4-1 按行业分全国历年城市市政公用设施建设固定资产投资(1978-2015)
- 格式:xls
- 大小:29.50 KB
- 文档页数:6
十五年数据告诉你市政工程行业的四大发展趋势随着我国城镇化进程的快速推进,以及政府在市政工程建设方面的固定资产投资不断增长,在未来5-10年中,市政工程建设市场的容量将继续增加,对建筑企业来说,市政建设领域仍存在较大的发展机遇。
那么未来发展的重点在哪里?通过分析15年历史数据(包括城市和县城,乡镇数据均不纳入统计),本文总结了市政工程行业的四大发展趋势,希望能对建筑企业有所启示。
1建设投入从快速增长到稳定发展1978年我国市政公用设施固定资产投资12亿元,占全社会固定资产投资总额的1.8%。
2000年之后开始突破2000亿元,并进入快速增长期,尤其在2009年国家四万亿投资之下,投资额实现两连跳,迅速从2008年的9000亿元突破到2009年的1.2万亿,再到2010年的1.6万亿,占同期全社会固定资产投资总额的比例达到6.3%。
在历经10年的投资高速增长后,市政公用设施建设大体完成,2012年之后投资开始进入稳定增长通道,近几年的投资额基本稳定在2万亿左右,占同期全社会固定资产投资总额的比例持续下降。
2016年全国市政公用设施建设固定资产投资总额为2.1万亿元,占同期全社会固定资产投资总额的3.4%。
2建设能力显著增强,但城市、县城差距仍较大改革开放30多年来,各地加快市政公用设施建设投资体制改革,积极开辟资金渠道,加大资金投入,相继建设了一大批供水、燃气、供热、道路、公共交通、污水处理和生活垃圾处理、公园绿地等项目,设施服务水平显著提高,城市功能大大增强。
近15年来,市政公用设施建设的各项数据均翻了好几番,其中轨道交通和污水处理厂的建设增长速度尤其之快,已建成轨道交通长度从2002年的200公里增加到2016年的3586公里,年均复合增长率达23%;城市污水处理率从2002年的40.0%提高到2016年的93.4%;但总体来说,城市、县城市政公用设施建设能力仍存在较大差距,未来,随着城市市政公用设施建设不断饱和,县城的市政公用设施建设也将成为市政工程企业区域发展的方向之一。
2024年投资项目管理师之宏观经济政策题库综合试卷B卷附答案单选题(共45题)1、国债具有( ),是一种预期的财政支出,这一特点和无偿性的税收是不同的。
A.自愿性B.偿还性C.信用性D.国际性【答案】 B2、由出让人代表,有关专家组成评标小组,成员人数为( )人以上的单数。
A.3B.5C.7D.9【答案】 B3、为了有效使用土地,( )对土地的归属、使用、监督检查等作了明确的规定,是我国进行土地管理的基本依据。
A.《中华人民共和国宪法》B.《中华人民共和国资源法》C.《中华人民共和国土地管理法》D.《中华人民共和国环境保护法》【答案】 C4、关于货币政策特征的表述,不正确的是( )。
A.货币政策以短期目标为主,长期目标为辅B.货币政策调节的对象是货币供应量C.货币政策属于间接调控的经济手段D.货币政策涉及国民经济发展全局【答案】 A5、( )是指导发展的世界观和方法论的集中体现,是我们党对社会主义现代化建设指导思想的重大发展。
A.文化发展观B.经济发展观C.政治发展观D.科学发展观【答案】 D6、( )是指外商通过注入资金获得我国企业资产的部分或全部所有权,包括外资并购方和我国被并购方通过谈判达成协议进行收购,外资企业通过资本市场或拍卖市场进行收购等。
A.企业收购B.企业合资C.企业联合D.企业兼并【答案】 D7、综合反应社会经济活动中物化劳动消耗的经济效益指标是( )。
A.资金利税率B.固定资金产出率C.社会物质生产消耗率D.社会劳动生产率【答案】 C8、健全合作机制就是要鼓励和支持各地区开展多种形式的区域经济协作和技术、人才合作,形成( ),中西共同发展的格局。
