儿童生长发育对照表(0-18岁体重、身高、头围)详细解析[1]培训讲学
- 格式:doc
- 大小:176.50 KB
- 文档页数:7
中国0到18岁儿童身高体重的标准表【0到18岁男童身高体重的标准表】年龄身高体重出生48.2~52.8厘米 2.9~3.8千克1月龄51.2~57.0厘米 3.6~5.0千克2月龄55.5~60.7厘米 4.3~6.0千克3月龄58.5~63.7厘米 5.0~6.9千克4月龄61.0~66.4厘米 5.7~7.6千克5月龄63.2~68.6厘米 6.3~8.2千克6月龄65.1~70.5厘米 6.9~8.8千克8月龄68.3~73.6厘米7.8~9.8千克10月龄68.5~76.3厘米8.2~10.6千克12月龄69.1~78.8厘米8.5~11.3千克1岁69.1~83.8厘米8.5~13.8千克2岁81.3~96.7厘米12.8~20.2千克3岁89.4~106.0厘米15.4~24.5千克4岁95.4~112.7厘米17.9~28.1千克5岁100.2~118.8厘米19.9~32.0千克6岁104.5~124.7厘米22.3~36.0千克7岁108.3~130.3厘米24.5~40.0千克8岁111.9~135.6厘米27.1~44.2千克9岁115.4~140.8厘米30.1~48.8千克10岁118.9~146.0厘米32.6~53.5千克11岁122.4~151.0厘米35.8~58.5千克12岁126.0~156.1厘米39.5~64.2千克13岁129.6~161.4厘米43.0~69.9千克14岁133.3~166.7厘米47.3~76.2千克16岁139.9~176.8厘米54.0~88.0千克17岁160.9~176.4厘米54.77~88.0千克18岁161.3~180.4厘米55.67~90.0千克【0到18岁女童身高体重的标准表】年龄身高体重出生47.7~52.0厘米 2.7~3.6千克1月龄51.2~55.8厘米 3.4~4.5千克2月龄54.4~59.2厘米 4.0~5.4千克3月龄57.1~59.5厘米 4.7~6.2千克4月龄59.4~64.5厘米 5.3~6.9千克5月龄61.5~66.7厘米 5.8~7.9千克6月龄63.3~68.8厘米 6.3~8.1千克8月龄66.4~71.8厘米7.2~9.1千克10月龄69.0~74.5厘米7.9~9.9千克12月龄67.5~77.1厘米8.1~10.6千克1岁68.0~83.4厘米8.2~13.3千克2岁79.8~96.0厘米12.1~19.2千克3岁87.1~104.0厘米14.8~23.5千克4岁92.5~110.3厘米17.3~27.1千克5岁97.0~116.3厘米19.4~31.0千克6岁101.0~122.1厘米21.9~35.0千克7岁104.7~127.5厘米24.2~39.2千克8岁108.2~132.6厘米26.8~43.5千克9岁111.8~137.6厘米29.7~48.1千克10岁115.3~142.5厘米32.3~52.8千克11岁118.7~147.4厘米35.5~57.9千克12岁122.0~152.2厘米38.9~63.6千克14岁128.2~161.7厘米46.5~75.0千克15岁130.8~166.2厘米50.0~80.5千克16岁132.9~169.9厘米52.4~84.0千克17岁150.1~170.5厘米52.5~84.1千克18岁150.4~170.5厘米52.6~84.1千克。
儿童生长发育对照表(0-18岁体重、身高、头围)详细解析数字来源于全国学生体质调查,仅供参考。
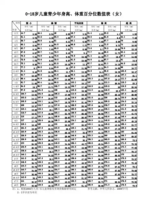
表1中国0~18岁男童体重参照值(kg)年龄组下等中下等中等中上等上等初生 2.54 2.92 3.30 3.68 4.061月~ 3.84 4.47 5.10 5.73 6.362月~ 4.72 5.44 6.16 6.887.603月~ 5.40 6.19 6.98 7.778.564月~ 5.94 6.757.56 8.379.185月~ 6.267.148.02 8.909.786月~ 6.747.688.62 9.5610.508月~7.198.199.19 10.1911.19 10月~7.578.619.65 10.6911.73 12月~8.089.1210.16 11.2012.2415月~8.489.5910.70 11.8112.92 18月~8.8710.0611.25 12.4413.63 21月~9.3110.5711.83 13.0914.352.0岁~10.0111.2912.57 13.8515.132.5岁~10.9012.2313.56 14.8916.223.0岁~11.4012.9114.42 15.9317.443.5岁~12.2713.8215.37 16.9218.474.0岁~12.6914.4616.23 18.0019.774.5岁~13.3615.3017.24 19.1821.125.0岁~14.0816.2118.34 20.4722.605.5岁~14.8817.1319.38 21.6323.886.0岁~15.7718.3720.97 23.5726.177.0岁~15.2519.3023.35 27.4031.458.0岁~16.2120.9725.73 30.4935.259.0岁~17.2222.9428.66 34.3840.1010.0岁~18.4225.1531.88 38.6145.3411.0岁~20.1527.9235.69 43.4651.2312.0岁~22.2831.0139.74 48.4757.2014.0岁~31.2341.0350.83 60.6370.4315.0岁~36.3345.2254.11 63.0071.8916.0岁~39.3448.0756.80 65.5374.2617.0~18岁41.3349.7958.25 66.7175.17中国0~18岁女童体重参照值(kg)年龄组下等中下等中等中上等上等初生 2.48 2.84 3.20 3.56 3.92 1月~ 3.67 4.24 4.81 5.38 5.95 2月~ 4.44 5.09 5.74 6.397.04 3月~ 5.02 5.72 6.42 7.127.82 4月~ 5.51 6.267.01 7.768.515月~ 5.99 6.767.53 8.309.07 6月~ 6.207.108.00 8.909.80 8月~ 6.717.688.65 9.6210.59 10月~7.118.109.09 10.0811.07 12月~7.428.479.52 10.5711.6215月~7.999.0410.09 11.1412.19 18月~8.439.5410.65 11.7612.87 21月~9.0110.1311.25 12.3713.492.0岁~9.5810.8112.04 13.2714.502.5岁~10.3111.6412.97 14.3015.633.0岁~11.1512.5814.01 15.4416.873.5岁~11.9013.4214.94 16.4617.984.0岁~12.4514.1315.81 17.4919.174.5岁~13.0414.9216.80 18.6820.565.0岁~13.9015.8717.84 19.8121.785.5岁~14.3616.5818.80 21.0223.246.0岁~15.2617.8120.36 22.9125.467.0岁~15.0818.7022.32 25.9429.568.0岁~16.1220.3524.58 28.8133.049.0岁~17.3322.3927.45 32.5137.5710.0岁~18.6924.9031.11 37.3243.5311.0岁~21.1228.4435.76 43.0850.4013.0岁~28.9336.6944.45 52.2159.9714.0岁~32.5139.6246.73 53.8460.9515.0岁~34.6061.6548.70 55.7562.8016.0岁~36.4143.1949.97 56.7563.5317.0~18岁37.1943.7850.37 