北京大学应用随机过程应随2009春期末考试题
- 格式:pdf
- 大小:65.08 KB
- 文档页数:2
北京理工大学2012-2013学年第一学期2010级《应用随机过程》期末试题A 卷一、(15分)设随机过程()X t Yt Z =+,其中Y ,Z 是相互独立的()0,1N 随机变量,求()X t 的数学期望,协方差函数和一维概率密度函数。
二、(15分)设在(]0,t 内到达某商店的顾客数()X t 是具有强度(每分钟)为λ的泊松过程,求:(1)5分钟内来到的顾客数为2人的概率;(2)5分钟内到来的平均顾客数;(3)设T 为首位顾客到达的时间,计算概率()5P T >。
三、(15分)设质点在线段[]1,5的整数点上作随机游动,n X 表示质点在时刻n 所处的位置,其一步转移概率矩阵为:11000221100022100001110033301000P ⎡⎤⎢⎥⎢⎥⎢⎥⎢⎥⎢⎥=⎢⎥⎢⎥⎢⎥⎢⎥⎢⎥⎣⎦。
(1)若初始分布为11,,0,0,022⎛⎫ ⎪⎝⎭,求质点在时刻n=1的概率分布; (2)试讨论该Markov 链的状态分类及其各常返闭集的平稳分布。
四、(10分)设Markov 链的状态空间{}0,1,2,I = ,转移概率,10,111,i i i i p p a ---==,1001,1,2,,1i i i a i a ∞-=<<==∑ 。
(1)试证明该Markov 链是不可约常返链; (2)试给出此链正常返的充要条件,并求出状态0的平均返回时间。
五、(15分)某实验室有两台机器,每台机器发生故障的概率为μ,发生故障后立即修理,且在h 时间内机器从故障到正常的概率为()h o h λ+。
令()X t 表示t 时刻正常工作的机器数,则()X t 是一生灭过程。
(1)写出()X t 的Q 矩阵;(2)写出转移概率所满足的Kolmogorov 向前、向后方程;(3)求平稳分布。
六、(15分)设()()cos X t V at =+Θ,其中()0,2,0,1U EV DV πΘ== ,且,V Θ相互独立。
1.设随机变量X 服从参数为λ的泊松分布,则X 的特征函数为 。
2.设随机过程X(t)=Acos( t+),-<t<ωΦ∞∞ 其中ω为正常数,A 和Φ是相互独立的随机变量,且A 和Φ服从在区间[]0,1上的均匀分布,则X(t)的数学期望为 。
3.强度为λ的泊松过程的点间间距是相互独立的随机变量,且服从均值为 的同一指数分布。
4.设{}n W ,n 1≥是与泊松过程{}X(t),t 0≥对应的一个等待时间序列,则n W 服从 分布。
5.袋中放有一个白球,两个红球,每隔单位时间从袋中任取一球,取后放回,对每一个确定的t 对应随机变量⎪⎩⎪⎨⎧=时取得白球如果时取得红球如果t t t e tt X ,,3)(,则 这个随机过程的状态空间 。
6.设马氏链的一步转移概率矩阵ij P=(p ),n 步转移矩阵(n)(n)ijP (p )=,二者之间的关系为 。
7.设{}n X ,n 0≥为马氏链,状态空间I ,初始概率i 0p P(X =i)=,绝对概率{}j n p (n)P X j ==,n 步转移概率(n)ij p ,三者之间的关系为 。
8.设}),({0≥t t X 是泊松过程,且对于任意012≥>t t 则{(5)6|(3)4}______P X X ===9.更新方程()()()()0tK t H t K t s dF s =+-⎰解的一般形式为 。
10.记()(),0n EX a t M M t μ=≥→∞-→对一切,当时,t +a 。
二、证明题(本大题共4道小题,每题8分,共32分)P(BC A)=P(B A)P(C AB)。
2.设{X (t ),t ≥0}是独立增量过程, 且X (0)=0, 证明{X (t ),t ≥0}是一个马尔科夫过程。
3.设{}n X ,n 0≥为马尔科夫链,状态空间为I ,则对任意整数n 0,1<n l ≥≤和i,j I ∈,n 步转移概率(n)()(n-)ij ik kjk Ip p p l l ∈=∑ ,称此式为切普曼—科尔莫哥洛夫方程,证明并说明其意义。
随机过程综合练习题一、填空题(每空3分) 第一章1.n X X X ,,21是独立同分布的随机变量,i X 的特征函数为)(t g ,则n X X X +++ 21的特征函数是 。
2.{}=)(Y X E E 。
3. X 的特征函数为)(t g ,b aX Y +=,则Y 的特征函数为 。
4.条件期望)(Y X E 是 的函数, (是or 不是)随机变量。
5.n X X X ,,21是独立同分布的随机变量,i X 的特征函数为)(t g i ,则n X X X +++ 21的特征函数是 。
6.n 维正态分布中各分量的相互独立性和不相关性 。
第二章7.宽平稳过程是指协方差函数只与 有关。
8.在独立重复试验中,若每次试验时事件A 发生的概率为)10(<<p p ,以)(n X 记进行到n 次试验为止A 发生的次数, 则},2,1,0),({ =n n X 是 过程。
9.正交增量过程满足的条件是 。
10.正交增量过程的协方差函数=),(t s C X 。
第三章11. {X(t), t ≥0}为具有参数0>λ的齐次泊松过程,其均值函数为 ; 方差函数为 。
12.设到达某路口的绿、黑、灰色的汽车的到达率分别为1λ,2λ,3λ且均为泊松过程,它们相互独立,若把这些汽车合并成单个输出过程(假定无长度、无延时),相邻绿色汽车之间的不同到达时间间隔的概率密度是 ,汽车之间的不同到达时刻间隔的概率密度是 。
13.{X(t), t ≥0}为具有参数0>λ的齐次泊松过程,{}==-+n s X s t X P )()( 。
,1,0=n14.设{X(t), t ≥0}是具有参数0>λ的泊松过程,泊松过程第n 次到达时间W n 的数学期望是 。
