2019届江苏省数学附加试题三份
- 格式:doc
- 大小:560.50 KB
- 文档页数:8
南京市、盐城市2019届高三年级第一次模拟考试
数学附加题部分
(本部分满分40分,考试时间30分钟)
21.[选做题](在A 、B 、C 三小题中只能选做2题, 每小题10分, 计20分. 请把答案写在答题纸的指定区域内)
A .(选修4—2:矩阵与变换)
直线:230l x y -+=经矩阵 01 a M d ⎡⎤=⎢⎥⎣⎦
变换后还是直线l ,求矩阵M 的特征值.
B .(选修4—4:坐标系与参数方程)
在极坐标系中,圆C 的极坐标方程为2cos ρθ=,以极点O 为原点,极轴Ox 所在的直线为x 轴建立平面直角坐标系,直线l 的参数方
程为212x y t ⎧=-⎪⎪⎨⎪=⎪⎩
(t 为参数),求直线l 被圆C 截得的弦长.
C .(选修4—5:不等式选讲)
已知正实数,,x y z 满足3x y z xyz ++=,求xy yz zx ++的最小值.
[必做题](第22、23题, 每小题10分, 计20分. 请把答案写在答题纸的指定区域内)
22.(本小题满分10分)
如图,四棱锥P ABCD -中,底面A B C D 是矩形,PA ⊥平面A B C D ,1AD =
, PA AB ==点E 是棱PB 的中点.
(1)求异面直线EC 与PD 所成角的余弦值;
(2)求二面角B EC D --的余弦值.
23.(本小题满分10分)
已知数列{}n a 满足11a =,23a =,且对任意*n N ∈,都有
012112312(1)2n n n n n n n n a C a C a C a C a -++++++=-⋅成立. (1)求3a 的值;
(2)证明:数列{}n a 是等差数列.
第22题 B A P
E D。
(绝密★启用前B 卷2019年普通高等学校招生全国统一考试(江苏模拟卷)数学Ⅱ(附加题)注意事项:1. 附加题供选修物理的考生使用.2. 本试卷共40分,考试时间30分钟.3. 答题前,考生务必将自己的学校、班级、姓名写在密封线内.21. 【选做题】本题包括A 、B 、C 共3小题,请选定其中两小题,并在相应的答题区域内作答.若多做,则按作答的前两小题评分.解答时应写出文字说明、证明过程或演算步骤.A . 选修4-2:矩阵与变换(本小题满分10分)已知矩阵A =⎣⎢⎡⎦⎥⎤1a 2-1,若矩阵A 属于特征值1的一个特征向量为α=⎣⎢⎡⎦⎥⎤11. (1) 求a 的值;(2) 求矩阵A 的另外一个特征值.B . 选修4-4:坐标系与参数方程(本小题满分10分)在极坐标系中,已知曲线C 的极坐标方程为ρ=2(cosθ+sinθ).(1) 将曲线C 的方程化为直角坐标方程;(2) 设M 为曲线C 上任意一点,点P 的极坐标为⎝⎛⎭⎫2,5π4,求MP 的取值范围.C . 选修4-5:不等式选讲(本小题满分10分)设x +y +z =25,若x 2+ty 2+z 2的最小值为8,求正数t 的值.【必做题】第22,23题,每小题10分,共20分.解答时应写出必要的文字说明、证明过程或演算步骤.22. (本小题满分10分)现有两个质地均匀且同样大小的正四面体A,B,正四面体A的4个顶点分别涂有红、黄、蓝、绿四种颜色,正四面体B的4个顶点分别标有数字1,2,3,4.甲连续抛掷正四面体A 3次,若至少出现2次红色顶点朝上,则甲获得一次抽奖机会;乙连续抛掷正四面体B 4次,若至少出现3次偶数顶点朝上,则乙获得一次抽奖机会(甲、乙两人获得抽奖的机会相互独立).(1) 求甲、乙两人各自能够获得一次抽奖机会的概率;(2) 设X为甲、乙两人获得抽奖机会的总次数,求X的分布列及数学期望.23. (本小题满分10分)在二元函数f(u,v)中,把变量u看成自变量,v看成常数,对u求导记为[f(u,v)]′u,例如,[ln(2u+3v)]u′=(2u+3v)u′2u+3v=22u+3v.已知f(u,v)=e au+bv·(cu+dv)2.(1) 求[f(u,v)]′u;(2) 若a,b,c,d,u,v都是正数,ab<cd,求证:[f(u,v)]′u[f(u,v)]′v<cd.(这是边文,请据需要手工删加)2019年普通高等学校招生全国统一考试(江苏模拟卷) B 卷数学Ⅱ(附加题)参考答案及评分标准21. A . 【解答】(1) 因为矩阵A 属于特征值1的一个特征向量为α=⎣⎢⎡⎦⎥⎤11, 所以⎣⎢⎡⎦⎥⎤1a 2-1⎣⎢⎡⎦⎥⎤11=⎣⎢⎡⎦⎥⎤11,(3分) 所以1+a =1,所以a =0.(5分)(2) 由(1)得A =⎣⎢⎡⎦⎥⎤102-1, 令f(λ)=⎪⎪⎪⎪⎪⎪λ-10-2λ+1=0,(8分) 所以(λ-1)(λ+1)=0,所以λ=1或λ=-1.所以矩阵A 的另外一个特征值为-1.(10分)B . 【解答】(1) 由ρ=2(cosθ+sinθ),得ρ2=2(ρcosθ+ρsinθ),(2分)因为ρcosθ=x ,ρsinθ=y ,所以x 2+y 2=2x +2y ,化成普通方程是(x -1)2+(y -1)2=2.(4分)(2) 由(1)得,曲线C 是一个圆,圆心N 的坐标为(1,1),半径r =2,(6分) 点P 的极坐标化为直角坐标为(-1,-1),(8分)因为PN =(1+1)2+(1+1)2=22,所以MP 的取值范围为[]PN -r ,PN +r ,即[]2,32.(10分)C . 【解答】设α=(x ,ty ,z),β=⎝⎛⎭⎫1,1t ,1,由柯西不等式得,x·1+ty·1t+z·1≤x 2+(ty )2+z 2·12+⎝⎛⎭⎫1t 2+12, 即x +y +z ≤x 2+(ty )2+z 2·2+1t, 又x +y +z =25,所以x 2+(ty )2+z 2≥252+1t =22,所以t =2.(10分) 22. 【解答】(1) 设“甲获得一次抽奖机会”为事件M ,“乙获得一次抽奖机会”为事件N ,则P(M)=C 23⎝⎛⎭⎫142×34+C 33⎝⎛⎭⎫143=532,(2分) P(N)=C 34⎝⎛⎭⎫123×12+C 44⎝⎛⎭⎫124=516.(4分) (2) X 的所有可能取值为0,1,2. P(X =0)=P(M)·P(N)=2732×1116=297512, P(X =1)=P(M)·P(N)+P(M)·P(N)=2732×516+532×1116=190512, P(X =2)=P(M)·P(N)=532×516=25512.(8分) 所以X 的分布列为所以E(X)=0×297512+1×190512+2×25512=1532.(10分) 23. 【解答】(1) [f(u ,v)]′u =ae au +bv ·(cu +dv)2+2ce au +bv ·(cu +dv)=e au +bv (cu +dv)[a(cu +dv)+2c].(3分)(2)同理,[f(u ,v)]′v =e au +bv (cu +dv)·[b(cu +dv)+2d],(5分)所以[f (u ,v )]′u [f (u ,v )]′v =e au +bv (cu +dv )·[a (cu +dv )+2c]e au +bv (cu +dv )·[b (cu +dv )+2d]=a b [b (cu +dv )+2d]+⎝⎛⎭⎫2c -2ad b b (cu +dv )+2d =a b +2(bc -ad )b[b (cu +dv )+2d](*).(8分) 因为a ,b ,c ,d ,u ,v 都是正数,a b <c d, 所以bc -ad>0,所以(*)<a b +2(bc -ad )2bd =c d.(10分)。
2019 年普通高等学校招生全国统一考试(江苏省)模拟试卷(一 )数学附加分(满分40 分,考试时间30分钟)21. 【选做题】从 A,B,C 三题中选做 2 题,每小题 10分,共 20 分.若多做,则按作答的前两题评分.解答时应写出必要的文字说明、证明过程或演算步骤.A. ( 选修 42:矩阵与变换 )已知矩阵 A=122,3 的一个特征向量分别为c( c,d 为实数 ).若矩阵A属于特征值d21-1,,求矩阵 A 的逆矩阵 A .11B. ( 选修 44:坐标系与参数方程 )在极坐标系中,直线 lπ的极坐标方程为θ=(ρ∈R) ,以极点为原点,极轴为x 轴的正半3x=2cos α,轴建立平面直角坐标系,曲线 C 的参数方程为(α为参数 ),求直线 l 与曲线 Cy= 1+cos 2α的交点 P 的直角坐标.C. ( 选修 45:不等式选讲)已知 x, y, z∈R,且 x+ 2y+ 3z+8= 0.求证: (x- 1)2+ (y+ 2)2+( z-3) 2≥ 14.【必做题】第 22 题、第 23 题,每小题 10 分,共 20 分.解答时应写出必要的文字说明、证明过程或演算步骤.22.如图,在直三棱柱 ABCA 1B1C1中,已知 CA= CB= 1,AA 1= 2,∠ BCA= 90° .(1) 求异面直线 BA1与 CB1夹角的余弦值;(2)求二面角 BAB1C 平面角的余弦值.23. 在数列 { a n} 中,已知a1=20, a2= 30,a n+1= 3a n-a n-1(n∈N*, n≥ 2).(1)当 n= 2,3 时,分别求 a2n- a n-1a n+1的值,并判断 a2n- a n-1a n+1(n≥ 2)是否为定值,然后给出证明;(2)求出所有的正整数 n,使得 5a n+1a n+ 1 为完全平方数.2019 年普通高等学校招生全国统一考试(江苏省 )模拟试卷 (二 )数学附加分 (满分 40 分,考试时间30分钟)21. 【选做题】从 A , B, C 三题中选做 2 题,每小题10 分,共 20 分.若多做,则按作答的前两题评分.解答时应写出必要的文字说明、证明过程或演算步骤.A. ( 选修 42:矩阵与变换 )设二阶矩阵 A, B 满足 A-112(BA)-110- 1=,=,求 B.3401B. ( 选修 44:坐标系与参数方程 )已知直线 l 的极坐标方程为ρsin( θ-πx= 2cos θ,3 )= 3,曲线 C 的参数方程为y= 2sin θ(θ为参数 ),设点 P 是曲线 C 上的任意一点,求P 到直线 l 的距离的最大值.C. ( 选修 45:不等式选讲)已知 a≥ 0, b≥ 0,求证: a6+ b6≥ ab(a4+b4).【必做题】第 22 题、第 23 题,每小题 10 分,共 20 分.解答时应写出必要的文字说明、证明过程或演算步骤.2与1,各自相互独立.现两人做投篮游戏,共比22.甲、乙两人投篮命中的概率分别为3 2赛 3 局,每局每人各投一球.(1) 求比赛结束后甲的进球数比乙的进球数多 1 个的概率;(2)设ξ表示比赛结束后甲、乙两人进球数的差的绝对值,求ξ的分布列和数学期望 E(ξ).23. 设集合 A, B 是非空集合M 的两个不同子集,满足: A 不是 B 的子集,且 B 也不是A的子集.(1)若 M={ a1, a2, a3, a4} ,直接写出所有不同的有序集合对(A, B)的个数;(2)若 M={ a1, a2, a3,, a n} ,求所有不同的有序集合对(A, B)的个数.2019 年普通高等学校招生全国统一考试(江苏省 )模拟试卷 (三 )数学附加分 (满分 40 分,考试时间30分钟)21. 【选做题】从 A,B,C 三题中选做 2 题,每小题 10 分,共 20分.若多做,则按作答的前两题评分.解答时应写出必要的文字说明、证明过程或演算步骤.A. ( 选修 42:矩阵与变换 )m 01 的一个特征向量为1设矩阵 A=,若矩阵 A 的属于特征值,属于特征值 2 0n0,求矩阵 A.的一个特征向量为1B. ( 选修 44:坐标系与参数方程)在极坐标系中,已知曲线 C:ρ=2sin θ,过极点 O 的直线 l 与曲线 C 交于 A, B 两点,且 AB = 3,求直线 l 的方程.C. ( 选修 45:不等式选讲)解不等式: |x- 2|+ x|x+ 2|> 2.【必做题】第 22 题、第23 题,每小题10 分,共20 分.解答时应写出必要的文字说明、证明过程或演算步骤.22. 某校高一、高二两个年级进行乒乓球对抗赛,每个年级选出比赛规则是:①按“单打、双打、单打”顺序进行三盘比赛;②3 名学生组成代表队,代表队中每名队员至少参加一盘比赛,但不能参加两盘单打比赛.若每盘比赛中高一、高二获胜的概率分别为3, 4.7 7(1)按比赛规则,高一年级代表队可以派出多少种不同的出场阵容?(2)若单打获胜得 2 分,双打获胜得 3 分,求高一年级得分ξ的概率分布列和数学期望.23. 已知抛物线 C:x2= 2py(p>0) 过点 (2,1),直线 l 过点 P(0 ,- 1)与抛物线 C 交于 A, B 两点.点 A 关于 y 轴的对称点为 A′,连结 A′B.(1)求抛物线 C 的标准方程;(2)问直线 A′B 是否过定点?若是,求出定点坐标;若不是,请说明理由.2019 年普通高等学校招生全国统一考试 (江苏省 )模拟试卷 (四 )数学附加分 (满分 40 分,考试时间30分钟)21. 【选做题】 从 A , B , C 三题中选做 2 题,每小题 10 分,共 20 分.若多做,则按作答的前两题评分.解答时应写出必要的文字说明、证明过程或演算步骤.A. ( 选修 42:矩阵与变换 )a 0 2,若曲线 C 在矩阵 M 变换下的方程为 x 2+ y 2= 1,设矩阵 M = 的一个特征值为 2 1求曲线 C 的方程.B. ( 选修 44:坐标系与参数方程 )在极坐标系中, 已知点 P(2 3,π),直线 l :ρcos(θ+ π )= 2 2,求点 P 到直线 l 的距离.6 4C. (选修已知函数45:不等式选讲 )2f(x)= |x + 1|+ |x - 2|- |a - 2a|,若函数f(x)的图象恒在x 轴上方,求实数 a 的取值范围.【必做题】第 22 题、第 23 题,每小题 10 分,共 20 分.解答时应写出必要的文字说明、证明过程或演算步骤.22.如图,在多面体 ABCDEF 中, ABCD 为正方形, ED ⊥平面 ABCD ,FB∥ ED,且 AD =DE =2BF = 2.(1)求证: AC⊥ EF;(2)求二面角 CEFD 的大小.23.已知 k, m∈N*,若存在互不相等的正整数a1, a2,, a m,使得 a1a2, a2a3,,a m-1a m, a m a1同时小于 k,则记 f(k)为满足条件的m 的最大值.(1)求 f(6)的值;(2)对于给定的正整数 n(n>1) ,①当 n(n+ 2)< k≤(n+ 1)(n+ 2)时,求 f(k)的解析式;②当 n(n+ 1)< k≤n(n+ 2)时,求 f(k)的解析式.2019 年普通高等学校招生全国统一考试(江苏省 )模拟试卷 (五 )数学附加分 (满分 40 分,考试时间30分钟)21. 【选做题】从 A , B, C 三题中选做 2 题,每小题 10 分,共 20 分.若多做,则按作答的前两题评分.解答时应写出必要的文字说明、证明过程或演算步骤.A. ( 选修 42:矩阵与变换)1-1已知矩阵A=,其中a∈ R,若点P(1,1)在矩阵A的变换下得到点P′(0,-a 11),求矩阵A的两个特征值.B. ( 选修 44:坐标系与参数方程 )x= 2+ 2cos α,在平面直角坐标系xOy 中,圆的参数方程为(α为参数 ),以坐标原点 Oy= 2sinα为极点, x 轴的正半轴为极轴建立极坐标系.求:(1)圆的普通方程;(2)圆的极坐标方程.C. ( 选修 45:不等式选讲)已知实数x, y, z 满足 x+y+ z= 2,求 2x2+ 3y2+ z2的最小值.【必做题】第 22 题、第 23 题,每小题 10 分,共 20 分.解答时应写出必要的文字说明、证明过程或演算步骤.22. 为了研究一种新药的疗效,选100 名患者随机分成两组,每组各50 名,一组服药,另一组不服药.一段时间后,记录了两组患者的生理指标x 和 y 的数据,并制成如图所示图象,其中“*表”示服药者,“+”表示未服药者.(1) 从服药的50 名患者中随机选出一人,求此人指标y 的值小于60 的概率;(2) 从图中 A,B, C,D 四人中随机选出两人,记ξ为选出的两人中指标x 的值大于 1.7的人数,求ξ的分布列和数学期望E(ξ).23.已知抛物线 C: y2= 2x,过点 (2, 0)的直线 l 交 C 于 A,B 两点,圆 M 是以线段 AB为直径的圆.(1)求证:坐标原点 O 在圆 M 上;(2)设圆 M 过点 P(4,- 2),求直线 l 与圆 M 的方程.2019 年普通高等学校招生全国统一考试(江苏省 )模拟试卷 (六 )数学附加分 (满分 40 分,考试时间30分钟)21. 【选做题】从 A , B, C 三题中选做 2 题,每小题 10 分,共 20 分.若多做,则按作答的前两题评分.解答时应写出必要的文字说明、证明过程或演算步骤.A. ( 选修 42:矩阵与变换)3 2求 A=的特征值与属于每个特征值的一个特征向量.41B. ( 选修 44:坐标系与参数方程 )1x=3+2t,在平面直角坐标系 xOy 中,直线 l 的参数方程为(t 为参数 ) ,以原点 O 为极3y= 2t点, x 轴的正半轴为极轴建立极坐标系,圆 C 的极坐标方程为ρ= 23sin θ .设 P 为直线 l 上一动点,当 P 到圆心 C 的距离最小时,求点P 的直角坐标.C. ( 选修 45:不等式选讲)已知函数f(x)= |x+ 3|,g(x)= m- 2|x- 11|,若 2f(x) ≥g(x+ 4)恒成立,实数m 的最大值为t.(1)求实数 m 的最大值 t;(2)已知实数 x,y,z 满足 2x2+ 3y2+ 6z2= a(a>0) ,且 x+ y+ z 的最大值为20t,求 a 的值.【必做题】第 22 题、第 23 题,每小题 10 分,共 20 分.解答时应写出必要的文字说明、证明过程或演算步骤.22.如图,在三棱锥 PABC 中, PA⊥底面 ABC,∠ BAC=90° .点 D ,E,N 分别为棱 PA,(1)求证: MN ∥平面 BDE;(2)求二面角 CEMN 的正弦值;7(3) 已知点 H 在棱 PA 上,且直线 NH 与直线 BE 所成角的余弦值为21,求线段AH的长.23. 已知抛物线21C:y = 2px过点 P(1,1) ,过点 (0, ) 作直线 l 与抛物线 C 交于不同的两2点 M, N,过点 M 作 x 轴的垂线分别与直线OP,ON 交于点 A, B,其中 O 为原点.(1)求抛物线 C 的方程,并求其焦点坐标和准线方程;(2)求证: A 为线段 BM 的中点.2019 年普通高等学校招生全国统一考试(江苏省 )模拟试卷 (七 )数学附加分 (满分 40 分,考试时间30分钟)21. 【选做题】从 A,B,C三题中选做 2 题,每小题10 分,共20 分.若多做,则按作答的前两题评分.解答时应写出必要的文字说明、证明过程或演算步骤.A. ( 选修 42:矩阵与变换)已知在二阶矩阵M 对应变换的作用下,四边形ABCD变成四边形A′B′C′D′,其中A(1 ,1), B(- 1, 1), C(- 1,- 1), A′(3,- 3), B′ (1, 1), D′ (- 1,- 1).(1)求出矩阵 M ;(2)确定点 D 及点 C′的坐标.B. ( 选修 44:坐标系与参数方程 )x=t+ 1,x= acos θ,在平面直角坐标系 xOy 中,已知直线 C1:(t 为参数 )与椭圆 C2:y=7- 2t y= 3sin θ(θ为参数, a>0) 的一条准线的交点位于y 轴上,求实数 a 的值.C. ( 选修 45:不等式选讲)已知 a, b, c, d 为实数,且a2+b2= 4, c2+ d2= 16,求证: ac+ bd≤ 8.【必做题】第 22 题、第23 题,每小题10 分,共20 分.解答时应写出必要的文字说明、证明过程或演算步骤.22. 一投掷飞碟的游戏中,飞碟投入红袋记 2 分,投入蓝袋记 1 分,未投入袋记过多次试验,某人投掷 100 个飞碟有 50 个入红袋, 25 个入蓝袋,其余不能入袋.0 分.经(1)求该人在 4 次投掷中恰有三次投入红袋的概率;(2) 求该人两次投掷后得分ξ的概率分布列和数学期望E(ξ).n f′k-1( x)0212+),设 F(x)= C n f0(x )+ C n f1(x )23. 已知 f0(x) =x ,f k(x)=f k-1(1),其中 k≤ n(n,k∈N++ C k n f k(x2)++ C n n f n(x2 ), x∈ [- 1,1].