A.以东带西B.中西共进C.以西带东D.中西协作【答案】 A9、实现我国宏观经济管理目标和主要任务的两个主要调控手段是( )。
A.国民经济计划和生产力布局规划B.宏观经济政策和经济社会发展规划C.可持续发展战略和宏观经济政策D.经济社会发展战略和国土规划【答案】 B10、下列( )属于强化环境污染防治的“三湖”之一。
2011年咨询工程师考试《宏观经济政策与发展规划》临考冲刺试卷(5)总分:130分及格:78分考试时间:150分一、单项选择题(共60题,每题1分。
每题的备选项中,只有1个最符合题意)(1)“十一五”时期的文化产业发展应一手抓(),一手抓经营性文化产业。
(2)下列产品单位耗能(标准煤)最低的是()。
(3)下列选项中,关于净投资、重置投资、折旧和总投资的表述,不正确的是()。
(4)科学发展观提出()的主要要求,将发展看做是相互推进、系统协调的过程。
(5)(2010年真题)根据我国土地利用总体规划纲要,下列关于我国土地利用目标的说法,正确的是()。
(6)公开市场业务是指中央银行从公开市场上()或出售政府债券。
(7)(2009年真题)我国《西部大开发“十一五”规划》确定了一批国家优势矿产资源开采及加工基地,其中铜的开采加工基地位于()。
(8)到2010年,我国高用水行业主要产品单位用水量指标总体达到或接近20世纪90年代初期国际先进水平,其中()达到21世纪初国际先进水平。
(9)(2010年真题)根据《中华人民共和国循环经济促进法》,国家鼓励和支持行业协会在循环经济发展中发挥()作用。
(10)在资产评估的基本方法中,()是指按市场现行价格作为价格标准,据以确定资产价格的一种评估方法。
(11)金融机构之间进行短期资金拆借活动的市场被称为()。
(12)财政政策的控制功能主要是由()决定的。
(13)促进区域协调发展的目标在于()。
(14)(2008年真题)我国《国家中长期科学和技术发展规划纲要(2006~2020年)》提出,“十一五”期间,我国科技进步对经济增长的贡献率要达到()以上。
(15)(2009年真题)“十一五”期末,我国一次能源消费总量达到22.5亿t标准煤,在世界能源消费大国中排名()。
(16)下列行为中,无需对企业资产进行评估的是()。
(17)()能力是国家竞争力的核心。
(18)我党必须保持国民经济持续、快速、协调、健康发展,在()、提高效益的基础上实现平稳较快增长。
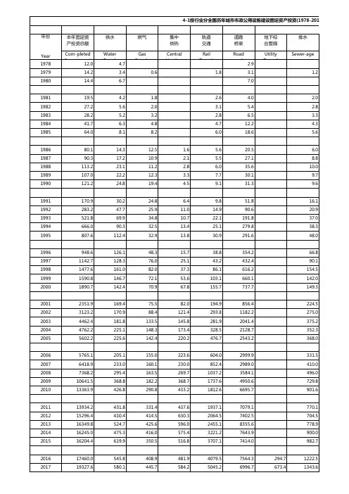
3 全国历年城市维护建设资金收支(1978-2013)注:1.自2006年起,城市维护建设资金收入仅包含财政性资金,不含社会融资。
地方财政拨款中包括省、市财政专项拨款和市级换收入及其他财政性资金。
2.1978年至1984年,1988年至1990年供水支出为公用事业支出;1978年至2000年道路桥梁支出为市政工程支出,包含道路、桥梁3.自2006年起,城市维护建设资金支出仅包含财政性资金,不含社会融资。
Note: 1.Since 2006, national revenue of urban maintenance and construction fund includes the fund fiscal budget, not including social fund expansion of municipal utilites capacity, fee for use of municaipal utilities,land drainage facilities, water resource fee, property displace fee