同条件养护试块测温记录(工整规范)
- 格式:doc
- 大小:50.00 KB
- 文档页数:1
同条件养护混凝土试件测温记录
编号:表号:D-03 工程名称:分项名称:施工单位:
同条件养护混凝土试件测温记录填写说明
桥梁工程施工过程中,应根据施工需要,制取结构物同条件养护的试件,作为拆模、吊装、施加预应力、承受荷载等施工阶段的强度依据。
同条件养护是将成型脱模后的混凝土试件,放置在靠近相应结构构件或结构部位的适当位置,并采取相同的养护方法。
等效养护龄期可取按日平均温度逐日累计达到600℃﹒d时所对应的龄期,0℃及以下的龄期不计入;等效养护龄期不应小于14d,也不宜大于60d。
SZLB19同条件混凝土试块养护温度记录
同条件混凝土试块养护温度记录
工程名称:编号:SZLB-001
同条件混凝土试块养护温度记录
工程名称:编号:SZLB-001(续)
SZLB19同条件混凝土试块养护温度记录
同条件混凝土试块养护温度记录
工程名称:编号:SZLB-002
同条件混凝土试块养护温度记录
工程名称:编号:SZLB-002(续)
SZLB19同条件混凝土试块养护温度记录
同条件混凝土试块养护温度记录
工程名称:编号:SZLB-003
同条件混凝土试块养护温度记录
工程名称:编号:SZLB-003(续)
SZLB19同条件混凝土试块养护温度记录
同条件混凝土试块养护温度记录
工程名称:编号:SZLB-004
工程名称:编号:SZLB-004(续)
工程名称:编号:SZLB-005
工程名称:编号:SZLB-005(续)
工程名称:编号:SZLB-006
工程名称:编号:SZLB-006(续)
工程名称:编号:SZLB-007
工程名称:编号:SZLB-007(续)
工程名称:编号:SZLB-008
工程名称:编号:SZLB-008(续)。
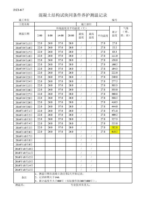
表C059同条件养护试块测温记录工程名称长德新区尚德华园A区59#楼编号序号测温时间试块代表部位平均养护温度(℃)累计等效养护龄期(d)累计养护温度(℃·d)月日时1 7 9 地梁23 1 232 7 10 地梁21 2 443 7 11 地梁23 3 674 7 12 地梁26 4 935 7 13 地梁23 5 1166 7 14 地梁24 6 1407 7 15 地梁22 7 1628 7 16 地梁23 8 1859 7 17 地梁22 9 20710 7 18 地梁21 10 22811 7 19 地梁23 11 25112 7 20 地梁20 12 27113 7 21 地梁22 13 29314 7 22 地梁24 14 31715 7 23 地梁21 15 33816 7 24 地梁22 16 36017 7 25 地梁24 17 38418 7 26 地梁22 18 40619 7 27 地梁21 19 42720 7 28 地梁23 20 45021 7 29 地梁24 21 474测温人:(签字)记录人:(签字)技术负责人:(签字)表C059同条件养护试块测温记录工程名称长德新区尚德华园A区59#楼编号序号测温时间试块代表部位平均养护温度(℃)累计等效养护龄期(d)累计养护温度(℃·d)月日时1 7 30 地梁20 22 4942 7 31 地梁20 23 5143 8 1 地梁20 24 5344 8 2 地梁23 25 5575 8 3 地梁21 26 5786 8 4 地梁20 27 5987 8 5 地梁21 28 619 8910111213141516171819测温人:(签字)记录人:(签字)技术负责人:(签字)表C059同条件养护试块测温记录工程名称长德新区尚德华园A区59#楼编号序号测温时间试块代表部位平均养护温度(℃)累计等效养护龄期(d)累计养护温度(℃·d)月日时1 7 18 一层梁板、阳台21 1 212 7 19 一层梁板、阳台23 2 443 7 20 一层梁板、阳台20 3 644 7 21 一层梁板、阳台22 4 865 7 22 一层梁板、阳台24 5 1106 7 23 一层梁板、阳台21 6 1317 7 24 一层梁板、阳台22 7 1538 7 25 一层梁板、阳台24 8 1779 7 26 一层梁板、阳台22 9 19910 7 27 一层梁板、阳台21 10 22011 7 28 一层梁板、阳台23 11 24312 7 29 一层梁板、阳台24 12 26713 7 30 一层梁板、阳台20 13 28714 7 31 一层梁板、阳台20 14 30715 8 1 一层梁板、阳台20 15 32716 8 2 一层梁板、阳台23 16 35017 8 3 一层梁板、阳台21 17 37118 8 4 一层梁板、阳台20 18 39119 8 5 一层梁板、阳台21 19 41220 8 6 一层梁板、阳台21 20 433218 7 一层梁板、阳台23 21 456测温人:(签字)记录人:(签字)技术负责人:(签字)表C059同条件养护试块测温记录工程名称长德新区尚德华园A区59#楼编号序号测温时间试块代表部位平均养护温度(℃)累计等效养护龄期(d)累计养护温度(℃·d)月日时1 8 8 一层梁板、阳台25 22 4812 8 9 一层梁板、阳台23 23 5043 8 10 一层梁板、阳台24 24 5984 8 11 一层梁板、阳台22 25 5505 8 12 一层梁板、阳台21 26 5716 8 13 一层梁板、阳台20 27 5917 8 14 一层梁板、阳台23 28 6148 910111213141516171819测温人:(签字)记录人:(签字)技术负责人:(签字)表C059同条件养护试块测温记录工程名称长德新区尚德华园A区59#楼编号序号测温时间试块代表部位平均养护温度(℃)累计等效养护龄期(d)累计养护温度(℃·d)月日时1 7 