(1)写出 f k(1) ;(2)求证:对任意的 x1, x2∈ [- 1, 1],恒有 |F(x1)- F(x2)|≤2n-1(n+ 2)- n- 1.2019 年普通高等学校招生全国统一考试(江苏省 )模拟试卷 (八 )数学附加分 (满分 40 分,考试时间30分钟)21. 【选做题】从 A , B, C 三题中选做 2 题,每小题 10 分,共 20 分.若多做,则按作答的前两题评分.解答时应写出必要的文字说明、证明过程或演算步骤.A. ( 选修 42:矩阵与变换)cos α- sin αB(- 2, 2),若点 A(2, 2)在矩阵M=对应变换的作用下得到的点为sin αcos α求矩阵 M 的逆矩阵.B. ( 选修 44:坐标系与参数方程)2在极坐标系中, A 为曲线ρ+ 2ρcos θ - 3= 0 上的动点, B 为直线ρcos θ+ρsin θ-7= 0 上的动点,求 AB 的最小值.C. ( 选修 45:不等式选讲)已知 a>0 ,b>0 , a3+ b3= 2,求证: ( a+ b)( a5+ b5)≥ 4.【必做题】第 22 题、第 23 题,每小题 10 分,共 20 分.解答时应写出必要的文字说明、证明过程或演算步骤.22. 已知抛物线L 的方程为x2= 2py(p>0),直线 y=x 截抛物线 L 所得弦 AB= 4 2.(1)求 p 的值;(2) 抛物线 L 上是否存在异于点A, B 的点 C,使得经过A, B,C 三点的圆和抛物线L 在点 C 处有相同的切线.若存在,求出点 C 的坐标;若不存在,请说明理由.23. 已知数列 { a n} 的通项公式为a n= At n-1+Bn+ 1,其中 A, B, t 为常数,且t>1, n∈N*.等式(x2+2x+2)10=b0+b1(x+1)+b2( x+1)2++b20(x+1)20,其中b i(i=0,1,2,,20)为实常数.附加分知识点回放一数学归纳法1归纳法1)定义:由一些特殊事例推出一般结论的推理方法,特点:特殊→一般.2)分类:(1)不完全归纳法;(2) 完全归纳法.2 数学归纳法1)公理:如果①当n取第一个值n0(例如 n0= 1,2 等 )时结论正确;②假设当 n= k(k ∈N*,且 k≥n0)时结论正确,证明当n= k+ 1 时结论也正确.那么,命题对于从n0开始的所有正整数 n 都成立.2)用数学归纳法证明一个与正整数有关的命题的步骤(1)证明:当 n 取第一个值 n0时命题正确;(2) 假设当 n= k(k ∈N*,且 k≥ n0)时命题正确,证明当n= k+ 1 时命题也正确.由 (1)(2) 可知,命题对于从n0开始的所有正整数 n 都正确.二空间向量及其运算,1) 空间向量的基本概念1)定义:在空间,我们把像位移、力、速度、加速度这样既有大小又有方向的量,叫做空间向量.2)表示方法:与平面向量一样,空间向量也用有向线段表示.有向线段的长度表示向量→→的模.如图,向量 a 的起点是A,终点是B,则向量 a 也可以记作AB,其模即为|a|或|AB|.3)相等向量:方向相同且长度相等的有向线段都表示同一向量或者相等向量.4)零向量:零向量的模长为0,但是方向是任意的,规定:0∥a.5)相反向量:与向量 a 长度相等方向相反的向量,称为 a 的相反向量,记为-a.,2) 空间向量的线性运算1)空间向量的加减运算:三角形法则和平行四边形法则.2)空间向量的数乘运算→→时,λa 与 a 同向,模长:如图, OP=λOA =λa(λ∈R ),当λ>0是 a 的λ倍;当λ=0时,λ a= 0;当λ<0时,λ a 与 a 反向,模长是 a 的-λ倍.3)空间向量线性运算的运算律(1)加法交换律: a+ b= b+ a;(2)加法结合律: ( a+b)+c=a+ (b+c) ;(3)数乘分配律:λ(a+b)=λa+λb;(4)数乘结合律:λ(μa)= (λμ)a.,3) 共线向量定理1)共线向量:如果表示空间向量的有向线段所在的直线互相平行或重合,叫做共线向量或平行向量.向量 a 与 b 平行,记作a∥b.那么这些向量2)共线向量定理:对空间任意两个向量实数λ,使 b=λa.a,b(a≠ 0), a 与 b 共线的充要条件是存在唯一3)方向向量:如右图, l 是经过已知点 A 且平行于已知非零向量 a 的直线,那么对于空间任一点 O,点 P 在直线 l 上的充要条件是存在实数→ →+t a,则向量a叫做直t,使得 OP= OA线 l 的方向向量.,4) 共面向量定理1)共面向量:能平移到同一个平面内的向量叫做共面向量.2)共面向量定理:如果两个向量 a,b 不共线,那么向量p 与向量 a,b 共面的充要条件是存在有序实数对 (x, y),使得p= x a+ y b.,5) 空间向量基本定理1)空间向量基本定理:如果三个向量 e1,e2, e3不共面,那么对空间任一向量p,存在一个唯一的有序实数组 { x, y, z} ,使p=x e1+y e2+z e3.2)基底若三个向量 e1,e2,e3不共面,那么空间的任一向量都可由e1,e2,e3线性表示.我们把{ e1,e2,e3} 叫做空间的一个基底,e1,e2,e3叫做基向量.如果空间一个基底的三个基向量两两互相垂直,那么这个基底叫做正交基底,特别地,当一个正交基底的三个基向量都是单位向量时,称这个基底为单位正交基底,通常用{ i,j,k}表示.,6) 空间向量的坐标表示及坐标运算法则如图,在空间直角坐标系Oxyz 中,设i,j,k为坐标向量,对空间任一向量a,存在唯一的有序实数组 (x,y, z),使a= x i+ y j+ z k,有序实数组 (x, y, z)叫做向量a在空间直角坐标系 Oxyz 中的坐标,记作a= (x, y, z).→a 的起点移至坐标原点时,其因此,向量 OA的坐标为 (x,y,z).这就是说,当空间向量终点的坐标就是向量 a 的坐标.,7) 空间向量的数量积运算1)向量的夹角a,b 是空间两个非零向量,过空间任意一点→→O,作 OA=a,OB=b,则∠ AOB 叫做向量a 与向量b 的夹角,记作〈a, b〉,并规定:0≤〈 a, b〉≤π.如果〈 a, b〉=0,那么向量 a 与 b 同向;如果〈 a, b〉=π,那么向量 a 与 b 反向;π如果〈 a, b〉=,那么向量 a 与 b 互相垂直,记作 a⊥b.2→ → →若 A(x1, y1, z1),B(x2,y2, z2),则 AB=OB- OA= (x2-x1,y2- y1, z2- z1).这就是说,一个向量的坐标等于表示这个向量的有向线段的终点坐标减去它的起点坐标.2)数量积(1)定义:设 a, b 是空间两个非零向量,我们把数量|a| |·b|cos〈a,b〉叫做向量a,b的数量积,记作a·b,即 a·b=|a||b|cos〈 a,b〉.我们规定:零向量与任一向量的数量积为0.(2)数量积的几何意义:向量 a, b 的数量积等于 a 在 b 方向上的投影|a|cos〈 a,b〉与 b 的模的乘积.其中|a|cos〈a,b〉即为图中的OH .由此可见,空间两个非零向量a, b 的夹角〈 a, b〉可以由cos〈a,b〉=a·b求得.|a||b|根据定义,可以得到a⊥b? a·b=0(a,b 是两个非零向量), |a|2=a·a=a2.(3)数量积的运算律:① a·b= b·a;②(λa)·b=λ(b·a)(λ∈ R);③ a·(b+ c)= a·b+ a·c.3)空间向量的直角坐标运算记 a=(a1,a2,a3), b=(b1,b2,b3).(1)加法、减法、数乘、数量积a+b=(a1+b1,a2+b2,a3+b3);a- b=(a1-b1,a2-b2,a3-b3);λ·a=(λa1,λa2,λa3)( λ∈R );a·b= |a||b|cos〈 a, b〉=a1b1+a2b2+a3b3.(2) 平行、垂直a∥b? a=λb? a1=λb, a =λb,a =λb+ a+a=0.12233(λ∈R);a⊥b?a·b=0? a1 b1 2 b23b3(3) 模长、夹角|a|=a·a= a12+ a22+ a23;a·b =a1b1+ a2b2+ a3b3cos〈a,b〉=|a||b|a12+ a22+ a32b12+b22+ b32.(4)两点间的距离公式若点A(x1, y1,z1) , B(x2,y2,→| =→ 2=z2) ,则 | AB|AB|(x2-x1)2+( y2- y1)2+( z2- z1)2.三空间向量的应用,1)直线的方向向量与平面的法向量1)直线的方向向量:我们把直线l 上的向量 a 以及与 a 共线的非零向量叫做直线l 的方向向量.2)平面的法向量:如果表示非零向量 a 的有向线段所在直线垂直于平面α,则称这个向量垂直于平面α,记作 a⊥ α,此时,向量 a 叫做平面α的法向量.,2) 用向量描述空间线面关系设空间两条直线l , l 的方向向量分别为 e , e ,两个平面α,α 的法向量分别为n ,1212121n2,则有如下结论:直线、平面l1与 l2l 与α11α 与α12 ,3) 用向量求解空间的角平行垂直e1∥ e2e1⊥e2 e1⊥ n1e1∥ n1 n1∥ n2n1⊥n21)异面直线所成的角:如果异面直线a,b所成的角为θ,直线a,b的方向向量分别为e1,e2,那么cosθ=|cos〈 e1, e2〉|.特别地,当θ=90°时,两条异面直线a,b垂直.2)直线与平面所成的角:设直线l 的方向向量为a,平面的法向量为u,直线与平面所成的角为β,a与u的夹角为φ,则有sinβ =|cosφ |=|a||u||au|·或cosβ =sinφ .3)二面角(1)若 AB ,CD 分别是二面角α l β的两个面内与棱 l 垂直的异面直线,则二面角的大小→→就是向量 AB 与 CD 的夹角 (如图①所示 ).(2)设 n1,n2分别是二面角αlβ的两个面α,β的法向量,则向量 n1与 n2的夹角(或其补角 )就是二面角的平面角的大小 (如图②所示 ).图①图②四两个基本计数原理,1) 分类计数原理 (加法原理 )完成一件事有 n 类方式,在第不同的方法,,在第 n 类方式中有+m n种不同的方法.1 类方式中有 m1种不同的方法,在第 2 类方式中有 m2种m n种不同的方法,那么完成这件事共有 N= m1+ m2+,2) 分步计数原理 (乘法原理 )完成一件事需要分成n 个步骤,做第 1 步有 m1种不同的方法,做第 2 步有 m2种不同的方法,,做第n 步有 m n种不同的方法,那么完成这件事有N= m1×m2× × m n种不同的方法.五排列与组合,1) 排列的概念一般地,从 n 个不同元素中取出 m(m≤ n)个元素 (这里的被取元素各不相同 ),按照一定的顺序排成一列,叫做从 n 个不同元素中取出 m 个元素的一个排列.,2) 排列数的定义从 n 个不同元素中取出m(m ≤ n)个元素的所有排列的个数,叫做从n 个不同元素中取出m 个元素的排列数,用符号A n m表示.,3) 排列数公式及其推导A m=n(n-1)(n-2) (n-m+1)=nn( n-1)( n-2)· ·( n- m+ 1)( n- m)· ·3·2·1=n!(m,n∈N*,且 m≤n).( n- m)( n- m- 1)· ·3·2·1( n-m)!,4) 全排列当 n= m 时,即 n 个不同元素全部取出的一个排列.全排列数: A n n= n(n- 1)(n- 2) 2·1=n! (叫做 n 的阶乘 ).,5) 阶乘的概念n 个不同元素全部取出的一个排列,叫做n个不同元素的一个全排列,这时A n n=n(n-1)(n - 2) 3·2·1;把正整数 1 到 n 的连乘积,叫做 n 的阶乘,表示为 n!,即 A n= n!.规定 0!=n1.,6) 组合的概念一般地,从 n 个不同元素中取出 m(m ≤ n)个元素并成一组,叫做从n 个不同元素中取出m 个元素的一个组合.,7) 组合数的概念从 n 个不同元素中取出m(m ≤ n)个元素的所有组合的个数,叫做从n 个不同元素中取出m 个元素的组合数.用符号C n m表示.,8) 组合数公式mn( n-1)( n-2)(m=A nC n m=m!A mm≤ n).n- m+ 1)或 C nm=n!(n , m∈N*,且m!( n- m)!,9) 组合数的性质(1)C m n= C n n-m(规定 C0n= 1);m m m- 1(2) C n+1= C n+ C n .六二项式定理,1)二项式定理n0 n 1 n -1r n-r r n n*),这个公式所表示的定理叫做二(a+ b)= C n a+ C n a b++ C n a b ++ C n b (n∈N项式定理,右边的多项式叫做(a+ b)n的二项展开式,它共有n+ 1 项,各项的系数 C n r(r =0,1,, n)叫做二项式系数, C n r a n-r b r叫做二项展开式的通项,用 T r+1表示,即通项 T r+1= C n r a n - r rb .,2) 二项式系数的性质1) 二项式系数的函数特点: (a + b)n 展开式的二项式系数是C n 0, C n 1,C n 2, , C n n .C n r 可以看成以 r 为自变量的函数f(r) ,定义域是 {0 ,1, 2, , n} ,例如:当 n = 6 时,其图象是 7个孤立的点 (如图 ).2 )3 )对称性: 与首末两端“等距离”的两个二项式系数相等,即mn -m.C n = C n kn ( n - 1)( n - 2) ( n - k +1) k -1 n - k + 1 增减性与最大值 :因为 C n == C n ·,所k !kkk - 1 n - k + 1 n - k +1 >1? n + 1 n + 1以 C n 相对于 C n 的增减情况由k 决定, k k< 2 .所以当 k< 时,二项式2系数逐渐增大.由对称性知它的后半部分是逐渐减小的,且在中间取得最大值;当n 是偶数nn - 1n +1时,中间一项C 2取得最大值;当n 是奇数时,中间两项C2, C2n 取得最大值.nn4) 各二项式系数和: n012rn2 = C n + C n + C n + + C n + + C n .七 随机变量及其概率分布,1) 随机变量如果随机试验的结果可以用一个变量来表示,那么这样的变量叫做随机变量.随机变量常用字母 X , Y , ξ , η, 表示.,2) 离散型随机变量对于随机变量可能取的值,可以按一定次序一一列出,这样的随机变量叫做离散型随机变量.,3) 离散型随机变量分布列设离散型随机变量 ξ可能取得值为 x 1, x 2, , x i , , ξ 取每一个值x i (i = 1, 2, )的概率为 P(ξ= x i ) =p i ,则称表ξx 1 x 2 x i Pp 1p 2p i为随机变量 ξ的概率分布,简称ξ的分布列.,4) 01 分布 (两点分布 )如果随机变量 X 的分布列为X 0 1P1- pp则称 X 服从两点分布,而称p = P(X = 1)为成功概率.八超几何分布一般地,在含有M 件次品的 N 件产品中,任取n 件,其中恰有 X 件次品,则事件“ Xkn -k= k ”发生的概率为C M C N-MP(X = k)=n, k = 1, 2, , m ,其中 m = min{M , n} ,且 n ≤ N ,C NM ≤ N , n , M ,N ∈N * ,称分布列X1m0 n - 01 n -1m n -mPC M C N-MC M C N-MC M C N -MnnnC NC NC N为超几何分布列,如果随机变量X 的分布列为超几何分布列,则称随机变量 X 服从超几何分布.九 独立性,1) 条件概率P (AB )为在事件 A1) 定义:一般地,设 A ,B 是两个事件,且P(A)>0 ,称 P(B|A) = P ( A )发生的条件下事件 B 发生的条件概率.2) 性质(1) 条件概率也是一种概率,它有概率的基本属性:0≤ P(B|A) ≤ 1. (2) 必然事件的条件概率为 1,不可能事件的条件概率为0.(3) 条件概率的加法公式: 如果 B 和 C 是两个互斥事件, 则 P(B ∪ C|A) = P(B|A) + P(C|A) .,2) 事件的独立性1) 定义(1) 设 A , B 为两个事件,如果P(AB) = P(A)P(B) ,则称事件 A 与事件 B 相互独立.(2) 如果事件 A 与 B 相互独立,则 - - - -也都相互独立.A 与B , A 与 B ,A 与 B 2) 互斥事件与相互独立事件的关系(1) 二者的相同点是描绘两个事件间的关系;互斥事件强调不可能同时发生,相互独立则强调一个事件的发生与否对另一事件发生的概率没有影响;互斥的两个事件可以独立,独立的两个事件也可互斥.(2) 已知两个事件 A , B 发生的概率分别为 P(A) , P(B),那么 A , B 中至少有一个发生的事件为 A + B ;都发生的事件为 AB ;都不发生的事件为 --;恰有一个发生的事件为 - A B A B-- - --+ A B ;至多有一个发生的事件为A B + A B + A B .它们之间的概率关系如下表所示:A ,B 互斥A ,B 相互独立 P(A + B) P(A) + P(B)- -1- P(A )P( B )P(AB)P(A)P(B)--1-[P(A) + P(B)]--P(A B)P(A )P( B )--P(A)+ P(B)--P(A B+ A B)P(A)P( B )+ P( A )P(B)----11- P(A)P(B)P(A B+AB+A B)十二项分布,1)独立重复试验1)定义:一般地,在相同的条件下重复做的n 次试验称为 n 次独立重复试验.2)条件(1)每次试验是在同样条件下进行;(2)各次试验中的条件是相互独立的;(3)每次试验都只有两种结果,即事件要么发生,要么不发生.,2) 二项分布一般地,在 n 次独立重复试验中,每次试验事件 A 发生的概率均为p(0<p<1) ,事件 A恰好发生 k(0 ≤ k≤n)次的概率为k k n- k, p+ q= 1,k= 0, 1, 2,, n,它恰好是P n(k) =C n p q(q+ p)n的二项展开式中的第k+1项.若随机变量 X 的分布列为 P(X =k) = C n k p k q n-k,其中 0<p<1,p+q= 1,k= 0,1,2,,n,称 X 服从参数为 n, p 的二项分布.记作 X ~ B(n , p).十一随机变量的均值和方差,1) 离散型随机变量的均值1)定义:一般地,若离散型随机变量X 的概率分布为X x1x2x nP p1p2p n则称 E(X) = x1p1+ x2p2++ x n p n为离散型随机变量 X 的均值或数学期望.2)性质:E(X)是一个实数,由X 的分布列唯一确定.即作为随机变量X 是可变的,可取不同值,但 E(X) 是不变的,它描述X 取值的平均状态.,2) 离散型随机变量的方差与标准差n2p1+ (x2- E(X))2p2++ ( x n- E(X))2 pn,称1)定义:V(X)=(x i- E(X))2 p i= (x1- E(X))i = 1V(X)为随机变量 X 的方差 .V( X)叫做随机变量X 的标准差.2)性质(1)E(aX + b)= aE(X) + b,V(aX +b)= a2V(X)(a , b 为常数 );(2)若 X 服从两点分布,则 E(X) = p, V(X) = p(1-p);(3)若 X ~ B(n, p),则 E(X) = np,V(X) =np(1- p).选修 42矩阵与变换,1) 矩阵的有关概念(1) 零矩阵:矩阵中的每一个数字都为 0.a 11(2) 行矩阵 [a 11a 12],也叫做行向量;列矩阵,也叫做列向量.a 12(3) m 行 n 列矩阵: 由 m × n 个数据组成, 排成 m 行 n 列,称为 m 行 n 列矩阵. 特别地, n 行 n 列矩阵叫做 n 阶方阵.,2) 常见的平面变换(1) 恒等变换:平面上任一点 (向量 )或图形的位置保持不变. (2) 伸压变换:沿着特定坐标轴方向伸长或者压缩. (3) 反射变换:将平面上的点关于定直线或定点对称的变换.(4) 旋转变换:以某个定点为旋转中心,将平面的图形旋转一定角度. (5) 投影变换:将平面上的图形投影到某条直线(或某个点 ).(6) 切变变换:平面上任意一点, 保持纵坐标 (横坐标 )不变,而横坐标 (纵坐标 )依纵坐标 (横坐标 )的比例增加的变换.,3) 矩阵的乘法(1) 定义:一个平面列向量x a 11 a 12 x 左乘一个二阶矩阵a 21 的作用就是把列向量变成ya 22ya 11x + a 12y.