and so on.2.Data in the water supply column from 1978 to 1984 and from 1988 to 1990 reder to expenditure of public utilities; Data in the bridge and3.From 2006, expenditure of Urban maintenance and construction fund includes the fund from fiscal buget, not including society fund.3 National Revenue and Expenditure of Urban Maintenance andConstruction Fund in Past Years(1978-2013)和市级以下财政资金;其他收入中包括市政公用设施配套费、市政公用设施有偿使用费、土地出让转让金、资产置、桥梁、排水等。
一、单项选择题(共60题,每题1分,每题的备选项中,只有1个最符合题意)1.某项目建筑安装工程费,设备施工器具购置费合计为7000万元,建设期2年,分期投入4000万元和3000万元。
建设期内预计年平均价格总水平上浮率为5%,建设期贷款利息为735万元。
工程建设其他费用为400万元。
基本预备费率为10%,流动资金为800万元,则该项目的静态投资为()万元A.8948.5B.8140C.8940D.9748.5【参考答案】B【解析】本题计算需要掌握投资的构成、分类、以及基本预备费的计算基数。
首先建设投资可以分为静态投资和动态投资两部分。
静态投资由建设安装工程费、设备及工器具购置费、工程建设其他费和基本预备费组成。
本题中的基本预备费没有直接给出,需要用公式计算,基本预备费=(建安工程费+设备及器具购置费+工程建设其他费用)×基本预备费费率。
涨价预备费、建设期利息、流动资金等数据是干扰信息,此处不能计入。
静态投资=(7000+400)*(1+10%)=8140万元。
2.根据《建设工程工程量清单计价规范》(GB50500——2013),工程变更引起施工方案改变并使措施项目发生变化时,承包人提出调整措施项目费用的,应事先将()提交发包人确认。
A.拟实施的施工方案B.索赔意向通知C.拟申请增加的费用明细D.工程变更的内容【参考答案】A【解析】本题考查的是工程变更价款的确定方法。
工程变更引起施工方案改变并使措施项目发生变化时,承包人提出调整措施项目费的,应事先将拟实施的方案提交发包人确认,并应详细说明与原方案措施项目相比的变化情况。
措施费的调整,承包人需要提交施工方案报发包人批准是常识,也在教材中多次出现,参见教材P246第1段、P256倒数第2段、P268(二)措施项目费调整的第1段。
3.某施工企业生产所需甲材料,年度采购总量为200吨,每吨单价为1000元,一次订货成本为100元,每吨材料的平均储备成本为400元,则该材料的经济采购批量为()吨。
结合政策法规解读我国城市轨道交通的发展历程梅建萍【摘要】回顾了我国近60 a城市轨道交通的发展历程,尤其是改革开放40 a来的发展情况.从各城市维护建设资金收入和支出等方面,结合政策法规的引导来解读城市轨道交通从起步到成长再到快速发展的过程.对新形势下的城市轨道交通发展提出了相应的建议.【期刊名称】《城市轨道交通研究》【年(卷),期】2019(022)003【总页数】7页(P1-6,110)【关键词】中国;城市轨道交通;发展历程;政策法规【作者】梅建萍【作者单位】中国城市轨道交通协会,100038,北京【正文语种】中文【中图分类】F570.73城市轨道交通(以下简为“城轨交通”)作为大容量、快速、高效、环保的公共交通系统,对促进经济社会发展、优化城市空间布局、转变交通出行模式和提高出行质量具有巨大作用。
