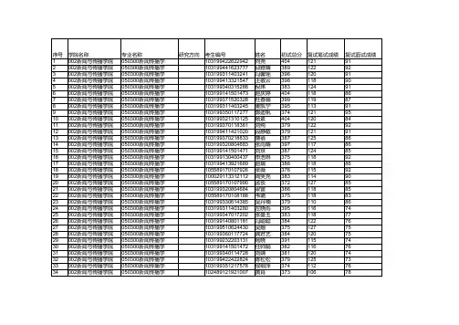
2019年华中师范大学新闻传播学院硕士研究生复试名单(一志愿考生)
- 格式:pdf
- 大小:159.15 KB
- 文档页数:3
【复试】2019武汉大学新闻与传播MJC、出版专硕考研复试分数线、录取人数、录取名单、复试时间、调剂政策一、武汉大学新闻出版复试分数线新闻与传播二、2018武汉大学新闻与传播复试名单新闻与传播四、武汉大学2018新闻与传播学院复试要求(一)复试安排1.复试时间安排在3月29日——3月30日。
2.参加复试的考生可从新闻与传播学院网站上查询复试名单及复试具体安排,学院门口也会张贴。
3.复试期间的食宿费、往返路费由考生本人自理。
4.复试结果将于4月10日前上网公布。
(二)复试内容和形式1.专业综合课笔试。
按2018年招生简章的要求进行专业课的笔试,考试时间为2小时,满分为100分。
2.对复试考生的外语听力口语水平测试。
每个听力口语测试小组须配备2名主考教师。
主考教师须由精通外语的教师担任。
听力口语测试试题须事先命制若干套。
须按时更换试题。
考生以抽签方式确定听力口试题目。
听力口语测试满分为100分。
听力口语测试全过程进行录音。
3.专业综合素质面试。
我院按专业组成6个复试小组来组织专业综合素质面试,要有面试情况记录,并认真填写复试记录,面试成绩取平均值。
面试满分为100分,每名考生专业综合素质面试时间约20分钟。
面试全过程将进行录音录像。
(三)成绩核算1.专业课笔试成绩、外语口语水平测试、综合素质面试成绩均60分以上,即为复试合格。
任何一项不及格者视为复试不合格,将不予录取。
2.各项复试成绩均合格的,将各项成绩与初试成绩加权求和,按专业方向排列录取顺序。
学术学位硕士总成绩=初试成绩÷5╳0.6+专业课╳0.15+外语听力口语╳0.05+面试╳0.20。
专业学位硕士总成绩=初试成绩÷5╳0.6+外语听力口语╳0.10+面试╳0.30。
3.同等学力考生加试成绩不合格者将不予录取。
录取考生必须通过思想政治素质及品德考核,不能通过者不予录取。
(四)调剂政策本院广播电视艺术理论非全日制接受调剂,调剂要求:1、接受调剂分数线为外语政治50、专业课90、总分345。
华中师范大学文学院2020年中国语言文学专业研究生复试名单序号报考研究方向名称姓名考生编号政治理论成绩外国语成绩业务课一成绩业务课二成绩总分备注1 文艺学袁萌萌105110107408939 80 67 126 116 3892 文艺学万铭汐105110107408970 77 73 120 114 3843 文艺学罗童心105110107302281 82 77 113 104 3764 文艺学陈源105110107408987 74 71 118 107 3705 文艺学邓敏萱105110107408986 72 74 119 105 3706 文艺学孔会亚105110107408946 75 60 125 108 3687 文艺学赵博文105110107302283 73 68 114 113 3688 文艺学许玉洁105110107408931 72 69 120 104 3659 文艺学胡真105110107408975 77 77 110 100 36410 文艺学郝楠105110107408907 73 78 107 106 36411 文艺学邓玉105110107408988 76 72 115 100 36312 文艺学侯菊梅105110107408958 76 67 119 99 36113 文艺学董倩倩105110107408927 75 72 109 104 36014 文艺学熊清红105110107408916 71 61 122 105 35915 文艺学欧阳萍105110107408976 77 52 120 109 35816 文艺学华烨105110107408959 70 69 115 104 35817 文艺学陈蓉105110107408909 70 77 116 95 35818 文艺学罗民105110107408943 73 68 112 102 3551 语言学及应用语言学何丽君105110107409011 73 72 134 107 3862 语言学及应用语言学鲁颜玲105110107409005 64 61 131 116 3723 语言学及应用语言学龚奕凡105110107409015 82 69 119 96 3664 语言学及应用语言学张敏105110107409008 77 59 131 97 3645 语言学及应用语言学胡辰诗105110107409000 69 80 122 87 3586 语言学及应用语言学龙迎凤105110107409019 55 41 105 87 288 少数民族骨干1 汉语言文字学吴小燕105110107409025 75 64 128 108 3752 汉语言文字学吴凡105110107409039 65 67 135 92 359 1 中国古典文献学曾芷倩105110107409052 70 75 113 113 3711 中国古代文学贾守烨105110107302321 74 75 119 110 3782 中国古代文学黄佳洁105110107302333 70 72 112 114 3683 中国古代文学覃莉105110107302339 74 68 118 107 3674 中国古代文学曹澍琪105110107409090 75 71 114 102 3625 中国古代文学聂苏雅105110107409188 