24 二层梁、板、楼梯及阳台22 1 222 7 25 二层梁、板、楼梯及阳台24 2 463 7 26 二层梁、板、楼梯及阳台22 3 684 7 27 二层梁、板、楼梯及阳台21 4 895 7 28 二层梁、板、楼梯及阳台23 5 1126 7 29 二层梁、板、楼梯及阳台24 6 1367 7 30 二层梁、板、楼梯及阳台20 7 1568 7 31 二层梁、板、楼梯及阳台20 8 1769 8 1 二层梁、板、楼梯及阳台20 9 19610 8 2 二层梁、板、楼梯及阳台23 10 21911 8 3 二层梁、板、楼梯及阳台21 11 24012 8 4 二层梁、板、楼梯及阳台20 12 26013 8 5 二层梁、板、楼梯及阳台21 13 28114 8 6 二层梁、板、楼梯及阳台21 14 30215 8 7 二层梁、板、楼梯及阳台23 15 32516 8 8 二层梁、板、楼梯及阳台25 16 35017 8 9 二层梁、板、楼梯及阳台23 17 37318 8 10 二层梁、板、楼梯及阳台24 18 39719 8 11 二层梁、板、楼梯及阳台22 19 41920 8 12 二层梁、板、楼梯及阳台21 20 44021 8 13 二层梁、板、楼梯及阳台20 21 460测温人:(签字)记录人:(签字)技术负责人:(签字)表C059同条件养护试块测温记录工程名称长德新区尚德华园A区59#楼编号序号测温时间试块代表部位平均养护温度(℃)累计等效养护龄期(d)累计养护温度(℃·d)月日时1 8 14 二层梁、板、楼梯及阳台23 22 4892 8 15 二层梁、板、楼梯及阳台21 23 5103 8 16 二层梁、板、楼梯及阳台20 24 5304 8 17 二层梁、板、楼梯及阳台25 25 5555 8 18 二层梁、板、楼梯及阳台19 26 5746 8 19 二层梁、板、楼梯及阳台20 27 5947 8 20 二层梁、板、楼梯及阳台21 28 615 8910111213141516171819测温人:(签字)记录人:(签字)技术负责人:(签字)表C059同条件养护试块测温记录工程名称长德新区尚德华园A区59#楼编号序号测温时间试块代表部位平均养护温度(℃)累计等效养护龄期(d)累计养护温度(℃·d)月日时1 7 28 一层楼梯23 1 232 7 29 一层楼梯24 2 473 7 30 一层楼梯20 3 674 7 31 一层楼梯20 4 875 8 1 一层楼梯20 5 1076 8 2 一层楼梯23 6 1307 8 3 一层楼梯21 7 1518 8 4 一层楼梯20 8 1719 8 5 一层楼梯21 9 19110 8 6 一层楼梯21 10 21211 8 7 一层楼梯23 11 23512 8 8 一层楼梯25 12 26013 8 9 一层楼梯23 13 28314 8 10 一层楼梯24 14 30715 8 11 一层楼梯22 15 32916 8 12 一层楼梯21 16 35017 8 13 一层楼梯20 17 37018 8 14 一层楼梯23 18 39319 8 15 一层楼梯21 19 41420 8 16 一层楼梯20 20 43421 8 17 一层楼梯25 21 459测温人:(签字)记录人:(签字)技术负责人:(签字)表C059同条件养护试块测温记录工程名称长德新区尚德华园A区59#楼编号序号测温时间试块代表部位平均养护温度(℃)累计等效养护龄期(d)累计养护温度(℃·d)月日时1 8 18 一层楼梯19 22 4782 8 19 一层楼梯20 23 4983 8 20 一层楼梯21 24 5194 8 21 一层楼梯21 25 5405 8 22 一层楼梯20 26 5606 8 23 一层楼梯22 27 5827 8 24 一层楼梯20 28 602 8910111213141516171819测温人:(签字)记录人:(签字)技术负责人:(签字)表C059同条件养护试块测温记录工程名称长德新区尚德华园A区59#楼编号序号测温时间试块代表部位平均养护温度(℃)累计等效养护龄期(d)累计养护温度(℃·d)月日时1 7 28 二层楼梯23 1 232 7 29 二层楼梯24 2 473 7 30 二层楼梯20 3 674 7 31 二层楼梯20 4 875 8 1 二层楼梯20 5 1076 8 2 二层楼梯23 6 1307 8 3 二层楼梯21 7 1518 8 4 二层楼梯20 8 1719 8 5 二层楼梯21 9 19110 8 6 二层楼梯21 10 21211 8 7 二层楼梯23 11 23512 8 8 二层楼梯25 12 26013 8 9 二层楼梯23 13 28314 8 10 二层楼梯24 14 30715 8 11 二层楼梯22 15 32916 8 12 二层楼梯21 16 35017 8 13 二层楼梯20 17 37018 8 14 二层楼梯23 18 39319 8 15 二层楼梯21 19 41420 8 16 二层楼梯20 20 434218 17 二层楼梯25 21 459测温人:(签字)记录人:(签字)技术负责人:(签字)表C059同条件养护试块测温记录工程名称长德新区尚德华园A区59#楼编号序号测温时间试块代表部位平均养护温度(℃)累计等效养护龄期(d)累计养护温度(℃·d)月日时1 8 18 二层楼梯19 22 4782 8 19 二层楼梯20 23 4983 8 20 二层楼梯21 24 5194 8 21 二层楼梯21 25 5405 8 22 二层楼梯20 26 5606 8 23 二层楼梯22 27 5827 8 24 二层楼梯20 28 6028 910111213141516171819测温人:(签字)记录人:(签字)技术负责人:(签字)表C059同条件养护试块测温记录工程名称长德新区尚德华园A区59#楼编号序号测温时间试块代表部位平均养护温度(℃)累计等效养护龄期(d)累计养护温度(℃·d)月日时1 