另一个列向量a 21x + a 22y(2) 几何意义:在于它对应平面上的点与点之间某种几何变换.(3) 二阶矩阵与二阶矩阵的乘法:a 11 a 12b 11 b 12 a 11b 11+ a 12b 21 a 11b 12+ a 12b 22 ① 法则:a 22b 21 =a 21b 11+a 22b 21 .a 21b 22a 21b 12+ a 22b 22② 几何意义:表示的是原来两个矩阵对应的连续两次变换.,4) 二阶矩阵的逆矩阵(1) 概念:所谓“逆变换”是指原变换的逆过程.设A 是一个二阶矩阵,如果存在二阶矩阵 B ,使得 AB = BA = E ,则称 A 可逆,或称矩阵 A 是可逆矩阵, 并称 B 是 A 的逆矩阵. 若二阶矩阵 A 存在逆矩阵 B ,则逆矩阵是唯一的.通常记A 的逆矩阵为 A- 1.(2) a b是可逆矩阵,且它的逆矩阵为A - 1=公式:当 ad - bc ≠ 0,矩阵 A =dcd- bad - bc ad - bc- c .aad - bc ad -bc(3) 性质:若二阶矩阵A ,B 存在逆矩阵,则AB 也存在逆矩阵,其中-1= B -1- 1(AB ) A ,- 1-1 -1(BA ) = A B .(4) 特征: 从几何变换的角度可以看出,逆矩阵实际上就是对应着原变换的逆变换.当一个矩阵表示的是平面向量的一个映射时,它才是可逆的.特殊地,零矩阵所对应的变换及投影变换不是一一映射,故不存在逆矩阵.(5)a b= ad- bc 称为二阶行列式,也称为二阶矩阵a b二阶行列式:把dA=c的c d行列式,记为 det(A).(6)ax+by= m,a b二元一次方程组的解:若二元一次方程组的系数矩阵A=d可逆,cx+ dy= n cx a b-1 m那么该方程组有唯一的解=c d .y n,5) 二阶矩阵的特征值与特征向量1)特征值(1)定义:设 A 是一个二阶矩阵,如果对于实数λ,存在一个非零向量α,使得 Aα=λα,那么称λ为 A 的一个特征值.(2)求解方法:设 A=a b是一个二阶矩阵,λ ∈ R,把行列f(λ)=λ - a- b c d- cλ- d2=λ- (a+d)λ+ ad- bc 称为A的特征多项式,如果λ是二阶矩阵A的特征值,则λ一定是方程 f(λ)= 0 的根.2)特征向量(1) 定义:设A是一个二阶矩阵,如果对于实数λ,存在一个非零向量α,使得Aα=λα,那么称λ为 A 的一个特征值,而α称为 A 的属于特征值λ的一个特征向量,特别地,当λ=0时,特征向量就成了零向量.(2)求解方法:①写出矩阵 A 的特征多项式f( λ);②求方程 f(λ)= 0 的根,即为矩阵的特征值;③将λ的值代入特征方程组,得到特征向量.(3)列矩阵的特殊性质: Mβ=M (mα1+ nαα+nλα2)=m(Mα1)+n(Mα2)=mλ1122.选修 44坐标系与参数方程,1) 极坐标系1)概念一般地,在平面上取一个定点O,自点 O 引一条射线 Ox,同时确定一个长度单位和计算角度的正方向 (通常取逆时针方向为正方向),这样就建立了一个极坐标系.其中,点O 称为极点,射线Ox 称为极轴.设 M 是平面上任一点,ρ 表示OM的长度,θ 表示以射线Ox 为始边,射线 OM 为终边所成的角.那么,有序数对( ρ,θ )称为点M 的极坐标.显然,每一个有序实数对( ρ,θ) 决定一个点的位置.其中,ρ称为点 M 的极径,θ称为点 M 的极角.2)极坐标和直角坐标的互化直角坐标化极坐标:x=ρcosθ, y=ρsinθ ;极坐标化直角坐标:ρ 2=x2+y2,tanyθ=x(x≠ 0).3)直线的极坐标方程(1)过极点,倾斜角为α的直线:θ=α及θ=α+π .(2) 过 A(a ,α )垂直于极轴的直线:ρcosθ =acosα .。
(这是边文,请据需要手工删加)绝密★启用前A 卷2019年普通高等学校招生全国统一考试(江苏模拟卷)数学Ⅱ(附加题)注意事项:1. 附加题供选修物理的考生使用.2. 本试卷共40分,考试时间30分钟.3. 答题前,考生务必将自己的学校、班级、姓名写在密封线内.21. 【选做题】本题包括A 、B 、C 共3小题,请选定其中两小题,并在相应的答题区域内作答.若多做,则按作答的前两小题评分.解答时应写出文字说明、证明过程或演算步骤.A . 选修4-2:矩阵与变换(本小题满分10分)已知⎣⎢⎡⎦⎥⎤2003A =⎣⎢⎡⎦⎥⎤400-3, 求矩阵A -1.B . 选修4-4:坐标系与参数方程(本小题满分10分)已知曲线C 的极坐标方程为ρ2=123+sin 2θ,P(x ,y)是曲线C 上的一动点,求x 2+y 的最小值.C. 选修4-5:不等式选讲(本小题满分10分)已知实数x,y,z满足x2+9y2+4z2+m=0(m<0),且x+y+z≤21,求m的值.【必做题】第22,23题,每小题10分,共20分.解答时应写出必要的文字说明、证明过程或演算步骤.22. (本小题满分10分)如图,在三棱柱ABC A 1B 1C 1中,底面是边长为23的正三角形,点A 1在底面ABC 上的射影O 恰是BC 的中点,侧棱AA 1和底面成45°角.(1) 若D 为侧棱A 1A 上一点,当A 1D DA为何值时,BD ⊥AC? (2) 求二面角A 1 AC B 的余弦值的大小.(第22题)23. (本小题满分10分)已知n ∈N *,a n ∈Z ,b n ∈Z ,且(1+6)n =6a n +b n .(1) 求a 5+b 5;(2) 是否存在n ∈N *,使b n =42 019?若存在,求出所有n 的值,若不存在,请说明理由.(这是边文,请据需要手工删加)2019年普通高等学校招生全国统一考试(江苏模拟卷) A 卷数学Ⅱ(附加题)参考答案及评分标准21. A. 【解答】设A =⎣⎢⎡⎦⎥⎤a b c d ,则⎣⎢⎡⎦⎥⎤2003A =⎣⎢⎡⎦⎥⎤2a 2b 3c 3d =⎣⎢⎡⎦⎥⎤400-3,(3分) 故⎩⎪⎨⎪⎧a =2,b =0,c =0,d =-1,所以A =⎣⎢⎡⎦⎥⎤200-1, 所以A -1=⎣⎢⎢⎡⎦⎥⎥⎤1200-1.(10分) B. 【解答】对于曲线C ,去分母,得3ρ2+ρ2sin 2θ=12, 即3x 2+3y 2+y 2=12,化简得x 24+y 23=1.(5分) 设x =2cosα,y =3sinα,则x 2+y =cosα+3sinα=2sin ⎝⎛⎭⎫α+π6,故x 2+y 的最小值为-2.(10分) C. 【解答】由柯西不等式知[x 2+(3y)2+(2z)2]·⎣⎡⎦⎤12+⎝⎛⎭⎫132+⎝⎛⎭⎫122≥⎝⎛⎭⎫x +13×3y +12×2z 2. 因为x 2+9y 2+4z 2=-m(m<0),所以-4936m ≥(x +y +z)2,即-7-m 6≤x +y +z ≤7-m 6. 因为x +y +z≤21,所以7-m 6=21,解得m =-324.(10分) 22.(第22题)【解答】以O 点为原点,OC 为x 轴,OA 为y 轴,OA 1为z 轴建立如图所示的空间直角坐标系.由题意知∠A 1AO =45°,A 1O =3,所以O(0,0,0),C(3,0,0),A(0,3,0),A 1(0,0,3),B(-3,0,0).(1) 设AD =a ,则D ⎝⎛⎭⎫0,3-22a ,22a ,所以BD →=⎝⎛⎭⎫3,3-22a ,22a ,AC →=(3,-3,0).要使BD ⊥AC ,则需BD →·AC →=3-3⎝⎛⎭⎫3-22a =0,得a =22, 而AA 1=32,所以A 1D =2,所以A 1D DA =222=12.(5分) 故当A 1D DA =12时,BD ⊥AC. (2) 因为AA 1→=(0,-3,3),AC →=(3,-3,0),设平面ACA 1的法向量为n 1=(x ,y ,z),则⎩⎪⎨⎪⎧n 1·AC →=(x ,y ,z )·(3,-3,0)=3x -3y =0,n 1·AA 1→=(x ,y ,z )·(0,-3,3)=-3y +3z =0. 令z =1,则x =3,y =1,所以n 1=(3,1,1).(7分) 又平面ABC 的一个法向量为n 2=(0,0,1),(8分) 所以cos 〈n 1,n 2〉=3×0+1×0+1×112+12+(3)2×1=55. 显然所求二面角的平面角为锐角,故所求二面角的余弦值的大小为55.(10分) 23. 【解答】(1) 当n =5时,(1+6)5=C 05+C 156+C 25(6)2+…+C 55(6)5=[C 05+C 25(6)2+C 45(6)4]+[C 156+C 35(6)3+C 55(6)5]=241+1016,故a 5=101,b 5=241,则a 5+b 5=342.(4分)(2) 方法一:(1+6)n =C 0n +C 1n 6+C 2n (6)2+…+C n n (6)n .①当n 为奇数时,b n =C 0n +C 2n (6)2+C 4n (6)4+…+C n -1n (6)n -1, 当n =1时,b 1=1是奇数;当n ≥3时,C 2n (6)2+C 4n (6)4+…+C n -1n (6)n -1是偶数,故b n 为奇数.(8分) ②当n 为偶数时,b n =C 0n +C 2n (6)2+C 4n (6)4+…+C n n (6)n ,同样可知b n 为奇数.综上可知b n 为奇数,而42 019为偶数,故不存在n ∈N *,使b n =42 019.(10分) 方法二:①当n =1时,b 1=1是奇数.(6分)②假设n =k 时, (1+6)k =6a k +b k ,其中b k 为奇数,则当n =k +1时, (1+6)k +1=(1+6)(1+6)k =(6a k +b k )(1+6)=6(a k +b k )+6a k+b k .(8分)所以b k +1=6a k +b k ,由题设知b k 为奇数,而6a k 为偶数,故b k +1是奇数. 由①②知b n 为奇数,而 42 019为偶数,故不存在n ∈N *,使b n =42 019.(10分)。
高三数学练习卷一、填空题:本大题共14小题,每小题5分,共计70分.不需要写出解答过程,请把答案直接填在答题卡相应位置上.1. 己知集合则= ▲ .2. 设i是虚数单位,复数的模为1,则正数a的值为▲ .3. 为了解某团战士的体重情况,采用随机抽样的方法,将样本体重数据整理后,画出了如图所示的频率分布直方图,己知图中从左到右前三个小组频率之比为1:2:3,第二小组频数为12,则全团共抽取人数为▲ .4. 执行如图所示的程序框图,输出的k的值为▲ .5. 设记“以(x,y)为坐标的点落在不等式所表示的平面区域内”为事件A,则事件A发生的概率为▲ .6.已知△ABC的三边a,b,c所对的角分别为A,B,C,若a>b且则A= ▲ .7. 已知等比数列满足且则▲.8. 己知函数若则实数a的值是▲ .9. 如图,在一个圆柱形容器内盛有高度为8cm的水,若放入三个相同的球(球的半径与圆柱的底面半径相同)后,水恰好淹没最上面的球,则此圆柱底面的半径是▲ cm.10.在平面直角坐标系中,己知点A,F分别为椭圆的右顶点和右焦点,过坐标原点O的直线交椭圆C于P,Q两点,线段AP的中点为M,若Q,F,M三点共线,则椭圆C的离心率为▲ .11. 设函数若且则的取值范围是▲ .12.已知圆上存在两点A,B,P为直线x=5上的一个动点,且满足AP⊥BP,则点P的纵坐标取值范围是▲ .13. 如图,已知P是半径为2,圆心角为的一段圆弧AB上一点,则的最小值为▲ .14. 己知实数a,b,c满足(e为自然对数的底数),则的最小值是▲ .二、解答题:本大题共6小题,共计90分.请在答题卡指定区域内作答,解答时应写出文字说明、证明过程或演算步骤.15.(本小题满分14分)己知向量(1)若a∥b,求的值;(2)若求的值.16.(本小题满分14分)如图,四棱锥P-ABCD的底面ABCD是平行四边形,平面PBD⊥平面ABCD,PB= PD,P A⊥PC,CD⊥PC,O、M分别是BD,PC的中点,连结OM.求证:(1) OM∥平面P AD;(2) OM⊥平面PCD.己知椭圆的左、右焦点分别为离心率为,P 是椭圆C上的一个动点,且面积的最大值为(1)求椭圆C的方程;(2)设斜率不为零的直线与椭圆C的另一个交点为Q,且PQ的垂直平分线交y轴于点求直线PQ的斜率.18.(本小题满分16分)如图为一块边长为2km的等边三角形地块ABC,为响应国家号召,现对这块地进行绿化改造,计划从BC的中点D出发引出两条成60°角的线段DE和DF,与AB和AC围成四边形区域AEDF,在该区域内种上草坪,其余区域修建成停车场,设∠(1)当时,求绿化面积;(2)试求地块的绿化面积的取值范围.数列的前n项和记为,且数列是公比为q的等比数列,它的前n项和记为若且存在不小于3的正整数k,m,使(1)若求(2)证明:数列为等差数列;(3)若是否存在整数m,k,使若存在,求出m,k的值;若不存在,说明理由.20.(本小题满分16分)若函数和同时在x=t处取得极小值,则称和为一对“P(t)函数”.(1)试判断与是否是一对“P(1)函数”;(2)若与是一对“P(t)函数”.①求a和t的值;②若a<0,若对于任意∞恒有求实数m的取值范围.高三数学练习卷附加题21. 【选做题】本题包括A,B,C三小题,请选定其中两小题作答,若多做,则按作答的前两小题评分.解答时应写出文字说明、证明过程或演算步骤.A选修4-2:矩阵与变换变换是逆时针旋转的旋转变换,对应的变换矩阵是变换对应用的变换矩阵是求曲线的图象依次在变换的作用下所得曲线的方程.B.选修4-4:极坐标与参数方程在直角坐标系xOy中,以坐标原点O为极点,以x轴正半轴为极轴,建立极坐标系,直线l的极坐标方程为设点P是曲线上的动点,求P到直线l距离的最大值.C.选修4-5:不等式选讲已知函数若存在实数x,使不等式成立,求实数m的最小值,【必做题】第22题、第23题,每题10分,共计20分.解答时应写出文字说明、证明过程或演算步骤.22.(本小题满分10分)在四棱锥中∠△P AD为正三角形,且平面PAD⊥平面ABCD.(1)求二面角P-EC-D的余弦值;(2)线段PC上是否存在一点M,使得异面直线DM和PE所成的角的余弦值为?若存在,指出点M的位置;若不存在,请说明理由.23.(本小题满分10分)已知非空集合M满足M N*若存在非负整数使得当时,均有则称集合M具有性质P,记具有性质P的集合M的个数为(1)求的值;(2)求的表达式.。
2019年普通高等学校招生全国统一考试(江苏卷)理科数学注意事项:1、答卷前,考生务必将自己的姓名、考生号、考场号和座位号填写在答题卡上,用2B 铅笔将试卷类型(B )填涂在答题卡相应位置上,将条形码横贴在答题卡右上角“条形码粘贴处”。
2. 作答选择题时,选出每小题答案后,用2B 铅笔在答题卡上对应题目选项的答案信息点涂黑;如需改动,用橡皮擦干净后,再选涂其他答案。
答案不能答在试卷上3. 非选择题必须用黑色字迹的钢笔或签字笔作答,答案必须写在答题卡各题目指定区域内相应位置,如需改动,先划掉原来的答案,然后再写上新答案;不准使用铅笔或涂改液。
不按上上要求作答无效。
4. 考生必须保证答题卡的整洁。
考试结束后,将试卷和答题卡一并交回。
参考公式:样本数据12,,,n x x x L 的方差()2211n i i s x x n ==-∑,其中11ni i x x n ==∑柱体的体积V Sh =,其中S 是柱体的的底面积,h 是柱体的高; 锥体的体积13V Sh =,其中S 是锥体的的底面积,h 是锥体的高;一、填空题:本题共14小题,每小题5分,共70分,请将答案填写在答题卡相应位置上 1. 已知集合{}1,0,1,6A =-,{}|0,B x x x R =>∈,则A B =I▲ .2. 已知复数()()21a i i ++的实部为0,其中i 为虚数单位,则实数a 的值是 ▲ .3. 右图是一个算法流程图,则输出的S 的值是 ▲ .4.函数y =的定义域是 ▲ .第3题5. 已知一组数据6,7,8,8,9,10,则该组数据的方差是 ▲ .6. 从3名男同学和2名女同学中任选2名同学参加志愿者服务,则选出的2名同学中至少有1名女同学的概率是 ▲ .7. 在平面直角坐标系xOy 中,若双曲线()22210y x b b-=>经过点()3,4,则该双曲线的渐近线方程是 ▲ .8.已知数列{}()*n a n N ∈是等差数列,n S 是其前n 项和,若2580a a a +=,927S =,则6S 的值 ▲ .9. 如图,长方体1111ABCD A BC D -的体积是120, E 为1CC 的中点,则三棱锥E BCD -10. 在平面直角坐标系xOy 中,P 是曲线()40y x x x=+>上的一个动点,则点P 到直线0x y +=的距离最小值 ▲ .11. 在平面直角坐标系xOy 中,点A 在曲线ln y x =上,且该曲线在点A 的切线经过点(),1e --(e 为自然对数的底数),则点A 的坐标是 ▲ . 12. 如图,在ABC ∆中,D 是BC 的中点,E 在边AB 上,2,BE EA AD =与CE 交于点O ,若6AB AC AO EC ⋅=⋅uu u r uuu r uuu r uu u r ,则AB AC的值是 ▲ .13 . 已知tan 23tan 4απα=-⎛⎫+ ⎪⎝⎭,则sin 24πα⎛⎫+ ⎪⎝⎭的值是 ▲ .14. 设()(),f x g x 是定义在R 上的两个周期函数,()f x 的周期为4,()g x 的周期为2,且()f x 是奇函数,当()0,2x ∈时,()f x ()()2,011,122k x x g x x ⎧+<≤⎪=⎨-<≤⎪⎩,其中0k >若在区间(]0,9上,关于x 的方程()()f x g x =有8个不同的实数根,则k 的取值范围是第12题B 第9题EA 1。
江苏省常州市2019届高三上学期期末考试数学附加题21. 【选做题】在A、B、C三小题中只能选做2题,每小题10分,共20分.解答时应写出必要的文字说明、证明过程或演算步骤.A。
选修42:矩阵与变换已知点(1,2)在矩阵A=错误!对应的变换作用下得到点(7,6).(1)求矩阵A;(2) 求矩阵A的特征值及对应的特征向量.B。
选修4。
4:坐标系与参数方程在平面直角坐标系xOy中,以原点O为极点,x轴非负半轴为极轴,建立极坐标系.直线l的参数方程为错误!(t为参数),曲线C的极坐标方程为ρ=2错误!sin错误!,求直线l被曲线C所截的弦长.C. 选修4。
5:不等式选讲已知a〉0,b>0,求证:a+b+1≥ab+错误!+错误!.【必做题】第22,23题,每小题10分,共20分.解答时应写出必要的文字说明、证明过程或演算步骤.22. (本小题满分10分)如图,在空间直角坐标系Oxyz中,已知正四棱锥PABCD的高OP=2,点B,D 和C,A分别在x轴和y轴上,且AB=2,点M是棱PC的中点.(1) 求直线AM与平面PAB所成角的正弦值;(2)求二面角APBC的余弦值.(第22题)23。
(本小题满分10分)是否存在实数a,b,c使得等式1·3·5+2·4·6+…+n(n+2)(n+4)=错误! (an2+bn+c)对于一切正整数n都成立?若存在,求出a,b,c的值;若不存在,请说明理由。
江苏省常州市2019届高三上学期期末考试数学附加题参考答案及评分标准21. A。
(1)由题意知错误!错误!=错误!,即错误!解得错误!所以A=错误!.(3分)(2) f(λ)=错误!=(λ-1)(λ-2)-6=λ2-3λ-4,令f(λ)=0,得λ2-3λ-4=0,解得λ1=-1,λ2=4.(5分)当λ1=-1时,错误!取错误!所以属于λ1=-1的一个特征向量为错误!,当λ2=4时,错误!取错误!所以属于λ2=4的一个特征向量为错误!.(9分)所以矩阵A 的特征值为λ1=-1,λ2=4,对应的一个特征向量分别为错误!,错误!.(10分)B. 直线l 的普通方程为x -2y -1=0,曲线C 的直角坐标方程为(x -1)2+(y -1)2=2,(4分) 所以曲线C 是圆心为C (1,1),半径为r =错误!的圆,(6分)所以圆心C (1,1)到直线l 的距离为d =错误!=错误!,(8分)所以直线l 被曲线C 所截的弦长为2错误!=2错误!=错误!.(10分)C. 因为a 〉0,b >0,由柯西不等式可得(a +b +1)(b +1+a )≥(错误!+错误!+错误!)2, 当且仅当错误!=错误!=错误!时取等号,所以(a +b +1)2≥(错误!+错误!+错误!)2.又因为a +b +1>0,错误!+错误!+错误!>0,所以a +b +1≥错误!+错误!+错误!。
