2020年浙江杭州高三一模数学试卷
- 格式:pdf
- 大小:1.52 MB
- 文档页数:20
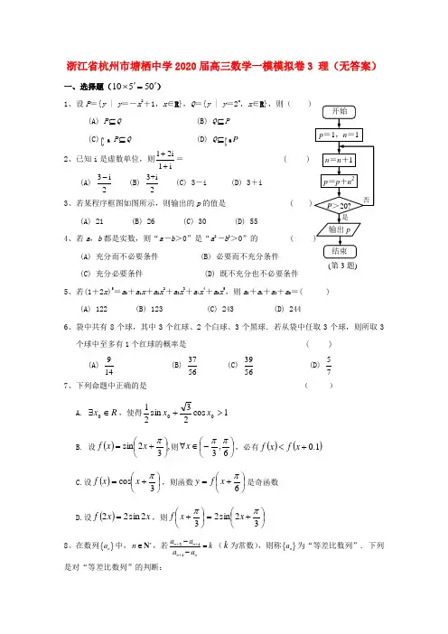
浙江省杭州市塘栖中学2020届高三数学一模模拟卷3 理(无答案)一、选择题(05510'='⨯)1、设P ={y | y =-x 2+1,x ∈R },Q ={y | y =2x,x ∈R },则( )(A) P ⊆Q(B) Q ⊆P (C) R P ⊆Q (D) Q ⊆ R P2、已知i 是虚数单位,则12i 1i++=(A)3i 2- (B)3+i 2(C) 3-i (D) 3+i3、若某程序框图如图所示,则输出的p 的值是 ( )(A) 21 (B) 26 (C) 30 (D) 554、若a ,b 都是实数,则“a -b >0”是“a 2-b 2>0”的 ( )(A) 充分而不必要条件 (B) 必要而不充分条件 (C) 充分必要条件(D) 既不充分也不必要条件5、若(1+2x )5=a 0+a 1x +a 2x 2+a 3x 3+a 4x 4+a 5x 5,则a 0+a 1+a 3+a 5=( )(A) 122 (B) 123 (C) 243 (D) 2446、袋中共有8个球,其中3个红球、2个白球、3个黑球.若从袋中任取3个球,则所取3个球中至多有1个红球的概率是 ( )(A)914(B)3756(C)3956(D)577、下列命题中正确的是 ( ) A. R x ∈∃0,使得1cos 23sin 2100>+x x B. 设(),32sin ⎪⎭⎫⎝⎛+=πx x f 则⎪⎭⎫⎝⎛-∈∀6,3ππx ,必有()()1.0+<x f x f C.设()⎪⎭⎫⎝⎛+=3cos πx x f ,则函数⎪⎭⎫ ⎝⎛+=6πx f y 是奇函数 D.设()x x f 2sin 22=,则⎪⎭⎫ ⎝⎛+=⎪⎭⎫⎝⎛+32sin 23ππx x f 8、在数列{}n a 中,*n ∈N ,若211n n n na a k a a +++-=-(k 为常数),则称{}n a 为“等差比数列”. 下列是对“等差比数列”的判断:开始p =1,n =1 n =n +1 P >20?输出p结束 (第3题)是否p =p +n 2①k 不可能为0②等差数列一定是等差比数列 ③等比数列一定是等差比数列④等差比数列中可以有无数项为0其中正确的判断是 ( ) A .①B .①②③C .③④D .①④9、已知函数1,0()1,0x x f x x x -+<⎧=⎨-≥⎩则不等式(1)(1)1x x f x +++≤的解集是( )A. 11x -≤≤B. 1x ≤C. 1x ≤D. 11x ≤≤10、如图,有6个半径都为1的圆,其圆心分别为O 1(0,0),O 2(2,0),O 3(4,0),O 4(0,2),O 5(2,2),O 6(4,2).记集合M ={⊙O i |i =1,2,3,4,5,6}.若A ,B 为M 的非空子集,且A中的任何一个圆与B 中的任何一个圆均无公共点,则称 (AB ) 为一个“有序集合对”(当A ≠B 时,(A ,B ) 和 (B ,A ) 为不同的有序集合对),那么M 中 “有序集合对”(A ,B ) 的个数是 ( ) (A) 50(B) 54(C) 58(D) 60二、填空题(8247'='⨯)11、设,a b R ∈,集合{1,,}{0,,}ba b a b a+=,则b a -= 12、已知函数3221()(21)13f x x x a x a a =++-+-+,若在(0,2]上有解,则实数的取值范围为 。
2020年杭州市第一次高考科目教学质量检测(模拟)数学试题卷(文科)考生须知:1. 本卷满分150分,考试时间120分钟.2. 答题前,在答题卷密封区内填写学校、班级和姓名.3. 所有答案必须写在答题卷上,写在试题卷上无效.4. 考试结束,只需上交答题卷.参考公式:如果事件B A ,互斥,那么)()()(B P A P B A P +=+.选择题部分一、选择题:本大题共10小题,每小题5分,共50分.在每小题给出的四个选项中,只有一项是符合题目要求的. 1.复数123,1,z i z i =+=-则12z z z =⋅在复平面内对应点位于( ) A .第一象限B .第二象限C .第三象限D .第四象限2.已知命题p :关于x 的不等式220x ax a +-≥的解集是R ; 命题q :01<<-a , 则命题p 是q 的( )条件 A .充分非必要B .必要非充分C .充分必要D .既非充分又非必要3.设向量a 与b 的夹角为θ,定义一种新的运算:a 与b 的“向量积”. ⨯a b 是一个向量, 它的模||||||sin θ⨯=⋅a b a b ,若a =)1,3(--,b =)3,1(,则||⨯=a b ( )AB .2C.D .44.已知等差数列{}n a 的首项为8,n S 是其前n 项的和,某同学计算得12820S S ==,, 343665S S ==,,后来该同学发现其中恰有一个数算错了,则该数为( ) A .1SB .2SC .3SD .4S5.右图是根据《A 省统计年鉴2020》中的资料做成的2000年到2020年 A 省城镇居民百户家庭人口数的茎叶图. 图中左边的 数字从左到右分别表示城镇居民百户家庭人口数的百位数字和十位数字, 右边的数字表示城镇居民百户家庭人口数的个位数 字, 则从图中可得2000年到2020年A 省城镇居民百户家庭人 口数的平均数为( )A .304.6B .303.6C .302.6D .301.66.已知函数f (x )sin(2)3x π=+,要得到12f '(x )的图象,只需将f (x )的图象( )个单位 2 9 1 1 5 83 0 2 63 1 0 24 7百万家庭人口数茎叶图(2000—2010)(第5题图)A .向右平移2π B .向左平移2π C .向右平移4π D .向左平移4π 7.已知函数f (x )在定义域R 内可导,若f (x )= f (2-x ),(x -1)f '(x )< 0,若a = f (0),b =f (12),c = f (3), 则a ,b ,c 的大小关系是( ) A .a > b > c B .c > b > a C .b > a > c D .a >c > b8. △ABC 中,角A 、B 、C 的对边分别为a 、b 、c ,若a + b + c = 20,310=∆ABC S ,ο60=A ,则a =( ) A .7B .8C .5D .69.函数f (x )=52cos 22sin 412)cos 1()2cos 1(22+-⋅+-⋅-x x x x ( x ∈R )的最小值为( ) A .31- B .21- C .1 D .510.对于函数f (x )与g (x )和区间I ,如果存在0x I ∈,使00()()1f x g x -<,则称函数f (x )与g (x )在区间I 上“互相接近....”. 那么下列所给的两个函数在区间(0,)+∞上“互相接近....”的是( ) A.()()2f x g x x ==+ B .1()2,()f x x g x x==-C .1(),()x f x e g x x-==-D .()ln ,()f x x g x x ==非选择题部分二、填空题:本大题有7小题,每小题4分,共28分. 11.某中学举行的环保知识竞赛中,将三个年级参赛学生的 成绩进行整理后分成5组,绘制出如图所示的频率分布 直方图, 图中从左到右依次为:第一、 第二、 第三、 第四、第五小组.已知第二小组的频数是40, 则成绩在 80—100分的学生人数是 . 12.设⎩⎨⎧≤-+>=0,1)1(0,cos )(x x f x x x f π,则)34(-f 的值为 . 13.等比数列{}n a 中,公比1q >,且168a a +=,3412a a =, 则20112006a a = . 14.阅读如图所示的程序框图,输出的结果S 的值为 . 15.把函数f (x )的导数记为f '(x ),f '(x )的导数记为f ''(x ), f ''(x )的导数记为f '''(x ),f '''(x )的导数记为f (4)(x ),一般地,f (n )(x )(n ∈N *, n ≥4)的导数记为f(n+1)(x ).10090807060500.040.030.020.01(第11题图)令f (x )=ln(1)x +,易得f '(x )=11x+, f ''(x )=21(1)x -+, f '''(x )=32(1)x +,f (4)(x )=46(1)x -+,f (5)(x )=524(1)x +, 由此归纳:当n ≥4时,f (n )(x )= .16.设x y ∈、R, 1,1a b >>,若2x ya b ==,4a +=,则21x y+的最大值为 . 17.给出以下四个命题:①对任意两个向量a ,b 都有||||||⋅=⋅a b a b ;②若a ,b 是两个不共线的向量,且1AB λ=+u u u r a b ,2AC λ=+u u u ra b ,(λ1,λ2∈R),则A 、B 、C 共线 ⇔ λ1 λ2 =-1;③若向量a =(cos α,sin α),b =(cos β,sin β),则a +b 与a -b 的夹角为90°; ④若向量a ,b 满足||3=a ,||3=b,||=a +b ,则a ,b 的夹角为60°. 以上命题中,错误命题的序号是 .三、解答题:本大题有5小题,共72分. 解答应写出文字说明,证明过程和演算步骤。
