流体力学A 6-1
- 格式:ppt
- 大小:923.50 KB
- 文档页数:42
第一章 流体及其物理性质1-1 已知油的重度为7800N/m 3,求它的密度和比重。
又,0.2m 3此种油的质量和重量各为多少?已已知知::γ=7800N/m 3;V =0.2m 3。
解析:(1) 油的密度为 3kg/m 79581.97800===gγρ; 油的比重为 795.01000795OH 2===ρρS (2) 0.2m 3的油的质量和重量分别为 kg 1592.0795=⨯==V M ρN 15602.07800=⨯==V G γ 1-2 已知300L(升)水银的质量为4080kg ,求其密度、重度和比容。
已已知知::V =300L ,m =4080kg 。
解析:水银的密度为 33kg/m 13600103004080=⨯==-V m ρ 水银的重度为3N/m 13341681.913600=⨯==g ργ水银的比容为 kg /m 10353.7136001135-⨯===ρv1-3 某封闭容器内空气的压力从Pa 提高到Pa ,温度由20℃升高到78℃,空气的气体常数为287.06J/k g ·K 。
问每kg 空气的体积将比原有体积减少多少?减少的百分比又为多少?已已知知::p 1=Pa ,p 2=Pa ,t 1=20℃,t 2=78℃,R =287.06J/k g ·K 。
解析:由理想气体状态方程(1-12)式,得 kg /m 83.0101325)27320(06.2873111=+⨯==p RT v kg /m 166.0607950)27378(06.2873222=+⨯==p RT v kg /m 664.0166.083.0321=-=-v v%80%10083.0166.083.0%100121=⨯-=⨯-v vv 每kg 空气的体积比原有体积减少了0.664m 3;减少的百分比为80%。
1-4 图示为一水暖系统,为了防止水温升高时体积膨胀将水管胀裂,在系统顶部设一膨胀水箱,使水有膨胀的余地。
第六章流体节流与缝隙流动(了解各种节流及缝隙流动现象,理解影响流量的因素,理解偏心状缝。
掌握气蚀现象。
) §6.1 流体的节流节流:管道内流体流经断面突然缩小的截面后,又进入和以前一样断面的管道,致使压力下降的现象,称为节流。
一、气体节流气体节流后各参数的变化规律,表6-1进行简要分析二、液体节流缝隙中油液产生运动的原因:1)缝隙两端存在压力差;1)组成缝隙的壁面存在相对运动;3)缝隙大小的变化。
缝隙中油液的运动大都呈稳定层流:1)缝隙高度与其长度宽度相比很小,液体在缝隙中流动时受固体壁面的影响;2)油液具有一定的粘度,Re一般很小。
§6.2 液体在小孔中的流动通道截面为圆孔型(分为薄壁小孔型和细长小孔型)。
l d≤。
薄壁小孔:当横隔板壁厚L与孔口直径d之比小于0.5,即/0.5l d>。
液压和润滑系统中的导油管。
细长小孔:小孔的长径比/4§6.3 液体流经平面缝隙平面缝隙:由两平行平面夹成的缝隙。
齿轮泵齿顶与泵壳之间的油液运动,柴油机中滑块与导板之间的油液流动。
结论:1)缝隙中液体流速按抛物线规律分布的;2)流经平面缝隙的流量与缝隙厚度δ的三次方成正比,和动力粘度μ成反比。
§6.4 液体流经同心环状缝隙同心环状缝隙:由内外两个同心圆柱面所围成的缝隙。
结论:流经平面缝隙的流量与缝隙厚度δ的三次方成正比。
§6.5 液体流经偏心环状缝隙偏心环状缝隙:在船舶机械中的环状缝隙,当运动部件装配不当或工作受力不均时,同心环状缝隙就变成偏心环状缝隙。
结论:流经偏心环状缝隙的流量与偏心距成正比,偏心距最大时,泄漏量为同心环状缝隙的2.5倍。
§6.6 液体流经具有相对运动的平行面缝隙喷油泵中的柱塞泵。
类型:(1、2、3)1)平行剪切流动∆=p,由于液体粘滞性,通过平行板的运动液体运动。
2)压差流动液体的运动,在缝隙两端的压差作用下实现。
3)压差与剪切流动的合成液体的运动,在缝隙两端的压差和平行剪切力的作用下共同实现。
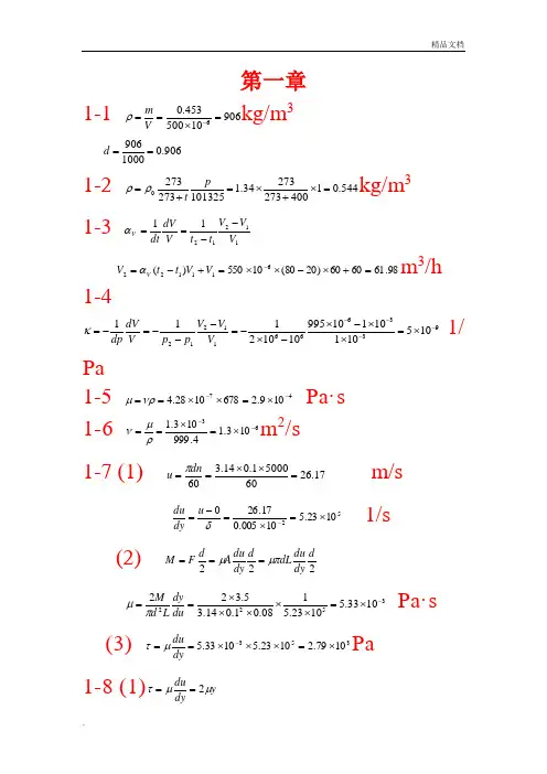
