量子力学中要用到的数学知识大汇总
- 格式:wps
- 大小:49.22 KB
- 文档页数:8
量子力学的知识点量子力学是一门研究微观世界的物理学分支,它描述了微观粒子的行为和相互作用。
本文将介绍一些量子力学的基本概念和知识点。
1. 波粒二象性:量子力学中最基本的概念之一是波粒二象性。
根据波粒二象性,微观粒子既可以表现出波动性,也可以表现出粒子性。
例如,电子和光子既可以像粒子一样被探测到,也可以像波一样干涉和衍射。
2. 不确定性原理:不确定性原理是量子力学的核心原理之一,由海森堡提出。
它指出,在某一时刻,无法同时准确测量一个粒子的位置和动量。
换句话说,粒子的位置和动量不能同时被完全确定。
3. 波函数和量子态:波函数是量子力学中描述微观粒子的数学工具。
它可以用来计算粒子的概率分布和状态。
量子态则是描述粒子的完整信息,包括波函数和其他相关信息。
4. 叠加态和量子叠加:叠加态是指一个粒子处于多个可能状态的叠加状态。
量子叠加是指粒子在没有被观测之前,可以同时处于多个可能状态,直到被观测时才会坍缩到其中一个确定的状态。
5. 纠缠态和量子纠缠:纠缠态是指多个粒子之间存在相互关联的状态。
量子纠缠是指两个或多个粒子之间的状态相互依赖,无论它们之间有多远的距离。
6. 测量和量子测量:量子测量是指对一个量子系统进行观测,以获取它的某个性质的数值。
量子测量会导致波函数坍缩,从而确定粒子的状态。
7. 哥本哈根解释:哥本哈根解释是量子力学最广泛接受的解释之一,由波尔和海森堡等人提出。
它强调了观察者在量子系统中的重要性,认为观测会导致波函数坍缩,从而决定粒子的状态。
8. 量子力学的应用:量子力学在现代科学和技术中有广泛的应用。
例如,量子力学在原子物理学、核物理学、凝聚态物理学和量子计算等领域发挥着重要作用。
总结起来,量子力学是一门研究微观世界的物理学分支,它涉及到波粒二象性、不确定性原理、波函数和量子态、叠加态和量子叠加、纠缠态和量子纠缠、测量和量子测量、哥本哈根解释以及量子力学的应用等知识点。
通过深入了解这些知识点,我们可以更好地理解微观世界的奥秘,并应用于相关领域的研究和技术发展中。
量子力学基础知识总结一.微观粒子的运动特征1.黑体辐射和能量量子化黑体:一种能全部吸收照射到它上面的各种波长辐射的物体普朗克提出能量量子化假设:定温下黑体辐射能量只与辐射频率有关,频率为ν的能量,其数值是不连续的,只能是hν的整数倍,称为能量量子化。
2.光电效应与光子学说爱因斯坦将能量量子化概念用于电磁辐射,并用以解释光电效应。
其提出了光子学说,圆满解释了光电效应。
光子学说内容:①光是一束光子流,每一种频率的的光的能量都有一个最小单位,称为光子光子能量ε=hν/c②光子质量m=hν/c2③光子动量p=mc=hν/c= h/λ④光的强度取决于单位体积内光子的数目,即光子密度。
光电效应: hν=W+EK =hν+21mv2,W为脱出功,Ek为光电子的动能。
3.实物微粒的波粒二象性德布罗意提出实物微粒也具有波性:E=hν p=h/λ德布罗意波长:λ=h/p=h/(mv)4. 测不准原理:∆x∆x p≥h∆y∆py ≥h∆z∆py≥h∆tE≥h二、量子力学基本假设1. 假设1:对于一个量子力学体系,可以用坐标和时间变量的函数ψ(x,y,z,t)来描述,它包括体系的全部信息。
这一函数称为波函数或态函数,简称态。
不含时间的波函数ψ(x,y,z)称为定态波函数。
在本课程中主要讨论定态波函数。
由于空间某点波的强度与波函数绝对值的平方成正比,即在该点附近找到粒子的几率正比于ψ*ψ,所以通常将用波函数ψ描述的波称为几率波。
在原子、分子等体系中,将ψ称为原子轨道或分子轨道;将ψ*ψ称为几率密度,它就是通常所说的电子云;ψ*ψdτ为空间某点附近体积元dτ中电子出现的几率。
对于波函数有不同的解释,现在被普遍接受的是玻恩(M. Born)统计解释,这一解释的基本思想是:粒子的波动性(即德布罗意波)表现在粒子在空间出现几率的分布的波动,这种波也称作“几率波”。
波函数ψ可以是复函数,合格(品优)波函数:单值、连续、平方可积。
2. 假设2:对一个微观体系的每一个可观测的物理量,都对应着一个线性自厄算符。
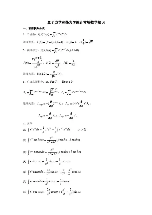