3个附加题综合仿真练(四)(理科)1.本题包括A 、B 、C 三个小题,请任选二个作答A .[选修4-2:矩阵与变换]已知矩阵A =错误!,X =错误!,且AX =错误! ,其中x ,y ∈R 。
(1)求x ,y 的值;(2)若B =⎣⎢⎡]1 -10 2,求(AB )-1。
解:(1)AX =错误! 错误! = 错误! 。
因为AX =错误!,所以错误!解得x =3,y =0.(2)由(1)知A =错误! ,又B =错误! ,所以AB =错误!错误!=错误! 。
设(AB )-1= 错误!,则错误!错误!=错误!,即错误!=错误!。
所以错误!解得a =错误!,b =-错误!,c =0,d =错误!,即 (AB )-1= 错误! .B .[选修4-4:坐标系与参数方程]在平面直角坐标系xOy 中,直线l 的参数方程为错误!(t 为参数),以坐标原点O 为极点,x 轴正半轴为极轴的极坐标系中,曲线C 的极坐标方程为ρsin 2θ-4cos θ=0,已知直线l 与曲线C 相交于A ,B 两点,求线段AB 的长.解:因为曲线C 的极坐标方程为ρsin 2θ-4cos θ=0,所以ρ2sin 2θ=4ρcos θ,即曲线C 的直角坐标方程为y 2=4x .将直线l 的参数方程错误!代入抛物线方程y 2=4x ,得错误!2=4错误!,即t 2+8错误!t =0,解得t 1=0,t 2=-8错误!.所以AB =|t 1-t 2|=8错误!。
C .[选修4-5:不等式选讲]已知a ,b ,c ∈R ,a 2+b 2+c 2=1,若|x -1|+|x +1|≥(a -b +c )2对任意的实数a ,b ,c 恒成立,求实数x 的取值范围.解:因为a ,b ,c ∈R ,a 2+b 2+c 2=1,所以由柯西不等式得(a -b +c )2≤(a 2+b 2+c 2)·[12+(-1)2+12]=3,因为|x -1|+|x +1|≥(a -b +c )2对任意的实数a ,b ,c 恒成立,所以|x -1|+|x +1|≥3。
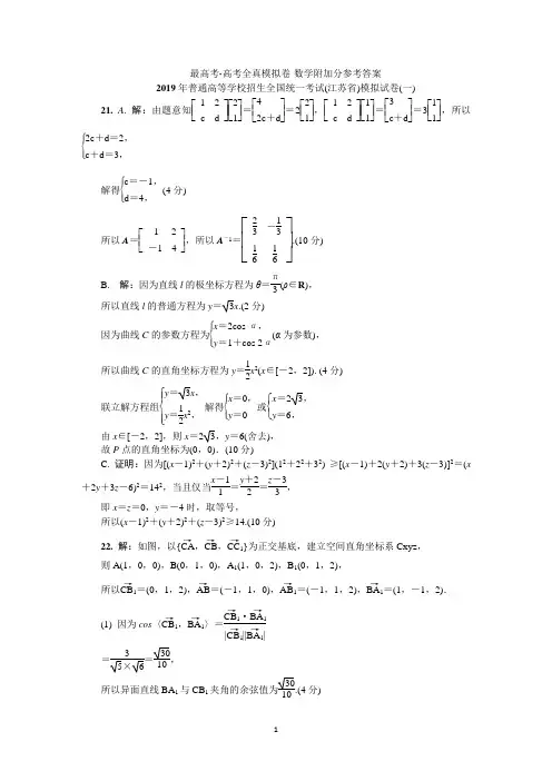
最高考·高考全真模拟卷·数学附加分参考答案2019年普通高等学校招生全国统一考试(江苏省)模拟试卷(一)21. A . 解:由题意知⎣⎢⎡⎦⎥⎤12c d ⎣⎢⎡⎦⎥⎤21=⎣⎢⎡⎦⎥⎤42c +d =2⎣⎢⎡⎦⎥⎤21,⎣⎢⎡⎦⎥⎤12c d ⎣⎢⎡⎦⎥⎤11=⎣⎢⎡⎦⎥⎤3c +d =3⎣⎢⎡⎦⎥⎤11,所以⎩⎪⎨⎪⎧2c +d =2,c +d =3, 解得⎩⎪⎨⎪⎧c =-1,d =4,(4分)所以A =⎣⎢⎡⎦⎥⎤ 12-14,所以A -1=⎣⎢⎡⎦⎥⎤23-131616.(10分) B. 解:因为直线l 的极坐标方程为θ=π3(ρ∈R ),所以直线l 的普通方程为y =3x .(2分)因为曲线C 的参数方程为⎩⎪⎨⎪⎧x =2cos α,y =1+cos 2α(α为参数),所以曲线C 的直角坐标方程为y =12x 2(x ∈[-2,2]). (4分)联立解方程组⎩⎪⎨⎪⎧y =3x ,y =12x 2,解得⎩⎪⎨⎪⎧x =0,y =0或⎩⎨⎧x =23,y =6,由x ∈[-2,2],则x =23,y =6(舍去),故P 点的直角坐标为(0,0).(10分)C. 证明:因为[(x -1)2+(y +2)2+(z -3)2](12+22+32) ≥[(x -1)+2(y +2)+3(z -3)]2=(x +2y +3z -6)2=142,当且仅当x -11=y +22=z -33,即x =z =0,y =-4时,取等号,所以(x -1)2+(y +2)2+(z -3)2≥14.(10分)22. 解:如图,以{CA →,CB →,CC 1→}为正交基底,建立空间直角坐标系Cxyz , 则A(1,0,0),B(0,1,0),A 1(1,0,2),B 1(0,1,2),所以CB 1→=(0,1,2),AB →=(-1,1,0),AB 1→=(-1,1,2),BA 1→=(1,-1,2). (1) 因为cos 〈CB 1→,BA 1→〉=CB 1→·BA 1→|CB 1→||BA 1→|=35×6=3010, 所以异面直线BA 1与CB 1夹角的余弦值为3010.(4分)(2) 设平面CAB 1的法向量为m =(x ,y ,z ), 则⎩⎪⎨⎪⎧m ·AB 1→=0,m ·CB 1→=0,即⎩⎪⎨⎪⎧-x +y +2z =0,y +2z =0,取平面CAB 1的一个法向量为m =(0,2,-1).设平面BAB 1的法向量为n =(r ,s ,t ), 则⎩⎪⎨⎪⎧n ·AB 1→=0,n ·AB →=0,即⎩⎪⎨⎪⎧-r +s +2t =0,-r +s =0,取平面BAB 1的一个法向量为n =(1,1,0), 则cos 〈m ,n 〉=m ·n |m||n|=25×2=105.易知二面角BAB 1C 为锐角, 所以二面角BAB 1C 平面角的余弦值为105.(10分) 23. 解:(1) 由已知得a 3=70,a 4=180, 所以当n =2时,a 2n -a n -1a n +1=-500; 当n =3时,a 2n -a n -1a n +1=-500.(2分)猜想:a 2n -a n -1a n +1=-500(n ≥2). 下面用数学归纳法证明: ① 当n =2时,结论成立.② 假设当n =k(k ≥2,k ∈N *)时,结论成立, 即a 2k -a k -1a k +1=-500.将a k +1=3a k -a k -1代入上式,可得a 2k -3a k a k -1+a 2k -1=-500, 则当n =k +1时,a 2k +1-a k a k +2=a 2k +1-a k (3a k +1-a k )=a 2k +1-3a k a k +1+a 2k =-500,故当n =k +1时结论成立, 根据①②可得a 2n -a n -1a n +1=-500(n ≥2)成立.(4分) (2) 将a n -1=3a n -a n +1代入a 2n -a n -1a n +1=-500,得a 2n +1-3a n a n +1+a 2n =-500, 则5a n +1a n =(a n +1+a n )2+500, 5a n a n +1+1=(a n +1+a n )2+501. 设5a n +1a n +1=t 2(t ∈N *), 则t 2-(a n +1+a n )2=501,即[t -(a n +1+a n )](t +a n +1+a n )=501.又a n +1+a n ∈N *,且501=1×501=3×167,故⎩⎪⎨⎪⎧a n +1+a n -t =-1,a n +1+a n +t =501或⎩⎪⎨⎪⎧a n +1+a n -t =-3,a n +1+a n +t =167,所以⎩⎪⎨⎪⎧t =251,a n +1+a n =250或⎩⎪⎨⎪⎧t =85,a n +1+a n =82.由a n +1+a n =250,解得n =3; 由a n +1+a n =82,得n 无整数解, 所以当n =3时,满足条件.(10分)2019年普通高等学校招生全国统一考试(江苏省)模拟试卷(二)21. A . 解:设B -1=⎣⎢⎡⎦⎥⎤a b c d ,因为(BA )-1=A -1B -1,所以⎣⎢⎡⎦⎥⎤1001=⎣⎢⎡⎦⎥⎤1234⎣⎢⎡⎦⎥⎤a b c d , 即⎩⎪⎨⎪⎧a +2c =1,b +2d =0,3a +4c =0,3b +4d =1,解得⎩⎪⎨⎪⎧a =-2,b =1,c =32,d =-12,所以B -1=⎣⎢⎢⎡⎦⎥⎥⎤-2 1 32-12.(10分) B. 解:由ρsin ⎝⎛⎭⎫θ-π3=3,可得ρ⎝⎛⎭⎫12sin θ-32cos θ=3,所以y -3x =6,即3x -y +6=0.(4分)由⎩⎪⎨⎪⎧x =2cos θ,y =2sin θ得x 2+y 2=4,圆的半径为r =2, 所以圆心到直线l 的距离d =62=3,所以P 到直线l 的距离的最大值为d +r =5.(10分) C .证明:由题得a 6+b 6-ab (a 4+b 4) =a 5(a -b )-(a -b )b 5 =(a -b )(a 5-b 5)=(a -b )2(a 4+a 3b +a 2b 2+ab 3+b 4).(4分) 又a ≥0,b ≥0,∴ a 6+b 6-ab (a 4+b 4)≥0, 即a 6+b 6≥ab (a 4+b 4).(10分)22. 解:(1) 比赛结束后甲的进球数比乙的进球数多1个有以下几种情况:甲进1球,乙进0球;甲进2球,乙进1球;甲进3球,乙进2球.所以比赛结束后甲的进球数比乙的进球数多1个的概率为P =C 13×23×⎝⎛⎭⎫132×⎝⎛⎭⎫123+C 23×⎝⎛⎭⎫232×13×C 13×⎝⎛⎭⎫123+C 33×⎝⎛⎭⎫233×C 23×⎝⎛⎭⎫123=1136.(3分) (2) ξ的取值为0,1,2,3,则P (ξ=0)=⎝⎛⎭⎫133×⎝⎛⎭⎫123+C 13×23×⎝⎛⎭⎫132×C 13×⎝⎛⎭⎫123+C 23×⎝⎛⎭⎫232×13×C 23×⎝⎛⎭⎫123+⎝⎛⎭⎫233×⎝⎛⎭⎫123=724, P (ξ=1)=⎝⎛⎭⎫133×C 13×⎝⎛⎭⎫123+C 13×23×⎝⎛⎭⎫132×⎝⎛⎭⎫123+C 13×23×⎝⎛⎭⎫132×C 23×⎝⎛⎭⎫123+C 23×⎝⎛⎭⎫232×13×C 13×⎝⎛⎭⎫123+C 23×⎝⎛⎭⎫232×13×⎝⎛⎭⎫123+⎝⎛⎭⎫233×C 23×⎝⎛⎭⎫123=1124,P (ξ=2)=⎝⎛⎭⎫133×C 23×⎝⎛⎭⎫123+C 23×⎝⎛⎭⎫23×13×⎝⎛⎭⎫123+C 13×23×⎝⎛⎭⎫132×⎝⎛⎭⎫123+⎝⎛⎭⎫233×C 13×⎝⎛⎭⎫123=524, P (ξ=3)=⎝⎛⎭⎫133×⎝⎛⎭⎫123+⎝⎛⎭⎫233×⎝⎛⎭⎫123=124, 所以ξ(8分)所以数学期望E(ξ)=0×724+1×1124+2×524+3×124=1.(10分)23. 解:(1) 110(2分)(2) 集合M 有2n 个子集,不同的有序集合对(A ,B)有2n (2n -1)个. 当A B ,并设B 中含有k(1≤k ≤n ,k ∈N *)个元素,则满足A B 的有序集合对(A ,B )有错误!C 错误!=(3n -2n )个.同理,满足B A 的有序集合对(A ,B)有(3n -2n )个.故满足条件的有序集合对(A ,B)的个数为2n (2n -1)-2(3n -2n )=4n +2n -2×3n .(10分)2019年普通高等学校招生全国统一考试(江苏省)模拟试卷(三)21. A . 解:由题意得⎣⎢⎡⎦⎥⎤m 00n ⎣⎢⎡⎦⎥⎤10=1⎣⎢⎡⎦⎥⎤10, ⎣⎢⎡⎦⎥⎤m 00n ⎣⎢⎡⎦⎥⎤01=2⎣⎢⎡⎦⎥⎤01, 所以⎩⎪⎨⎪⎧m =1,n =2,故A =⎣⎢⎡⎦⎥⎤1002.(10分) B. 解:曲线C :ρ=2sin θ化为普通方程为x 2+y 2=2y ,即x 2+(y -1)2=1,∴ 曲线C 是以(0,1)为圆心,1为半径的圆.(1分)由题可知直线l 的斜率存在,设直线l 的方程为y =kx ,则圆心到直线l 的距离d =11+k 2.(4分)∵ AB =2r 2-d 2,∴ 3=21-11+k2,即k 2=3,解得k =±3,∴ 直线l 的方程为y =±3x .(10分)C. 解:当x ≤-2时,不等式化为(2-x )+x (-x -2)>2, 解得-3<x ≤-2;(3分)当-2<x <2时,不等式化为(2-x )+x (x +2)>2, 解得-2<x <-1或0<x <2;(6分)当x ≥2时,不等式化为(x -2)+x (x +2)>2, 解得x ≥2,(9分)所以原不等式的解集为{x |-3<x <-1或x >0}.(10分)22. 解:(1) 先安排参加单打的队员有A 23种方法,再安排参加双打的队员有C 12种方法,所以,高一年级代表队出场共有A 23C 12=12(种)不同的阵容.(2分) (2) ξ的可能取值是0,2,3,4,5,7.P (ξ=0)=64343,P (ξ=2)=96343,P (ξ=3)=48343,P (ξ=4)=36343,P (ξ=5)=72343,P (ξ=7)=27343.ξ(8分)所以E (ξ)=0×64343+2×96343+3×48343+4×36343+5×72343+7×27343=3.(10分)23. 解:(1) 将点(2,1)代入抛物线C 的方程得p =2,所以抛物线C 的标准方程为x 2=4y.(2分) (2) 设直线l 的方程为y =kx -1,又设A(x 1,y 1),B(x 2,y 2),则A′(-x 1,y 1),由⎩⎪⎨⎪⎧y =14x 2,y =kx -1得x 2-4kx +4=0,则Δ=16k 2-16>0,x 1=2k -2k 2-1,x 2=2k +2k 2-1,所以k A ′B =y 2-y 1x 2-(-x 1)=x 224-x 214x 1+x 2=x 2-x 14,于是直线A′B 的方程为y -x 224=x 2-x 14(x -x 2),所以y =x 2-x 14(x -x 2)+x 224=k 2-1x +1,当x =0时,y =1,所以直线A′B 过定点(0,1).(10分)2019年普通高等学校招生全国统一考试(江苏省)模拟试卷(四)21. A . 解:由题意得矩阵M 的特征多项式 f (λ)=(λ-a )(λ-1).因为矩阵M 有一个特征值为2,f (2)=0,所以a =2.(2分)所以M ⎣⎢⎡⎦⎥⎤x y =⎣⎢⎡⎦⎥⎤2021⎣⎢⎡⎦⎥⎤x y =⎣⎢⎡⎦⎥⎤x ′y ′,即⎩⎪⎨⎪⎧x ′=2x ,y ′=2x +y , 代入方程x 2+y 2=1,得(2x )2+(2x +y )2=1,即曲线C 的方程为8x 2+4xy +y 2=1.(10分) B. 解:点P 的直角坐标为(3,3).(2分) 直线l 的普通方程为x -y -4=0,(4分)从而点P 到直线l 的距离为|3-3-4|2=2+62.(10分)C. 解:因为|x +1|+|x -2|≥|x +1-(x -2)|=3, 所以f (x )的最小值为3-|a 2-2a |.(4分) 由题设,得|a 2-2a |<3,解得-1<a <3, 即a 的取值范围是(-1,3).(10分)22. (1) 证明:连结BD ,∵ FB ∥ED ,∴ F ,B ,E ,D 共面. ∵ ED ⊥平面ABCD ,AC ⊂平面ABCD , ∴ ED ⊥AC.又ABCD 为正方形, ∴ BD ⊥AC ,而ED ∩DB =D ,∴ AC ⊥平面DBFE ,而EF ⊂平面DBFE , ∴ AC ⊥EF.(4分)(2) 解:如图建立空间直角坐标系,则A(2,0,0),B(2,2,0),C(0,2,0),F(2,2,1),E(0,0,2).由(1)知AC →为平面DBFE 的法向量,即AC →=(-2,2,0), 又CE →=(0,-2,2),CF →=(2,0,1), 设平面CEF 的法向量为n =(x ,y ,z ), 则有⎩⎪⎨⎪⎧CE →·n =0,CF →·n =0,即⎩⎪⎨⎪⎧-2y +2z =0,2x +z =0,取z =1, 则x =-12,y =1,∴ n =⎝⎛⎭⎫-12,1,1.设二面角CEFD 的大小为θ,则cos 〈n ,AC →〉=n ·AC →|n ||AC →|=1+232×22=22.又二面角CEFD 为锐角, ∴ θ=π4.(10分)23. 解:(1) 由题意,取a 1=1,a 2=2,a 1a 2<6,满足题意; 若∃a 3≥3,则必有a 2a 3≥6,不满足题意, 综上所述,m 的最大值为2,即f(6)=2.(2分) (2) 由题意,当n(n +1)<k ≤(n +1)(n +2)时,设A 1={1,2,…,n},A 2={n +1,n +2,n +3,…}, 显然,∀a i ,a i +1∈A 1时,满足a i a i +1≤n(n -1)<n(n +1)<k ,所以从集合A 1中选出的a i 至多有n 个,∀a j ,a j +1∈A 2时,a j a j +1≥(n +1)(n +2) ≥k ,不符合题意, 所以从集合A 2中选出的a j 必不相邻. 因为从集合A 1中选出的a i 至多有n 个, 所以从集合A 2中选出的a j 至多有n 个,放置于从集合A 1中选出的a i 之间,所以f(k) ≤2n. ① 当n(n +2)<k ≤(n +1)(n +2)时,取一串数a i 为1,2n ,2,2n -1,3,2n -2,…,n -1,n +2,n ,n +1,或写成a i=⎩⎨⎧i +12,i 为奇数,2n +1-i2,i 为偶数(1≤i ≤2n),此时a i a i +1≤n(n +2)<k(1≤i ≤2n -1),a 2n a 1=n +1<k ,满足题意,所以f(k)=2n.(5分) ② 当n(n +1)<k ≤n(n +2)时,从A 1中选出的n 个a i :1,2,…,n ,考虑数n 两侧的空位,填入集合A 2的两个数a p ,a q ,不妨设na p >na q ,则na p ≥n(n +2) ≥k ,与题意不符,所以f(k) ≤2n -1,取一串数a i 为1,2n -1,2,2n -2,3,2n -3,…,n -2,n +2,n -1,n +1,n ,或写成a i=⎩⎨⎧i +12,i 为奇数,2n -i2,i 为偶数(1≤i ≤2n -1),此时a i a i +1≤n(n +1)<k(1≤i ≤2n -2), a 2n -1a 1=n <k ,满足题意, 所以f(k)=2n -1.(10分)2019年普通高等学校招生全国统一考试(江苏省)模拟试卷(五) 21. A . 解:⎣⎢⎡⎦⎥⎤1-1a 1 ⎣⎢⎡⎦⎥⎤11=⎣⎢⎡⎦⎥⎤0a +1=⎣⎢⎡⎦⎥⎤0-1,所以a +1=-1,即a =-2.(4分)特征方程⎣⎢⎡⎦⎥⎤λ-112λ-1=(λ-1)2-2=0,因此λ=1±2.(10分)B . 解:(1) 圆的普通方程为(x -2)2+y 2=4.(4分)(2) 把⎩⎪⎨⎪⎧x =ρcos θ,y =ρsin θ代入圆的普通方程得圆的极坐标方程为ρ=4cos θ.(10分)C . 解:由柯西不等式可知(12·2x +13·3y +1·z)2≤⎣⎡⎦⎤⎝⎛⎭⎫122+⎝⎛⎭⎫132+12(2x 2+3y 2+z 2),(4分)所以2x 2+3y 2+z 2≥(x +y +z )212+13+1=2411,当且仅当x =611,y =411,z =1211时取等号,所以2x 2+3y 2+z 2的最小值为2411.(10分)22. 解:(1) 由题图知,在服药的50名患者中,指标y 的值小于60的有15人, 所以从服药的50名患者中随机选出一人,此人指标y 的值小于60的概率为1550=0.3.(2分)(2) 由题图知,A ,B ,C ,D 四人中,指标x 的值大于1.7的有2人:A 和C. 所以ξ的所有可能取值为0,1,2.P (ξ=0)=C 22C 24=16,P (ξ=1)=C 12C 12C 24=23,P (ξ=2)=C 22C 24=16.所以ξ的分布列为(8分)E (ξ)=0×16+1×23+2×16=1.(10分)23. (1) 证明:设l :x =my +2,A(x 1,y 1),B(x 2,y 2),联立⎩⎪⎨⎪⎧y 2=2x ,x =my +2,得y 2-2my -4=0,Δ=4m 2+16>0恒成立, 所以y 1+y 2=2m ,y 1y 2=-4, OA →·OB →=x 1x 2+y 1y 2=(my 1+2)(my 2+2)+y 1y 2 =(m 2+1)y 1y 2+2m(y 1+y 2)+4 =-4(m 2+1)+2m ·2m +4=0, 所以OA →⊥OB →,即O 在圆M 上.(4分) (2) 解:由(1)可得y 1+y 2=2m , x 1+x 2=m(y 1+y 2)+4=2m 2+4. 故圆心M 的坐标为(m 2+2,m), 圆M 的半径r =(m 2+2)2+m 2.由于圆M 过点P(4,-2),因此AP →·BP →=0, 故(x 1-4)(x 2-4)+(y 1+2)(y 2+2)=0,即x 1x 2-4(x 1+x 2)+y 1y 2+2(y 1+y 2)+20=0. 