高考文科数学真题及答案全国卷1
- 格式:docx
- 大小:7.06 MB
- 文档页数:11
2023年高考数学真题试卷(全国甲卷)文科数学一、选择题:本题共12小题,每小题5分,共60分.在每小题给出的四个选项中,只有一项是符合题目要求的.1.设全集,集合,则()A.B.C.D.2.()A.B.1C.D.3.已知向量,则()A.B.C.D.4.某校文艺部有4名学生,其中高一、高二年级各2名.从这4名学生中随机选2名组织校文艺汇演,则这2名学生来自不同年级的概率为()A.B.C.D.5.记为等差数列的前项和.若,则()A.25B.22C.20D.156.执行下边的程序框图,则输出的()A.21B.34C.55D.897.设为椭圆的两个焦点,点在上,若,则()A.1B.2C.4D.58.曲线在点处的切线方程为()A.B.C.D.9.已知双曲线的离心率为,其中一条渐近线与圆交于A,B两点,则()A.B.C.D.10.在三棱锥中,是边长为2的等边三角形,,则该棱锥的体积为()A.1B.C.2D.311.已知函数.记,则()A.B.C.D.12.函数的图象由的图象向左平移个单位长度得到,则的图象与直线的交点个数为()A.1B.2C.3D.4二、填空题:本大题共4小题,每小题5分,共20分.13.记为等比数列的前项和.若,则的公比为.14.若为偶函数,则.15.若x,y满足约束条件,则的最大值为.16.在正方体中,为的中点,若该正方体的棱与球的球面有公共点,则球的半径的取值范围是.三、解答题:共70分.解答应写出文字说明、证明过程或演算步骤.第17~21题为必考题,每个试题考生都必须作答.第22、23题为选考题,考生根据要求作答.17.记的内角的对边分别为,已知.(1)求;(2)若,求面积.18.如图,在三棱柱中,平面.(1)证明:平面平面;(2)设,求四棱锥的高.19.一项试验旨在研究臭氧效应,试验方案如下:选40只小白鼠,随机地将其中20只分配到试验组,另外20只分配到对照组,试验组的小白鼠饲养在高浓度臭氧环境,对照组的小白鼠饲养在正常环境,一段时间后统计每只小白鼠体重的增加量(单位:g).试验结果如下:对照组的小白鼠体重的增加量从小到大排序为15.218.820.221.322.523.225.826.527.530.132.634.334.835.635.635.836.237.340.543.2试验组的小白鼠体重的增加量从小到大排序为7.89.211.412.413.215.516.518.018.819.219.820.221.622.823.623.925.128.232.336.5(1)计算试验组的样本平均数;(2)(ⅰ)求40只小白鼠体重的增加量的中位数m,再分别统计两样本中小于m与不小于m的数据的个数,完成如下列联表对照组试验组(ⅱ)根据(i)中的列联表,能否有95%的把握认为小白鼠在高浓度臭氧环境中与在正常环境中体重的增加量有差异?附:,0.1000.0500.0102.7063.841 6.63520.已知函数.(1)当时,讨论的单调性;(2)若,求的取值范围.21.已知直线与抛物线交于两点,.(1)求;(2)设为的焦点,为上两点,且,求面积的最小值.22.已知点,直线(为参数),为的倾斜角,与轴正半轴、轴正半轴分别交于,且.(1)求;(2)以坐标原点为极点,轴正半轴为极轴建立极坐标系,求的极坐标方程.23.已知.(1)求不等式的解集;(2)若曲线与轴所围成的图形的面积为2,求.答案解析部分1.【答案】A【解析】【解答】,故选:A【分析】先计算补集,再求并集即得答案.2.【答案】C【解析】【解答】,故选:C【分析】利用复数乘法运算计算由得出答案。
2020年普通高等学校招生全国统一考试全国卷一文科数学注意事项:1.答卷前,考生务必将自己的姓名、准考证号填写在答题卡上。
2.回答选择题时,选出每小题答案后,用铅笔把答题卡上对应题目的答案标号涂黑。
如需改动,用橡皮擦干净后,再选涂其他答案标号。
回答非选择题时,将答案写在答题卡上。
写在本试卷上无效。
3.考试结束后,将本试卷和答题卡一并交回。
一、选择题:本题共12小题,每小题5分,共60分。
在每小题给出的四个选项中,只有一项是符合题目要求的。
1.已知集合2{|340}A x x x =--<,{4,1,3,5}B =-,则A B =A .{4,1}-B .{1,5}C .{3,5}D .{1,3}答案:D解析:2{|340}{|14}A x x x x x =--<=-<<,则交集的定义可得,{13},A B =,故选D 2.若312i i z =++,则||z =A .0B .1C .2D .2答案:C解析:因为312i i 12i (i)1i z =++=++-=+,所以22||=112z +=,故选C3.埃及胡夫金字塔是古代世界建筑奇迹之一,它的形状可视为一个正四棱锥.以该四棱锥的高为边长的正方形面积等于该四棱锥一个侧面三角形的面积,则其侧面三角形底边上的高与底面正方形的边长的比值为A.14 B.12C.14 D.12 答案:C解析:如图,P ABCD -是正四棱锥,过P 作PO ABCD ⊥平面,O 为垂足,则O 是正方形ABCD 的中心,取BC 的中点E ,则OE BC ⊥,因为PO ABCD ⊥平面,所以BC PO ⊥,又PO OE O =,所以BC POE ⊥平面,因为PE POE ⊂平面,所以PE BC ⊥,设BC a =,PO h =,由勾股定理得PE =1122PBCS BC PE =⋅=212h =,所以221142PE a aPE -=,解得PE =或PE =(舍去),故选CE OPA B C D4.设O 为正方形ABCD 的中心,在O ,A ,B ,C ,D 中任取3点,则取到的3点共线的概率为A .15B .25C .12D .45答案:A解析:O ,A ,B ,C ,D 中任取3点的取法用集合表示有{,,}O A B ,{,,}O A C ,{,,}O A D ,{,,}O B C ,{,,}O B D ,{,,}O C D ,{,,}A B C ,{,,}A B D ,{,,}A C D ,{,,}B C D ,共有10种取法,其中3点共线的取法有{,,}O A C ,{,,}O B D ,共2种,故取到的3点共线的概率为21105=,故选AODCBA5.某校一个课外学习小组为研究某作物种子的发芽率y和温度x(单位:℃)的关系,在20个不同的温度条件下进行种子发芽实验,由实验数据(,)(1,2,,20)i ix y i=得到下面的散点图:由此散点图,在10℃至40℃之间,下面四个回归方程类型中最适宜作为发芽率y和温度x的回归方程类型的是A.y a bx=+B.2y a bx=+C.e xy a b=+D.lny a b x=+答案:D解析:本题考查回归方程及一次函数、二次函数、指数函数、对数函数的图象,观察散点图可知,散点图用光滑曲线连接起来比较接近对数函数的图象,故选D。
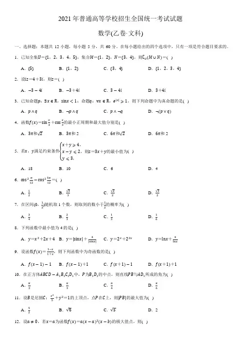
2021年普通高等学校招生全国统一考试(全国乙卷)数学(文)一、选择题1.已知全集{1,2,3,4,5}U =,集合{1,2}M =,{3,4}N =,则)(U C M N = ()A.{5}B.{1,2}C.{3,4}D.{1,2,3,4}2.设43iz i =+,则z =()A.34i --B.–34i +C.34i -D.34i+3.已知命题:,sin 1p x R x ∃∈<;命题||:,1x q x R e ∈∀≥,则下列命题中为真命题的是()A.p q ∧B.p q ⌝∧C.p q ∧⌝D.()p q ⌝∨答案:A 解析:根据正弦函数的值域sin [1,1]x ∈-,sin 1x <,故x R ∃∈,p 为真命题,而函数||x y e =为偶函数,且0x ≥时,1xy e =≥,故x R ∀∈,||1x y e =≥恒成立.则q 也为真命题,所以p q ∧为真,选A.4.函数()sin cos 33x xf x =+的最小正周期和最大值分别是()A.3π和B.3π和2C.6π和D.6π和2答案:C解析:())34x f x π=+max ()f x =,2613T ππ==.故选C.5.若,x y 满足约束条件2,3,4,y x y x y ≤≤+≥⎧⎪-⎨⎪⎩则3z x y =+的最小值为()A.18B.10C.6D.4答案:C 解析:根据约束条件可得图像如下,3z x y =+的最小值,即3y x z =-+,y 轴截距最小值.根据图像可知3y x z =-+过点(1,3)B 时满足题意,即min 336z =+=.6.225cos cos 1212ππ-=()A.12B.33C.22D.32答案:D 解析:2222223()sin cos 25cos cos cos cos cos 12121212121262ππππππππ-=-=--==∴选D.7.在区间1(0,)2随机取1个数,则取到的数小于13的概率为()A.34B.23C.13D.16答案:B解析:在区间1(0,2随机取1个数,可知总长度12d =,取到的数小于13,可知取到的长度范围13d '=,根据几何概型公式123132d p d '===,∴选B.8.下列函数中最小值为4的是()A.224y x x =++B.4|sin ||sin |y x x =+C.222x xy -=+D.4n ln l y x x=+答案:C 解析:对于A,22224213(1)33y x x x x x =++=+++=++≥.不符合,对于B,4|sin ||sin |y x x =+,令|sin |[0,1]t x =∈,∴4y t t =+,根据对勾函数min 145y =+=不符合,对于C,242222xxx x y -==++,令20xt =>,∴4224y t t =+≥=⨯=,当且仅当2t =时取等,符合,对于D,4n ln l y x x =+,令ln t x R =∈,4y t t=+.根据对勾函数(,4][4,)y ∈-∞-+∞ ,不符合.9.设函数1(1)xf x x-=+,则下列函数中为奇函数的是()A.1()1f x --B.1()1f x -+C.1()1f x +-D.1()1f x ++答案:B 解析:12()111x f x x x-==-+++,()f x 向右平移一个单位,向上平移一个单位得到2()g x x=为奇函数.所以选B.10.在正方体1111ABCD A B C D -中,P 为11B D 的中点,则直线PB 与1AD 所成的角为A.2πB.3πC.4πD.6π答案:D 解析:做出图形,11//AD BC ,所以1PBC ∠为异面直线所成角,设棱长为1.1BC =,122B P =,122PC =,62BP =.222111131222cos 22BC BP C P PBC BP BC +-+-∠==⋅,即16PBC π∠=,故选D.11.设B 是椭圆C :2215x y +=的上顶点,点P 在C 上,则PB 的最大值为A.5265D.2答案:A 解析:方法一:由22:15x C y +=,(0,1)B 则C 的参数方程:5sin x y θθ⎧=⎪⎨=⎪⎩.22||(sin 1)(5cos )PB θθ=-+24sin 2sin 6θθ=--+212554(sin )442θ=-++.∴max 5||2PB =,故选A.方法二:设00(,)P x y ,则220001([1,1])5x y y +=∈-①,(0,1)B .因此22200||(1)PB x y =+-②将①式代入②式化简得:22012525||4()444PB y =-++≥,当且仅当014y =-时||PB 的最大值为52,故选A.12.设0a ≠,若x a =为函数2()()()f x a x a x b =--的极大值点,则A.a b <B.a b >C.2ab a <D.2ab a >答案:D 解析:2()2()()()()(32)f x a x a x b a x a a x a x b a '=--+-=---当0a >时,原函数先增再减后增.原函数在()0f x '=的较小零点时取得极大值.即23a b a +<,即a b <,∴2a ab <.当0a <时,原函数先减再增后减.原函数在()0f x '=的较大零点时取得极大值.即23a b a +>,a b >,2a ab <,故选D.二、填空题13.已知向量(2,5)a = ,(,4)b λ= ,若//a b,则λ=.答案:85解析:由已知//a b 可得82455λλ⨯=⇒=.14.双曲线22145x y -=的右焦点到直线280x y +-=的距离为.答案:解析:22145x y -=的右焦点为(3,0),到直线280x y +-=的距离d ==.15.记ABC ∆的内角A ,B ,C 的对边分别为a ,b ,c ,面积为,60B =︒,223a c ac +=,则b =.答案:解析:由面积公式1sin 2S ac B ==,且60B =︒,解得4ac =,又由余弦定理2222cos b a c ac B =+-,223a c ac +=,且0b >解得b =.16.以图①为正视图,在图②③④⑤中选两个分别作为侧视图和俯视图,组成某个三棱锥的三视图,则所选侧视图和俯视图的编号依次为(写出符合要求的一组答案即可).答案:②⑤或③④解析:由高度可知,侧视图只能为②或③.侧视图为②,如图(1),平面PAC ⊥平面ABC ,PA PC ==,BA BC =,2AC =,俯视图为⑤.俯视图为③,如图(2),PA ⊥平面ABC ,1PA =,AC AB =,2BC =,俯视图为④.17.某厂研制了一种生产高精产品的设备,为检验新设备生产产品的某项指标有无提高,用一台旧设备和一台新设备各生产了10件产品,得到各件产品该项指标数据如下:旧设备9.810.310.010.29.99.810.010.110.29.7新设备10.110.410.110.010.110.310.610.510.410.5旧设备和新设备生产产品的该项指标的样本平均数分别记为x 和y ,样本方差分别记为21s 和22s .(1)求x ,y ,21s ,22s ;(2)判断新设备生产产品的该项指标的均值较旧设备是否有显著提高(如果y x -≥,则认为新设备生产产品的该项指标的均值较旧设备有显著提高,否则不认为有显著提高).答案:见解析解析:9.810.31010.29.99.81010.110.29.71010x ++++++++==+;10.110.410.11010.110.310.610.510.410.510.310y ++++++++==+.211(0.040.090.040.010.040.010.040.09)10s =+++++++10.360.03610=⨯=221(0.040.010.040.090.040.090.040.010.04)10s =++++++++10.40.0410=⨯=.(2)10.3100.3y x -=-===∵则0.3=>=,所以可判断新设备生产产品的该项指标的均值较旧设备有显著提高;没有显著提高.18.如图,四棱锥P ABCD -的底面是矩形,PD ⊥底面ABCD ,M 为BC 的中点,且PB AM ⊥.(1)证明:平面PAM ⊥平面PBD ﹔(2)若1PD DC ==,求四棱锥P ABCD -的体积.答案:见解析解析:19.设{}n a 是首项为1的等比数列,数列{}n b 满足3n n na b =.已知1a ,23a ,39a ,成等差数列.(1)求{}n a 和{}n b 的通项公式;(2)记n S ,和n T 分别为{}n a 和{}n b 的前n 项和.证明:2n n S T <.答案:见解析解析:设{}n a 的公比为q ,则1n n a q -=,因为1a ,23a ,39a 成等差数列,所以21923q q +=⨯,解得13q =,故11()3n n a -=,11313(1)12313n n n S -==--.又3n n n b =,则1231123133333n n n n n T --=+++++ ,两边同乘13,则234111231333333n n n n n T +-=+++++ ,两式相减,得23412111113333333n n n n T +=+++++- ,即1111(1)1133(1)332333121n n n n n n n T ++-=-=---,整理得31323(14323423n n n n n n T +=--=-⨯⨯,323314322())04232323n n n n nn n T S ++-=---=-<⨯⨯,故2n n S T <.20.已知抛物线C :22(0)y px p =>的焦点F 到准线的距离为2.(1)求C 的方程,(2)已知O 为坐标原点,点P 在C 上,点Q 满足9PQ QF = ,求直线OQ 斜率的最大值.答案:见解析解析:(1)由焦点到准线的距离为p ,则2p =.抛物线c 的方程:24y x =.(2)设点200(,)4y P y ,(,)Q Q Q x y ,(1,0)F .∵9PQ QF = .∴2022000009499(,)9(1,)4104910Q Q Q Q Q Q Q Q Q Q y y x x x y x y y x y y y x y y ⎧+⎪⎧-=-=⎪⎪--=--⇒⇒⎨⎨⎪⎪-=-⎩=⎪⎩则020*********QOQ Q y y k y y x y ===≤++.∴直线OQ 斜率的最大值为13.21.已知函数32()1f x x x ax =-++.(1)讨论()f x 的单调性;(2)求曲线()y f x =过坐标原点的切线与曲线()y f x =的公共点的坐标.答案:见解析解析:(1)2()32f x x x a'=-+(i)当4120a ∆=-≤,即13a ≥时,()0f x '≥恒成立,即()f x 在()f x 在x ∈R 上单调递增.(ii)当4120∆=->,即13a <时,()0f x '=解得,11133x -=,21133x +=.∴()f x 在113(,)3a --∞,113()3a -+∞单调递增,在113113()33a a --++单调递减,综上所述:当13a ≥时,()f x 在R 上单调递增;当13a <时,()f x 在113113()33a a -++单调递减.(2)设可原点切线的切点为32(,1)t t t at -++,切线斜率2()32k f t t t a '==-+.又321t t at k t -++=,可得322132t t at t t a t-++=-+.化简得2(1)(21)0t t t -++=,即1t =.∴切点为(1,1)a +,斜率1k a =+,切线方程为(1)y a x =+,将(1)y a x =+,321y x x ax =-++联立可得321(1)x x ax a x -++=+,化简得2(1)(1)0x x -+=,解得11x =,21x =-.∴过原点的切线与()y f x =公共点坐标为(1,1)a +,(1,1)a ---.22.在直角坐标系xOy 中,C 的圆心为)(2,1C ,半径为1.(1)写出C 的一个参数方程;(2)过点)(4,1F 作C 的两条切线.以坐标原点为极点,x 轴正半轴为极轴建立坐标系,求这两条切线的极坐标方程.答案:见解析解析:(1)C 的参数方程为2cos 1sin x y θθ=+⎧⎨=+⎩(θ为参数)(2)C 的方程为22(2)(1)1x y -+-=①当直线斜率不存在时,直线方程为4x =,此时圆心到直线距离为2r >,舍去;②当直线斜率存在时,设直线方程为1(4)y k x -=-,化简为410kx y k --+=,此时圆心(2,1)C 到直线的距离为1d r ===,化简得2||k =,两边平方有2241k k =+,所以33k =±代入直线方程并化简得40x +=或40x +-=化为极坐标方程为5cos sin 4sin()46πρθθρθ-=-⇔+=-或cos sin 4sin()46πρθθρθ+=++=+.23.已知函数()|||3|f x x a x =-++.(1)当1a =时,求不等式()6f x ≥的解集;(2)若()f x a >-,求a 的取值范围.答案:见解析解析:当1a =时,()6|1||3|6f x x x ≥⇔-++≥,当3x ≤-时,不等式136x x ⇔---≥,解得4x ≤-;当31x -<<时,不等式136x x ⇔-++≥,解得x ∈∅;当1x ≥时,不等式136x x ⇔-++≥,解得2x ≥.综上,原不等式的解集为(,4][2,)-∞-+∞ .(2)若()f x a >-,即min ()f x a >-,因为()|||3||()(3)||3|f x x a x x a x a =-++≥--+=+(当且仅当()(3)0x a x -+≤时,等号成立),所以min ()|3|f x a =+,所以|3|a a +>-,即3a a +<或3a a +>-,解得3(,)2a ∈-+∞.。