69 77 109 106 3616 中国古代文学孙泽豪105110107409212 73 79 109 100 3617 中国古代文学李为为105110107409093 76 78 106 99 3598 中国古代文学陈一燃105110107409115 72 63 119 104 3589 中国古代文学闫明君105110107409150 73 64 120 100 35710 中国古代文学杨倩105110107409109 68 73 113 103 35711 中国古代文学戴军倩105110107409180 66 76 118 96 35612 中国古代文学蓝少敏105110107409062 67 66 105 95 333 少数民族骨干1 中国现当代文学艾宇佳105110107302352 82 69 121 116 3882 中国现当代文学王刘凌波105110107409407 73 74 117 120 384优秀夏令营营员3 中国现当代文学李涵105110107409310 64 74 126 113 3774 中国现当代文学王晓彤105110107409328 74 72 118 109 3735 中国现当代文学曾慧105110107302368 77 76 116 102 3716 中国现当代文学孟苛苛105110107409332 67 74 124 97 3627 中国现当代文学周功耀105110107409299 72 70 111 108 3618 中国现当代文学庄莲105110107409313 68 68 120 104 3609 中国现当代文学刘淑娇105110107409394 76 63 119 99 35710 中国现当代文学李佳欣105110107302353 71 77 106 103 35711 中国现当代文学曹潇潇105110107409298 73 66 116 100 35512 中国现当代文学金媛105110107409296 74 75 107 99 35513 中国现当代文学赵巧梅105110107409262 71 62 111 100 344 退役大学生士兵14 中国现当代文学岑晓婧105110107409396 74 50 121 106 351 少数民族骨干15 中国现当代文学杨戬帆105110107409387 76 54 103 103 336 少数民族骨干1 比较文学与世界文学侯卓灵105110107302385 76 75 120 112 3832 比较文学与世界文学黄绮105110107302377 74 75 127 106 3823 比较文学与世界文学杨彭倩105110107409488 77 75 117 108 3774 比较文学与世界文学张妍105110107409494 76 76 116 105 3735 比较文学与世界文学汪道霞105110107302378 71 65 110 120 3666 比较文学与世界文学王梦珺105110107409456 75 52 124 114 3657 比较文学与世界文学孙婧105110107409471 72 79 111 103 3658 比较文学与世界文学吴容梅105110107409505 74 75 110 104 3639 比较文学与世界文学徐颖105110107409491 72 85 102 102 36110 比较文学与世界文学邵宇欣105110107409442 72 65 116 106 3591 中国民间文学姜帅杰105110107409551 80 76 124 104 3842 中国民间文学成亚妮105110107409559 75 69 121 114 3793 中国民间文学李旭105110107409524 77 68 118 107 3704 中国民间文学张素素105110107409541 76 67 121 105 3695 中国民间文学张琴105110107409513 70 83 111 102 3666 中国民间文学何洁105110107409564 73 81 110 95 3597 中国民间文学刘文静105110107302396 74 61 119 102 356 1 对外汉语教学陈彤105110107409586 72 63 125 110 370华中师范大学文学院2020年汉语国际教育专业研究生复试名单序号姓名考生编号政治理论成绩外国语成绩业务课一成绩业务课二成绩总分1 胡姗姗105110107408843 77 77 125 125 4042 阎冬105110107408844 77 69 130 122 3983 王远远105110107408873 74 67 133 123 3974 叶佳红105110107408857 71 75 123 123 3925 丁曌105110107302255 64 71 128 126 3896 侯晓花105110107408861 75 76 113 118 3827 杨霞燕105110107408856 64 80 124 114 3828 董晴晴105110107408859 74 64 127 116 3819 廖广梅105110107408898 72 74 120 114 38010 罗诗瑶105110107408891 71 65 123 118 37711 郑琰105110107408875 77 63 125 111 37612 王柯105110107408890 78 62 122 112 37413 汪奕岑105110107302254 