15.在保险的索赔模型中,设索赔要求以平均2次/月的速率的泊松过程到达保险公司.若每次赔付金额是均值为10000元的正态分布,求一年中保险公司的平均赔付金额 。
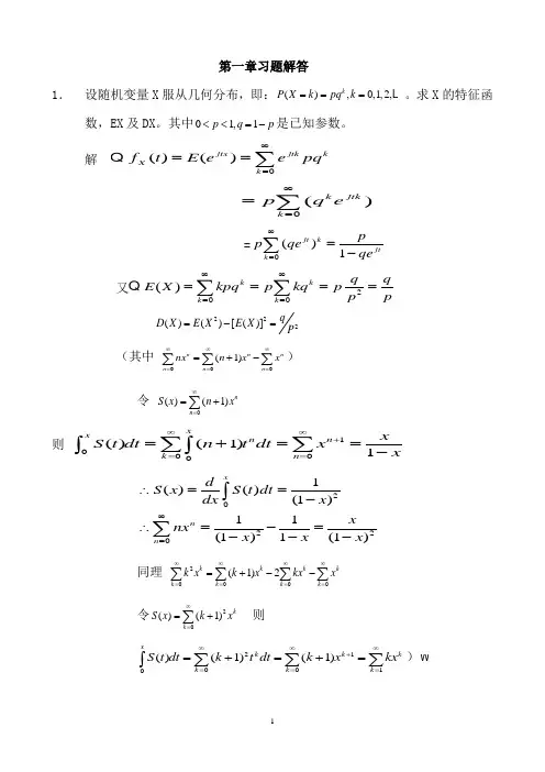
第一章习题解答1. 设随机变量X 服从几何分布,即:(),0,1,2,k P X k pq k ===L 。
求X 的特征函数,EX 及DX 。
其中01,1p q p <<=-是已知参数。
解 0()()jtxjtkk X k f t E eepq ∞===∑Q()k jtkk p q e∞==∑ =0()1jt kjtk pp qe qe ∞==-∑又200()kkk k q qE X kpq p kq p p p ∞∞======∑∑Q222()()[()]q D X E X E X P =-=(其中 00(1)nnn n n n nxn x x ∞∞∞====+-∑∑∑)令 0()(1)n n S x n x ∞==+∑则 1000()(1)1xxnn k n xS t dt n t dt x x∞∞+===+==-∑∑⎰⎰202201()()(1)11(1)1(1)xn n dS x S t dt dxx xnx x x x ∞=∴==-∴=-=---⎰∑同理 2(1)2kkkk k k k k k x k x kx x ∞∞∞∞=====+--∑∑∑∑令20()(1)k k S x k x ∞==+∑ 则211()(1)(1)xkk k k k k S t dt k t dt k xkx ∞∞∞+====+=+=∑∑∑⎰)W2、(1) 求参数为(,)p b 的Γ分布的特征函数,其概率密度函数为1,0()0,0()0,0p p bxb x e x p x b p p x --⎧>⎪=>>Γ⎨⎪≤⎩(2) 其期望和方差;(3) 证明对具有相同的参数的b 的Γ分布,关于参数p 具有可加性。
解 (1)设X 服从(,)p b Γ分布,则10()()p jtxp bxX b f t ex e dx p ∞--=Γ⎰ 1()0()p p jt b x b x e dx p ∞--=Γ⎰101()()()()(1)p u p p p p p b e u b u jt b x du jt p b jt b jt b∞----==Γ---⎰ 1(())x p p e x dx ∞--Γ=⎰Q (2)'1()(0)X p E X f j b∴== 2''221(1)()(0)X p p E X f j b +== 222()()()PD XE X E X b∴===(4) 若(,)i i X p b Γ: 1,2i = 则121212()()()()(1)P P X X X X jt f t f t f t b-++==-1212(,)Y X X P P b ∴=+Γ+:同理可得:()()iiP X b f t b jt∑=∑- W3、设X 是一随机变量,()F x 是其分布函数,且是严格单调的,求以下随机变量的特征函数。
北京大学信息科学技术学院考试试卷考试科目:算法设计与分析姓名: 学号: 考试时间:2009年6月9日任课教师:以下为试卷和答题纸,共 9页。
一、填空题(选做5道,10分>1. 用矩阵幂的方法求斐波那契数,其运行时间为<)。
2.对于一个可以用动态规划法求解的问题,要求问题既要满足<)的特性,又要具有大量的< )。
3.对于一个可以用贪心法求解的问题,不仅要求问题满足<)的特性,还应证明其贪心策略的< )。
4.设有n个栈操作<PUSH、POP、MULTIPOP )的序列,作用于初始为空的栈S。
不区分三种操作,则每个操作的最坏运行时间为<),平摊运行时间为<)。
5.三种平摊分析的方法分别为<)、<)、<)。
6.四后问题的搜索空间为<)树;0-1背包问题的搜索空间为<)树;巡回售货员问题的搜索空间为<)树。
7.<)法的求解目标是找出解空间树中满足约束条件的所有解,而<)法的求解目标则是找出满足约束条件的一个解,或是在满足约束条件的解中找出在某种意义下的最优解。
8.回溯法一般以<)优先的方式搜索解空间树,而分支限界法则一般以<)优先或以最小耗费优先的方式搜索解空间树。
二、单项选择题 (10分> Array1.下列关于排序算法的叙述,不正确的是?<)A> 堆排序的最差情形运行时间为Θ(n lg n>B> 快速排序平均情形运行时间为Θ(n lg n>C> 任何排序算法的最差情形运行时间都不可能比Ω(n lg n>更小D> 插入排序在最好情形下的运行时间为Θ(n>2.对于课堂讲解的线性时间内找第i小的元素的算法,<)下列叙述中不正确的是?A> 算法第一步中可以按每五个元素一组找中位数;B> 算法第一步中可以按每七个元素一组找中位数;B> 算法第一步中不能按每三个元素一组找中位数;D> 如果要求的n个元素的中位数,则中位数一定是第一步中找到的中位数中的某一个。
《应用随机过程》A卷及其参考答案《应用随机过程》A卷一、课程简介《应用随机过程》是一门应用数学学科,旨在研究随机现象的变化规律。
通过对这门课程的学习,我们可以掌握随机过程的基本理论和方法,并能够运用这些理论解决实际问题。
本课程共分为两个部分:A 卷和B卷。
二、考试内容1、随机过程的定义、性质和分类2、随机过程的概率分布和数字特征3、常见的随机过程,如泊松过程、马尔可夫过程、随机漫步等4、随机过程的极限理论,如强大数定律、中心极限定理等5、随机过程在各个领域的应用,如金融、生物、物理等三、考试形式1、试题类型:选择题、填空题、简答题、应用题2、分值分配:选择题30分,填空题20分,简答题30分,应用题20分四、考试策略1、理解基本概念:随机过程的概念、性质和分类是考试的重点,需要充分理解并熟练掌握。
2、掌握基本理论:考试中涉及的基本理论较多,需要平时多加学习和巩固。