第一章1-190610500453.06=⨯==-V m ρkg/m 3906.01000906==d1-2544.0140027327334.11013252732730=⨯+⨯=+=p t ρρkg/m 31-3 1121211V V V t t V dV dt V--==α98.616060)2080(10550)(611122=+⨯-⨯⨯=+-=-V V t t V V αm 3/h1-4933666112121051011011099510102111----⨯=⨯⨯-⨯-⨯-=---=-=V V V p p V dV dp κ1/Pa1-5 47109.26781028.4--⨯=⨯⨯==νρμ Pa·s1-6 63103.14.999103.1--⨯=⨯==ρμνm 2/s 1-7 (1) 17.266050001.014.360=⨯⨯==dnu π m/s 521023.510005.017.260⨯=⨯=-=-δu dy du 1/s(2)222ddy du dL d dy du A d FM μπμ===35221033.51023.5108.01.014.35.322-⨯=⨯⨯⨯⨯⨯==du dy L d M πμ Pa·s(3)3531079.21023.51033.5⨯=⨯⨯⨯==-dyduμτPa1-8 (1)y dydu μμτ2==(2)μμμμτ2122=⨯===y dydu 1-9 (1)hu bL dy duAF 022μμ==(2) 当2h y =时,h u dy duμμτ== (3)当h y 23=时,0u u = 所以0==dy duμτ 1-102903.03.0133)(112121=⨯⨯==+=+=μμμμdy du A dy du AF F F N967.01=μ Pa·s933.1212==μμ Pa·s 1-11 dr rr dr r r r dA dy du r dF dM αδπωμαπδωμμsin 2sin 203=-=⋅=⋅= αδαπωμααδπωμαδπωμαδπωμαααcos 24)(sin 2sin 2sin 234403030tg H Htg dr r dr r dM M Htg Htg Htg =====⎰⎰⎰1-1262.26020025.014.360=⨯⨯==dnu πm/s3925.050.025.014.3=⨯⨯==dL A πm 2331022.4102.0062.23925.082.0⨯=⨯-⨯⨯==-dy du AF μN 05.1162.21022.43=⨯⨯==Fu P kW 1-130841.0100092.0109144.04=⨯⨯⨯==-νρμ Pa·s 1459.03048.01524.014.3=⨯⨯==dL A πm 22.7361024.1526.152061459.00841.03=⨯--⨯⨯==-dydu AF μN42.462.736=⨯==Fv P kW1-14dr r r r rdr r dy du dAr dF dM 3202δμπωδωπμμ=-⋅==⋅=δμπωδμπω3224203d dr r dM M d A===⎰⎰ 1-15 785.0125.014.3=⨯⨯==dL A πm 23610258.4001.003.0785.01008.18--⨯=-⨯⨯⨯==dy du AF μN 1-161884.03.02.014.3=⨯⨯==Db A πm 2δμδμμ20u Au u A u dy du A Fu N =-=== 9374.01884.0245.01008.07.502=⨯⨯⨯==-A N u μδm/s9056.892.014.39374.06060≈=⨯⨯==D u n πr/min1-17 082.091810893.04=⨯⨯==-νρμ Pa·s75.14103.003.01.08.1082.03=⨯-⨯⨯⨯==-dy du A F μN 1-18 由1-14的结果得2.791023.096046.09014.31044003032323424424=⨯⨯⨯⨯⨯⨯=⨯==--δμπδμπωnd d M N·m1-19dydu AF 00μ=dyduAF 