量子力学和热力学统计常用数学知识一、常用积分公式 1、Γ函数:定义10()n x n x e dx Γ∞--=⎰递推关系:()(1)(1)n n n ΓΓ=--,(1)1Γ=,1()2Γ=2、高斯积分:定义2I(),(0)n x n x e dx λλ∞-=>⎰121()2()2n n I n λΓ++=,2(0)2I λ=,1(1)2I λ=递推关系:(2)()I n I n λ∂+=-∂ 3、广义高斯积分:,;Re 0C αβα∈>2240x xJ edx βαβα∞-±-∞==⎰,2n x x n J x e dx αβ∞---∞=⎰递推关系:21210()m m J J β++∂=-∂;20()()m m m J J α∂=-∂;1n n J J β+∂=-∂;2n n J J α+∂=-∂ 4、其他 (1)dx e x an e x a dx e x axn ax n axn ⎰⎰--=11 )0(>n (2) )cos sin (sin 22bx b bx a b a e bxdx e axax-+=⎰ (3) =⎰axdx e axcos )sin cos (22bx b bx a ba e ax++ (4)ax x a ax aaxdx x cos 1sin 1sin 2-=⎰ (5) =⎰axdx x sin 2ax a x aax a x cos )2(sin 2222-+(6)ax a xax a axdx x sin cos 1cos 2+=⎰(7) ax a a x ax ax axdx x sin )2(cos 2cos 3222-+=⎰)ln(2222c ax x a ac c ax x ++++ (0>a ) (8)⎰=+dx c ax 2)arcsin(222x c a ac c ax x --++ (a<0) ⎰20sin πxdx n2!!!)!1(πn n - (=n 正偶数)(9) =⎰20cos πxdx n!!!)!1(n n - (=n 正奇数) 2π(0>a ) (10)⎰∞=0sin dx xax2π- (0<a )(11))1!+∞-=⎰n n ax an dx x e (0,>=a n 正整数) (12)adx e ax π2102=⎰∞- (13) 121022!)!12(2++∞--=⎰n n ax n an dx e x π(14)1122!2+∞-+=⎰n ax n an dx e x (15)2sin 022adx xax π⎰∞= (16)⎰∞-+=222)(2sin b a abbxdx xe ax (0>a )⎰∞-+-=022222)(c o s b a b a b x d x xeax(0>a ) 二、积分变换公式1、广义高斯定理:体积分→面积分。
量子力学复习资料一、基本概念1、波粒二象性这是量子力学的核心概念之一。
它表明微观粒子既具有粒子的特性,如位置和动量,又具有波动的特性,如波长和频率。
例如,电子在某些实验中表现出粒子的行为,如碰撞和散射;而在另一些实验中,如双缝干涉实验,又表现出波动的行为。
2、量子态量子态是描述微观粒子状态的方式。
与经典物理学中可以精确确定粒子的位置和动量不同,在量子力学中,粒子的状态通常用波函数来描述。
波函数的平方表示在某个位置找到粒子的概率密度。
3、不确定性原理由海森堡提出,指出对于一个微观粒子,不能同时精确地确定其位置和动量,或者能量和时间。
即:\(\Delta x \cdot \Delta p \geq \frac{\hbar}{2}\),\(\Delta E \cdot \Delta t \geq \frac{\hbar}{2}\),其中\(\hbar\)是约化普朗克常数。
二、数学工具1、薛定谔方程这是量子力学中的基本方程,类似于经典力学中的牛顿运动方程。
对于一个质量为\(m\)、势能为\(V(x)\)的粒子,其薛定谔方程为:\(i\hbar\frac{\partial \Psi(x,t)}{\partial t} =\frac{\hbar^2}{2m}\frac{\partial^2 \Psi(x,t)}{\partial x^2} + V(x)\Psi(x,t)\)。
2、算符在量子力学中,物理量通常用算符来表示。
例如,位置算符\(\hat{x}\)、动量算符\(\hat{p}\)等。
算符作用在波函数上,得到相应物理量的可能取值。
三、常见量子力学系统1、一维无限深势阱粒子被限制在一个宽度为\(a\)的区域内,势能在区域内为零,在区域外为无穷大。
其能量本征值为\(E_n =\frac{n^2\pi^2\hbar^2}{2ma^2}\),对应的本征函数为\(\Psi_n(x) =\sqrt{\frac{2}{a}}\sin(\frac{n\pi x}{a})\)。
量子力学的数学基础量子力学是一门研究微观领域中的物质和能量相互关系的学科。
它作为现代物理学的重要分支,提供了对原子、分子和基础粒子等微观领域行为的深入理解。
量子力学不仅仅是一种物理学理论,更是一种数学框架,其中包含了丰富而复杂的数学概念和工具。
在本文中,我们将重点介绍量子力学的数学基础,探讨其在理论和实践中的应用。
1. 线性代数:量子力学的数学基础之一是线性代数。
在量子力学中,态矢量(state vector)被用来描述一个物理系统的状态。
态矢量是一个向量,可以通过线性代数中的向量空间来描述。
量子力学中的态矢量可以存在于高维空间中,而线性代数提供了一种强大的工具来解决高维空间中的问题,例如张量积和内积等。
2. 希尔伯特空间:希尔伯特空间是量子力学中常用的数学结构。
它是一个无限维的复向量空间,其中的向量表示态矢量。