3、应用实践:掌握基本理论后,需要能够将其应用于实际问题中,因此要多做练习和实际操作。
五、参考答案选择题部分:1、(1)B (2)C (3)A (4)D (5)C2、(1)C (2)B (3)D (4)A (5)C3、(1)D (2)A (3)B (4)C (5)D填空题部分:1、(1)正态分布(2)独立性(3)离散型随机变量2、(1)均匀分布(2)连续型随机变量(3)二项分布3、(1)泊松分布(2)几何分布(3)超几何分布4、(1)马尔可夫过程(2)齐次性(3)有限性5、(1)中心极限定理(2)强大数定律(3)大数定律简答题部分:1、简述随机过程的基本概念及分类。
答:随机过程是指在一定条件下,随时间变化的随机现象的变化规律。
它可以根据不同的分类标准分为连续型和离散型、定值型和随机场、马尔可夫性和非马尔可夫性等。
2、请列举几个常见的随机过程,并简述其应用场景。
答:常见的随机过程有泊松过程、马尔可夫过程、随机漫步等。
泊松过程在物理学、生物学、计算机科学等领域有广泛应用;马尔可夫过程在语音识别、天气预报等领域有应用;随机漫步在金融领域有应用。
2. (1) 求参数为的()b p ,分布的特征函数,其概率密度为Γ()()是正整数p b x x e x p b x p bx p p ,0 000,1>⎪⎩⎪⎨⎧≤>Γ=−−(2)求其期望和方差。
(3)证明对具有相同参数的b Γ分布,关于参数具有可加性。
p 函数有下面的性质:解 (1) 首先,我们知道Γ()()! 1−=Γp p根据特征函数的定义,有()[]()()()()()()()()()()()()()()()()()()()()pp p x jt b p p xjt b p p x jt b p p xjt b p p xjt b p p bxp p jtxjtxjtXX jt b b jt b p p b dxe x jt b p p b dx e x jt b p p b dx e x jt b p p b e x jt b p b dx e x p b dx e x p b edx x p e e E t f ⎟⎟⎠⎞⎜⎜⎝⎛−=−−Γ=−−Γ==−−Γ=−−Γ+−−Γ=Γ=Γ===∫∫∫∫∫∫∞−−−∞−−−∞−−−∞−−−∞−−−−−∞∞∞−!1!11110010202010110L所以()pX jt b b t f ⎟⎟⎠⎞⎜⎜⎝⎛−=(2)根据期望的定义,有[]()()()()()()()bpdx x p b p dx e x p b b p dx e x bp p b e x bp b dx e x p b dx e x p b x dx x xp X E m bx p p bx p p bxp p bx p p bx p p X ==Γ=Γ+−Γ=Γ=Γ===∫∫∫∫∫∫∞∞−∞−−∞−−∞−∞−∞−−∞∞−010100011类似的,有[]()()()()()()()()()()()()()2201200010101222111111b p p dx x p b p p dx e x p b b p p dx e x b p p b dx e x bp p b e x bp b dx e x p b dx e x p b x dx x p x XE bxp p bxp p bxp p bxp p bx p p bx p p +=+=Γ+==+Γ=+Γ+−Γ=Γ=Γ==∫∫∫∫∫∫∫∞∞−∞−−∞−∞−∞−+∞−+∞−−∞∞−L的方差为X 所以,[]()222221b pb p b p p mXE D XX =⎟⎠⎞⎜⎝⎛−+=−=(3)()()()jt jnt jt e n e e t f −−=115. 试证函数为一特征函数,并求它所对应的随机变量的分布。
一.填空题(每空2分,共20分)1.设随机变量X 服从两点分布,则X 的特征函数为__it pe q +______。
2.设X(t)=Vcos t,α ,t T=[0,+)∈∞,振幅V 是在区间(0,1)上均匀分布的随机变量,α为常数,则X(t)的相关函数=)4,2(X R _∂∂4cos 2cos 31 ____。
3.强度为λ的泊松过程{}X(t),t 0≥,{}n T ,n 1≥是对应的时间间隔序列,则随机变量n T (n=1,2,)独立同分布,密度函数为_t e λλ-_______________。
4.设{}n W ,n 1≥是与泊松过程{}X(t),t 0≥对应的一个等待时间序列,则1W 的分布函数为__teλ--1____________。
5.设随机过程 X(t)只有两条样本曲线,1X(t,)=acost,ω2X(t,)=-acost,ω其中常数a>0,且12P()=3ω,21P()=3ω,则随机过程的期望=)(t EX ___t a cos 31______。
6.马氏链{}n X ,n 0≥,状态空间I ,记初始概率i 0p P(X =i)=,绝对概率j n p (n)P(X =j)=,n 步转移概率(n)ij p ,三者之间的关系式为__)()(n p p n p ij i Ii j ∑∈=______。
7.设{}n X ,n 0≥为马氏链,状态空间I ,记初始概率i 0p P(X =i)=,一步转移概率{}ij n+1n p p X j X i ===,用其表示{}0011n n P X =i ,X =i ,,X i ==__n n i i i i i p p p 1100- __。
8.在马氏链{}n X ,n 0≥中,记 {}(n)ij v n 0f P X j,1v n-1,X j X i ,n 1,=≠≤≤==≥(n)ij ij n=1f f ∞=∑,若1<ii f ,称状态i 为__非常返________。
姓线号学封级班卷试学大峡三2009 年秋季学期《测试与信息处理》课程考试试卷(A卷)注意:1、本试卷共2页,答题纸1页; 2、考试时间: 100 分钟3、姓名、学号必须写在指定地方,答案请按要求写在相应位置。