我国城轨交通作为城市的重要基础设施,其发展伴随着改革开放的发展进程,与城市经济增长密切相关,对经济的增长有明显的拉动作用,其产生的宏观社会效益大于企业本身的微观经济效益。
近年来,通过国家政策和自主创新的推动,城轨交通快速发展,并且不断向世界先进水平迈进。
1 城轨交通发展的两个主要时期回顾我国近60 a城轨交通的发展历史,大体可分为起步和快速发展两个主要时期[1]。
1.1 起步时期(1965—2000年)1965—2000年是我国城轨交通的起步时期,以1978年改革开放为界划分为起步和成长两个阶段。
1.1.1 起步阶段(1965—1978年)1953年开始实施国民经济第一个五年计划,北京市委从城市发展和战备的角度出发,首次提出了修建地下铁道的战略设想,并得到中央的认可。
1956年10月北京市地下铁道筹建处成立后,地铁筹建、规划、设计和勘探试验工作在苏联专家指导下相继展开,1961年底因国民经济困难而暂时搁置。
1965年中央批准了北京地下铁道“一环两线”实施方案,1965年7月1日举行北京地铁开工典礼,标志着中国第一条地铁线路正式开建。
2023年咨询工程师(经济政策)题库第一部分单选题(100题)1、()是通过国家立法和政府行政干预,解决社会问题,促进社会安全,改善社会环境,增进社会福利的一系列政策、行动准则和规定的总称。
A.产业政策B.牛产文明建设C.社会政策D.财政政策【答案】:C2、计税时允许纳税人从计税依据中将外购固定资产价款全部扣除的增值税类型是()A.消费型增值税B.收入型增值税C.生产型增值税D.支出型增值税【答案】:A3、完善新型城镇化战略,推进以县城为重要载体的城镇化建设,稳步有序推动符合条件的县和镇区常住人口()万以上的特大镇设市"A.10B.15C.20D.25【答案】:C4、省级国土空间规划侧重()。
A.全面性B.实施性C.协调性D.战略性【答案】:C5、2018年2月发布的《改革开放40年中国人权申业的发展进步》白皮书指出,过去40年中国共减少贫困人口()多人,对全球减贫贡献率超()A.8.5亿70%B.8.0亿60%C.8.5亿75%D.7.5亿70%【答案】:A6、《中共屮央国务院关于新时代加快完善社会主义市场经济体制的意见》,该文件提出的政策属于()A.产业组织政策B.产业布局政策C.产业结构政策D.产业金融政策【答案】:A7、到()年,我国总体实现教冇现代化,迈入教疗强国行列,推动我国成为学习大国、人力资源强国和人才强国.A.2025B.2030C.2035D.2050【答案】:C8、必须使()在资源配置中起决定性作用。
A.政府B.市场C.深化体制改革D.人民【答案】:B9、优化中心城区城市道路网结构和布局,应贯彻的理念是()oA.宽路网,低密度B.大街区,窄路幅C.全互通,大流量D.小街区,密路网【答案】:D10、房产税按照房产余值计算应纳税额的,适用税率为()。
A.1.0%B.10%C.12%D.1.2%【答案】:D11、如果边际储蓄倾向为0.2,投资支出增加200亿元,则国民收入()°A.增加1000亿元B.减少1000亿元C.增加50亿元D.减少50亿元【答案】:A12、均衡价格是指()相等时的价格.A.市场价格和供给价格B.需求量和供给量C.需求价格和供给价格D.成本价格和市场价格【答案】:B13、保护黄河是事关中华民族伟大复兴的千秋大计,原因不包括()。
2023年咨询工程师之宏观经济政策与发展规划高分通关题库A4可打印版单选题(共45题)1、下列行为中,属于经济学意义的投资是()。