2021年普通高等学校招生全国统一考试数学试卷(文科)一、单选题(本大题共12小题,共60.0分)1. 已知全集U ={1,2,3,4,5},集合M ={1,2},N ={3,4},则∁U (M ∪N)=( )A. {5}B. {1,2}C. {3,4}D. {1,2,3,4}2. 设iz =4+3i ,则z =( )A. −3−4iB. −3+4iC. 3−4iD. 3+4i3. 已知命题p :∃x ∈R ,sinx <1;命题q :∀x ∈R ,e |x|≥1,则下列命题中为真命题的是( )A. p ∧qB. ¬p ∧qC. p ∧¬qD. ¬(p ∨q)4. 函数f(x)=sin x3+cos x3的最小正周期和最大值分别是( )A. 3π和√2B. 3π和2C. 6π和√2D. 6π和25. 若x ,y 满足约束条件{x +y ≥4,x −y ≤2,y ≤3,则z =3x +y 的最小值为( )A. 18B. 10C. 6D. 46. cos 2π12−cos 25π12=( )A. 12B. √33C. √22D. √327. 在区间(0,12)随机取1个数,则取到的数小于13的概率为( )A. 34B. 23C. 13D. 168. 下列函数中最小值为4的是( )A. y =x 2+2x +4B. y =|sinx|+4|sinx| C. y =2x +22−xD. y =lnx +4lnx9. 设函数f(x)=1−x1+x ,则下列函数中为奇函数的是( )A. f(x −1)−1B. f(x −1)+1C. f(x +1)−1D. f(x +1)+110. 在正方体ABCD −A 1B 1C 1D 1中,P 为B 1D 1的中点,则直线PB 与AD 1所成的角为( )A. π2B. π3C. π4D. π611. 设B 是椭圆C :x 25+y 2=1的上顶点,点P 在C 上,则|PB|的最大值为( )A. 52B. √6C. √5D. 212.设a≠0,若x=a为函数f(x)=a(x−a)2(x−b)的极大值点,则()A. a<bB. a>bC. ab<a2D. ab>a2二、单空题(本大题共4小题,共20.0分)13.已知向量a⃗=(2,5),b⃗ =(λ,4),若a⃗//b⃗ ,则λ=______ .14.双曲线x24−y25=1的右焦点到直线x+2y−8=0的距离为______ .15.记△ABC的内角A,B,C的对边分别为a,b,c,面积为√3,B=60°,a2+c2=3ac,则b=______ .16.以图①为正视图,在图②③④⑤中选两个分别作为侧视图和俯视图,组成某个三棱锥的三视图,则所选侧视图和俯视图的编号依次为______ (写出符合要求的一组答案即可).三、解答题(本大题共7小题,共82.0分)17.某厂研制了一种生产高精产品的设备,为检验新设备生产产品的某项指标有无提高,用一台旧设备和一台新设备各生产了10件产品,得到各件产品该项指标数据如下:旧设备9.810.310.010.29.99.810.010.110.29.7新设备10.110.410.110.010.110.310.610.510.410.5旧设备和新设备生产产品的该项指标的样本平均数分别记为x−和y−,样本方差分别记为s12和s22.(1)求x−,y−,s12,s22;(2)判断新设备生产产品的该项指标的均值较旧设备是否有显著提高(如果y−−x−≥2√s12+s2210,则认为新设备生产产品的该项指标的均值较旧设备有显著提高,否则不认为有显著提高).18. 如图,四棱锥P −ABCD 的底面是矩形,PD ⊥底面ABCD ,M 为BC 的中点,且PB ⊥AM . (1)证明:平面PAM ⊥平面PBD ;(2)若PD =DC =1,求四棱锥P −ABCD 的体积.19. 设{a n }是首项为1的等比数列,数列{b n }满足b n =na n 3,已知a 1,3a 2,9a 3成等差数列.(1)求{a n }和{b n }的通项公式;(2)记S n 和T n 分别为{a n }和{b n }的前n 项和.证明:T n <S n 2.20. 已知抛物线C :y 2=2px(p >0)的焦点F 到准线的距离为2.(1)求C 的方程;(2)已知O 为坐标原点,点P 在C 上,点Q 满足PQ ⃗⃗⃗⃗⃗ =9QF ⃗⃗⃗⃗⃗ ,求直线OQ 斜率的最大值.21.已知函数f(x)=x3−x2+ax+1.(1)讨论f(x)的单调性;(2)求曲线y=f(x)过坐标原点的切线与曲线y=f(x)的公共点的坐标.22.在直角坐标系xOy中,⊙C的圆心为C(2,1),半径为1.(1)写出⊙C的一个参数方程;(2)过点F(4,1)作⊙C的两条切线.以坐标原点为极点,x轴正半轴为极轴建立极坐标系,求这两条切线的极坐标方程.23.已知函数f(x)=|x−a|+|x+3|.(1)当a=1时,求不等式f(x)≥6的解集;(2)若f(x)>−a,求a的取值范围.答案解析1.【答案】A【解析】解:∵全集U={1,2,3,4,5},集合M={1,2},N={3,4},∴M∪N={1,2,3,4},∴∁U(M∪N)={5}.故选:A.利用并集定义先求出M∪N,由此能求出∁U(M∪N).本题考查集合的运算,考查并集、补集定义等基础知识,考查运算求解能力等数学核心素养,是基础题.2.【答案】C【解析】解:由iz=4+3i,得z=4+3ii =(4+3i)(−i)−i2=−3i2−4i=3−4i.故选:C.把已知等式变形,再由复数代数形式的乘除运算化简得答案.本题考查复数代数形式的乘除运算,是基础题.3.【答案】A【解析】解:对于命题p:∃x∈R,sinx<1,当x=0时,sinx=0<1,故命题p为真命题,¬p为假命题;对于命题q:∀x∈R,e|x|≥1,因为|x|≥0,又函数y=e x为单调递增函数,故e|x|≥e0=1,故命题q为真命题,¬q为假命题,所以p∧q为真命题,¬p∧q为假命题,p∧¬q为假命题,¬(p∨q)为假命题,故选:A.先分别判断命题p和命题q的真假,然后由简单的复合命题的真假判断法则进行判断,即可得到答案.本题考查了命题真假的判断,解题的关键是掌握全称命题和存在性命题真假的判断方法,考查了逻辑推理能力,属于基础题.4.【答案】C【解析】解:∵f(x)=sin x 3+cos x 3=√2sin(x 3+π4), ∴T =2π13=6π.当sin(x3+π4)=1时,函数f(x)取得最大值√2; ∴函数f(x)的周期为6π,最大值√2. 故选:C .化简函数的表达式,再利用三角函数的周期,正弦函数的最值求解即可.本题考查了辅助角公式、三角函数的周期性与最值,考查了推理能力与计算能力,属于中档题.5.【答案】C【解析】解:由约束条件作出可行域如图,联立{y =3x +y =4,解得A(1,3),由z =3x +y ,得y =−3x +z ,由图可知,当直线y =−3x +z 过A 时, 直线在y 轴上的截距最小,z 有最小值为3×1+3=6. 故选:C .由约束条件作出可行域,化目标函数为直线方程的斜截式,数形结合得到最优解,把最优解的坐标代入目标函数得答案.本题考查简单的线性规划,考查数形结合思想,是中档题.6.【答案】D【解析】解:cos 2π12−cos 25π12=1+cos π62−1+cos 5π62=12+12cos π6−12−12cos 5π6=12×√32−12×(−√32)=√32. 故选:D .直接利用二倍角的余弦化简求值即可.本题考查三角函数的化简求值和二倍角的余弦,是基础题.7.【答案】B【解析】解:由于试验的全部结果构成的区域长度为12−0=12, 构成该事件的区域长度为13−0=13, 所以取到的数小于13的概率P =1312=23.故选:B .我们分别计算出区间(0,12)和(0,13)的长度,代入几何概型概率计算公式,即可得到答案. 本题主要考查几何概型的概率计算,其中根据已知条件计算出基本事件总数对应的几何量的大小,和满足条件的几何量的大小是解答本题的关键,属基础题.8.【答案】C【解析】解:对于A ,y =x 2+2x +4=(x +1)2+3≥3, 所以函数的最小值为3,故选项A 错误;对于B ,因为0<|sinx|≤1,所以y =|sinx|+4|sinx|≥2√|sinx|⋅4|sinx|=4, 当且仅当|sinx|=4|sinx|,即|sinx|=2时取等号, 因为|sinx|≤1,所以等号取不到,所以y =|sinx|+4|sinx|>4,故选项B 错误;对于C ,因为2x >0,所以y =2x +22−x =2x +42x ≥2√2x ⋅42x =4,当且仅当2x =2,即x =1时取等号, 所以函数的最小值为4,故选项C 正确;对于D ,因为当x =1e 时,y =ln 1e +4ln 1e=−1−4=−5<4,所以函数的最小值不是4,故选项D 错误. 故选:C .利用二次函数的性质求出最值,即可判断选项A,根据基本不等式以及取最值的条件,即可判断选项B,利用基本不等式求出最值,即可判断选项C,利用特殊值验证,即可判断选项D.本题考查了函数最值的求解,涉及了二次函数最值的求解,利用基本不等式求解最值的应用,在使用基本不等式求解最值时要满足三个条件:一正、二定、三相等,考查了转化思想,属于中档题.9.【答案】B【解析】解:因为f(x)=1−x1+x =−(x+1)+21+x=−1+2x+1,所以函数f(x)的对称中心为(−1,−1),所以将函数f(x)向右平移一个单位,向上平移一个单位,得到函数y=f(x−1)+1,该函数的对称中心为(0,0),故函数y=f(x−1)+1为奇函数.故选:B.先根据函数f(x)的解析式,得到f(x)的对称中心,然后通过图象变换,使得变换后的函数图象的对称中心为(0,0),从而得到答案.本题考查了函数奇偶性和函数的图象变换,解题的关键是确定f(x)的对称中心,考查了逻辑推理能力,属于基础题.10.【答案】D【解析】解:∵AD1//BC1,∴∠PBC1是直线PB与AD1所成的角(或所成角的补角),设正方体ABCD−A1B1C1D1的棱长为2,则PB1=PC1=12√22+22=√2,BC1=√22+22=2√2,BP=√22+(√2)2=√6,∴cos∠PBC1=PB2+BC12−PC122×PB×BC1=6+8−22×√6×2√2=√32,∴∠PBC1=π6,∴直线PB与AD1所成的角为π6.故选:D.由AD1//BC1,得∠PBC1是直线PB与AD1所成的角(或所成角的补角),由此利用余弦定理,求出直线PB 与AD 1所成的角.本题考查异面直线所成角和余弦定理,考查运算求解能力,是基础题.11.【答案】A【解析】解:B 是椭圆C :x 25+y 2=1的上顶点,所以B(0,1),点P 在C 上,设P(√5cosθ,sinθ),θ∈[0,2π),所以|PB|=√(√5cosθ−0)2+(sinθ−1)2=√4cos 2θ−2sinθ+2 =√−4sin 2θ−2sinθ+6=√−4(sinx +14)2+254,当sinθ=−14时,|PB|取得最大值,最大值为52. 故选:A .求出B 的坐标,设P(√5cosθ,sinθ),利用两点间距离公式,结合三角函数的有界性,转化求解距离的最大值即可.本题考查椭圆的简单性质,椭圆的参数方程,三角函数最值的求法,考查转化思想以及计算能力,是中档题.12.【答案】D【解析】解:令f(x)=0,解得x =a 或x =b ,即x =a 及x =b 是f(x)的两个零点, 当a >0时,由三次函数的性质可知,要使x =a 是f(x)的极大值点,则函数f(x)的大致图象如下图所示,则0<a <b ;当a <0时,由三次函数的性质可知,要使x =a 是f(x)的极大值点,则函数f(x)的大致图象如下图所示,则b<a<0;综上,ab>a2.故选:D.分a>0及a<0,结合三次函数的性质及题意,通过图象发现a,b的大小关系,进而得出答案.本题考查三次函数的图象及性质,考查导数知识的运用,考查数形结合思想,属于中档题.13.【答案】85【解析】解:因为a⃗=(2,5),b⃗ =(λ,4),a⃗//b⃗ ,所以8−5λ=0,解得λ=85.故答案为:85.根据题意,由a⃗//b⃗ ,可得关于λ的方程,再求出λ即可.本题考查向量平行的坐标表示,涉及向量的坐标计算,属于基础题.14.【答案】√5【解析】解:双曲线x24−y25=1的右焦点(3,0),所以右焦点到直线x+2y−8=0的距离为d=√12+22=√5.故答案为:√5.求出双曲线的右焦点的坐标,利用点到直线的距离公式求解即可.本题考查双曲线的简单性质,点到直线的距离公式,是基础题.15.【答案】2√2【解析】解:∵△ABC的内角A,B,C的对边分别为a,b,c,面积为√3,B=60°,a2+c2=3ac,∴12acsinB=√3⇒12ac×√32=√3⇒ac=4⇒a2+c2=12,又cosB=a2+c2−b22ac ⇒12=12−b28⇒b=2√2,(负值舍)故答案为:2√2.由题意和三角形的面积公式以及余弦定理得关于b的方程,解方程可得.本题考查三角形的面积公式以及余弦定理的应用,属基础题.16.【答案】②⑤或③④【解析】解:观察正视图,推出正视图的长为2和高1,②③图形的高也为1,即可能为该三棱锥的侧视图,④⑤图形的长为2,即可能为该三棱锥的俯视图,当②为侧视图时,结合侧视图中的直线,可以确定该三棱锥的俯视图为⑤,当③为侧视图时,结合侧视图虚线,虚线所在的位置有立体图形的轮廓线,可以确定该三棱锥的俯视图为④.故答案为:②⑤或③④.通过观察已知条件正视图,确定该正视图的长和高,结合长、高、以及侧视图视图中的实线、虚线来确定俯视图图形.该题考查了三棱锥的三视图,需要学生掌握三视图中各个图形边长的等量关系,以及对于三视图中特殊线条能够还原到原立体图形中,需要较强空间想象,属于中等题.17.【答案】解:(1)由题中的数据可得,x−=110×(9.8+10.3+10.0+10.2+9.9+9.8+ 10.0+10.1+10.2+9.7)=10,y−=110×(10.1+10.4+10.1+10.0+10.1+10.3+10.6+10.5+10.4+10.5)=10.3,s12=110×[(9.8−10)2+(10.3−10)2+(10−10)2+(10.2−10)2+(9.9−10)2 +(9.8−10)2+(10−10)2+(10.1−10)2+(10.2−10)2+(9.7−10)2]=0.036;s22=110×[(10.1−10.3)2+(10.4−10.3)2+(10.1−10.3)2+(10.0−10.3)2+(10.1−10.3)2+(10.3−10.3)2+(10.6−10.3)2+(10.5−10.3)2+(10.4−10.3)2+(10.5−10.3)2]=0.04;(2)y−−x−=10.3−10=0.3,2√s12+s2210=2√0.036+0.0410=2√0.0076≈0.174,所以y−−x−>2√s12+s2210,故新设备生产产品的该项指标的均值较旧设备有显著提高.【解析】(1)利用平均数和方差的计算公式进行计算即可;(2)比较y−−x−与2√s12+s2210的大小,即可判断得到答案.本题考查了样本特征数的计算,解题的关键是掌握平均数与方差的计算公式,考查了运算能力,属于基础题.18.【答案】(1)证明:∵PD⊥底面ABCD,AM⊂平面ABCD,∴PD⊥AM,又∵PB⊥AM,PD∩PB=P,PB,PD⊂平面PBD.∴AM⊥平面PBD.∵AM⊂平面PAM,∴平面PAM⊥平面PBD;(2)解:由PD⊥底面ABCD,∴PD即为四棱锥P−ABCD的高,△DPB是直角三角形;∵ABCD底面是矩形,PD=DC=1,M为BC的中点,且PB⊥AM.设AD=BC=2a,取CP的中点为F.连接MF,AF,EF,AE,可得MF//PB,EF//DP,那么AM⊥MF.