希尔伯特空间具有内积的性质,这意味着可以定义向量之间的内积(或称为点乘)。
内积可以用于计算态矢量的模长,以及求解物理量的期望值等。
3. 哈密顿算符:在量子力学中,哈密顿算符(Hamiltonian operator)被用来描述一个系统的能量。
哈密顿算符是一个厄米(Hermitian)算符,这意味着它的本征态(eigenstates)是正交的,并且其本征值(eigenvalues)对应于能量的可能取值。
通过求解哈密顿算符的本征值问题,可以得到量子系统的能级结构以及各个能级上的波函数。
4. 薛定谔方程:薛定谔方程(Schrödinger equation)是量子力学的基本方程之一。
它描述了一个量子体系的时间演化规律。
薛定谔方程是一个偏微分方程,通过求解薛定谔方程,可以得到系统的波函数随时间的变化情况。
波函数包含了关于量子体系的所有信息,它通过量子态的叠加来描述粒子的概率分布和可能的测量结果。
5. 德布洛意波和解释:德布洛意波(de Broglie wave)是量子力学的基本概念之一。
量子力学知识点量子力学是20世纪初发展起来的一种物理学理论,它主要描述微观粒子如原子、电子等的行为。
量子力学的核心概念包括波函数、量子态、不确定性原理、量子纠缠等。
以下是量子力学的一些主要知识点总结:1. 波函数:量子力学中,一个粒子的状态由波函数描述,波函数是一个复数函数,其模的平方给出了粒子在某个位置被发现的概率密度。
2. 薛定谔方程:这是量子力学中描述粒子波函数随时间演化的基本方程。
薛定谔方程是量子力学的核心,它是一个偏微分方程,能够预测粒子的行为。
3. 量子态:量子系统的状态可以由波函数表示,这些状态是离散的,并且遵循一定的量子数规则。
4. 量子叠加原理:量子系统可以同时处于多个可能的状态,这些状态的叠加构成了系统的总状态。
5. 不确定性原理:由海森堡提出,指出无法同时精确测量粒子的位置和动量。
这是量子力学与经典力学的一个根本区别。
6. 量子纠缠:两个或多个粒子可以处于一种特殊的相关状态,即使它们相隔很远,一个粒子的状态改变也会立即影响到另一个粒子的状态。
7. 量子隧道效应:粒子有可能穿过一个经典力学中不可能穿越的势垒,这是量子力学中的一个非直观现象。
8. 波粒二象性:量子力学中的粒子既表现出波动性也表现出粒子性,这种性质由德布罗意提出。
9. 量子力学的诠释:包括哥本哈根诠释、多世界诠释等,不同的诠释试图解释量子力学中观察到的现象。
10. 量子计算:利用量子力学原理进行信息处理的技术,量子计算机能够执行某些特定类型的计算任务,速度远超传统计算机。
11. 量子纠缠与量子通信:量子纠缠是量子通信的基础,可以实现安全的信息传输。
12. 量子退相干:量子系统与环境相互作用,导致量子态的相干性丧失,是量子系统向经典系统过渡的过程。
13. 量子场论:将量子力学与相对论结合起来,描述粒子的产生和湮灭过程。
14. 量子信息:研究量子系统在信息处理中的应用,包括量子密码学、量子通信等。
15. 量子测量:量子力学中的测量问题涉及到波函数的坍缩,即测量过程会导致量子态的不确定性减少。
量子力学知识点量子力学是描述微观世界中物质和能量行为的理论框架,是现代物理学中最重要的分支之一。
早在20世纪初,物理学家们就开始探索微观世界的奥秘,并提出了量子力学的理论基础。
本文将为您介绍一些关于量子力学的基本知识点。
一、光的粒子性和波动性在经典物理学中,光被视为电磁波,具有波动性质。
然而,在实验中发现光也具有粒子性,即光子。
根据光的粒子性和波动性,量子力学引入了波粒二象性的概念。
二、波函数和不确定原理波函数是量子力学中用来描述粒子行为的数学函数。
它包含了粒子的位置、动量、能量等信息。
根据不确定原理,无法同时准确确定粒子的位置和动量,这是量子力学中的基本原理之一。
三、叠加原理和量子纠缠量子力学中的叠加原理指出,处于未观测状态的粒子可以同时存在于多个可能状态之中。
当进行观测时,波函数会坍缩为某一确定状态。
这种现象被称为量子纠缠,即两个或多个粒子之间的状态相互依赖,无论它们之间有多远。
四、量子力学的定态和非定态在量子力学中,定态表示粒子处于稳定状态,其波函数不随时间变化。
非定态则表示粒子的状态会随时间演化。
通过薛定谔方程,我们可以描述粒子在不同状态下的演化过程。
五、测量和观测量子力学中的测量和观测与经典物理学中有所不同。
测量过程会导致波函数坍缩,粒子的状态被确定下来。
而在观测之前,粒子处于叠加态,可能处于多个不同状态。
六、量子力学的应用量子力学的应用涉及到许多领域。
在材料科学中,量子力学可以解释材料的电子结构和导电性质。
在计算机科学中,量子计算机的发展有望在处理复杂问题上实现超高速计算。
此外,量子力学还在量子通信、量子密码等领域有重要应用。
七、量子纠缠和量子隐形传态量子纠缠是量子力学中的一个重要概念,也是量子计算和量子通信的基础。
量子隐形传态则指通过纠缠态将信息传递到另一个位置,实现“隐形传输”。