72 62 119 121 37414 杨逸舟105110107408896 67 82 111 114 37415 付悦105110107408874 76 63 117 114 37016 王冰清105110107408881 70 67 111 120 36817 胡文静105110107408852 73 70 119 102 36418 苏倩105110107408880 78 51 123 111 36319 李梓菁105110107408865 70 65 109 118 36220 杨文卿105110107408884 78 55 113 112 35821 代娥105110107302247 67 68 116 107 35822 周亚萍105110107408853 74 72 110 102 35823 王玉莹105110107408894 71 67 105 113 35624 王璟瑜105110107408862 64 74 106 112 35625 龙思雨105110107408871 67 59 115 113 35426 李朋105110107408885 75 68 102 109 35427 李雅姝105110107302249 69 77 96 111 35328 代陈银105110107408848 67 68 115 102 35229 姚淑鸽105110107302244 67 59 115 109 35030 唐雪105110107408855 73 49 118 109 34931 丁艺105110107408901 63 66 104 116 34932 邹杨105110107408887 71 66 101 109 347华中师范大学文学院2020年学科教学(语文)专业研究生复试名单序号姓名考生编号政治理论成绩外国语成绩业务课一成绩业务课二成绩总分1 李钰105110107408735 78 78 122 115 3932 代金稳105110107302204 81 74 126 111 3923 朱文静105110107408511 70 83 126 110 3894 欧逸芳105110107408738 77 78 124 108 3875 孙颖105110107408657 80 76 123 107 3866 刘越越105110107408548 75 75 129 105 3847 赵小雪105110107408623 74 68 121 115 3788 熊沐恩105110107302197 74 81 123 100 3789 伍思帆105110107408527 71 77 119 108 37510 魏彤彤105110107408621 84 82 106 102 37411 李嘉琪105110107408770 70 76 117 106 36912 曾菲菲105110107408570 74 78 115 102 36913 潘巧云105110107408736 75 77 119 96 36714 陈楚楚105110107302239 76 78 117 96 36715 陈德惠105110107408708 78 79 112 98 36716 方舟105110107302195 71 73 121 100 36517 袁莹莹105110107408585 77 74 116 98 36518 谭智雅105110107408783 71 75 118 101 36519 刘宇航105110107408569 72 77 118 98 36520 应允冷夕105110107302198 74 76 118 94 36221 蔡齐彤105110107302209 66 79 119 98 36222 张英盼105110107408777 74 80 111 97 36223 王璐105110107302208 71 70 117 103 36124 邓妮茹105110107408774 75 68 114 102 35925 王鑫105110107408505 72 78 111 98 35926 韩琴105110107408480 73 71 110 104 35827 付憧105110107408601 67 76 115 99 35728 周依霖105110107408739 70 57 119 110 35629 李雯霄105110107408559 81 63 114 98 35630 穆书雯105110107302221 76 57 115 105 35331 陶然105110107302224 70 68 118 97 35332 赵思惠105110107302213 73 73 110 97 35333 高云秋105110107408473 74 76 101 102 35334 刘漫105110107408752 78 64 112 98 35235 周橦鑫105110107408678 74 71 108 99 35236 李梦雨105110107408682 64 75 107 106 352。