2020 学年浙江省杭州市余杭中学高三数学一摸备考试卷理科五一、选择题:本大题共 10 小题,每题 5 分,共 50分 . 在每题列出的四个选项中,只有一项为哪一项切合题目要求的 .1、已知会合 M{ x | x 2 4|,N { x | x 2 2 x 3 0} ,则会合 M N =( ) A . { x | x 2 } B . { x | x 3 } C . { x | 1 x 2 } D . { x | 2 x 3 }2、函数 y(log 1 x ) 2 的定义域是( )2A (0,2 ) B(- ∞, 2 ) C(0,1) D(-∞, 1)3、“ x 3 ”是 x 24 “的(44)A .必需不充足条件B .充足不用要条件C .充足必需条件D .既不充足也不用要条件4、若 f (x) x 3 , f ' (x 0 ) 6 , 则 x 0 的值是(A 、 2B 、 25、复数13 i 等于 ()3 iA . - iB. iC6、数列 1, 12 , 1 , , 1 211 123 3A .nB .2nC . 2) C 、2D 、 1. 3 i D. 3 i 的前 n 项和为 ( )nD .4n 1n 1n(n 1) n(n 1)7、已知函数 yf 1(x) 的图象过点 (1,0) ,则 y f ( 1x 1) 的反函数的图象必定过点()2A . (1,2)B . (2,1) C. (0,2)D. (2,0)8、以下函数既是奇函数,又在[-1 , 1] 上单一递减的是()A f ( x)sin x Bf ( x)| x 1|C f ( x)1(a xa x) D f (x) ln2x22 x9、口袋里放有大小相等的两个红球和一个白球,有放回 ... 地每次摸取一个球,定义数列{ a n } :1 第n 次摸取红球,假如 S n 为数列 { a n } 的前 n 项和,那么 S 7 3 的概率为( )a n第 次摸取白球 1nA. C 75(1)2 ( 2)5B. C 72(2)2(1)5C. C 75(1) 2(1)5D. C 73( 1) 2( 2)53 333333310、 . 已知x 1 x [ 1,0),则以下函数的图象错误的是()f ( x)2 1 x [0,1] ..xy y y y2 2 2 21 1 1 1O 1 2 x -1 O 1 x -1 O 1 x -1 O 1 x. ( -1) 的图象. (-x )的图象. (︱︱ )的图象D. ︱ ( )︱的图象A f xB fC f x f x二、填空题:(共 4 题,每题 4 分,共 16 分)11、y f x 是定义在 R 上的奇函数,且 f 2 0 ,对随意x R ,都有 f x 4 f x f (4) 建立,则 f 200612、lim x2 3x 2.1 x 21的值等于x13、规定记号“△”表示一种运算,即a bab a b, a b R 若 1 k 3 ,则函数 f ( x) k x的值域是14、定义一种运算“”关于正整数知足以下运算性质:(1)2 2006 1;(2)(2 n 2) 2006 3 [(2 n) 2006] , 则2008 2006的值是15.(本小题满分14 分)已知会合 A x | 6 1, x R , B x | x2 2x m 0x 1( 1)当 m 3时,求 A(C R B);( 2)( 2)若AI B x | 1 x 4 ,务实数m的值.16.(本小题满分14 分)已知在△ ABC 中, sinA ( sinB + cosB )- sinC = 0, sinB + cos2C =0 ,求角 A 、 B 、 C 的大小 .17.(本小题满分 14 分)1a n n 为偶 数12,设数列 {a n }的首项 a 1= a ≠,且 a n 14a1n 为奇 数n4记bna2 n 11, n == l , 2, 3, ·.4( I )求 a 2, a 3;( II )判断数列 {b n }能否为等比数列,并证明你的结论;( III )求 lim( b 1 b 2 b 3 Lb n ) .n18.(本小题满分 14 分) 已知 f (x) (1 1)x.2x1 2( 1 ) 函数的定义域; ( 2) 判断函数 f ( x) 的奇偶性;( 3) 求证 f ( x) 0 .19.(本小题满分 14 分)一台仪器每启动一次都随机地出现一个 5 位的二进制数A a1 a2 a3 a4 a5,此中A的各位数字中,a 1 1 , a k (k 2,3, 4,5) 出现0的概率为1 2A=10001,此中,出现 1 的概率为.比如:3 3a1 a5 1,a2 a3 a4 0 .记a1 a2 a3 a4 a5.当启动仪器一次时,(Ⅰ)求 3 的概率;( Ⅱ ) 求的概率散布列及 E20.(本小题满分14 分)已知函数 f ( x) x ln( x m) 在定义域内连续。
2020年浙江杭州西湖区杭州学军中学高三一模数学试卷-学生用卷一、选择题(本大题共10小题,每小题4分,共40分)1、【来源】 2020年浙江杭州西湖区杭州学军中学高三一模第1题4分已知集合A={1,2,4},B={0,2,4},则A∪B=().A. {2,4}B. {0,1,2,4}C. {0,1,2,2,4}D. {x|0⩽x⩽4}2、【来源】 2020年浙江杭州西湖区杭州学军中学高三一模第2题4分双曲线x 24−y29=1的实轴长为().A. 2B. 3C. 4D. 63、【来源】 2020年浙江杭州西湖区杭州学军中学高三一模第3题4分已知圆C:(x−1)2+y2=1,直线l过点(0,1)且倾斜角为θ,则“θ=0”是“直线l与圆C相切”的().A. 充分不必要条件B. 必要不充分条件C. 充要条件D. 既不充分也不必要条件4、【来源】 2020年浙江杭州西湖区杭州学军中学高三一模第4题4分若复数a+3i1+2i(a∈R,i为虚数单位)是纯虚数.则实数a的值为().A. 4B. 3C. 6D. −65、【来源】 2020年浙江杭州西湖区杭州学军中学高三一模第5题4分2020~2021学年10月陕西咸阳武功县高三上学期月考理科第10题5分2019~2020学年陕西西安未央区西安中学高二下学期期末理科第8题5分2019~2020学年9月安徽合肥包河区合肥市第一中学高三上学期月考文科第9题5分2019~2020学年5月重庆沙坪坝区重庆市第一中学高三下学期月考文科第9题5分,则y=f(x)的图象大致为().已知函数f(x)=1x−lnx−1A.B.C.D.6、【来源】 2020年浙江杭州西湖区杭州学军中学高三一模第6题4分设l,m是两条不同的直线,α是一个平面,以下命题正确的是().A. 若l//α,m//α,则l//mB. 若l//α,m ⊥l ,则m ⊥αC. 若l ⊥α,m ⊥l ,则m//αD. 若l ⊥α,m ⊥α,则l//m7、【来源】 2020年浙江杭州西湖区杭州学军中学高三一模第7题4分2019年湖南长沙开福区长沙市第一中学高三一模理科第8题5分2019~2020学年广东深圳南山区深圳市第二高级中学高二上学期段考(三)第9题5分 2020~2021学年辽宁沈阳高二下学期期末(五校协作体)第4题5分2018~2019学年黑龙江哈尔滨南岗区哈尔滨师范大学附属中学高三上学期期中理科第5题5分 《周髀算经》中有这样一个问题:从冬至日起,依次为小寒、大寒、立春、雨水、惊蛰、春分、清明、谷雨、立夏、小满、芒种,这十二个节气其日影长依次成等差数列,冬至、立春、春分日影长之和为31.5尺,前九个节气日影长之和为85.5尺,则芒种日影长为( ).A. 1.5尺B. 2.5尺C. 3.5尺D. 4.5尺8、【来源】 2020年浙江杭州西湖区杭州学军中学高三一模第8题4分设a →, b →,c →为平面向量.|a →|=|b →|=a →⋅b →=2,若(2c →−a →)⋅(c →−b →)=0,则c →⋅b →的最大值是( ).A. √7+√3B. 52+√3C. 174D. 949、【来源】 2020年浙江杭州西湖区杭州学军中学高三一模第9题4分定义在R上的奇函数f(x)满足f(x+2)=f(−x),且当x∈[0,1]时,f(x)=2x−cosx,则下列结论正确的是().A. f(20192)<f(20203)<f(2018)B. f(2018)<f(20203)<f(20192)C. f(2018)<f(20192)<f(20203)D. f(20203)<f(20192)<f(2018)10、【来源】 2020年浙江杭州西湖区杭州学军中学高三一模第10题4分设等差数列{a n}的前n项和为S n,且对任意n∈N∗,都有|S n+2020|⩾|S n|.则下列命题不一定成立的是().A. |S2020|⩽|S2021|B. |S2021|⩽|S2022|C. |a1010|⩽|a1011|D. |a1011|⩽|a1012|二、填空题(本大题共7小题,共36分)11、【来源】 2020年浙江杭州西湖区杭州学军中学高三一模第11题6分已知随机变量X服从二项分布B(n,p),若E(X)=3,D(X)=2,则p=,P(X=1)=.12、【来源】 2020年浙江杭州西湖区杭州学军中学高三一模第12题6分2020~2021学年浙江杭州西湖区杭州师范大学附属中学高二上学期期中第14题6分已知实数x,y满足约束条件{x+y−2⩾0 x−y−2⩽02x−y−2⩾0,则z=x+2y的最小值为;y+1x的取值范围是.13、【来源】 2020年浙江杭州西湖区杭州学军中学高三一模第13题6分若将函数f(x)=x7表示为f(x)=a0+a1(x−1)+a2(x−1)2+⋯+a7(x−1)7,其中a0,a1,a2,⋯,a7为实数,则a3=.a0+a2+a4+a6=.14、【来源】 2020年浙江杭州西湖区杭州学军中学高三一模第14题6分已知a,b,c分别为△ABC三个内角A,B,C的对边,且acosC+√3asinC=b+c,则A=,又若b=2,a=x,△ABC有两解,则实数x的取值范围是.15、【来源】 2020年浙江杭州西湖区杭州学军中学高三一模第15题4分已知抛物线y2=4x,过点A(1,2)作直线l交抛物线于另一点B,Q是线段AB的中点,过Q作与y轴垂直的直线l1.