结语量子力学作为一门复杂而深奥的学科,对我们理解微观世界的本质和开展科学研究具有重要意义。
本文对量子力学的一些基本知识点进行了梳理和介绍,希望能对读者理解量子力学产生帮助,并引发对这一领域更深入的探索与思考。
第一章⒈玻尔的量子化条件,索末菲的量子化条件。
⒉黑体:能吸收射到其上的全部辐射的物体,这种物体就称为绝对黑体,简称黑体。
⒎普朗克量子假说:表述1:对于一定频率ν的辐射,物体只能以hν为能量单位吸收或发射电磁辐射。
表述2:物体吸收或发射电磁辐射时,只能以量子的方式进行,每个量子的能量为:ε=hν。
表述3:物体吸收或发射电磁辐射时,只能以能量ε的整数倍来实现,即ε,2ε,3ε,…。
⒏光电效应:光照射到金属上,有电子从金属上逸出的现象。
这种电子称之为光电子。
⒐光电效应有两个突出的特点:①存在临界频率ν0:只有当光的频率大于一定值v0 时,才有光电子发射出来。
若光频率小于该值时,则不论光强度多大,照射时间多长,都没有光电子产生。
②光电子的能量只与光的频率有关,与光的强度无关。
光的强度只决定光电子数目的多少。
⒑爱因斯坦光量子假说:光(电磁辐射)不仅在发射和吸收时以能量E= hν的微粒形式出现,而且以这种形式在空间以光速 C 传播,这种粒子叫做光量子,或光子。
爱因斯坦方程⒒光电效应机理:当光射到金属表面上时,能量为E= hν的光子立刻被电子所吸收,电子把这能量的一部分用来克服金属表面对它的吸引,另一部分就是电子离开金属表面后的动能。
⒓解释光电效应的两个典型特点:①存在临界频率v0:由上式明显看出,当hν- W0≤0时,即ν≤ν0 = W0 / h时,电子不能脱出金属表面,从而没有光电子产生。
②光电子动能只决定于光子的频率:上式表明光电子的能量只与光的频率ν有关,而与光的强度无关。
⒔康普顿效应:高频率的X射线被轻元素如白蜡、石墨中的电子散射后出现的效应。
⒕康普顿效应的实验规律:①散射光中,除了原来X光的波长λ外,增加了一个新的波长为λ'的X光,且λ' >λ;⒖空间反演:把一个波函数的所有坐标自变量改变符号(如r →-r)的运算。
宇称算符:表示空间反演运算的算符。
宇称守恒:体系状态的宇称不随时间改变。
五大量子力学基本概念和数学模型量子力学是一项研究小尺度物理现象的科学,也是研究微观世界的基础理论之一。
它是20世纪最重要的科学之一。
如果你想了解量子力学,首先需要了解其中的基本概念和数学模型。
本文将会介绍五个量子力学中的基本概念和数学模型,它们分别是波粒二象性、旋量、哈密顿量、薛定谔方程和量子测量。
一、波粒二象性波粒二象性是描述粒子特性的重要概念。
它指出物质既具有粒子性,又具有波动性。
例如,电子、光子等粒子在特定实验条件下可以表现出波动性质,而在其他实验条件下则表现出粒子性质。
数学模型中,波粒二象性可以用薛定谔方程描述。
薛定谔方程是描述波函数时间演化的方程,它是量子力学中最基础的方程之一。
薛定谔方程描述的是在一定能级下粒子的运动状态,并且可以用来预测在某些特定条件下,粒子将如何表现出“波动性”和“粒子性”特征。
二、旋量旋量是量子力学中的一个特殊概念。
旋量描述的是粒子的自旋状态,自旋是粒子一种特殊的角动量。
旋量满足薛定谔方程,但是旋量的定义比较抽象,需要用狄拉克符号来描述。
旋量可以类比于向量,但是具有更多的特殊性质。
例如,旋量的运算法则与通常的向量有所不同,如自身的内积为0。
数学模型中,旋量的描述需要用到小消除算符和小升算符。
小消除算符可以将旋量描述的自旋状态降低一个量子数,而小升算符可以将自旋状态增加一个量子数。
掌握这些数学模型可以更好地理解旋量。
三、哈密顿量哈密顿量是描述粒子和力场相互作用的重要概念。
在量子力学中,哈密顿量描述了粒子的总能量,包括动能和势能。
哈密顿量的一部分描述了粒子的自旋状态,并且可能包含电磁场、引力场等多种相互作用。
数学模型中,哈密顿量可以用数学公式表示。
哈密顿量是一个厄米矩阵,当矩阵作用在波函数上时,将得到对应的能量谱。
通过对哈密顿量的研究可以了解粒子在不同势场下的运动状态,而且能描述出具体的量子态。
四、薛定谔方程薛定谔方程是描述粒子在时间演化下的状态的数学模型。
它是薛定谔在1925年提出的,是描述量子物理和量子力学中最重要的方程之一。
量子力学的数学基础知乎
量子力学的数学基础可以通过以下几个方面来了解:
1.线性代数:由于量子力学涉及到复杂的矢量空间,因此线性代数是量子力学的数学基础之一。
线性代数的概念和理论在量子力学中被广泛应用,如哈密顿算符、态矢量、算符等。
2.微积分:微积分是量子力学不可或缺的数学基础,例如哈密顿量的定义和时间演化需要微积分知识。
3.群论:群论是对称性研究的数学基础。
对称性在量子力学中具有重要意义,例如轨道角动量、自旋等量子数具有对称性性质。
4.拓扑学:量子场论中拓扑量理论可以描述物质特性、量子霍尔效应等复杂的物理现象。
5.复分析:由于波尔原理和矩阵力学可以解释粒子的波-粒二象性,因此需要特定的数学公式来描述它们之间的关系,而这些公式涉及到复分析的概念和方法。
