热力学练习题剖析
- 格式:ppt
- 大小:535.00 KB
- 文档页数:6
第二章热力学第二定律习题一 . 选择题:1. 理想气体绝热向真空膨胀,则 ( )(A) △S = 0,W = 0 (B) △H = 0,△U = 0(C) △G = 0,△H = 0 (D) △U = 0,△G = 02. 熵变△S 是(1) 不可逆过程热温商之和 (2) 可逆过程热温商之和(3) 与过程无关的状态函数 (4) 与过程有关的状态函数以上正确的是()(A) 1,2 (B) 2,3 (C) 2 (D) 43. 对于孤立体系中发生的实际过程,下式中不正确的是:()(A) W = 0 (B) Q = 0 (C) △S > 0 (D) △H = 04. 理想气体经可逆与不可逆两种绝热过程()(A) 可以从同一始态出发达到同一终态(B) 不可以达到同一终态(C) 不能断定 (A)、(B) 中哪一种正确(D) 可以达到同一终态,视绝热膨胀还是绝热压缩而定5. P⊖、273.15K 水凝结为冰,可以判断体系的下列热力学量中何者一定为零?(A) △U (B) △H (C) △S (D) △G6. 在绝热恒容的反应器中,H2和 Cl2化合成 HCl,此过程中下列各状态函数的变化值哪个为零? ( ) (A) △r U m (B) △r H m (C) △r S m (D) △r G m7. 在绝热条件下,用大于气筒内的压力,迅速推动活塞压缩气体,此过程的熵变为: ( ) (A) 大于零 (B) 等于零 (C) 小于零 (D) 不能确定8. H2和 O2在绝热钢瓶中生成水的过程:()(A) △H = 0 (B) △U = 0 (C) △S = 0 (D) △G = 09. 在 270K,101.325kPa 下,1mol过冷水经等温等压过程凝结为同样条件下的冰,则体系及环境的熵变应为: ( )(A) △S体系 < 0 ,△S环境 < 0 (B) △S体系 < 0 ,△S环境> 0(C) △S体系 > 0 ,△S环境 < 0 (D) △S体系 > 0 ,△S环境 > 010. 1mol 的单原子理想气体被装在带有活塞的气缸中,温度是 300K,压力为 1013250Pa。
高考物理力学知识点之热力学定律专项训练解析附答案(1) 一、选择题 1.如图所示,在大口的玻璃瓶内装一些水,水的上方有水蒸气。然后用一与打气筒相连的活塞密闭瓶口,并给瓶内打气,当打到某一状态时,瓶塞会跳起来。当瓶塞跳起时,我们会看到瓶内出现了“白雾”。对于“白雾”的形成,下列说法正确的是( )
A.这些“白雾”是当瓶塞跳起后外界的水蒸气在瓶口遇冷形成的小水珠
B.这是打气筒向瓶内打进去的水蒸气
C.这是瓶内的水向外膨胀形成的水雾
D.瓶内空气推动瓶塞做功,空气的内能减小,温度降低,使水蒸气液化形成小水滴
2.如图所示导热性良好的汽缸内密封的气体(可视为理想气体),在等压膨胀过程中,下列关于气体说法正确的是( )
A.气体内能可能减少
B.气体会向外界放热
C.气体吸收的热量大于对外界所做的功
D.气体平均动能将减小
3.如图所示,一导热性能良好的金属气缸内封闭一定质量的理想气体。现缓慢地向活塞上倒一定质量的沙土,忽略环境温度的变化,在此过程中( )
A.气缸内大量分子的平均动能增大
B.气体的内能增大
C.单位时间内撞击气缸壁单位面积上的分子数增多
D.气缸内大量分子撞击气缸壁的平均作用力增大
4.一定质量的理想气体在某一过程中,气体对外界做功1.6×104J,从外界吸收热量3.8×104J,则该理想气体的( )
A.温度降低,密度减小
B.温度降低,密度增大
C.温度升高,密度减小 D.温度升高,密度增大