A.购买股票B.土地使用权转让C.购买新设备D.发行债券【答案】 C2、2015 年中央经济工作会议提出各地区各部门以( )为主线,全力落实“三去一降一补”,即去产能、去库存、去杠杆、降成本、补短板五大任务。
A.信息化和工业化深度融合B.工业化和城镇化良性互动C.城镇化和农业现代化相互协调D.推进供给侧结构性改革【答案】 D3、直接投资是指政府安排政府投资资金投入(),并由政府有关机构或其指定、委托的机关、团体、事业单位等作为项目法人单位组织建设实施的方式。
A.准经营性项目B.经营性项目C.非经营性项目D.使用贷款的投资项目【答案】 C4、设全国在建项目截止上年底累计已完成投资10万亿元,本年投资规模为4万亿元,在建项目尚需完成投资8万亿元,则该年度在建项目的建设周期为()年。
A.2.0B.2.5C.4.5D.5.5【答案】 D5、我国依法依规对银行业和保险业机构及其业务范围实行准入管理的是()。
A.银保监会B.银行业协会C.银行业交易商协会D.中国人民银行【答案】 A6、(2021年真题)一带一路建设的优先领域是()。
A.政策沟通B.贸易畅通C.资金融通D.基础设施互联互通【答案】 D7、国务院《关于进一步实施东北地区等老工业基地振兴战略的若干意见》提出,开工建设三条铁路客运专线,分别是()A.京沈、沈大、沈丹B.京沈、沈大、大丹C.京沈、沈丹、长吉D.京沈、沈丹、哈齐【答案】 D8、影响总供给的基本决定因素是()。
A.货币政策B.生产成本C.财政政策D.潜在产出【答案】 D9、一般情况下,商品价格与需求数量之间的变动关系是( )。
A.价格变动,需求数量同方向变动B.价格变动,需求数量保持不变C.价格变动,需求数量反方向变动D.两者之间无稳定的变动规律【答案】 C10、下列关于政策性银行的说法错误的是()。
投资项目管理师之宏观经济政策综合提升模拟题库单选题(共20题)1. ( )由政府土地部门采取招标、拍卖和挂牌方式转让国有土地。
A.征收方式B.出售方式C.划拨方式D.出让方式【答案】 A2. 产业政策的实质是政府以实现特定的产业发展目标对经济活动的一种自觉干预。
这体现了产业政策具有( )。
A.协调性B.导向性C.组合性D.干预性【答案】 D3. 按( )可将固定资产投资分为新建项目、扩建项目、改建项目。
A.行业分类B.投资主体分类C.项目建设性质分类D.项目建设阶段分类【答案】 C4. 标志着我国环境影响评价制度正式确立的是( )。
A.《环境影响评价法》B.《环境保护工作汇报要点》C.《国家环境政策法》D.《环境保护法(试行)》【答案】 D5. 加强宽带通信网、( )和下一代互联网等信息基础设施建设,推进“三网融合”,健全信息安全保障体系。
A.数字电视网B.银行行行通C.电视购物网D.有线电视网【答案】 A6. 财政的( )是指税收的征纳是无偿的,即每一个纳税人都无权要求从公共支出中享受与其纳税额等值的福利。
A.偿还性B.无偿还性C.无直接偿还性D.强制性【答案】 C7. 下列关于货币的说法,错误的是( )。
A.货币的产生和发展是一种社会历史现象B.货币的形态随着社会生产的不断扩大也不断改变着C.现代货币的形式是代表货币D.电子货币是新型的信用货币【答案】 C8. ( )是指财政的分配活动对社会总需求的影响比较温和,财政收支总量在原有基础上只做小幅度调整,而主要对收入结构或支出结构做适度调整,对总需求既不产生扩张效应,也不产生紧缩性效应的政策。
A.稳定的财政政策B.中性的财政政策C.扩张性财政政策D.紧缩性财政政策【答案】 B9. 存款货币是能够发挥货币作用的银行存款,主要是指能够通过签发支票办理转账结算的( )。
A.企业存款B.国库券C.活期存款D.定期存款【答案】 C10. 坚持保护优先,开发有序,以控制不合理的( )活动为重点,强化对水源、土地、森林、草原、海洋等自然资源的生态保护。