总之,量子力学是一门高度抽象的物理学科,数学基础必须扎实,才能够深入理解量子世界的奥秘。
量子力学知识总结认真、努力、坚持、反思、总结…量子力学知识点小结一、绪论1.光的粒子性是由黑体辐射、光电效应和康普顿效应(散射)三个实验最终确定的。
2.德布罗意假设是任何物质都具有波粒二象性,其德布罗意关系为E h ν=和h p n κλ==3.波尔的三个基本假设是定态条件假设、n mE E h ν-=频率条件假设、化条件)(索末菲等推广的量子21或量子化条件假设⎰⎰+==h n pdq nh pdq )(4.自由粒子的波函数()ip r Et Aeψ⋅-=5.戴维孙革末的电子在晶体上衍射实验证明了电子具有波动性。
二、波函数及薛定谔方程(一)波函数的统计解释(物理意义)A.波函数(,)r t ψ的统计解释2(,)r t d t r ψτ表示时刻在点位置处单位体积内找2sin d r drd d τθϕθ=到粒子的几率(注:)。
B. 波函数(,,,)x y z t ψ的统计解释2(,,,),,x y z t dxdydz t x y z ψ表示时刻在点()位置处单位体积没找到粒子的几率。
例:已知体系处于波函数(,,)x y z ψ所描写的状态,则在区间[,]x x dx +内找到粒子的概率是2(,,)x y z dydz dx ψ+∞+∞-∞-∞⎡⎤⎢⎥⎣⎦⎰⎰.已知体系处于波函数(,,)r ψθϕ所描写的状态,则在球壳r r dr →+内找到粒子的概率是22200(,,)sin r d d r dr ππψθϕθϕθ⎡⎤⎢⎥⎣⎦⎰⎰,在立体角d Ω内找到粒子的概率是220(,,)r r dr d ψθϕ∞⎡⎤Ω⎢⎥⎣⎦⎰.(注:sin d d d θϕθΩ=) (二)态叠加原理:如果1ψ和2ψ是体系的可能状态,那么它们的线性叠加1122c c ψψψ=+(12c c 、为复数)也是这个体系可能的状态。
含义:当体系处于1ψ和2ψ的线性叠加态1122c c ψψψ=+(12c c 、为复数) 时,体系既处于1ψ态又处于态2ψ,对应的概率为21c 和22c .(三)概率密度(分布)函数2()()x x x ψωψ=若波函数为,则其概率密度函数为()(四)薛定谔方程:22()2i U r t m∂ψ=-∇ψ+ψ∂ 22222222222222222()21cos 1 ()sin sin x y zr r r r r θθθθθϕ∂∂∂∇=+∂∂∂⎛⎫∂∂∂∂∂∇=+++ ⎪∂∂∂∂∂⎝⎭拉普拉斯算符直角坐标球坐标问题:1.描写粒子(如电子)运动状态的波函数对粒子(如电子)的描述是统计性的.2. 薛定谔方程是量子力学的一个基本假设,不是通过严格的数学推导而来的(五)连续性方程:()**0( )2J tiJ mω∂+∇⋅=∂≡ψ∇ψ-ψ∇ψ注:问题:波函数的标准条件单值、连续、有界。
1、光子的能量和动量是:E=ℎ v=ћw、p=ℎvn/c=ℎn/λ=ћk2、量子现象:由以上两个公式可以看出,在宏观现象中,h和其他物理量相比较可以略去,因而辐射的能量可以连续变化,因此凡是h在其中起重要作用的现象都可以称为量子现象。
3、量子化条件:在量子理论中,角动量必须是h的整数倍4、量子化条件的推广:∮pdq=(n+1/2)ℎ, n是0和正整数,称为量子数。
5、德布罗意公式:E=ℎv=ћw、p=ℎ/λn=ћk6、波函数的统计解释:波函数在空间中某一点的强度(振幅绝对值的平方)和在该点找到粒子的概率成比例。
dw(x,y,z,t)= C∣Φ(x,y,z,t)∣²dτ7、态叠加原理:对于一般的情况,如果Ψ1和Ψ2是体系的可能状态,那么它们的线性叠加Ψ=c1Ψ1+c2Ψ2(c1,c2是复数),也是这个体系的一个可能状态,这就是量子力学中的态叠加原理。
态叠加原理还有一个含义:当粒子处于态Ψ1和态Ψ2的线性叠加态Ψ时,粒子时既处在态Ψ1又处在态Ψ2.注意:态叠加原理指的是波函数(概率幅)的线性叠加,而不是概率的叠加8、波函数的标准条件:有限性、连续性、导致可测量的单值性9、什么是定态定态:体系处于Ψ(r,t)=ψ(r)e~-iEt/ћ所描写的状态时,能量具有确定性,这种状态称为定态。
Ψ(r,t)=ψ(r)e~-iEt/ћ称为定态波函数10、定态薛定谔方程:−ћ²/2m▽²ψ+U(r)ψ=Eψ11、本征值方程:ĤΨ=EΨ,E称为算符Ĥ的本征值,Ψ称为算符Ĥ属于本征值E的本征函数12、薛定谔波动方程的一般解可以写为这些定态波函数的线性叠加:13、束缚态:通常把在无限远处为零的波函数所描写的状态称为束缚态14、隧道效应:粒子在能量E小于势垒高度时仍能贯穿势垒的现象15、厄米算符:量子力学中表示力学量的算符都是厄米算符。
算符F̂满足下列等式:∫ψ∗F̂φdx=∫(F̂ψ)∗φdx16、力学量与算符的关系的一个基本假设:量子力学中,表示力学量的算符都是厄米算符,它们的本征函数组成完全系当体系处于波函数ψ(x)所描写的状态时,测量力学F所得的数值,必定是算符F^的本征值之一,测得λn的概率是|Cn∣²17、对易与不对易的关系:如果两个算符F̂和Ĝ,有一组共同本征函数φn而且φn组成完全系,则算符F̂和Ĝ对易。