5.根据学过的热学中的有关知识,判断下列说法中正确的是( ) A.机械能可以全部转化为内能,内能也可以全部用来做功转化成机械能
B.凡与热现象有关的宏观过程都具有方向性,在热传递中,热量只能从高温物体传递给低
温物体,而不能从低温物体传递给高温物体 C.尽管科技不断进步,热机的效率仍不能达到100%,制冷机却可以使温度降到-293 ℃
D.第一类永动机违背能量守恒定律,第二类永动机不违背能量守恒定律,随着科技的进
高考物理新力学知识点之热力学定律技巧及练习题附答案解析一、选择题1.下列过程中可能发生的是 ()A.某种物质从高温热源吸收20 kJ的热量,全部转化为机械能,而没有产生其他任何影响B.打开一高压密闭容器,其内气体自发溢出后又自发溢进去,恢复原状C.利用其他手段,使低温物体温度更低,高温物体的温度更高D.将两瓶不同液体混合,然后它们又自发地各自分开2.如图所示,一导热性能良好的金属气缸内封闭一定质量的理想气体。
现缓慢地向活塞上倒一定质量的沙土,忽略环境温度的变化,在此过程中()A.气缸内大量分子的平均动能增大B.气体的内能增大C.单位时间内撞击气缸壁单位面积上的分子数增多D.气缸内大量分子撞击气缸壁的平均作用力增大3.若通过控制外界条件,使图甲装置中气体的状态发生变化.变化过程中气体的压强p随热力学温度T的变化如图乙所示,图中AB线段平行于T轴,BC线段延长线通过坐标原点,CA线段平行于p轴.由图线可知A.A→B过程中外界对气体做功B.B→C过程中气体对外界做功C.C→A过程中气体内能增大D.A→B过程中气体从外界吸收的热量大于气体对外界做的功4.下列说法正确的是()A.布朗运动就是液体分子的热运动B.在实验室中可以得到-273.15℃的低温C.一定质量的气体被压缩时,气体压强不一定增大D.热量一定是从内能大的物体传递到内能小的物体5.带有活塞的汽缸内封闭一定量的理想气体.气体开始处于状态a;然后经过过程ab到达状态b或经过过程ac到状态c,b、c状态温度相同,如V﹣T图所示.设气体在状态b 和状态c的压强分别为P b和P c,在过程ab和ac中吸收的热量分别为Q ab和Q ac,则()A.p b>p c,Q ab>Q ac B.p b>p c,Q ab<Q acC.p b<p c,Q ab<Q ac D.p b<p c,Q ab>Q ac6.关于物体内能的变化情况,下列说法中正确的是( )A.吸热的物体,其内能一定增加B.绝热压缩的物体,其内能一定增加C.放热的物体,其内能一定减少D.体积膨胀的物体,其内能一定减少7.如图所示,一定质量的理想气体密封在绝热(即与外界不发生热交换)容器中,容器内装有一可以活动的绝热活塞.今对活塞施以一竖直向下的压力F,使活塞缓慢向下移动一段距离后,气体的体积减小.若忽略活塞与容器壁间的摩擦力,则被密封的气体( )图13-2-4A.温度升高,压强增大,内能减少B.温度降低,压强增大,内能减少C.温度升高,压强增大,内能增加D.温度降低,压强减小,内能增加8.⑴下列说法:正确的是.A.由阿伏德罗常数、气体的摩尔质量和密度,可以估算该种气体分子的大小B.悬浮在液体中的固体微粒越小,布朗运动就越明显C.分子间的引力随分子间距离的增大而增大,分子间斥力随分子间距离的增大而减小D.根据热力学第二定律可知,热量不可能从低温物体传到高温物体9.在下列叙述中,正确的是A.物体里所有分子动能的总和叫做物体的内能B.—定质量的气体,体积不变时,温度越高,气体的压强就越大C.对一定质量的气体加热,其内能一定增加D.随着分子间的距离增大分子间引力和斥力的合力一定减小10.关于能量的转化与守恒,下列说法正确的是()A.