交抛物线于点C,若点P满足QC→=CP→,则|OP|的最小值是.16、【来源】 2020年浙江杭州西湖区杭州学军中学高三一模第16题4分2020~2021学年广东深圳南山区深圳实验学校高二下学期段考(一)第16题5分将5个不同的小球全部放入编号为1,2,3,4的四个盒子中,若每个盒子中所放的球的个数不大于其编号数,则共有种不同的放法.17、【来源】 2020年浙江杭州西湖区杭州学军中学高三一模第17题4分已知三棱锥A−BCD的所有顶点都在球O的球面上,AD⊥平面ABC,AD=2,∠BAC=90°,若球O的表面积为29π,则三棱锥A−BCD的侧面积的最大值为.三、解答题(本大题共5小题,共74分)18、【来源】 2020年浙江杭州西湖区杭州学军中学高三一模第18题14分设函数f(x)=cos(2x+π6)−cos(2x−3π2)+a的最小值是−1.(1) 求a的值及f(x)的对称中心.(2) 将函数f(x)图象的横坐标压缩为原来的一半(纵坐标不变),再向右平移π12个单位,得到g(x)的图象.若g(x)⩾−12,求x的取值范围.19、【来源】 2020年浙江杭州西湖区杭州学军中学高三一模第19题15分如图,在直三棱柱ABC−A1B1C1中,A1B1=A1C1=2,CC1=2√3,∠BAC=120°.O为线段B1C1的中点,P为线段CC1上一动点(异于点C、C1).Q为线段BC上一动点,且QP⊥OP:(1) 求证:平面A1PQ⊥平面A1OP.(2) 若BO//PQ,求直线OP与平面A1PQ所成角的正弦值.20、【来源】 2020年浙江杭州西湖区杭州学军中学高三一模第20题15分已知数列{a n}满足a1=2,a2=10,a n+2=a n+1+2a n,n∈N∗.(1) 证明:数列{a n+a n+1}是等比数列.(2) 求数列{a n}的通项公式.(3) 证明:1a1+1a2+⋯+1a n<34.21、【来源】 2020年浙江杭州西湖区杭州学军中学高三一模第21题15分已知M:x 2a2+y2b2=1(a>b>0)的焦距为2√3,点P(0,2)关于直线y=−x的对称点在椭圆M上.(1) 求椭圆M的方程.(2) 如图,椭圆M的上、下顶点分别为A,B,过点P的直线l与椭圆M相交于两个不同的点C,D.①求△COD面积的取值范围.②当AD与BC相交于点Q时,试问:点Q的纵坐标是否是定值?若是,求出该定值;若不是,说明理由.22、【来源】 2020年浙江杭州西湖区杭州学军中学高三一模第22题15分已知实数a⩾−1,设f(x)=(x+a)lnx,x>0.(1) 若a=−1,有两个不同实数x1,x2满足|f′(x1)|=|f′(x2)|,求证:x1+x2>2.(2) 若存在实数1e <c<4e2,使得|f(x)|=c有四个不同的实数根,求a的取值范围.1 、【答案】 B;2 、【答案】 C;3 、【答案】 A;4 、【答案】 D;5 、【答案】 A;6 、【答案】 D;7 、【答案】 B;8 、【答案】 B;9 、【答案】 C;10 、【答案】 C;11 、【答案】13;256 2187;12 、【答案】2;[12,2);13 、【答案】35;64;14 、【答案】π3;(√3,2);15 、【答案】√22;16 、【答案】535;17 、【答案】5√2+254;18 、【答案】 (1) 0,(−π6+kπ2,0),k∈Z.;(2) x∈[kπ2−π24,7π24+kπ2],k∈Z.;19 、【答案】 (1) 证明见解析.;(2) 2√1919.;20 、【答案】 (1) 证明见解析.;(2) a n=2n+1+2⋅(−1)n.;(3) 证明见解析.;21 、【答案】 (1) x24+y2=1.;(2)①4√1t −4t2∈(0,1].②是,12.;22 、【答案】 (1) 证明见解析.;(2) 0<a<1e2.;。
2020年浙江省杭州市高考数学一模试卷(文科)一、选择题(共8小题,每小题5分,满分40分)1.设集合A={x|x2﹣2x≥0},B={x|﹣1<x<2},则A∩B=()A.{x|0≤x≤2}B.{x|0<x<2}C.{x|﹣1≤x<0}D.{x|﹣1<x≤0}2.若sinx=,则cos2x=()A.﹣ B.C.﹣D.3.某几何体的三视图如图所示(单位:cm),则该几何体的侧面PAB的面积是()A.B.2 C.D.4.命题:“∃x0∈R,x0>sinx0”的否定是()A.∀x∈R,x≤sinx B.∀x∈R,x>sinxC.∃x0∈R,x0<sinx0D.∃x0∈R,x0≤sinx05.设函数f(x)=|lnx|,满足f(a)=f(b)(a≠b),则(注:选项中的e为自然对数的底数)()A.ab=e x B.ab=e C.ab=D.ab=16.设抛物线y=ax2+bx+c(a>0)与x轴有两个交点A,B,顶点为C,设△=b2﹣4ac,∠ACB=θ,则cosθ=()A.B. C.D.7.在Rt△ABC中,∠C是直角,CA=4,CB=3,△ABC的内切圆交CA,CB于点D,E,点P是图中阴影区域内的一点(不包含边界).若=x+y,则x+y的值可以是()A.1 B.2 C.4 D.88.设U为全集,对集合A,B定义运算“*”,A*B=∁U(A∩B),若X,Y,Z为三个集合,则(X*Y)*Z=()A.(X∪Y)∩∁U Z B.(X∩Y)∪∁U Z C.(∁u X∪∁U Y)∩Z D.(∁U X∩∁U Y)∪Z二、填空题(共7小题,每小题4分,满分36分)9.设ln2=a,ln3=b,则e a+e b=.(其中e为自然对数的底数)10.若函数f(x)=,则f(﹣1)=;不等式f(x)<4的解集是.11.设直线l1:mx﹣(m﹣1)y﹣1=0(m∈R),则直线l1恒过定点;若直线l1为圆x2+y2+2y﹣3=0的一条对称轴,则实数m=.12.设实数x,y满足不等式组,若z=2x+y,则z的最大值等于,z的最小值等于.13.如图,△ABC是等腰直角三角形,AB=AC,∠BCD=90°,且,将△ABC 沿BC的边翻折,设点A在平面BCD上的射影为点M,若点M在△BCD内部(含边界),则点M的轨迹的最大长度等于;在翻折过程中,当点M位于线段BD上时,直线AB和CD所成的角的余弦值等于.14.设x,y∈R,x2+2y2+xy=1,则2x+y的最小值等于.15.若点P在曲线C1:上,点Q在曲线C2:(x﹣5)2+y2=1上,点R在曲线C3:(x+5)2+y2=1上,则|PQ|﹣|PR|的最大值是.三、解答题(共5小题,满分74分)16.在△ABC中,A,B,C所对的边分别为a,b,c,,,(1)求C;(2)若,求a,b,c.17.在四棱锥P﹣ABCD中,平面PAD⊥平面ABCD,四边形ABCD为直角梯形,BC∥AD,∠ADC=90°,BC=CD=AD=1,PA=PD,E,F分别为线段AD,PC的中点.(1)求证:PA∥平面BEF;(2)若直线PC与AB所成的角为45°,求线段PE的长.18.设数列{a n}满足a1=,a n+1=a n2+a n+1(n∈N*).(1)证明:≥3;(2)设数列{}的前n项和为S n,证明:S n<3.19.设点A,B分别是x,y轴上的两个动点,AB=1,若.(1)求点C的轨迹Γ;(2)已知直线l:x+4y﹣2=0,过点D(2,2)作直线m交轨迹Γ于不同的两点E,F,交直线l于点K.问+的值是否为定值,请说明理由.20.设函数f(x)=(x﹣1)•|x﹣a|(a∈R).(1)当a=2且x≥0时,关于x的方程f(x)=kx﹣有且仅有三个不同的实根x1,x2,x3,若t=max|x1,x2,x3|,求实数t的取值范围(2)当a∈(﹣1,)时,若关于x的方程f(x)=2x﹣a有且仅有三个不同的实根x1,x2,x3求x1+x2+x3的取值范围.2020年浙江省杭州市高考数学一模试卷(文科)参考答案与试题解析一、选择题(共8小题,每小题5分,满分40分)1.设集合A={x|x2﹣2x≥0},B={x|﹣1<x<2},则A∩B=()A.{x|0≤x≤2}B.{x|0<x<2}C.{x|﹣1≤x<0}D.{x|﹣1<x≤0}【考点】交集及其运算.【分析】求出A中不等式的解集,再由B,求出两集合的交集即可.【解答】解:由A中不等式变形得:x(x﹣2)≥0,解得:x≤0或x≥2,即A={x|x≤0或x≥2},∵B={x|﹣1<x<2},∴A∩B={x|﹣1<x≤0},故选:D.2.若sinx=,则cos2x=()A.﹣ B.C.﹣D.【考点】二倍角的余弦.【分析】由条件利用二倍角的余弦公式,求得cos2x的值.【解答】解:∵sinx=,则cos2x=1﹣2sin2x=1﹣2•=,故选:B.3.某几何体的三视图如图所示(单位:cm),则该几何体的侧面PAB的面积是()A.B.2 C.D.【考点】由三视图求面积、体积.【分析】由三视图可知:该几何体是一个三棱锥,底面是一个正三角形,后面的侧棱与底面垂直.【解答】解:由三视图可知:该几何体是一个三棱锥,底面是一个正三角形,后面的侧棱与底面垂直.∴该几何体的侧面PAB的面积==.故选:D.4.命题:“∃x0∈R,x0>sinx0”的否定是()A.∀x∈R,x≤sinx B.∀x∈R,x>sinxC.∃x0∈R,x0<sinx0D.∃x0∈R,x0≤sinx0【考点】命题的否定.