一、填空题 (每个空1 分,共 20分,答案写在试卷上)1、测试系统通常由、和等环节组成。
2、傅立叶变换是将时间信号变换成,突出信号的__ __特征。
3、周期信号频谱的特点为__ __、__ ___和____ _。
4、各态历经随机过程任一单个样本函数的(时间)平均统计特征等于该过程的____ _____平均统计特征。
5、物性型传感器是利用原理,它具有特点,例如_ _属于物性型传感器。
6、变气隙长度型电感传感器的灵敏度与气隙长度变化的关系为___ 。
7、全桥的各桥臂上各并联一只相同参数的应变片,其灵敏度8、测试系统实现不失真测试的条件为和。
9、传递函数的分母取决于。
10、频率不同的两个正弦信号,其互相关函数Rxy(τ)= 。
11、将信号在时域进行扩展,则信号在频域将。
二、选择题(每题2分,共20分,答案写在试卷上)1.信号是信息的()。
A 载体B 描述C 形式D 数量表示2.测试装置的频响函数H(jω)是装置动态特性在()中的描述。
A 幅值域B 频域C 复数域 D时域3.调幅过程相当于对信号频率的()过程A 放大B 缩小C 搬移D 消失4.周期函数x(t)的自相关函数为()函数。
A.周期B.离散C.连续D.非周期5.从时域上看,系统的输出是输入与该系统脉冲响应函数的()。
A.和B.差C.乘积D.卷积6.自感型传感器的两线圈接于电桥的相邻桥臂时,其输出灵敏度()。
A 提高很多倍B 提高一倍C 降低一倍D 降低很多倍7.脉冲函数的频谱是()A 均匀谱B 非均匀谱C 逐渐增高D 逐渐降低8.二阶系统的阻尼比变小,则其阶跃响应的超调量()。
A.变大B.变小C.不变D.为零9.用一阶系统作测试装置,为了获得最佳的工作性能,其时间常数τ()。
随机过程期末试题及答案一、选择题1. 随机过程的定义中,下列哪个是错误的?A. 属于随机现象。
B. 具有随机变量。
C. 具有时间集合。
D. 具有马尔可夫性质。
答案:D2. 下列哪个不是连续时间的随机过程?A. 泊松过程。
B. 布朗运动。
C. 维纳过程。
D. 马尔可夫链。
答案:D3. 关于时间齐次的描述,下列哪个是正确的?A. 随机过程的概率分布不随时间变化。
B. 随机过程的均值不随时间变化。
C. 随机过程的方差不随时间变化。
D. 随机过程的偏度不随时间变化。
答案:A4. 下列哪个是离散时间的随机过程?A. 随机游走。
B. 指数分布过程。
C. 广义强度过程。
D. 随机驱动过程。
答案:A二、填空题1. 马尔可夫链中,状态转移概率与当前状态无关,只与前一个状态有关,这个性质被称为(马尔可夫性质)。
2. 在某一区间内,随机过程的均值是时间的(函数)。
3. 两个随机过程的相互独立性是指它们的(联合概率)等于各自概率的乘积。
4. 利用(随机过程)可以模拟无记忆的随机现象。
三、解答题1. 试述随机过程的定义及其要素。
随机过程是描述随机现象随时间演化的数学模型。
它由两个基本要素组成:时间集合和取值集合。
时间集合是指随机过程所涉及的时间轴,可以是离散的或连续的。
取值集合是指随机过程在每个时间点上可能取到的值的集合,可以是实数集、整数集或其他集合。
2. 什么是时间齐次随机过程?请举例说明。
时间齐次随机过程是指随机过程的概率分布在时间上不变的特性。
即随机过程在任意两个时间点上的特性是相同的。
例如,离散时间的随机游走就是一个时间齐次随机过程。
在随机游走中,每次移动的概率分布不随时间变化,且每次移动的步长独立同分布。
3. 什么是马尔可夫链?它有哪些性质?马尔可夫链是一种离散时间的随机过程,具有马尔可夫性质,即在给定当前状态的情况下,未来的状态只与当前状态有关,与过去的状态无关。
马尔可夫链的性质包括:首先,状态转移概率与当前状态无关,只与前一个状态有关。
北 京 交 通 大 学2011~2012学年第一学期随机过程期末考试试卷(A 卷)答案一.(本题满分30分)写出以下概念的定义(共6道小题,每道小题满分5分) (1) 函数()x g 在区间[]b a ,上关于()x F 的Riemann-Stieltjes 积分;(2) 计数过程(){}0≥t t N ,是强度函数为()0>t λ()0≥t 的非齐次Poisson 过程; (3) 计数过程(){}0≥t t N :为更新过程; (4) 更新方程;(5) Markov 链中的状态i 是零常返状态;(6) 随机变量T 是关于随机变量序列{}0≥n X n ,的停时. 解:(1) 设()x g 与()x F 都是有限区间[]b a ,上的实值函数,b x x x a n =<<<= 10为区间[]b a ,上的一个分割,令()()()1--=∆i i i x F x F x F ,[]i i i x x ,1-∈ξ,()n i ≤≤1,()11max -≤≤-=i i ni x x λ,如果当0→λ时,极限()()∑=→∆ni i i x F g 10lim ξλ存在,而且其极限值与区间[]b a ,上的分割以及[]i i i x x ,1-∈ξ的取法无关,则称该极限值为函数()x g 关于()x F 在区间[]b a ,上的Riemann-Stieltjes 积分,记为()()()()∑⎰=→∆=ni iibax F g x dF x g 1lim ξλ. (2) 计数过程(){}0≥t t N ,称作强度函数为()0>t λ()0≥t 的非齐次Poisson 过程,如果 ⑴ ()00=N ; ⑵ 过程有独立增量;⑶ 对任意的实数0≥t ,0≥s ,()()t N s t N -+为具有参数()()()⎰+=-+st tdu u t m s t m λ的Poisson 过程.(3) 设{} ,2,1=n X n :是一串独立同分布的非负随机变量,分布函数为()x F ,令∑==ni i n X T 1,()1≥n ,00=T .