7 28 三层梁板、楼梯及阳台23 1 232 7 29 三层梁板、楼梯及阳台24 2 473 7 30 三层梁板、楼梯及阳台20 3 674 7 31 三层梁板、楼梯及阳台20 4 875 8 1 三层梁板、楼梯及阳台20 5 1076 8 2 三层梁板、楼梯及阳台23 6 1307 8 3 三层梁板、楼梯及阳台21 7 1518 8 4 三层梁板、楼梯及阳台20 8 1719 8 5 三层梁板、楼梯及阳台21 9 19110 8 6 三层梁板、楼梯及阳台21 10 21211 8 7 三层梁板、楼梯及阳台23 11 23512 8 8 三层梁板、楼梯及阳台25 12 26013 8 9 三层梁板、楼梯及阳台23 13 28314 8 10 三层梁板、楼梯及阳台24 14 30715 8 11 三层梁板、楼梯及阳台22 15 32916 8 12 三层梁板、楼梯及阳台21 16 35017 8 13 三层梁板、楼梯及阳台20 17 37018 8 14 三层梁板、楼梯及阳台23 18 39319 8 15 三层梁板、楼梯及阳台21 19 41420 8 16 三层梁板、楼梯及阳台20 20 434218 17 三层梁板、楼梯及阳台25 21 459测温人:(签字)记录人:(签字)技术负责人:(签字)表C059同条件养护试块测温记录工程名称长德新区尚德华园A区59#楼编号序号测温时间试块代表部位平均养护温度(℃)累计等效养护龄期(d)累计养护温度(℃·d)月日时1 8 18 三层梁板、楼梯及阳台19 22 4782 8 19 三层梁板、楼梯及阳台20 23 4983 8 20 三层梁板、楼梯及阳台21 24 5194 8 21 三层梁板、楼梯及阳台21 25 5405 8 22 三层梁板、楼梯及阳台20 26 5606 8 23 三层梁板、楼梯及阳台22 27 5827 8 24 三层梁板、楼梯及阳台20 28 602 8910111213141516171819测温人:(签字)记录人:(签字)技术负责人:(签字)表C059同条件养护试块测温记录工程名称长德新区尚德华园A区59#楼编号序号测温时间试块代表部位平均养护温度(℃)累计等效养护龄期(d)累计养护温度(℃·d)月日时1 8 1 四层梁板、楼梯阳台20 1 202 8 2 四层梁板、楼梯阳台23 2 433 8 3 四层梁板、楼梯阳台21 3 644 8 4 四层梁板、楼梯阳台20 4 845 8 5 四层梁板、楼梯阳台21 5 1056 8 6 四层梁板、楼梯阳台21 6 1267 8 7 四层梁板、楼梯阳台23 7 1498 8 8 四层梁板、楼梯阳台25 8 1749 8 9 四层梁板、楼梯阳台23 9 19710 8 10 四层梁板、楼梯阳台24 10 22111 8 11 四层梁板、楼梯阳台22 11 24312 8 12 四层梁板、楼梯阳台21 12 26413 8 13 四层梁板、楼梯阳台20 13 28414 8 14 四层梁板、楼梯阳台23 14 30415 8 15 四层梁板、楼梯阳台21 15 32516 8 16 四层梁板、楼梯阳台20 16 34517 8 17 四层梁板、楼梯阳台25 17 37018 8 18 四层梁板、楼梯阳台19 18 38919 8 19 四层梁板、楼梯阳台20 19 40920 8 20 四层梁板、楼梯阳台21 20 43021 8 21 四层梁板、楼梯阳台21 21 451测温人:(签字)记录人:(签字)技术负责人:(签字)表C059同条件养护试块测温记录工程名称长德新区尚德华园A区59#楼编号序号测温时间试块代表部位平均养护温度(℃)累计等效养护龄期(d)累计养护温度(℃·d)月日时1 8 22 四层梁板、楼梯阳台20 22 4722 8 23 四层梁板、楼梯阳台22 23 4923 8 24 四层梁板、楼梯阳台20 24 5144 8 25 四层梁板、楼梯阳台21 25 5345 8 26 四层梁板、楼梯阳台20 26 5546 8 27 四层梁板、楼梯阳台23 27 5777 8 28 四层梁板、楼梯阳台25 28 602 8910111213141516171819测温人:(签字)记录人:(签字)技术负责人:(签字)表C059同条件养护试块测温记录工程名称长德新区尚德华园A区59#楼编号序号测温时间试块代表部位平均养护温度(℃)累计等效养护龄期(d)累计养护温度(℃·d)月日时1 8 4 五层顶梁板、楼梯及阳台20 1 202 8 5 五层顶梁板、楼梯及阳台21 2 413 8 6 五层顶梁板、楼梯及阳台21 3 624 8 7 五层顶梁板、楼梯及阳台23 4 855 8 8 五层顶梁板、楼梯及阳台25 5 1106 8 9 五层顶梁板、楼梯及阳台23 6 1337 8 10 五层顶梁板、楼梯及阳台24 7 1578 8 11 五层顶梁板、楼梯及阳台22 8 1799 8 12 五层顶梁板、楼梯及阳台21 9 20010 8 13 五层顶梁板、楼梯及阳台20 10 22011 8 14 五层顶梁板、楼梯及阳台23 11 24312 8 15 五层顶梁板、楼梯及阳台21 12 26113 8 16 五层顶梁板、楼梯及阳台20 13 28114 8 17 五层顶梁板、楼梯及阳台25 14 30615 8 18 五层顶梁板、楼梯及阳台19 15 32516 8 19 五层顶梁板、楼梯及阳台20 16 34517 8 20 五层顶梁板、楼梯及阳台21 17 36618 8 21 五层顶梁板、楼梯及阳台21 18 38719 8 22 五层顶梁板、楼梯及阳台20 19 40720 8 23 五层顶梁板、楼梯及阳台22 20 429218 24 五层顶梁板、楼梯及阳台20 21 