【分析】根据特称命题的否定是全称命题进行判断即可.【解答】解:命题是特称命题,则命题的否定是:∀x∈R,x≤sinx,故选:A5.设函数f(x)=|lnx|,满足f(a)=f(b)(a≠b),则(注:选项中的e为自然对数的底数)()A.ab=e x B.ab=e C.ab=D.ab=1【考点】对数函数的图象与性质.【分析】作出函数f(x)的图象,设a<b,得到0<a<1,b>1,结合对数的运算性质进行求解即可.【解答】解:作出函数f(x)的通项如图,在若f(a)=f(b)(a≠b),则设a<b,则0<a<1,b>1,即|lna|=|lnb|,则﹣lna=lnb,则lna+lnb=lnab=0,即ab=1,故选:D.6.设抛物线y=ax2+bx+c(a>0)与x轴有两个交点A,B,顶点为C,设△=b2﹣4ac,∠ACB=θ,则cosθ=()A.B. C.D.【考点】二次函数的性质.【分析】根据二次函数的性质结合余弦定理求出cosθ的值即可.【解答】解:如图示:,∵|AB|===,∴|AD|=,而|CD|=||=,∴AC2=|AD|2+|CD|2=+=∴cosθ==1﹣=1﹣,=,故选:A.7.在Rt△ABC中,∠C是直角,CA=4,CB=3,△ABC的内切圆交CA,CB于点D,E,点P是图中阴影区域内的一点(不包含边界).若=x+y,则x+y的值可以是()A.1 B.2 C.4 D.8【考点】平面向量的基本定理及其意义.【分析】求出内切圆半径,根据三点共线原理得出x+y分别对于1,2,4,8时P点的轨迹,从而判断出答案.【解答】解:设圆心为O,半径为r,则OD⊥AC,OE⊥BC,∴3﹣r+4﹣r=5,解得r=1.连结DE,则当x+y=1时,P在线段DE上,排除A;在AC上取点M,在CB上取点N,使得CM=2CD,CN=2CE,连结MN,∴=+.则点P在线段MN上时, +=1,故x+y=2.同理,当x+y=4或x+y=8时,P点不在三角形内部.排除C,D.故选:B.8.设U为全集,对集合A,B定义运算“*”,A*B=∁U(A∩B),若X,Y,Z为三个集合,则(X*Y)*Z=()A.(X∪Y)∩∁U Z B.(X∩Y)∪∁U Z C.(∁u X∪∁U Y)∩Z D.(∁U X∩∁U Y)∪Z【考点】集合的包含关系判断及应用.【分析】利用X*Y=∁U(X∩Y),得到对于任意集合X、Y、Z,(X*Y )*Z=∁U(X∩Y)*Z=∁U{[∁U(X∩Y)]∩Z},整理即可得到答案.【解答】解:∵X*Y=∁U(X∩Y),∴对于任意集合X,Y,Z,(X*Y )*Z=∁U(X∩Y)*Z=∁U[∁U(X∩Y)∩Z]=(X∩Y)∪∁U Z故选:B.二、填空题(共7小题,每小题4分,满分36分)9.设ln2=a,ln3=b,则e a+e b=5.(其中e为自然对数的底数)【考点】对数的运算性质.【分析】直接利用导数的运算法则化简求解即可.【解答】解:ln2=a,ln3=b,则e a+e b=e ln2+e ln3=2+3=5.故答案为:5.10.若函数f(x)=,则f(﹣1)=1;不等式f(x)<4的解集是(﹣4,).【考点】其他不等式的解法;分段函数的应用.【分析】代值计算即可,根据分段函数得到则或,解得即可.【解答】解:函数f(x)=,则f(﹣1)=﹣(﹣1)=1,不等式f(x)<4,则或,解得0<x<或﹣4<x≤0,故不等式的解集为(﹣4,),故答案为:1,(﹣4,).11.设直线l1:mx﹣(m﹣1)y﹣1=0(m∈R),则直线l1恒过定点(1,1);若直线l1为圆x2+y2+2y﹣3=0的一条对称轴,则实数m=2.【考点】直线与圆的位置关系;恒过定点的直线.【分析】直线l1转化为(x﹣y)m+y﹣1=0,令m的系数为0,能求出直线l1恒过定点(1,1).由已知得直线l1:mx﹣(m﹣1)y﹣1=0(m∈R)经过圆x2+y2+2y﹣3=0的圆心(0,﹣1),由此能求出m.【解答】解:∵直线l1:mx﹣(m﹣1)y﹣1=0(m∈R),∴(x﹣y)m+y﹣1=0,由,解得x=1,y=1,∴直线l1恒过定点(1,1).∵直线l1:mx﹣(m﹣1)y﹣1=0(m∈R)为圆x2+y2+2y﹣3=0的一条对称轴,∴直线l1:mx﹣(m﹣1)y﹣1=0(m∈R)经过圆x2+y2+2y﹣3=0的圆心(0,﹣1),∴m×0﹣(m﹣1)×(﹣1)﹣1=0,解得m=2.故答案为:(1,1),2.12.设实数x,y满足不等式组,若z=2x+y,则z的最大值等于2,z的最小值等于0.【考点】简单线性规划.【分析】由约束条件作出可行域,化目标函数为直线方程的斜截式,数形结合得到最优解,把最优解的坐标代入目标函数得答案.【解答】解:由约束条件作出可行域如图,化z=2x+y为y=﹣2x+z,由图可知,当直线y=﹣2x+z过O时,直线在y轴上的截距最小,z有最小值为0;当直线过A(1,0)时,直线在y轴上的截距最大,z有最大值为2.故答案为:2,0.13.如图,△ABC是等腰直角三角形,AB=AC,∠BCD=90°,且,将△ABC 沿BC的边翻折,设点A在平面BCD上的射影为点M,若点M在△BCD内部(含边界),则点M的轨迹的最大长度等于;在翻折过程中,当点M位于线段BD上时,直线AB和CD所成的角的余弦值等于.【考点】异面直线及其所成的角;轨迹方程.【分析】点A的射影M的轨迹为CD的中位线,可得其长度;当点M位于线段BD上时,取BC中点为N,AC中点为P,可得∠MNP或其补角即为直线AB和CD所成的角,由已知数据和余弦定理可得.【解答】解:由题意可得点A的射影M的轨迹为CD的中位线,其长度为CD=;当点M位于线段BD上时,AM⊥平面ACD,取BC中点为N,AC中点为P,∴∠MNP或其补角即为直线AB和CD所成的角,则由中位线可得MN=CD=,PC=AB=,又MP为RT△AMC斜边AC的中线,故MP=AC=,∴在△MNP中,由余弦定理可得cos∠MNP==,故答案为:;.14.设x,y∈R,x2+2y2+xy=1,则2x+y的最小值等于﹣2.【考点】基本不等式.【分析】令2x+y=t,代入整理可得7x2﹣7tx+2t2﹣1=0,由△≥0可解得t的范围,可得答案.【解答】解:令2x+y=t,则y=t﹣2x,∵x2+2y2+xy=1,∴x2+2(t﹣2x)2+x(t﹣2x)=1,整理可得7x2﹣7tx+2t2﹣1=0,由△=49t2﹣4×7×(2t2﹣1)≥0可解得﹣2≤t≤2,故2x+y的最小值为﹣2,故答案为:﹣2.15.若点P在曲线C1:上,点Q在曲线C2:(x﹣5)2+y2=1上,点R在曲线C3:(x+5)2+y2=1上,则|PQ|﹣|PR|的最大值是10.【考点】圆与圆锥曲线的综合.【分析】先由已知条件知道双曲线的两个焦点为两个圆的圆心,再把|PQ|﹣|PR|的最大值转化为求|PQ|max﹣|PR|min,即可求得结论.【解答】解:曲线C1:的两个焦点分别是F1(﹣5,0)与F2(5,0),|PF1|﹣|PF2|=8则这两点正好是两圆(x+5)2+y2=1和(x﹣5)2+y2=1的圆心,两圆(x+5)2+y2=4和(x﹣5)2+y2=1的半径分别是r1=1,r2=1,∴|PQ|max=|PF1|+1,|PR|min=|PF2|﹣1,∴|PQ|﹣|PR|的最大值=(|PF1|+1)﹣(|PF2|﹣1)=8+2=10,故答案为:10三、解答题(共5小题,满分74分)16.在△ABC中,A,B,C所对的边分别为a,b,c,,,(1)求C;(2)若,求a,b,c.【考点】正弦定理;平面向量数量积的运算.【分析】(1)先利用正弦定理把题设条件中的边转化成角的正弦,进而利用两角和的公式化简整理求的cotC的值,进而求得C.(2)根据求得ab的值,进而利用题设中和正弦定理联立方程组,求得a,b和c.【解答】解:(1)由得则有=得cotC=1即、(2)由推出;而,即得,则有解得.17.在四棱锥P﹣ABCD中,平面PAD⊥平面ABCD,四边形ABCD为直角梯形,BC∥AD,∠ADC=90°,BC=CD=AD=1,PA=PD,E,F分别为线段AD,PC的中点.(1)求证:PA∥平面BEF;(2)若直线PC与AB所成的角为45°,求线段PE的长.【考点】异面直线及其所成的角;直线与平面平行的判定.【分析】(1)以E为原点,EA为x轴,EB为y轴,EP为z轴,建立空间直角坐标系,利用向量法能证明直线PA∥平面BEF.(2)由=(﹣1,1,t),=(﹣1,1,0),直线PC与AB所成的角为45°,利用向量法能求出PE.【解答】证明:(1)∵在四棱锥P﹣ABCD中,平面PAD⊥平面ABCD,四边形ABCD为直角梯形,BC∥AD,∠ADC=90°,BC=CD=AD=1,PA=PD,E,F分别为线段AD,PC的中点,∴PE⊥平面ABCD,BE⊥AE,以E为原点,EA为x轴,EB为y轴,EP为z轴,建立空间直角坐标系,A(1,0,0),E(0,0,0),B(0,1,0),C(﹣1,1,0),设P(0,0,t),则F(﹣,,),=(1,0,﹣t),=(﹣),=(0,1,0),设平面BEF的法向量=(x,y,z),则,取x=t,得=(t,0,1),∵•=t﹣t=0,且PA⊄平面BEF,∴直线PA∥平面BEF.解:=(﹣1,1,t),=(﹣1,1,0),∵直线PC与AB所成的角为45°,∴cos45°==,解得t=,或t=﹣(舍),∴PE=t=.18.设数列{a n}满足a1=,a n+1=a n2+a n+1(n∈N*).(1)证明:≥3;(2)设数列{}的前n项和为S n,证明:S n<3.【考点】数列的求和;数列递推式.【分析】(1)数列{a n}满足a1=,a n+1=a n2+a n+1(n∈N*).