56.9663.55中国0~18岁男童身高参照值(cm)年龄组下等中下等中等中上等上等初生47.048.750.4 52.153.8 1月~52.354.656.9 59.261.5 2月~55.658.060.4 62.865.2 3月~58.460.763.0 65.367.6 4月~60.762.965.1 67.369.55月~62.464.767.0 69.371.6 6月~64.466.869.2 71.674.0 8月~67.069.572.0 74.577.0 10月~69.472.074.6 77.279.8 12月~71.974.677.3 80.0 82.715月~74.777.580.3 83.185.9 18月~76.579.682.7 85.888.9 21月~79.282.485.6 88.892.02.0岁~82.385.789.1 92.595.92.5岁~86.389.893.3 96.8100.33.0岁~89.493.196.8 100.5104.23.5岁~92.696.4100.2 104.0107.84.0岁~95.599.6103.7 107.8111.94.5岁~98.9103.0107.1 111.2115.35.0岁~102.1106.3110.5 114.7118.95.5岁~104.7109.2113.7 118.2122.76.0岁~108.5113.2117.9 122.6127.37.0岁~112.5118.2123.9 129.6135.38.0岁~116.8122.7128.6 134.5140.49.0岁~121.6127.7133.8 139.9146.010.0岁~125.6132.2138.8 145.4152.012.0岁~134.0142.2150.4 158.6166.813.0岁~142.1150.4158.7 167.0175.314.0岁~149.5156.9164.3 171.7179.115.0岁~155.0161.3167.6 173.9180.216.0岁~157.3163.4169.5 175.6181.717.0~18岁158.3164.3170.3 176.3 182.3中国0~18岁女童身高参照值(cm)年龄组下等中下等中等中上等上等初生46.648.249.8 51.453.0 1月~51.753.956.1 58.360.5 2月~54.656.959.2 61.563.8 3月~57.259.461.6 63.866.0 4月~59.461.663.8 66.068.25月~60.963.265.5 67.870.1 6月~62.865.267.6 70.072.4 8月~65.668.170.6 73.175.6 10月~68.170.773.3 75.978.5 12月~70.373.175.9 78.781.515月~73.376.178.9 81.784.5 18月~75.878.781.6 84.587.4 21月~78.581.584.5 87.590.52.0岁~81.384.788.1 91.594.92.5岁~84.888.492.0 95.699.23.0岁~88.792.395.9 99.5103.13.5岁~91.695.499.2 103.0106.84.0岁~95.098.9102.8 106.7110.64.5岁~97.8102.0106.2 110.4114.65.0岁~101.6105.7109.8 113.9118.05.5岁~103.9108.4112.9 117.4121.96.0岁~108.1112.6117.1 121.6126.17.0岁~111.7117.2122.7 128.2133.78.0岁~116.2122.0127.8 133.6139.49.0岁~120.7127.1133.5 139.9146.311.0岁~131.6138.9146.2 153.5160.812.0岁~138.5145.1151.7 158.3164.913.0岁~143.7149.7155.7 161.7167.714.0岁~146.0151.6157.2 162.8168.415.0岁~147.3152.8158.3 163.8169.316.0岁~147.6153.1158.6 164.1169.617.0~18.0147.7153.2158.7 164.2169.7岁中国0~7岁儿童头围参照值(cm)男童女童年龄组下平均值上等下平均值上等初生31.934.3?.236.731.533.9?.236.31月~35.538.1?.340.735.037.4?.239.82月~37.139.7?.342.336.538.9?.241.33月~38.441.0?.343.637.740.1?.242.54月~39.742.1?.244.538.841.2?.243.65月~40.643.0?.245.439.742.1?.244.56月~41.544.1?.346.740.443.0?.345.68月~42.545.1?.347.741.544.1?.346.7 10月~43.045.8?.448.642.444.8?.247.212月~43.946.5?.349.143.045.4?.247.815月~44.547.1?.349.743.646.0?.248.418月~45.247.6?.250.044.146.5?.248.921月~45.548.1?.350.744.546.9?.249.32.0岁~46.048.4?.250.845.047.4?.249.82.5岁~46.649.0?.251.445.648.0?.250.43.0岁~47.049.4?.251.846.248.4?.150.63.5岁~47.449.8?.252.246.448.8?.251.24.0岁~47.550.1?.352.746.749.1?.251.54.5岁~47.850.4?.353.047.049.4?.251.85.0岁~48.350.7?.253.147.349.7?.252.15.5岁~48.550.9?.253.347.650.0?.252.46.0~7.048.951.3?.253.747.750.3?.352.9岁生长发育是婴幼儿及青少年期所特有的生理现象。
儿童生长发育对照表(0-18岁体重、身高、头围)详细解析数字来源于全国学生体质调查,仅供参考。
表1中国0~18岁男童体重参照值(kg)年龄组下等中下等中等中上等上等初生 2.54 2.92 3.30 3.68 4.061月~ 3.84 4.47 5.10 5.73 6.362月~ 4.72 5.44 6.16 6.887.603月~ 5.40 6.19 6.98 7.778.564月~ 5.94 6.757.56 8.379.185月~ 6.267.148.02 8.909.786月~ 6.747.688.62 9.5610.508月~7.198.199.19 10.1911.1910月~7.578.619.65 10.6911.7312月~8.089.1210.16 11.2012.2415月~8.489.5910.70 11.8112.9218月~8.8710.0611.25 12.4413.6321月~9.3110.5711.83 13.0914.352.0岁~10.0111.2912.57 13.8515.132.5岁~10.9012.2313.56 14.8916.223.0岁~11.4012.9114.42 15.9317.443.5岁~12.2713.8215.37 16.9218.474.0岁~12.6914.4616.23 18.0019.774.5岁~13.3615.3017.24 19.1821.125.0岁~14.0816.2118.34 20.4722.605.5岁~14.8817.1319.38 21.6323.886.0岁~15.7718.3720.97 23.5726.177.0岁~15.2519.3023.35 27.4031.458.0岁~16.2120.9725.73 30.4935.259.0岁~17.2222.9428.66 34.3840.1010.0岁~18.4225.1531.88 38.6145.3411.0岁~20.1527.9235.69 43.4651.2312.0岁~22.2831.0139.74 