449测温人:(签字)记录人:(签字)技术负责人:(签字)表C059同条件养护试块测温记录工程名称长德新区尚德华园A区59#楼编号序号测温时间试块代表部位平均养护温度(℃)累计等效养护龄期(d)累计养护温度(℃·d)月日时1 8 25 五层顶梁板、楼梯及阳台21 22 4702 8 26 五层顶梁板、楼梯及阳台20 23 4903 8 27 五层顶梁板、楼梯及阳台23 24 5134 8 28 五层顶梁板、楼梯及阳台25 25 5385 8 29 五层顶梁板、楼梯及阳台20 26 5586 8 30 五层顶梁板、楼梯及阳台23 27 5817 8 31 五层顶梁板、楼梯及阳台21 28 602 8910111213141516171819测温人:(签字)记录人:(签字)技术负责人:(签字)表C059同条件养护试块测温记录工程名称长德新区尚德华园A区59#楼编号序号测温时间试块代表部位平均养护温度(℃)累计等效养护龄期(d)累计养护温度(℃·d)月日时1 8 8 六层顶梁板、楼梯及阳台25 1 252 8 9 六层顶梁板、楼梯及阳台23 2 483 8 10 六层顶梁板、楼梯及阳台24 3 724 8 11 六层顶梁板、楼梯及阳台22 4 945 8 12 六层顶梁板、楼梯及阳台21 5 1156 8 13 六层顶梁板、楼梯及阳台20 6 1357 8 14 六层顶梁板、楼梯及阳台23 7 1588 8 15 六层顶梁板、楼梯及阳台21 8 1799 8 16 六层顶梁板、楼梯及阳台20 9 19910 8 17 六层顶梁板、楼梯及阳台25 10 22411 8 18 六层顶梁板、楼梯及阳台19 11 24312 8 19 六层顶梁板、楼梯及阳台20 12 26313 8 20 六层顶梁板、楼梯及阳台21 13 28414 8 21 六层顶梁板、楼梯及阳台21 14 30515 8 22 六层顶梁板、楼梯及阳台20 15 32516 8 23 六层顶梁板、楼梯及阳台22 16 34717 8 24 六层顶梁板、楼梯及阳台20 17 36718 8 25 六层顶梁板、楼梯及阳台21 18 38819 8 26 六层顶梁板、楼梯及阳台20 19 40820 8 27 六层顶梁板、楼梯及阳台23 20 431218 28 六层顶梁板、楼梯及阳台25 21 456测温人:(签字)记录人:(签字)技术负责人:(签字)表C059同条件养护试块测温记录工程名称长德新区尚德华园A区59#楼编号序号测温时间试块代表部位平均养护温度(℃)累计等效养护龄期(d)累计养护温度(℃·d)月日时1 8 29 六层顶梁板、楼梯及阳台20 22 4762 8 30 六层顶梁板、楼梯及阳台23 23 4993 8 31 六层顶梁板、楼梯及阳台21 24 5904 9 1 六层顶梁板、楼梯及阳台22 25 5425 9 2 六层顶梁板、楼梯及阳台20 26 5626 9 3 六层顶梁板、楼梯及阳台23 27 5857 9 4 六层顶梁板、楼梯及阳台20 28 605 8910111213141516171819测温人:(签字)记录人:(签字)技术负责人:(签字)表C059同条件养护试块测温记录工程名称长德新区尚德华园A区59#楼编号序号测温时间试块代表部位平均养护温度(℃)累计等效养护龄期(d)累计养护温度(℃·d)月日时1 8 12 七层顶梁板、楼梯及阳台21 1 212 8 13 七层顶梁板、楼梯及阳台20 2 413 8 14 七层顶梁板、楼梯及阳台23 3 644 8 15 七层顶梁板、楼梯及阳台21 4 855 8 16 七层顶梁板、楼梯及阳台20 5 1056 8 17 七层顶梁板、楼梯及阳台25 6 1307 8 18 七层顶梁板、楼梯及阳台19 7 1498 8 19 七层顶梁板、楼梯及阳台20 8 1699 8 20 七层顶梁板、楼梯及阳台21 9 19010 8 21 七层顶梁板、楼梯及阳台21 10 21111 8 22 七层顶梁板、楼梯及阳台20 11 23112 8 23 七层顶梁板、楼梯及阳台22 12 25113 8 24 七层顶梁板、楼梯及阳台20 13 27114 8 25 七层顶梁板、楼梯及阳台21 14 29215 8 26 七层顶梁板、楼梯及阳台20 15 31216 8 27 七层顶梁板、楼梯及阳台23 16 33517 8 28 七层顶梁板、楼梯及阳台25 17 36018 8 29 七层顶梁板、楼梯及阳台20 18 38019 8 30 七层顶梁板、楼梯及阳台23 19 40320 8 31 七层顶梁板、楼梯及阳台21 20 424219 1 七层顶梁板、楼梯及阳台22 21 446表C059同条件养护试块测温记录工程名称长德新区尚德华园A区59#楼编号序号测温时间试块代表部位平均养护温度(℃)累计等效养护龄期(d)累计养护温度(℃·d)月日时1 92 七层顶梁板、楼梯及阳台20 22 4662 93 七层顶梁板、楼梯及阳台23 23 4893 94 七层顶梁板、楼梯及阳台20 24 5094 95 七层顶梁板、楼梯及阳台20 25 5995 96 七层顶梁板、楼梯及阳台23 26 5596 97 七层顶梁板、楼梯及阳台24 27 5767 9 8 七层顶梁板、楼梯及阳台25 28 601 891111213141516171819表C059同条件养护试块测温记录工程名称长德新区尚德华园A区59#楼编号序号测温时间试块代表部位平均养护温度(℃)累计等效养护龄期(d)累计养护温度(℃·d)月日时1 8 15 八层顶梁板、楼梯及阳台21 1 212 8 16 八层顶梁板、楼梯及阳台20 2 413 8 17 八层顶梁板、楼梯及阳台25 3 664 8 18 八层顶梁板、楼梯及阳台19 4 855 8 19 八层顶梁板、楼梯及阳台20 5 1056 8 20 八层顶梁板、楼梯及阳台21 6 1267 8 21 八层顶梁板、楼梯及阳台21 7 1478 8 22 八层顶梁板、楼梯及阳台20 8 1679 8 