可得a n>0,变形=a n++1,利用基本不等式的性质即可证明;(2)由(1)可得a n a n+1.可得.可得当n≥2时,≤≤…≤=2.即可证明.【解答】证明:(1)∵数列{a n}满足a1=,a n+1=a n2+a n+1(n∈N*).∴a n>0,∴=a n++1≥+1=3,当且仅当a n=1时取等号,∴≥3.(2)由(1)可得a n a n+1.∴.∴当n≥2时,≤≤…≤=2.∴S n≤2=2×=3.∵a n≠1,∴S n<3.19.设点A,B分别是x,y轴上的两个动点,AB=1,若.(1)求点C的轨迹Γ;(2)已知直线l:x+4y﹣2=0,过点D(2,2)作直线m交轨迹Γ于不同的两点E,F,交直线l于点K.问+的值是否为定值,请说明理由.【考点】轨迹方程.【分析】(1)由题意可设出A(m,0),B(0,n),可得m2+n2=1,再设C(x,y),由向量等式把m,n用含有x,y的代数式表示,代入m2+n2=1可得点C的轨迹Г;(2)分别设出E,F,K的横坐标分别为:x E,x F,x K,设直线m的方程:y﹣2=k(x﹣2),与直线l:x+4y﹣2=0联立可得x K,联立直线方程与椭圆m的方程,利用根与系数的关系得到x E+x F,x E x F,求得+的值为定值2得答案.【解答】解:(1)设A(m,0),B(0,n),则m2+n2=1,设C(x,y),由,得(m,﹣n)=(x﹣m,y),∴,得m=,y=﹣n,代入m2+n2=1,得=1;(2)设E,F,K的横坐标分别为:x E,x F,x K,设直线m的方程:y﹣2=k(x﹣2),与直线l:x+4y﹣2=0联立可得x K=,将直线m代入椭圆方程得:(1+4k2)x2+8k(﹣2k+2)x+16k2﹣32k+12=0,∴x E+x F=,x E x F=,∴+=+==2为定值.20.设函数f(x)=(x﹣1)•|x﹣a|(a∈R).(1)当a=2且x≥0时,关于x的方程f(x)=kx﹣有且仅有三个不同的实根x1,x2,x3,若t=max|x1,x2,x3|,求实数t的取值范围(2)当a∈(﹣1,)时,若关于x的方程f(x)=2x﹣a有且仅有三个不同的实根x1,x2,x3求x1+x2+x3的取值范围.【考点】根的存在性及根的个数判断.【分析】(1)当a=2时,作函数f(x)=(x﹣1)•|x﹣a|的图象,从而确定临界状态时的值,从而解得;(2)分类讨论,当x≤a时,f(x)=(x﹣1)(a﹣x)=2x﹣a,从而可得x1=,当x>a时,f(x)=(x﹣1)(x﹣a)=2x﹣a,从而可得x2+x3=a+3,从而可得x1+x2+x3=+a+3=,再令g(x)=3x+5﹣,求导g′(x)=3﹣>0,从而可得1﹣<<,从而解得.【解答】解:(1)当a=2时,作函数f(x)=(x﹣1)•|x﹣a|的图象如下,相切时取到一个临界状态,f(x)=(x﹣1)(2﹣x),f′(x)=3﹣2x,故3﹣2x=,解得,x=﹣(舍去)或x=,故k=3﹣=,由解得,x=或x=,∵t=max{x1,x2,x3},∴结合图象可得,2<t<;(2)当x≤a时,f(x)=(x﹣1)(a﹣x)=2x﹣a,化简可得,x2﹣(a﹣1)x+a=0,△=(a﹣1)2﹣2a=a2﹣4a+1=(a﹣2)2﹣3,∵a∈(﹣1,),∴△>0;∴x1=或x2=(舍去),当x>a时,f(x)=(x﹣1)(x﹣a)=2x﹣a,化简可得,x2﹣(a+3)x+a=0,故△=(a+3)2﹣6a=a2+9>0,故x2+x3=a+3,故x1+x2+x3=+a+3=,令g(x)=3x+5﹣,g′(x)=3﹣>0,故g(x)在(﹣1,)上单调递增;故<<,即1﹣<<,故x1+x2+x3的取值范围为(1﹣,).2020年8月1日。
浙江省杭州市2019-2020学年第一次高考模拟考试数学试卷一、选择题:本题共12小题,每小题5分,共60分。
在每小题给出的四个选项中,只有一项是符合题目要求的。
1.一个正三角形的三个顶点都在双曲线221x ay +=的右支上,且其中一个顶点在双曲线的右顶点,则实数a 的取值范围是( ) A .()3,+∞ B.)+∞C.(,-∞D .(),3-∞-【答案】D 【解析】 【分析】因为双曲线分左右支,所以0a <,根据双曲线和正三角形的对称性可知:第一象限的顶点坐标为(1t +,)(0)t >,将其代入双曲线可解得. 【详解】因为双曲线分左右支,所以0a <,根据双曲线和正三角形的对称性可知:第一象限的顶点坐标为(1t +)(0)t >,将其代入双曲线方程得:22(1))1t a ++=, 即2113t a -=+,由0t >得3a <-.故选:D . 【点睛】本题考查了双曲线的性质,意在考查学生对这些知识的理解掌握水平.2.若[]1,6a ∈,则函数2x ay x+=在区间[)2,+∞内单调递增的概率是( )A .45 B .35 C .25 D .15【答案】B【解析】Q 函数2x ay x+=在区间[)2,+∞内单调递增, 222'10a x a y x x -∴=-=≥,在[)2,+∞恒成立,2a x ∴≤在[)2,+∞恒成立, 4a ∴≤, [][]1,6,1,4,a a ∈∴∈∴Q 函数2x ay x+=在区间[)2,+∞内单调递增的概率是413615-=-,故选B. 3.将函数22cos 128x y π⎛⎫=+-⎪⎝⎭的图像向左平移()0m m >个单位长度后,得到的图像关于坐标原点对称,则m 的最小值为( ) A .3π B .4π C .2π D .π【答案】B 【解析】 【分析】由余弦的二倍角公式化简函数为cos 4y x π⎛⎫=+⎪⎝⎭,要想在括号内构造2π变为正弦函数,至少需要向左平移4π个单位长度,即为答案. 【详解】由题可知,22cos 1cos 2cos 28284x x y x πππ⎡⎤⎛⎫⎛⎫⎛⎫=+-=+=+⎪ ⎪ ⎪⎢⎥⎝⎭⎝⎭⎝⎭⎣⎦对其向左平移4π个单位长度后,cos cos sin 442y x x x πππ⎛⎫⎛⎫=++=+=- ⎪ ⎪⎝⎭⎝⎭,其图像关于坐标原点对称故m 的最小值为4π故选:B 【点睛】本题考查三角函数图象性质与平移变换,还考查了余弦的二倍角公式逆运用,属于简单题.4.已知定点,A B 都在平面α内,定点,,P PB C αα∉⊥是α内异于,A B 的动点,且PC AC ⊥,那么动点C 在平面α内的轨迹是( ) A .圆,但要去掉两个点 B .椭圆,但要去掉两个点 C .双曲线,但要去掉两个点 D .抛物线,但要去掉两个点【答案】A 【解析】 【分析】根据题意可得AC BC ⊥,即知C 在以AB 为直径的圆上. 【详解】PB α⊥Q ,AC α⊂,PB AC ∴⊥,又PC AC ⊥,PB PC P ⋂=,AC ∴⊥平面PBC ,又BC ⊂平面PBCAC BC ∴⊥,故C 在以AB 为直径的圆上, 又C 是α内异于,A B 的动点,所以C 的轨迹是圆,但要去掉两个点A,B 故选:A 【点睛】本题主要考查了线面垂直、线线垂直的判定,圆的性质,轨迹问题,属于中档题.5.设函数()()ln 1f x x =-的定义域为D ,命题p :x D ∀∈,()f x x ≤的否定是( ) A .x D ∀∈,()f x x > B .0x D ∃∈,()00f x x ≤ C .x D ∀∉,()f x x > D .0x D ∃∈,()00f x x >【答案】D 【解析】 【分析】根据命题的否定的定义,全称命题的否定是特称命题求解. 【详解】因为p :x D ∀∈,()f x x ≤是全称命题, 所以其否定是特称命题,即0x D ∃∈,()00f x x >. 故选:D 【点睛】本题主要考查命题的否定,还考查了理解辨析的能力,属于基础题.6.二项式52x ⎫-⎪⎭的展开式中,常数项为( )A .80-B .80C .160-D .160【答案】A 【解析】 【分析】求出二项式52x ⎫-⎪⎭的展开式的通式,再令x 的次数为零,可得结果.【详解】解:二项式52x ⎫-⎪⎭展开式的通式为()()55225215512rrr rrr rrr T C x C x---+-+=-=-,令5202rr --+=,解得1r =, 则常数项为()11451280C -=-.故选:A. 【点睛】本题考查二项式定理指定项的求解,关键是熟练应用二项展开式的通式,是基础题.7.已知等比数列{}n a 的前n 项和为n S ,且满足122n n S λ+=+,则λ的值是( )A .4B .2C .2-D .4-【答案】C 【解析】 【分析】利用n S 先求出n a ,然后计算出结果. 【详解】根据题意,当1n =时,11224S a λ==+,142a λ+∴=, 故当2n ≥时,112n n n n a S S --=-=,Q 数列{}n a 是等比数列,则11a =,故412λ+=, 解得2λ=-, 故选C . 【点睛】本题主要考查了等比数列前n 项和n S 的表达形式,只要求出数列中的项即可得到结果,较为基础. 8.阅读下面的程序框图,运行相应的程序,程序运行输出的结果是( )A .1.1B .1C .2.9D .2.8【答案】C根据程序框图的模拟过程,写出每执行一次的运行结果,属于基础题. 【详解】初始值0n =,1S =第一次循环:1n =,11122S =⨯=; 第二次循环:2n =,121233S =⨯=;第三次循环:3n =,131344S =⨯=;第四次循环:4n =,141455S =⨯=;第五次循环:5n =,151566S =⨯=;第六次循环:6n =,161677S =⨯=;第七次循环:7n =,171788S =⨯=;第九次循环:8n =,181899S =⨯=;第十次循环:9n =,1910.191010S =⨯=≤; 所以输出190.910S =⨯=. 