120120μ=%7.86015.0002.0015.00120001200=-=-=-μμμF F F1-203.29105.0324.0105.08.910000728.098.1324.098.1332=⨯⨯-⨯⨯⨯⨯=-=--r gr h O H ρσmm1-217.11)105.0216.0105.08.91000513.053.1()216.053.1(33=⨯⨯-⨯⨯⨯⨯-=--=--r gr h Hg ρσmm1-22 由2642322δδδδρσ-++=RR g h 得δδδδρσ4622223+⎪⎪⎭⎫ ⎝⎛-+=R R h g其中 ()θθδsin 1cos -=R则 ()⎥⎦⎤⎢⎣⎡+++=22sin 13sin 21cos 2θθθρσR h gR1-23 根据牛顿内摩擦定律 drdV μτ-= 由于流速u 随半径r 的增加而减小,即drdu是负值,为了使τ为正值,上式在等号右端取负号根据已知条件 rr D drd 2)]4(4[22βμβμτ=--=在管壁处2D r = 则4221DDββτ==当4D r =时 4222DDββτ==管壁处的阻力 L D DL DA F 21414βππβτ===1-24maF G =- 其中18.98.990===g Gm (kg )则 )61.0(18.990-⨯=-F 60.95=F N由dydu A F μ= 其中0583.01219.015228.014.3=⨯⨯==DL A πm 2 6.248979100245.001.603=⨯-=-=-δu dy du 1/s 则310586.6006586.06.2489790583.06.95-⨯==⨯==dydu A F μ Pa·s第二章2-1112.2128.08.910009.08.913600105122=⨯⨯-⨯⨯+=-+=gh gh p p O H Hg a A ρρkPa2-2 08.140599.08.91594)0(=⨯⨯=∆--=-=h g p p e vρPa 92.8726508.14059101325=-=-=vap p p Pa2-3 gh gh p BA e ρρ=+ 且 1.015.025.0=-=h m (a) 9801.08.91000)(=⨯⨯=≈-=gh gh p BA B e ρρρPa 102305980101325=+=+=ea p p p Pa(b) 4.8131.08.9100083.0)(=⨯⨯⨯=≈-=gh gh p BA B e ρρρPa 4.1021384.813101325=+=+=ea p p p Pa(c) 123481.08.9)100013600()(=⨯⨯-=-=gh p AB e ρρPa 11367312348101325=+=+=ea p p p Pa2-4 设A 点到下水银面的距离为h 1,B点到上水银面的距离为h 2 BOH HgOH Ap gh gh gh p =+-+2122ρρρ04.348.521+=+-h h h 即44.221+=+h h h305.18.9)100013600(8.9100044.210)372.1744.2()(44.2522=⨯-⨯⨯+⨯-=-+-=gg p p h O H Hg OH B A ρρρm 2-5 44.03000027.025.10027.025.1=⨯-=-=s s t ρkg/m 3 gHp gH p a a s s ρρ-=-6.166208.9)44.029.1()(=⨯⨯-=-=-gH p p s a s a ρρPa2-64.1340638.9100012.08.913600312.02=⨯⨯+⨯⨯-=⨯+⨯-=g g p O H Hg e ρρPa2-7 223311gh gh p gh p BAρρρ++=+ (1)112233100010001000gh d gh d gh d p p BA-++=16.08.983.0100008.08.96.13100012.08.983.010********.68⨯⨯⨯-⨯⨯⨯+⨯⨯⨯+⨯=287.79=kPa(2)332211100010001000gh d gh d gh d p p A