48.4757.2013.0岁~27.0636.5145.96 55.4164.8614.0岁~31.2341.0350.83 60.6370.4315.0岁~36.3345.2254.11 63.0071.8916.0岁~39.3448.0756.80 65.5374.2617.0~18岁41.3349.7958.25 66.7175.17中国0~18岁女童体重参照值(kg)年龄组下等中下等中等中上等上等初生 2.48 2.84 3.20 3.56 3.92 1月~ 3.67 4.24 4.81 5.38 5.95 2月~ 4.44 5.09 5.74 6.397.04 3月~ 5.02 5.72 6.42 7.127.82 4月~ 5.51 6.267.01 7.768.515月~ 5.99 6.767.53 8.309.07 6月~ 6.207.108.00 8.909.80 8月~ 6.717.688.65 9.6210.5910月~7.118.109.09 10.0811.0712月~7.428.479.52 10.5711.6215月~7.999.0410.09 11.1412.1918月~8.439.5410.65 11.7612.8721月~9.0110.1311.25 12.3713.49 2.0岁~9.5810.8112.04 13.2714.50 2.5岁~10.3111.6412.97 14.3015.633.0岁~11.1512.5814.01 15.4416.873.5岁~11.9013.4214.94 16.4617.984.0岁~12.4514.1315.81 17.4919.174.5岁~13.0414.9216.80 18.6820.565.0岁~13.9015.8717.84 19.8121.785.5岁~14.3616.5818.80 21.0223.246.0岁~15.2617.8120.36 22.9125.467.0岁~15.0818.7022.32 25.9429.568.0岁~16.1220.3524.58 28.8133.049.0岁~17.3322.3927.45 32.5137.5710.0岁~18.6924.9031.11 37.3243.5311.0岁~21.1228.4435.76 43.0850.4012.0岁~24.6632.4240.18 47.9455.7013.0岁~28.9336.6944.45 52.2159.9714.0岁~32.5139.6246.73 53.8460.9515.0岁~34.6061.6548.70 55.7562.8016.0岁~36.4143.1949.97 56.7563.5317.0~18岁37.1943.7850.37 56.9663.55中国0~18岁男童身高参照值(cm)年龄组下等中下等中等中上等上等初生47.048.750.4 52.153.8 1月~52.354.656.9 59.261.5 2月~55.658.060.4 62.865.2 3月~58.460.763.0 65.367.6 4月~60.762.965.1 67.369.55月~62.464.767.0 69.371.6 6月~64.466.869.2 71.674.0 8月~67.069.572.0 74.577.0 10月~69.472.074.6 77.279.8 12月~71.974.677.3 80.0 82.715月~74.777.580.3 83.185.9 18月~76.579.682.7 85.888.9 21月~79.282.485.6 88.892.0 2.0岁~82.385.789.1 92.595.9 2.5岁~86.389.893.3 96.8100.33.0岁~89.493.196.8 100.5104.23.5岁~92.696.4100.2 104.0107.84.0岁~95.599.6103.7 107.8111.94.5岁~98.9103.0107.1 111.2115.35.0岁~102.1106.3110.5 114.7118.95.5岁~104.7109.2113.7 118.2122.76.0岁~108.5113.2117.9 122.6127.37.0岁~112.5118.2123.9 129.6135.38.0岁~116.8122.7128.6 134.5140.49.0岁~121.6127.7133.8 139.9146.010.0岁~125.6132.2138.8 145.4152.011.0岁~130.1137.3144.5 151.7158.912.0岁~134.0142.2150.4 158.6166.813.0岁~142.1150.4158.7 167.0175.314.0岁~149.5156.9164.3 171.7179.115.0岁~155.0161.3167.6 173.9180.216.0岁~157.3163.4169.5 175.6181.717.0~18岁158.3164.3170.3 176.3 182.3中国0~18岁女童身高参照值(cm)年龄组下等中下等中等中上等上等初生46.648.249.8 51.453.0 1月~51.753.956.1 58.360.5 2月~54.656.959.2 61.563.8 3月~57.259.461.6 63.866.0 4月~59.461.663.8 66.068.25月~60.963.265.5 67.870.1 6月~62.865.267.6 70.072.4 8月~65.668.170.6 73.175.6 10月~68.170.773.3 75.978.5 12月~70.373.175.9 78.781.515月~73.376.178.9 81.784.5 18月~75.878.781.6 84.587.4 21月~78.581.584.5 87.590.5 2.0岁~81.384.788.1 91.594.9 2.5岁~84.888.492.0 95.699.23.0岁~88.792.395.9 99.5103.13.5岁~91.695.499.2 103.0106.84.0岁~95.098.9102.8 106.7110.64.5岁~97.8102.0106.2 110.4114.65.0岁~101.6105.7109.8 113.9118.05.5岁~103.9108.4112.9 117.4121.96.0岁~108.1112.6117.1 121.6126.17.0岁~111.7117.2122.7 128.2133.78.0岁~116.2122.0127.8 133.6139.49.0岁~120.7127.1133.5 139.9146.310.0岁~125.3132.4139.5 146.6153.711.0岁~131.6138.9146.2 153.5160.812.0岁~138.5145.1151.7 158.3164.913.0岁~143.7149.7155.7 161.7167.714.0岁~146.0151.6157.2 162.8168.415.0岁~147.3152.8158.3 163.8169.316.0岁~147.6153.1158.6 164.1169.617.0~18.0147.7153.2158.7 164.2169.7岁中国0~7岁儿童头围参照值(cm)男童女童年龄组下平均值上等下平均值上等初生31.934.3?.236.731.533.9?.236.31月~35.538.1?.340.735.037.4?.239.82月~37.139.7?.342.336.538.9?.241.33月~38.441.0?.343.637.740.1?.242.54月~39.742.1?.244.538.841.2?.243.65月~40.643.0?.245.439.742.1?.244.56月~41.544.1?.346.740.443.0?.345.68月~42.545.1?.347.741.544.1?.346.7 10月~43.045.8?.448.642.444.8?.247.212月~43.946.5?.349.143.045.4?.247.815月~44.547.1?.349.743.646.0?.248.418月~45.247.6?.250.044.146.5?.248.921月~45.548.1?.350.744.546.9?.249.32.0岁~46.048.4?.250.845.047.4?.249.82.5岁~46.649.0?.251.445.648.0?.250.43.0岁~47.049.4?.251.846.248.4?.150.63.5岁~47.449.8?.252.246.448.8?.251.24.0岁~47.550.1?.352.746.749.1?.251.54.5岁~47.850.4?.353.047.049.4?.251.85.0岁~48.350.7?.253.147.349.7?.252.15.5岁~48.550.9?.253.347.650.0?.252.46.0~7.048.951.3?.253.747.750.3?.352.9岁生长发育是婴幼儿及青少年期所特有的生理现象。