23 八层顶梁板、楼梯及阳台22 9 18910 8 24 八层顶梁板、楼梯及阳台20 10 20911 8 25 八层顶梁板、楼梯及阳台21 11 23012 8 26 八层顶梁板、楼梯及阳台20 12 25013 8 27 八层顶梁板、楼梯及阳台23 13 27314 8 28 八层顶梁板、楼梯及阳台25 14 29815 8 29 八层顶梁板、楼梯及阳台20 15 31816 8 30 八层顶梁板、楼梯及阳台23 16 34117 8 31 八层顶梁板、楼梯及阳台21 17 36218 9 1 八层顶梁板、楼梯及阳台22 18 38419 9 2 八层顶梁板、楼梯及阳台20 19 40420 9 3 八层顶梁板、楼梯及阳台23 20 427219 4 八层顶梁板、楼梯及阳台20 21 447测温人:(签字)记录人:(签字)技术负责人:(签字)表C059同条件养护试块测温记录工程名称长德新区尚德华园A区59#楼编号序测温时间试块代表部位平均养累计等效累计养护温号月日时护温度(℃)养护龄期(d)度(℃·d)1 9 5 八层顶梁板、楼梯及阳台20 22 4672 9 6 八层顶梁板、楼梯及阳台23 23 4903 9 7 八层顶梁板、楼梯及阳台24 24 5144 9 8 八层顶梁板、楼梯及阳台25 25 5395 9 9 八层顶梁板、楼梯及阳台23 26 5626 9 10 八层顶梁板、楼梯及阳台20 27 5827 9 11 八层顶梁板、楼梯及阳台21 28 603 8910111213141516171819测温人:(签字)记录人:(签字)技术负责人:(签字)表C059同条件养护试块测温记录工程名称长德新区尚德华园A区59#楼编号序号测温时间试块代表部位平均养护温度(℃)累计等效养护龄期(d)累计养护温度(℃·d)月日时1 8 19 九层顶梁板、楼梯及阳台20 1 202 8 20 九层顶梁板、楼梯及阳台21 2 413 8 21 九层顶梁板、楼梯及阳台21 3 624 8 22 九层顶梁板、楼梯及阳台20 4 825 8 23 九层顶梁板、楼梯及阳台22 5 1046 8 24 九层顶梁板、楼梯及阳台20 6 1247 8 25 九层顶梁板、楼梯及阳台21 7 1458 8 26 九层顶梁板、楼梯及阳台20 8 1659 8 27 九层顶梁板、楼梯及阳台23 9 18810 8 28 九层顶梁板、楼梯及阳台25 10 21311 8 29 九层顶梁板、楼梯及阳台20 11 23312 8 30 九层顶梁板、楼梯及阳台23 12 25613 8 31 九层顶梁板、楼梯及阳台21 13 27714 9 1 九层顶梁板、楼梯及阳台22 14 29915 9 2 九层顶梁板、楼梯及阳台20 15 31916 9 3 九层顶梁板、楼梯及阳台23 16 34217 9 4 九层顶梁板、楼梯及阳台20 17 36218 9 5 九层顶梁板、楼梯及阳台20 18 38219 9 6 九层顶梁板、楼梯及阳台23 19 40520 9 7 九层顶梁板、楼梯及阳台24 20 429219 8 九层顶梁板、楼梯及阳台25 21 454测温人:(签字)记录人:(签字)技术负责人:(签字)表C059同条件养护试块测温记录工程名称长德新区尚德华园A区59#楼编号序号测温时间试块代表部位平均养护温度(℃)累计等效养护龄期(d)累计养护温度(℃·d)月日时1 9 9 九层顶梁板、楼梯及阳台23 22 4772 9 10 九层顶梁板、楼梯及阳台20 23 4973 9 11 九层顶梁板、楼梯及阳台21 24 5184 9 12 九层顶梁板、楼梯及阳台23 25 5415 9 13 九层顶梁板、楼梯及阳台22 26 5636 9 14 九层顶梁板、楼梯及阳台21 27 5847 9 15 九层顶梁板、楼梯及阳台20 28 604 89 1 0 1 1 1 2 1 3 1 4 1 5 1 6 1 7 1 8 1 9测温人:(签字)记录人:(签字)技术负责人:(签字)表C059同条件养护试块测温记录工程名称长德新区尚德华园A区59#楼编号序号测温时间试块代表部位平均养护温度(℃)累计等效养护龄期(d)累计养护温度(℃·d)月日时1 8 22 十层顶梁板、楼梯及阳台20 1 202 8 23 十层顶梁板、楼梯及阳台22 2 423 8 24 十层顶梁板、楼梯及阳台20 3 624 8 25 十层顶梁板、楼梯及阳台21 4 835 8 26 十层顶梁板、楼梯及阳台20 5 1036 8 27 十层顶梁板、楼梯及阳台23 6 1367 8 28 十层顶梁板、楼梯及阳台25 7 1618 8 29 十层顶梁板、楼梯及阳台20 8 1819 8 30 十层顶梁板、楼梯及阳台23 9 20410 8 31 十层顶梁板、楼梯及阳台21 10 22511 9 1 十层顶梁板、楼梯及阳台22 11 24712 9 2 十层顶梁板、楼梯及阳台20 12 26714 9 4 十层顶梁板、楼梯及阳台20 14 31015 9 5 十层顶梁板、楼梯及阳台20 15 33016 9 6 十层顶梁板、楼梯及阳台23 16 35317 9 7 十层顶梁板、楼梯及阳台24 17 37418 9 8 十层顶梁板、楼梯及阳台25 18 39919 9 9 十层顶梁板、楼梯及阳台23 19 42220 9 10 十层顶梁板、楼梯及阳台20 20 442219 11 十层顶梁板、楼梯及阳台21 21 463测温人:(签字)记录人:(签字)技术负责人:(签字)表C059同条件养护试块测温记录工程名称长德新区尚德华园A区59#楼编号序号测温时间试块代表部位平均养护温度(℃)累计等效养护龄期(d)累计养护温度(℃·d)月日时1 9 12 十层顶梁板、楼梯及阳台23 22 4862 9 13 十层顶梁板、楼梯及阳台22 23 5083 9 14 十层顶梁板、楼梯及阳台21 24 5994 9 15 十层顶梁板、楼梯及阳台20 