B --+=12.08.983.0100008.08.96.13100016.08.983.010*******.137⨯⨯⨯-⨯⨯⨯-⨯⨯⨯+⨯=96.127562=Pa563.319600096.127562=-=-=a B Be p p p kPa2-8 设401=h cm 22=h m 33=h m)(32112h h g p gh gh gh p BBHgAAA+-=+--ρρρρ 11232)(gh gh gh h h g p p HgAABBAρρρρ-+++-=4.08.9136004.08.97.85628.97.856)32(8.93.1254200000⨯⨯-⨯⨯+⨯⨯++⨯⨯-=377.105=kPa2-9 (1)93.138545sin 2.08.91000sin =⨯⨯⨯==-οαρgL p p BAPa(2)3530sin 8.980093.1385sin =⨯⨯=-=οαρg p p L BA cm 2-10 666405.08.9136001=⨯⨯=∆=h g p Hg ρPa68.08.91000666422=⨯==∆gph O H ρm2-111022gh p gh p O H Hg a ρρ+=+4032gh p gh p O H Hg a ρρ+=+整理得)(1321422h h h h Hg Hg O H OH ρρρρ+-=)3.0136002.0136005.01000(10001⨯+⨯-⨯=86.1=m 2-12 )()()(112342h H g h h g h h g p p O H HgHga---+-+=ρρρ)5.15.3(8.91000)5.15.2(8.913600)0.13.2(8.913600105-⨯⨯--⨯⨯+-⨯⨯+=386944=Pa2-13 gh h g p HgAρρ=++)84.0(85.1138.9)100075.013600(84.08.9100075.010372.1)(84.05=⨯⨯-⨯⨯⨯+⨯=-⨯+=g g p h HgAρρρcm 2-14 )0.343.3(1000)74.22.3(1000-⨯-=-⨯+g d g d p BA862.043.08.9100046.08.9100060.110845=⨯⨯-⨯⨯⨯+-=Bd 2-15 59.0)59.0(22⨯++-=-g z g p gz p HgOH BOH Aρρρ 整理:853.7259.08.9)100013600(59.059.02=⨯⨯-=⨯-⨯=-g g p p OH Hg B A ρρkPa2-16 设差压计中的工作液体密度为ρ' )()()(213241h h g h h g p h h g p BA-'---=--ρρρ )()(213241h h g h h h h g p p p BA-'-+--=-=∆ρρ)48.381.3(8.9100075.0)00.348.310.081.3(8.910005.1-⨯⨯⨯-+--⨯⨯⨯==5.45055Pa065.38.910005.15.45055=⨯⨯=∆g p ρ m2-17112233100010001000gh d gh d gh d p p A B ---=44.28.975.0100052.18.9110006.08.96.131000274600⨯⨯⨯-⨯⨯⨯-⨯⨯⨯-=161802=Pa 2-1882.38)34.01360053.0100025.1(8.934.053.0-=⨯-⨯⨯⨯=⨯-⨯=g g p Hg A ρρkPa2-19 (1) 981010018.910004=⨯⨯⨯⨯==-ghA F ρN(2) 95.1)99.01001.001.0(8.910004=⨯+⨯⨯⨯==-gV G ρN 2-20 证明:如书中证明过程。
基础知识-流体力学(二)(总分109,考试时间90分钟)单项选择题(下列选项中,只有一项符合题意)1. 理想流体的基本特征是( )。
A.黏性系数是常数 B.不可压缩C.无黏性 D.符合牛顿内摩擦定律2. 一管径d=50mm的水管,在水温t=10℃时,管内要保持层流的最大流速是( )m/s。