中国0-18岁儿童生长发育正常值是根据中国儿童身高体
重发育指南制定的,以下是一些参考值:
1. 身高:出生时平均为50厘米,出生后第一年身高增长
约10厘米,第二年增长约5-6厘米,第三年增长约4-5厘米,18岁时身高约为150-175厘米。
2. 体重:出生时平均为3-4千克,出生后第一年体重增
长约1千克,第二年增长约0.5-1千克,第三年增长约0.5
千克,18岁时体重约为10-15千克。
3. 头围:出生时平均为33-34厘米,1岁时平均为42厘米,2岁时平均为40厘米,18岁时头围约为40-42厘米。
4. 胸围:出生时平均为32-33厘米,1岁时平均为41厘米,2岁时平均为40厘米,18岁时胸围约为40-42厘米。
需要注意的是,这些值只是一个大致的参考值,每个孩子
的生长发育速度不同,家长应该关注孩子的个体差异,并根
据实际情况对孩子进行合理的营养和运动指导。
儿童生长发育对照表(0-18岁体重、身高、头围)详细解析数字来源于全国学生体质调查,仅供参考。
表1中国0~18岁男童体重参照值(kg)年龄组下等中下等中等中上等上等初生 2.54 2.92 3.30 3.68 4.061月~ 3.84 4.47 5.10 5.73 6.362月~ 4.72 5.44 6.16 6.887.603月~ 5.40 6.19 6.98 7.778.564月~ 5.94 6.757.56 8.379.185月~ 6.267.148.02 8.909.786月~ 6.747.688.62 9.5610.508月~7.198.199.19 10.1911.19 10月~7.578.619.65 10.6911.73 12月~8.089.1210.16 11.2012.2415月~8.489.5910.70 11.8112.92 18月~8.8710.0611.25 12.4413.63 21月~9.3110.5711.83 13.0914.352.0岁~10.0111.2912.57 13.8515.132.5岁~10.9012.2313.56 14.8916.223.0岁~11.4012.9114.42 15.9317.443.5岁~12.2713.8215.37 16.9218.474.0岁~12.6914.4616.23 18.0019.774.5岁~13.3615.3017.24 19.1821.125.0岁~14.0816.2118.34 20.4722.605.5岁~14.8817.1319.38 21.6323.886.0岁~15.7718.3720.97 23.5726.177.0岁~15.2519.3023.35 27.4031.458.0岁~16.2120.9725.73 30.4935.259.0岁~17.2222.9428.66 34.3840.1010.0岁~18.4225.1531.88 38.6145.3411.0岁~20.1527.9235.69 43.4651.2312.0岁~22.2831.0139.74 48.4757.2013.0岁~27.0636.5145.96 55.4164.8614.0岁~31.2341.0350.83 60.6370.4315.0岁~36.3345.2254.11 63.0071.8916.0岁~39.3448.0756.80 65.5374.2617.0~18岁41.3349.7958.25 66.7175.17中国0~18岁女童体重参照值(kg)年龄组下等中下等中等中上等上等初生 2.48 2.84 3.20 3.56 3.92 1月~ 3.67 4.24 4.81 5.38 5.95 2月~ 4.44 5.09 5.74 6.397.04 3月~ 5.02 5.72 6.42 7.127.82 4月~ 5.51 6.267.01 7.768.515月~ 5.99 6.767.53 8.309.07 6月~ 6.207.108.00 8.909.80 8月~ 6.717.688.65 9.6210.59 10月~7.118.109.09 10.0811.07 12月~7.428.479.52 10.5711.6215月~7.999.0410.09 11.1412.19 18月~8.439.5410.65 11.7612.87 21月~9.0110.1311.25 12.3713.492.0岁~9.5810.8112.04 13.2714.502.5岁~10.3111.6412.97 14.3015.633.0岁~11.1512.5814.01 15.4416.873.5岁~11.9013.4214.94 16.4617.984.0岁~12.4514.1315.81 17.4919.174.5岁~13.0414.9216.80 18.6820.565.0岁~13.9015.8717.84 19.8121.785.5岁~14.3616.5818.80 21.0223.246.0岁~15.2617.8120.36 22.9125.467.0岁~15.0818.7022.32 25.9429.568.0岁~16.1220.3524.58 28.8133.049.0岁~17.3322.3927.45 32.5137.5710.0岁~18.6924.9031.11 37.3243.5311.0岁~21.1228.4435.76 43.0850.4012.0岁~24.6632.4240.18 47.9455.7013.0岁~28.9336.6944.45 52.2159.9714.0岁~32.5139.6246.73 53.8460.9515.0岁~34.6061.6548.70 55.7562.8016.0岁~36.4143.1949.97 56.7563.5317.0~18岁37.1943.7850.37 56.9663.55中国0~18岁男童身高参照值(cm)年龄组下等中下等中等中上等上等初生47.048.750.4 52.153.8 1月~52.354.656.9 59.261.5 2月~55.658.060.4 62.865.2 3月~58.460.763.0 65.367.6 4月~60.762.965.1 67.369.55月~62.464.767.0 69.371.6 6月~64.466.869.2 71.674.0 8月~67.069.572.0 74.577.0 10月~69.472.074.6 77.279.8 12月~71.974.677.3 80.0 82.715月~74.777.580.3 83.185.9 18月~76.579.682.7 85.888.9 21月~79.282.485.6 88.892.02.0岁~82.385.789.1 92.595.92.5岁~86.389.893.3 96.8100.33.0岁~89.493.196.8 100.5104.23.5岁~92.696.4100.2 104.0107.84.0岁~95.599.6103.7 107.8111.94.5岁~98.9103.0107.1 111.2115.35.0岁~102.1106.3110.5 114.7118.95.5岁~104.7109.2113.7 118.2122.76.0岁~108.5113.2117.9 122.6127.37.0岁~112.5118.2123.9 129.6135.38.0岁~116.8122.7128.6 134.5140.49.0岁~121.6127.7133.8 