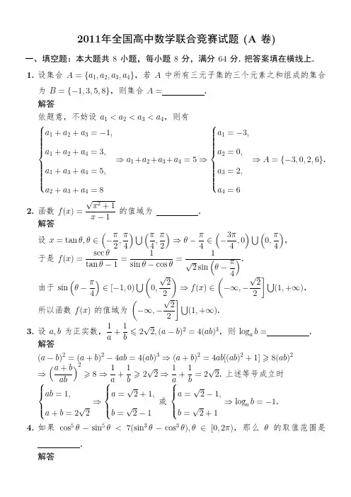
2011年全国高中数学联合竞赛试题(A卷)
- 格式:pdf
- 大小:249.75 KB
- 文档页数:2
2009年全国高中数学联合竞赛一试试题参考答案及评分标准说明:1.评阅试卷时,请依据本评分标准,填空题只设7分和0分两档;其他各题的评阅,请严格按照本评分标准的评分档次给分,不要增加其他中间档次.2.如果考生的解答方法和本解答不同,只要思路合理、步骤正确,在评卷时可参考本评分标准适当划分档次评分,解答题中至少4分为一个档次,不要增加其他中间档次. 一、填空(共8小题,每小题7分,共56分)1. 若函数()f x =且()()()n nf x f f f f x ⎡⎤=⎡⎤⎣⎦⎣⎦,则()()991f = . 【答案】 110【解析】 ()()()1f x f x = ()()()2f x f f x =⎡⎤⎣⎦……()()99f x故()()991110f =.2. 已知直线:90L x y +-=和圆22:228810M x y x y +---=,点A 在直线L 上,B ,C 为圆M 上两点,在ABC ∆中,45BAC ∠=︒,AB 过圆心M ,则点A 横坐标范围为 .【答案】 []36, 【解析】 设()9A a a -,,则圆心M 到直线AC 的距离sin 45d AM =︒,由直线AC 与圆M相交,得d 解得36a ≤≤.3. 在坐标平面上有两个区域M 和N ,M 为02y y x y x ⎧⎪⎨⎪-⎩≥≤≤,N 是随t 变化的区域,它由不等式1t x t +≤≤所确定,t 的取值范围是01t ≤≤,则M 和N 的公共面积是函数()f t = .【答案】 212t t -++【解析】 由题意知()f t S =阴影部分面积 AOB OCD BEF S S S ∆∆∆=--()22111122t t =---212t t =-++4. 使不等式1111200712213a n n n +++<-+++对一切正整数n 都成立的最小正整数a的值为 .【答案】 2009【解析】 设()1111221f n n n n =++++++.显然()f n 单调递减,则由()f n 的最大值()1120073f a <-,可得2009a =.5. 椭圆22221x ya b +=()0a b >>上任意两点P ,Q ,若OP OQ ⊥,则乘积OP OQ ⋅的最小值为 . 【答案】 22222a b a b+【解析】 设()cos sin P OP OP θθ,, ππcos sin 22Q OQ OQ θθ⎛⎫⎛⎫⎛⎫±± ⎪ ⎪ ⎪⎝⎭⎝⎭⎝⎭,.由P ,Q 在椭圆上,有 222221cos sin a b OP θθ=+ ① 222221sin cos a b OQ θθ=+ ② ①+②得22221111a bOP OQ+=+. 于是当OP OQ ==OP OQ 达到最小值22222a b a b+.6. 若方程()lg 2lg 1kx x =+仅有一个实根,那么k 的取值范围是 .【答案】 0k <或4k = 【解析】 ()20101kx x kx x ⎧>⎪⎪+>⎨⎪=+⎪⎩当且仅当0kx > ① 10x +>② ()2210x k x +-+=③对③由求根公式得1x ,2122x k ⎡=-⎣④2400k k k ∆=-⇒≥≤或4k ≥. (ⅰ)当0k <时,由③得 12122010x x k x x +=-<⎧⎨=>⎩ 所以1x ,2x 同为负根. 又由④知121010x x +>⎧⎨+<⎩所以原方程有一个解1x .(ⅱ)当4k =时,原方程有一个解112kx =-=. (ⅲ)当4k >时,由③得12122010x x k x x +=->⎧⎨=>⎩所以1x ,2x 同为正根,且12x x ≠,不合题意,舍去.综上可得0k <或4k =为所求.7. 一个由若干行数字组成的数表,从第二行起每一行中的数字均等于其肩上的两个数之和,最后一行仅有一个数,第一行是前100个正整数按从小到大排成的行,则最后一行的数是 (可以用指数表示)【答案】 981012⨯ 【解析】 易知:(ⅰ)该数表共有100行;(ⅱ)每一行构成一个等差数列,且公差依次为11d =,22d =,232d =,…,98992d =(ⅲ)100a 为所求.