由(1)可得y 1y 2=-4,x 1x 2=4,所以2m 2-m -1=0,解得m =1或m =-12.当m =1时,直线l 的方程为x -y -2=0,圆心M 的坐标为(3,1),圆M 的半径为10,圆M 的方程为(x -3)2+(y -1)2=10;当m =-12时,直线l 的方程为2x +y -4=0,圆心M 的坐标为⎝⎛⎭⎫94,-12,圆M 的半径为854,圆M 的方程为⎝⎛⎭⎫x -942+⎝⎛⎭⎫y +122=8516.(10分)2019年普通高等学校招生全国统一考试(江苏省)模拟试卷(六)21. A . 解:由f(λ)=⎪⎪⎪⎪⎪⎪λ-3-2-4λ-1=λ2-4λ-5=0,解得λ1=-1,λ2=5.(2分) 由λ1=-1,得4x +2y =0,取ξ1=⎣⎢⎡⎦⎥⎤1-2; 由λ2=5,得x -y =0,取ξ2=⎣⎢⎡⎦⎥⎤11. 所以A =⎣⎢⎡⎦⎥⎤3241的特征值为λ1=-1,λ2=5, 相应的特征向量分别为ξ1=⎣⎢⎡⎦⎥⎤ 1-2,ξ2=⎣⎢⎡⎦⎥⎤11.(10分)B. 解:由ρ=23sin θ,得ρ2=23ρsin θ,从而有x 2+y 2=23y ,即x 2+(y -3)2=3,则C (0,3).设P ⎝⎛⎭⎫3+12t ,32t ,则PC =⎝⎛⎭⎫3+12t 2+⎝⎛⎭⎫32t -32=t 2+12, 故当t =0时,PC 取得最小值,此时P 点的坐标为(3,0).(10分)C. 解:(1) 由题意可得g (x +4)=m -2|x +4-11|=m -2|x -7|,若2f (x ) ≥g (x +4)恒成立,则2|x +3|≥m -2|x -7|,即m ≤2(|x +3|+|x -7|), 由绝对值三角不等式可得2(|x +3|+|x -7|)≥2|(x +3)-(x -7)|=20, 所以m ≤20,故m 的最大值t =20.(4分)(2) 实数x ,y ,z 满足2x 2+3y 2+6z 2=a (a >0),由柯西不等式可得[(2x )2+(3y )2+(6z )2]·[⎝⎛⎭⎫122+⎝⎛⎭⎫132+⎝⎛⎭⎫162]≥⎝⎛⎭⎫2x ·12+3y ·13+6z ·162,即a ×1≥(x +y +z )2,所以x +y +z ≤a . 又x +y +z 的最大值是t20=1,所以a =1,所以a =1.(10分)22. (1) 证明:如图,以A 为原点,分别以AB →,AC →,AP →方向为x 轴、y 轴、z 轴的正方向建立空间直角坐标系.依题意,可得A(0,0,0),B(2,0,0),C(0,4,0),P(0,0,4),D(0,0,2),E(0,2,2),M(0,0,1),N(1,2,0).DE →=(0,2,0),DB →=(2,0,-2).设n =(x ,y ,z )为平面BDE 的一个法向量,则⎩⎪⎨⎪⎧n ·DE →=0,n ·DB →=0.即⎩⎪⎨⎪⎧2y =0,2x -2z =0,不妨设z =1,可得n =(1,0,1). 又MN →=(1,2,-1),可得MN →·n =0,因为MN ⊄平面BDE ,所以MN ∥平面BDE .(3分) (2) 易知n 1=(1,0,0)为平面CEM 的一个法向量, 设n 2=(x 1,y 1,z 1)为平面EMN 的一个法向量, 则⎩⎪⎨⎪⎧n 2·EM →=0,n 2·MN →=0.因为EM →=(0,-2,-1),MN →=(1,2,-1),所以⎩⎪⎨⎪⎧-2y 1-z 1=0,x 1+2y 1-z 1=0,不妨设y 1=1,可得n 2=(-4,1,-2).因此cos 〈n 1,n 2〉=n 1·n 2|n 1||n 2|=-421,于是sin 〈n 1,n 2〉=10521, 所以二面角CEMN 的正弦值为10521.(5分) (3) 依题意,设AH =h (0≤h ≤4),则H (0,0,h ),得NH →=(-1,-2,h ), BE →=(-2,2,2), 由已知,得|cos 〈NH →,BE →〉|=|NH →·BE →||NH →||BE →|=|2h -2|h 2+5×23=721,整理,得10h 2-21h +8=0,解得h =85或h =12.所以线段AH 的长为85或12.(10分)23. (1) 解:把P(1,1)代入y 2=2px ,得p =12,所以抛物线C 的方程为y 2=x ,焦点坐标为⎝⎛⎭⎫14,0,准线方程为x =-14.(3分) (2) 证明:当直线MN 斜率不存在或斜率为零时,显然与抛物线只有一个交点,不满足题意,所以直线MN(也就是直线l)斜率存在且不为零.由题意,设直线l 的方程为y =kx +12(k ≠0),l 与抛物线C 的交点为M(x 1,y 1),N(x 2,y 2).由⎩⎪⎨⎪⎧y =kx +12,y 2=x ,得4k 2x 2+(4k -4)x +1=0, 考虑Δ=(4k -4)2-4×4k 2=16(1-2k),由题可知有两交点,所以判别式大于零,所以k<12,则x 1+x 2=1-k k 2,x 1x 2=14k2.因为点P 的坐标为(1,1),所以直线OP 的方程为y =x ,点A 的坐标为(x 1,x 1). 直线ON 的方程为y =y 2x 2x ,点B 的坐标为⎝⎛⎭⎫x 1,y 2x 1x 2. 因为y 1+y 2x 1x 2-2x 1=y 1x 2+y 2x 1-2x 1x 2x 2=⎝⎛⎭⎫kx 1+12x 2+⎝⎛⎭⎫kx 2+12x 1-2x 1x 2x 2=(2k -2)x 1x 2+12(x 2+x 1)x 2=(2k -2)×14k 2+1-k2k2x 2=0.所以y 1+y 2x 1x 2=2x 1,故A 为线段BM 的中点.(10分)2019年普通高等学校招生全国统一考试(江苏省)模拟试卷(七)21. A . 解:(1) 设M =⎣⎢⎡⎦⎥⎤a b c d ,则有⎣⎢⎡⎦⎥⎤a b c d ⎣⎢⎡⎦⎥⎤11=⎣⎢⎡⎦⎥⎤ 3-3,⎣⎢⎡⎦⎥⎤a b c d ⎣⎢⎡⎦⎥⎤-1 1=⎣⎢⎡⎦⎥⎤11,故⎩⎪⎨⎪⎧a +b =3,c +d =-3,-a +b =1,-c +d =1,解得a =1,b =2,c =-2,d =-1,∴ M =⎣⎢⎡⎦⎥⎤12-2-1.(2分) (2) 由⎣⎢⎡⎦⎥⎤ 1 2-2-1⎣⎢⎡⎦⎥⎤-1-1=⎣⎢⎡⎦⎥⎤-3 3知,C ′(-3,3),(6分)由⎣⎢⎡⎦⎥⎤-13-23 2313⎣⎢⎡⎦⎥⎤-1-1=⎣⎢⎡⎦⎥⎤1-1知,D (1,-1).(10分) B. 解:直线C 1:2x +y =9, 椭圆C 2:y 29+x 2a 2=1(0<a <3),准线为y =±99-a 2, 由99-a 2=9,得a =2 2.(10分) C. 证明:∵ a 2+b 2=4,c 2+d 2=16,令a =2cos α,b =2sin α,c =4cos β,d =4sin β,∴ ac +bd =8(cos αcos β+sin αsin β)=8cos(α-β)≤8,当且仅当cos(α-β)=1时取等号.因此ac +bd ≤8.(10分)22. 解:(1) “飞碟投入红袋”“飞碟投入蓝袋”“飞碟不入袋”分别记为事件A ,B ,C ,则P(A)=50100=12,P(B)=P(C)=25100=14.(2分)因为每次投掷飞碟为相互独立事件,故4次投掷中恰有三次投入红袋的概率为P 4(3)=C 34⎝⎛⎭⎫123⎝⎛⎭⎫1-12=14.(4分)(2) 两次投掷得分ξ的可能取值为0,1,2,3,4,则P (ξ=0)=P(C)·P(C)=116,P (ξ=1)=C 12P (B )P (C )=2×14×14=18, P (ξ=2)=C 12P (A )P (C )+P (B )·P (B )=516, P (ξ=3)=C 12P (A )P (B )=14,P (ξ=4)=P (A )·P (A )=14,故得分ξ∴ E (ξ)=0×116+1×18+2×516+3×14+4×14=52.(10分)23. (1) 解:由已知推得f k (x)=(n -k +1)x n -k ,从而有f k (1)=n -k +1.(2分)(2) 证明:当x ∈[-1,1]时,F(x)=x 2n +n C 1n x 2n -2+(n -1)·C 2n x 2n -4+…+(n -k +1)C k n x 2n-2k +…+2C n -1n x 2+1,当x>0时F′(x)>0,所以F(x)在[0,1]上为增函数. 因为F(x)为偶函数,所以F(x)在[-1,0]上为减函数, 所以对任意的x 1,x 2∈[-1,1], |F(x 1)-F(x 2)|≤F(1)-F(0),F(1)-F(0)=C 0n +n C 1n +(n -1)C 2n +…+(n -k +1)C k n +…+2C n -1n=n C n -1n +(n -1)C n -2n +…+(n -k +1)C n -k n +…+2C 1n +C 0n .因为(n -k +1)C n -k n =(n -k)C n -k n +C n -k n =n C k n -1+C kn (k =1,2,3,…,n -1),所以F(1)-F(0)=n(C 1n -1+C 2n -1+…+C n -1n -1)+(C 1n +C 2n +…+C n -1n )+C 0n=n(2n -1-1)+2n -1=2n -1(n +2)-n -1. 因此结论成立.(10分)2019年普通高等学校招生全国统一考试(江苏省)模拟试卷(八)21. A . 解:M ⎣⎢⎡⎦⎥⎤22=⎣⎢⎡⎦⎥⎤-2 2 ,即⎣⎢⎡⎦⎥⎤2cos α-2sin α2sin α+2cos α=⎣⎢⎡⎦⎥⎤-2 2 , 所以⎩⎪⎨⎪⎧cos α-sin α=-1,sin α+cos α=1.解得⎩⎪⎨⎪⎧cos α=0,sin α=1.所以M =⎣⎢⎡⎦⎥⎤0-11 0.(2分)由M -1M =⎣⎢⎡⎦⎥⎤1001,得M -1=⎣⎢⎡⎦⎥⎤ 01-10.(10分)B. 解:由ρ2+2ρcos θ-3=0,得x 2+y 2+2x -3=0,即(x +1)2+y 2=4,所以曲线是以(-1,0)为圆心,2为半径的圆.(2分)由ρcos θ+ρsin θ-7=0,得直线方程为x +y -7=0,(4分)所以圆心到直线的距离d =|-1-7|2=42,所以(AB )min =42-2. (10分) C. 证明:由柯西不等式得(a +b )(a 5+b 5)≥(a ·a 5+b ·b 5)2=(a 3+b 3)2=4,即(a +b )(a 5+b 5)≥4.(10分)22. 解:(1) 由⎩⎪⎨⎪⎧y =x ,x 2=2py 解得A(0,0),B(2p ,2p),∴ 42=AB =4p 2+4p 2=22p ,∴ p =2.(2分)(2) 由(1)得x 2=4y ,A(0,0),B(4,4).假设抛物线L 上存在异于点A 、B 的点C ⎝⎛⎭⎫t ,t24(t ≠0,t ≠4),使得经过A ,B ,C 三点的圆和抛物线L 在点C 处有相同的切线.令圆的圆心为N(a ,b),则由⎩⎪⎨⎪⎧NA =NB ,NA =NC 得⎩⎪⎨⎪⎧a 2+b 2=(a -4)2+(b -4)2,a 2+b 2=(a -t )2+(b -t 24)2 得⎩⎪⎨⎪⎧a +b =4,4a +tb =2t +18t 3⇒⎩⎨⎧a =-t 2+4t 8,b =t 2+4t +328.∵ 抛物线L 在点C 处的切线斜率k =y′|x =t =t2(t ≠0),又该切线与NC 垂直,∴ b -t 24a -t ·t 2=-1⇒2a +bt -2t -14t 3=0,∴ 2·⎝⎛⎭⎫-t 2+4t 8+t·t 2+4t +328-2t -14t 3=0⇒t 3-2t 2-8t =0.∵ t ≠0,t ≠4,∴ t =-2,故存在点C 且坐标为(-2,1).(10分) 23. 解:(1) (x 2+2x +2)10=(1+(x +1)2)10=C 010+C 110(x +1)2+C 210(x +1)4…+C 1010(x +1)20 =b 0+b 1(x +1)+b 2(x +1)2+…+b 20(x +1)20,比较可知b 2n =C n 10(n =1,2,…,10);而A =0,B =1时a n =At n -1+Bn +1=n +1, 所以错误!n C 错误! ①=2⎣⎡⎦⎤1t ((1+t )10-1)+210-1-[(1+2)10-1] =2t (1+t )10-2t +211-2-310+1=211-2, 即2t (1+t )10-2t-310+1=0 ②, 因为①为关于t 的递增的式子,所以关于t 的方程最多只有一解, 而观察②可知,有一解t =2, 综上可知t =2.(10分)。
江苏高考数学3个附加题综合仿真训练(1)1.本题包括A 、B 、C 三个小题,请任选二个作答 A .[选修4-2:矩阵与变换]已知矩阵A =⎣⎢⎡⎦⎥⎤2 11 3,B =⎣⎢⎡⎦⎥⎤1 10 -1.求矩阵C ,使得AC =B .B .[选修4-4:坐标系与参数方程]在极坐标系中,已知圆C 的圆心在极轴上,且过极点和点⎝⎛⎭⎫32,π4,求圆C 的极坐标方程.C .[选修4-5:不等式选讲]已知x ,y ,z 为不全相等的正数.求证:x yz +y zx +z xy >1x +1y +1z.2.在平面直角坐标系xOy 中,直线l :x =-1,点T (3,0).动点P 满足PS ⊥l ,垂足为S ,且OP ―→·ST ―→=0.设动点P 的轨迹为曲线C . (1)求曲线C 的方程;(2)设Q 是曲线C 上异于点P 的另一点,且直线PQ 过点(1,0),线段PQ 的中点为M ,直线l 与x 轴的交点为N .求证:向量SM ―→与NQ ―→共线.3.一条直路上依次有2n +1棵树,分别为T 1,T 2,…,T 2n +1(n 为给定的正整数),一个醉汉从中间位置的树T n +1出发,并按以下规律在这些树之间随机游走n 分钟:当他某一分钟末在树T i (2≤i ≤2n )位置时,下一分钟末他分别有14,12,14的概率到达T i -1,T i ,T i +1的位置.(1)求该醉汉第n 分钟末处在树T i (1≤i ≤2n +1)位置的概率; (2)设相邻2棵树之间的距离为1个单位长度,试求该醉汉第n 分钟末所在位置与起始位置(即树T n +1)之间的距离的数学期望(用关于n 的最简形式表示).江苏高考数学3个附加题综合仿真训练(1)1.本题包括A 、B 、C 三个小题,请任选二个作答 A .[选修4-2:矩阵与变换]已知矩阵A =⎣⎢⎡⎦⎥⎤2 11 3,B =⎣⎢⎡⎦⎥⎤1 10 -1.求矩阵C ,使得AC =B . 解:因为⎪⎪⎪⎪⎪⎪2 11 3=2×3-1×1=5, 所以A -1=⎣⎢⎡⎦⎥⎤35 -15-15 25,又AC =B ,所以C =A -1B =⎣⎢⎡⎦⎥⎤ 35 -15-15 25⎣⎢⎡⎦⎥⎤1 10 -1=⎣⎢⎡⎦⎥⎤35 45-15-35.B .[选修4-4:坐标系与参数方程]在极坐标系中,已知圆C 的圆心在极轴上,且过极点和点⎝⎛⎭⎫32,π4,求圆C 的极坐标方程. 解:法一:因为圆心C 在极轴上且过极点, 所以设圆C 的极坐标方程为ρ=a cos θ,又因为点⎝⎛⎭⎫32,π4在圆C 上, 所以32=a cos π4,解得a =6.所以圆C 的极坐标方程为ρ=6cos θ.法二:点⎝⎛⎭⎫32,π4的直角坐标为(3,3), 因为圆C 过点(0,0),(3,3),所以圆心C 在直线为x +y -3=0上. 又圆心C 在极轴上,所以圆C 的直角坐标方程为(x -3)2+y 2=9. 所以圆C 的极坐标方程为ρ=6cos θ. C .[选修4-5:不等式选讲]已知x ,y ,z 为不全相等的正数.求证:x yz +y zx +z xy >1x +1y +1z.证明:因为x ,y ,z 都是正数,所以x yz +y zx =1z ⎝⎛⎭⎫x y +y x ≥2z. 同理可得y zx +z xy ≥2x ,z xy +x yz ≥2y ,将上述三个不等式两边分别相加,并除以2,得x yz +y zx +z xy ≥1x +1y +1z. 由于x ,y ,z 不全相等,因此上述三个不等式中等号至少有一个取不到,所以x yz +y zx +z xy >1x +1y +1z.2.在平面直角坐标系xOy 中,直线l :x =-1,点T (3,0).动点P 满足PS ⊥l ,垂足为S ,且OP ―→·ST ―→=0.设动点P 的轨迹为曲线C .(1)求曲线C 的方程;(2)设Q 是曲线C 上异于点P 的另一点,且直线PQ 过点(1,0),线段PQ 的中点为M ,直线l 与x 轴的交点为N .求证:向量SM ―→与NQ ―→共线. 解:(1)设P (x ,y )为曲线C 上任意一点 .因为PS ⊥l ,垂足为S ,又直线l :x =-1,所以S (-1,y ).因为T (3,0),所以OP ―→=(x ,y ),ST ―→=(4,-y ).因为OP ―→·ST ―→=0,所以4x -y 2=0,即y 2=4x . 所以曲线C 的方程为y 2=4x .(2)证明:因为直线PQ 过点(1,0),故设直线PQ 的方程为x =my +1,P (x 1,y 1),Q (x 2,y 2).联立方程⎩⎪⎨⎪⎧y 2=4x ,x =my +1,消去x ,得y 2-4my -4=0.所以y 1+y 2=4m ,y 1y 2=-4.因为M 为线段PQ 的中点,所以M 的坐标为⎝⎛⎭⎫x 1+x 22,y 1+y 22,即M (2m 2+1,2m ). 又因为S (-1,y 1),N (-1,0),所以SM ―→=(2m 2+2,2m -y 1),NQ ―→=(x 2+1,y 2)=(my 2+2,y 2).因为(2m 2+2)y 2-(2m -y 1)(my 2+2)=(2m 2+2)y 2-2m 2y 2+my 1y 2-4m +2y 1=2(y 1+y 2)+my 1y 2-4m =8m -4m -4m =0.所以向量SM ―→与NQ ―→共线.3.一条直路上依次有2n +1棵树,分别为T 1,T 2,…,T 2n +1(n 为给定的正整数),一个醉汉从中间位置的树T n +1出发,并按以下规律在这些树之间随机游走n 分钟:当他某一分钟末在树T i (2≤i ≤2n )位置时,下一分钟末他分别有14,12,14的概率到达T i -1,T i ,T i +1的位置.(1)求该醉汉第n 分钟末处在树T i (1≤i ≤2n +1)位置的概率; (2)设相邻2棵树之间的距离为1个单位长度,试求该醉汉第n 分钟末所在位置与起始位置(即树T n +1)之间的距离的数学期望(用关于n 的最简形式表示).解:(1)不妨假设2n +1棵树T 1,T 2,…,T 2n +1从左向右排列,每2棵树的间距为1个单位长度.因为该醉汉下一分钟末分别有14,12,14的概率到达T i -1,T i ,T i +1的位置,所以该醉汉将以12的概率向左或向右走.我们规定,事件“以12的概率向左或向右走0.5个单位长度”为一次“随机游走”,故原问题等价于求该醉汉从树T n +1位置出发,经过2n 次随机游走后处在树T i 位置的概率为P i .对某个i (1≤i ≤2n +1),设从T n +1出发,经过2n 次随机游走到达T i 的全过程中,向右走0.5个单位长度和向左走0.5个单位长度分别有k 次和2n -k 次,则n +1+k -(2n -k )2=i ,解得k =i -1,即在2n 次中有i -1次向右游走,2n -(i -1)次向左游走,而这样的情形共C i -12n 种,故所求的概率P i =C i -12n 22n (1≤i ≤2n +1).(2)对i =1,2,…,2n +1,树T i 与T n +1相距|n +1-i |个单位长度,而该醉汉到树T i 的概率为P i ,故所求的数学期望E =∑i =12n +1|n +1-i |C i -12n 22n .而∑i =12n +1|n +1-i |C i -12n =∑j =02n|n -j |C j 2n=2∑j =0n(n -j )C j 2n =2∑j =0n n C j2n -2∑j =0nj C j 2n =2n ∑j =0nC j 2n -2∑j =1n2n C j -12n -1=2n ×12(C n 2n +∑j =02n C j2n )-4n ∑j =0n -1C j 2n -1=n (C n 2n +22n)-4n ×12∑j =02n -1C j 2n -1=n (C n 2n +22n)-2n ·22n -1=n C n 2n ,因此E =n C n2n 22n .江苏高考数学3个附加题综合仿真训练(2)1.