139.9146.010.0岁~125.6132.2138.8 145.4152.011.0岁~130.1137.3144.5 151.7158.912.0岁~134.0142.2150.4 158.6166.813.0岁~142.1150.4158.7 167.0175.314.0岁~149.5156.9164.3 171.7179.115.0岁~155.0161.3167.6 173.9180.216.0岁~157.3163.4169.5 175.6181.717.0~18岁158.3164.3170.3 176.3 182.3中国0~18岁女童身高参照值(cm)年龄组下等中下等中等中上等上等初生46.648.249.8 51.453.0 1月~51.753.956.1 58.360.5 2月~54.656.959.2 61.563.8 3月~57.259.461.6 63.866.0 4月~59.461.663.8 66.068.25月~60.963.265.5 67.870.1 6月~62.865.267.6 70.072.4 8月~65.668.170.6 73.175.6 10月~68.170.773.3 75.978.5 12月~70.373.175.9 78.781.515月~73.376.178.9 81.784.5 18月~75.878.781.6 84.587.4 21月~78.581.584.5 87.590.52.0岁~81.384.788.1 91.594.92.5岁~84.888.492.0 95.699.23.0岁~88.792.395.9 99.5103.13.5岁~91.695.499.2 103.0106.84.0岁~95.098.9102.8 106.7110.64.5岁~97.8102.0106.2 110.4114.65.0岁~101.6105.7109.8 113.9118.05.5岁~103.9108.4112.9 117.4121.96.0岁~108.1112.6117.1 121.6126.17.0岁~111.7117.2122.7 128.2133.78.0岁~116.2122.0127.8 133.6139.49.0岁~120.7127.1133.5 139.9146.310.0岁~125.3132.4139.5 146.6153.711.0岁~131.6138.9146.2 153.5160.812.0岁~138.5145.1151.7 158.3164.913.0岁~143.7149.7155.7 161.7167.714.0岁~146.0151.6157.2 162.8168.415.0岁~147.3152.8158.3 163.8169.316.0岁~147.6153.1158.6 164.1169.617.0~18.0147.7153.2158.7 164.2169.7岁中国0~7岁儿童头围参照值(cm)男童女童年龄组下平均值上等下平均值上等初生31.934.3?.236.731.533.9?.236.31月~35.538.1?.340.735.037.4?.239.82月~37.139.7?.342.336.538.9?.241.33月~38.441.0?.343.637.740.1?.242.54月~39.742.1?.244.538.841.2?.243.65月~40.643.0?.245.439.742.1?.244.56月~41.544.1?.346.740.443.0?.345.68月~42.545.1?.347.741.544.1?.346.7 10月~43.045.8?.448.642.444.8?.247.212月~43.946.5?.349.143.045.4?.247.815月~44.547.1?.349.743.646.0?.248.418月~45.247.6?.250.044.146.5?.248.921月~45.548.1?.350.744.546.9?.249.32.0岁~46.048.4?.250.845.047.4?.249.82.5岁~46.649.0?.251.445.648.0?.250.43.0岁~47.049.4?.251.846.248.4?.150.63.5岁~47.449.8?.252.246.448.8?.251.24.0岁~47.550.1?.352.746.749.1?.251.54.5岁~47.850.4?.353.047.049.4?.251.8。
儿童生长发育对照表儿童生长发育对照表是一份重要的资料,它记录着儿童成长的数据,对比常规值,可以更好地评估儿童的身体发育状况。
下面就来详细了解一下儿童生长发育对照表。
一、身高对照表身高是儿童最直观的生长指标之一。
正常的身高范围大小受到遗传和环境的影响。
根据不同的年龄和性别,儿童的身高范围也会有所差异。
以下是儿童身高对照表参考范围。
1.男孩身高对照表年龄最小范围(cm)最大范围(cm)0-3个月 50.3 61.93-6个月 60.1 71.86-9个月 66.2 78.59-12个月 71.2 83.51-2岁 79.5 92.13-4岁 89.4 105.45-6岁 98.4 115.47-8岁 106.4 123.49-10岁 113.2 130.211-12岁 120.0 137.02.女孩身高对照表年龄最小范围(cm)最大范围(cm)0-3个月 49.0 60.23-6个月 57.9 69.06-9个月 63.3 75.39-12个月 68.0 80.31-2岁 76.2 88.13-4岁 85.9 100.55-6岁 93.5 109.17-8岁 100.9 117.19-10岁 107.6 123.211-12岁 114.2 129.2二、体重对照表体重对照表也是评估儿童生长发育的重要指标之一。
与身高一样,体重的大小也受到遗传和环境的影响,因此不同年龄和性别的儿童体重也会有所差异。
以下是儿童体重对照表参考范围。
1.男孩体重对照表年龄最小范围(kg)最大范围(kg)0-3个月 3.2 5.53-6个月 5.0 7.56-9个月 6.4 9.49-12个月 7.2 10.81-2岁 9.2 14.03-4岁 12.3 18.35-6岁 15.3 23.67-8岁 18.1 29.09-10岁 22.0 36.011-12岁 26.0 44.02.女孩体重对照表年龄最小范围(kg)最大范围(kg)0-3个月 3.0 5.33-6个月 4.7 7.26-9个月 6.1 9.11-2岁 8.9 13.53-4岁 11.9 17.75-6岁 14.8 22.77-8岁 17.4 27.39-10岁 20.8 34.211-12岁 24.7 41.2三、头围对照表头围是婴幼儿生长状况的一个重要指标,也是评估婴幼儿脑部发育状况的重要指标。
0-18岁儿童生长标准以下是关于0-18岁儿童生长标准的信息。
一、身高标准新生儿:平均身长为50厘米。
1-12个月:每月平均增长2.5厘米。
1-3岁:每年平均增长8-10厘米。
3-10岁:每年平均增长5-7厘米。
10-18岁:男孩和女孩的身高增长速度有所不同,但平均每年增长不会超过6厘米。
二、体重标准新生儿:平均体重为3.25公斤。
1-6个月:每月平均增长0.6公斤。
6-12个月:每月平均增长0.5公斤。
1-3岁:每年平均增长2公斤。
3-7岁:每年平均增长2-3公斤。
7-18岁:体重增长速度会逐渐放缓,但每年仍会增加一些。
三、头围标准头围是指围绕头部最宽部位(通常为眉毛上方和最突出的枕骨之间)的周长。
头围的增长也是评估儿童生长发育的重要指标之一。
新生儿:平均头围为33-35厘米。
1个月:头围平均为37-38厘米。
3个月:头围平均为40-41厘米。
1岁:头围平均为45-47厘米。
2岁:头围平均为47-49厘米。
5岁:头围平均为50-52厘米。
四、身体比例标准儿童身体比例的变化也是生长发育的重要表现之一。
通常情况下,儿童在成长过程中,身体比例会发生一些变化。
新生儿:头部相对较大,四肢相对较短。
婴儿期:头部逐渐减小,四肢逐渐增长,躯干也逐渐增长。
学龄前期:四肢逐渐增长,身高增长速度逐渐放缓,躯干长度相对稳定。
学龄期和青春期:四肢和躯干的增长速度相近,身高增长速度又开始加速,体型逐渐向成年人过渡。
此外,还要关注儿童的第二性征的发育情况,例如女孩的乳房发育和月经来潮,男孩的睾丸和阴茎发育等。