且EF=12.AE=√14+4a2,AM=√a2+1,AF=√EF2+AE2.那么△AMF是直角三角形,∵△DPB是直角三角形,∴根据勾股定理:BP=√2+4a2,则MF=√2+4a22;由△AMF是直角三角形,可得AM2+MF2=AF2,解得a=√22.底面ABCD的面积S=√2,则四棱锥P −ABCD 的体积V =13⋅ℎ⋅S =13×1×√2=√23.【解析】(1)通过线面垂直即可证明;即只需证明AM ⊥平面PBD .(2)根据PD ⊥底面ABCD ,可得PD 即为四棱锥P −ABCD 的高,利用体积公式计算即可. 本题考查平面与平面垂直的判定,考查空间想象能力与思维能力,体积计算,考查运算求解能力,是中档题. 19.【答案】解:(1)∵a 1,3a 2,9a 3成等差数列,∴6a 2=a 1+9a 3,∵{a n }是首项为1的等比数列,设其公比为q ,则6q =1+9q 2,∴q =13,∴a n =a 1q n−1=(13)n−1, ∴b n =na n 3=n ⋅(13)n . (2)证明:由(1)知a n =(13)n−1,b n =n ⋅(13)n ,∴S n =1×[1−(13)n ]1−13=32−12×(13)n−1, T n =1×(13)1+2×(13)2+⋯+n ⋅(13)n ,①∴13T n =1×(13)2+2×(13)3+⋯+n ⋅(13)n+1,② ①−②得,23T n =12[1−(13)n ]−n(13)n+1,∴T n =34−14×(13)n−1−n 2(13)n ,∴T n −S n 2=34−14×(13)n−1−n 2⋅(13)n −[34−14×(13)n−1]<0, ∴T n <S n 2.【解析】(1)根据a 1,3a 2,9a 3成等差数列,{a n }是首项为1的等比数列,求出公比q ,进一步求出{a n }和{b n }的通项公式;(2)分别利用等比数列的前n 项和公式和错位相减法,求出S n 和T n ,再利用作差法证明T n <S n 2.本题考查了等差数列与等比数列的性质,等比数列的前n 项和公式和利用错位相减法求数列的前n 项和,考查了方程思想和转化思想,属中档题.20.【答案】(1)解:由题意知,p =2,∴y 2=4x .(2)由(1)知,抛物线C :y 2=4x ,F(1,0),设点Q 的坐标为(m,n),则QF ⃗⃗⃗⃗⃗ =(1−m,−n),PQ ⃗⃗⃗⃗⃗ =9QF ⃗⃗⃗⃗⃗ =(9−9m,−9n)∴P 点坐标为(10m −9,10n),将点P 代入C 得100n 2=40m −36,整理得m =100n 2+3640=25n 2+910, ∴K =n m =10n 25n 2+9=1025n+9n ≤13,当n =3时取最大值. 故答案为:13.【解析】(1)根据焦点F 到准线的距离为2求出p ,进而得到抛物线方程,(2)设出点Q 的坐标,按照向量关系得出P 点坐标,再代入抛物线方程中,利用基本不等式即可求出最值.本题考查抛物线的性质,考察基本不等式求最值,属于中档题.21.【答案】解:(1)f′(x)=3x 2−2x +a ,△=4−12a ,①当△≤0,即a ≥13时,由于f′(x)的图象是开口向上的抛物线,故此时f′(x)≥0,则f(x)在R 上单调递增;②当△>0,即a <13时,令f′(x)=0,解得x 1=1−√1−3a 3,x 2=1+√1−3a 3, 令f′(x)>0,解得x <x 1或x >x 2,令f′(x)<0,解得x 1<x <x 2,∴f(x)在(−∞,x 1),(x 2,+∞)单调递增,在(x 1,x 2)单调递减;综上,当a ≥13时,f(x)在R 上单调递增;当a <13时,f(x)在(−∞,1−√1−3a 3),(1+√1−3a 3,+∞)单调递增,在(1−√1−3a 3,1+√1−3a 3)单调递减. (2)设曲线y =f(x)过坐标原点的切线为l ,切点为(x 0,x 03−x 02+ax 0+1),f′(x 0)=3x 02−2x 0+a ,则切线方程为y −(x 03−x 02+ax 0+1)=(3x 02−2x 0+a)(x −x 0),将原点代入切线方程有,2x 03−x 02−1=0,解得x 0=1,∴切线方程为y =(a +1)x ,令x 3−x 2+ax +1=(a +1)x ,即x 3−x 2−x +1=0,解得x =1或x =−1, ∴曲线y =f(x)过坐标原点的切线与曲线y =f(x)的公共点的坐标为(1,a +1)和(−1,−a −1).【解析】(1)对函数f(x)求导,分a ≥13及a <13讨论导函数与零的关系,进而得出f(x)的单调性情况;(2)先设出切点,表示出切线方程,根据切线过原点,可求得切线方程,将切线方程与曲线y =f(x)联立,即可求得公共点坐标.本题考查导数的几何意义以及利用导数研究函数的单调性,考查分类讨论思想及运算求解能力,属于中档题. 22.【答案】解:(1)⊙C 的圆心为C(2,1),半径为1,则⊙C 的标准方程为(x −2)2+(y −1)2=1,⊙C 的一个参数方程为{x =2+cosθy =1+sinθ(θ为参数). (2)由题意可知两条切线方程斜率存在,设切线方程为y −1=k(x −4),即kx −y −4k +1=0,圆心C(2,1)到切线的距离d =√k 2+1=1,解得k =±√33, 所以切线方程为y =±√33(x −4)+1, 因为x =ρcosθ,y =ρsinθ,所以这两条切线的极坐标方程为ρsinθ=±√33(ρcosθ−4)+1.【解析】(1)求出⊙C 的标准方程,即可求得⊙C 的参数方程;(2)求出直角坐标系中的切线方程,再由x =ρcosθ,y =ρsinθ即可求解这两条切线的极坐标方程.本题主要考查圆的参数方程,普通方程与极坐标方程的转化,考查运算求解能力,属于基础题.23.【答案】解:(1)当a =1时,f(x)=|x −1|+|x +3|={−2x −2,x ≤−34,−3<x <12x +2,x ≥1,∵f(x)≥6,∴{x ≤−3−2x −2≥6或{−3<x <1 4≥6或{x ≥12x +2≥6, ∴x ≤−4或x ≥2,∴不等式的解集为(−∞,−4]∪[2,+∞).(2)f(x)=|x −a|+|x +3|≥|x −a −x −3|=|a +3|,若f(x)>−a ,则|a +3|>−a ,两边平方可得a2+6a+9>a2,解得a>−3,2,+∞).即a的取值范围是(−32【解析】(1)将a=1代入f(x)中,根据f(x)≥6,利用零点分段法解不等式即可;(2)利用绝对值三角不等式可得f(x)≥|a+3|,然后根据f(x)>−a,得到|a+3|>−a,求出a的取值范围.本题主要考查绝对值不等式的解法,考查运算求解能力,属于基础题.。
2023年高考文科数学试卷(全国乙卷)一、选择题1.232i 2i ++=()A.1B.2C.D.52.设全集{}0,1,2,4,6,8U =,集合{}{}0,4,6,0,1,6M N ==,则U M N ⋃=ð()A.{}0,2,4,6,8 B.{}0,1,4,6,8 C.{}1,2,4,6,8 D.U3.如图,网格纸上绘制的一个零件的三视图,网格小正方形的边长为1,则该零件的表面积为()A .24B.26C.28D.304.在ABC 中,内角,,A B C 的对边分别是,,a b c ,若cos cos a B b A c -=,且5C π=,则B ∠=()A.10π B.5π C.310π D.25π5.已知e ()e 1xaxx f x =-是偶函数,则=a ()A.2- B.1- C.1 D.26.正方形ABCD 的边长是2,E 是AB 的中点,则EC ED ⋅=()A.B.3C. D.57.设O 为平面坐标系的坐标原点,在区域(){}22,14x y xy ≤+≤内随机取一点A ,则直线OA 的倾斜角不大于π4的概率为()A.18B.16C.14D.128.函数()32f x x ax =++存在3个零点,则a 的取值范围是()A.(),2-∞- B.(),3-∞- C.()4,1-- D.()3,0-9.某学校举办作文比赛,共6个主题,每位参赛同学从中随机抽取一个主题准备作文,则甲、乙两位参赛同学抽到不同主题概率为()A.56B.23C.12D.1310.已知函数()sin()f x x ωϕ=+在区间π2π,63⎛⎫⎪⎝⎭单调递增,直线π6x =和2π3x =为函数()y f x =的图像的两条对称轴,则5π12f ⎛⎫-= ⎪⎝⎭()A.32B.12-C.12D.3211.已知实数,x y 满足224240x y x y +---=,则x y -的最大值是()A.3212+B.4C.1+D.712.设A ,B 为双曲线2219y x -=上两点,下列四个点中,可为线段AB 中点的是()A.()1,1 B.()1,2- C.()1,3 D.()1,4--二、填空题13.已知点(A 在抛物线C :22y px =上,则A 到C 的准线的距离为______.14.若π10,,tan 22⎛⎫∈= ⎪⎝⎭θθ,则sin cos θθ-=________.15.若x ,y 满足约束条件312937x y x y x y -≤-⎧⎪+≤⎨⎪+≥⎩,则2z x y =-的最大值为______.16.已知点,,,S A B C 均在半径为2的球面上,ABC 是边长为3的等边三角形,SA ⊥平面ABC ,则SA =________.三、解答题17.某厂为比较甲乙两种工艺对橡胶产品伸缩率的处理效应,进行10次配对试验,每次配对试验选用材质相同的两个橡胶产品,随机地选其中一个用甲工艺处理,另一个用乙工艺处理,测量处理后的橡胶产品的伸缩率.甲、乙两种工艺处理后的橡胶产品的伸缩率分别记为i x ,()1,2,,10i y i =⋅⋅⋅.试验结果如下:试验序号i 12345678910伸缩率i x 545533551522575544541568596548伸缩率iy 536527543530560533522550576536记()1,2,,10i i i z x y i =-=⋅⋅⋅,记1210,,,z z z ⋅⋅⋅的样本平均数为z ,样本方差为2s .(1)求z ,2s ;(2)判断甲工艺处理后的橡胶产品的伸缩率较乙工艺处理后的橡胶产品的伸缩率是否有显著提高(如果z ≥,则认为甲工艺处理后的橡胶产品的伸缩率较乙工艺处理后的橡胶产品的伸缩率有显著提高,否则不认为有显著提高)18.记n S 为等差数列{}n a 的前n 项和,已知21011,40a S ==.(1)求{}n a 的通项公式;(2)求数列{}n a 的前n 项和n T .19.如图,在三棱锥-P ABC 中,AB BC ⊥,2AB =,BC =PB PC ==,,BP AP BC 的中点分别为,,D E O ,点F 在AC 上,BF AO ⊥.(1)求证:EF //平面ADO ;(2)若120POF ∠=︒,求三棱锥-P ABC 的体积.20.已知函数()()1ln 1f x a x x ⎛⎫=++⎪⎝⎭.(1)当1a =-时,求曲线()y f x =在点()()1,f x 处的切线方程.(2)若函数()f x 在()0,∞+单调递增,求a 的取值范围.21.已知椭圆2222:1(0)C b b x a a y +>>=的离心率是3,点()2,0A -在C 上.(1)求C 的方程;(2)过点()2,3-的直线交C 于,P Q 两点,直线,AP AQ 与y 轴的交点分别为,M N ,证明:线段MN 的中点为定点.【选修4-4】(10分)22.在直角坐标系xOy 中,以坐标原点O 为极点,x 轴正半轴为极轴建立极坐标系,曲线1C 的极坐标方程为2sin 42ππρθθ⎛⎫=≤≤ ⎪⎝⎭,曲线2C :2cos 2sin x y αα=⎧⎨=⎩(α为参数,2απ<<π).(1)写出1C 的直角坐标方程;(2)若直线y x m =+既与1C 没有公共点,也与2C 没有公共点,求m 的取值范围.【选修4-5】(10分)23.已知()22f x x x =+-(1)求不等式()6x f x ≤-的解集;(2)在直角坐标系xOy 中,求不等式组()60f x yx y ⎧≤⎨+-≤⎩所确定的平面区域的面积.2023年高考文科数学试卷(全国乙卷)答案一、选择题【1题答案】【答案】C【2题答案】【答案】A【3题答案】【答案】D【4题答案】【答案】C【5题答案】【答案】D【6题答案】【答案】B【7题答案】【答案】C【8题答案】【答案】B【9题答案】【答案】A【10题答案】【答案】D【11题答案】【答案】C【12题答案】【答案】D二、填空题【13题答案】【答案】94【14题答案】【答案】5-【15题答案】【答案】8【16题答案】【答案】2三、解答题【17题答案】【答案】(1)11z =,261s =;(2)认为甲工艺处理后的橡胶产品的伸缩率较乙工艺处理后的橡胶产品的伸缩率有显著提高.【18题答案】【答案】(1)152n a n=-(2)2214,71498,8n n n n T n n n ⎧-≤=⎨-+≥⎩【19题答案】【答案】(1)证明见解析(2)3【20题答案】【答案】(1)()ln 2ln 20x y +-=;(2)1|2a a ⎧⎫≥⎨⎬⎩⎭.【21题答案】【答案】(1)22194y x +=(2)证明见详解【选修4-4】(10分)【22题答案】【答案】(1)()[][]2211,0,1,1,2x y x y +-=∈∈(2)()(),0-∞+∞【选修4-5】(10分)【23题答案】【答案】(1)[2,2]-;(2)6.。
绝密★启用前2023年普通高等学校招生全国统一考试(全国乙卷∙文科)数学注意事项:1.答卷前,考生务必将自己的姓名、准考证号填写在答题卡上。
2.回答选择题时,选出每小题答案后,用铅笔把答题卡上对应题目的答案标号涂黑。
如需改动,用橡皮擦干净后,再选涂其他答案标号。
回答非选择题时,将答案写在答题卡上。
写在本试卷上无效。
3.考试结束后,将本试卷和答题卡一并交回。
一、选择题:本题共12小题,每小题5分,共60分。
在每小题给出的四个选项中,只有一项是符合题目要求的。
1.2+i 2+2i 3 =()A.1B.2C.5D.5【答案】C【解析】∵2+i 2+2i 3=2-2i -1=1-2i ,∴|2+i 2+2i 3|=1-2i =12+(-2)2=5,选C 。
2.设全集U ={0,1,2,4,6,8},集合M ={0,4,6},N ={0,1,6},则M ⋃C U N =()A.{0,2,4,6,8} B.{0,1,4,6,8}C.{1,2,4,6,8}D.U【答案】A【解析】∵N ={2,4,8},∴M ⋃C U N ={0,2,4,6,8},选A.3.如图,网格纸上绘制的一个零件的三视图,网格小正方形的边长为1,则该零件的表面积为()A.24B.26C.28D.30【答案】D【解析】如图所示,在长方体ABCD -A 1B 1C 1D 1中,AB =BC =2, AA 1=3,点H ,I ,J ,K 为所在棱上靠近点B 1,C 1,D 1,A 1的三等分点,O ,L ,M ,N 为所在棱的中点,则三视图所对应的几何体为长方体ABCD -A 1B 1C 1D 1去掉长方体ONIC 1-LMHB 1之后所得的几何体,该几何体表面积为:2×(2×2)+4×(2×3)-2×(1×1)=30,选D 。
4.在△BC 中,内角A,B,C 的对边分别是a,b,c,若acosB -bcosA =c,且C =π5,则∠B =()A.π10B.π5C.3π10D.2π5【答案】C【解析】∵sinAcosB -sinBcosA =sinC,即sinAcosB -sinBcosA =sin (A +B )=sinAcosBsinBcosA,∴sinBcosA =0,∵B ∈(0,π),∴sinB >0,∴cosA =0,A =π2,∴B =π-A -C =3π10,选C 。