(10℃时水的运动黏滞系数μ=1.31×10-6m2/s)A.0.21 B.0.115 C.0.105 D.0.05253. 根据静水压强的特性,静止液体中同一点各方向的压强( )。
A.数值相等 B.数值不等C.仅水平方向数值相等 D.铅直方向数值最大4. 如图6-1-1所示,在上部为气体下部为水的封闭容器上装有u形水银测压计,其中1、2、3点位于同一平面上,其压强的关系为( )。
A.p1<p2<p3 B.p1>p2>p3 C.p2<p1<p3 D.p2=p1=p35. 盛水容器a和b的上方密封,测压管水面位置如图6-1-3所示,其底部压强分别为pa和pb。
若两容器内水深相等,则pa和pb的关系为( )。
A.pa>pb B.pa<pb C.pa=pb D.无法确定6. 图6-1-4所示弧形闸门AB(1/4圆),闸门宽4m,圆弧半径R=1m,A点以上的水深H=1.4m,水面为大气压强。
该闸门AB上静水总压力的水平分力Px为( )kN。
A.54.88 B.112.9 C.94.08 D.74.487. 连续介质模型既可摆脱研究流体分子运动的复杂性,又可( )。
A.不考虑流体的压缩性B.不考虑流体的黏性C.运用高等数学中连续函数理论分析流体运动D.不计流体的内摩擦力8. 关于流体的黏性,下列叙述错误的是( )。
A.流体的黏性系数随温度的升高而增大B.流体的黏性是产生能量损失的根源C.黏性就是流体具有抵抗剪切变形的能力D.流体具有内摩擦力的特性就是流体的黏性9. 随温度的升高,( )。
A.液体和气体的黏度都增大 B.液体黏度降低,气体黏度增大C.液体黏度增大,气体黏度降低 D.液体和气体的黏度都降低10. 某平面流动的流速分布方程为:μx=2y-y2,在固壁处y=0,流体的动力黏度为μ=0.8×10-3Pa·s,距壁面y=7.5cm处的黏性切应力τ为( )Pa。
第六章 孔口、管嘴出流与有压管流6-1 在水箱侧壁上有一直径50mm d =的小孔口,如图所示。
在水头H 的作用下,收缩断面流速为 6.86m/s C V =,经过孔口的水头损失0.165m w h =,如果流量系数0.61μ=,试求流速系数ϕ和水股直径c d 。
解:根据伯努利方程:22.51m 2c w V H h g=+= 流速系数0.9672c cV V V gHϕ=== 2c c Q A gH AV μ==,39.71mm cd = 6-2 图示一船闸闸室,闸室横断面面积2800m A =,有一高2m h =、宽4m b =的矩形放水孔。
该孔用一个速度0.05m/s v =匀速上升的闸门开启。
假设初始水头15m H =,孔口流量系数0.65μ=,孔口出流时下游水位保持不变。
试求(1)闸门开启完毕时闸室中水位降低值y ;(2)闸室水位与下游平齐所需要的总时间T 。
解:(1)闸门完全开启所用的时间:40s ht v== 此段时间内孔口的面积可用孔的平均面积来表示:24m A =因为40s T ==所以:2 3.796m H =,12 1.204m y H H =-=(2)闸门完全打开后,防水孔的面积:28m A bh '== 液面降到与下游液面平齐所需要的时间因为135.41s T '==所以175.41s T t T '=+=6-3 贮液箱中水深保持为 1.8m h =,液面上的压强070kPa p =(相对压强),箱底开一孔,孔直径50mm d =。
流量系数0.61μ=,求此底孔排出的液流流量。
解:根据伯努利方程:202p V h g gρ+= 215.9L/s 4Q d V πμ==6-4 用隔板将矩形水池中的水体分成左右两部分,如图所示,右半部分水面保持恒定,隔板上有直径10.1m d =的圆形孔口,位于右半部液面下1 4.8m H =处。
在左半部分的侧面与前一孔口相同的高度处开有直径20.125m d =的圆形孔口,当水池两半部分的水面稳定后,试求左半部水面高度计孔口出流流量。
第六、七、八章习题简答6-1 假设自由落体的下落距离s与落体的质量m,重力加速度g及下落时间t有关,试用瑞利法导出自由落体下落距离的关系式。
解:首先将关系式写成指数关系:s=Km a g b t c其中,K为无量纲量,也称无量系数。