院系所学位类型专业研究方向101 人文社会科学学院中国语言文学系学术型050101 文艺学所有方向101 人文社会科学学院中国语言文学系学术型050102 语言学及应用语言学所有方向101 人文社会科学学院中国语言文学系学术型050103 汉语言文字学所有方向101 人文社会科学学院中国语言文学系学术型050105 中国古代文学所有方向101 人文社会科学学院中国语言文学系学术型050106 中国现当代文学所有方向101 人文社会科学学院中国语言文学系学术型050108 比较文学与世界文学所有方向101 人文社会科学学院中国语言文学系专业学位135105 广播电视所有方向102 人文社会科学学院历史学系学术型060200 中国史01中国近现代史(15人)102 人文社会科学学院历史学系学术型060200 中国史02中国古代史(8人)102 人文社会科学学院历史学系学术型060200 中国史03历史文献学(3人)102 人文社会科学学院历史学系学术型060200 中国史04史学理论及史学史(4人)102 人文社会科学学院历史学系学术型060200 中国史05银行史(3人)102 人文社会科学学院历史学系学术型060300 世界史所有方向103 人文社会科学学院哲学系学术型010101 马克思主义哲学所有方向103 人文社会科学学院哲学系学术型010102 中国哲学所有方向103 人文社会科学学院哲学系学术型010103 外国哲学所有方向103 人文社会科学学院哲学系学术型010104 逻辑学所有方向103 人文社会科学学院哲学系学术型010105 伦理学所有方向103 人文社会科学学院哲学系学术型010107 宗教学所有方向103 人文社会科学学院哲学系学术型010108 科学技术哲学所有方向104 人文社会科学学院政治学系学术型030201 政治学理论所有方向104 人文社会科学学院政治学系学术型030204 中共党史所有方向104 人文社会科学学院政治学系学术型030206 国际政治所有方向104 人文社会科学学院政治学系学术型0302Z1 政治哲学与思想史所有方向104 人文社会科学学院政治学系学术型0302Z2 政治传播与政府公关所有方向104 人文社会科学学院政治学系专业学位055200 新闻与传播所有方向105 法学院学术型030100 法学所有方向105 法学院专业学位035101 法律(非法学)所有方向106 马克思主义学院学术型030501 马克思主义基本原理所有方向106 马克思主义学院学术型030502 马克思主义发展史所有方向106 马克思主义学院学术型030503 马克思主义中国化研究所有方向106 马克思主义学院学术型030505 思想政治教育所有方向106 马克思主义学院学术型030506 中国近现代史基本问题研究所有方向107 人文社会科学学院古籍研究所学术型050104 中国古典文献学所有方向107 人文社会科学学院古籍研究所学术型050105 中国古代文学所有方向108 社会发展学院学术型030301 社会学所有方向108 社会发展学院学术型030302 人口学所有方向108 社会发展学院学术型030303 人类学所有方向108 社会发展学院学术型030304 民俗学所有方向108 社会发展学院专业学位035200 社会工作所有方向109 外语学院学术型050201 英语语言文学所有方向109 外语学院学术型050202 俄语语言文学所有方向109 外语学院学术型050203 法语语言文学所有方向109 外语学院学术型050204 德语语言文学所有方向109 外语学院学术型050205 日语语言文学所有方向109 外语学院学术型050211 外国语言学及应用语言学所有方向109 外语学院专业学位055101 英语笔译所有方向109 外语学院专业学位055102 英语口译所有方向110 国际汉语文化学院专业学位045300 汉语国际教育所有方向110 国际汉语文化学院学术型050101 文艺学所有方向110 国际汉语文化学院学术型050102 语言学及应用语言学所有方向110 国际汉语文化学院学术型050103 汉语言文字学所有方向110 国际汉语文化学院学术型050105 中国古代文学所有方向110 国际汉语文化学院学术型050108 比较文学与世界文学所有方向111 教育学部教育学系学术型040101 教育学原理所有方向111 教育学部教育学系学术型040103 教育史所有方向111 教育学部教育学系学术型0401Z1 教育文化与社会所有方向111 教育学部教育学系学术型0401Z2 教育政策学所有方向111 教育学部教育学系学术型0401Z3 少年儿童组织与思想意识教育所有方向112 教育学部教育信息技术学系专业学位045114 现代教育技术所有方向112 教育学部教育信息技术学系学术型078401 教育技术学所有方向113 教育学部课程与教学系学术型040102 课程与教学论所有方向114 教育学部高等教育研究所学术型040106 高等教育学所有方向115 教育学部职业教育与成人教育研究所学术型040107 成人教育学所有方向115 教育学部职业教育与成人教育研究所学术型040108 职业技术教育学所有方向115 教育学部职业教育与成人教育研究所专业学位045120 职业技术教育01信息技术专业教师115 教育学部职业教育与成人教育研究所专业学位045120 职业技术教育02旅游管理专业教师116 心理与认知科学学院学术型040202 发展与教育心理学所有方向116 心理与认知科学学院学术型040203 应用心理学所有方向116 心理与认知科学学院学术型0402Z1 认知神经科学所有方向116 心理与认知科学学院专业学位045400 应用心理所有方向116 心理与认知科学学院学术型077101 基础心理学所有方向117 教育学部学前教育学系学术型040105 学前教育学所有方向118 教育学部特殊教育学系学术型040109 特殊教育学所有方向118 教育学部特殊教育学系专业学位045119 特殊教育所有方向119 教育学部教育康复学系学术型0401J1 