绝密★启用前2024年普通高等学校招生全国统一考试文科数学使用范围:陕西、宁夏、青海、内蒙古、四川注意事项:1.答题前,务必将自己的姓名、考籍号填写在答题卡规定的位置上.2.答选择题时,必须使用2B 铅笔将答题卡上对应题目的答案标号涂黑.如需改动,用橡皮擦擦干净后,再选涂其它答案标号.3.答非选择题时,必须使用0.5毫米黑色签字笔,将答案书写在答题卡规定的位置上. 4.所有题目必须在答题卡上作答,在试题卷上答题无效. 5.考试结束后,只将答题卡交回.一、选择题:本题共12小题,每小题5分,共60分.在每小题给出的四个选项中,只有一项是符合题目要求的.1. 集合{}1,2,3,4,5,9A =,{}1B x x A =+∈,则A B =I ( )A. {}1,2,3,4B. {}1,2,3C. {}3,4D. {}1,2,92.设z =,则z z ⋅=( )A. -iB. 1C. -1D. 23. 若实数,x y 满足约束条件43302202690x y x y x y --≥⎧⎪--≤⎨⎪+-≤⎩,则5z x y =-的最小值为( )A. 5B.12C. 2-D. 72-4. 等差数列{}n a 的前n 项和为n S ,若91S =,37a a +=( ) A. 2-B.73C. 1D.295. 甲、乙、丙、丁四人排成一列,丙不在排头,且甲或乙在排尾的概率是( ) A.14B.13C.12D.236. 已知双曲线的两个焦点分别为(0,4),(0,4)-,点(6,4)-在该双曲线上,则该双曲线的离心率为( )A. 4B. 3C. 2D.7. 曲线()631f x x x =+-在()0,1-处的切线与坐标轴围成的面积为( ) A.16B.C.12D. 8. 函数()()2e esin xxf x x x -=-+-在区间[ 2.8,2.8]-大致图像为()A. B.C. D.9.已知cos cos sin ααα=-,则πtan 4α⎛⎫+= ⎪⎝⎭( )A. 1+B. 1-C.D. 1原10题略10. 设αβ、是两个平面,m n 、是两条直线,且m αβ=I .下列四个命题: ①若//m n ,则//n α或//n β ②若m n ⊥,则,n n αβ⊥⊥③若//n α,且//n β,则//m n ④若n 与α和β所成角相等,则m n ⊥其中所有真命题的编号是( ) A. ①③B. ②④C. ①②③D. ①③④11. 在ABC V 中内角,,A B C 所对边分别为,,a b c ,若π3B =,294b ac =,则sin sin A C +=( ) A.32B.C.D.二、填空题:本题共4小题,每小题5分,共20分.原13题略的的12. 函数()sin f x x x =在[]0,π上的最大值是______. 13. 已知1a >,8115log log 42a a -=-,则=a ______. 14. 曲线33y x x =-与()21y x a =--+在()0,∞+上有两个不同的交点,则a 的取值范围为______.三、解答题:共70分.解答应写出文字说明,证明过程或演算步骤.第17题第21题为必考题,每个考题考生必须作答.第22、23题为选考题,考生根据要求作答. (一)必考题:共60分.15. 已知等比数列{}n a 的前n 项和为n S ,且1233n n S a +=-. (1)求{}n a 的通项公式; (2)求数列{}n S 的通项公式.16. 如图,在以A ,B ,C ,D ,E ,F 为顶点的五面体中,四边形ABCD 与四边形ADEF 均为等腰梯形,//,//BC AD EF AD ,4,2AD AB BC EF ====,ED FB ==M 为AD 的中点.(1)证明://BM 平面CDE ; (2)求点M 到ABF 的距离.17. 已知函数()()1ln 1f x a x x =--+. (1)求()f x 单调区间;(2)若2a ≤时,证明:当1x >时,()1e xf x -<恒成立.18. 设椭圆2222:1(0)x y C a b a b+=>>的右焦点为F ,点31,2M ⎛⎫ ⎪⎝⎭在C 上,且MF x ⊥轴.(1)求C 方程;(2)过点()4,0P 的直线与C 交于,A B 两点,N 为线段FP 的中点,直线NB 交直线MF 于点Q ,证明:AQ y ⊥轴.的的(二)选考题:共10分.请考生在第22、23题中任选一题作答,并用2B 铅笔将所选题号涂黑,多涂、错涂、漏涂均不给分,如果多做,则按所做的第一题计分.19. 在平面直角坐标系xOy 中,以坐标原点O 为极点,x 轴的正半轴为极轴建立极坐标系,曲线C 的极坐标方程为cos 1ρρθ=+. (1)写出C 直角坐标方程; (2)设直线l :x ty t a =⎧⎨=+⎩(t 为参数),若C 与l 相交于A B 、两点,若2AB =,求a 的值.20. 实数,a b 满足3a b +≥. (1)证明:2222a b a b +>+; (2)证明:22226a b b a -+-≥.参考答案一、选择题:本题共12小题,每小题5分,共60分.在每小题给出的四个选项中,只有一项是符合题目要求的.1. 集合{}1,2,3,4,5,9A =,{}1B x x A =+∈,则A B =I ( )A. {}1,2,3,4B. {}1,2,3C. {}3,4D. {}1,2,9【答案】A 【解析】【分析】根据集合B 的定义先算出具体含有的元素,然后根据交集的定义计算. 【详解】依题意得,对于集合B 中元素x ,满足11,2,3,4,5,9x +=, 则x 可能的取值为0,1,2,3,4,8,即{0,1,2,3,4,8}B =, 于是{1,2,3,4}A B ⋂=. 故选:A 2.设z =,则z z ⋅=( )A. -iB. 1C. -1D. 2【答案】D 【解析】的的【分析】先根据共轭复数的定义写出z ,然后根据复数的乘法计算.【详解】依题意得,z =,故22i 2zz =-=. 故选:D3. 若实数,x y 满足约束条件43302202690x y x y x y --≥⎧⎪--≤⎨⎪+-≤⎩,则5z x y =-的最小值为( )A. 5B.12C. 2-D. 72-【答案】D 【解析】【分析】画出可行域后,利用z 的几何意义计算即可得.【详解】实数,x y 满足43302202690x y x y x y --≥⎧⎪--≤⎨⎪+-≤⎩,作出可行域如图:由5z x y =-可得1155y x z =-, 即z 的几何意义为1155y x z =-的截距的15-,则该直线截距取最大值时,z 有最小值, 此时直线1155y x z =-过点A , 联立43302690x y x y --=⎧⎨+-=⎩,解得321x y ⎧=⎪⎨⎪=⎩,即3,12A ⎛⎫⎪⎝⎭,则min 375122z =-⨯=-. 故选:D.4. 等差数列{}n a 的前n 项和为n S ,若91S =,37a a +=( ) A. 2- B.73C. 1D.29【答案】D【解析】【分析】可以根据等差数列基本量,即将题目条件全转化成1a 和d 来处理,亦可用等差数列的性质进行处理,或者特殊值法处理.【详解】方法一:利用等差数列的基本量由91S =,根据等差数列的求和公式,911989193612S a d a d ⨯=+=⇔+=, 又371111222628(936)99a a a d a d a d a d +=+++=+=+=.故选:D方法二:利用等差数列的性质 根据等差数列的性质,1937a a a a +=+,由91S =,根据等差数列的求和公式,193799()9()122a a a a S ++===,故3729a a +=. 故选:D方法三:特殊值法不妨取等差数列公差0d =,则9111199S a a ==⇒=,则371229a a a +==. 故选:D5. 甲、乙、丙、丁四人排成一列,丙不在排头,且甲或乙在排尾的概率是( ) A.14B.13C.12D.23【答案】B 【解析】【分析】分类讨论甲乙的位置,得到符合条件的情况,然后根据古典概型计算公式进行求解. 【详解】当甲排在排尾,乙排第一位,丙有2种排法,丁就1种,共2种; 当甲排在排尾,乙排第二位或第三位,丙有1种排法,丁就1种,共2种;于是甲排在排尾共4种方法,同理乙排在排尾共4种方法,于是共8种排法符合题意; 基本事件总数显然是44A 24=,根据古典概型的计算公式,丙不在排头,甲或乙在排尾的概率为81243=. 故选:B6. 已知双曲线的两个焦点分别为(0,4),(0,4)-,点(6,4)-在该双曲线上,则该双曲线的离心率为( )的A. 4B. 3C. 2D.【答案】C 【解析】【分析】由焦点坐标可得焦距2c ,结合双曲线定义计算可得2a ,即可得离心率. 【详解】设()10,4F -、()20,4F 、()6,4-P ,则1228F F c ==,110PF ==,26PF ==,则1221064a PF PF =-=-=,则28224c e a ===. 故选:C.7. 曲线()631f x x x =+-在()0,1-处的切线与坐标轴围成的面积为( )A.16B.C.12D. 【答案】A 【解析】【分析】先求出切线方程,再求出切线的截距,从而可求面积.【详解】()563f x x ='+,所以()03f '=,故切线方程为3(0)131y x x =--=-,故切线的横截距为13,纵截距为1-,故切线与坐标轴围成的面积为1111236⨯⨯= 故选:A.8. 函数()()2e esin xxf x x x -=-+-在区间[ 2.8,2.8]-的大致图像为()A. B.C. D.【答案】B 【解析】【分析】利用函数的奇偶性可排除A 、C ,代入1x =可得()10f >,可排除D. 【详解】()()()()()22ee sin e e sin xx x x f x x x x x f x ---=-+--=-+-=,又函数定义域为[]2.8,2.8-,故该函数为偶函数,可排除A 、C , 又()11πe 11111e sin11e sin 10e e 622e 42ef ⎛⎫⎛⎫=-+->-+-=-->-> ⎪ ⎪⎝⎭⎝⎭, 故可排除D. 故选:B. 9.已知cos cos sin ααα=-,则πtan 4α⎛⎫+= ⎪⎝⎭( )A. 1+B. 1-C.D. 1【答案】B 【解析】 【分析】先将cos cos sin αα-α弦化切求得tan α,再根据两角和的正切公式即可求解.【详解】因为cos cos sin ααα=-,所以11tan =-α,tan 1⇒α=-,所以tan 1tan 11tan 4α+π⎛⎫==-α+ ⎪-α⎝⎭, 故选:B . 原10题略10. 设αβ、是两个平面,m n 、是两条直线,且m αβ=I .下列四个命题: ①若//m n ,则//n α或//n β ②若m n ⊥,则,n n αβ⊥⊥③若//n α,且//n β,则//m n ④若n 与α和β所成的角相等,则m n ⊥其中所有真命题编号是( ) A. ①③ B. ②④C. ①②③D. ①③④【答案】A的【解析】【分析】根据线面平行的判定定理即可判断①;举反例即可判断②④;根据线面平行的性质即可判断③. 【详解】对①,当n ⊂α,因为//m n ,m β⊂,则//n β, 当n β⊂,因为//m n ,m α⊂,则//n α,当n 既不在α也不在β内,因为//m n ,,m m αβ⊂⊂,则//n α且//n β,故①正确; 对②,若m n ⊥,则n 与,αβ不一定垂直,故②错误;对③,过直线n 分别作两平面与,αβ分别相交于直线s 和直线t ,因为//n α,过直线n 的平面与平面α的交线为直线s ,则根据线面平行的性质定理知//n s , 同理可得//n t ,则//s t ,因为s ⊄平面β,t ⊂平面β,则//s 平面β, 因为s ⊂平面α,m αβ=I ,则//s m ,又因为//n s ,则//m n ,故③正确;对④,若,m n αβ⋂=与α和β所成的角相等,如果//,//αβn n ,则//m n ,故④错误; 综上只有①③正确, 故选:A.11. 在ABC V 中内角,,A B C 所对边分别为,,a b c ,若π3B =,294b ac =,则sin sin A C +=( )A.32B.C.D.【答案】C 【解析】【分析】利用正弦定理得1sin sin 3A C =,再利用余弦定理有22134a c ac +=,再利用正弦定理得到22sin sin A C +的值,最后代入计算即可.【详解】因为29,34B b ac π==,则由正弦定理得241sin sin sin 93A CB ==. 由余弦定理可得:22294b ac ac ac =+-=, 即:22134a c ac +=,根据正弦定理得221313sin sin sin sin 412A C A C +==, 所以2227(sin sin )sin sin 2sin sin 4A C A C A C +=++=, 因为,A C 为三角形内角,则sin sin 0A C +>,则sin sin A C +=. 故选:C.二、填空题:本题共4小题,每小题5分,共20分.原13题略12. 函数()sin f x x x =在[]0,π上的最大值是______. 【答案】2 【解析】【分析】结合辅助角公式化简成正弦型函数,再求给定区间最值即可. 【详解】()πsin 2sin 3f x x x x ⎛⎫==-⎪⎝⎭,当[]0,πx ∈时,ππ2π,333x ⎡⎤-∈-⎢⎥⎣⎦, 当ππ32x -=时,即5π6x =时,()max 2f x =.故答案为:213. 已知1a >,8115log log 42a a -=-,则=a ______. 【答案】64 【解析】【分析】将8log ,log 4a a 利用换底公式转化成2log a 来表示即可求解.【详解】由题28211315log log log 4log 22a a a a -=-=-,整理得()2225log 60log a a --=, 2log 1a ⇒=-或2log 6a =,又1a >,所以622log 6log 2a ==,故6264a ==故答案为:64.14. 曲线33y x x =-与()21y x a =--+在()0,∞+上有两个不同的交点,则a 的取值范围为______. 【答案】()2,1-【解析】【分析】将函数转化为方程,令()2331x x x a -=--+,分离参数a ,构造新函数()3251,g x x x x =+-+结合导数求得()g x 单调区间,画出大致图形数形结合即可求解.【详解】令()2331x x x a -=--+,即3251a x x x =+-+,令()()32510,g x x x x x =+-+> 则()()()2325351g x x x x x =+-=+-',令()()00g x x '=>得1x =, 当()0,1x ∈时,()0g x '<,()g x 单调递减,当()1,x ∞∈+时,()0g x '>,()g x 单调递增,()()01,12g g ==-,因为曲线33y x x =-与()21y x a =--+在()0,∞+上有两个不同的交点, 所以等价于y a =与()g x 有两个交点,所以()2,1a ∈-.故答案为:()2,1-三、解答题:共70分.解答应写出文字说明,证明过程或演算步骤.第17题第21题为必考题,每个考题考生必须作答.第22、23题为选考题,考生根据要求作答.(一)必考题:共60分.15. 已知等比数列{}n a 的前n 项和为n S ,且1233n n S a +=-.(1)求{}n a 的通项公式;(2)求数列{}n S 的通项公式.【答案】(1)153n n a -⎛⎫= ⎪⎝⎭(2)353232n ⎛⎫- ⎪⎝⎭ 【解析】 【分析】(1)利用退位法可求公比,再求出首项后可求通项;(2)利用等比数列的求和公式可求n S .【小问1详解】因为1233n n S a +=-,故1233n n S a -=-,所以()12332n n n a a a n +=-≥即153n n a a +=故等比数列的公比为53q =, 故1211523333533a a a a =-=⨯-=-,故11a =,故153n n a -⎛⎫= ⎪⎝⎭.【小问2详解】 由等比数列求和公式得5113353523213n n n S ⎡⎤⎛⎫⨯-⎢⎥ ⎪⎝⎭⎢⎥⎛⎫⎣⎦==- ⎪⎝⎭-. 16. 如图,在以A ,B ,C ,D ,E ,F 为顶点五面体中,四边形ABCD 与四边形ADEF 均为等腰梯形,//,//BC AD EF AD ,4,2AD AB BC EF ====,ED FB ==M 为AD 的中点.(1)证明://BM 平面CDE ;(2)求点M 到ABF 的距离.【答案】(1)证明见详解;(2【解析】的【分析】(1)结合已知易证四边形BCDM 为平行四边形,可证//BM CD ,进而得证;(2)作FO AD ⊥,连接OB ,易证,,OB OD OF 三垂直,结合等体积法M ABF F ABM V V --=即可求解.【小问1详解】因为//,2,4,BC AD BC AD M ==为AD 的中点,所以//,BC MD BC MD =,四边形BCDM 为平行四边形,所以//BM CD ,又因为BM ⊄平面CDE ,CD ⊂平面CDE ,所以//BM 平面CDE ;【小问2详解】如图所示,作BO AD ⊥交AD 于O ,连接OF ,因为四边形ABCD 为等腰梯形,//,4,BC AD AD =2AB BC ==,所以2CD =,结合(1)BCDM 为平行四边形,可得2BM CD ==,又2AM =,所以ABM V 为等边三角形,O 为AM中点,所以OB =又因为四边形ADEF 为等腰梯形,M 为AD 中点,所以,//EF MD EF MD =,四边形EFMD 为平行四边形,FM ED AF ==,所以AFM △为等腰三角形,ABM V 与AFM △底边上中点O 重合,OF AM ⊥,3OF ==,因为222OB OF BF +=,所以OB OF ⊥,所以,,OB OD OF 互相垂直,由等体积法可得M ABF F ABM V V --=,2112333F ABM ABM V S FO -=⋅=⋅=△,222cos 2FA AB FB FAB FAB FA AB +-∠===∠=⋅11sin 222FAB S FA AB FAB =⋅⋅∠==△,设点M 到FAB的距离为d ,则1133M FAB F ABM FAB V V S d d --==⋅⋅==△, 解得d =,即点M 到ABF . 的17. 已知函数()()1ln 1f x a x x =--+.(1)求()f x 的单调区间;(2)若2a ≤时,证明:当1x >时,()1e x f x -<恒成立.【答案】(1)见解析(2)见解析【解析】 【分析】(1)求导,含参分类讨论得出导函数的符号,从而得出原函数的单调性;(2)先根据题设条件将问题可转化成证明当1x >时,1e 21ln 0x x x --++>即可.【小问1详解】()f x 定义域为(0,)+∞,11()ax f x a x x'-=-= 当0a ≤时,1()0ax f x x -'=<,故()f x 在(0,)+∞上单调递减; 当0a >时,1,x a ∞⎛⎫∈+ ⎪⎝⎭时,()0f x '>,()f x 单调递增, 当10,x a ⎛⎫∈ ⎪⎝⎭时,()0f x '<,()f x 单调递减. 综上所述,当0a ≤时,()f x 在(0,)+∞上单调递减;0a >时,()f x 在1,a ∞⎛⎫+ ⎪⎝⎭上单调递增,在10,a ⎛⎫ ⎪⎝⎭上单调递减. 【小问2详解】2a ≤,且1x >时,111e ()e (1)ln 1e 21ln x x x f x a x x x x ----=--+-≥-++,令1()e 21ln (1)x g x x x x -=-++>,下证()0g x >即可.11()e 2x g x x -'=-+,再令()()h x g x '=,则121()e x h x x-'=-, 显然()h x '在(1,)+∞上递增,则0()(1)e 10h x h ''>=-=,即()()g x h x ='在(1,)+∞上递增,故0()(1)e 210g x g ''>=-+=,即()g x 在(1,)+∞上单调递增,故0()(1)e 21ln10g x g >=-++=,问题得证18. 设椭圆2222:1(0)x y C a b a b+=>>的右焦点为F ,点31,2M ⎛⎫ ⎪⎝⎭在C 上,且MF x ⊥轴. (1)求C 的方程;(2)过点()4,0P 的直线与C 交于,A B 两点,N 为线段FP 的中点,直线NB 交直线MF 于点Q ,证明:AQ y ⊥轴.【答案】(1)22143x y += (2)证明见解析【解析】【分析】(1)设(),0F c ,根据M 的坐标及MF ⊥x 轴可求基本量,故可求椭圆方程.