本题包括A 、B 、C 三个小题,请任选二个作答 A .[选修4-2:矩阵与变换]已知变换T 将平面上的点⎝⎛⎭⎫1,12,(0,1)分别变换为点⎝⎛⎭⎫94,-2,⎝⎛⎭⎫-32,4.设变换T 对应的矩阵为M .(1)求矩阵M ;(2)求矩阵M 的特征值.B .[选修4-4:坐标系与参数方程]在平面直角坐标系xOy 中,以O 为极点,x 轴的正半轴为极轴建立极坐标系.直线l :2ρsin ⎝⎛⎭⎫θ-π4=m (m ∈R ),圆C 的参数方程为⎩⎪⎨⎪⎧x =1+3cos t ,y =-2+3sin t (t 为参数).当圆心C 到直线l 的距离为2时,求m 的值.C .[选修4-5:不等式选讲]已知x ,y ,z 都是正数且xyz =8,求证:(2+x )(2+y )·(2+z )≥64.2.如图,在棱长为3的正方体ABCD -A 1B 1C 1D 1中,A 1E =CF =1.(1)求两条异面直线AC 1与BE 所成角的余弦值; (2)求直线BB 1与平面BED 1F 所成角的正弦值.3.对于给定的大于1的正整数n ,设x =a 0+a 1n +a 2n 2+…+a n n n ,其中a i ∈{0,1,2,…,n -1},i =0,1,2,…,n -1,n ,且a n ≠0,记满足条件的所有x 的和为A n . (1)求A 2;(2)设A n =n n (n -1)f (n )2,求f (n ).江苏高考数学3个附加题综合仿真训练(2)1.本题包括A 、B 、C 三个小题,请任选二个作答 A .[选修4-2:矩阵与变换]已知变换T 将平面上的点⎝⎛⎭⎫1,12,(0,1)分别变换为点⎝⎛⎭⎫94,-2,⎝⎛⎭⎫-32,4.设变换T 对应的矩阵为M .(1)求矩阵M ;(2)求矩阵M 的特征值.解:(1)设M =⎣⎢⎡⎦⎥⎤a b c d ,则⎣⎢⎡⎦⎥⎤a b c d ⎣⎢⎢⎡⎦⎥⎥⎤ 112=⎣⎢⎢⎡⎦⎥⎥⎤94-2,⎣⎢⎡⎦⎥⎤a b c d ⎣⎢⎡⎦⎥⎤01=⎣⎢⎢⎡⎦⎥⎥⎤-324,即⎩⎪⎨⎪⎧a +12b =94,c +12d =-2,b =-32,d =4,解得⎩⎪⎨⎪⎧a =3,b =-32,c =-4,d =4,则M =⎣⎢⎢⎡⎦⎥⎥⎤3 -32-44. (2)设矩阵M 的特征多项式为f (λ),可得f (λ)=⎪⎪⎪⎪⎪⎪⎪⎪λ-3 324 λ-4=(λ-3)(λ-4)-6=λ2-7λ+6, 令f (λ)=0,可得λ=1或λ=6.B .[选修4-4:坐标系与参数方程]在平面直角坐标系xOy 中,以O 为极点,x 轴的正半轴为极轴建立极坐标系.直线l :2ρsin ⎝⎛⎭⎫θ-π4=m (m ∈R ),圆C 的参数方程为⎩⎪⎨⎪⎧x =1+3cos t ,y =-2+3sin t (t 为参数).当圆心C 到直线l 的距离为2时,求m 的值.解:由2ρsin ⎝⎛⎭⎫θ-π4=m , 得2ρsin θcos π4-2ρcos θsin π4=m ,即x -y +m =0,即直线l 的直角坐标方程为x -y +m =0, 圆C 的普通方程为(x -1)2+(y +2)2=9,圆心C 到直线l 的距离d =|1-(-2)+m |2=2,解得m =-1或m =-5.C .[选修4-5:不等式选讲]已知x ,y ,z 都是正数且xyz =8,求证:(2+x )(2+y )·(2+z )≥64. 证明:因为x 为正数,所以2+x ≥22x . 同理2+y ≥22y ,2+z ≥22z . 所以(2+x )( 2+y )( 2+z )≥22x ·22y ·22z =88xyz . 因为xyz =8,所以(2+x )(2+y )(2+z )≥64. 2.如图,在棱长为3的正方体ABCD -A 1B 1C 1D 1中,A 1E =CF =1.(1)求两条异面直线AC 1与BE 所成角的余弦值; (2)求直线BB 1与平面BED 1F 所成角的正弦值.解:(1)以D 为坐标原点,DA ,DC ,DD 1所在直线分别为x 轴,y 轴,z 轴,建立空间直角坐标系D -xyz ,如图所示,则A (3,0,0),C 1(0,3,3),B (3,3,0),E (3,0,2),AC 1―→=(-3,3,3),BE ―→=(0,-3,2),所以cos 〈AC 1―→,BE ―→〉=AC 1―→·BE ―→|AC 1―→||BE ―→|=-9+633×13=-3939,故两条异面直线AC 1与BE 所成角的余弦值为3939. (2)由(1)知BE ―→=(0,-3,2),又D 1(0,0,3),B 1(3,3,3),所以D 1E ―→=(3,0,-1),BB 1―→=(0,0,3). 设平面BED 1F 的法向量为n =(x ,y ,z ),则⎩⎪⎨⎪⎧n ·D 1E ―→=0,n ·BE ―→=0,即⎩⎪⎨⎪⎧3x -z =0,-3y +2z =0,令x =1,得y =2,z =3,n =(1,2,3)是平面BED 1F 的一个法向量.设直线BB 1与平面BED 1F 所成的角为α,则sin α=||cos 〈BB 1―→,n 〉=93×14=31414,所以直线BB 1与平面BED 1F 所成角的正弦值为31414.3.对于给定的大于1的正整数n ,设x =a 0+a 1n +a 2n 2+…+a n n n ,其中a i ∈{0,1,2,…,n -1},i =0,1,2,…,n -1,n ,且a n ≠0,记满足条件的所有x 的和为A n . (1)求A 2;(2)设A n =n n (n -1)f (n )2,求f (n ).解:(1)当n =2时,x =a 0+2a 1+4a 2,a 0∈{0,1},a 1∈{0,1},a 2=1, 故满足条件的x 共有4个,分别为x =0+0+4,x =0+2+4,x =1+0+4,x =1+2+4,它们的和是22,所以A 2=22. (2)由题意得,a 0,a 1,a 2,…,a n -1各有n 种取法;a n 有n -1种取法, 由分步计数原理可得a 0,a 1,a 2…,a n -1,a n 的不同取法共有n ·n ·…·n ·(n -1)=n n (n -1), 即满足条件的x 共有n n (n -1)个,当a 0分别取0,1,2,…,n -1时,a 1,a 2,…,a n -1各有n 种取法,a n 有n -1种取法,故A n 中所有含a 0项的和为(0+1+2+…+n -1)·n n -1(n -1)=n n (n -1)22;同理,A n 中所有含a 1项的和为(0+1+2+…+n -1)·n n -1(n -1)·n =n n (n -1)22·n ;A n 中所有含a 2项的和为(0+1+2+…+n -1)·n n -1(n -1)·n 2=n n (n -1)22·n 2;A n 中所有含a n -1项的和为(0+1+2+…+n -1)·n n -1(n -1)·n n -1=n n (n -1)22·n n -1;当a n 分别取i =1,2,…,n -1时,a 0,a 1,a 2,…,a n -1各有n 种取法,故A n 中所有含a n 项的和为(1+2+…+n -1)n n ·n n =n n +1(n -1)2·n n . 所以A n =n n (n -1)22(1+n +n 2+…+n n -1)+n n +1(n -1)2·n n=n n (n -1)22·n n -1n -1+n n +1(n -1)2·n n=n n (n -1)2(n n +1+n n -1),故f (n )=n n +1+n n -1.江苏高考数学3个附加题综合仿真训练(3)1.本题包括A 、B 、C 三个小题,请任选二个作答A .[选修4-2:矩阵与变换]设a ,b ∈R .若直线l :ax +y -7=0在矩阵A =⎣⎢⎡⎦⎥⎤3 0-1 b 对应的变换作用下,得到的直线为l ′:9x +y -91=0.求实数a ,b 的值.∴实数a ,b 的值分别为2,13.B .[选修4-4:坐标系与参数方程]以坐标原点为极点,x 轴的正半轴为极轴,且在两种坐标系中取相同的长度单位,建立极坐标系,判断直线l :⎩⎪⎨⎪⎧x =1+2t ,y =1-2t (t 为参数)与圆C :ρ2+2ρcos θ-2ρsin θ=0的位置关系. 解:把直线l 的参数方程化为普通方程为x +y =2.C .[选修4-5:不等式选讲]已知a ,b ∈R ,a >b >e(其中e 是自然对数的底数),求证:b a >a b .2.从0,1,2,3,4这五个数中任选三个不同的数组成一个三位数,记X 为所组成三位数的各位数字之和.(1)求X 是奇数的概率;(2)求X 的概率分布及数学期望.3.设P (n ,m )= k =0n (-1)k C k n m m +k,Q (n ,m )=C n n +m ,其中m ,n ∈N *. (1)当m =1时,求P (n,1)·Q (n,1)的值;(2)对∀m ∈N *,证明:P (n ,m )·Q (n ,m )恒为定值.江苏高考数学3个附加题综合仿真训练(3)1.本题包括A 、B 、C 三个小题,请任选二个作答A .[选修4-2:矩阵与变换]设a ,b ∈R .若直线l :ax +y -7=0在矩阵A =⎣⎢⎡⎦⎥⎤3 0-1 b 对应的变换作用下,得到的直线为l ′:9x +y -91=0.求实数a ,b 的值.解:法一:在直线l :ax +y -7=0上取点M (0,7),N (1,7-a ),由⎣⎢⎡⎦⎥⎤3 0-1 b ⎣⎢⎡⎦⎥⎤07=⎣⎢⎡⎦⎥⎤ 07b ,⎣⎢⎡⎦⎥⎤3 0-1 b ⎣⎢⎡⎦⎥⎤17-a =⎣⎢⎡⎦⎥⎤ 3 b (7-a )-1,可知点M (0,7),N (1,7-a )在矩阵A 对应的变换作用下分别得到点M ′(0,7b ),N ′(3,b (7-a )-1),由题意可知:M ′,N ′在直线9x +y -91=0上,∴⎩⎪⎨⎪⎧ 7b -91=0,27+b (7-a )-1-91=0,解得⎩⎪⎨⎪⎧ a =2,b =13, ∴实数a ,b 的值分别为2,13.法二:设直线l 上任意一点P (x ,y ),点P 在矩阵A 对应的变换作用下得到Q (x ′,y ′), 则⎣⎢⎡⎦⎥⎤3 0-1 b ⎣⎢⎡⎦⎥⎤x y =⎣⎢⎡⎦⎥⎤x ′y ′, ∴⎩⎪⎨⎪⎧ x ′=3x ,y ′=-x +by , 由Q (x ′,y ′)在直线l ′:9x +y -91=0上,∴27x +(-x +by )-91=0,即26x +by -91=0,∵点P 在ax +y -7=0上,∴26a =b 1=-91-7, 解得a =2,b =13.∴实数a ,b 的值分别为2,13.B .[选修4-4:坐标系与参数方程]以坐标原点为极点,x 轴的正半轴为极轴,且在两种坐标系中取相同的长度单位,建立极坐标系,判断直线l :⎩⎪⎨⎪⎧x =1+2t ,y =1-2t (t 为参数)与圆C :ρ2+2ρcos θ-2ρsin θ=0的位置关系. 解:把直线l 的参数方程化为普通方程为x +y =2.将圆C 的极坐标方程ρ2+2ρcos θ-2ρsin θ=0化为直角坐标方程为x 2+2x +y 2-2y =0, 即(x +1)2+(y -1)2=2.所以圆心C (-1,1)到直线l 的距离d =22=2, 所以直线l 与圆C 相切.C .[选修4-5:不等式选讲]已知a ,b ∈R ,a >b >e(其中e 是自然对数的底数),求证:b a >a b .证明:∵b a >0,a b >0,∴要证b a >a b ,只要证a ln b >b ln a,只要证ln b b >ln a a, 构造函数f (x )=ln x x,x ∈(e ,+∞). 则f ′(x )=1-ln x x 2,x ∈(e ,+∞),f ′(x )<0在区间(e ,+∞)上恒成立, 所以函数f (x )在x ∈(e ,+∞)上是单调递减的,所以当a >b >e 时,有f (b )>f (a ),即ln b b >ln a a,故b a >a b 得证. 2.从0,1,2,3,4这五个数中任选三个不同的数组成一个三位数,记X 为所组成三位数的各位数字之和.(1)求X 是奇数的概率;(2)求X 的概率分布及数学期望.解:(1)记“X 是奇数”为事件A ,能组成的三位数的个数是4×4×3=48.X 是奇数的个数是C 12C 23A 33-C 12C 12A 22=28,所以P (A )=2848=712. 故X 是奇数的概率为712. (2)X 的可能取值为3,4,5,6,7,8,9.当X =3时,组成的三位数是由0,1,2三个数字组成,所以P (X =3)=448=112; 当X =4时,组成的三位数是由0,1,3三个数字组成,所以P (X =4)=448=112; 当X =5时,组成的三位数是由0,1,4或0,2,3组成,所以P (X =5)=848=16; 当X =6时,组成的三位数是由0,2,4或1,2,3组成,所以P (X =6)=1048=524; 当X =7时,组成的三位数是由0,3,4或1,2,4组成,所以P (X =7)=1048=524; 当X =8时,组成的三位数是由1,3,4三个数字组成,所以P (X =8)=648=18; 当X =9时,组成的三位数是由2,3,4三个数字组成,所以P (X =9)=648=18. 所以X 故E (X )=3×112+4×112+5×16+6×524+7×524+8×18+9×18=254. 3.设P (n ,m )=∑k =0n (-1)k C k n m m +k ,Q (n ,m )=C n n +m ,其中m ,n ∈N *. (1)当m =1时,求P (n,1)·Q (n,1)的值;(2)对∀m ∈N *,证明:P (n ,m )·Q (n ,m )恒为定值.解:(1)当m =1时,P (n,1)=∑k =0n(-1)k C k n 11+k =1n +1∑k =0n (-1)k C k +1n +1=1n +1, 又Q (n,1)=C 1n +1=n +1,显然P (n,1)·Q (n,1)=1.(2)证明:P (n ,m )=∑k =0n(-1)k C k n m m +k =1+∑k =1n -1 (-1)k (C k n -1+C k -1n -1)m m +k +(-1)n m m +n =1+∑k =1n -1 (-1)k C k n -1m m +k +∑k =1n (-1)k C k -1n -1m m +k =P (n -1,m )+∑k =1n (-1)k C k -1n -1m m +k=P (n -1,m )-m n ∑k =0n (-1)k C k n m m +k=P (n -1,m )-m nP (n ,m ) 即P (n ,m )=n m +nP (n -1,m ), 由累乘,易求得P (n ,m )=n !m !(n +m )!P (0,m )=1C n n +m, 又Q (n ,m )=C n n +m ,所以P (n ,m )·Q (n ,m )=1.江苏高考数学3个附加题综合仿真训练(4)1.本题包括A 、B 、C 三个小题,请任选二个作答A .[选修4-2:矩阵与变换]已知矩阵A =⎣⎢⎡⎦⎥⎤2 x y 2,X =⎣⎢⎡⎦⎥⎤-1 1,且AX =⎣⎢⎡⎦⎥⎤12 ,其中x ,y ∈R . (1)求x ,y 的值;(2)若B =⎣⎢⎡⎦⎥⎤1 -10 2,求(AB )-1.B .[选修4-4:坐标系与参数方程]在平面直角坐标系xOy 中,直线l 的参数方程为⎩⎨⎧ x =1-22t ,y =2+22t (t 为参数),以坐标原点O为极点,x 轴正半轴为极轴的极坐标系中,曲线C 的极坐标方程为ρsin 2θ-4cos θ=0,已知直线l 与曲线C 相交于A ,B 两点,求线段AB 的长.解:因为曲线C 的极坐标方程为ρsin 2θ-4cos θ=0,C .[选修4-5:不等式选讲]已知a ,b ,c ∈R ,a 2+b 2+c 2=1,若|x -1|+|x +1|≥(a -b +c )2对任意的实数a ,b ,c 恒成立,求实数x 的取值范围.2.如图,在直三棱柱ABC-AB1C1中,已知AB⊥AC,AB=2,AC=4,AA1=3.D是线段BC的中点.(1)求直线DB1与平面A1C1D所成角的正弦值;3.已知集合X={1,2,3},Y n={1,2,3,…,n}(n∈N*),设S n={(a,b)|a整除b或b整除a,a∈X,b∈Y n},令f(n)表示集合S n所含元素的个数.(1)写出f(6)的值;(2)当n≥6时,写出f(n)的表达式,并用数学归纳法证明.江苏高考数学3个附加题综合仿真训练(4)1.本题包括A 、B 、C 三个小题,请任选二个作答A .[选修4-2:矩阵与变换]已知矩阵A =⎣⎢⎡⎦⎥⎤2 x y 2,X =⎣⎢⎡⎦⎥⎤-1 1,且AX =⎣⎢⎡⎦⎥⎤12 ,其中x ,y ∈R . (1)求x ,y 的值;(2)若B =⎣⎢⎡⎦⎥⎤1 -10 2,求(AB )-1. 解:(1)AX =⎣⎢⎡⎦⎥⎤2 x y 2 ⎣⎢⎡⎦⎥⎤-1 1 = ⎣⎢⎡⎦⎥⎤x -22-y . 因为AX =⎣⎢⎡⎦⎥⎤12,所以⎩⎪⎨⎪⎧x -2=1,2-y =2, 解得x =3,y =0.(2)由(1)知A =⎣⎢⎡⎦⎥⎤2 30 2 ,又B =⎣⎢⎡⎦⎥⎤1 -10 2 , 所以AB =⎣⎢⎡⎦⎥⎤2 30 2⎣⎢⎡⎦⎥⎤1 -10 2=⎣⎢⎡⎦⎥⎤2 40 4 . 设(AB )-1= ⎣⎢⎡⎦⎥⎤a b c d ,则⎣⎢⎡⎦⎥⎤2 40 4⎣⎢⎡⎦⎥⎤a b c d =⎣⎢⎡⎦⎥⎤1 00 1, 即⎣⎢⎡⎦⎥⎤2a +4c 2b +4d 4c 4d =⎣⎢⎡⎦⎥⎤1 00 1. 所以⎩⎪⎨⎪⎧2a +4c =1,4c =0,2b +4d =0,4d =1,解得a =12,b =-12,c =0,d =14, 即 (AB )-1= ⎣⎢⎡⎦⎥⎤12 -12 0 14 . B .[选修4-4:坐标系与参数方程]在平面直角坐标系xOy 中,直线l 的参数方程为⎩⎨⎧ x =1-22t ,y =2+22t (t 为参数),以坐标原点O为极点,x 轴正半轴为极轴的极坐标系中,曲线C 的极坐标方程为ρsin 2θ-4cos θ=0,已知直线l 与曲线C 相交于A ,B 两点,求线段AB 的长.解:因为曲线C 的极坐标方程为ρsin 2θ-4cos θ=0,所以ρ2sin 2θ=4ρcos θ,即曲线C 的直角坐标方程为y 2=4x . 将直线l 的参数方程⎩⎨⎧ x =1-22t ,y =2+22t 代入抛物线方程y 2=4x ,得⎝⎛⎭⎫2+22t 2=4⎝⎛⎭⎫1-22t , 即t 2+82t =0,解得t 1=0,t 2=-8 2.所以AB =|t 1-t 2|=8 2.C .[选修4-5:不等式选讲]已知a ,b ,c ∈R ,a 2+b 2+c 2=1,若|x -1|+|x +1|≥(a -b +c )2对任意的实数a ,b ,c 恒成立,求实数x 的取值范围.解:因为a ,b ,c ∈R ,a 2+b 2+c 2=1,所以由柯西不等式得(a -b +c )2≤(a 2+b 2+c 2)·[12+(-1)2+12]=3,因为|x -1|+|x +1|≥(a -b +c )2对任意的实数a ,b ,c 恒成立,所以|x -1|+|x +1|≥3.当x <-1时,-2x ≥3,即x ≤-32; 当-1≤x ≤1时,2≥3不成立;当x >1时,2x ≥3,即x ≥32. 综上,实数x 的取值范围为⎝⎛⎦⎤-∞,-32∪⎣⎡⎭⎫32,+∞.2.如图,在直三棱柱ABC -A1B 1C 1中,已知AB ⊥AC ,AB =2,AC =4,AA 1=3.D 是线段BC 的中点.(1)求直线DB 1与平面A 1C 1D 所成角的正弦值;(2)求二面角B 1-A 1D -C 1的余弦值.