言语听觉康复科学所有方向120 体育与健康学院学术型040301 体育人文社会学所有方向120 体育与健康学院学术型040302 运动人体科学所有方向120 体育与健康学院学术型040303 体育教育训练学所有方向120 体育与健康学院学术型040304 民族传统体育学所有方向120 体育与健康学院专业学位045201 体育教学所有方向124 传播学院学术型050301 新闻学所有方向124 传播学院学术型050302 传播学所有方向124 传播学院专业学位055200 新闻与传播所有方向124 传播学院专业学位055300 出版所有方向124 传播学院学术型130300 戏剧与影视学所有方向124 传播学院专业学位135105 广播电视01数字媒体艺术(12人)124 传播学院专业学位135105 广播电视02播音主持艺术(13人)125 美术学院学术型130400 美术学01美术教育理论125 美术学院学术型130400 美术学02美术史论125 美术学院学术型130400 美术学03美术考古125 美术学院专业学位135107 美术01西方艺术125 美术学院专业学位135107 美术02现当代艺术125 美术学院专业学位135107 美术03中国画125 美术学院专业学位135107 美术04雕塑与公共艺术125 美术学院专业学位135107 美术05书法篆刻125 美术学院专业学位135107 美术06艺术品鉴定与艺术市场126 音乐学院学术型130200 音乐与舞蹈学01音乐教育学126 音乐学院学术型130200 音乐与舞蹈学02中国音乐史126 音乐学院学术型130200 音乐与舞蹈学04音乐分析126 音乐学院学术型130200 音乐与舞蹈学03西方音乐史126 音乐学院学术型130200 音乐与舞蹈学05中外作曲家与作品126 音乐学院专业学位135101 音乐所有方向127 设计学院学术型130500 设计学所有方向127 设计学院专业学位135108 艺术设计所有方向128 数学科学学院学术型0701 数学所有方向129 物理与材料科学学院学术型070201 理论物理所有方向129 物理与材料科学学院学术型070203 原子与分子物理所有方向129 物理与材料科学学院学术型070205 凝聚态物理所有方向129 物理与材料科学学院学术型070208 无线电物理所有方向129 物理与材料科学学院学术型0702J1 材料与光电子所有方向130 化学与分子工程学院学术型070301 无机化学所有方向130 化学与分子工程学院学术型070302 分析化学所有方向130 化学与分子工程学院学术型070303 有机化学所有方向130 化学与分子工程学院学术型070304 物理化学所有方向130 化学与分子工程学院学术型070305 高分子化学与物理所有方向130 化学与分子工程学院学术型081704 应用化学所有方向130 化学与分子工程学院学术型100701 药物化学所有方向130 化学与分子工程学院学术型100702 药剂学所有方向130 化学与分子工程学院学术型100706 药理学所有方向131 地理科学学院学术型040102 课程与教学论所有方向131 地理科学学院学术型070501 自然地理学所有方向131 地理科学学院学术型070502 人文地理学所有方向131 地理科学学院学术型070503 地图学与地理信息系统所有方向131 地理科学学院学术型070601 气象学所有方向131 地理科学学院学术型071300 生态学所有方向131 地理科学学院学术型077601 环境科学所有方向132 生态与环境科学学院学术型071300 生态学所有方向132 生态与环境科学学院学术型077601 环境科学所有方向132 生态与环境科学学院学术型083002 环境工程所有方向132 生态与环境科学学院专业学位085229 环境工程所有方向133 城市与区域科学学院学术型020202 区域经济学所有方向133 城市与区域科学学院学术型070502 人文地理学所有方向134 生命科学学院学术型071001 植物学所有方向134 生命科学学院学术型071002 动物学所有方向134 生命科学学院学术型071003 生理学所有方向134 生命科学学院学术型071006 神经生物学所有方向134 生命科学学院学术型071010 生物化学与分子生物学01-17方向134 生命科学学院学术型071010 生物化学与分子生物学18药物设计合成134 生命科学学院学术型071010 生物化学与分子生物学19药物代谢134 生命科学学院学术型071010 生物化学与分子生物学20生物材料学134 生命科学学院学术型071010 生物化学与分子生物学21生物信息学134 生命科学学院学术型071300 生态学所有方向135 计算机科学技术系学术型081200 计算机科学与技术所有方向135 计算机科学技术系专业学位085211 计算机技术所有方向136 信息科学技术学院电子工程系学术型080901 物理电子学所有方向136 信息科学技术学院电子工程系学术型080903 微电子学与固体电子学所有方向136 信息科学技术学院电子工程系学术型080904 电磁场与微波技术所有方向136 信息科学技术学院电子工程系专业学位085209 集成电路工程所有方向137 信息科学技术学院通信工程系学术型081001 通信与信息系统所有方向137 信息科学技术学院通信工程系学术型081002 信号与信息处理所有方向137 信息科学技术学院通信工程系专业学位085208 电子与通信工程所有方向138 