量子力学的数学基础与数学方法量子力学作为现代物理学的基石,其研究对象是微观世界中的粒子和物理现象。
对于量子力学的理解和应用,数学起着至关重要的作用。
本文将探讨量子力学的数学基础和数学方法,帮助读者更好地理解和应用量子力学。
一、量子力学的数学基础1. 线性代数量子力学中,态矢量用向量表示,而算符则相当于向量到向量的线性变换。
因此,线性代数是量子力学数学基础的重要部分。
线性代数中的向量、矩阵和线性变换的概念在量子力学中有广泛的应用,例如,描述量子态变化的幺正算符和厄米算符等。
2. 多元复变函数量子力学中,波函数是描述量子体系状态的数学表达式,其通常是复数形式。
多元复变函数的理论和方法为量子力学提供了重要的数学工具。
例如,复变函数的积分、级数和解析性质等,对于求解薛定谔方程及解释量子态的统计性质有着重要的作用。
3. 微分方程薛定谔方程是量子力学中描述量子体系时间演化的基本方程。
它是一个二阶线性偏微分方程。
量子力学的数学基础之一就是研究和理解薛定谔方程的解的性质和意义。
微分方程的理论与方法为研究和求解薛定谔方程提供了重要的数学工具。
二、量子力学的数学方法1. 矩阵表示量子力学中,算符的表示常常使用矩阵。
通过将物理量与矩阵相联系,可以方便地求解各种物理量的期望值和能级等。
矩阵表示为量子力学的计算提供了有效的数学方法。
2. 矩阵对角化对角化是求解薛定谔方程和解释物理现象的重要方法之一。
通过将算符对应的矩阵对角化,可以得到与特定物理量相对应的本征值和本征态。
对角化方法在量子力学中发挥着重要的作用,帮助我们理解和解释量子体系的性质。
3. 波函数展开波函数展开是量子力学中的一种常用数学方法。
通过将波函数表示为一组已知基函数的线性组合,可以将复杂的波函数分解为简单的基函数,并得到相应的系数。
波函数展开方法为求解薛定谔方程和研究量子态的统计性质提供了有效的数学手段。
4. 狄拉克符号狄拉克符号是量子力学中一种重要的数学表示方法。
量子力学笔记
以下是关于量子力学的一些基本笔记:
1. 波粒二象性:量子力学中,粒子既可以表现为粒子,也可以表现为波动,具有波粒二象性。
这就意味着在一些实验中,粒子表现出波动性质,例如干涉和衍射现象。
2. 狄拉克方程:狄拉克方程是描述自旋½粒子的基本方程,它结合了爱因斯坦的相对论和量子力学的理论,为量子场论奠定了基础。
3. 不确定性原理:不确定性原理是由海森堡提出的,指出了我们无法同时准确测量粒子的位置和动量,或者能量和时间。
这意味着存在一个不确定度限制,我们不能完全精确地知道粒子的运动状态。
4. 波函数:波函数是描述量子体系的数学函数,包含了所有可能的信息。
它是一个复数函数,描述了粒子在空间中的概率分布和量子态信息。
5. 纠缠:量子力学中的纠缠现象指的是两个或多个粒子之间存在一种特殊的量子相互关联。
这种关联会导致量子纠缠态,其中一个粒子的测量结果会立即影响到其他纠缠粒子的状态。
6. 叠加态和测量:量子力学中的叠加态是指粒子处于多个可能状态的线性组合,直到进行测量时,才会塌缩到其中一个确定的状态。
这些只是量子力学的基本概念和原理的简要介绍,其中还有更深入和复杂的理论和实验结果。
量子力学知识总结认真、努力、坚持、反思、总结…物理111 杨涛量子力学知识点小结一、绪论1.光的粒子性是由黑体辐射、光电效应和康普顿效应(散射)三个实验最终确定的。
2.德布罗意假设是任何物质都具有波粒二象性,其德布罗意关系为E h ν=和h p n κλ==3.波尔的三个基本假设是定态条件假设、n mE E h ν-=频率条件假设、化条件)(索末菲等推广的量子21或量子化条件假设⎰⎰+==h n pdq nh pdq )(4.自由粒子的波函数()ip r Et Aeψ⋅-=5.戴维孙革末的电子在晶体上衍射实验证明了电子具有波动性。
二、波函数及薛定谔方程(一)波函数的统计解释(物理意义)A.波函数(,)r t ψ的统计解释2(,)r t d t r ψτ表示时刻在点位置处单位体积内找2sin d r drd d τθϕθ=到粒子的几率(注:)。
B. 波函数(,,,)x y z t ψ的统计解释2(,,,),,x y z t dxdydz t x y z ψ表示时刻在点()位置处单位体积没找到粒子的几率。
例:已知体系处于波函数(,,)x y z ψ所描写的状态,则在区间[,]x x dx +内找到粒子的概率是2(,,)x y z dydz dx ψ+∞+∞-∞-∞⎡⎤⎢⎥⎣⎦⎰⎰. 已知体系处于波函数(,,)r ψθϕ所描写的状态,则在球壳r r dr →+内找到粒子的概率是22200(,,)sin r d d r dr ππψθϕθϕθ⎡⎤⎢⎥⎣⎦⎰⎰,在立体角d Ω内找到粒子的概率是220(,,)r r dr d ψθϕ∞⎡⎤Ω⎢⎥⎣⎦⎰.(注:sin d d d θϕθΩ=) (二)态叠加原理:如果1ψ和2ψ是体系的可能状态,那么它们的线性叠加1122c c ψψψ=+(12c c 、为复数)也是这个体系可能的状态。