任何制造永动机的设想,无论它看上去多么巧妙,都是一种徒劳B.空调机既能致热,又能致冷,说明热传递不存在方向性C .由于自然界的能量是守恒的,所以说能源危机不过是杞人忧天D .一个单摆在来回摆动许多次后总会停下来,说明这个过程的能量不守恒11.密闭有空气的薄塑料瓶因降温而变扁,此过程中瓶内空气(不计分子势能) A .内能增大,放出热量B .内能减小,吸收热量C .内能增大,对外界做功D .内能减小,外界对其做功 12.一定量的理想气体,从状态a 开始,经历ab 、bc 、ca 三个过程,其图象如图所示,下列判断正确的是( )A .a b →过程气体吸收的热量大于内能的增加B .b c →过程气体吸收的热量全部用于对外做功C .c a →过程外界对气体做的功大于放出的热量D .b c →过程的体积变化量大于c a →过程的体积变化量13.如图所示,柱形容器内封有一定质量的空气,光滑活塞C (质量为m )与容器用良好的隔热材料制成。
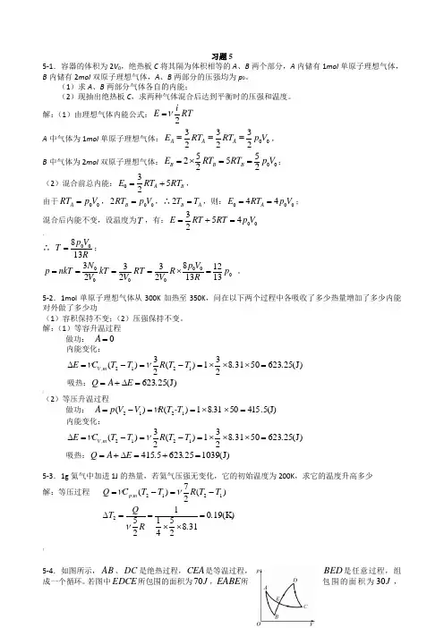
习题55-1.容器的体积为2V 0,绝热板C 将其隔为体积相等的A 、B 两个部分,A 内储有1mol 单原子理想气体,B 内储有2mol 双原子理想气体,A 、B 两部分的压强均为p 0。
(1)求A 、B 两部分气体各自的内能;(2)现抽出绝热板C ,求两种气体混合后达到平衡时的压强和温度。
解:(1)由理想气体内能公式:RT iE 2ν= A 中气体为1mol 单原子理想气体:00333222A A A E RT RT p V ===,B 中气体为2mol 双原子理想气体:00552522B B B E RT RT p V =⨯==;(2)混合前总内能:0352A B E RT RT =+,由于00A RT p V =,002B RT p V =,∴2B A T T =,则:00044A E RT p V ==;混合后内能不变,设温度为T ,有:003542E RT RT p V =+=、∴ 00813p V T R =;00000003833122221313N p V p nkT kT RT R p V V V R ====⨯= 。
5-2.1mol 单原子理想气体从300K 加热至350K ,问在以下两个过程中各吸收了多少热量增加了多少内能对外做了多少功(1)容积保持不变;(2)压强保持不变。
解:(1)等容升温过程做功: 0=A 内能变化:(J)2562350318231)(23)(1212..T T R T T C E m ,V =⨯⨯⨯=-=-=∆νν 吸热:(J)25623.E A Q =∆+=;(2)等压升温过程做功: (J)5415508.311)()(1212.-T T R V V p A =⨯⨯==-=ν 内能变化:(J)2562350318231)(23)(1212..T T R T T C E m ,V =⨯⨯⨯=-=-=∆νν 吸热:(J)1039256235415=+=∆+=..E A Q5-3.1g 氦气中加进1J 的热量,若氦气压强无变化,它的初始温度为200K ,求它的温度升高多少 解:等压过程 )(27)(1212T T R T T C Q m ,p -=-=νν (K)19031825411252..R Q T =⨯⨯==∆ν!5-4.如图所示,AB 、DC 是绝热过程,CEA 是等温过程,BED 是任意过程,组成一个循环。
高考物理力学知识点之热力学定律技巧及练习题附解析(1) 一、选择题 1.根据热力学第二定律,下列说法中错误..的是( ) A.电流的电能不可能全部变成内能
B.在火力发电中,燃气的内能不可能全部变为电能