这些也是评估儿童生长发育的重要指标之一。
四、运动能力标准儿童的运动能力也是评估其生长发育的重要指标之一。
不同年龄段的儿童应该具备相应的运动能力。
新生儿:应该具备基本的反射运动,如吸吮、抓握等。
婴儿期:应该学会翻身、爬行、抓握物品等。
学龄前期:应该具备跑、跳、投掷、攀爬等运动能力,并能够掌握一些简单的运动技能,如踢球、跳绳等。
少儿生长发育标准对照表
1、体重标准:3-12个月体重(kg)=(月龄+9)/2;1-6岁体重(Kg)=年龄×2+8;7-12岁体重(kg)=(年龄×7-5)/2。
2、身高标准:出生时平均50cm;1周岁时达75cm;2岁时可达87cm。
2-12岁身高(cm)=年龄×7+77。
3、头围标准:出生时34cm;1岁时达46cm;2岁时48cm;5岁时50cm;15岁时54-58cm,达到成人标准。
4、胸围标准:出生时32cm;比头围小1-2cm,1周岁以后胸围和头围相等。
5、牙齿发育标准:乳牙共20颗,出牙早晚的顺序个体差异很大,最早的4个月,最短的10-12个月,平均7-8个月出牙。
2岁以后乳牙数=月龄-(4-6颗);2岁半乳牙出齐。
6岁以后乳牙开始脱落;7岁第一磨牙出现;12岁第二磨牙出现;17岁第三磨牙出现,恒牙共30-32颗。
身高和体重在同年龄,同性别,同种族,同区域的儿童,中位数水平为标准身高。
如果身高低于中位数两个标准差以下,可以诊断矮小症,体重低于两个标准差以下为营养不良。
体重超过中位数两个标准差,
可以诊断为肥胖,都是需要到生长发育科去进一步的检查,早期干预。
智力的发育异常可以根据语言,社交等障碍进一步做智力量表的评估。
儿童发育身高体重对照表儿童发育身高体重对照表1岁:正常身高74-81厘米,正常体重9.7-12.4千克。
2岁:正常身高81-87厘米,正常体重11.6-14.5千克。
3岁:正常身高86-92厘米,正常体重13.6-16.8千克。
4岁:正常身高91-97厘米,正常体重15.4-18.8千克。
5岁:正常身高95-103厘米,正常体重17-21千克。
6岁:正常身高100-109厘米,正常体重19-23千克。
7岁:正常身高104-114厘米,正常体重20.8-25千克。
8岁:正常身高108-119厘米,正常体重22.4-27千克。
9岁:正常身高113-124厘米,正常体重24-29千克。
10岁:正常身高117-128厘米,正常体重25.4-31.2千克。
11岁:正常身高122-133厘米,正常体重27.2-33.4千克。
12岁:正常身高126-138厘米,正常体重28.6-35.3千克。
13岁:正常身高131-144厘米,正常体重30-37.8千克。
14岁:正常身高136-150厘米,正常体重31.6-40.2千克。
15岁:正常身高140-155厘米,正常体重33-42.2千克。
16岁:正常身高145-160厘米,正常体重34.8-44.3千克。
17岁:正常身高149-165厘米,正常体重36-46.2千克。
18岁:正常身高154-170厘米,正常体重37.6-48.2千克。
19岁:正常身高158-175厘米,正常体重39-50.1千克。
20岁:正常身高163-180厘米,正常体重40.5-52.2千克。
21岁:正常身高167-185厘米,正常体重42-54千克。
22岁:正常身高172-190厘米,正常体重43.5-56千克。
此外,儿童的发育是以月龄为计量单位的,因此,当孩子出生时,其身高与体重的比例也相当重要;在2个月时,其身高会增加4-5厘米,而体重会增加2-3千克;到4个月时,身高会增加4-5厘米,体重会增加2.5-4千克;6~9个月时,身高会增加4-5厘米,体重会增加3-5千克;10~12 个月时,身高和体重均会增加4-5厘米、3.5-5千克。
0到6岁儿童生长发育标准一览表0到6岁儿童生长发育标准一览表。
1. 体重。
0-1岁,出生时体重一般在2.5-4.5kg之间,1岁时体重一般是出生时的3倍左右。
1-3岁,每年体重增加约2-3kg。
3-6岁,每年体重增加约2-2.5kg。
2. 身高。
0-1岁,出生时身长一般在48-52cm之间,1岁时身长一般是出生时的1.5倍左右。
1-3岁,每年身长增加约10-12cm。
3-6岁,每年身长增加约6-8cm。
3. 头围。
0-1岁,出生时头围一般在32-36cm之间,1岁时头围一般是出生时的1.5倍左右。
1-3岁,每年头围增加约2-3cm。
3-6岁,每年头围增加约1-2cm。
4. 牙数。
0-1岁,宝宝出生时一般没有牙齿,1岁时一般会长出6-8颗乳牙。
1-3岁,宝宝会逐渐长出全部20颗乳牙。
3-6岁,宝宝开始换牙,乳牙逐渐脱落,恒牙开始生长。
5. 运动发育。
0-1岁,宝宝能够抬头、翻身、坐起来。
1-3岁,宝宝能够爬、站、行走。
3-6岁,宝宝能够跑、跳、爬高等动作。
6. 语言发育。
0-1岁,宝宝开始发出简单的叫声,能够模仿一些声音。
1-3岁,宝宝开始说一些简单的词语,能够组成简单的句子。
3-6岁,宝宝开始流利地说话,能够用简单的语言表达自己的意思。
以上就是0到6岁儿童生长发育标准一览表,希期对大家有所帮助。
家长们在日常生活中,可以根据这些标准来了解宝宝的生长发育情况,及时发现问题并采取相应的措施。
同时,也希望医生们能够根据这些标准对儿童进行更加科学、全面的生长发育评估,为他们的健康成长提供更好的指导和帮助。
让我们共同关注儿童的生长发育,为他们的健康成长保驾护航。
0-12岁成长标准数值表格生长曲线成长标准数值表格是根据大量儿童的身高、体重等数据综合统计得出的,可以用来评估儿童的生长发育情况。
以下是0-12岁儿童身高、体重、头围等指标的标准数值表格。
年龄身高(cm)体重(kg)头围(cm)0-1月49.8-54.9 3.2-4.5 34.5-37.51-2月54.3-59.9 4.2-5.8 36-392-3月58.5-64.3 4.8-6.7 37-40.53-4月61.9-68.3 5.4-7.6 37.5-414-5月65-72.7 5.9-8.4 38-425-6月67.8-75.6 6.3-9.1 38.5-42.56-9月69.7-77.8 6.6-9.5 39-439-12月71-80.3 6.9-9.9 39-431-2岁73-83.6 7.4-10.7 39-43.52-3岁76.2-89.2 7.9-11.8 39-43.53-4岁79.4-94.7 8.5-12.9 39-43.54-5岁82.5-100.4 9.1-14 39-445-6岁85.9-106.2 9.7-15.1 39.5-44.56-7岁89.5-112 10.3-16.2 40-457-8岁93.3-117.8 10.9-17.3 40-45.58-9岁97.1-123.4 11.5-18.4 40.5-45.59-10岁101-128.4 12.1-19.6 40.5-4610-11岁104.7-133.3 12.7-20.8 41-4611-12岁108.3-137.9 13.3-22 41-46.5这是一个以年龄为横坐标,身高、体重、头围为纵坐标的表格。
根据这个表格,我们可以看出儿童在不同年龄段的身高、体重等指标的标准范围。
这些数据是通过对大量儿童进行测量和统计得出的,可以用来评估儿童的生长发育状况。
儿童的生长发育在不同年龄段有不同的特点。
在出生后的0-1个月,儿童的身高大约在49.8-54.9厘米之间,体重在3.2-4.5公斤之间,头围在34.5-37.5厘米之间。
0-18岁儿童身高体重标准表
根据儿童体格发育调查数据显示,一般男孩在0~1岁时,体重保持在11公斤左右,身高在76公分左右。
女孩大概控制在10公斤左右,身高在74公分左右。
男孩在2~5岁时,体重一般在14~20公斤,女孩在13~19公斤区间,身高增加为80~107公分左右。
孩子6~10岁时,体重通常在18~33公斤左右,身高也会增长控制在113~135公分区间。
当孩子10~18岁的时候进入青春期,体重与身高处于快速增长阶段,体重在30~60公斤之间,身高在140~170公分之间。
家长应该帮助孩子养成良好的生活和饮食习惯,保持充足的睡眠,注重膳食的多样化,如果孩子的持续处于身材矮小的状态,应该提高警惕,及时带着孩子前往医院就诊。