故选:C 【点睛】本题考查了循环结构的程序框图的读取以及运行结果,属于基础题. 9.已知2π()12cos ()(0)3f x x ωω=-+>.给出下列判断: ①若12()1,()1f x f x ==-,且12minπx x -=,则2ω=;②存在(0,2)ω∈使得()f x 的图象向右平移6π个单位长度后得到的图象关于y 轴对称; ③若()f x 在[]0,2π上恰有7个零点,则ω的取值范围为4147,2424⎡⎫⎪⎢⎭⎣; ④若()f x 在ππ,64⎡⎤-⎢⎥⎣⎦上单调递增,则ω的取值范围为20,3⎛⎤ ⎥⎝⎦.其中,判断正确的个数为( ) A .1 B .2C .3D .4【答案】B对函数()f x 化简可得π()sin(2)6f x x ω=+,进而结合三角函数的最值、周期性、单调性、零点、对称性及平移变换,对四个命题逐个分析,可选出答案. 【详解】因为2π2ππ()12cos ()cos(2)sin(2)336f x x x x ωωω=-+=-+=+,所以周期2ππ2T ωω==. 对于①,因为12min 1π2x x T -==,所以ππ2T ω==,即12ω=,故①错误;对于②,函数()f x 的图象向右平移6π个单位长度后得到的函数为ππsin(2)36y x ωω=-+,其图象关于y 轴对称,则ππππ()362k k ω-+=+∈Z ,解得13()k k ω=--∈Z ,故对任意整数k ,(0,2)ω∉,所以②错误;对于③,令π()sin(2)06f x x ω=+=,可得π2π6x k ω+=()k ∈Z ,则ππ212k x ωω=-, 因为π(0)sin 06f =>,所以()f x 在[]0,2π上第1个零点1>0x ,且1ππ212x ωω=-,所以第7个零点7ππππ3π41π321221212x T ωωωωωω=-+=-+=,若存在第8个零点8x ,则8ππ7ππ7π47π2122212212x T ωωωωωω=-+=-+=,所以782πx x ≤<,即2π41π47π1212ωω≤<,解得41472424ω≤<,故③正确; 对于④,因为π(0)sin 6f =,且ππ0,64⎡⎤∈-⎢⎥⎣⎦,所以πππ2662πππ2462ωω⎧⎛⎫-+≥- ⎪⎪⎪⎝⎭⎨⎪⨯+≤⎪⎩,解得23ω≤,又0>ω,所以203ω<≤,故④正确. 故选:B. 【点睛】本题考查三角函数的恒等变换,考查三角函数的平移变换、最值、周期性、单调性、零点、对称性,考查学生的计算求解能力与推理能力,属于中档题.10.我们熟悉的卡通形象“哆啦A 梦”.在东方文化中通常称这个比例为“白银比例”,该比例在设计和建筑领域有着广泛的应用.已知某电波塔自下而上依次建有第一展望台和第二展望台,塔顶到塔底的高度与第二展望台到塔底的高度之比,第二展望台到塔底的高度与第一展望台到塔底的高度之比皆等于“白银比例”,若两展望台间高度差为100米,则下列选项中与该塔的实际高度最接近的是( ) A .400米 B .480米 C .520米D .600米【分析】根据题意,画出几何关系,结合各线段比例可先求得第一展望台和第二展望台的距离,进而由比例即可求得该塔的实际高度. 【详解】设第一展望台到塔底的高度为x 米,塔的实际高度为y 米,几何关系如下图所示:由题意可得1002xx +=,解得()10021x =+;且满足2100yx =+, 故解得塔高()()100220021480y x =+=+≈米,即塔高约为480米.故选:B 【点睛】本题考查了对中国文化的理解与简单应用,属于基础题.11.等腰直角三角形BCD 与等边三角形ABD 中,90C ∠=︒,6BD =,现将ABD △沿BD 折起,则当直线AD 与平面BCD 所成角为45︒时,直线AC 与平面ABD 所成角的正弦值为( )A 3B .2 C 3D 23【答案】A 【解析】 【分析】设E 为BD 中点,连接AE 、CE ,过A 作AO CE ⊥于点O ,连接DO ,得到ADO ∠即为直线AD 与平面BCD 所成角的平面角,根据题中条件求得相应的量,分析得到CAE ∠即为直线AC 与平面ABD 所成角,进而求得其正弦值,得到结果. 【详解】设E 为BD 中点,连接AE 、CE ,由题可知AE BD ⊥,CE BD ⊥,所以BD ⊥平面AEC , 过A 作AO CE ⊥于点O ,连接DO ,则AO ⊥平面BDC , 所以ADO ∠即为直线AD 与平面BCD 所成角的平面角,所以sin AOADO AD∠==,可得AO = 在AOE △中可得3OE =, 又132OC BD ==,即点O 与点C 重合,此时有AC ⊥平面BCD , 过C 作CF AE ⊥与点F ,又BD AEC ⊥平面,所以BD CF ⊥,所以CF ⊥平面ABD ,从而角CAE ∠即为直线AC 与平面ABD 所成角,sin3CE CAE AE ∠===, 故选:A. 【点睛】该题考查的是有关平面图形翻折问题,涉及到的知识点有线面角的正弦值的求解,在解题的过程中,注意空间角的平面角的定义,属于中档题目.12.设等差数列{}n a 的前n 项和为n S ,若31425a a a =+=,,则6S =( ) A .10 B .9C .8D .7【答案】B 【解析】 【分析】 根据题意3141152223a a a a d a d =+=+=+=,,解得14a =,1d =-,得到答案.【详解】3141152223a a a a d a d =+=+=+=,,解得14a =,1d =-,故616159S a d =+=.故选:B . 【点睛】本题考查了等差数列的求和,意在考查学生的计算能力. 二、填空题:本题共4小题,每小题5分,共20分。
2020年浙江省杭州市高三数学理科第一次教学质量检测试卷本卷满分150分, 考试时间120分钟.参考公式如果事件B A ,互斥,那么)()()(B P A P B A P +=+; 如果事件B A ,相互独立,那么 )()()(B P A P B A P ⋅=⋅;如果事件A 在一次试验中发生的概率是P ,那么n 次独立重复试验中恰好发生k 次的概率k n k k n n P P C k P --=)1()(.一. 选择题 : 本大题共10小题, 每小题5分, 共50分. 在每小题给出的四个选项中, 只有一项是符合题目要求的 .1. 已知集合A ={ x | x <5},B ={ x | x > 4 }, 则有 ( )(A) 2∈A∩B (B) 2∈A∪B (C) 2⊆A∩B (D) 2⊆A∪B 2. 下列各图象表示的函数中,不存在反函数的是( )3.200件产品中有197件合格品,3件次品,现从中任意抽出5件,其中至少有2件次品的抽法有( )(A )319723C C +219733C C 种 (B )319723C C 种(C )51975200C C -种(D )4197135200C C C -4. 一个电路上装有甲、乙两根熔丝,甲熔断的概率为0.85,乙熔断的概率为0.74,甲、乙两根熔丝熔断相互独立,则至少有一根熔断的概率为( )(A )0.15×0.26=0.039 (B )1-0.15×0.26=0.961 (C )0.85×0.74=0.629 (D )1-0.85×0.74=0.3715已知| a | = 3, | b | = 4, (a + b )·( a +3 b ) = 33, 则a 与b 的夹角θ为 ( ) (A) ο30 (B) ο60 (C) ο120 (D) ο1506. 若z = 21+23i , 且 ( x – z ) 4 = a 0x 4 + a 1x 3 + a 2x 2 + a 3x +a 4 , 则 a 2 等于( )(A) –21+23i (B) – 3 + 3i (C) 21+23i (D) – 3 –3i7. 已知三个不等式:ab bc ad c a db>->->000,,(其中a ,b ,c ,d 均为实数),用其中两个不等式作为条件,余下的一个不等式作为结论组成一个命题,可组成的正确命题的个数是( )(A) 0 (B) 1 (C) 2 (D) 3(B ) (C ) (D )8. 定义在R 上的偶函数)(x f 满足)2()(+=x f x f ,当x ∈[3,4]时,2)(-=x x f ,则有 ( )(A) )(cos )(sin 2121f f < (B) )(cos )(sin 33ππf f > (C) )1(cos )1(sin f f < (D) )(cos )(sin 2323f f >9. 已知曲线2x y =在点P 处切线与直线013=+-y x 的夹角为450,那么点P 坐标为( )(A)(– 1,1)(B))41,21(),161,41(-(C))161,41(- (D))161,41(),1,1(-10. 已知z ,y ,x 满足方程2)2z ()2y (x 222=++-+,则222z y x ++的最大值是( )(A) 23 (B) 23 (C) 42 (D) 2 .二.填空题: 本大题有4小题, 每小题4分, 共16分. 把答案填在答题卷的相应位置. 11.把函数f (x) = lg(1– x) 的图象按向量a = (–1 ,0 )平移, 所得图象的函数解析式是= .12. 在△ABC 中, |→--AB | = 2, |→--AC | = 3 , |→--BC | =10 , 则cosA= .13. 若数列}{n a 的通项公式2])1(1[3n n n a -+=-,(n∈N *),则该数列的前n 项和S n= 。