C.在热机中,燃气的内能不可能全部变为机械能
D.在热传导中,热量不可能自发地从低温物体传递给高温物体
2.如图所示导热性良好的汽缸内密封的气体(可视为理想气体),在等压膨胀过程中,下列关于气体说法正确的是( )
A.气体内能可能减少
B.气体会向外界放热
C.气体吸收的热量大于对外界所做的功
D.气体平均动能将减小
3.二氧化碳是导致“温室效应”的主要原因之一,人类在采取节能减排措施的同时,也是在研究控制温室气体的新方法,目前专家们正在研究二氧化碳的深海处理技术.在某次实验中,将一定质量的二氧化碳气体封闭在一个可以自由压缩的导热容器中,将容器缓慢移到海水某深处,气体体积减小为原来的一半,温度逐渐降低.此过程中( ) A.封闭的二氧化碳气体对外界做正功
B.封闭的二氧化碳气体压强一定增大
C.封闭的二氧化碳气体分子的平均动能增大
D.封闭的二氧化碳气体一定从外界吸收热量
4.下列说法正确的是( ) A.决定封闭理想气体压强大小的是,分子密集程度和分子的平均动能
B.决定理想气体压强的是,分子平均动能和分子种类
C.质量相同的0C的水和0C的冰具有相同的内能
D.一定质量的理想气体绝热自由膨胀过程,内能一定减少
5.下列过程中可能发生的是( ) A.将两瓶不同液体混合,然后它们又自发地各自分开
B.利用其他手段,使低温物体温度更低,高温物体的温度更高
C.打开一高压密闭容器,其内气体自发溢出后又自发溢进去,恢复原状
D.某种物质从高温热源吸收20kJ的热量,全部转化为机械能,而没有产生其他任何影响
6.下列有关热学的叙述中,正确的是( ) A.同一温度下,无论是氢气还是氮气,它们分子速率都呈现出“中间多,两头少”的分布规
高考物理力学知识点之热力学定律技巧及练习题附答案解析 一、选择题 1.一定质量的理想气体,从状态M开始,经状态N、Q回到原状态M,其p-V图象如图所示,其中QM平行于横轴,NQ平行于纵轴.则( )
A.M→N过程气体温度不变
B.N→Q过程气体对外做功
C.N→Q过程气体内能减小
D.Q→M过程气体放出热量
2.下面几幅图中,有关功与内能的说法中正确的是
A.图1中迅速下压活塞,棉花会燃烧起来,说明热传递可以使物体的温度升高
B.图2中重物下落带动叶片转动,由于叶片向水传递热量而使水的温度升高
C.图3中降落的重物使发电机发电,电流对水做功使水的温度升高
D.做功和热传递都可以使物体的内能增加
3.下列有关热学的叙述中,正确的是( ) A.同一温度下,无论是氢气还是氮气,它们分子速率都呈现出“中间多,两头少”的分布规
律,且分子平均速率相同 B.在绝热条件下压缩理想气体,则其内能不一定增加
C.布朗运动是指悬浮在液体中的花粉分子的无规则热运动
D.液体表面层分子间距离大于液体内部分子间距离,故液体表面存在张力
4.一定质量的理想气体由状态A变化到状态B,气体的压强随热力学温度变化如图所示,则此过程( ) A.气体的密度减小
B.外界对气体做功
C.气体从外界吸收了热量
D.气体分子的平均动能增大
5.下列说法正确的是( )
A.布朗运动就是液体分子的热运动
B.在实验室中可以得到-273.15℃的低温
C.一定质量的气体被压缩时,气体压强不一定增大
D.热量一定是从内能大的物体传递到内能小的物体
6.某同学将一气球打好气后,不小心碰到一个尖利物体而迅速破裂,则在气球破裂过程中( ) A.气体对外界做功,温度降低 B.外界对气体做功,内能增大
C.气体内能不变,体积增大 D.气体压强减小,温度升高
7.下列说法正确的是( ) A.气体的温度升高,分子动能都增大
B.功可以全部转化为热,但吸收的热量一定不能全部转化为功