计算中心专业学位085211 计算机技术所有方向141 国际关系与地区发展研究院学术型030207 国际关系01区域与国际关系141 国际关系与地区发展研究院学术型030207 国际关系02国际治理与商务142 河口海岸科学研究院学术型070501 自然地理学所有方向142 河口海岸科学研究院学术型070701 物理海洋学所有方向142 河口海岸科学研究院学术型070702 海洋化学所有方向142 河口海岸科学研究院学术型070703 海洋生物学所有方向142 河口海岸科学研究院学术型070704 海洋地质所有方向142 河口海岸科学研究院学术型071300 生态学所有方向142 河口海岸科学研究院学术型077601 环境科学所有方向142 河口海岸科学研究院学术型081505 港口、海岸及近海工程所有方向145 精密光谱科学与技术国家重点实验室学术型070207 光学所有方向147 教育学部教育专业学位管理中心专业学位045102 学科教学(思政)所有方向147 教育学部教育专业学位管理中心专业学位045103 学科教学(语文)所有方向147 教育学部教育专业学位管理中心专业学位045104 学科教学(数学)所有方向147 教育学部教育专业学位管理中心专业学位045105 学科教学(物理)所有方向147 教育学部教育专业学位管理中心专业学位045106 学科教学(化学)所有方向147 教育学部教育专业学位管理中心专业学位045107 学科教学(生物)所有方向147 教育学部教育专业学位管理中心专业学位045108 学科教学(英语)所有方向147 教育学部教育专业学位管理中心专业学位045109 学科教学(历史)所有方向147 教育学部教育专业学位管理中心专业学位045110 学科教学(地理)所有方向147 教育学部教育专业学位管理中心专业学位045114 现代教育技术所有方向152 教育学部教育管理系专业学位045101 教育管理所有方向152 教育学部教育管理系学术型120403 教育经济与管理所有方向152 教育学部教育管理系专业学位125200 公共管理所有方向153 教育学部国际与比较教育研究所学术型040104 比较教育学所有方向155 经济与管理学部专业学位教育中心专业学位025100 金融所有方向155 经济与管理学部专业学位教育中心专业学位025200 应用统计所有方向155 经济与管理学部专业学位教育中心专业学位025400 国际商务所有方向155 经济与管理学部专业学位教育中心专业学位025500 保险所有方向155 经济与管理学部专业学位教育中心专业学位125100 工商管理所有方向155 经济与管理学部专业学位教育中心专业学位125200 公共管理所有方向155 经济与管理学部专业学位教育中心专业学位125300 会计所有方向155 经济与管理学部专业学位教育中心专业学位125400 旅游管理所有方向155 经济与管理学部专业学位教育中心专业学位125500 图书情报所有方向156 经济与管理学部经济学院学术型020105 世界经济所有方向156 经济与管理学部经济学院学术型020204 金融学所有方向156 经济与管理学部经济学院学术型020206 国际贸易学所有方向157 经济与管理学部工商管理学院学术型020205 产业经济学所有方向157 经济与管理学部工商管理学院学术型120201 会计学所有方向157 经济与管理学部工商管理学院学术型120202 企业管理所有方向157 经济与管理学部工商管理学院学术型120203 旅游管理所有方向157 经济与管理学部工商管理学院学术型120502 情报学所有方向157 经济与管理学部工商管理学院学术型1205Z1 商业分析所有方向158 经济与管理学部公共管理学院学术型120401 行政管理所有方向158 经济与管理学部公共管理学院学术型120404 社会保障所有方向159 经济与管理学部统计学院学术型071400 统计学所有方向160 计算机科学与软件工程学院学术型083500 软件工程所有方向160 计算机科学与软件工程学院专业学位085212 软件工程所有方向161 教育学部教师教育学院学术型040102 课程与教学论01语文教学(招3人)161 教育学部教师教育学院学术型040102 课程与教学论02数学教学(招4人)161 教育学部教师教育学院学术型040102 课程与教学论03英语教学(招2人)161 教育学部教师教育学院学术型040102 课程与教学论04物理教学(招4人)161 教育学部教师教育学院学术型040102 课程与教学论05化学教学(招4人)161 教育学部教师教育学院学术型040102 课程与教学论06科学教学(招3人)161 教育学部教师教育学院学术型040102 课程与教学论07生物教学(招2人)161 教育学部教师教育学院学术型040102 课程与教学论08社会(含道德与法治)教育(招1人)161 教育学部教师教育学院学术型040102 课程与教学论09思政教学(招1人)161 教育学部教师教育学院学术型040102 课程与教学论10历史教学(招1人)161 教育学部教师教育学院学术型040102 课程与教学论11地理教学(招2人)161 教育学部教师教育学院专业学位045102 学科教学(思政)所有方向161 教育学部教师教育学院专业学位045103 学科教学(语文)所有方向161 教育学部教师教育学院专业学位045104 学科教学(数学)所有方向161 教育学部教师教育学院专业学位045105 学科教学(物理)所有方向161 教育学部教师教育学院专业学位045106 学科教学(化学)所有方向161 