2020年浙江杭州高三一模数学试卷一、选择题(本大题共10小题,每小题4分,共40分)1.已知集合,,则( ).A. B. C. D.2.若双曲线的离心率为,则其渐近线方程为( ).A.B.C.D.3.若实数,满足约束条件,则的最大值是( ).A.B.C.D.4.某几何体的三视图如图所示(单位:),则该几何体的表面积(单位:)是( ).正视图俯视图俯视图A.B.C.5.在同一平面直角坐标系中,函数,(且)的图象可能是( ).A.B.C.D.6.“”是“关于的不等式有解”的( ).A.充分不必要条件B.必要不充分条件C.充分必要条件D.既不充分也不必要条件7.在四面体中,,,,,点为线段上动点(包含端点),设直线与所成角为,则的取值范围为( ).B.C.D.8.设椭圆的两个焦点是,,过点的直线与椭圆交于点,,若,且,则椭圆的离心率为( ).A.B.C.D.9.已知数列,满足,,则使成立的最小正整数为().A.B.C.D.10.设函数,若存在,使得,则的取值范围为().A.B.C.D.二、填空题(本大题共7小题,共36分)11.设复数满足,则 , .12.过点作圆的两条切线,切点分别为,,则 ,直线的方程为 .13.已知等比数列中,,,则,.14.已知函数,,则的最小正周期为 ,单调递增区间为 .15.设为坐标原点,是以为焦点的抛物线上任意一点,是线段上的点,且,则直线的斜率的最大值为 .16.已知,与所成角为,点满足,若,则的最大值为 .17.当时,不等式恒成立,则的取值范围是 .三、解答题(本大题共5小题,共74分)(1)(2)18.已知的内角,,的对边分别为,,,且的面积为.求.若,,求角的大小及的周长.(1)(2)19.如图,已知三棱锥,平面平面,,.证明:.设点为中点,求直线与平面所成角的正弦值.【答案】解析:因为,,所以,故,错误;则,故错误.故选.解析:由题可知,焦点落在轴,,(1)(2)20.已知各项均为正数的数的前项和为,且.求数列的前项和.求证:.(1)(2)21.已知抛物线上的两个动点和,焦点为.线段的中点为,且点,到抛物线的焦点的距离之和为.求抛物线的标准方程.若线段的垂直平分线与轴交于点,求面积的最大值.(1)(2)22.已知函数.当时,设,为的两个不同极值点,证明:.设,为的两个不同零点,证明:.C1.B2.又,所以,即,所以,所以渐近线方程.故选.解析:作出,满足约束条件的平面区域,如下图所示:由得,由图象可知,当直线经过点时,直线的截距最大,此时最大,由得,此时最大值为.故选:.解析:由三视图可知,该几何体是由一个球体和一个正四棱合组成.由图可知球的半径,则,而正四棱合的高是,侧面的上底长为,下底长为,则侧面的斜高,所以,所以C 3.D 4.球正四棱合上下侧总球正四棱合.故选.解析:当时,在第一象限成增函数,且图象是凹增的,而呈减函数.且过定点,只有选项符合;当时,在是增函数且图象是凸,而在部分单调递增,且过定点.没有选项符合,故选.解析:关于的绝对值不等式有解,∴的最小值,又∵表示数轴上的点到和的距离之和,∴的最小值是,则,∵是集合的真子集,∴“”是“关于的不等式有解”的充分不必要条件.故选.解析:如图所示,因为,,所以在等腰中,,且,又,,也是直角三角形,又,A 5.A 6.D 7.所以在中,,,构成一组勾股数,所以,设,,作为空间一组基底,则,且,则,∴,,又,∴且,∴,所以与所成角的范围为.故选.解析:设椭圆,,,则,又,不妨设,,由椭圆定义可得,即即①,B 8.又,取,又∵,∴,∴,即,化简得:②,结合①②可得,,所以椭圆离心率.故选:.解析:由可得,即,两边取对数得,即,令,可得,∴是等比数列,又,∴,又,∴,要使成立,即,C 9.即,又随增大而增大,当时,,则,当时,,当时,,即成立最小整数为.故选:.解析:存在,使得,可得,下面证明,又随增大而增大,所以假设,则,不满足,同理,不满足,∴,又∵,那么函数,即在有解,∴即,,令,则,令,即可得或(舍),当时,,所以在单调递减,当时,,当时,,∴,B 10.则.故选.解析:由题意可得,则.解析:由题可得圆心,半径,所以,∴,因为过点作圆的两条切线,切点分别是,,则,则以点为圆心,以为半径的圆的方程是,与圆②两式相减得直线方程为.解析:等比数列中,,,所以,则,∴,则.故答案为:;.解析:;11. ;12. ;13.;14.,故最小正周期,令,则,故单调增区间是.15.解析:由题意可得,,显然当时,,当时,,要求的最大值,则设,则, 可得,当且仅当,即时取得等号,故直线的斜率的最大值是.故答案为:.解析:由题可知,设以点为坐标圆心,以为轴建立平面直角坐标系,如图所示,图因为,,则,,,设点为,满足,则,,∴,则有,又,则,即,设,即可看成求的最大值,可化为求目标函数在可行域的最大值,如图所示,图当,这条直线与圆在下面相切时,有最大值(因为,当直线在左下方时与可行域相切时,最大).所以圆心到直线距离等于半径时,有最大值和最小值.所以,即,解得,.17.解析:方法一:因为恒成立,等价于恒成立,且,所以有,,又因为,所以.方法二:,令,,更换主元:将看作,看作,即,,,画出可行区域如图:在处取得最大值,处取得最小值,,,(1)(2)综上,的取值范围为.方法三:当时,不等式恒成立,即,令,则,得单调递减,单调递增,,,:当时,,即,:当时,,,可得:,:当时,,,可得:,综上所述:.解析:由三角形的面积公式可得,∴,由正弦定理可得,∵,∴.∵,∴,∴,∴,∵,∴,∵,(1).(2),.18.(1)(2)∴,∴,∵,∴,∴,∴,∴周长.解析:在中,,,所以,在中,,,所以,已知平面平面,且平面平面,所以平面,而平面,所以.过点向的延长线做垂线,设垂足为点,连结,(1)证明见解析.(2).19.(1)因为,所以平面,而平面,所以平面平面,平面平面,过点做于点,则平面,连结,即为所求,在中,,,,所以,在直角三角形中,,,,所以.与平面所成角的正弦值.解析:当时,由得,(1).(2)证明见解析.20.(2)(1)(2)当时,由得,所以数列为以为首项为公差的等差数列,故有,,所以,.由()知,而,所以有,,故有.解析:由题意知,,∴,抛物线的标准方程为.设直线,由,得,∴,∴,即,即,∴,的中垂线方程为:,即,得点的坐标为,直线,点到直线的距离,(1).(2).21.(1)(2)∴,令,则,令,∴,令∴,则,故在单调递增,单调递减,即时,.解析:当时,,∴,∵,为的两个不同极值点,∴,为方程的两不等正根,∴,,且由韦达定理,,证毕.要证明,即,下面分别证明和,两式相加即得结论,(ⅰ)先证明,令,即证,令函数,则,∴在单调递增,在单调递减,∴,证毕;(1)证明见解析.(2)证明见解析.22.(ⅱ)再证明,即,∵,为的两个不同零点,不妨设,∴①,②,∴①②可得,两边同时乘以可得,即=,令,则,∴即证,即,即证,令函数,则,∴在单调递增,∴,证毕.。
杭州市2019-2020学年高三上学期期末教学质量检测数学试题一、选择题:每小题4分,共40分1. 设集合{}2A x x =>,()(){}130B x x x =--<,则A B =( )A .{}1x x >B .{}23x x <<C .{}13x x <<D .{}21x x x ><或2. 双曲线2214x y -=的离心率等于( )A .52B .5C .32D .33. 已知非零向量a ,b ,则“0⋅>a b ”是“向量a ,b 夹角为锐角”的( ) A .充分不必要条件 B .必要不充分条件 C .充分必要条件 D .既不充分也不必要条件4. 若实数x ,y 满足不等式组010x y x x y +≥⎧⎪≥⎨⎪-≥⎩,则( )A .1y ≥B .2x ≥C .20x y +≥D .210x y -+≥5. 设正实数x ,y 满足()e e e yx y x ⋅=,则当x y +取得最小值时,x =( ) A .1 B .2 C .3 D .46. 已知随机变量ξ的取值为i (0,1,2i =).若()105P ξ==,()1E ξ=,则( )A .()()1P D ξξ=<B .()()1P D ξξ==C .()()1PD ξξ=>D .()()115P D ξξ==7. 下列不可能...是函数()()()22a x x f x x a -=+∈Z 的图象的是( ) D.C.B.A.xxxyyyyxOOOO8. 若函数()y f x =,()y g x =定义域为R ,且都不恒为零,则( ) A .若()()y f g x =为周期函数,则()y g x =为周期函数 B .若()()y f g x =为偶函数,则()y g x =为偶函数C .若()y f x =,()y g x =均为单调递增函数,则()()y f x g x =⋅为单调递增函数D .若()y f x =,()y g x =均为奇函数,则()()y f g x =为奇函数9. 已知椭圆22221x y a b+=(0a b >>)的左右焦点分别为1F ,2F ,抛物线22y px =(0p >)的焦点为2F .设两曲线的一个交点为P ,若221216PF F F p ⋅=,则椭圆的离心率为( )A .12B .22C .34D .3210. 已知非常数数列{}n a 满足12n nn a a a αβαβ+++=+(*n ∈N ,α,β为非零常数).若0αβ+≠,则( )A .存在α,β,对任意1a ,2a ,都有数列{}n a 为等比数列B .存在α,β,对任意1a ,2a ,都有数列{}n a 为等差数列C .存在1a ,2a ,对任意α,β,都有数列{}n a 为等差数列D .存在1a ,2a ,对任意α,β,都有数列{}n a 为等比数列二、填空题:单空题每题4分,多空题每题6分,共36分11. 