我们把由(){}t T n t N n ≤=:sup定义的计数过程称为更新过程.(4) 称如下形式的积分方程为更新方程:()()()()⎰-+=ts dF s t K t H t K 0,其中()t H ,()t F 为已知,且当0<t 时,()t H ,()t F 均为0.(5) 设i 是Markov 链{}n X 中的一个状态,以()n ij f 记从i 出发,经过n 步后首次到达j 的概率,()∑∞==1n n ij ij f f ,如果1=jj f ,称状态j 为常返状态.对于常返状态i ,记()∑∞==1n n ii i nf μ,若+∞=i μ,则称i 为零常返状态.(6) 设{}0≥n X n :是一个随机变量序列,T 是一个随机变量,如果T 的取值范围是{}∞+,,2,1,0 , 而且对于每一个0≥n ,{}()n X X X n T ,,,10 σ∈=.二.(本题满分10分)已知随机过程(){}T t t X ∈:的均值函数()t X μ和协方差函数()21,t t X γ,再设()t ϕ是一个非随机的函数,试求随机过程()()(){}t t X t Y ϕ+=的均值函数和协方差函数. 解:三.(本题满分10分)设(){}t N 是参数为λ的Poisson 过程,再设10<<i p ,()2,1=i ,且121=+p p .当每次事件发生时,甲、乙两人分别以概率1p 与2p 独立地进行记录,并且每一事件发生与被记录之间也相互独立.令()t N 1表示到t 时刻甲记录的事件数目,()t N 2表示到t 时刻乙记录的事件数目.证明:(){}t N 1与(){}t N 2是相互独立的参数分别是1p λ与2p λ的Poisson 过程. 证明:四.(本题满分10分)设(){}0≥t t N ,是一个更新过程,{}1≥n X n ,是其更新间隔,{}1≥n T n ,是其更新时刻,1X 的分布函数为()x F ,更新函数为()t M ,证明:(){}()()()⎰-+=≤st N y dM y t F t F s T P 0,其中(){}t X P t F >=1. 证明:()t N T 表示t 时刻之前最后一次更新的时刻,因此对任意的0≥≥s t ,有 (){}(){}()(){}∑∞==≤==≤0n t N t N n t N s T P n t N P s T P()(){}∑∞==<=0,n t N n t N s T P{}(){}∑∞=+><+>≤=1110,,n n t N t T s T P t T s T P {}(){}∑∞=+><+>=111,n n t N t T s T P t X P(){}()∑⎰∞=+∞+=><+=101,n n n n n y dF y T t T s T P t F(){}()∑⎰∞=+∞+->-<+=101,n n n n n y dF y t T T s T P t F(){}()∑⎰∞=->+=101n sn y dF y t X P t F()()()∑⎰∞=-+=10n sn y dF y t F t F()()()⎪⎭⎫ ⎝⎛-+=∑⎰∞=10n n sy F d y t F t F()()()y dM y t F t F s⎰-+=0.五.(本题满分10分)设(){}0≥t t N :是一个更新过程,{}1≥n X n ,是其更新间隔,{}1≥n T n ,是其更新时刻,1X 的分布函数为()x F ,()+∞<=μ1X E .再令()()t T t r t N -=+1,⑴ 解释()t r 的意义;⑵ 求极限分布(){}y t r P t >+∞→lim .解:设:()(){}y t r P t R y >=,对第一次更新时刻1X 取条件,则有(){}()⎪⎩⎪⎨⎧≤<-+≤<+>==>t x x t R y t x t yt x x X y t r P y0011 .由全概率公式,得 ()(){}y t r P t R y >=(){}()⎰+∞=>=01x dF x X y t r P(){}()(){}()(){}()⎰⎰⎰+∞++=>+=>+=>=yt yt t t x dF x X yt r P x dF x X yt r P x dF x X y t r P 1101()()()()⎰⎰⎰+∞++⋅+⋅+-=yt yt tty x dF x dF x dF x t R 100()()()⎰-++-=ty x dF x t R y t F 01这是一个更新方程.它的解为()()()()()⎰-+-++-=ty x dM x y t F y t F t R 011.由假设,()+∞<=1X E μ,得()()()⎰⎰+∞+∞-==1dx x F x xdF μ,所以有,()()()()+∞<-=+-⎰⎰+∞+∞ydz z F dt y t F 110,因此()y t F +-1满足关键更新定理的条件.于是 (){}()()()⎰+∞+∞→+∞→-==>yy t t dz z F t R y t r P 11lim lim μ.六.(本题满分10分)设i 与j 是Markov 链中的两个状态,而且j i ↔,则i 与j 同为常返状态或非常返状态. 解:因为j i ↔,所以存在正整数m 与n ,使得()0>m ij p 及()0>n ji p成立.所以,对任何自然数l ,由C-K 方程,得()()()()n ji l jj m ij n l m ii p p p p ≥++, ()()()()m ij l ii n ji m l n jj p p p p ≥++,上面两个式子分别对l 求和,有()()()()()()()∑∑∑∞=∞=∞=++=≥000l ljjn jim ij l n ji l jj m ij l n l m iip p p p p p p,()()()()()()()∑∑∑∞=∞=∞=++=≥00l l ii m ijn ji l m ij l ii n ji l m l n jjp p p p p p p ,上式表明级数()∑∞=0l l jj p 与()∑∞=0l l ii p 相互控制,因此级数()∑∞=0l l jj p 与()∑∞=0l l ii p 同为无穷或者有限.