各变量的量纲分别为:dim s=L,dim W=MLT-2,dim t= T,dim g=LT-2。
将上式指数方程写成量纲方程:L=( MLT-2) a ( LT-2) b ( T) c根据物理方程量纲一致性原则得到M:0=aL:1=a+bT:0=-2a-2b+c得出a=0 b=1 c=2代入原式,得s=Km0gt2即s=Kgt2注意:式中重量的指数为零,表明自由落体距离与重量无关。
其中系数K须由实验确定。
6-7已知矩形薄壁堰的溢流量Q与堰上水头H、堰宽b、水的密度ρ和动力粘滞系数μ,重力加速度g 有关,试用π定理推导流量公式。
题6-7图解:首先将函数关系设为 F(Q ,H ,b ,ρ,μ,g )=0其中变量数n=6,选取基本变量H 、ρ、g ,这3个变量包含了L 、T 、M 三个基本量纲。
根据π定理,上式可变为 f (π1,π2,π3)=0 式中Q g H c b a 1111ρπ=b g Hc b a 2222ρπ=μρπ3333c b a g H =将各数方程写成量纲形式:)()()(dim 132********---==T L LT ML L T L M c b a π根据量纲的一致性,有: L :a 1-3b 1+c 1+3=0 T :-2c 1-1=0 M :b 1=0得a 1=-5/2,b 1= 0,c 1= -1/2所以 gHQ Q g H 2521251==--π同理可得Hb b H ==-12πgH g H ρμμρπ23211233==---这样原来的函数关系可写成0(2325=),,gH H b g H Q f ρμ 即),gH H b f gHQ ρμ23125(=则5252312((H g Hb f H g g H H b f Q )),==ρμ 6-8 加热炉回热装置冷态模型试验,模型长度比尺λl =5,已知回热装置中烟气的运动粘滞系数为ν=0.7×10-4m 2/s ,流速为υ=2.5m/s ,试求20℃空气在模型中的流速为多大时,流动才能相似。
第六章流动阻力及能量损失本章主要研究恒定流动时,流动阻力和水头损失的规律。
对于粘性流体的两种流态——层流与紊流,通常可用下临界雷诺数来判别,它在管道与渠道内流动的阻力规律和水头损失的计算方法是不同的。
对于流速,圆管层流为旋转抛物面分布,而圆管紊流的粘性底层为线性分布,紊流核心区为对数规律分布或指数规律分布。
对于水头损失的计算,层流不用分区,而紊流通常需分为水力光滑管区、水力粗糙管区及过渡区来考虑。
本章最后还阐述了有关的边界层、绕流阻力及紊流扩散等概念。
第一节流态判别一、两种流态的运动特征1883年英国物理学家雷诺(Reynolds O.)通过试验观察到液体中存在层流和紊流两种流态。
1.层流观看录像1-层流层流(laminar flow),亦称片流:是指流体质点不相互混杂,流体作有序的成层流动。
特点:(1)有序性。
水流呈层状流动,各层的质点互不混掺,质点作有序的直线运动。
(2)粘性占主要作用,遵循牛顿内摩擦定律。
(3)能量损失与流速的一次方成正比。
(4)在流速较小且雷诺数Re较小时发生。
2.紊流观看录像2-紊流紊流(turbulent flow),亦称湍流:是指局部速度、压力等力学量在时间和空间中发生不规则脉动的流体运动。
特点:(1)无序性、随机性、有旋性、混掺性。
流体质点不再成层流动,而是呈现不规则紊动,流层间质点相互混掺,为无序的随机运动。
(2)紊流受粘性和紊动的共同作用。
(3)水头损失与流速的1.75~2次方成正比。
(4)在流速较大且雷诺数较大时发生。
二、雷诺实验如图6-1所示,实验曲线分为三部分:(1)ab段:当υ<υc时,流动为稳定的层流。
(2)ef段:当υ>υ''时,流动只能是紊流。
(3)be段:当υc<υ<υ''时,流动可能是层流(bc段),也可能是紊流(bde段),取决于水流的原来状态。
图6-1图6-2观看录像3观看录像4观看录像5实验结果(图6-2)的数学表达式层流:m1=1.0, h f=k1v , 即沿程水头损失与流线的一次方成正比。
土木工程师-公共基础-流体力学-流体的主要物性与流体静力学[单选题]1.连续介质假设意味着是()。