解:因为在直三棱柱ABC -A 1B 1C 1中,AB ⊥AC ,所以分别以AB ,AC ,AA 1所在的直线为x 轴,y 轴,z 轴,建立如图所示的空间直角坐标系,则A (0,0,0),B (2,0,0),C (0,4,0),A 1(0,0,3),B 1(2,0,3),C 1(0,4,3),因为D 是BC 的中点,所以D (1,2,0),(1)因为A 1C 1―→=(0,4,0),A 1D ―→=(1,2,-3),设平面A 1C 1D 的法向量n 1=(x 1,y 1,z 1),则⎩⎪⎨⎪⎧ n 1·A 1C 1―→=0,n 1·A 1D ―→=0,即⎩⎪⎨⎪⎧4y 1=0,x 1+2y 1-3z 1=0, 取⎩⎪⎨⎪⎧ x 1=3,y 1=0,z 1=1,所以平面A 1C 1D 的法向量n 1=(3,0,1),而DB 1―→=(1,-2,3),设直线DB 1与平面A 1C 1D 所成角为θ,所以sin θ=|cos 〈n 1,DB 1―→〉|=|n 1·DB 1―→||n 1|·|DB 1―→|=|3+3|10×14=33535, 所以直线DB 1与平面A 1C 1D 所成角的正弦值为33535. (2) A 1B 1―→=(2,0,0),DB 1―→=(1,-2,3),设平面B 1A 1D 的法向量n 2=(x 2,y 2,z 2),则⎩⎪⎨⎪⎧ n 2·A 1B 1―→=0,n 2·DB 1―→=0,即⎩⎪⎨⎪⎧2x 2=0,x 2-2y 2+3z 2=0,取⎩⎪⎨⎪⎧x 2=0,y 2=3,z 2=2,所以平面B 1A 1D 的法向量n 2=(0,3,2),所以cos 〈n 1,n 2〉=n 1·n 2|n 1|·|n 2|=210×13=13065, 故结合图象知二面角B 1-A 1D -C 1的余弦值13065. 3.已知集合X ={1,2,3},Y n ={1,2,3,…,n }(n ∈N *),设S n ={(a ,b )|a 整除b 或b 整除a ,a ∈X ,b ∈Y n },令f (n )表示集合S n 所含元素的个数.(1)写出f (6)的值;(2)当n ≥6时,写出f (n )的表达式,并用数学归纳法证明.解:(1)Y 6={1,2,3,4,5,6},S 6中的元素(a ,b )满足:若a =1,则b =1,2,3,4,5,6;若a =2,则b =1,2,4,6;若a =3,则b =1,3,6. 所以f (6)=13.(2)当n ≥6时, f (n )=⎩⎪⎪⎪⎨⎪⎪⎪⎧ n +2+⎝⎛⎭⎫n 2+n 3,n =6t ,n +2+⎝⎛⎭⎫n -12+n -13,n =6t +1,n +2+⎝⎛⎭⎫n 2+n -23,n =6t +2,n +2+⎝⎛⎭⎫n -12+n 3,n =6t +3,n +2+⎝⎛⎭⎫n 2+n -13,n =6t +4,n +2+⎝⎛⎭⎫n -12+n -23,n =6t +5(t ∈N *).下面用数学归纳法证明: ①当n =6时,f (6)=6+2+62+63=13,结论成立. ②假设n =k (k ≥6)时结论成立,那么n =k +1时,S k +1在S k 的基础上新增加的元素在(1,k +1),(2,k +1),(3,k +1)中产生,分以下情形讨论:a .若k +1=6t ,则k =6(t -1)+5,此时有f (k +1)=f (k )+3=k +2+k -12+k -23+3 =(k +1)+2+k +12+k +13,结论成立; b .若k +1=6t +1,则k =6t ,此时有f (k +1)=f (k )+1=k +2+k 2+k 3+1 =(k +1)+2+(k +1)-12+(k +1)-13,结论成立; c .若k +1=6t +2,则k =6t +1,此时有f (k +1)=f (k )+2=k +2+k -12+k -13+2 =(k +1)+2+k +12+(k +1)-23,结论成立; d .若k +1=6t +3,则k =6t +2,此时有f (k +1)=f (k )+2=k +2+k 2+k -23+2=(k +1)+2+(k +1)-12+k +13,结论成立;e .若k +1=6t +4,则k =6t +3,此时有f (k +1)=f (k )+2=k +2+k -12+k3+2=(k +1)+2+k +12+(k +1)-13,结论成立;f .若k +1=6t +5,则k =6t +4,此时有f (k +1)=f (k )+1=k +2+k 2+k -13+1=(k +1)+2+(k +1)-12+(k +1)-23,结论成立.综上所述,结论对满足n ≥6的自然数n 均成立.江苏高考数学3个附加题综合仿真训练(5)1.本题包括A 、B 、C 三个小题,请任选二个作答 A .[选修4-2:矩阵与变换]已知向量⎣⎢⎡⎦⎥⎤1-1是矩阵A 的属于特征值-1的一个特征向量.在平面直角坐标系xOy 中,点P (1,1)在矩阵A 对应的变换作用下变为P ′(3,3),求矩阵A .B .[选修4-4:坐标系与参数方程]在平面直角坐标系xOy 中,已知直线⎩⎨⎧x =-32+22n ,y =22n(n 为参数)与曲线⎩⎪⎨⎪⎧x =18t 2,y =t(t 为参数)相交于A ,B 两点,求线段AB 的长.C .[选修4-5:不等式选讲]已知函数f (x )=3x +6,g (x )=14-x ,若存在实数x 使f (x )+g (x )>a 成立,求实数a 的取值范围.2.如图,在三棱柱ABC -A 1B 1C 1中,A 1B ⊥平面ABC ,AB ⊥AC ,且AB =AC =A 1B =2.(1) 求棱AA 1与BC 所成的角的大小;(2) 在棱B 1C 1上确定一点P ,使二面角P -AB -A 1的平面角的余弦值为255.3.设a >b >0,n 是正整数,A n =1n +1(a n +a n -1b +a n -2b 2+…+a 2b n -2 +ab n -1+b n ) ,B n=⎝⎛⎭⎫a +b 2n .(1)证明:A 2>B 2;(2)比较A n 与B n (n ∈N *)的大小,并给出证明.江苏高考数学3个附加题综合仿真训练(5)1.本题包括A 、B 、C 三个小题,请任选二个作答 A .[选修4-2:矩阵与变换]已知向量⎣⎢⎡⎦⎥⎤1-1是矩阵A 的属于特征值-1的一个特征向量.在平面直角坐标系xOy 中,点P (1,1)在矩阵A 对应的变换作用下变为P ′(3,3),求矩阵A .解:设A =⎣⎢⎡⎦⎥⎤a b c d ,因为向量⎣⎢⎡⎦⎥⎤1-1是矩阵A 的属于特征值-1的一个特征向量,所以⎣⎢⎡⎦⎥⎤a b c d ⎣⎢⎡⎦⎥⎤1-1=⎣⎢⎡⎦⎥⎤a -b c -d =(-1)⎣⎢⎡⎦⎥⎤1-1=⎣⎢⎡⎦⎥⎤-11. 所以⎩⎪⎨⎪⎧a -b =-1,c -d =1.①因为点P (1,1)在矩阵A 对应的变换作用下变为P ′(3,3),所以⎣⎢⎡⎦⎥⎤a b c d ⎣⎢⎡⎦⎥⎤11=⎣⎢⎡⎦⎥⎤a +b c +d =⎣⎢⎡⎦⎥⎤33.所以⎩⎪⎨⎪⎧a +b =3,c +d =3.② 由①②解得a =1,b =2,c =2,d =1,所以A =⎣⎢⎡⎦⎥⎤1 22 1. B .[选修4-4:坐标系与参数方程]在平面直角坐标系xOy 中,已知直线⎩⎨⎧x =-32+22n ,y =22n(n 为参数)与曲线⎩⎪⎨⎪⎧x =18t 2,y =t(t 为参数)相交于A ,B 两点,求线段AB 的长.解:法一:将曲线⎩⎪⎨⎪⎧x =18t 2,y =t(t 为参数)化为普通方程为y 2=8x .将直线⎩⎨⎧ x =-32+22n ,y =22n(n 为参数)代入y 2=8x 得,n 2-82n +24=0,解得n 1=22,n 2=6 2. 则|n 1-n 2|=42,所以线段AB 的长为4 2.法二:将曲线⎩⎪⎨⎪⎧x =18t 2,y =t(t 为参数)化为普通方程为y 2=8x,将直线⎩⎨⎧x =-32+22n ,y =22n(n 为参数)化为普通方程为x -y +32=0,由⎩⎪⎨⎪⎧ y 2=8x ,x -y +32=0,得⎩⎪⎨⎪⎧ x =12,y =2或⎩⎪⎨⎪⎧x =92,y =6.所以AB 的长为⎝⎛⎭⎫92-122+(6-2)2=4 2. C .[选修4-5:不等式选讲]已知函数f (x )=3x +6,g (x )=14-x ,若存在实数x 使f (x )+g (x )>a 成立,求实数a 的取值范围.解:存在实数x 使f (x )+g (x )>a 成立, 等价于f (x )+g (x )的最大值大于a , 因为f (x )+g (x )=3x +6+14-x =3×x +2+1×14-x ,由柯西不等式得,(3×x +2+1×14-x )2≤(3+1)(x +2+14-x )=64,所以f (x )+g (x )=3x +6+14-x ≤8,当且仅当x =10时取“=”,故实数a 的取值范围是(-∞,8).2.如图,在三棱柱ABC -A 1B 1C 1中,A 1B ⊥平面ABC ,AB ⊥AC ,且AB =AC =A 1B =2.(1) 求棱AA 1与BC 所成的角的大小;(2) 在棱B 1C 1上确定一点P ,使二面角P -AB -A 1的平面角的余弦值为255.解:(1)以A 为坐标原点,AC ,AB 所在直线为x 轴,y 轴,过A 平行于A 1B 的直线为z 轴,建立如图所示的空间直角坐标系,则C (2,0,0),B (0,2,0),A 1(0,2,2),B 1(0,4,2),AA 1―→=(0,2,2),BC ―→=B 1C 1―→=(2,-2,0).所以cos 〈AA 1―→,BC ―→〉=AA 1―→·BC ―→|AA 1―→|·|BC ―→|=-48×8=-12,故棱AA 1与BC 所成的角是π3.(2)设B 1P ―→=λB 1C 1―→=(2λ,-2λ,0),则P (2λ,4-2λ,2). 设平面P AB 的一个法向量为n 1=(x ,y ,z ), 又AP ―→=(2λ,4-2λ,2),AB ―→=(0,2,0),则⎩⎪⎨⎪⎧n 1·AP ―→=0,n 1·AB ―→=0即⎩⎪⎨⎪⎧2λx +(4-2λ)y +2z =0,2y =0,令x =1,得平面P AB 的一个法向量n 1=(1,0,-λ). 易知平面ABA 1的一个法向量是n 2=(1,0,0),则cos 〈n 1,n 2〉=n 1·n 2|n 1|·|n 2|=11+λ2=255,解得λ=12,即P 为棱B 1C 1的中点,其坐标为P (1,3,2)时,二面角P -AB -A 1的平面角的余弦值为255.3.设a >b >0,n 是正整数,A n =1n +1(a n +a n -1b +a n -2b 2+…+a 2b n -2 +ab n -1+b n ) ,B n=⎝⎛⎭⎫a +b 2n .(1)证明:A 2>B 2;(2)比较A n 与B n (n ∈N *)的大小,并给出证明.解:(1)证明:A 2-B 2=13(a 2+ab +b 2)-⎝⎛⎭⎫a +b 22=112(a -b )2>0.(2)A n ≥B n ,证明如下: 当n =1时,A 1=B 1;当n ≥3时,A n =1n +1·a n +1-bn +1a -b,B n =⎝⎛⎭⎫a +b 2n , 令a +b =x ,a -b =y ,且x >0,y >0,于是A n =1n +1·⎝⎛⎭⎫x +y 2n +1-⎝⎛⎭⎫x -y 2n +1y =12n +1(n +1)y[(x +y )n +1-(x -y )n +1],B n=⎝⎛⎭⎫x 2n , 因为[(x +y )n +1-(x -y )n +1]=(2C 1n +1x n y +2C 3n +1·x n -2y 3+…)≥2C 1n +1x ny ,所以A n ≥12n +1(n +1)y ·2C 1n +1x ny =x n 2n =⎝⎛⎭⎫x 2n =B n .江苏高考数学3个附加题综合仿真训练(6)1.本题包括A 、B 、C 三个小题,请任选二个作答 A .[选修4-2:矩阵与变换]已知矩阵A =⎣⎢⎡⎦⎥⎤0 11 0,B =⎣⎢⎡⎦⎥⎤1 00 2. (1)求AB ;(2)若曲线C 1:x 28+y 22=1在矩阵AB 对应的变换作用下得到另一曲线C 2,求C 2的方程.B .[选修4-4:坐标系与参数方程]在平面直角坐标系xOy 中,圆C 的参数方程为⎩⎪⎨⎪⎧x =cos α,y =sin α-2(α为参数).以O 为极点,x 轴正半轴为极轴建立极坐标系,直线l 的极坐标方程为θ=β,若圆C 与直线l 相切,求直线l 的极坐标方程.C .[选修4-5:不等式选讲]已知a ,b ,c ,d 为实数,且a 2+b 2=4,c 2+d 2=16,证明:ac +bd ≤8.2.如图,在直三棱柱ABC A 1B 1C 1中,AB ⊥AC ,AB =AC =AA 1=2,D 为CC 1上任意一点(含端点).(1)若D 为CC 1的中点,求异面直线BA 1与AD 所成角的余弦值; (2)当点D 与点C 1重合时,求二面角A 1BD A 的正弦值.3.已知数列{a n }满足:a 1=1,对任意的n ∈N *,都有a n +1=⎝⎛⎭⎫1+1n 2+n a n +12n .(1)求证:当n ≥2时,a n ≥2;(2)利用“∀x >0,ln(1+x )<x ”,证明:a n <2e 43 (其中e 是自然对数的底数).江苏高考数学3个附加题综合仿真训练(6)1.本题包括A 、B 、C 三个小题,请任选二个作答 A .[选修4-2:矩阵与变换]已知矩阵A =⎣⎢⎡⎦⎥⎤0 11 0,B =⎣⎢⎡⎦⎥⎤1 00 2. (1)求AB ;(2)若曲线C 1:x 28+y 22=1在矩阵AB 对应的变换作用下得到另一曲线C 2,求C 2的方程.解:(1)因为A =⎣⎢⎡⎦⎥⎤0 11 0,B =⎣⎢⎡⎦⎥⎤1 00 2, 所以AB =⎣⎢⎡⎦⎥⎤0 11 0⎣⎢⎡⎦⎥⎤1 00 2=⎣⎢⎡⎦⎥⎤0 21 0.(2)设Q (x 0,y 0)为曲线C 1上的任意一点,它在矩阵AB 对应的变换作用下变为P (x ,y ),则⎣⎢⎡⎦⎥⎤0 21 0⎣⎢⎡⎦⎥⎤x 0y 0=⎣⎢⎡⎦⎥⎤x y ,即⎩⎪⎨⎪⎧2y 0=x ,x 0=y ,所以⎩⎪⎨⎪⎧x 0=y ,y 0=x 2. 因为点Q (x 0,y 0)在曲线C 1上,则x 208+y 202=1,从而y 28+x28=1,即x 2+y 2=8.因此曲线C 1在矩阵AB 对应的变换作用下得到曲线C 2:x 2+y 2=8. B .[选修4-4:坐标系与参数方程]在平面直角坐标系xOy 中,圆C 的参数方程为⎩⎪⎨⎪⎧x =cos α,y =sin α-2(α为参数).以O 为极点,x 轴正半轴为极轴建立极坐标系,直线l 的极坐标方程为θ=β,若圆C 与直线l 相切,求直线l 的极坐标方程.解:圆的直角坐标方程为x 2+(y -2)2=1, 设直线l 对应的直角坐标方程为y =kx , 因为圆C 与直线l 相切,所以d =|2|1+k 2=1,得到k =±3,故直线l 的极坐标方程θ=π3或θ=2π3.C .[选修4-5:不等式选讲]已知a ,b ,c ,d 为实数,且a 2+b 2=4,c 2+d 2=16,证明:ac +bd ≤8. 证明:由柯西不等式可得:(ac +bd )2≤(a 2+b 2)(c 2+d 2). 因为a 2+b 2=4,c 2+d 2=16, 所以(ac +bd )2≤64, 因此ac +bd ≤8.2.如图,在直三棱柱ABC A 1B 1C 1中,AB ⊥AC ,AB =AC =AA 1=2,D 为CC 1上任意一点(含端点).(1)若D 为CC 1的中点,求异面直线BA 1与AD 所成角的余弦值; (2)当点D 与点C 1重合时,求二面角A 1BD A 的正弦值. 解:建立如图所示的空间直角坐标系,易知A (0,0,0),B (0,-2,0),A 1(0,0,2),C 1(2,0,2),所以AB ―→=(0,-2,0),BA 1―→=(0,2,2).(1)若D 为CC 1的中点,则AD ―→=(2,0,1), 设直线BA 1与直线AD 的夹角为θ,则cos θ=BA 1―→·AD ―→|BA 1―→|·|AD ―→|=222×5=1010,因此异面直线BA 1与AD 所成角的余弦值为1010. (2)当点D 与点C 1重合时,易知D (2,0,2),则BD ―→=(2,2,2), 设平面A 1BD 的法向量为m =(x ,y ,z ),则⎩⎪⎨⎪⎧BD ―→·m =0,BA 1―→·m =0,即⎩⎪⎨⎪⎧2x +2y +2z =0,2y +2z =0,取y =1,解得x =0,z =-1,即平面A 1BD 的一个法向量为m =(0,1,-1), 同理,可得平面ABD 的一个法向量为n =(-1,0,1). 设二面角A 1BD A 的大小为α,则|cos α|=|m ·n ||m |·|n |=12·2=12,因为α∈[0,π],所以sin α=1-cos 2α=32,因此二面角A 1BD A 的正弦值为32.3.已知数列{a n }满足:a 1=1,对任意的n ∈N *,都有a n +1=⎝⎛⎭⎫1+1n 2+n a n +12n .(1)求证:当n ≥2时,a n ≥2;(2)利用“∀x >0,ln(1+x )<x ”,证明:a n <2e 43 (其中e 是自然对数的底数).证明:(1)①由题意,a 2=⎝⎛⎭⎫1+12×1+12=2,故当n =2时,a 2=2,不等式成立. ②假设当n =k (k ≥2,k ∈N *)时不等式成立,即a k ≥2,则当n =k +1时,a k +1=⎝⎛⎭⎫1+1k (k +1)a k +12k >2.所以,当n =k +1时,不等式也成立. 根据①②可知,对所有n ≥2,a n ≥2成立.(2)当n ≥2时,由递推公式及(1)的结论有a n +1=⎝⎛⎭⎫1+1n 2+n a n +12n ≤⎝⎛⎭⎫1+1n 2+n +12n +1a n (n ≥2).两边取对数,并利用已知不等式ln(1+x )<x ,得ln a n +1≤ln ⎝⎛⎭⎫1+1n 2+n +12n +1+ln a n <ln a n +1n 2+n +12n +1,故ln a n +1-ln a n <1n 2+n +12n 1(n ≥2), 求和可得ln a n -ln a 2<12×3+1 3×4+…+1(n -1)n +123+124+…+12n =⎝⎛⎭⎫12-13+⎝⎛⎭⎫13-14+…+⎝⎛⎭⎫1n -1-1n +123·1-12n -21-12=12-1n +122-12n <34. 由(1)知,a 2=2,故有ln a n 2<34, 即a n <2e 43 (n ≥2),而a 1=1<2e 43,所以对任意正整数n ,有a n <2e 43.。