教育学部教师教育学院专业学位045107 学科教学(生物)所有方向161 教育学部教师教育学院专业学位045108 学科教学(英语)所有方向161 教育学部教师教育学院专业学位045109 学科教学(历史)所有方向161 教育学部教师教育学院专业学位045110 学科教学(地理)所有方向161 教育学部教师教育学院专业学位045117 科学与技术教育所有方向162 数据科学与工程学院学术型0835Z1 数据科学与工程所有方向162 数据科学与工程学院专业学位085211 计算机技术所有方向163 经济与管理学部亚欧商学院学术型1202Z1 市场营销学所有方向划线标准分数线是否接收调剂按二级学科(专业)划线377不接受调剂按二级学科(专业)划线371不接受调剂按二级学科(专业)划线355不接受调剂按二级学科(专业)划线372不接受调剂按二级学科(专业)划线382不接受调剂按二级学科(专业)划线364不接受调剂按二级学科(专业)划线341不接受调剂按方向划线335不接受调剂按方向划线342不接受调剂按方向划线325不接受调剂按方向划线329不接受调剂按方向划线337不接受调剂按二级学科(专业)划线336不接受调剂按二级学科(专业)划线353不接受调剂按二级学科(专业)划线336不接受调剂按二级学科(专业)划线344不接受调剂按二级学科(专业)划线347不接受调剂按二级学科(专业)划线309不接受调剂按二级学科(专业)划线355不接受调剂按二级学科(专业)划线307不接受调剂按二级学科(专业)划线355不接受调剂按二级学科(专业)划线322不接受调剂按二级学科(专业)划线337不接受调剂按二级学科(专业)划线321不接受调剂按二级学科(专业)划线353不接受调剂按二级学科(专业)划线360不接受调剂按二级学科(专业)划线326不接受调剂按二级学科(专业)划线321不接受调剂按二级学科(专业)划线357不接受调剂按二级学科(专业)划线320不接受调剂按二级学科(专业)划线340不接受调剂按二级学科(专业)划线338不接受调剂按二级学科(专业)划线349不接受调剂按二级学科(专业)划线363不接受调剂按二级学科(专业)划线355不接受调剂按二级学科(专业)划线378不接受调剂按二级学科(专业)划线349不接受调剂按二级学科(专业)划线383不接受调剂按二级学科(专业)划线362不接受调剂按二级学科(专业)划线320非全日制接受调剂按二级学科(专业)划线355不接受调剂按二级学科(专业)划线370不接受调剂按二级学科(专业)划线363不接受调剂按二级学科(专业)划线358不接受调剂按二级学科(专业)划线363不接受调剂按二级学科(专业)划线355不接受调剂按二级学科(专业)划线355不接受调剂按二级学科(专业)划线338不接受调剂按二级学科(专业)划线377不接受调剂按二级学科(专业)划线364不接受调剂按二级学科(专业)划线360不接受调剂按二级学科(专业)划线365不接受调剂按二级学科(专业)划线355不接受调剂按二级学科(专业)划线352不接受调剂按二级学科(专业)划线352不接受调剂按二级学科(专业)划线338不接受调剂按二级学科(专业)划线340不接受调剂按二级学科(专业)划线331不接受调剂按二级学科(专业)划线378不接受调剂按二级学科(专业)划线334不接受调剂按二级学科(专业)划线355不接受调剂按二级学科(专业)划线354不接受调剂按二级学科(专业)划线345不接受调剂按二级学科(专业)划线333不接受调剂按方向划线331不接受调剂按方向划线344不接受调剂按二级学科(专业)划线377不接受调剂按二级学科(专业)划线378不接受调剂按二级学科(专业)划线325接受调剂按二级学科(专业)划线330非全日制接受调剂按二级学科(专业)划线350不接受调剂按二级学科(专业)划线341不接受调剂按二级学科(专业)划线335不接受调剂按二级学科(专业)划线349不接受调剂按二级学科(专业)划线327不接受调剂按二级学科(专业)划线363不接受调剂按二级学科(专业)划线345不接受调剂按二级学科(专业)划线340不接受调剂按二级学科(专业)划线324不接受调剂按二级学科(专业)划线324不接受调剂按二级学科(专业)划线360不接受调剂按二级学科(专业)划线362不接受调剂按二级学科(专业)划线356不接受调剂按二级学科(专业)划线364不接受调剂按方向划线376不接受调剂按方向划线361不接受调剂按方向划线357不接受调剂按方向划线372不接受调剂按方向划线341不接受调剂按方向划线342不接受调剂按方向划线341不接受调剂按方向划线343不接受调剂按方向划线349不接受调剂按方向划线368不接受调剂按方向划线362不接受调剂按方向划线340不接受调剂按方向划线340不接受调剂按方向划线340不接受调剂按方向划线340不接受调剂按方向划线340不接受调剂按二级学科(专业)划线340不接受调剂按二级学科(专业)划线344不接受调剂按二级学科(专业)划线348不接受调剂按数学[0701]一级学科划297不接受调剂线按二级学科(专业)划线290不接受调剂按二级学科(专业)划线290接受调剂按二级学科(专业)划线290接受调剂按二级学科(专业)划线290接受调剂按二级学科(专业)划线290接受调剂按二级学科(专业)划线306不接受调剂按二级学科(专业)划线313不接受调剂按二级学科(专业)划线291不接受调剂按二级学科(专业)划线303不接受调剂按二级学科(专业)划线290接受调剂按二级学科(专业)划线288不接受调剂按二级学科(专业)划线305接受调剂按二级学科(专业)划线351不接受调剂按二级学科(专