[2019年真题]A.流体分子相互紧连B.流体的物理量是连续函数C.流体(江南博哥)分子间有间隙D.流体不可压缩正确答案:B参考解析:假设流体是连续介质,即认为流体是由微观上充分大而宏观上充分小的质点组成,质点之间没有空隙,连续地充满流体所占有的空间,将流体运动作为由无数个流体质点所组成的连续介质的运动,它们的物理量在空间上和时间上都是连续的。
[单选题]2.半径为R的圆管中,横截面上流速分布为u=2(1-r2/R2),其中r表示到圆管轴线的距离,则在r1=0.2R处的黏性切应力与r2=R处的黏性切应力大小之比为()。
[2013年真题]A.5B.15C.1/5D.1/25正确答案:C参考解析:黏性切应力与速度的梯度成正比,du/dr=-4r/R2,可见黏性切应力与r成正比,故r1=0.2R处的黏性切应力与r2=R处的黏性切应力大小之比为0.2,即1/5。
[单选题]3.水的运动黏性系数随温度的升高而()。
[2017年真题]A.增大B.减小C.不变D.先减小然后增大正确答案:B参考解析:水的运动黏性系数可用下列经验公式求得:υ=0.01775/(1+0.0337t+0.000221t2)。
式中,t为水温,以℃计。
由上式可知水的运动黏度随温度升高而减少。
[单选题]4.空气的黏滞系数与水的黏滞系数μ分别随温度的降低而()。
[2011年真题]A.降低、升高B.降低、降低C.升高、降低D.升高、升高正确答案:A参考解析:空气的黏滞系数随温度降低而降低,而水的黏滞系数相反,随温度降低而升高。
[单选题]5.重力和黏滞力分别属于()。
[2011年真题]A.表面力、质量力B.表面力、表面力C.质量力、表面力D.质量力、质量力正确答案:C参考解析:质量力是作用在每个流体质点上,大小与质量成正比的力,常见的质量力有重力和惯性力,表面力是作用在所设流体的外表,大小与面积成正比的力,表面力是相邻流体或其他物体作用的结果。
第六章 液体力学6-1 有一个长方体形的水库,长200 m ,宽150 m ,水深10 m ,求水对水库底面和侧面的压力。
解:水对水库底面的压力为:()()391 1.0109.810150200 2.910F ghS N ρ==⨯⨯⨯⨯⨯=⨯侧面的压力应如下求得:在侧面上建立如图所示的坐标系,在y 处取侧面窄条dy ,此侧面窄条所受的压力为:dF glydy ρ=整个侧面所受的压力可以表示为:2012hF glydy glh ρρ==⎰对于10h m =、200l m =的侧面:()2721'9.8102F glh N ρ==⨯ 对于10h m =、150l m =的侧面:()2721''7.4102F glh N ρ==⨯侧面的总压力为:()82222'2'' 3.410F F F N =+=⨯6-2 有三个底面积相同但形状各异的容器,分别盛上高度相同的水,如题图所示,根据静止流体压强的概念,三个容器底面的压强是相同的,所以每个容器底面所受的水的压力也是相同的,水对底面压力是由水的重量引起的,但是三个容器中所盛的水的重量显然不等,请对这个似乎矛盾的结果作出解释。
答:三个容器底面的压强是相同的,但流体对容器内壁的压强并不是容器对其支撑面的压强,容器对其支撑面的压力等于水与容器本身重量之和。
因此,容器对其支撑面的压强是不同的。
如蓝球内壁的压强要比蓝球对支撑面的压强要大得多。
6-3 在35.010s ⨯的时间内通过管子截面的二氧化碳气体(看作为理想流体)的质量为0.51 kg 。
已知该气体的密度为37.5kg m -⋅ ,管子的直径为2.0 cm ,求二氧化碳气体在管子里的平均流速。
解: 单位时间内流过管子截面的二氧化碳气体的体积,即流量为:53130.511.36107.5 5.010V m Q m s t ρ--===⨯⋅⨯⨯平均流速为:()521221.3610 4.3103.14 1.010V Q v m s S ----⨯===⨯⋅⨯⨯ 6-4 当水从水笼头缓慢流出而自由下落时,水流随位置的下降而变细,何故?如果水笼头管口的内直径为d ,水流出的速率为0v ,求在水笼头出口以下h 处水流的直径。