(2)设:(4)AB y k x =-,()11,A x y ,()22,B x y ,联立直线方程和椭圆方程,用,A B 的坐标表示1Q y y -,结合韦达定理化简前者可得10Q y y -=,故可证AQ y ⊥轴.【小问1详解】设(),0F c ,由题设有1c =且232b a =,故2132a a -=,故2a =,故b = 故椭圆方程为22143x y +=. 【小问2详解】直线AB 的斜率必定存在,设:(4)AB y k x =-,()11,A x y ,()22,B x y ,由223412(4)x y y k x ⎧+=⎨=-⎩可得()2222343264120k x k x k +-+-=,故()()422Δ102443464120k k k =-+->,故1122k -<<, 又22121222326412,3434k k x x x x k k-+==++, 而5,02N ⎛⎫ ⎪⎝⎭,故直线225:522y BN y x x ⎛⎫=- ⎪⎝⎭-,故22223325252Q y y y x x --==--, 所以()1222112225332525Q y x y y y y y x x ⨯-+-=+=-- ()()()12224253425k x x k x x -⨯-+-=- ()222212122264123225825834342525k k x x x x k k k k x x -⨯-⨯+-++++==-- 2222212824160243234025k k k k k x --+++==-,故1Q y y =,即AQ y ⊥轴.【点睛】方法点睛:利用韦达定理法解决直线与圆锥曲线相交问题的基本步骤如下:(1)设直线方程,设交点坐标为()()1122,,,x y x y ;(2)联立直线与圆锥曲线的方程,得到关于x (或y )的一元二次方程,注意∆的判断;(3)列出韦达定理;(4)将所求问题或题中的关系转化为12x x +、12x x (或12y y +、12y y )的形式;(5)代入韦达定理求解.(二)选考题:共10分.请考生在第22、23题中任选一题作答,并用2B 铅笔将所选题号涂黑,多涂、错涂、漏涂均不给分,如果多做,则按所做的第一题计分.19. 在平面直角坐标系xOy 中,以坐标原点O 为极点,x 轴的正半轴为极轴建立极坐标系,曲线C 的极坐标方程为cos 1ρρθ=+.(1)写出C 的直角坐标方程;(2)设直线l :x t y t a=⎧⎨=+⎩(t 为参数),若C 与l 相交于A B 、两点,若2AB =,求a 的值. 【答案】(1)221y x =+(2)34a =【解析】 【分析】(1)根据cos xρρθ⎧⎪=⎨=⎪⎩可得C 的直角方程. (2)将直线的新的参数方程代入C 的直角方程,法1:结合参数s 的几何意义可得关于a 的方程,从而可求参数a 的值;法2:将直线的直角方程与曲线的直角方程联立,结合弦长公式可求a 的值.【小问1详解】由cos 1ρρθ=+,将cos xρρθ⎧⎪=⎨=⎪⎩cos 1ρρθ=+,1x =+,两边平方后可得曲线的直角坐标方程为221y x =+.【小问2详解】对于直线l 的参数方程消去参数t ,得直线的普通方程为y x a =+.法1:直线l 的斜率为1,故倾斜角为π4,故直线的参数方程可设为x y a s ⎧=⎪⎪⎨⎪=+⎪⎩,s ∈R .将其代入221y x =+中得()221)210s a s a +-+-=设,A B 两点对应的参数分别为12,s s,则)()212121,21s s a s s a +=--=-, 且()()22Δ818116160a a a =---=->,故1a <,12AB s s ∴=-=2==,解得34a =. 法2:联立221y x a y x =+⎧⎨=+⎩,得22(22)10x a x a +-+-=, ()22Δ(22)41880a a a =---=-+>,解得1a <,设()()1122,,,A x y B x y ,2121222,1x x a x x a ∴+=-=-,则AB ==2=, 解得34a = 20. 实数,ab 满足3a b +≥.(1)证明:2222a b a b +>+; (2)证明:22226a b b a -+-≥.【答案】(1)证明见解析(2)证明见解析【解析】【分析】(1)直接利用22222()a b a b +≥+即可证明.(2)根据绝对值不等式并结合(1)中结论即可证明.【小问1详解】因为()()2222222022a b a ab b a b b a -+=--++=≥,当a b =时等号成立,则22222()a b a b +≥+,因为3a b +≥,所以22222()a b a b a b +≥+>+; 【小问2详解】 222222222222()a b b a a b b a a b a b -+-≥-+-=+-+22222()()()()(1)326a b a b a b a b a b a b =+-+≥+-+=++-≥⨯=。
2021年普通高等学校招生全国统一考试试题数学(乙卷·文科)一、选择题:本题共12小题,每小题5分,共60分。
在每小题给出的四个选项中,只有一项是符合题目要求的。
1.已知全集U ={1,2,3,4,5},集合M ={1,2},N ={3,4},则 U (M ∪N)=( ) A .{5}B .{1,2}C .{3,4}D .{1,2,3,4}2.设iz =4+3i ,则z =( ) A .−3−4iB .−3+4iC .3−4iD .3+4i3.已知命题p :∃x ∈R ,sinx <1;命题q :∀x ∈R ,e |x|⩾1,则下列命题中为真命题的是( ) A .p ∧qB .¬p ∧qC .p ∧¬qD .¬(p ∨q)4.函数f(x)=sin x 3+cos x 3的最小正周期和最大值分别是( ) A .3π和√2B .3π和2C .6π和√2D .6π和25.若x ,y 满足约束条件{x +y ⩾4,x −y ⩽2,则z =3x +y 的最小值为y ⩽3,( )A .18B .10C .6D .46.cos 2π12−cos 25π12=( )A .12B .√33C .√22D .√327.在区间(0,12)随机取1个数,则取到的数小于12的概率为( ) A .34B .23C .13D .168.下列函数中最小值为4的是( ) A .y =x 2+2x +4 B .y =|sinx|+4|sinx|C .y =2x +22xD .y =lnx +4lnx9.设函数f(x)=1−x 1+x,则下列函数中为奇函数的是( ) A .f(x −1)−1B .f(x −1)+1C .f(x +1)−1D .f(x +1)+110.在正方体ABCD −A 1B 1C 1D 1中,P 为B 1D 1的中点,则直线PB 与AD 1所成的角为( ) A .π2B .π3C .π4D .π611.设B 是尼圆C :x 25+y 2=1的上顶点,点P 在C 上,则|PB|的最大值为( ) A .52B .√6C .√5D .212.设a ≠0,若x =a 为函数f(x)=a(x −a)2(x −b)的极大值点,则( )A.a<b B.a>b C.ab<a2D.ab>a2二、填空题:本题共4小题,每小题5分,共20分。
2023年普通高等学校招生全国统一考试(全国乙卷)文科数学一、选择题1.232i 2i ++=()A.1B.2C.D.5【答案】C 【解析】【分析】由题意首先化简232i 2i ++,然后计算其模即可.【详解】由题意可得232i 2i 212i 12i ++=--=-,则232i 2i 12i ++=-==.故选:C.2.设全集{}0,1,2,4,6,8U =,集合{}{}0,4,6,0,1,6M N ==,则U M N ⋃=ð()A.{}0,2,4,6,8 B.{}0,1,4,6,8 C.{}1,2,4,6,8 D.U【答案】A 【解析】【分析】由题意可得U N ð的值,然后计算U M N ⋃ð即可.【详解】由题意可得{}2,4,8U N =ð,则{}0,2,4,6,8U M N = ð.故选:A.3.如图,网格纸上绘制的一个零件的三视图,网格小正方形的边长为1,则该零件的表面积为()A.24B.26C.28D.30【答案】D【分析】由题意首先由三视图还原空间几何体,然后由所得的空间几何体的结构特征求解其表面积即可.【详解】如图所示,在长方体1111ABCD A B C D -中,2AB BC ==,13AA =,点,,,H I J K 为所在棱上靠近点1111,,,B C D A 的三等分点,,,,O L M N 为所在棱的中点,则三视图所对应的几何体为长方体1111ABCD A B C D -去掉长方体11ONIC LMHB -之后所得的几何体,该几何体的表面积和原来的长方体的表面积相比少2个边长为1的正方形,其表面积为:()()()22242321130⨯⨯+⨯⨯-⨯⨯=.故选:D.4.在ABC 中,内角,,A B C 的对边分别是,,a b c ,若cos cos a B b A c -=,且5C π=,则B ∠=()A.10π B.5π C.310π D.25π【答案】C 【解析】【分析】首先利用正弦定理边化角,然后结合诱导公式和两角和的正弦公式求得A ∠的值,最后利用三角形内角和定理可得A ∠的值.【详解】由题意结合正弦定理可得sin cos sin cos sin A B B A C -=,即()sin cos sin cos sin sin cos sin cos A B B A A B A B B A -=+=+,整理可得sin cos 0B A =,由于()0,πB ∈,故sin 0B >,据此可得πcos 0,2A A ==,则ππ3πππ2510B AC =--=--=.5.已知e ()e 1xax x f x =-是偶函数,则=a ()A.2-B.1- C.1D.2【答案】D 【解析】【分析】根据偶函数的定义运算求解.【详解】因为()e e 1x ax x f x =-为偶函数,则()()()()1e e e e 0e 1e 1e 1a x x x x ax ax ax x x x f x f x ---⎡⎤--⎣⎦--=-==---,又因为x 不恒为0,可得()1e e 0a x x --=,即()1e e a x x -=,则()1x a x =-,即11a =-,解得2a =.故选:D.6.正方形ABCD 的边长是2,E 是AB 的中点,则EC ED ⋅=()A.B.3C. D.5【答案】B 【解析】【分析】方法一:以{},AB AD 为基底向量表示,EC ED uu u r uu u r,再结合数量积的运算律运算求解;方法二:建系,利用平面向量的坐标运算求解;方法三:利用余弦定理求cos DEC ∠,进而根据数量积的定义运算求解.【详解】方法一:以{},AB AD为基底向量,可知2,0AB AD AB AD ==⋅=uu u r uuu r uu u r uuu r ,则11,22EC EB BC AB AD ED EA AD AB AD =+=+=+=-+uu u r uu r uu u r uu u r uuu r uu u r uu r uuu r uuu r uuu r ,所以22111143224EC ED AB AD AB AD AB AD ⎛⎫⎛⎫⋅=+⋅-+=-+=-+= ⎪ ⎪⎝⎭⎝⎭uu u r uu u r uu u r uuu r uu u r uuu r uuu r uuu r ;方法二:如图,以A 为坐标原点建立平面直角坐标系,则()()()1,0,2,2,0,2E C D ,可得()()1,2,1,2EC ED ==-uu u r uu u r,所以143EC ED ⋅=-+=uu u r uu u r;方法三:由题意可得:2ED EC CD ===,在CDE 中,由余弦定理可得2223cos25DE CE DC DEC DE CE +-∠===⋅,所以3cos 35EC ED EC ED DEC ⋅=∠==uu u r uu u r uu u r uu u r .故选:B.7.设O 为平面坐标系的坐标原点,在区域(){}22,14x y xy ≤+≤内随机取一点,记该点为A ,则直线OA的倾斜角不大于π4的概率为()A.18 B.16C.14D.12【答案】C 【解析】【分析】根据题意分析区域的几何意义,结合几何概型运算求解.【详解】因为区域(){}22,|14x y xy ≤+≤表示以()0,0O 圆心,外圆半径2R =,内圆半径1r =的圆环,则直线OA 的倾斜角不大于π4的部分如阴影所示,在第一象限部分对应的圆心角π4MON ∠=,结合对称性可得所求概率13π143π4P ⨯==.故选:C.8.函数()32f x x ax =++存在3个零点,则a 的取值范围是()A.(),2-∞- B.(),3-∞- C.()4,1-- D.()3,0-【答案】B 【解析】【分析】写出2()3f x x a '=+,并求出极值点,转化为极大值大于0且极小值小于0即可.【详解】3()2f x x ax =++,则2()3f x x a '=+,若()f x 要存在3个零点,则()f x 要存在极大值和极小值,则a<0,令2()30f x x a '=+=,解得3a x -=3a -,且当,,33a ax ⎛⎫--∈-∞-+∞ ⎪ ⎪⎝⎭时,()0f x '>,当33a a x ⎛--∈ ⎝,()0f x '<,故()f x 的极大值为3f a ⎛ -⎝,极小值为3f a -,若()f x 要存在3个零点,则0303a f a f ⎧⎛-->⎪ ⎪⎝⎨-⎪<⎪⎩,即2033320333a a a a a a ⎧-->⎪⎪⎨---⎪++<⎪⎩,解得3a <-,故选:B.9.某学校举办作文比赛,共6个主题,每位参赛同学从中随机抽取一个主题准备作文,则甲、乙两位参赛同学抽到不同主题概率为()A.56B.23C.12D.13【答案】A 【解析】【分析】对6个主题编号,利用列举列出甲、乙抽取的所有结果,并求出抽到不同主题的结果,再利用古典概率求解作答.【详解】用1,2,3,4,5,6表示6个主题,甲、乙二人每人抽取1个主题的所有结果如下表:乙甲1234561(1,1)(1,2)(1,3)(1,4)(1,5)(1,6)2(2,1)(2,2)(2,3)(2,4)(2,5)(2,6)3(3,1)(3,2)(3,3)(3,4)(3,5)(3,6)4(4,1)(4,2)(4,3)(4,4)(4,5)(4,6)5(5,1)(5,2)(5,3)(5,4)(5,5)(5,6)6(6,1)(6,2)(6,3)(6,4)(6,5)(6,6)共有36个不同结果,它们等可能,其中甲乙抽到相同结果有(1,1),(2,2),(3,3),(4,4),(5,5),(6,6),共6个,因此甲、乙两位参赛同学抽到不同主题的结果有30个,概率305366P ==.故选:A10.已知函数()sin()f x x ωϕ=+在区间π2π,63⎛⎫⎪⎝⎭单调递增,直线π6x =和2π3x =为函数()y f x =的图像的两条相邻对称轴,则5π12f ⎛⎫-= ⎪⎝⎭()A. B.12-C.12D.2【答案】D【解析】【分析】根据题意分别求出其周期,再根据其最小值求出初相,代入5π12x =-即可得到答案.【详解】因为()sin()f x x ωϕ=+在区间π2π,63⎛⎫⎪⎝⎭单调递增,所以2πππ2362T =-=,且0ω>,则πT =,2π2w T ==,当π6x =时,()f x 取得最小值,则ππ22π62k ϕ⋅+=-,Z k ∈,则5π2π6k ϕ=-,Z k ∈,不妨取0k =,则()5πsin 26f x x ⎛⎫=- ⎪⎝⎭,则5π5π3sin 1232f ⎛⎫⎛⎫-=-= ⎪ ⎪⎝⎭⎝⎭,故选:D.11.已知实数,x y 满足224240x y x y +---=,则x y -的最大值是()A.12+B.4C.1+D.7【答案】C 【解析】【分析】法一:令x y k -=,利用判别式法即可;法二:通过整理得()()22219x y -+-=,利用三角换元法即可,法三:整理出圆的方程,设x y k -=,利用圆心到直线的距离小于等于半径即可.【详解】法一:令x y k -=,则x k y =+,代入原式化简得()22226440y k y k k +-+--=,因为存在实数y ,则0∆≥,即()()222642440k k k --⨯--≥,化简得22170k k --≤,解得11k -≤≤+故x y -的最大值是1+,法二:224240x y x y +---=,整理得()()22219x y -+-=,令3cos 2x θ=+,3sin 1y θ=+,其中[]0,2πθ∈,则π3cos 3sin 114x y θθθ⎛⎫-=-+=++ ⎪⎝⎭,[]0,2θπ∈ ,所以ππ9π,444θ⎡⎤+∈⎢⎥⎣⎦,则π2π4θ+=,即74πθ=时,x y -取得最大值1,法三:由224240x y x y +---=可得22(2)(1)9x y -+-=,设x y k -=,则圆心到直线x y k -=的距离3d =≤,解得11k -≤≤+故选:C.12.设A ,B 为双曲线2219y x -=上两点,下列四个点中,可为线段AB 中点的是()A.()1,1B.()1,2- C.()1,3 D.()1,4--【答案】D 【解析】【分析】根据点差法分析可得9AB k k ⋅=,对于A 、B 、D :通过联立方程判断交点个数,逐项分析判断;对于C :结合双曲线的渐近线分析判断.【详解】设()()1122,,,A x y B x y ,则AB 的中点1212,22x x y y M ++⎛⎫⎪⎝⎭,可得1212121212122,2ABy y y y y y k k x x x x x x +-+===+-+,因为,A B 在双曲线上,则221122221919y x y x ⎧-=⎪⎪⎨⎪-=⎪⎩,两式相减得()2222121209y y x x ---=,所以221222129AB y y k k x x -⋅==-.