而状态i 为常返状态的充分必要条件是级数()+∞=∑∞=0l l jj p ,因此状态i 与j 同为常返状态或者同为非常返状态.七.(本题满分10分)设一Markov 链的转移矩阵为⎪⎪⎪⎪⎪⎭⎫ ⎝⎛=03.01.06.02.03.04.01.04.04.02.005.0005.0P ,试求该Markov 链的不变分布. 解:八.(本题满分10分)设{}n X 是一独立的随机变量序列,而且对每一个n ,()0=n X E .再设00=S ,∑==nk k n X S 1,证明:{}n S 是关于{}n X 的鞅. 解:。
山东财政学院2009—2010学年第 1 学期期末考试《应用随机过程》试卷(A )(考试时间为120分钟)参考答案及评分标准考试方式: 闭卷 开课学院 统计与数理学院 使用年级 07级 出题教师 张辉一. 判断题(每小题2分,共10分,正确划√,错误划ⅹ)1. 严平稳过程一定是宽平稳过程。
(ⅹ )2. 非周期的正常返态是遍历态。
(√ )3. 若马氏链的一步转移概率阵有零元,则可断定该马氏链不是遍历的。
(ⅹ )4. 有限马尔科夫链没有零常返态。
(√ )5.若状态i 有周期d, 则对任意1≥n , 一定有:0)(〉nd iip 。
(ⅹ )二. 填空题(每小题5分,共10分) 1. 在保险公司的索赔模型中,设索赔要求以平均每月两次的速率的泊松过程到达保险公司,若每次赔付金额是均值为10000元的正态分布,一年中保险公司的平均赔付金额是__240000元___。
2.若一个矩阵是随机阵,则其元素满足的条件是:(1)任意元素非负(2)每行元素之和为1。
三. 简答题(每小题5分,共10分)1. 简述马氏链的遍历性。
答:设)(n ij p 是齐次马氏链{}1,≥n X n 的n 步转移概率,,如果对任意 I j i ∈,存在不依赖于i 的极限0)(〉=j n ij p p ,则称齐次马氏链{}1,≥n X n 具有遍历性。
2. 非齐次泊松过程与齐次泊松过程有何不同?答:非齐次泊松过程与齐次泊松过程的不同在于:强度λ不再是常数,而是与t 有关,也就是说,不再具有平稳增量性。
它反映了其变化与时间相关的过程。
如设备的故障率与使用年限有关,放射物质的衰变速度与衰败时间有关,等等。
四. 计算、证明题(共70分)1. 请写出C —K 方程,并证明之. (10分)解:2. 写出复合泊松过程的定义并推算其均值公式. (15分)解:若{}0),(≥t t N 是一个泊松过程,是Λ,2,1,=i Y i 一族独立同分布的随机变量,并且与{}0),(≥t t X 也是独立的, )(t X =∑=t N i i Y1,那么{}0),(≥t t X 复合泊松过程3. 顾客以泊松过程到达某商店,速率为小时人4=λ,已知商店上午9:00开门,求到9:30时仅到一位顾客,而到11:30时总计已达5位顾客的概率。
随机过程与应用考试试题一、选择题1. 在马尔科夫链中,状态转移概率矩阵的要求是:A. 每行所有元素之和等于1B. 每列所有元素之和等于1C. 对角线上的元素均大于0D. 所有元素均大于02. 在随机过程中,平稳性的要求是:A. 每个时刻的概率分布都相同B. 概率分布随时间发生改变C. 均值和方差不随时间发生改变D. 方差不随时间发生改变3. 泊松过程的特点是:A. 不存在跳跃B. 存在连续的状态变化C. 均值和方差相等D. 每个单位时间发生事件的数量是恒定的4. 马尔科夫链是一种:A. 离散时间和离散状态的随机过程B. 离散时间和连续状态的随机过程C. 连续时间和离散状态的随机过程D. 连续时间和连续状态的随机过程5. 连续时间马尔科夫链的状态转移概率与时间的关系是:A. 与时间无关B. 每个时间段内相同C. 随时间变化而变化D. 无法确定二、填空题1. 在泊松过程中,到达的时间间隔满足 ______ 分布。
2. 在连续时间马尔科夫链中,状态转移概率与时间的关系可以由______ 函数来表示。
3. 马尔科夫链具有 ______ 性,即过去的状态对未来的状态具有影响。
4. 在随机过程中, ______ 是指在给定前面状态下,未来状态的条件概率分布。
三、解答题1. 请说明马尔科夫链的定义,并列举出两个例子。
2. 请说明泊松过程的特点,并说明其在实际应用中的一个例子。
3. 请解释连续时间马尔科夫链的平稳分布,并给出一个实际应用的例子。
四、应用题1. 假设某商品的售出数量服从泊松分布,平均每天售出5件。
如果要求计算每天售出不少于3件的概率,应如何计算?2. 某公交车站的乘客到达服从泊松过程,平均每小时到达12人。
如果公交车每隔10分钟发车一次,求在每趟车发车前等待的乘客人数的概率分布。
3. 某产品的寿命服从指数分布,平均寿命为1000小时。
如果要求计算寿命在800小时到1200小时之间的概率,应如何计算?以上是随机过程与应用考试试题的部分内容,请按要求回答题目。