25 5495 9 16 十层顶梁板、楼梯及阳台23 26 5726 9 17 十层顶梁板、楼梯及阳台20 27 5927 9 18 十层顶梁板、楼梯及阳台21 28 613 8910111213141516171819测温人:(签字)记录人:(签字)技术负责人:(签字)表C059同条件养护试块测温记录工程名称长德新区尚德华园A区59#楼编号序号测温时间试块代表部位平均养护温度(℃)累计等效养护龄期(d)累计养护温度(℃·d)月日时1 8 26 十一层顶梁板、楼梯及阳台20 1 202 8 27 十一层顶梁板、楼梯及阳台23 2 433 8 28 十一层顶梁板、楼梯及阳台25 3 684 8 29 十一层顶梁板、楼梯及阳台20 4 885 8 30 十一层顶梁板、楼梯及阳台23 5 1116 8 31 十一层顶梁板、楼梯及阳台21 6 1327 9 1 十一层顶梁板、楼梯及阳台22 7 1548 9 2 十一层顶梁板、楼梯及阳台20 8 1749 9 3 十一层顶梁板、楼梯及阳台23 9 19710 9 4 十一层顶梁板、楼梯及阳台20 10 21711 9 5 十一层顶梁板、楼梯及阳台20 11 23712 9 6 十一层顶梁板、楼梯及阳台23 12 26013 9 7 十一层顶梁板、楼梯及阳台24 13 28414 9 8 十一层顶梁板、楼梯及阳台25 14 30915 9 9 十一层顶梁板、楼梯及阳台23 15 33216 9 10 十一层顶梁板、楼梯及阳台20 16 35917 9 11 十一层顶梁板、楼梯及阳台21 17 37318 9 12 十一层顶梁板、楼梯及阳台23 18 39619 9 13 十一层顶梁板、楼梯及阳台22 19 41820 9 14 十一层顶梁板、楼梯及阳台21 20 439219 15 十一层顶梁板、楼梯及阳台20 21 459测温人:(签字)记录人:(签字)技术负责人:(签字)表C059同条件养护试块测温记录工程名称长德新区尚德华园A区59#楼编号序号测温时间试块代表部位平均养护温度(℃)累计等效养护龄期(d)累计养护温度(℃·d)月日时1 9 16 十一层顶梁板、楼梯及阳台23 22 4822 9 17 十一层顶梁板、楼梯及阳台20 23 5023 9 18 十一层顶梁板、楼梯及阳台21 24 5934 9 19 十一层顶梁板、楼梯及阳台23 25 5465 9 20 十一层顶梁板、楼梯及阳台20 26 5666 9 21 十一层顶梁板、楼梯及阳台21 27 5877 9 22 十一层顶梁板、楼梯及阳台22 28 607 8910111213141516171819测温人:(签字)记录人:(签字)技术负责人:(签字)表C059同条件养护试块测温记录长德新区尚德华园A区59#楼序号测温时间试块代表部位平均养护温度(℃)累计等效养护龄期(d)累计养护温度(℃·d)月日时1 8 31 十二层顶梁板、楼梯及阳台21 1 212 9 1 十二层顶梁板、楼梯及阳台22 2 433 9 2 十二层顶梁板、楼梯及阳台20 3 634 9 3 十二层顶梁板、楼梯及阳台23 4 865 9 4 十二层顶梁板、楼梯及阳台20 5 1066 9 5 十二层顶梁板、楼梯及阳台20 6 1267 9 6 十二层顶梁板、楼梯及阳台23 7 1498 9 7 十二层顶梁板、楼梯及阳台24 8 1739 9 8 十二层顶梁板、楼梯及阳台25 9 19810 9 9 十二层顶梁板、楼梯及阳台23 10 22111 9 10 十二层顶梁板、楼梯及阳台20 11 24112 9 11 十二层顶梁板、楼梯及阳台21 12 26213 9 12 十二层顶梁板、楼梯及阳台23 13 28514 9 13 十二层顶梁板、楼梯及阳台22 14 30715 9 14 十二层顶梁板、楼梯及阳台21 15 32816 9 15 十二层顶梁板、楼梯及阳台20 16 34817 9 16 十二层顶梁板、楼梯及阳台23 17 37118 9 17 十二层顶梁板、楼梯及阳台20 18 39119 9 18 十二层顶梁板、楼梯及阳台21 19 41220 9 19 十二层顶梁板、楼梯及阳台23 20 435219 20 十二层顶梁板、楼梯及阳台20 21 455测温人:(签字)记录人:(签字)技术负责人:(签字)表C059同条件养护试块测温记录工程名称长德新区尚德华园A区59#楼编号序号测温时间试块代表部位平均养护温度(℃)累计等效养护龄期(d)累计养护温度(℃·d)月日时1 9 21 十二层顶梁板、楼梯及阳台21 22 4762 9 22 十二层顶梁板、楼梯及阳台22 23 4984 9 24 十二层顶梁板、楼梯及阳台25 25 5435 9 25 十二层顶梁板、楼梯及阳台23 26 5666 9 26 十二层顶梁板、楼梯及阳台20 27 5867 9 27 十二层顶梁板、楼梯及阳台21 28 607 8910111213141516171819测温人:(签字)记录人:(签字)技术负责人:(签字)表C059同条件养护试块测温记录工程名称长德新区尚德华园A区59#楼编号序号测温时间试块代表部位平均养护温度(℃)累计等效养护龄期(d)累计养护温度(℃·d)月日时1 9 3 十三层顶梁板、楼梯及阳台23 1 232 9 4 十三层顶梁板、楼梯及阳台20 2 433 9 5 十三层顶梁板、楼梯及阳台20 3 634 9 6 十三层顶梁板、楼梯及阳台23 4 865 9 7 十三层顶梁板、楼梯及阳台24 5 1106 9 8 十三层顶梁板、楼梯及阳台25 6 1357 9 9 十三层顶梁板、楼梯及阳台23 7 1588 9 10 十三层顶梁板、楼梯及阳台20 8 1789 9 11 十三层顶梁板、楼梯及阳台21 9 19911 9 13 十三层顶梁板、楼梯及阳台22 11 24412 9 14 十三层顶梁板、楼梯及阳台21 12 26513 9 15 十三层顶梁板、楼梯及阳台20 