对于选项A :可得1,9AB k k ==,则:98AB y x =-,联立方程229819y x y x =-⎧⎪⎨-=⎪⎩,消去y 得272272730x x -⨯+=,此时()2272472732880∆=-⨯-⨯⨯=-<,所以直线AB 与双曲线没有交点,故A 错误;对于选项B :可得92,2AB k k =-=-,则95:22AB y x =--,联立方程22952219y x y x ⎧=--⎪⎪⎨⎪-=⎪⎩,消去y 得245245610x x +⨯+=,此时()224544561445160∆=⨯-⨯⨯=-⨯⨯<,所以直线AB 与双曲线没有交点,故B 错误;对于选项C :可得3,3AB k k ==,则:3AB y x=由双曲线方程可得1,3a b ==,则:3AB y x =为双曲线的渐近线,所以直线AB 与双曲线没有交点,故C 错误;对于选项D :94,4AB k k ==,则97:44AB y x =-,联立方程22974419y x y x ⎧=-⎪⎪⎨⎪-=⎪⎩,消去y 得2631261930x x +-=,此时21264631930∆=+⨯⨯>,故直线AB 与双曲线有交两个交点,故D 正确;故选:D.二、填空题13.已知点(A 在抛物线C :22y px =上,则A 到C 的准线的距离为______.【答案】94【解析】【分析】由题意首先求得抛物线的标准方程,然后由抛物线方程可得抛物线的准线方程为54x =-,最后利用点的坐标和准线方程计算点A 到C 的准线的距离即可.【详解】由题意可得:221p =⨯,则25p =,抛物线的方程为25y x =,准线方程为54x =-,点A 到C 的准线的距离为59144⎛⎫--= ⎪⎝⎭.故答案为:94.14.若π10,,tan 22⎛⎫∈= ⎪⎝⎭θθ,则sin cos θθ-=________.【答案】55-【解析】【分析】根据同角三角关系求sin θ,进而可得结果.【详解】因为π0,2θ⎛⎫∈ ⎪⎝⎭,则sin 0,cos 0θθ>>,又因为sin 1tan cos 2θθθ==,则cos 2sin θθ=,且22222cos sin 4sin sin 5sin 1+=+==θθθθθ,解得5sin 5θ=或5sin 5θ=-(舍去),所以sin cos sin 2sin sin 5-=-=-=-θθθθθ.故答案为:5-.15.若x ,y 满足约束条件312937x y x y x y -≤-⎧⎪+≤⎨⎪+≥⎩,则2z x y =-的最大值为______.【答案】8【解析】【分析】作出可行域,转化为截距最值讨论即可.【详解】作出可行域如下图所示:2z x y =-,移项得2y x z =-,联立有3129x y x y -=-⎧⎨+=⎩,解得52x y =⎧⎨=⎩,设()5,2A ,显然平移直线2y x =使其经过点A ,此时截距z -最小,则z 最大,代入得8z =,故答案为:8.16.已知点,,,S A B C 均在半径为2的球面上,ABC 是边长为3的等边三角形,SA ⊥平面ABC ,则SA =________.【答案】2【解析】【分析】先用正弦定理求底面外接圆半径,再结合直棱柱的外接球以及求的性质运算求解.【详解】如图,将三棱锥S ABC -转化为直三棱柱SMN ABC -,设ABC 的外接圆圆心为1O ,半径为r ,则2sin 32AB r ACB ==∠,可得r =,设三棱锥S ABC -的外接球球心为O ,连接1,OA OO ,则112,2OA OO SA ==,因为22211OA OO O A =+,即21434SA =+,解得2SA =.故答案为:2.【点睛】方法点睛:多面体与球切、接问题的求解方法(1)涉及球与棱柱、棱锥的切、接问题时,一般过球心及多面体的特殊点(一般为接、切点)或线作截面,把空间问题转化为平面问题求解;(2)若球面上四点P 、A 、B 、C 构成的三条线段PA 、PB 、PC 两两垂直,且PA =a ,PB =b ,PC =c ,一般把有关元素“补形”成为一个球内接长方体,根据4R 2=a 2+b 2+c 2求解;(3)正方体的内切球的直径为正方体的棱长;(4)球和正方体的棱相切时,球的直径为正方体的面对角线长;(5)利用平面几何知识寻找几何体中元素间的关系,或只画内切、外接的几何体的直观图,确定球心的位置,弄清球的半径(直径)与该几何体已知量的关系,列方程(组)求解.三、解答题17.某厂为比较甲乙两种工艺对橡胶产品伸缩率的处理效应,进行10次配对试验,每次配对试验选用材质相同的两个橡胶产品,随机地选其中一个用甲工艺处理,另一个用乙工艺处理,测量处理后的橡胶产品的伸缩率.甲、乙两种工艺处理后的橡胶产品的伸缩率分别记为i x ,()1,2,,10i y i =⋅⋅⋅.试验结果如下:试验序号i 12345678910伸缩率i x 545533551522575544541568596548伸缩率iy 536527543530560533522550576536记()1,2,,10i i i z x y i =-=⋅⋅⋅,记1210,,,z z z ⋅⋅⋅的样本平均数为z ,样本方差为2s .(1)求z ,2s ;(2)判断甲工艺处理后的橡胶产品的伸缩率较乙工艺处理后的橡胶产品的伸缩率是否有显著提高(如果z ≥,则认为甲工艺处理后的橡胶产品的伸缩率较乙工艺处理后的橡胶产品的伸缩率有显著提高,否则不认为有显著提高)【答案】(1)11z =,261s =;(2)认为甲工艺处理后的橡胶产品的伸缩率较乙工艺处理后的橡胶产品的伸缩率有显著提高.【解析】【分析】(1)直接利用平均数公式即可计算出,x y ,再得到所有的i z 值,最后计算出方差即可;(2)根据公式计算出的值,和z 比较大小即可.【小问1详解】545533551522575544541568596548552.310x +++++++++==,536527543530560533522550576536541.310y +++++++++==,552.3541.311z x y =-=-=,i i i z x y =-的值分别为:9,6,8,8,15,11,19,18,20,12-,故2222222222(911)(611)(811)(811)(1511)0(1911)(1811)(2011)(1211)6110s -+-+-+--+-++-+-+-+-==【小问2详解】由(1)知:11z =,==,故有z ≥所以认为甲工艺处理后的橡胶产品的伸缩率较乙工艺处理后的橡胶产品的伸缩率有显著提高.18.记n S 为等差数列{}n a 的前n 项和,已知21011,40a S ==.(1)求{}n a 的通项公式;(2)求数列{}n a 的前n 项和n T .【答案】(1)152n a n=-(2)2214,71498,8n n n n T n n n ⎧-≤=⎨-+≥⎩【解析】【分析】(1)根据题意列式求解1,a d ,进而可得结果;(2)先求n S ,讨论n a 的符号去绝对值,结合n S 运算求解.【小问1详解】设等差数列的公差为d ,由题意可得211011110910402a a d S a d =+=⎧⎪⎨⨯=+=⎪⎩,即1111298a d a d +=⎧⎨+=⎩,解得1132a d =⎧⎨=-⎩,所以()1321152n a n n =--=-,【小问2详解】因为()213152142n n n S n n +-==-,令1520n a n =->,解得152n <,且*n ∈N ,当7n ≤时,则0n a >,可得2121214n n n n T a a a a a a S n n =++⋅⋅⋅+=++⋅⋅⋅+==-;当8n ≥时,则0n a <,可得()()121278n n n T a a a a a a a a =++⋅⋅⋅+=++⋅⋅⋅+-+⋅⋅⋅+()()()222777221477141498n n S S S S S n n n n =--=-=⨯---=-+;综上所述:2214,71498,8n n n n T n n n ⎧-≤=⎨-+≥⎩.19.如图,在三棱锥-P ABC 中,AB BC ⊥,2AB =,BC =PB PC ==,,BP AP BC 的中点分别为,,D E O ,点F 在AC 上,BF AO ⊥.(1)求证:EF //平面ADO ;(2)若120POF ∠=︒,求三棱锥-P ABC 的体积.【答案】(1)证明见解析(2)263【解析】【分析】(1)根据给定条件,证明四边形ODEF 为平行四边形,再利用线面平行的判定推理作答.(2)作出并证明PM 为棱锥的高,利用三棱锥的体积公式直接可求体积.【小问1详解】连接,DE OF ,设AF tAC =,则(1)BF BA AF t BA tBC =+=-+ ,12AO BA BC =-+,BF AO ⊥,则2211[(1)]()(1)4(1)4022BF AO t BA tBC BA BC t BA tBC t t ⋅=-+⋅-+=-+=-+= ,解得12t =,则F 为AC 的中点,由,,,D E O F 分别为,,,PB PA BC AC 的中点,于是11//,,//,22DE AB DE AB OF AB OF AB ==,即,//DE OF DE OF =,则四边形ODEF 为平行四边形,//,EF DO EF DO =,又EF ⊄平面,ADO DO ⊂平面ADO ,所以//EF 平面ADO .【小问2详解】过P 作PM 垂直FO 的延长线交于点M ,因为,PB PC O =是BC 中点,所以PO BC ⊥,在Rt PBO △中,12PB BO BC ===,所以2PO ===,因为,//AB BC OF AB ⊥,所以OF BC ⊥,又PO OF O ⋂=,,PO OF ⊂平面POF ,所以BC⊥平面POF ,又PM ⊂平面POF ,所以BC PM ⊥,又BC FM O = ,,BC FM ⊂平面ABC ,所以PM ⊥平面ABC ,即三棱锥-P ABC 的高为PM ,因为120POF ∠=︒,所以60POM ∠=︒,所以3sin 6022PM PO =︒=⨯=,又11222ABC S AB BC =⋅=⨯⨯=△所以11333P ABC ABC V S PM -=⋅=⨯=△.20.已知函数()()1ln 1f x a x x ⎛⎫=++⎪⎝⎭.(1)当1a =-时,求曲线()y f x =在点()()1,f x 处的切线方程.(2)若函数()f x 在()0,∞+单调递增,求a 的取值范围.【答案】(1)()ln 2ln 20x y +-=;(2)1|2a a ⎧⎫≥⎨⎬⎩⎭.【解析】【分析】(1)由题意首先求得导函数的解析式,然后由导数的几何意义确定切线的斜率和切点坐标,最后求解切线方程即可;(2)原问题即()0f x '≥在区间()0,∞+上恒成立,整理变形可得()()()21ln 10g x ax x x x =+-++≥在区间()0,∞+上恒成立,然后分类讨论110,,022a a a ≤≥<<三种情况即可求得实数a 的取值范围.【小问1详解】当1a =-时,()()()11ln 11f x x x x ⎛⎫=-+>-⎪⎝⎭,则()()2111ln 111x f x x x x ⎛⎫'=-⨯++-⨯ ⎪+⎝⎭,据此可得()()10,1ln 2f f '==-,所以函数在()()1,1f 处的切线方程为()0ln 21y x -=--,即()ln 2ln 20x y +-=.【小问2详解】由函数的解析式可得()()()2111=ln 111f x x a x x x x ⎛⎫⎛⎫'-+++⨯>- ⎪ ⎪+⎝⎭⎝⎭,满足题意时()0f x '≥在区间()0,∞+上恒成立.令()2111ln 101x a x x x ⎛⎫⎛⎫-+++≥ ⎪ ⎪+⎝⎭⎝⎭,则()()()21ln 10x x x ax -++++≥,令()()()2=1ln 1g x ax x x x +-++,原问题等价于()0g x ≥在区间()0,∞+上恒成立,则()()2ln 1g x ax x '=-+,当0a ≤时,由于()20,ln 10ax x ≤+>,故()0g x '<,()g x 在区间()0,∞+上单调递减,此时()()00g x g <=,不合题意;令()()()2ln 1h x g x ax x '==-+,则()121h x a x -'=+,当12a ≥,21a ≥时,由于111x <+,所以()()0,h x h x '>在区间()0,∞+上单调递增,即()g x '在区间()0,∞+上单调递增,所以()()>00g x g ''=,()g x 在区间()0,∞+上单调递增,()()00g x g >=,满足题意.当102a <<时,由()1201h x a x =-=+'可得1=12x a-,当10,12x a ⎛⎫∈- ⎪⎝⎭时,()()0,h x h x '<在区间10,12a ⎛⎫- ⎪⎝⎭上单调递减,即()g x '单调递减,注意到()00g '=,故当10,12x a ⎛⎫∈- ⎪⎝⎭时,()()00g x g ''<=,()g x 单调递减,由于()00g =,故当10,12x a ⎛⎫∈- ⎪⎝⎭时,()()00g x g <=,不合题意.综上可知:实数a 得取值范围是1|2a a ⎧⎫≥⎨⎬⎩⎭.【点睛】方法点睛:(1)求切线方程的核心是利用导函数求切线的斜率,求函数的导数要准确地把函数拆分成基本初等函数的和、差、积、商,再利用运算法则求导,合函数求导,应由外到内逐层求导,必要时要进行换元.(2)由函数的单调性求参数的取值范围的方法①函数在区间(),a b 上单调,实际上就是在该区间上()0f x '≥(或()0f x '≤)恒成立.②函数在区间(),a b 上存在单调区间,实际上就是()0f x '≥(或()0f x '≤)在该区间上存在解集.21.已知椭圆2222:1(0)C b b x a a y +>>=的离心率是53,点()2,0A -在C 上.(1)求C 的方程;(2)过点()2,3-的直线交C 于,P Q 两点,直线,AP AQ 与y 轴的交点分别为,M N ,证明:线段MN 的中点为定点.【答案】(1)22194y x +=(2)证明见详解【解析】【分析】(1)根据题意列式求解,,a b c ,进而可得结果;(2)设直线PQ 的方程,进而可求点,M N 的坐标,结合韦达定理验证2M Ny y +为定值即可.【小问1详解】由题意可得222253b a b c c e a ⎧⎪=⎪⎪=+⎨⎪⎪==⎪⎩,解得32a b c ⎧=⎪=⎨⎪=⎩,所以椭圆方程为22194y x +=.【小问2详解】由题意可知:直线PQ 的斜率存在,设()()()1122:23,,,,PQ y k x P x y Q x y =++,联立方程()2223194y k x y x ⎧=++⎪⎨+=⎪⎩,消去y 得:()()()222498231630k x k k x k k +++++=,则()()()2222Δ64236449317280kk k k k k =+-++=->,解得0k <,可得()()2121222163823,4949k k k k x x x x k k +++=-=++,因为()2,0A -,则直线()11:22y AP y x x =++,令0x =,解得1122y y x =+,即1120,2y M x ⎛⎫⎪+⎝⎭,同理可得2220,2y N x ⎛⎫⎪+⎝⎭,则()()1212121222232322222y y k x k x x x x x +++++⎡⎤⎡⎤++⎣⎦⎣⎦=+++()()()()()()12211223223222kx k x kx k x x x +++++++⎡⎤⎡⎤⎣⎦⎣⎦=++()()()()1212121224342324kx x k x x k x x x x +++++=+++()()()()()()222222323843234231084949336163162344949k k k k k k k k k k k k k k k +++-++++===++-+++,所以线段MN 的中点是定点()0,3.【点睛】方法点睛:求解定值问题的三个步骤(1)由特例得出一个值,此值一般就是定值;(2)证明定值,有时可直接证明定值,有时将问题转化为代数式,可证明该代数式与参数(某些变量)无关;也可令系数等于零,得出定值;(3)得出结论.【选修4-4】(10分)22.在直角坐标系xOy 中,以坐标原点O 为极点,x 轴正半轴为极轴建立极坐标系,曲线1C 的极坐标方程为ππ2sin 42⎛⎫=≤≤ ⎪⎝⎭ρθθ,曲线2C :2cos 2sin x y αα=⎧⎨=⎩(α为参数,2απ<<π).(1)写出1C 的直角坐标方程;(2)若直线y x m =+既与1C 没有公共点,也与2C 没有公共点,求m 的取值范围.【答案】(1)()[][]2211,0,1,1,2x y x y +-=∈∈(2)()(),0-∞+∞ 【解析】【分析】(1)根据极坐标与直角坐标之间的转化运算求解,注意,x y 的取值范围;(2)根据曲线12,C C 的方程,结合图形通过平移直线y x m =+分析相应的临界位置,结合点到直线的距离公式运算求解即可.【小问1详解】因为2sin ρθ=,即22sin ρρθ=,可得222x y y +=,整理得()2211x y +-=,表示以()0,1为圆心,半径为1的圆,又因为2cos 2sin cos sin 2,sin 2sin 1cos 2x y ======-ρθθθθρθθθ,且ππ42θ≤≤,则π2π2≤≤θ,则[][]sin 20,1,1cos 21,2x y =∈=-∈θθ,故()[][]221:11,0,1,1,2C x y x y +-=∈∈.【小问2详解】因为22cos :2sin x C y αα=⎧⎨=⎩(α为参数,ππ2α<<),整理得224x y +=,表示圆心为()0,0O ,半径为2,且位于第二象限的圆弧,如图所示,若直线y x m =+过()1,1,则11m =+,解得0m =;若直线y x m =+,即0x y m -+=与2C相切,则20m =>⎩,解得m =,若直线y x m =+与12,C C均没有公共点,则m >或0m <,即实数m 的取值范围()(),0-∞+∞ .【点睛】【选修4-5】(10分)23.已知()22f x x x =+-.(1)求不等式()6f x x ≤-的解集;(2)在直角坐标系xOy 中,求不等式组()60f x y x y ≤⎧⎨+-≤⎩所确定的平面区域的面积.【答案】(1)[2,2]-;(2)8.【解析】【分析】(1)分段去绝对值符号求解不等式作答.(2)作出不等式组表示的平面区域,再求出面积作答.【小问1详解】依题意,32,2()2,0232,0x x f x x x x x ->⎧⎪=+≤≤⎨⎪-+<⎩,不等式()6f x x ≤-化为:2326x x x >⎧⎨-≤-⎩或0226x x x ≤≤⎧⎨+≤-⎩或0326x x x <⎧⎨-+≤-⎩,解2326x x x >⎧⎨-≤-⎩,得无解;解0226x x x ≤≤⎧⎨+≤-⎩,得02x ≤≤,解0326x x x <⎧⎨-+≤-⎩,得20x -≤<,因此22x -≤≤,所以原不等式的解集为:[2,2]-【小问2详解】作出不等式组()60f x y x y ≤⎧⎨+-≤⎩表示的平面区域,如图中阴影ABC ,由326y x x y =-+⎧⎨+=⎩,解得(2,8)A -,由26y x x y =+⎧⎨+=⎩,解得(2,4)C ,又(0,2),(0,6)B D ,所以ABC 的面积11|||62||2(2)|822ABC C A S BD x x =⨯-=-⨯--= .。