含义:当体系处于1ψ和2ψ的线性叠加态1122c c ψψψ=+(12c c 、为复数) 时,体系既处于1ψ态又处于态2ψ,对应的概率为21c 和22c .(三)概率密度(分布)函数2()()x x x ψωψ=若波函数为,则其概率密度函数为()(四)薛定谔方程:22()2i U r t m∂ψ=-∇ψ+ψ∂ 22222222222222222()21cos 1 ()sin sin x y zr r r r r θθθθθϕ∂∂∂∇=+∂∂∂⎛⎫∂∂∂∂∂∇=+++ ⎪∂∂∂∂∂⎝⎭拉普拉斯算符直角坐标球坐标问题:1.描写粒子(如电子)运动状态的波函数对粒子(如电子)的描述是统计性的.2. 薛定谔方程是量子力学的一个基本假设,不是通过严格的数学推导而来的(五)连续性方程:()**0( )2J tiJ mω∂+∇⋅=∂≡ψ∇ψ-ψ∇ψ注:问题:波函数的标准条件单值、连续、有界。
第一章矩阵1.1矩阵的由来、定义和运算方法1.矩阵的由来2.矩阵的定义3.矩阵的相等4.矩阵的加减法5.矩阵和数的乘法6.矩阵和矩阵的乘法7.转置矩阵8.零矩阵9.矩阵的分块1.2行矩阵和列矩阵1.行矩阵和列矩阵2.行矢和列矢3.Dirac符号4.矢量的标积和矢量的正交5.矢量的长度或模6.右矢与左矢的乘积1.3方阵1.方阵和对角阵2.三对角阵3.单位矩阵和纯量矩阵4.Hermite矩阵5.方阵的行列式,奇异和非奇异方阵6.方阵的迹7.方阵之逆8.酉阵和正交阵9.酉阵的性质10.准对角方阵11.下三角阵和上三角阵12.对称方阵的平方根13.正定方阵14.Jordan块和Jordan标准型1.4行列式求值和矩阵求逆1.行列式的展开place展开定理3.三角阵的行列式4.行列式的初等变换及其性质5.利用三角化求行列式的值6.对称正定方阵的平方根7.平方根法求对称正定方阵的行列之值8.平方根法求方阵之逆9.解方程组法求方阵之逆10.伴随矩阵11.伴随矩阵法求方阵之逆1.5线性代数方程组求解1.线性代数方程组的矩阵表示2.用Cramer法则求解线性代数方程组3.Gauss消元法解线性代数方程组4.平方根法解线性代数方程组1.6本征值和本征矢量的计算1.主阵的本征方程、本征值和本征矢量2.GayleyHamilton定理及其应用3.本征矢量的主定理4.Hermite方阵的对角化——计算本征值和本征矢量的Jacobi法1.7线性变换1.线性变换的矩阵表示2.矢量的酉变换3.相似变换4.等价矩阵5.二次型6.标准型7.方阵的对角化参考文献习题第二章量子力学基础2.1波动和微粒的矛盾统一1.从经典力学到量子力学2.光的波粒二象性3.驻波的波动方程4.电子和其它实物的波动性——de Broglie关系式5.de Broglie波的实验根据6.de Broglie波的统计意义7.态叠加原理8.动量的几率——以动量为自变量的波函数2.2量子力学基本方程——Schrdinger方程1.Schrdinger方程第一式2.Schrdinger方程第一式的算符表示3.Schrdinger方程第二式4.波函数的物理意义5.力学量的平均值(由坐标波函数计算)6.力学量的平均值(由动量波函数计算)2.3算符1.算符的加法和乘法2.算符的对易3.算符的平方4.线性算符5.本征函数、本征值和本征方程6.Hermite算符7.Hermite算符本征函数的正交性——非简并态8.简并本征函数的正交化9.Hermite算符本征函数的完全性10.波函数展开为本征函数的叠加11.连续谱的本征函数12.Dirac δ函数13.动量的本征函数的归一化14.Heaviside阶梯函数和δ函数2.4量子力学的基本假设1.公理方法2.基本概念3.假设Ⅰ——状态函数和几率4.假设Ⅱ——力学量与线性Hermite算符5.假设Ⅲ——力学量的本征状态和本征值6.假设Ⅳ——态随时间变化的Schrdinger方程7.假设Ⅴ——Pauli互不相容原理2.5关于定态的一些重要推论1.定态的Schrdinger方程2.力学量具有确定值的条件3.不同力学量同时具有确定值的条件4.动量和坐标算符的对易规律5.Hesienberg测不准关系式2.6运动方程1.Heisenberg运动方程——力学量随时间的变化2.量子Poisson括号3.力学量守恒的条件4.几率流密度和粒子数守恒定律5.质量和电荷守恒定律6.Ehrenfest定理2.7维里定理和HellmannFeynman定理1.超维里定理2.维里定理3.Euler齐次函数定理4.维里定理的某些简化形式5.HellmannFeynman定理2.8表示???论1.态的表示2.算符的表示3.另一套量子力学的基本假设参考文献习题第三章简单体系的精确解3.1自由粒子1.一维自由粒子2.三维自由粒子3.2势阱中的粒子1.一维无限深的势阱2.多烯烃的自由电子模型3.三维长方势阱4.圆柱体自由电子模型3.3隧道效应——方形势垒1.