13 28514 9 16 十三层顶梁板、楼梯及阳台23 14 30815 9 17 十三层顶梁板、楼梯及阳台20 15 32816 9 18 十三层顶梁板、楼梯及阳台21 16 34917 9 19 十三层顶梁板、楼梯及阳台23 17 37218 9 20 十三层顶梁板、楼梯及阳台20 18 39219 9 21 十三层顶梁板、楼梯及阳台21 19 41320 9 22 十三层顶梁板、楼梯及阳台22 20 435219 23 十三层顶梁板、楼梯及阳台20 21 455测温人:(签字)记录人:(签字)技术负责人:(签字)表C059同条件养护试块测温记录工程名称长德新区尚德华园A区59#楼编号序号测温时间试块代表部位平均养护温度(℃)累计等效养护龄期(d)累计养护温度(℃·d)月日时1 9 24 十三层顶梁板、楼梯及阳台25 22 4802 9 25 十三层顶梁板、楼梯及阳台23 23 5033 9 26 十三层顶梁板、楼梯及阳台20 24 5934 9 27 十三层顶梁板、楼梯及阳台21 25 5445 9 28 十三层顶梁板、楼梯及阳台23 26 5676 9 29 十三层顶梁板、楼梯及阳台25 27 5927 9 30 十三层顶梁板、楼梯及阳台20 28 612 8910111213141516171819测温人:(签字)记录人:(签字)技术负责人:(签字)表C059同条件养护试块测温记录工程名称长德新区尚德华园A区59#楼编号序号测温时间试块代表部位平均养护温度(℃)累计等效养护龄期(d)累计养护温度(℃·d)月日时1 9 7 十四层顶梁板、楼梯及阳台24 1 242 9 8 十四层顶梁板、楼梯及阳台25 2 493 9 9 十四层顶梁板、楼梯及阳台23 3 724 9 10 十四层顶梁板、楼梯及阳台20 4 925 9 11 十四层顶梁板、楼梯及阳台21 5 1136 9 12 十四层顶梁板、楼梯及阳台23 6 1367 9 13 十四层顶梁板、楼梯及阳台22 7 1588 9 14 十四层顶梁板、楼梯及阳台21 8 1799 9 15 十四层顶梁板、楼梯及阳台20 9 19910 9 16 十四层顶梁板、楼梯及阳台23 10 22211 9 17 十四层顶梁板、楼梯及阳台20 11 24212 9 18 十四层顶梁板、楼梯及阳台21 12 26313 9 19 十四层顶梁板、楼梯及阳台23 13 28614 9 20 十四层顶梁板、楼梯及阳台20 14 30615 9 21 十四层顶梁板、楼梯及阳台21 15 32716 9 22 十四层顶梁板、楼梯及阳台22 16 34917 9 23 十四层顶梁板、楼梯及阳台20 17 36918 9 24 十四层顶梁板、楼梯及阳台25 18 39419 9 25 十四层顶梁板、楼梯及阳台23 19 41720 9 26 十四层顶梁板、楼梯及阳台20 20 437219 27 十四层顶梁板、楼梯及阳台21 21 458测温人:(签字)记录人:(签字)技术负责人:(签字)表C059同条件养护试块测温记录工程名称长德新区尚德华园A区59#楼编号序号测温时间试块代表部位平均养护温度(℃)累计等效养护龄期(d)累计养护温度(℃·d)月日时1 9 28 十四层顶梁板、楼梯及阳台23 22 4812 9 29 十四层顶梁板、楼梯及阳台25 23 5063 9 30 十四层顶梁板、楼梯及阳台20 24 5964 10 1 十四层顶梁板、楼梯及阳台25 25 5515 10 2 十四层顶梁板、楼梯及阳台23 26 5746 10 3 十四层顶梁板、楼梯及阳台20 27 5947 10 4 十四层顶梁板、楼梯及阳台21 28 615 8910111213141516171819测温人:(签字)记录人:(签字)技术负责人:(签字)表C059同条件养护试块测温记录工程名称长德新区尚德华园A区59#楼编号序号测温时间试块代表部位平均养护温度(℃)累计等效养护龄期(d)累计养护温度(℃·d)月日时1 9 10 十五层顶梁板、楼梯及阳台20 1 202 9 11 十五层顶梁板、楼梯及阳台21 2 413 9 12 十五层顶梁板、楼梯及阳台23 3 644 9 13 十五层顶梁板、楼梯及阳台22 4 865 9 14 十五层顶梁板、楼梯及阳台21 5 1076 9 15 十五层顶梁板、楼梯及阳台20 6 1277 9 16 十五层顶梁板、楼梯及阳台23 7 1508 9 17 十五层顶梁板、楼梯及阳台20 8 1709 9 18 十五层顶梁板、楼梯及阳台21 9 19110 9 19 十五层顶梁板、楼梯及阳台23 10 21411 9 20 十五层顶梁板、楼梯及阳台20 11 23412 9 21 十五层顶梁板、楼梯及阳台21 12 25513 9 22 十五层顶梁板、楼梯及阳台22 13 27714 9 23 十五层顶梁板、楼梯及阳台20 14 29715 9 24 十五层顶梁板、楼梯及阳台25 15 32216 9 25 十五层顶梁板、楼梯及阳台23 16 34517 9 26 十五层顶梁板、楼梯及阳台20 17 36518 9 27 十五层顶梁板、楼梯及阳台21 18 38619 9 28 十五层顶梁板、楼梯及阳台23 19 40920 9 29 十五层顶梁板、楼梯及阳台25 20 434219 30 十五层顶梁板、楼梯及阳台20 21 454测温人:(签字)记录人:(签字)技术负责人:(签字)表C059同条件养护试块测温记录工程名称长德新区尚德华园A区59#楼编号序号测温时间试块代表部位平均养护温度(℃)累计等效养护龄期(d)累计养护温度(℃·d)月日时。