2023年高考全国甲卷文科数学试题真题(含答案)一、选择题(每题5分,共40分)1. 若函数f(x) = x^3 - 3x + 1在区间(0,3)上有两个不同的零点,则实数a的取值范围是()A. a > 0B. a ≥ 3C. 0 < a < 3D. a ≤ 3【答案】C【】由题意知,f(x) = x^3 - 3x + 1在区间(0,3)上有两个不同的零点,即f(x)在(0,3)上单调性改变。
考虑f'(x) = 3x^2 - 3,令f'(x) = 0,得x = ±1。
f(0) = 1,f(3) = 27 - 9 + 1 = 19。
因为f(1) = -1,f(3) = 19,所以f(x)在(0,1)和(1,3)上单调性分别为递减和递增。
要使f(x)在(0,3)上有两个不同的零点,只需满足f(0) * f(3) < 0,即1 *19 < 0,显然不成立。
所以a的取值范围为0 < a < 3,选C。
2. 设a,b是方程x^2 - 2ax + b = 0的两个实数根,则a + b的最小值为()A. -1B. 0C. 1D. 2【答案】D【】由韦达定理,a + b = 2a。
因为a,b是实数根,所以判别式Δ = 4a^2 - 4b ≥ 0,即a^2 ≥ b。
又因为a + b = 2a,所以b = 2a - a = a。
将b = a代入a^2 ≥ b,得a^2 ≥ a。
当a ≥ 0时,显然成立;当a < 0时,不等式两边同时乘以-1,得a^2 ≤ -a。
所以a + b = 2a的最小值为2,选D。
3. 设函数g(x) = x^2 + 2x + 3在区间[1,4]上的最大值和最小值分别为M和m,则M + m = ()A. 12B. 15C. 18D. 20【答案】C【】g(x) = x^2 + 2x + 3的对称轴为x = -1。
在区间[1,4]上,g(x)单调递增。
2021年普通高等学校招生全国统一考试(全国乙卷) 数学(文)一、选择题1.已知全集{1,2,3,4,5}U =,集合{1,2}M =,{3,4}N =,则)(U C M N =( )A.{5}B.{1,2}C.{3,4}D.{1,2,3,4} 2.设43iz i =+,则z =( )A.34i --B.–34i +C.34i -D.34i +3.已知命题:,sin 1p x R x ∃∈<;命题||:,1x q x R e ∈∀≥,则下列命题中为真命题的是( ) A.p q ∧ B.p q ⌝∧ C.p q ∧⌝ D.()p q ⌝∨4.函数()sincos 33x xf x =+的最小正周期和最大值分别是( ) A.3πB.3π和2C.6πD.6π和25.若,x y 满足约束条件2,3,4,y x y x y ≤≤+≥⎧⎪-⎨⎪⎩则3z x y =+的最小值为( )A.18B.10C.6D.46.225coscos 1212ππ-=( ) A.12B.3C.2D.27.在区间1(0,)2随机取1个数,则取到的数小于13的概率为( ) A.34 B.23 C.13 D.168.下列函数中最小值为4的是( )A.224y x x =++ B.4|sin ||sin |y x x =+C.222x xy -=+ D.4n ln l y x x=+9.设函数1(1)xf x x-=+,则下列函数中为奇函数的是( ) A.1()1f x -- B.1()1f x -+ C.1()1f x +- D.1()1f x ++10.在正方体1111ABCD A B C D -中,P 为11B D 的中点,则直线PB 与1AD 所成的角为A.2π B.3π C.4π D.6π 11.设B 是椭圆C :2215x y +=的上顶点,点P 在C 上,则PB 的最大值为A.52212.设0a ≠,若x a =为函数2()()()f x a x a x b =--的极大值点,则A.a b <B.a b >C.2ab a <D.2ab a > 二、填空题13.已知向量(2,5)a =,(,4)b λ=,若//a b ,则λ= .14.双曲线22145x y -=的右焦点到直线280x y +-=的距离为 .15.记ABC ∆的内角A ,B ,C 的对边分别为a ,b ,c ,面积为,60B =︒,223a c ac +=,则b = .16.以图①为正视图,在图②③④⑤中选两个分别作为侧视图和俯视图,组成某个三棱锥的三视图,则所选侧视图和俯视图的编号依次为 (写出符合要求的一组答案即可).17.某厂研制了一种生产高精产品的设备,为检验新设备生产产品的某项指标有无提高,用一台旧设备和一台新设备各生产了10件产品,得到各件产品该项指标数据如下: 旧设备 9.810.310.0 10.2 9.9 9.8 10.0 10.1 10.2 9.7 新设备 10.1 10.410.110.010.110.310.610.510.410.5旧设备和新设备生产产品的该项指标的样本平均数分别记为x 和y ,样本方差分别记为21s 和22s .(1)求x ,y ,21s ,22s ;(2)判断新设备生产产品的该项指标的均值较旧设备是否有显著提高(如果2212210s s y x +-≥不认为有显著提高).18.如图,四棱锥P ABCD -的底面是矩形,PD ⊥底面ABCD ,M 为BC 的中点,且PB AM ⊥.(1)证明:平面PAM ⊥平面PBD ﹔(2)若1PD DC ==,求四棱锥P ABCD -的体积.19.设{}n a 是首项为1的等比数列,数列{}n b 满足3nn na b =.已知1a ,23a ,39a ,成等差数列.(1)求{}n a 和{}n b 的通项公式;(2)记n S ,和n T 分别为{}n a 和{}n b 的前n 项和.证明:2nn S T <. 20.已知抛物线C :22(0)y px p =>的焦点F 到准线的距离为2. (1)求C 的方程,(2)已知O 为坐标原点,点P 在C 上,点Q 满足9PQ QF =,求直线OQ 斜率的最大值. 21.已知函数32()1f x x x ax =-++. (1)讨论()f x 的单调性;(2)求曲线()y f x =过坐标原点的切线与曲线()y f x =的公共点的坐标. 22.在直角坐标系xOy 中,C 的圆心为)(2,1C ,半径为1.(1)写出C 的一个参数方程;(2)过点)(4,1F 作C 的两条切线.以坐标原点为极点,x 轴正半轴为极轴建立坐标系,求这两条切线的极坐标方程. 23.已知函数()|||3|f x x a x =-++. (1)当1a =时,求不等式()6f x ≥的解集; (2)若()f x a >-,求a 的取值范围.答案及解析一、选择题1.已知全集{1,2,3,4,5}U =,集合{1,2}M =,{3,4}N =,则)(U C M N =( )A.{5}B.{1,2}C.{3,4}D.{1,2,3,4}2.设43iz i =+,则z =( ) A.34i -- B.–34i + C.34i - D.34i +3.已知命题:,sin 1p x R x ∃∈<;命题||:,1x q x R e ∈∀≥,则下列命题中为真命题的是( ) A.p q ∧B.p q ⌝∧C.p q ∧⌝D.()p q ⌝∨答案: A 解析:根据正弦函数的值域sin [1,1]x ∈-,sin 1x <,故x R ∃∈,p 为真命题,而函数||x y e =为偶函数,且0x ≥时,1x y e =≥,故x R ∀∈,||1x y e =≥恒成立.则q 也为真命题,所以p q∧为真,选A. 4.函数()sin cos 33x xf x =+的最小正周期和最大值分别是( )A.3πB.3π和2C.6πD.6π和2 答案: C 解析:()sin()34x f x π=+max ()f x =,2613T ππ==. 故选C.5.若,x y 满足约束条件2,3,4,y x y x y ≤≤+≥⎧⎪-⎨⎪⎩则3z x y =+的最小值为( )A.18B.10C.6D.4答案: C 解析:根据约束条件可得图像如下,3z x y =+的最小值,即3y x z =-+,y 轴截距最小值.根据图像可知3y x z =-+过点(1,3)B 时满足题意,即min 336z =+=.6.225cos cos 1212ππ-=( ) A.12B.33 C.22 3 答案: D 解析:2222223()sin cos 25cos cos cos cos cos 12121212121262ππππππππ-=-=--==∴选D. 7.在区间1(0,)2随机取1个数,则取到的数小于13的概率为( ) A.34 B.23 C.13 D.16答案: B解析:在区间1(0,)2随机取1个数,可知总长度12d =,取到的数小于13,可知取到的长度范围13d '=,根据几何概型公式123132d p d '===,∴选B.8.下列函数中最小值为4的是( ) A.224y x x =++ B.4|sin ||sin |y x x =+C.222x xy -=+D.4n ln l y x x=+答案: C 解析:对于A ,22224213(1)33y x x x x x =++=+++=++≥.不符合, 对于B ,4|sin ||sin |y x x =+,令|sin |[0,1]t x =∈,∴4y t t=+,根据对勾函数min 145y =+=不符合, 对于C ,242222x x x xy -==++,令20xt =>,∴4224y t t =+≥=⨯=, 当且仅当2t =时取等,符合,对于D ,4n ln l y x x =+,令ln t x R =∈,4y t t=+. 根据对勾函数(,4][4,)y ∈-∞-+∞,不符合.9.设函数1(1)xf x x-=+,则下列函数中为奇函数的是( ) A.1()1f x --B.1()1f x -+C.1()1f x +-D.1()1f x ++答案: B 解析:12()111x f x x x-==-+++, ()f x 向右平移一个单位,向上平移一个单位得到2()g x x=为奇函数. 所以选B.10.在正方体1111ABCD A B C D -中,P 为11B D 的中点,则直线PB 与1AD 所成的角为A.2πB.3πC.4πD.6π 答案: D 解析:做出图形,11//AD BC ,所以1PBC ∠为异面直线所成角,设棱长为1.1BC,12B P =,12PC =,BP =. 2221111312cos 22BC BP C P PBC BP BC +-+-∠===⋅,即16PBC π∠=,故选D.11.设B 是椭圆C :2215x y +=的上顶点,点P 在C 上,则PB 的最大值为 A.526 5D.2 答案: A 解析:方法一:由22:15x C y +=,(0,1)B 则C 的参数方程:5sin x y θθ⎧=⎪⎨=⎪⎩.22||(sin 1)(5cos )PB θθ=-+24sin 2sin 6θθ=--+212554(sin )442θ=-++≥.∴max 5||2PB =,故选A. 方法二:设00(,)P x y ,则220001([1,1])5x y y +=∈-①,(0,1)B . 因此22200||(1)PB x y =+-②将①式代入②式化简得:22012525||4()444PB y =-++≥,当且仅当014y =-时||PB 的最大值为52,故选A.12.设0a ≠,若x a =为函数2()()()f x a x a x b =--的极大值点,则A.a b <B.a b >C.2ab a <D.2ab a > 答案: D 解析:2()2()()()()(32)f x a x a x b a x a a x a x b a '=--+-=---当0a >时,原函数先增再减后增.原函数在()0f x '=的较小零点时取得极大值. 即23a b a +<,即a b <,∴2a ab <. 当0a <时,原函数先减再增后减.原函数在()0f x '=的较大零点时取得极大值. 即23a b a +>,a b >,2a ab <,故选D. 二、填空题13.已知向量(2,5)a =,(,4)b λ=,若//a b ,则λ= . 答案:85解析:由已知//a b 可得82455λλ⨯=⇒=. 14.双曲线22145x y -=的右焦点到直线280x y +-=的距离为 . 答案:5解析:22145x y -=的右焦点为(3,0),到直线280x y +-=的距离22|38|512d -==+. 15.记ABC ∆的内角A ,B ,C 的对边分别为a ,b ,c ,面积为3,60B =︒,223a c ac +=,则b = .答案:22解析: 由面积公式1sin 32S ac B ==,且60B =︒,解得4ac =, 又由余弦定理2222cos b a c ac B =+-,223a c ac +=,且0b > 解得22b =.16.以图①为正视图,在图②③④⑤中选两个分别作为侧视图和俯视图,组成某个三棱锥的三视图,则所选侧视图和俯视图的编号依次为 (写出符合要求的一组答案即可).答案: ②⑤或③④ 解析:由高度可知,侧视图只能为②或③.侧视图为②,如图(1),平面PAC ⊥平面ABC ,2PA PC ==5BA BC ==2AC =,俯视图为⑤.俯视图为③,如图(2),PA ⊥平面ABC ,1PA =,5AC AB ==,2BC =,俯视图为④.17.某厂研制了一种生产高精产品的设备,为检验新设备生产产品的某项指标有无提高,用一台旧设备和一台新设备各生产了10件产品,得到各件产品该项指标数据如下: 旧设备 9.810.310.0 10.2 9.9 9.8 10.0 10.1 10.2 9.7 新设备 10.1 10.4 10.110.010.110.310.610.510.410.5旧设备和新设备生产产品的该项指标的样本平均数分别记为x 和y ,样本方差分别记为21s 和22s .(1)求x ,y ,21s ,22s ;(2)判断新设备生产产品的该项指标的均值较旧设备是否有显著提高(如果2212210s s y x +-≥不认为有显著提高). 答案:见解析 解析:9.810.31010.29.99.81010.110.29.71010x ++++++++==+;10.110.410.11010.110.310.610.510.410.510.310y ++++++++==+.211(0.040.090.040.010.040.010.040.09)10s =+++++++10.360.03610=⨯= 221(0.040.010.040.090.040.090.040.010.04)10s =++++++++10.40.0410=⨯=. (2)10.3100.3y x -=-=22120.0360.04221010s s ++=20.0076=. ∵则0.30.0920.0760.0304=>=,所以可判断新设备生产产品的该项指标的均值较旧设备有显著提高; 没有显著提高.18.如图,四棱锥P ABCD -的底面是矩形,PD ⊥底面ABCD ,M 为BC 的中点,且PB AM ⊥.(1)证明:平面PAM ⊥平面PBD ﹔(2)若1PD DC ==,求四棱锥P ABCD -的体积.答案: 见解析 解析:19.设{}n a 是首项为1的等比数列,数列{}n b 满足3nn na b =.已知1a ,23a ,39a ,成等差数列.(1)求{}n a 和{}n b 的通项公式;(2)记n S ,和n T 分别为{}n a 和{}n b 的前n 项和.证明:2nn S T <. 答案: 见解析 解析:设{}n a 的公比为q ,则1n n a q -=,因为1a ,23a ,39a 成等差数列,所以21923q q +=⨯,解得13q =, 故11()3n n a -=,11313(1)12313n n n S -==--. 又3n n n b =,则1231123133333n n n n nT --=+++++,两边同乘13,则234111231333333n n n n nT +-=+++++,两式相减,得23412111113333333n n n nT +=+++++-,即1111(1)1133(1)332333121n n n n n n n T ++-=-=---, 整理得31323(1)4323423n n n nn n T +=--=-⨯⨯, 323314322()(1)04232323n n n n nn n T S ++-=---=-<⨯⨯,故2n n S T <.20.已知抛物线C :22(0)y px p =>的焦点F 到准线的距离为2. (1)求C 的方程,(2)已知O 为坐标原点,点P 在C 上,点Q 满足9PQ QF =,求直线OQ 斜率的最大值. 答案:见解析 解析:(1)由焦点到准线的距离为p ,则2p =. 抛物线c 的方程:24y x =.(2)设点200(,)4y P y ,(,)Q Q Q x y ,(1,0)F .∵9PQ QF =.∴222000009499(,)9(1,)4104910Q Q Q Q Q Q Q Q Q Q y y x x x y x y y x y y y x y y ⎧+⎪⎧-=-=⎪⎪--=--⇒⇒⎨⎨⎪⎪-=-⎩=⎪⎩则020001193944Q OQ Qy y k y y x y ===≤=++. ∴直线OQ 斜率的最大值为13. 21.已知函数32()1f x x x ax =-++. (1)讨论()f x 的单调性;(2)求曲线()y f x =过坐标原点的切线与曲线()y f x =的公共点的坐标. 