2009年北京⼤学数学分析真题解答2009年北⼤数学分析试题解答随笔1. 证明有限闭区间上的连续函数能取到最⼤值和最⼩值.北⼤第⼀题继续延续着考察实数系基本定理的习惯, 本题也是⼀个定理, ⽅法很多. 设[(]),C f a x b ∈, 因为有限闭区间上的连续函数必有界, 因⽽必有上确界, 记为M . 假设()f x M <恒成⽴, 令1()()g x M f x =, 则()[,]g x C a b ∈. 它也有上确界, 记为K .代⼊可知1()f x M K≤?这与M 是上确界的假设⽭盾! 因⽽存在[,],()c a b f c M ∈=.即最⼤值可以取到. 同理可证, 最⼩值也能取到.2. 设(),()f x g x 分别是\上的有界⼀致连续函数, 证明()()f x g x 在\上的⼀致连续.北⼤07年考过⼀道类似的题, 本题稍微有些变化, 但⼤体⽅法相同. 证明不难, 设M 为 (),()f x g x 的公共上界, 再考虑下⾯的三⾓不等式关系|()()()()||()()()()||()()()()|f x g x f x g x f x g x f x g x f x g x f x g x ′′′′′′′′′′′′′′′′′′?≤?+? |()()||()()|M g x g x M f x f x ′′′′′′≤?+?, 由此⽴得结论.3. 设()f x 是周期为2π的连续函数, 且其Fourier 级数 01co in 2s s n n n nx b a a nx ∞=++∑处处收敛, 证明这个Fourier 级数处处收敛到()f x .要想证明本题需要知道下⾯两个结论: (⼤家可以试着⾃⼰证明下)(1) 记Fourier 级数的前k 项和为(,)k S f x , 算数平均能和为01(,)(,)1nk k n S f x f x n σ==+∑, 该和式称为"费耶和". ⽔平⽐较⾼的教材上⼀般都会有如下的"费耶定理":设[(]),f C x ππ∈?, 则其费耶和(,)n f x σ在[,]ππ?上⼀致收敛到()f x .(2) 下⾯的求和法⼀般统称1C ?求和法: 对数列{}n a , 令011n m n m c a n ==+∑. ⼀个重要的结果是: 如果数列{}n a 收敛, lim n n a a →∞=, 则lim n n a c →∞=.有了上⾯两个结论不难得出本题结论.4. 设{},{}n n a b 都是有界数列, 且满⾜12n n n a b a ++=. 若lim n n b →∞存在, 证明lim n n a →∞也存在.下⾯的"上下极限法"也许是最简单的证明了. 许多书上在数列上下极限相应章节⼀般有如下结论: 数列{},{}n n u v 中, n v 收敛. 则有lim()lim lim n n n n u v v +=+, lim()lim lim n n n n u v u v +=+ 以及lim lim n n u u =?.有了上⾯的关系就好办了,记lim ,lim ,lim n n n a a b b βα===. 因为{},{}n n a b 都是有界数列, 所以,,b αβ都是有限的. 由已知条件得, 12n n n a a b +=?+ (1)(1)式两边取上极限, 得 2b βα=?+. (1)式两边取下极限, 得 2b αβ=?+ 联⽴上⾯两式得αβ=. 故lim n n a →∞也存在.5. 是否存在连续可导函数():f x →\\满⾜: ()0f x >且()(())f x f f x ′=, 说明理由. 答案是不存在, 解题关键在于?∞这块上. 假设存在满⾜题意的函数. ⾸先, 由()0f x >且()(())f x f f x ′=可知函数是严格单调递增的. 其次, 记lim ()x f x A →?∞=(为⼀有限数), 则0A ≥且lim ()()0x f x f A →?∞′=>.⼜由()(())f x f f x ′=知()f x ′也是严格递增的, 所以()(0)0limlim ()x x f x f f xξ→?∞→?∞?′== (0ξ<随x 变化⽽变化)这就与inf ()lim ()()0x f x f x f A →?∞′′==>⽭盾!6. 已知函数()f x 是[0,)+∞上的单调连续函数, 且lim ()0x f x →+∞=. 证明:lim()sin 0n f x nxdx +∞→∞=∫.⼀般教材上都有如下的Riemann 定理: 设()f x 在有限闭区间[,]a b 上Riemann 可积, 则lim()sin 0ba n f x nxdx →∞=∫. 该定理是Fourier 级数理论中的⼀个基本定理, 这⾥直接引⽤.任取正数A 及n ?∈`, 有sin 2Anxdx ≤∫. ⼜()f x 是[0,)+∞上的单调连续函数, 及lim ()0x f x →+∞=, 由狄利克雷判别法知积分()sin f x nxdx +∞∫对n ⼀致收敛.往下采⽤如下估计即可:()sin ()sin ()sin 0AAf x nxdx f x nxdx f x nxdx +∞+∞≤+→∫∫∫.7. 计算曲线积分()()()L y z dx z x dy x y dz ?+?+?∫ ,其中曲线L 是球⾯2221y x z ++=与222(1)(()141)y x z ++??=?的交线, ⽅向从z 轴正向看是逆时针.⼀道经典的⼯科题. 本题需借助⼀下⼏何直观, 想象下两球相交, 交线是应该在在⼀个平⾯上. 将两球⾯⽅程相减得到交线所在平⾯⽅程 0:x y z π++=. 注意到曲线L 在平⾯π上, 因此在L 上仍有z x y =??成⽴. 记曲线0L 为曲线L 在平⾯xoy 上的投影. 将z x y =??代⼊, 则()()()3L L y z dx z x dy x y dz ydx xdy ?+?+?=?∫∫ (下⾯利⽤格林公式)66D Sdxdy =?=?=?∫∫∫∫. 这⾥的计算有点⼩技巧, 由⼏何直观0:x y z π++=与球⾯2221y x z ++=的交线是以原点为圆⼼,半径为1的圆. 求⾯积0D 时不要蛮算, 要利⽤它是那个圆盘在xoy ⾯上投影这个条件.8. 设,,0x y z ≥, x y z π++=, 试求2cos 3cos 4cos x y z ++的最⼤值和最⼩值. 这其实是⼀道典型⼯科题, 思路很清晰,关键的困难在计算技巧上. 