第六章 粘性流体绕物体的流动6-1 已知粘性流体的速度场为k xz j xyz i y x u 22835-+=(m/s)。
流体的动力粘度μ=0.144Pa·s ,在点(2,4,-6)处σyy =-100N/m 2,试求该点处其它的法向应力和切向应力。
已知:y x u 2x 5=,z y x u 3y =,2z 8z x u -=,μ=0.144Pa·s ,σyy =-100N/m 2。
解析:在点(2,4,-6)处,有8010x==∂∂xy x u ,363y -==∂∂z x yu ,19216z =-=∂∂z x z u ;2052x ==∂∂x y u ,0x =∂∂z u,723y -==∂∂z y x u ,243y ==∂∂y x zu ,28882z -=-=∂∂z x u , 0z =∂∂y u ;1zy x s 2361923680iv d -=+-=∂∂+∂∂+∂∂=zu y u x u u 由div 322yyy μμσ-∂∂+-=y u p ,可得 Pa 976.66100236144.032)36(144.02div 322yy y=+⨯⨯--⨯⨯=--∂∂=σμμy u p ,则 Pa 592.66236144.03280144.02976.66div 322x xx -=⨯⨯-⨯⨯+-=-∂∂+-=u x u p μμσ Pa 336.34236144.032192144.02976.66div 322z zz -=⨯⨯-⨯⨯+-=-∂∂+-=u z u p μμσ Pa 488.7)2072(144.0)(xy yx xy -=+-⨯=∂∂+∂∂==yu xu μττ Pa 456.3)240(144.0)(yz zyyz =+⨯=∂∂+∂∂==zu y u μττPa 472.41)2880(144.0)(zx xz zx -=-⨯=∂∂+∂∂==xu z u μττ 6-2 两种流体在压力梯度为k xp-=d d 的情形下在两固定的平行平板间作稳定层流流动,试导出其速度分布式。
第六章流体力学课后答案第六章孔口、管嘴出流与有压管流6-1在水箱侧壁上有一直径d?50mm的小孔口,如图所示。
在水头H的作用下,收缩断面流速为VC?6.86m/s,经过孔口的水头损失hw?0.165m,如果流量系数??0.61,试求流速系数?和水股直径dc。
Vc2解:根据伯努利方程:H??hw?2.51m2g流速系数??Vc??0.967VQ???AVcc,dc?39.71mm6-2图示一船闸闸室,闸室横断面面积A?800m2,有一高h?2m、宽b?4m的矩形放水孔。
该孔用一个速度v?0.05m/s匀速上升的闸门开启。
假设初始水头H1?5m,孔口流量系数??0.65,孔口出流时下游水位保持不变。
试求(1)闸门开启完毕时闸室中水位降低值y;(2)闸室水位与下游平齐所需要的总时间T。
解:(1)闸门完全开启所用的时间:t?h?40sv此段时间内孔口的面积可用孔的平均面积来表示:A?4m2因为T??40s所以:H2?3.796m,y?H1?H2?1.204m(2)闸门完全打开后,防水孔的面积:A??bh?8m2液面降到与下游液面平齐所需要的时间因为T???135.41s所以T?t?T??175.41s6-3贮液箱中水深保持为h?1.8m,液面上的压强p0?70kPa(相对压强),箱底开一孔,孔直径d?50mm。
流量系数??0.61,求此底孔排出的液流流量。
p0V2解:根据伯努利方程:?h??g2g46-4用隔板将矩形水池中的水体分成左右两部分,如图所示,右半部分水Q??d2V??15.9L/s面保持恒定,隔板上有直径d1?0.1m的圆形孔口,位于右半部液面下H1?4.8m处。
在左半部分的侧面与前一孔口相同的高度处开有直径d2?0.125m的圆形孔口,当水池两半部分的水面稳定后,试求左半部水面高度计孔口出流流量。
解:当水池两半部分的水面稳定时:Q1?Q2Q1??AQ2??A??0.62?h?1.395m,Q?0.0398m3/s6-5图示水平圆柱状内插式管嘴,入口锐缘状,直径d?40mm,管嘴中心线离液面的距离h?1.5m,设管嘴较短,水流在管嘴内作自由出流如图示,各容器壁面上的压强可按静压规律分布。