高考物理力学知识点之热力学定律技巧及练习题附解析一、选择题1.在下列叙述中,正确的是A.物体里所有分子动能的总和叫做物体的内能B.—定质量的气体,体积不变时,温度越高,气体的压强就越大C.对一定质量的气体加热,其内能一定增加D.随着分子间的距离增大分子间引力和斥力的合力一定减小2.一定质量的理想气体在某一过程中,气体对外界做功1.6×104J,从外界吸收热量3.8×104J,则该理想气体的()A.温度降低,密度减小B.温度降低,密度增大C.温度升高,密度减小D.温度升高,密度增大3.下列有关热学的叙述中,正确的是()A.同一温度下,无论是氢气还是氮气,它们分子速率都呈现出“中间多,两头少”的分布规律,且分子平均速率相同B.在绝热条件下压缩理想气体,则其内能不一定增加C.布朗运动是指悬浮在液体中的花粉分子的无规则热运动D.液体表面层分子间距离大于液体内部分子间距离,故液体表面存在张力4.若通过控制外界条件,使图甲装置中气体的状态发生变化.变化过程中气体的压强p随热力学温度T的变化如图乙所示,图中AB线段平行于T轴,BC线段延长线通过坐标原点,CA线段平行于p轴.由图线可知A.A→B过程中外界对气体做功B.B→C过程中气体对外界做功C.C→A过程中气体内能增大D.A→B过程中气体从外界吸收的热量大于气体对外界做的功5.某同学将一气球打好气后,不小心碰到一个尖利物体而迅速破裂,则在气球破裂过程中( )A.气体对外界做功,温度降低B.外界对气体做功,内能增大C.气体内能不变,体积增大D.气体压强减小,温度升高6.如图所示,用两种不同的金属丝组成一个回路,接触点1插在一杯热水中,接触点2插在一杯冷水中,此时灵敏电流计的指针会发生偏转,这就是温差发电现象,根据这一现象,下列说法中正确的是( )A.这一过程违反了热力学第二定律B.这一过程违反了热力学第一定律C.热水和冷水的温度将发生变化D.这一过程违反了能量守恒定律7.一定质量理想气体的状态经历了如图所示的ab、bc、cd、da四个过程,其中ab与竖直轴平行,bc的延长线通过原点,cd与水平轴平行,da与bc平行,则 ( )A.ab过程中气体温度不变,气体不吸热也不放热B.bc过程中气体体积保持不变,气体放出热量C.cd过程中气体体积不断增加,气体吸收热量D.da过程中气体体积保持不变,气体放出热量8.一定质量的理想气体的状态变化过程如图所示,MN为一条直线,则气体从状态M到状态N的过程中A.温度保持不变B.温度先升高,后又减小到初始温度C.整个过程中气体对外不做功,气体要吸热D.气体的密度在不断增大9.重庆出租车常以天然气作为燃料,加气站储气罐中天然气的温度随气温升高的过程中,若储气罐内气体体积及质量均不变,则罐内气体(可视为理想气体)( )A.压强增大,内能减小B.吸收热量,内能增大C.压强减小,分子平均动能增大D.对外做功,分子平均动能减小10.根据热力学第二定律,下列说法中错误..的是()A.电流的电能不可能全部变成内能B.在火力发电中,燃气的内能不可能全部变为电能C.在热机中,燃气的内能不可能全部变为机械能D.在热传导中,热量不可能自发地从低温物体传递给高温物体11.如图所示,一定质量的理想气体密封在绝热(即与外界不发生热交换)容器中,容器内装有一可以活动的绝热活塞.今对活塞施以一竖直向下的压力F,使活塞缓慢向下移动一段距离后,气体的体积减小.若忽略活塞与容器壁间的摩擦力,则被密封的气体( )图13-2-4A.温度升高,压强增大,内能减少B.温度降低,压强增大,内能减少C.温度升高,压强增大,内能增加D.温度降低,压强减小,内能增加12.快递公司用密封性好、充满气体的塑料袋包裹易碎品,如图所示。