设复数z 满足()1i 2i z +⋅=(i 为虚数单位),则z = ,z = .12. 已知二项式()60a x a x ⎛⎫+> ⎪⎝⎭的展开式中含2x 的项的系数为15,则a = ,展开式中各项系数和等于 .13. 在ABC △中,BAC ∠的平分线与BC 边交于点D ,sin 2sin C B =,则BDCD= ;若1AD AC ==,则BC = .14. 已知函数()()()210cos 0x x f x x x π⎧-≤⎪=⎨>⎪⎩,则()2019f f =⎡⎤⎣⎦ ;若关于x 的方程()0f x a +=在(),0-∞内有唯一实根,则实数a 的取值范围是 .15. 杭州亚运会启动志愿者招募工作,甲、乙等5人报名参加了A ,B ,C 三个项目的志愿者工作,因工作需要,每个项目仅需1名志愿者.若甲不能参加A ,B 项目,乙不能参加B ,C 项目,那么共有 种不同的选拔志愿者的方案.(用数字作答)16. 已知函数()39f x x x =-,()()23g x x a a =+∈R .若方程()()f x g x =有三个不同的实数解1x ,2x ,3x ,且它们可以构成等差数列,则a = .17. 在平面凸四边形ABCD 中,2AB =,点M ,N 分别是边AD ,BC 的中点,且32MN =,若()32MN AD BC ⋅-=,则AB CD ⋅= .三、解答题:5小题,共74分18. (本题满分14分)已知函数()22sin cos 3f x x x π⎛⎫=-+ ⎪⎝⎭(x ∈R ).(1)求()f x 的最小正周期;(2)求()f x 在区间,34ππ⎡⎤-⎢⎥⎣⎦上的值域.19. (本题满分15分)已知函数()212f x x k x =+--.(1)当1k =时,求函数()f x 的单调递增区间. (2)若2k ≤-,试判断方程()1f x =-的根的个数.20. (本题满分15分)如图,在ABC △中,23BAC π=∠,3AD DB =,P 为CD 上一点,且满足12AP mAC AB =+,若ABC △的面积为23. (1)求m 的值; (2)求AP 的最小值.PBD AC21. (本题满分15分)设公差不为0的等差数列{}n a 的前n 项和为n S ,等比数列{}n b 的前n 项和为n T ,若2a 是1a 与4a 的等比中项,612a =,11221a b a b ==. (1)求n a ,n S 与n T ;(2)若n n n c S T =⋅,求证:12(2)2n n n c c c ++++<.22.(本题满分15分)设函数()e x=+,a∈R.f x ax(1)若()f x有两个零点,求a的取值范围;(2)若对任意[)0,x∈+∞均有()22+≥+,求a的取值范围.23f x x a。
2020年浙江杭州高三一模数学试卷一、选择题(本大题共10小题,每小题4分,共40分)1.已知集合,,则( ).A. B. C. D.2.若双曲线的离心率为,则其渐近线方程为( ).A.B.C.D.3.若实数,满足约束条件,则的最大值是( ).A.B.C.D.4.某几何体的三视图如图所示(单位:),则该几何体的表面积(单位:)是( ).正视图俯视图俯视图A.B.C.5.在同一平面直角坐标系中,函数,(且)的图象可能是( ).A.B.C.D.6.“”是“关于的不等式有解”的( ).A.充分不必要条件B.必要不充分条件C.充分必要条件D.既不充分也不必要条件7.在四面体中,,,,,点为线段上动点(包含端点),设直线与所成角为,则的取值范围为( ).B.C.D.8.设椭圆的两个焦点是,,过点的直线与椭圆交于点,,若,且,则椭圆的离心率为( ).A.B.C.D.9.已知数列,满足,,则使成立的最小正整数为().A.B.C.D.10.设函数,若存在,使得,则的取值范围为().A.B.C.D.二、填空题(本大题共7小题,共36分)11.设复数满足,则 , .12.过点作圆的两条切线,切点分别为,,则 ,直线的方程为 .13.已知等比数列中,,,则,.14.已知函数,,则的最小正周期为 ,单调递增区间为 .15.设为坐标原点,是以为焦点的抛物线上任意一点,是线段上的点,且,则直线的斜率的最大值为 .16.已知,与所成角为,点满足,若,则的最大值为 .17.当时,不等式恒成立,则的取值范围是 .三、解答题(本大题共5小题,共74分)(1)(2)18.已知的内角,,的对边分别为,,,且的面积为.求.若,,求角的大小及的周长.(1)(2)19.如图,已知三棱锥,平面平面,,.证明:.设点为中点,求直线与平面所成角的正弦值.【答案】解析:因为,,所以,故,错误;则,故错误.故选.解析:由题可知,焦点落在轴,,(1)(2)20.已知各项均为正数的数的前项和为,且.求数列的前项和.求证:.(1)(2)21.已知抛物线上的两个动点和,焦点为.线段的中点为,且点,到抛物线的焦点的距离之和为.求抛物线的标准方程.若线段的垂直平分线与轴交于点,求面积的最大值.(1)(2)22.已知函数.当时,设,为的两个不同极值点,证明:.设,为的两个不同零点,证明:.C1.B2.又,所以,即,所以,所以渐近线方程.故选.解析:作出,满足约束条件的平面区域,如下图所示:由得,由图象可知,当直线经过点时,直线的截距最大,此时最大,由得,此时最大值为.故选:.解析:由三视图可知,该几何体是由一个球体和一个正四棱合组成.由图可知球的半径,则,而正四棱合的高是,侧面的上底长为,下底长为,则侧面的斜高,所以,所以C 3.D 4.球正四棱合上下侧总球正四棱合.故选.解析:当时,在第一象限成增函数,且图象是凹增的,而呈减函数.且过定点,只有选项符合;当时,在是增函数且图象是凸,而在部分单调递增,且过定点.没有选项符合,故选.解析:关于的绝对值不等式有解,∴的最小值,又∵表示数轴上的点到和的距离之和,∴的最小值是,则,∵是集合的真子集,∴“”是“关于的不等式有解”的充分不必要条件.故选.解析:如图所示,因为,,所以在等腰中,,且,又,,也是直角三角形,又,A 5.A 6.D 7.所以在中,,,构成一组勾股数,所以,设,,作为空间一组基底,则,且,则,∴,,又,∴且,∴,所以与所成角的范围为.故选.解析:设椭圆,,,则,又,不妨设,,由椭圆定义可得,即即①,B 8.又,取,又∵,∴,∴,即,化简得:②,结合①②可得,,所以椭圆离心率.故选:.解析:由可得,即,两边取对数得,即,令,可得,∴是等比数列,又,∴,又,∴,要使成立,即,C 9.即,又随增大而增大,当时,,则,当时,,当时,,即成立最小整数为.故选:.解析:存在,使得,可得,下面证明,又随增大而增大,所以假设,则,不满足,同理,不满足,∴,又∵,那么函数,即在有解,∴即,,令,则,令,即可得或(舍),当时,,所以在单调递减,当时,,当时,,∴,B 10.则.故选.解析:由题意可得,则.解析:由题可得圆心,半径,所以,∴,因为过点作圆的两条切线,切点分别是,,则,则以点为圆心,以为半径的圆的方程是,与圆②两式相减得直线方程为.解析:等比数列中,,,所以,则,∴,则.故答案为:;.解析:;11. ;12. ;13.;14.,故最小正周期,令,则,故单调增区间是.15.解析:由题意可得,,显然当时,,当时,,要求的最大值,则设,则, 可得,当且仅当,即时取得等号,故直线的斜率的最大值是.故答案为:.解析:由题可知,设以点为坐标圆心,以为轴建立平面直角坐标系,如图所示,图因为,,则,,,设点为,满足,则,,∴,则有,又,则,即,设,即可看成求的最大值,可化为求目标函数在可行域的最大值,如图所示,图当,这条直线与圆在下面相切时,有最大值(因为,当直线在左下方时与可行域相切时,最大).所以圆心到直线距离等于半径时,有最大值和最小值.所以,即,解得,.17.解析:方法一:因为恒成立,等价于恒成立,且,所以有,,又因为,所以.方法二:,令,,更换主元:将看作,看作,即,,,画出可行区域如图:在处取得最大值,处取得最小值,,,(1)(2)综上,的取值范围为.方法三:当时,不等式恒成立,即,令,则,得单调递减,单调递增,,,:当时,,即,:当时,,,可得:,:当时,,,可得:,综上所述:.解析:由三角形的面积公式可得,∴,由正弦定理可得,∵,∴.∵,∴,∴,∴,∵,∴,∵,(1).(2),.18.(1)(2)∴,∴,∵,∴,∴,∴,∴周长.解析:在中,,,所以,在中,,,所以,已知平面平面,且平面平面,所以平面,而平面,所以.过点向的延长线做垂线,设垂足为点,连结,(1)证明见解析.(2).19.(1)因为,所以平面,而平面,所以平面平面,平面平面,过点做于点,则平面,连结,即为所求,在中,,,,所以,在直角三角形中,,,,所以.与平面所成角的正弦值.解析:当时,由得,(1).(2)证明见解析.20.(2)(1)(2)当时,由得,所以数列为以为首项为公差的等差数列,故有,,所以,.由()知,而,所以有,,故有.解析:由题意知,,∴,抛物线的标准方程为.设直线,由,得,∴,∴,即,即,∴,的中垂线方程为:,即,得点的坐标为,直线,点到直线的距离,(1).(2).21.(1)(2)∴,令,则,令,∴,令∴,则,故在单调递增,单调递减,即时,.解析:当时,,∴,∵,为的两个不同极值点,∴,为方程的两不等正根,∴,,且由韦达定理,,证毕.要证明,即,下面分别证明和,两式相加即得结论,(ⅰ)先证明,令,即证,令函数,则,∴在单调递增,在单调递减,∴,证毕;(1)证明见解析.(2)证明见解析.22.(ⅱ)再证明,即,∵,为的两个不同零点,不妨设,∴①,②,∴①②可得,两边同时乘以可得,即=,令,则,∴即证,即,即证,令函数,则,∴在单调递增,∴,证毕.。