先消去z 化为⽆条件极值问题, 则2cos 3cos 4cos 2cos 3cos 4cos():(,)x y z x y x y f x y ++=+?+=, 其中定义域为{(,)|0,,0}D x y x y x y ππ=≤≤≤+≤是⼀个有界闭区域.求解思路很清晰, 先求边界上的最⼤值, 再求内部驻点的函数值. 最后放到⼀起⼀⽐较, 找出整体最⼤值和最⼩值.(1) 边界情况⽐较简单, 容易求出边界上最⼤值为5, 最⼩值为1. (2) 内部驻点值: 令(,)4sin()2sin 0(,)4sin()3sin 0x yx y x y x f x y x y y f =?+?==+?= 这是⼀个超越⽅程, 看起来也貌似没有整齐的解, 打击求解的信⼼.三⾓⼏何不分家, 从哪⾥来回哪⾥去. 容易看出上⾯⽅程若有解, 则均为正数(内部驻点).考虑⼀个三⾓形, 其内⾓分别为,,x y z , 相应的对边为,,a b c . 结合上⾯的⽅程组以及传说中的"正弦定理" :sin()sin sin c b ax y y x==+有如下关系, 2,34a c b c ==. 令6a t =, 则4,3b t c t ==. 再由传说中的"余弦定理"算得112943cos ,cos ,cos 243648x y z =?== 对应的驻点函数值为: 11294361234524364812×+×+×=>.放到⼀起⽐较结果就显然了, 最⼤值是6112, 最⼩值是1.9. 设()f x 在(,)a b 上连续且对任意(,)x a b ∈都有0()()lim0h f x h f x h h →++??≥证明()f x 在(,)a b 上单调不减.为叙述⽅便, 引⼊⼀个算⼦D 满⾜: 0()()()lim h f x h f x h Df x h →++??=.易知若()f x 可导, 则()2()Df x f x ′=.先证明⼀个⼗分有⽤的引理:设函数()[,]F x C αβ∈, 满⾜()()F F αβ>, 则存在(,)c αβ∈, 使得()0DF c ≤. 我们选取m 满⾜()()F m F βα<<. 考虑如下集合:{[,]|()}A x a b F x m =∈> 由()F x 的连续性知A ⾮空. 取sup c A =, 则 c αβ<<.由sup c A =定义知, 当(,]x c β∈时()F x m ≤. ⼜由点集A 的定义知上确界是极限点, 因此存在n a A ∈, n a c →. 令n n h c a =?, 则0n h →+及()n F c h m ?>. 当n 充分⼤时有, ()n F c h m ?>且()n F c h m +≤成⽴即()()0n n F c h F c h +??≤. 由下极限的最⼩性不难推出 ()0DF c ≤.说了半天可以回到原题了, 假设()f x 在(,)a b 上⾮单调不减, 则存在a b αβ<<<满⾜ ()()f f αβ>. 直接应⽤引理貌似会遇到"等号的困难". 所以我们要插⼊⼀个介值k 来加强证明. 选择这样⼀个正数k , 使得函数()()F x f x kx =+, [,]x αβ∈, 满⾜()()F F αβ>.显然只需满⾜()()0f f k αββα<在(,)c αβ∈, 使得()0DF c ≤. 进⽽有()20Df c k ≤?<, 与已知条件⽭盾!10. 已知()f x 是[0,)+∞上正的连续函数, 且满⾜01()dx f x +∞<+∞∫. 证明: 201lim ()AA f x dx A→+∞=+∞∫.由柯西不等式可知202222111()()4()()A A A A A A A A dx f x dx f x dx dx f x f x≤=≤?????∫∫∫∫即 22111()4()AA A f x dx dx f x A ≤???????∫∫. 再注意到210,()AAdx A f x →→+∞∫, 所以21lim ()AA f x dx A →+∞=+∞∫.。
随机过程试题及答案一、单项选择题(每题2分,共10分)1. 随机过程的数学定义中,通常需要满足哪些条件?A. 样本空间、概率测度、随机变量B. 样本空间、概率测度、随机函数C. 样本空间、随机变量、随机函数D. 概率测度、随机变量、随机函数答案:B2. 马尔可夫链的无记忆性指的是什么?A. 过程的未来状态仅依赖于当前状态B. 过程的未来状态仅依赖于过去的状态C. 过程的未来状态依赖于当前和过去的状态D. 过程的未来状态依赖于所有历史状态答案:A3. 在随机过程中,如果一个过程的任何有限维分布都是联合正态的,则称该过程为什么?A. 正态过程B. 高斯过程C. 联合正态过程D. 多元正态过程答案:B4. 以下哪个不是平稳随机过程的性质?A. 一阶矩不随时间变化B. 任意两个不同时间点的协方差仅依赖于时间差C. 过程的均值随时间变化D. 过程的自相关函数仅依赖于时间差答案:C5. 随机过程的谱密度函数与自相关函数之间的关系是什么?A. 互为傅里叶变换B. 互为拉普拉斯变换C. 互为Z变换D. 互为梅林变换答案:A二、填空题(每题3分,共15分)1. 如果随机过程的样本路径是连续的,则称该过程为_________。
答案:连续过程2. 随机过程的样本函数是定义在时间轴上的_________。
答案:随机变量3. 对于一个平稳过程,其自相关函数R(τ)仅依赖于时间差τ,而不依赖于绝对时间t,即R(t1, t2) = R(t1 - t2) = R(τ),其中τ = t2 - t1。
这种性质称为_________。
答案:时间平移不变性4. 随机过程的遍历性是指过程的_________等于其统计平均。
答案:时间平均5. 随机过程的遍历性分为_________遍历性和_________遍历性。
答案:强,弱三、简答题(每题10分,共20分)1. 简述什么是泊松过程,并给出其概率质量函数。
答案:泊松过程是一种描述在固定时间或空间间隔内随机事件发生次数的随机过程。