儿童身高体重头围标准表全文档(可以直接使用,可编辑实用优质文档,欢迎下载)儿童身高、体重、头围标准表儿童身高体重对照表用小儿身长预测成年时身高法1、男性身高=出生时身长(厘米)÷0.2949;女性身高=出生时身长(厘米)÷0.3109。
用此公式要注意:只适用于正常足月新生儿;测量身长数据时如能精确到0.1厘米,身高的预测将更准确。
2、男性身高=3岁时身高×0.545+父母平均身高×0.544+37.69(厘米);女性身高=3岁时身高×0.545+父母平均身高×0.544+25.63(厘米),人体标准身高预测公式(遗传法则)(下述公式大体上符合“高加高生高,高加矮生高,矮加矮生矮”的遗传学原则。
)男性身高=(父亲身高+母亲身高)×1.08÷2(厘米)女性身高=(父亲身高×0.923+母亲身高)÷2(厘米)骨龄可知孩子的生长潜力骨龄和年龄不是一回事,骨龄是生物年龄,与生长密切相关,常用来评价人生长发育的成熟状态。
判断骨龄主要是利用X线,拍一张小儿右手腕骨的X片,根据腕骨X片显示的骨化点的个数及小儿的实际年龄就可以确定小儿的生长潜力。
骨化点出现比实际年龄早,说明孩子的生长潜力较小;相反说明小儿生长潜力很大。
有些家长为了孩子能长高些,给孩子服用一些催长的药物,虽然暂时加快了小孩的生长,但由于“刹车”时间提前反而影响了最终的身高,这种做法显然是不可取的。
以上几种方法可相互参照,还可以预知孩子生长发育是否正常和孩子的生长潜力,如发现骨龄和孩子的实际年龄不符,应到医院检查。
青少年身高与哪些因素有关在青春期生长突增中,身高的增长非常快。
长高的原因主要是骨骼的发育。
男孩平均每年可增高7~9厘米,最多可达10~12厘米。
女孩平均每年可增高5~7厘米,最多可达8~10厘米。
这主要靠下肢和脊柱的增长。
一般女性在19~23岁、男性在23~26岁身高才停止增长。
卫生部儿童生长发育参照标准0-18岁:男孩(身高cm、体重KG)1岁:身高{矮小:71.2以下、偏矮:71.2-73.8之间、标准:76.5、超高:79.3以上}体重{偏瘦:9以下、标准:10.05、超重:11.23-12.54之间、肥胖:12.54以上}2岁:身高{矮小:81.6以下、偏矮:81.6-85.1之间、标准:88.5、超高:82.1以上}体重{偏瘦:11.24以下、标准:12.54、超重:14.01-15.37之间、肥胖:15.37以上}3岁:身高:{矮小:89.3以下、偏矮:93-89.3之间、标准:96.8、超高:100.7以上}体重:{偏瘦:11.3以下、标准:14.65、超重:16.69-18.37之间、肥胖:18.37以上}4岁:身高:{矮小:96.3以下、偏矮:96.3-100.2之间、标准104.1、超高:108.8以上}体重:{偏瘦:14.88以下、标准:16.64、超重:18.67-21.01之间、肥胖、21.01以上}5岁:身高:{矮小:102.8以下、偏矮:107-102.8之间、标准:111.3、超高:115.7以上}体重:{偏瘦:16.87以下、标准:18.98、超重:21.46-24.38之间、肥胖:24.38以上}6岁:身高:{矮小:108.6以下、偏矮:108.6-113.1之间、标准117.7、超高:122.4以上}体重:{偏瘦:18.71以下、标准:21.26、超重:24.32-28.03之间、肥胖:28.03以上}7岁:身高:{矮小:114以下:偏矮:114-119之间、标准:124、超高:129.1以上}体重:{偏瘦:20.83以下、标准:24.06、超重:28.05-33.08之间、肥胖:33.08以上}8岁:身高:{矮小:119.3以下、偏矮:119.3-124.6之间、标准:130、超高:130以上}体重:{偏瘦:23.23以下、标准:27.33、超重:32.57-39.41之间、肥胖:39.41以上}9岁:身高:{矮小:123.9以下:偏矮:123.9-129.6之间、标准:165.4、超高:141.2以上}体重:{偏瘦:25.5以下、标准:30.46、超重:26.92-45.52之间、超胖:45.52以上}10岁:身高:{矮小:127.9以下、偏矮:127.9-134之间、标准:140.2、偏高:146.4以上}体重:{偏瘦:27.93依稀、标准:33.74、超重:41.31-51.38之间、肥胖:51.38以上}11岁:身高:{矮小:132.1以下、偏矮:132.1-138.7之间、标准:145.3、超高:152.1以上}体重:{偏瘦:30.95以下、标准:37.69、超重:46.33-57.58之间、肥胖:57.58以上}12岁:身高:{矮小:137.2以下、偏矮:137.2-144.6之间、标准:151.9、超高:159.4以上}体重:{偏瘦:24.67以下、标准:42.49、超重:52.31-64.68之间、肥胖:64.48以上}13岁:身高:{矮小:144以下、偏矮:144-151.8之间、标准:159.5、超高:167.3以上}体重:{偏瘦:39.22以下、标准:48.08、超重:59.04-72.6之间、肥胖:72.6以上}14岁:身高:{矮小:151.5以下、偏矮:151.5-158.7之间、标准:165.9、超高:173.41以上}体重:{偏瘦:44.08以下、标准:53.37、超重:64.84-79.07之间、肥胖:79.07以上}15岁:身高:{矮小:156.7以下、偏矮:156.7-163.3之间、标准:169.8、超高:176.3以上}体重:{偏瘦:48以下、标准:57.08、超重:68.5-82.45之间、肥胖:82.45以上}16岁:身高:{矮小:159.1以下、偏矮:159.1-165.4之间、标准:17.16、超高:177.8以上}体重:{偏瘦:50.62以下、标准:59.35、超重:70.2-83.45之间、肥胖:83.85以上。
儿童生长发育对照表(0-18岁体重、身高、头围)详细解析数字来源于全国学生体质调查,仅供参考。
表1中国0~18岁男童体重参照值(kg)年龄组下等中下等中等中上等上等初生 2.54 2.92 3.30 3.68 4.061月~ 3.84 4.47 5.10 5.73 6.362月~ 4.72 5.44 6.16 6.887.603月~ 5.40 6.19 6.98 7.778.564月~ 5.94 6.757.56 8.379.185月~ 6.267.148.02 8.909.786月~ 6.747.688.62 9.5610.508月~7.198.199.19 10.1911.19 10月~7.578.619.65 10.6911.73 12月~8.089.1210.16 11.2012.2415月~8.489.5910.70 11.8112.92 18月~8.8710.0611.25 12.4413.63 21月~9.3110.5711.83 13.0914.352.0岁~10.0111.2912.57 13.8515.132.5岁~10.9012.2313.56 14.8916.223.0岁~11.4012.9114.42 15.9317.443.5岁~12.2713.8215.37 16.9218.474.0岁~12.6914.4616.23 18.0019.774.5岁~13.3615.3017.24 19.1821.125.0岁~14.0816.2118.34 20.4722.605.5岁~14.8817.1319.38 21.6323.886.0岁~15.7718.3720.97 23.5726.177.0岁~15.2519.3023.35 27.4031.458.0岁~16.2120.9725.73 30.4935.259.0岁~17.2222.9428.66 34.3840.1010.0岁~18.4225.1531.88 38.6145.3411.0岁~20.1527.9235.69 43.4651.2312.0岁~22.2831.0139.74 48.4757.2014.0岁~31.2341.0350.83 60.6370.4315.0岁~36.3345.2254.11 63.0071.8916.0岁~39.3448.0756.80 65.5374.2617.0~18岁41.3349.7958.25 66.7175.17中国0~18岁女童体重参照值(kg)年龄组下等中下等中等中上等上等初生 2.48 2.84 3.20 3.56 3.92 1月~ 3.67 4.24 4.81 5.38 5.95 2月~ 4.44 5.09 