业)划线305接受调剂按二级学科(专业)划线342不接受调剂按二级学科(专业)划线305不接受调剂按二级学科(专业)划线321不接受调剂按二级学科(专业)划线342不接受调剂按二级学科(专业)划线385不接受调剂按二级学科(专业)划线293不接受调剂按二级学科(专业)划线290接受调剂按二级学科(专业)划线295不接受调剂按二级学科(专业)划线306不接受调剂按二级学科(专业)划线322不接受调剂按二级学科(专业)划线345不接受调剂按二级学科(专业)划线327不接受调剂按二级学科(专业)划线294不接受调剂按二级学科(专业)划线310不接受调剂按二级学科(专业)划线305接受调剂按二级学科(专业)划线302不接受调剂按方向划线290不接受调剂按方向划线290接受调剂按方向划线290接受调剂按方向划线290接受调剂按方向划线335不接受调剂按二级学科(专业)划线292不接受调剂按二级学科(专业)划线320不接受调剂按二级学科(专业)划线270非全日制接受调剂按二级学科(专业)划线270不接受调剂按二级学科(专业)划线284不接受调剂按二级学科(专业)划线270不接受调剂按二级学科(专业)划线296不接受调剂按二级学科(专业)划线284不接受调剂按二级学科(专业)划线277不接受调剂按二级学科(专业)划线270不接受调剂按二级学科(专业)划线344不接受调剂按方向划线320不接受调剂按方向划线320接受调剂按二级学科(专业)划线299不接受调剂按二级学科(专业)划线337不接受调剂按二级学科(专业)划线290接受调剂按二级学科(专业)划线334不接受调剂按二级学科(专业)划线290接受调剂按二级学科(专业)划线314不接受调剂按二级学科(专业)划线290接受调剂按二级学科(专业)划线289不接受调剂按二级学科(专业)划线290不接受调剂按二级学科(专业)划线325不接受调剂按二级学科(专业)划线325不接受调剂按二级学科(专业)划线325不接受调剂按二级学科(专业)划线325不接受调剂。
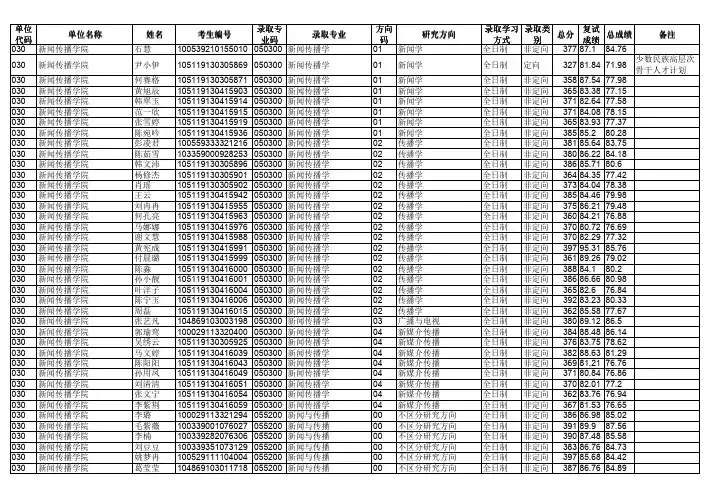
2019年新闻学院出版专业硕士统考综合成绩排序名单
注:
(1)2019年新闻与信息传播学院出版专业硕士统考招生指标为12人。
(2)凡是申请调剂非全日制的考生请注意《2019年新闻学院新闻与传播专业硕士(非全日制/调剂)综合成绩排序名单》。
(3)以上考生请根据综合成绩排序和招生指标按时参加师生意向双选会。
注:
(1)2019年新闻与信息传播学院新闻与传播专业硕士(全日制)统考招生指标为23人(2)凡是申请调剂非全日制的考生请注意《2019年新闻学院新闻与传播专业硕士(非全日制/调剂)综合成绩排序名单》。
(3)以上考生请根据综合成绩排序和招生指标按时参加师生意向双选会。
2019年新闻学院新闻与传播专业硕士(非全日制)统考综合成绩排序名单(第一志愿报考)
注:
(1)2019年新闻与信息传播学院新闻与传播专业硕士(非全日制)统考招生指标为80人。
(2)以上考生请根据综合成绩排序和招生指标按时参加师生意向双选会。
2019年新闻与信息传播学院国家专项计划统考综合成绩排序名单
注:
(1)2019年新闻与信息传播学院国家专项计划统考招生指标6人:少数民族骨干计划5人,退役大学生士兵计划1人。
(2)以上考生请根据综合成绩排序和招生指标按时参加师生意向双选会。
注:
(1)2019年新闻与信息传播学院新闻与传播专业硕士(非全日制)统考招生调剂指标为74人。
(2)以上考生请根据综合成绩排序和招生指标按时参加师生意向双选会。
【复试】2019华东师范大学新闻与传播(MJC)、出版专硕考研复试科目、复试参考书、录取人数、录取名单一、2019华东师范大学复试科目新闻与传播1、新闻传播实务(笔试),各种新闻体裁的写作;2、专业知识的综合能力和应用能力(口试)。
3、外语听力、口语测试。
出版1、编辑出版学综合(笔试):考核学生的出版编辑理论、校对业务、出版营销管理、版权贸易和数字出版知识。
2、专业知识的综合能力和应用能力(口试)。
3、外语听力、口语测试。
二、华东师范大学复试参考书(2019官方)新闻与传播《新闻评论学》丁法章,复旦大学出版社;《当代新闻写作》尹德刚,复旦大学出版社;《网络媒体概论》严三九,化学工业出版社;《中国新闻事业史》丁淦林,高等教育出版社;《媒介经营与管理》严三九,华中科技大学出版社。
(四)品德修养进行考核:由我院党组织组织实施,包括复试和后续政审两个阶段的考核。
主要从专业操守,职业伦理,个人素养,相关法律法规,社会主义核心价值观进行考核。
本项考核不作量化计入复试成绩,但考核结果不合格者不予录取。
复试总成绩为500分,大于或等于300分为复试合格。
复试总成绩或单项成绩不合格(复试总成绩低于300分、专业笔试低于120分、专业面试低于120分或外语听力口语测试低于60分)不予录取。
2、复试时间我院复试时间:3月26日报到,3月27日复试。
具体安排作邮件告知考生。
3、调剂复试我院传播学一志愿上线生源不足,需要调剂复试,调剂及复试要求公布在国家系统中,复试时间另行通知。
我校接收调剂复试的一般条件为:考生调入我校专业的合格生源不足;考生符合调入专业的报考条件;考生调入专业与第一志愿报考专业相同或相近;考生初试成绩符合调入专业最低复试分数线;考生初试科目与调入专业初试科目相同或相近,其中统考科目原则上应相同。
相同专业全日制与非全日制之间调剂以不影响一志愿考生权益为前提。
调剂复试和录取(无论是校内调剂还是校外调剂)考生必须通过中国研究生招生信息网(公网网址:, 教育网址:)调剂系统完成调剂录取手续。