隧道效应2.Schrdinger方程3.波函数中系数的确定(E>V0)4.贯穿系数与反射系数(E>V0)5.能量小于势垒的粒子(E<V0)3.4二阶线性常微分方程的级数解法1.二阶线性常微分方程2.级数解法3.正则奇点邻域的级数解法4.若干二阶线性微分方程3.5线性谐振子和Hermite多项式1.线性谐振子2.幂级数法解U方程3.谐振子能量的量子化4.Hermite微分方程与Hermite多项式5.Hermite多项式的递推公式6.Hermite多项式的微分式定义——Rodrigues公式7.Hermite多项式的母函数展开式定义8.谐振子的波函数——Hermite正交函数9.矩阵元的计算参考文献习题第四章氢原子和类氢离子4.1Schrdinger方程1.氢原子质心的平移运动2.氢原子中电子对核的相对运动3.氢原子作为两个质点的体系4.坐标的变换5.变量分离6.球坐标系7.球坐标系中的变量分离8.Φ方程之解9.θ方程之解10.R方程之解11.能级4.2Legendre多项式1.微分式定义2.幂级数定义3.母函数展开式定义和递推公式4.母函数的展开5.正交性6.归一化4.3连带Legendre函数1.微分式定义2.递推公式3.正交性4.归一化4.4laguerre多项式和连带Laguerre函数1.母函数展开式定义2.微分式定义3.级数定义4.积分性质5.连带Laguerre多项式和连带Laguerre函数6.连带Laguerre多项式的母函数展开式定义7.连带Laguerre多项式的级数定义8.连带Laguerre函数的积分性质4.5类氢原子的波函数1.类氢原子的波函数2.氢原子的基态3.径向分布4.角度分布5.电子云的空间分布6.波函数的等值线图和立体表示图参考文献习题第五章角动量和自旋5.1角动量算符1.经典力学中的角动量2.角动量算符3.对易规则4.Hamilton算符与角动量算符的对易规则5.三??算符具有相同本征函数的条件6.角动量的本征函数5.2阶梯算符法求角动量的本征值1.角动量算符的对易规则2.阶梯算符的性质3.阶梯算符的作用4.角动量的本征值5.3多质点体系的角动量算符1.经典力学中多质点体系的角动量2.总角动量算符及其对易规则3.多电子原子的Hamilton算符的对易规则5.4电子自旋1.电子自旋2.假设Ⅰ——自旋角动量算符的对易规则3.假设Ⅱ——单电子自旋算符的本征态和本征值4.电子自旋的阶梯算符5.自旋算符的矩阵表示6.假设Ⅲ——自由电子的g因子参考文献习题第六章变分法和微扰理论6.1多电子体系的Schrdinger方程1.原子单位2.多电子分子的Schrdinger方程3.BornOppenheimer原理4.多电子体系的Schrdinger方程举例5.多电子体系的Schrdinger方程的近似解法6.2变分法1.最低能量原理2.变分法3.氦原子和类氦离子的变分处理(一)4.氦原子和类氦离子的变分处理(二)5.激发态的变分原理6.线性变分法7.变分法的推广6.3定态微扰理论1.非简并能级的一级微扰理论2.基态氦原子或类氦离子3.简并能级的一级微扰理论4.微扰法在氢原子中的应用5.二级微扰理论6.4含时微扰理论与量子跃迁1.含时微扰理论2.光的吸收与发射3.激发态的平均寿命4.光谱选律5.偶极强度与吸收系数的关系参考文献习题第七章群论基础知识7.1群的定义和实例1.群的定义2.群的几个例子3.乘法表和重排定理4.同构和同态7.2子群、生成元和直积1.子群2.生成元3.直积7.3陪集、共轭元素和类1.陪集grange定理3.共轭元素和类4.置换群的类7.4共轭子群、正规子群和商群1.共轭子群2.正规子群(自轭子群)3.商群和同态定理7.5对称操作群1.对称操作2.操作的乘积3.对称操作群4.共轭对称元素系,同轭对称操作类和两个操作可对易的条件5.生成元、子群和直积7.6分子所属对称群的确定1.单轴群2.双面群3.立方体群4.分子对称群的生成元和生成关系5.晶体学点群6.分子所属对称群的确定参考文献习题第八章群表示理论8.1对称操作的矩阵表示1.基矢变换和坐标变换2.物体绕任意轴的旋转,Euler角3.对称操作的矩阵表示4.函数的变换8.2群的表示1.群表示的定义2.等价表示和特征标3.可约表示和不可约表示,不变子空间4.Schur引理5.正交关系6.正交关系示例7.投影算符和表示空间的约化8.直积群的表示9.实表示和复表示8.3表示的直积及其分解1.表示的直积2.对称积和反对称积3.直积表示的分解4.ClebschGordan系数8.4某些群的不可约表示1.循环群2.互换群3.点群4.回转群5.旋转群6.双值表示8.5群论在量子化学中的应用1.态的分类和谱项2.能级的分裂3.时间反演对称性和Kramers简并4.零矩阵元的鉴别和光谱选律5.矩阵元的计算,不可约张量方法6.久期行列式的劈因子7.不可约表示基的构成8.杂化轨道的构成9.轨道对称性守恒原理这些可是爱考的专业课老师(如果俺考研成功她可就是俺滴学姐啦)珍藏不外漏的当年的笔记啊。