由于函数f(x)在(-∞,0)和(0,+∞)两区间内均由初等函数表示,而且在这两个区间内均有定义,因此在这两个区间内是连续的。
函数是否连续取决于它在x=0处是否连续。
要让f(x)在x=0处连续,必须由于=又由可知例12.证明方程在区间(1,2)内必有一根。
证:令,由于f(x)是初等函数,它在区间(-∞,+∞)上连续,另外f(1)=-1<1 ,f(2)=13>0, f(x)在[1,2]上连续,故由零点存在定理知,存在在区间(1,2)内必有一个根.第三章导数和微分例1:讨论函数例2:例3:分段函数处是否连续?是否可导?为什么?例4:例5:例6:例7:例8:例9:例10:例11:证明曲线xy=1 (x>0,y>0)上任一点处的切线与两坐标轴所围成的三角形的面积是一个常数.例12:例13:第四章中值定理与导数应用例1:下列各函数中,在区间[-1,1]上满足罗尔定理所有条件的是( )例2:例3:例4:例5:例6:下列极限中能用罗必达法则的有( )例7:例8:列表即(-∞,-2)及(0,+∞)为递增区间,(-2,-1)及(-1,0)为递减区间;当x=-2时取极大值f(-2)=-4,当x=0时取极小值f(0)=0例9:讨论曲线 y=x4-2x3+1的凹向与拐点解:yˊ=4x3-6x2y″=12x2-12x=12x(x-1)当x=0,x=1时 y″=0x=0与x=1把定义域(-∞,+∞)分成三个区间,列表即(-∞,0)及(1,+∞)上凹;(0,1)下凹,两个拐点(0,1)和(1,0)例10:例11:例12:例13:某种商品需求函数为,求当P=4时的需求弹性。
例14:第五章积分例1:若h(x)是g(x)的一个原函数,则下列表达式中正确的一个是()。
解:因为各备选答案中的右端均含有积分常数C,故只须验证各备选答案中右端的导数是否等于其左端积分的被积函数。
事实上,由于g(x)未必可导,故可知(A)、(D)不正确;由题意h(x)是g(x)的一个原函数,即h'(x)=g(x),故(B)正确而(C)不正确,因此,应选(B)。
例2:例3:例4:例5:例6:例7:例8:例9:例10:例11:(图8-1) 例12:例13:例14:例15:例16:例17:例18:例19:例20:例21:例22:试判断下列广义积分的敛散性。
例23:试判断下列广义积分的敛散性。
例24:例25:例26:例27:例28:第六章无穷级数例1:例2:例3:例4:例5:例6:根据极限形式的比较审敛法,可知(B)中级数是收敛的;例7:例8:第一步,根据级数收敛必要性粗略观察是否有若有,则得出级数发散结论,否则进行下一步。
例9:判断交错级数的敛散性,若收敛,指出是条件收敛还是绝对收敛。
例10:例11:例12:例13:例14:第七章多元函数微积分例1.下列平面方程中,过点(1,1,-1)的方程是()(A) x+y+Z=0 (B)x+y+Z=1 (C)x+y-Z=1 (D)x+y-Z=0解:判断一个点是否在平面上,只需将点的坐标代入,看看是否满足相应的平面方程即可。
易见应选(B)。
例2.指出下列平面的特殊位置(1)x+2z=1;(2)x-2y=0;(3)x-2y+3z=0;(4)z-5=0.解:设平面方程为Ax+By+Cz+D=0(1)方程中y的系数为B=0,故该平面平行于o y轴(垂直于zox平面);(2)方程中z的系数C=0且D=0,故平面过oz轴;(3)方程中常数D=0,故该平面过原点;(4)方程中x的系数A=0 且y的系数B=0,故该平面垂直于oz轴(平行于xoy平面)。
例3.求过点(3,2,1)且平行于yoz平面的平面方程。
解:平行于yoz平面即垂直于ox轴,故可设所求平面方程为Ax+D=0,将已知点(3,2,1)的坐标代入上式,得D=-3A,从而所求方程为x-3=0。
注意:在求平面方程时,Ax+By+Cz+D=0中的四个待定常数不是完全独立的,计算时可用其中的一个表示其余的三个,然后通过化简得出所求结果。
例4.求点M(2,-3,1)分别关于xOy平面、Oy轴和原点的对称点。
解:点M关于xOy平面的对称点是第三个分量变号,即(2,-3,-1),关于Oy轴的对称点是第一,第三分量变号,即(-2,-3,-1),关于原点的对称点是三个分量都变号即(-2,3,-1)。
例5.求平面3x+2y-z-6=0分别在三条坐标轴上的截距。
解:将平面方程化为截距式方程,得因此该平面在Ox轴、Oy轴和Oz轴上的截距依次为2、3、和-6。
例6.求球面的球心坐标和半径。
解:对方程进行配方,化为一般形式的球面方程从而球心坐标为(3,-1,0),半径为。
例7.下列方程在空间直角坐标系中,表示施转抛物面的方程是()(A)(B)(C)(D)解:只能x=y=z=0,它表示空间直角坐标系中的原点。
是一次方程,D=0表示过原点的一个平面。
即表示绕z轴旋转张口朝z轴负方向的旋转抛物面。
表示双曲抛物面(马鞍面)故应选(C)例8.函数的定义域是()。
(A)(B)(C)(D)解:由函数的表达式知函数的定义域为即,故应选(C)。
例9.设(A)(B)(C)(D)解:由题设,故应选(A)。
例10.设在点处偏导数存在,则(A)(B)(C)(D)解:根据偏导数的定义,有故应选(C)。
例11.设证明证明:于是左注意,本例还可以利用二元函数隐函数来解偏导数:两边取对数代入左端即可得结论。
例12.设其中f为可微函数,则(A)(B) (C) (D)故应选(D)。
例13.设因此,例14.设例15.设z=z(x,y)是由方程确定的函数,求注意:在求隐函数的偏导数时,其结果中可以有变量度z的出现,结果表达式也常常不是惟一的,如本例用代入两个偏导还可以表示成例16.设(A)(B)(C)(D)解1:变量之间的关系图为故应选(A)注意:这里解法2经过代入后变成了一个一元函数求导问题,简洁明了。