2019江苏高考数学附加题综合训练综合仿真练(一)(理科)1.本题包括A 、B 、C 三个小题,请任选二个作答 A .[选修4-2:矩阵与变换] 已知矩阵A =⎣⎢⎡⎦⎥⎤2 11 3,B =⎣⎢⎡⎦⎥⎤1 10 -1.求矩阵C ,使得AC =B . 解:因为⎪⎪⎪⎪⎪⎪2113=2×3-1×1=5,所以A-1=⎣⎢⎡⎦⎥⎤35 -15-15 25,又AC =B ,所以C =A-1B =⎣⎢⎡⎦⎥⎤ 35 -15-15 25⎣⎢⎡⎦⎥⎤1 10 -1=⎣⎢⎡⎦⎥⎤35 45-15-35.B .[选修4-4:坐标系与参数方程]在极坐标系中,已知圆C 的圆心在极轴上,且过极点和点⎝⎛⎭⎫32,π4,求圆C 的极坐标方程.解:法一:因为圆心C 在极轴上且过极点, 所以设圆C 的极坐标方程为ρ=a cos θ, 又因为点⎝⎛⎭⎫32,π4在圆C 上, 所以32=a cos π4,解得a =6.所以圆C 的极坐标方程为ρ=6cos θ. 法二:点⎝⎛⎭⎫32,π4的直角坐标为(3,3), 因为圆C 过点(0,0),(3,3),所以圆心C 在直线为x +y -3=0上. 又圆心C 在极轴上,所以圆C 的直角坐标方程为(x -3)2+y 2=9. 所以圆C 的极坐标方程为ρ=6cos θ.C .[选修4-5:不等式选讲]已知x ,y ,z 为不全相等的正数.求证:x yz +y zx +z xy >1x +1y +1z .证明:因为x ,y ,z 都是正数, 所以x yz +y zx =1z ⎝⎛⎭⎫x y +y x ≥2z. 同理可得y zx +z xy ≥2x ,z xy +x yz ≥2y ,将上述三个不等式两边分别相加,并除以2,得x yz +y zx +z xy ≥1x +1y +1z. 由于x ,y ,z 不全相等,因此上述三个不等式中等号至少有一个取不到, 所以x yz +y zx +z xy >1x +1y +1z.2.在平面直角坐标系xOy 中,直线l :x =-1,点T (3,0).动点P 满足PS ⊥l ,垂足为S ,且·=0.设动点P 的轨迹为曲线C .(1)求曲线C 的方程;(2)设Q 是曲线C 上异于点P 的另一点,且直线PQ 过点(1,0),线段PQ 的中点为M ,直线l 与x 轴的交点为N .求证:向量与共线.解:(1)设P (x ,y )为曲线C 上任意一点 .因为PS ⊥l ,垂足为S ,又直线l :x =-1,所以S (-1,y ). 因为T (3,0),所以=(x ,y ),=(4,-y ). 因为·=0,所以4x -y 2=0,即y 2=4x . 所以曲线C 的方程为y 2=4x . (2)证明:因为直线PQ 过点(1,0),故设直线PQ 的方程为x =my +1,P (x 1,y 1),Q (x 2,y 2).联立方程⎩⎪⎨⎪⎧y 2=4x ,x =my +1,消去x ,得y 2-4my -4=0.所以y 1+y 2=4m ,y 1y 2=-4.因为M 为线段PQ 的中点,所以M 的坐标为⎝⎛⎭⎫x 1+x 22,y 1+y 22,即M (2m 2+1,2m ). 又因为S (-1,y 1),N (-1,0),所以=(2m 2+2,2m -y 1),=(x 2+1,y 2)=(my 2+2,y 2).因为(2m 2+2)y 2-(2m -y 1)(my 2+2)=(2m 2+2)y 2-2m 2y 2+my 1y 2-4m +2y 1=2(y 1+y 2)+my 1y 2-4m =8m -4m -4m =0.所以向量与共线.3.一条直路上依次有2n +1棵树,分别为T 1,T 2,…,T 2n +1(n 为给定的正整数),一个醉汉从中间位置的树T n +1出发,并按以下规律在这些树之间随机游走n 分钟:当他某一分钟末在树T i (2≤i ≤2n )位置时,下一分钟末他分别有14,12,14的概率到达T i -1,T i ,T i +1的位置.(1)求该醉汉第n 分钟末处在树T i (1≤i ≤2n +1)位置的概率;(2)设相邻2棵树之间的距离为1个单位长度,试求该醉汉第n 分钟末所在位置与起始位置(即树T n +1)之间的距离的数学期望(用关于n 的最简形式表示).解:(1)不妨假设2n +1棵树T 1,T 2,…,T 2n +1从左向右排列,每2棵树的间距为1个单位长度.因为该醉汉下一分钟末分别有14,12,14的概率到达T i -1,T i ,T i +1的位置,所以该醉汉将以12的概率向左或向右走.我们规定,事件“以12的概率向左或向右走0.5个单位长度”为一次“随机游走”,故原问题等价于求该醉汉从树T n +1位置出发,经过2n 次随机游走后处在树T i 位置的概率为P i .对某个i (1≤i ≤2n +1),设从T n +1出发,经过2n 次随机游走到达T i 的全过程中,向右走0.5个单位长度和向左走0.5个单位长度分别有k 次和2n -k 次,则n +1+k -(2n -k )2=i ,解得k =i -1,即在2n 次中有i -1次向右游走,2n -(i -1)次向左游走,而这样的情形共C i -12n 种,故所求的概率P i =C i -12n 22n (1≤i ≤2n +1).(2)对i =1,2,…,2n +1,树T i 与T n +1相距|n +1-i |个单位长度,而该醉汉到树T i 的概率为P i ,故所求的数学期望E =∑i =12n +1|n +1-i |C i -12n 22n .而∑i =12n +1|n +1-i |C i -12n =∑j =02n|n -j |C j 2n =2∑j =0n(n -j )C j 2n =2∑j =0n n C j2n -2∑j =0nj C j 2n =2n ∑j =0nC j 2n -2∑j =1n2n C j -12n -1=2n ×12(C n 2n +∑j =02n C j2n )-4n ∑j =0n -1C j 2n -1=n (C n 2n +22n)-4n ×12∑j =02n -1C j 2n -1 =n (C n 2n +22n)-2n ·22n -1=n C n 2n ,因此E =n C n2n 22n .3个附加题综合仿真练(二)(理科)1.本题包括A 、B 、C 三个小题,请任选二个作答 A .[选修4-2:矩阵与变换]已知变换T 将平面上的点⎝⎛⎭⎫1,12,(0,1)分别变换为点⎝⎛⎭⎫94,-2,⎝⎛⎭⎫-32,4.设变换T 对应的矩阵为M .(1)求矩阵M ;(2)求矩阵M 的特征值. 解:(1)设M =⎣⎢⎡⎦⎥⎤ab cd ,则⎣⎢⎡⎦⎥⎤a b c d ⎣⎢⎢⎡⎦⎥⎥⎤ 112=⎣⎢⎢⎡⎦⎥⎥⎤94-2,⎣⎢⎡⎦⎥⎤a b cd ⎣⎢⎡⎦⎥⎤01=⎣⎢⎢⎡⎦⎥⎥⎤-324, 即⎩⎪⎨⎪⎧a +12b =94,c +12d =-2,b =-32,d =4,解得⎩⎪⎨⎪⎧a =3,b =-32,c =-4,d =4,则M =⎣⎢⎢⎡⎦⎥⎥⎤3 -32-44. (2)设矩阵M 的特征多项式为f (λ),可得f (λ)=⎪⎪⎪⎪⎪⎪⎪⎪λ-3 324 λ-4=(λ-3)(λ-4)-6=λ2-7λ+6, 令f (λ)=0,可得λ=1或λ=6. B .[选修4-4:坐标系与参数方程]在平面直角坐标系xOy 中,以O 为极点,x 轴的正半轴为极轴建立极坐标系.直线l :2ρsin ⎝⎛⎭⎫θ-π4=m (m ∈R ),圆C 的参数方程为⎩⎪⎨⎪⎧x =1+3cos t ,y =-2+3sin t (t 为参数).当圆心C 到直线l 的距离为2时,求m 的值.解:由2ρsin ⎝⎛⎭⎫θ-π4=m , 得2ρsin θcos π4-2ρcos θsin π4=m ,即x -y +m =0,即直线l 的直角坐标方程为x -y +m =0, 圆C 的普通方程为(x -1)2+(y +2)2=9, 圆心C 到直线l 的距离d =|1-(-2)+m |2=2,解得m =-1或m =-5. C .[选修4-5:不等式选讲]已知x ,y ,z 都是正数且xyz =8,求证:(2+x )(2+y )·(2+z )≥64. 证明:因为x 为正数,所以2+x ≥22x . 同理2+y ≥22y ,2+z ≥22z .所以(2+x )( 2+y )( 2+z )≥22x ·22y ·22z =88xyz . 因为xyz =8,所以(2+x )(2+y )(2+z )≥64.2.如图,在棱长为3的正方体ABCD -A 1B 1C 1D 1中,A 1E =CF =1.(1)求两条异面直线AC 1与BE 所成角的余弦值; (2)求直线BB 1与平面BED 1F 所成角的正弦值.解:(1)以D 为坐标原点,DA ,DC ,DD 1所在直线分别为x 轴,y 轴,z 轴,建立空间直角坐标系D -xyz ,如图所示,则A (3,0,0),C 1(0,3,3),B (3,3,0),E (3,0,2),AC 1―→=(-3,3,3),BE ―→=(0,-3,2),所以cos 〈AC 1―→,BE ―→〉=AC 1―→·BE ―→|AC 1―→||BE ―→|=-9+633×13=-3939,故两条异面直线AC 1与BE 所成角的余弦值为3939. (2)由(1)知BE ―→=(0,-3,2),又D 1(0,0,3),B 1(3,3,3), 所以D 1E ―→=(3,0,-1),BB 1―→=(0,0,3). 设平面BED 1F 的法向量为n =(x ,y ,z ),。
1.已知曲线C 的参数方程为⎩⎨⎧x =sin αy =cos α(α∈R ,α为参数).当极坐标系的极点与直角坐标系的原点重合,且极轴在x 轴的正半轴上时,曲线D 的极坐标力程为ρsin(θ+π4)=2a .(I)试将曲线C 的方程化为普通方程,曲线D 的方程化为直角坐标方程; (II)试确定实数a 的取值范围,使曲线C 与曲线D 有公共点.2.己知实数a ,b ,c 满足2a 2+3b 2+6c 2=16,求a +b +c 的最大值.3.一个暗箱中有3只白球与2只黑球共5只球,每次从中取出一只球,取到白球得2分,取到黑球得3分.甲从暗箱中有放回地取球,乙从暗箱中无放回地取球,若甲、乙各自取出2只球. (I)写出甲总得分ξ的分布列;(II)求甲总得分大于乙总得分的概率.4.己知数集序列{1},{3,5},{7,9,11},{13,15,17,19},…,其中第n 个集合有n 个元素,每一个集合都由连续n 个奇数组成,并且每一个集合中的最大数与后一个集合中的最小数是连续奇数. (I)求第n 个集合中各数之和S n 的表达式;(II)求证:设n 是不小于2的正整数,∑==ni iS n f 161)(. 求证:f (n )>n .1.已知曲线C 的参数方程为⎩⎨⎧x =sin αy =cos α(α∈R ,α为参数).当极坐标系的极点与直角坐标系的原点重合,且极轴在x 轴的正半轴上时,曲线D 的极坐标力程为ρsin(θ+π4)=2a .(I)试将曲线C 的方程化为普通方程,曲线D 的方程化为直角坐标方程; (II)试确定实数a 的取值范围,使曲线C 与曲线D 有公共点.(I)x 2+y 2=1;x +y =2a .(II)-22≤a ≤22.2.己知实数a ,b ,c 满足2a 2+3b 2+6c 2=16,求a +b +c 的最大值.16=2a 2+3b 2+6c 2=[(2a)2+(3b)2+(6c)2]⎣⎢⎡⎦⎥⎤⎝⎛⎭⎫122+ ⎝⎛⎭⎫132+ ⎝⎛⎭⎫162≥(a +b +c)2. 等号当且仅当a =2,b =43,c =23时成立,故a +b +c 最大值为4.3.一个暗箱中有3只白球与2只黑球共5只球,每次从中取出一只球,取到白球得2分,取到黑球得3分.甲从暗箱中有放回地取球,乙从暗箱中无放回地取球,若甲、乙各自取出2只球. (I)写出甲总得分ξ的分布列;(II)求甲总得分大于乙总得分的概率.(I)甲的分布列为:(II)361254.己知数集序列{1},{3,5},{7,9,11},{13,15,17,19},…,其中第n 个集合有n 个元素,每一个集合都由连续n 个奇数组成,并且每一个集合中的最大数与后一个集合中的最小数是连续奇数. (I)求第n 个集合中各数之和S n 的表达式;(II)求证:设n 是不小于2的正整数,∑==ni iS n f 161)(. 求证:f (n )>n .(I)每个序列第一个数为a n =1+n(n -1),故S n =n 3.1.已知直线l 的参数方程:12x t y t=⎧⎨=+⎩(t 为参数)和圆C 的极坐标方程:)4sin(22πθρ+=.(Ⅰ)将直线l 的参数方程化为普通方程,圆C 的极坐标方程化为直角坐标方程; (Ⅱ)判断直线l 和圆C 的位置关系.2.已知函数()12f x x x =-+-. 若不等式()a b a b a f x ≥++-(0,,)a a b R 刮恒成立,求实数x 的范围.3.如图,在四棱锥O ABCD -中,底面ABCD 是边长为1的菱形,4ABC π∠=, OA ⊥底面ABCD ,2OA =,M 为OA 的中点.(Ⅰ)求异面直线AB 与MD 所成角的大小;(Ⅱ)求平面OAB 与平面OCD 所成的二面角的余弦值.4.点(,)n n n P x y 在曲线:xC y e -=上,曲线C 在点n P 处的切线n l 与x 轴相交于点1(,0)n n Q x +,直线1n t +:1n x x +=与曲线C 相交于点111(,)n n n P x y +++,(123,n =).由曲线C 和直线n l ,1n t +围成的图形面积记为n S ,已知11x =.(Ⅰ)证明:11n n x x +=+; (Ⅱ)求n S 关于n 的表达式;(Ⅲ)记数列{}n S 的前n 项之和为n T ,求证:11n n n nT xT x ++<(1,2,3,n =).D OM A BC2019届江苏省数学附加试题二1.已知直线l 的参数方程:12x t y t=⎧⎨=+⎩(t 为参数)和圆C 的极坐标方程:)4sin(22πθρ+=.(Ⅰ)将直线l 的参数方程化为普通方程,圆C 的极坐标方程化为直角坐标方程; (Ⅱ)判断直线l 和圆C的位置关系. .解:(Ⅰ)消去参数t ,得直线l 的普通方程为12+=x y …………………………………3分)4πρθ=+,即)cos (sin 2θθρ+=,两边同乘以ρ得)cos sin (22θρθρρ+=,得⊙C 的直角坐标方程为2)1()1(22=-+-x x ……………………………………………6分(Ⅱ)圆心C 到直线l 的距离255212|112|22<=++-=d ,所以直线l 和⊙C 相交………10分2.已知函数()12f x x x =-+-. 若不等式()a b a b a f x ≥++-(0,,)a a b R 刮恒成立,求实数x 的范围.解:由()a b a b a f x ≥++-,且0a ≠,得||||()||a b a b f x a ++-≥ ……………………3分又因为||||||2||||a b a b a b a b a a ++-++-=≥,则有2()f x ≥……………………………………6分解不等式122x x -+-≤,得1522x ≤≤……………………………………………………… 10分3.如图,在四棱锥O ABCD -中,底面ABCD 是边长为1的菱形,4ABC π∠=, OA ⊥底面ABCD ,2OA =,M 为OA 的中点.(Ⅰ)求异面直线AB 与MD 所成角的大小;(Ⅱ)求平面OAB 与平面OCD 所成的二面角的余弦值.解: 作AP CD ⊥于点P,如图,分别以AB,AP,AO 所在直线为,,x y z 轴建立 坐标系,则(0,0,0),(1,0,0),(0,(222A BP D -, (0,0,2),(0,0,1)OM …………………2分(Ⅰ)设AB 与MD 所成的角为θ,(1,0,0),(1)22AB MD ==--∵,1cos ,23AB MDAB MD πθθ===⋅∴∴ , ∴AB 与MD 所成角的大小为3π…5分 (Ⅱ)22(0,,2),(,2)222OP OD =-=--∵, ∴设平面OCD 的法向量为1(,,)n xy z =,则110,0n OPn OD ==,即 2022022y zx y z -=⎪⎨⎪-+-=⎪⎩,取z =,解得1(0,n = .…………… 6分DOMAB C121212.22cos ,3n n n nn n <>==……………………………………………………9分 由图形知,平面OAB 与平面OCD 所成的二面角的余弦值为3…………………10分 4.点(,)n n n P x y 在曲线:xC y e -=上,曲线C 在点n P 处的切线n l 与x 轴相交于点1(,0)n n Q x +,直线1n t +:1n x x +=与曲线C 相交于点111(,)n n n P x y +++,(123,n =).由曲线C 和直线n l ,1n t +围成的图形面积记为n S ,已知11x =.(Ⅰ)证明:11n n x x +=+; (Ⅱ)求n S 关于n 的表达式;(Ⅲ)记数列{}n S 的前n 项之和为n T ,求证:11n n n nT xT x ++<(1,2,3,n =).(Ⅰ)证明:因为x y e -=,所以xy e -'=-,则切线n l 的斜率n x n k e -=-,所以切线n l 的方程为()nx n n y y ex x --=--,令0y =,得1n Q n x x =+,即11n n x x +=+……………………2分(Ⅱ)解:因为11x =,所以n x n =,所以11111(2)()()|222n nn x xx n n n n n n n x e e S e dx x x y e e e +---+-+-=--⋅=--⨯=⎰ ………………5分(Ⅲ)证明:因为12(2)2()(1)22(1)n n n e e T e e e e e e e ------=++⋅⋅⋅+=--, 所以1111111111n n n n n n n T e e e T e e e e e--++-++---===+---,又1111n n x n x n n ++==+, 故要证11n n n n T x T x ++<,只要证111n e e e n+-<-,即要证1(1)n e e n e +>-+………………………7分下用数学归纳法(或用二项式定理,或利用函数的单调性)等方法来 证明1(1)n e e n e +>-+(略)…………………………………………………………………10分1.在极坐标系中,圆C的极坐标方程为π)4ρθ=+,以极点为原点,极轴为x 轴的正半轴建立平面直角坐标系,直线l 的参数方程为41,531,5x t y t ⎧=+⎪⎪⎨⎪=--⎪⎩(t 为参数),求直线l 被圆C 所截得的弦长.2.若正数a ,b ,c 满足1a b c ++=,求111323232a b c +++++的最小值.3.如图,已知正方形ABCD 和矩形ACEF所在的平面互相垂直,AB =,1AF =.(1) 求直线DF 与平面ACEF 所成角的正弦值;(2) 在线段AC 上找一点P ,使PF 与DA 所成的角为60,试确定点P 的位置.4.已知33331111()1234f n n =++++,231()22g n n=-,*n ∈N . (1)当1,2,3n =时,试比较()f n 与()g n 的大小关系; (2)猜想()f n 与()g n 的大小关系,并给出证明.BEAFDC第22题图1.在极坐标系中,圆C的极坐标方程为π)4ρθ=+,以极点为原点,极轴为x 轴的正半轴建立平面直角坐标系,直线l 的参数方程为41,531,5x t y t ⎧=+⎪⎪⎨⎪=--⎪⎩(t 为参数),求直线l 被圆C 所截得的弦长.曲线C的极坐标方程),cos sin 4πρθρθθ=+=-可化为, 化为直角坐标方程为220,x y x y +-+=即22111()()222x y -++= .……………3分直线:l 41,531,5x t t y t ⎧=+⎪⎪⎨⎪=--⎪⎩(为参数)可化为3410x y ++=,……………………………6分 圆心到直线的距离11341122510d ⨯-⨯+==,………………………………………8分弦长75L ==.……………………………………………………………10分 2.若正数a ,b ,c 满足1a b c ++=,求111323232a b c +++++的最小值.因为1a b c ++=,a ,b ,c 为正数,由柯西不等式,所以2111()[(32)(32)(32)](111)323232a b c a b c +++++++≥+++++………6分 所以1111323232a b c ++≥+++,……………………………………………………8分 当且仅当323232a b c +=+=+,即a b c ==时“=”成立, 所以当31===c b a 时,原式取最小值1.………………………………………………10分 3.如图,已知正方形ABCD 和矩形ACEF(1) 求直线DF 与平面ACEF 所成角的正弦值;(2) 在线段AC 上找一点P ,使PF 与DA (1) 以,,CD CB CE 则()(0,0,1),,E D B ,),AF ,因为,AC BD AF BD ⊥⊥,B所以BD 是平面ACEF 法向量,………2分又因为(2,2,0),(0,2,1)DB DF =-=,所以3cos ,DF DB =,故直线DF 与平面ACEF .…………………5分 (2)设((,,0)0(2,2,1),(0,2,0)P a a a PF a a DA =--=≤,则.因为,60PF DA <>=,所以12a==cos60. 解得2a =,故存在满足条件的点P 为AC 的中点.……………10分 4.已知33331111()1234f n n =++++,231()22g n n=-,*n ∈N . (1)当1,2,3n =时,试比较()f n 与()g n 的大小关系; (2)猜想()f n 与()g n 的大小关系,并给出证明. (1) 当1n =时,(1)1f =,(1)1g =,所以(1)(1)f g =;当2n =时,9(2)8f =,11(2)8g =,所以(2)(2)f g <; 当3n =时,251(3)216f =,312(3)216g =,所以(3)(3)f g <.………3分(2) 由(1),猜想()()f n g n ≤,下面用数学归纳法给出证明: ①当1,2,3n =时,不等式显然成立.②假设当(3)n k k =≥时不等式成立,即33332111131123422k k ++++<-, 那么,当1n k =+时, 3231311(1)()(1)22(1)f k f k k k k +=+<-+++, 因为22332321113131()02(1)2(1)2(1)22(1)k k k k k k k k k +----=-=<++++,所以231(1)(1)22(1)f kg k k +<-=++. 由①、②可知,对一切*n ∈N ,都有()()f n g n ≤成立.………………10分。