答案: 见解析 解析:(1)2()32f x x x a '=-+(i )当4120a ∆=-≤,即13a ≥时,()0f x '≥恒成立,即()f x 在()f x 在x ∈R 上单调递增.(ii )当4120∆=->,即13a <时,()0f x '=解得,113x =,213x +=.∴()f x 在113(,)3a --∞,113()3a -+∞单调递增,在113113(33a a-+单调递减,综上所述:当13a ≥时,()f x 在R 上单调递增;当13a <时,()f x 在113113(,33a a-++单调递减.(2)设可原点切线的切点为32(,1)t t t at -++,切线斜率2()32k f t t t a '==-+.又321t t at k t -++=,可得322132t t at t t a t-++=-+.化简得2(1)(21)0t t t -++=,即1t =.∴切点为(1,1)a +,斜率1k a =+,切线方程为(1)y a x =+,将(1)y a x =+,321y x x ax =-++联立可得321(1)x x ax a x -++=+,化简得2(1)(1)0x x -+=,解得11x =,21x =-.∴过原点的切线与()y f x =公共点坐标为(1,1)a +,(1,1)a ---.22.在直角坐标系xOy 中,C 的圆心为)(2,1C ,半径为1.(1)写出C 的一个参数方程;(2)过点)(4,1F 作C 的两条切线.以坐标原点为极点,x 轴正半轴为极轴建立坐标系,求这两条切线的极坐标方程. 答案: 见解析 解析: (1)C 的参数方程为2cos 1sin x y θθ=+⎧⎨=+⎩(θ为参数)(2)C 的方程为22(2)(1)1x y -+-=①当直线斜率不存在时,直线方程为4x =,此时圆心到直线距离为2r >,舍去;②当直线斜率存在时,设直线方程为1(4)y k x -=-,化简为410kx y k --+=, 此时圆心(2,1)C 到直线的距离为1d r ===,化简得2||k =,两边平方有2241k k =+,所以k =代入直线方程并化简得40x -+=或40x +-=化为极坐标方程为5cos sin 4sin()46πρθθρθ=⇔+=或cos sin 4sin()46πρθθρθ+=⇔+=+23.已知函数()|||3|f x x a x =-++.(1)当1a =时,求不等式()6f x ≥的解集; (2)若()f x a >-,求a 的取值范围. 答案: 见解析 解析:当1a =时,()6|1||3|6f x x x ≥⇔-++≥,当3x ≤-时,不等式136x x ⇔---≥,解得4x ≤-; 当31x -<<时,不等式136x x ⇔-++≥,解得x ∈∅; 当1x ≥时,不等式136x x ⇔-++≥,解得2x ≥. 综上,原不等式的解集为(,4][2,)-∞-+∞. (2)若()f x a >-,即min ()f x a >-,因为()|||3||()(3)||3|f x x a x x a x a =-++≥--+=+(当且仅当()(3)0x a x -+≤时,等号成立),所以min ()|3|f x a =+,所以|3|a a +>-,即3a a +<或3a a +>-,解得3(,)2a ∈-+∞.。
c 保密★启用前2020年全国统一高考数学试卷(文科)(全国卷一)您题号—总分得分注意事项:1.答题前垃写好自己的姓名、班级、考号等信息2.请将答案正确填写在答超卡上o:n o评卷人得分1.己知集合/!={x\xA.{—4,1}一、单选题3—4<0},8={-4,1,3,5},则』口=()B.(1,5}C.{3,5}D.{1,3}2.若z= l+2i+i3,则回=()A.0B.1C.41D.23.埃及胡夫金字塔是古代世界建筑志迹之一,它的形状可视为-个正四棱锥,以该四校锥的高为边长的正方形面积等于该四梭推一个侧面三角形的面积,鲫其侧面三角形底边上的高与底面正方形的边长的比值为()oO A旦R岂 C.旦 D.旦4242的概率为()5.某校一个课外学习小组为研充某作物种了•的发芽率.p 和温度工(单位:°C )的关系. 在20个不同的温度条件下进行种子发芽实验,由实验数据(.t r.Z )(/ = 1.2.-.2O )得到下 面的散点图;由此散点图•在10。
至40也之间・卜.面四个回归方程类型中最适宜作为发芽率*和温度X 的问归方程类型的是()A. ,= 〃 +版B. y = a + hx 2C. y-a + be l D・ y = a + b\nx6.已知圆xf 尸-6“0,过点(1, 2)的直线被该圆所截得的弦的忙度的最小值为A. 1C. 3B. 2D. 47 .设函数f (x ) = COS (5 +兰)在[-兀,71]的图像大致如卜图,则用)的最小止周期为()610n A. B.Inc. 8. A. 9.4丸设g4=2,则4"= <)1 B.1. 169执行下面的程序框图,则输出的〃=()D.C.A.3兀D.417 B.19 C.21 D.2310.设{虬}是等比数列,旦0+七+%=】•%+江/久=2.则%+"%=(A.12B.24C.30D.32y11.设%足是双仙线C:x2-^-=l的两个焦点.。
2022年全国统一高考数学试卷和答案(文科)(乙卷)一、选择题:本题共12小题,每小题5分,共60分。
在每小题给出的四个选项中,只有一项是符合题目要求的。
1.(5分)集合M={2,4,6,8,10},N={x|﹣1<x<6},则M∩N=()A.{2,4}B.{2,4,6}C.{2,4,6,8}D.{2,4,6,8,10}2.(5分)设(1+2i)a+b=2i,其中a,b为实数,则()A.a=1,b=﹣1B.a=1,b=1C.a=﹣1,b =1D.a=﹣1,b=﹣13.(5分)已知向量=(2,1),=(﹣2,4),则|﹣|=()A.2B.3C.4D.54.(5分)分别统计了甲、乙两位同学16周的各周课外体育运动时长(单位:h),得如图茎叶图:则下列结论中错误的是()A.甲同学周课外体育运动时长的样本中位数为7.4B.乙同学周课外体育运动时长的样本平均数大于8C.甲同学周课外体育运动时长大于8的概率的估计值大于0.4D.乙同学周课外体育运动时长大于8的概率的估计值大于0.6 5.(5分)若x,y满足约束条件则z=2x﹣y的最大值是()A.﹣2B.4C.8D.126.(5分)设F为抛物线C:y2=4x的焦点,点A在C上,点B(3,0),若|AF|=|BF|,则|AB|=()A.2B.2C.3D.37.(5分)执行如图的程序框图,输出的n=()A.3B.4C.5D.68.(5分)如图是下列四个函数中的某个函数在区间[﹣3,3]的大致图像,则该函数是()A.y=B.y=C.y=D.y=9.(5分)在正方体ABCD﹣A1B1C1D1中,E,F分别为AB,BC的中点,则()A.平面B1EF⊥平面BDD1B.平面B1EF⊥平面A1BDC.平面B1EF∥平面A1AC D.平面B1EF∥平面A1C1D 10.(5分)已知等比数列{a n}的前3项和为168,a2﹣a5=42,则a6=()A.14B.12C.6D.311.(5分)函数f(x)=cosx+(x+1)sinx+1在区间[0,2π]的最小值、最大值分别为()A.﹣,B.﹣,C.﹣,+2D.﹣,+2 12.(5分)已知球O的半径为1,四棱锥的顶点为O,底面的四个顶点均在球O的球面上,则当该四棱锥的体积最大时,其高为()A.B.C.D.二、填空题:本题共4小题,每小题5分,共20分。
2019年高考文科数学真题及答案全国卷1本试卷分第Ⅰ卷(选择题)和第Ⅱ卷(非选择题)两部分,满分150分,考试时间120分钟。
第Ⅰ卷(选择题共60分)一、选择题:本大题共12小题,每小题5分,在每小题给出的四个选项中,只有一项是符合题目要求的.1.(2019课标全国Ⅰ,文1)已知集合A={1,2,3,4},B={x|x=n2,n∈A},则A∩B=( ).A.{1,4} B.{2,3} C.{9,16} D.{1,2}【答案】A【考点】本题主要考查集合的基本知识。
【解析】∵B={x|x=n2,n∈A}={1,4,9,16},∴A∩B={1,4}.2.(2019课标全国Ⅰ,文2)212i1i+(-)=( ).A. -1-12i B.11+i2-C.1+12i D.1-12i【答案】B【考点】本题主要考查复数的基本运算。
【解析】212i12i12i i2i1i2i22++(+)-+===(-)-=11+i2-.3.(2019课标全国Ⅰ,文3)从1,2,3,4中任取2个不同的数,则取出的2个数之差的绝对值为2的概率是( ).A.12 B.13 C.14 D.16【答案】B【考点】本题主要考查列举法解古典概型问题的基本能力。
【解析】由题意知总事件数为6,且分别为(1,2), (1,3), (1,4), (2,3), (2,4), (3,4),满足条件的事件数是2,所以所求的概率为1 3.4.(2019课标全国Ⅰ,文4)已知双曲线C:2222=1x ya b-(a>0,b>0)的离心率为52,则C的渐近线方程为( ).A.y=±14x B.y=±13x C.12y x=±D.y=±x【答案】C【考点】本题主要考查双曲线的离心率、渐近线方程。
【解析】∵52e=,∴52ca=,即2254ca=.∵c2=a2+b2,∴2214ba=.∴12ba=.∵双曲线的渐近线方程为by xa=±,∴渐近线方程为12y x=±.故选C.5.(2019课标全国Ⅰ,文5)已知命题p:∀x∈R,2x<3x;命题q:∃x∈R,x3=1-x2,则下列命题中为真命题的是( ).A.p∧q B.⌝p∧q C.p∧⌝q D.⌝p∧⌝q【答案】B【考点】本题主要考查常用逻辑用语等基本知识。
【解析】由20=30知,p为假命题.令h(x)=x3-1+x2,∵h(0)=-1<0,h(1)=1>0,∴x3-1+x2=0在(0,1)内有解.∴∃x∈R,x3=1-x2,即命题q为真命题.由此可知只有⌝p∧q为真命题.故选B.6.(2019课标全国Ⅰ,文6)设首项为1,公比为23的等比数列{an}的前n项和为S n,则( ).A.Sn=2an-1 B.Sn=3an-2 C.Sn=4-3an D.Sn=3-2an 【答案】D【考点】本题主要考查等比数列前n项和公式。
【解析】11211321113n nnnaa a qa qSq q--(-)===---=3-2a n,故选D.7.(2019课标全国Ⅰ,文7)执行下面的程序框图,如果输入的t∈[-1,3],则输出的s属于( ).A.[-3,4] B.[-5,2]C.[-4,3] D.[-2,5]【答案】A【考点】本题主要考查程序框图的认识、分段函数求值域及水性结合的思想。
【解析】当-1≤t<1时,s=3t,则s∈[-3,3).当1≤t≤3时,s=4t-t2.∵该函数的对称轴为t =2,∴该函数在[1,2]上单调递增, 在[2,3]上单调递减. ∴s max =4, s min =3. ∴s ∈[3,4].综上知s ∈[-3,4].故选A.8.(2019课标全国Ⅰ, 文8)O 为坐标原点, F 为抛物线C :y 2=2x 的焦点, P 为C 上一点, 若|PF |=42 则△POF 的面积为( ).A .2B .22.23.4 【答案】C【考点】本题主要考查抛物线的定义、数形结合思想及运算能力。
【解析】利用|PF |=242P x = 可得x P=32∴y P =26±∴S △POF =12|OF |·|y P |=3故选C.9.(2019课标全国Ⅰ, 文9)函数f (x )=(1-cos x )sin x 在[-π, π]的图像大致为( ).【答案】C【考点】本题主要考查数形结合思想及对问题的分析判断能力。
【解析】由f (x )=(1-cos x )sin x 知其为奇函数.可排除B .当x ∈π0,2⎛⎤ ⎥⎝⎦时, f (x )>0, 排除A.当x ∈(0, π)时, f ′(x )=sin 2x +cos x (1-cos x )=-2cos 2x +cos x +1.令f ′(x )=0, 得2π3x =.故极值点为2π3x =, 可排除D , 故选C.10.(2019课标全国Ⅰ, 文10)已知锐角△ABC 的内角A , B , C 的对边分别为a , b , c,23cos 2A +cos 2A =0, a =7, c =6, 则b =( ).A .10B .9C .8D .5 【答案】D【考点】本题主要考查三角函数的化简, 考查利用余弦定理解三角形以及方程思想。
【解析】由23cos 2A +cos 2A =0, 得cos 2A =125.∵A ∈π0,2⎛⎫ ⎪⎝⎭, ∴cos A =15.∵cos A =2364926b b +-⨯, ∴b =5或135b =-(舍). 故选D.11.(2019课标全国Ⅰ, 文11)某几何体的三视图如图所示, 则该几何体的体积为( ).A .16+8πB .8+8πC .16+16πD .8+16π 【答案】A【考点】本题主要考查三视图。
简单组合体的体积。
【解析】该几何体为一个半圆柱与一个长方体组成的一个组合体.V 半圆柱=12π×22×4=8π,V 长方体=4×2×2=16.所以所求体积为16+8π.故选A.12.(2019课标全国Ⅰ, 文12)已知函数f (x )=22,0,ln(1),0.x x x x x ⎧-+≤⎨+>⎩若|f (x )|≥ax ,则a 的取值范围是( ).A .(-∞, 0]B .(-∞, 1]C .[-2,1]D .[-2,0] 【答案】D【考点】本题主要考查数形结合思想、函数与方程思想、利用导数研究函数间关系, 对分析能力有较高要求。
【解析】可画出|f (x )|的图象如图所示.当a >0时, y =ax 与y =|f (x )|恒有公共点, 所以排除B , C ; 当a ≤0时, 若x >0, 则|f (x )|≥ax 恒成立. 若x ≤0, 则以y =ax 与y =|-x 2+2x |相切为界限,由2,2,y ax y x x =⎧⎨=-⎩得x 2-(a +2)x =0. ∵Δ=(a +2)2=0, ∴a =-2. ∴a ∈[-2,0].故选D.第Ⅱ卷(选择题 共90分)二、填空题:本大题共4小题, 每小题5分.13.(2019课标全国Ⅰ, 文13)已知两个单位向量a , b 的夹角为60°, c =t a +(1-t )b .若b ·c =0, 则t =______. 【答案】2【考点】本题主要考查向量的基本知识及运算。
【解析】∵b ·c =0, |a |=|b |=1, 〈a , b 〉=60°, ∴a ·b =111122⨯⨯=. ∴b ·c =[t a +(1-t )b ]·b =0,即t a ·b +(1-t )b 2=0.∴12t +1-t =0.∴t =2.14.(2019课标全国Ⅰ, 文14)设x , y 满足约束条件13,10,x x y ≤≤⎧⎨-≤-≤⎩则z =2x -y 的最大值为______.【答案】3【考点】本题主要考查简单的线性规划问题。
【解析】画出可行域如图所示.画出直线2x -y =0, 并平移, 当直线经过点A (3,3)时, z 取最大值, 且最大值为z =2×3-3=3. 15.(2019课标全国Ⅰ, 文15)已知H 是球O 的直径AB 上一点, AH ∶HB =1∶2, AB ⊥平面α, H 为垂足, α截球O 所得截面的面积为π, 则球O 的表面积为______.【答案】9π2【考点】本题主要考查球及基本几何体的基本知识。
【解析】如图,设球O 的半径为R ,则AH =23R,OH =3R .又∵π·EH 2=π, ∴EH =1.∵在Rt△OEH 中, R 2=22+13R ⎛⎫ ⎪⎝⎭, ∴R 2=98.∴S 球=4πR 2=9π2.16.(2019课标全国Ⅰ, 文16)设当x =θ时, 函数f (x )=sin x -2cos x 取得最大值, 则cos θ=______.【答案】25【考点】本题主要考查三角函数的化简与求值。
【解析】∵f (x )=sin x -2cos x 5sin(x -φ),其中sin φ=55, cos φ=55.当x -φ=2k π+π2(k ∈Z )时, f (x )取最大值.即θ-φ=2k π+π2(k ∈Z ), θ=2k π+π2+φ(k ∈Z ).∴cos θ=πcos 2ϕ⎛⎫+ ⎪⎝⎭=-sin φ=255-.三、解答题:解答应写出文字说明, 证明过程或演算步骤.17.(2019课标全国Ⅰ, 文17)(本小题满分12分)已知等差数列{a n }的前n 项和S n 满足S 3=0, S 5=-5.(1)求{a n }的通项公式;(2)求数列21211n n a a-+⎧⎫⎨⎬⎩⎭的前n 项和.【考点】本题主要考查等差数列的基本知识, 特殊数列的求和等。
【解析】(1)设{a n }的公差为d , 则S n =1(1)2n n na d -+.由已知可得3a1+3d=05a1+10d=-5 解得a 1=1, d =-1. 故{a n }的通项公式为a n =2-n .(2)由(1)知21211n n a a -+=1111321222321n n n n ⎛⎫=- ⎪(-)(-)--⎝⎭, 从而数列21211n n a a -+⎧⎫⎨⎬⎩⎭的前n 项和为1111111211132321n n ⎛⎫-+-++- ⎪---⎝⎭=12nn -.18.(2019课标全国Ⅰ, 文18)(本小题满分12分)为了比较两种治疗失眠症的药(分别称为A 药, B 药)的疗效, 随机地选取20位患者服用A 药, 20位患者服用B 药, 这40位患者在服用一段时间后, 记录他们日平均增加的睡眠时间(单位:h).试验的观测结果如下: 服用A 药的20位患者日平均增加的睡眠时间:0.6 1.2 2.7 1.5 2.8 1.8 2.2 2.3 3.2 3.5 2.5 2.6 1.2 2.7 1.5 2.9 3.0 3.1 2.3 2.4服用B 药的20位患者日平均增加的睡眠时间:3.2 1.7 1.9 0.8 0.9 2.4 1.2 2.6 1.3 1.4 1.6 0.5 1.8 0.6 2.1 1.1 2.5 1.2 2.7 0.5(1)分别计算两组数据的平均数, 从计算结果看, 哪种药的疗效更好?(2)根据两组数据完成下面茎叶图, 从茎叶图看, 哪种药的疗效更好?【考点】本题主要考查统计的基本知识。