5.74 6.397.04 3月~ 5.02 5.72 6.42 7.127.82 4月~ 5.51 6.267.01 7.768.515月~ 5.99 6.767.53 8.309.07 6月~ 6.207.108.00 8.909.80 8月~ 6.717.688.65 9.6210.59 10月~7.118.109.09 10.0811.07 12月~7.428.479.52 10.5711.6215月~7.999.0410.09 11.1412.19 18月~8.439.5410.65 11.7612.87 21月~9.0110.1311.25 12.3713.492.0岁~9.5810.8112.04 13.2714.502.5岁~10.3111.6412.97 14.3015.633.0岁~11.1512.5814.01 15.4416.873.5岁~11.9013.4214.94 16.4617.984.0岁~12.4514.1315.81 17.4919.174.5岁~13.0414.9216.80 18.6820.565.0岁~13.9015.8717.84 19.8121.785.5岁~14.3616.5818.80 21.0223.246.0岁~15.2617.8120.36 22.9125.467.0岁~15.0818.7022.32 25.9429.568.0岁~16.1220.3524.58 28.8133.049.0岁~17.3322.3927.45 32.5137.5710.0岁~18.6924.9031.11 37.3243.5311.0岁~21.1228.4435.76 43.0850.4013.0岁~28.9336.6944.45 52.2159.9714.0岁~32.5139.6246.73 53.8460.9515.0岁~34.6061.6548.70 55.7562.8016.0岁~36.4143.1949.97 56.7563.5317.0~18岁37.1943.7850.37 56.9663.55中国0~18岁男童身高参照值(cm)年龄组下等中下等中等中上等上等初生47.048.750.4 52.153.8 1月~52.354.656.9 59.261.5 2月~55.658.060.4 62.865.2 3月~58.460.763.0 65.367.6 4月~60.762.965.1 67.369.55月~62.464.767.0 69.371.6 6月~64.466.869.2 71.674.0 8月~67.069.572.0 74.577.0 10月~69.472.074.6 77.279.8 12月~71.974.677.3 80.0 82.715月~74.777.580.3 83.185.9 18月~76.579.682.7 85.888.9 21月~79.282.485.6 88.892.02.0岁~82.385.789.1 92.595.92.5岁~86.389.893.3 96.8100.33.0岁~89.493.196.8 100.5104.23.5岁~92.696.4100.2 104.0107.84.0岁~95.599.6103.7 107.8111.94.5岁~98.9103.0107.1 111.2115.35.0岁~102.1106.3110.5 114.7118.95.5岁~104.7109.2113.7 118.2122.76.0岁~108.5113.2117.9 122.6127.37.0岁~112.5118.2123.9 129.6135.38.0岁~116.8122.7128.6 134.5140.49.0岁~121.6127.7133.8 139.9146.010.0岁~125.6132.2138.8 145.4152.012.0岁~134.0142.2150.4 158.6166.813.0岁~142.1150.4158.7 167.0175.314.0岁~149.5156.9164.3 171.7179.115.0岁~155.0161.3167.6 173.9180.216.0岁~157.3163.4169.5 175.6181.717.0~18岁158.3164.3170.3 176.3 182.3中国0~18岁女童身高参照值(cm)年龄组下等中下等中等中上等上等初生46.648.249.8 51.453.0 1月~51.753.956.1 58.360.5 2月~54.656.959.2 61.563.8 3月~57.259.461.6 63.866.0 4月~59.461.663.8 66.068.25月~60.963.265.5 67.870.1 6月~62.865.267.6 70.072.4 8月~65.668.170.6 73.175.6 10月~68.170.773.3 75.978.5 12月~70.373.175.9 78.781.515月~73.376.178.9 81.784.5 18月~75.878.781.6 84.587.4 21月~78.581.584.5 87.590.52.0岁~81.384.788.1 91.594.92.5岁~84.888.492.0 95.699.23.0岁~88.792.395.9 99.5103.13.5岁~91.695.499.2 103.0106.84.0岁~95.098.9102.8 106.7110.64.5岁~97.8102.0106.2 110.4114.65.0岁~101.6105.7109.8 113.9118.05.5岁~103.9108.4112.9 117.4121.96.0岁~108.1112.6117.1 121.6126.17.0岁~111.7117.2122.7 128.2133.78.0岁~116.2122.0127.8 133.6139.49.0岁~120.7127.1133.5 139.9146.311.0岁~131.6138.9146.2 153.5160.812.0岁~138.5145.1151.7 158.3164.913.0岁~143.7149.7155.7 161.7167.714.0岁~146.0151.6157.2 162.8168.415.0岁~147.3152.8158.3 163.8169.316.0岁~147.6153.1158.6 164.1169.617.0~18.0147.7153.2158.7 164.2169.7岁中国0~7岁儿童头围参照值(cm)男童女童年龄组下平均值上等下平均值上等初生31.934.3?.236.731.533.9?.236.31月~35.538.1?.340.735.037.4?.239.82月~37.139.7?.342.336.538.9?.241.33月~38.441.0?.343.637.740.1?.242.54月~39.742.1?.244.538.841.2?.243.65月~40.643.0?.245.439.742.1?.244.56月~41.544.1?.346.740.443.0?.345.68月~42.545.1?.347.741.544.1?.346.7 10月~43.045.8?.448.642.444.8?.247.212月~43.946.5?.349.143.045.4?.247.815月~44.547.1?.349.743.646.0?.248.418月~45.247.6?.250.044.146.5?.248.921月~45.548.1?.350.744.546.9?.249.32.0岁~46.048.4?.250.845.047.4?.249.82.5岁~46.649.0?.251.445.648.0?.250.43.0岁~47.049.4?.251.846.248.4?.150.63.5岁~47.449.8?.252.246.448.8?.251.24.0岁~47.550.1?.352.746.749.1?.251.54.5岁~47.850.4?.353.047.049.4?.251.85.0岁~48.350.7?.253.147.349.7?.252.15.5岁~48.550.9?.253.347.650.0?.252.46.0~7.048.951.3?.253.747.750.3?.352.9岁生长发育是婴幼儿及青少年期所特有的生理现象。