混凝土试块同条件养护温度记录表工程名称:芜湖兆通·大观花园一期工程混凝土强度等级:编号:001最低最高平均累计累计最低最高平均累计累计日期天气温度温度温度温度天数日期天气温度温度温度温度天数2011 年 6 月 10 日暴雨23281年月 10日晴253631年月 11日小雨2329262年月 11日阵雨233132年月 12日多云2432283年月 12日小到中雨253133年月 13日中雨2232274年月 13日中到大雨24282634年月 14日中雨21241295年月 14日中到大雨242735年月 15日雷阵雨2024221516年月 15日雷阵雨232936年月 16日多云20277年月 16日大到暴雨242837年月 17日大雨转22271998年月 17日阵雨242838暴雨年月 18日暴雨21249年月 18日雷阵雨242839年月 19日阴212624510年月 19日中雨242840年月 20日多云21292527011年月 20日多云243041年月 21日阵雨25292729712年月 21日多云253242年月 22日阴243313年月 22日晴263443年月 23日中雨26342514年月 23日阵雨273544年月 24日大到暴232936115年月 24日多云273545雨年月 25日大雨222516年月 25日多云283746年月 26日小雨22282517年月 26日雷阵雨283747年月 27日阴23312718年月 27日多云273648年月 28日中雨243146919年月 28日多云263649年月 29日雷阵雨243120年月 29日多云263550年月 30日阵雨253051421年月 30日多云273651年 7月 1日多云27333054422年月 31日阵雨253452年 7月 2日多云27353157523年 8月 1日多云253253年月 3日晴273624年月 2日雷阵雨253254年月 4日雷阵雨26343025年月 3日雷阵雨243155年月 5日雷阵雨273464226年月 4日多云243156年月 6日晴263527年月 5日多云253057年月 7日晴24363028年月 6日小到中雨243158年月 8日晴23352929年月 7日阵雨253059年月 9日晴293676430年月 8日雷阵雨263360混凝土试块留置位置试验结果合格结果:有效累计温度达到600℃ .d 时累计测温天数为60天,其中有效测温天数为40天,有效测温天数在14~60 天之间,符合GB50204-2002《混凝土结构工程施工质量验收规范》附录条的规定,本组试块可以送实验室试压并作为结构实体检验依据。
同条件陶瓷试块养护温度记录(样表)试块编号:
试块养护详情:
1. 试块养护温度记录应按照以下要求进行:
- 试块编号为大写字母加数字,例如A1,A2,A3等。
- 养护温度应每天记录三次,可记录于表格中的温度1、温度2和温度3栏位。
- 在相应的栏位中填写养护温度,以摄氏度为单位。
2. 试块养护温度记录的规范如下:
- 养护温度应始终保持稳定,不得出现剧烈波动。
- 温度记录的准确性对于试块养护的有效性至关重要。
- 记录时应确保温度计准确,避免测量误差。
3. 温度记录的分析与应用:
- 养护温度记录的目的是为了监测试块在养护期间的温度变化情况。
- 温度数据可以用于评估试块养护过程中的温度稳定性。
- 根据记录的温度数据,可以进行养护效果的评估和改进。
注意事项:
- 请确保在记录养护温度时使用合适的温度计,并按照标准操作。
- 养护温度记录表应保存完整,以备未来分析和参考。
以上是同条件陶瓷试块养护温度记录的样表,请根据实际情况进行填写。
记录的准确性和完整性对于试块养护效果的评估和分析至关重要。
混凝土结构生料库同条件试块测温养护记录混凝土结构生料库同条件试块测温养护记录混凝土结构生料库同条件试块测温养护记录混凝土结构烧成窑中1#敦同条件试块测温养护记录混凝土结构烧成窑中1#敦同条件试块测温养护记录混凝土结构烧成窑中1#敦同条件试块测温养护记录混凝土结构烧成窑中1#敦同条件试块测温养护记录混凝土结构烧成窑中1#敦同条件试块测温养护记录混凝土结构烧成窑中1#敦同条件试块测温养护记录混凝土结构生料均化库同条件试块测温养护记录混凝土结构生料均化库同条件试块测温养护记录混凝土结构生料均化库同条件试块测温养护记录混凝土结构生料均化库同条件试块测温养护记录混凝土结构生料均化库同条件试块测温养护记录混凝土结构生料均化库同条件试块测温养护记录混凝土结构生料均化库同条件试块测温养护记录混凝土结构生料均化库同条件试块测温养护记录混凝土结构生料均化库同条件试块测温养护记录混凝土结构东门口新建道路同条件试块测温养护记录混凝土结构东门口新建道路同条件试块测温养护记录混凝土结构东门口新建道路同条件试块测温养护记录混凝土结构烧成窑头同条件试块测温养护记录混凝土结构烧成窑头同条件试块测温养护记录混凝土结构烧成窑头同条件试块测温养护记录混凝土结构烧成窑中同条件试块测温养护记录混凝土结构烧成窑中同条件试块测温养护记录混凝土结构烧成窑中同条件试块测温养护记录混凝土结构石灰石均化库同条件试块测温养护记录混凝土结构石灰石均化库同条件试块测温养护记录混凝土结构石灰石均化库同条件试块测温养护记录混凝土结构烧成窑中同条件试块测温养护记录混凝土结构石灰石均化库同条件试块测温养护记录混凝土结构石灰石均化库同条件试块测温养护记录混凝土结构石灰石均化库同条件试块测温养护记录混凝土结构烧成窑尾同条件试块测温养护记录混凝土结构烧成窑尾同条件试块测温养护记录混凝土结构烧成窑尾同条件试块测温养护记录混凝土结构生料库同条件试块测温养护记录混凝土结构生料库同条件试块测温养护记录混凝土结构生料库同条件试块测温养护记录混凝土结构烧成窑头同条件试块测温养护记录混凝土结构烧成窑头同条件试块测温养护记录混凝土结构烧成窑头同条件试块测温养护记录混凝土结构生料库同条件试块测温养护记录混凝土结构生料库同条件试块测温养护记录混凝土结构生料库同条件试块测温养护记录混凝土结构生料库同条件试块测温养护记录混凝土结构生料库同条件试块测温养护记录混凝土结构生料库同条件试块测温养护记录混凝土结构烧成窑中同条件试块测温养护记录。