设第()2n n ≥行的第一个数为n a ,则 ()22111222n n n n n n a a a a -----=++=+3222222n n n a ---⎡⎤=++⎣⎦24223222222n n n n a ----⎡⎤=++⨯+⎣⎦323232n n a --=+⨯ ……()121212n n a n --=+-⨯ ()212n n -=+故981001012a =⨯. 8. 某车站每天800~900∶∶,900~1000∶∶都恰有一辆客车到站,但到站的时刻是随机的,一旅客820∶到车站,则它候车时间的数学期望为 (精确到分)【答案】 27 【解析】 旅客候车的分布列为1111110305070902723361218⨯+⨯+⨯+⨯+⨯=二、解答题1. (本小题满分14分)设直线:l y kx m =+(其中k ,m 为整数)与椭圆2211612x y +=交于不同两点A ,B ,与双曲线221412x y -=交于不同两点C ,D ,问是否存在直线l ,使得向量0AC BD +=,若存在,指出这样的直线有多少条?若不存在,请说明理由. 【解析】 由2211612y kx m x y =+⎧⎪⎨+=⎪⎩消去y 化简整理得()2223484480k xkmx m +++-=设()11A x y ,,()22B x y ,,则122834kmx x k +=-+()()()222184344480km k m ∆=-+->① ………………………………………………4分 由221412y kx m x y =+⎧⎪⎨-=⎪⎩消去y 化简整理得()22232120k xkmx m ----=设()34C x y ,,()44D x y ,,则34223kmx x k +=- ()()()2222243120km k m ∆=-+-+>② ………………………………………………8分因为0AC BD +=,所以()()42310x x x x -+-=,此时()()42310y y y y -+-=.由1234x x x x +=+得 2282343km kmk k -=+-. 所以20km =或2241343k k -=+-.由上式解得0k =或0m =.当0k =时,由①和②得m -<m 是整数,所以m 的值为3-,2-,1-,0,1,2,3.当0m =,由①和②得k <.因k 是整数,所以1k =-,0,1.于是满足条件的直线共有9条.………14分2. (本小题15分)已知p ,()0q q ≠是实数,方程20x px q -+=有两个实根α,β,数列{}n a 满足1a p =,22a p q =-,()1234n n n a pa qa n --=-=,,(Ⅰ)求数列{}n a 的通项公式(用α,β表示); (Ⅱ)若1p =,14q =,求{}n a 的前n 项和. 【解析】 方法一:(Ⅰ)由韦达定理知0q αβ⋅=≠,又p αβ+=,所以()1212n n n n n a px qx a a αβαβ------=+-,()345n =,,,整理得()112n n n n a a a a βαβ----=- 令1n n n b a a β+=-,则()112n n b b n α+==,,.所以{}n b 是公比为α的等比数列.数列{}n b 的首项为:()()222121b a a p q p ββαβαββαβα=-=--=+--+=.所以211n n n b ααα-+=⋅=,即11n n n a a βα++-=()12n =,,.所以11n n n a a βα++=+()12n =,,.①当240p q ∆=-=时,0αβ=≠,12a p ααα==+=,11n n n a a βα++=+()12n =,,变为11n n n a a αα++=+()12n =,,.整理得,111n nn na a αα++-=,()12n =,,.所以,数列n n a α⎧⎫⎨⎬⎩⎭成公差为1的等差数列,其首项为122a ααα==.所以()2111nn a n n α=+-=+. 于是数列{}n a 的通项公式为()1n n a n α=+; (5)分②当240p q ∆=->时,αβ≠, 11n n n a a βα++=+1n n a βαβαβα+-=+-11n n n a βαβααβαβα++=+---()12n =,,.整理得211n n n n a a ααββαβα+++⎛⎫+=+ ⎪--⎝⎭,()12n =,,.所以,数列1n n a αβα+⎧⎫+⎨⎬-⎩⎭成公比为β的等比数列,其首项为2221a ααβαββαβαβα+=++=---.所以121n n n a αβββαβα+-+=--. 于是数列{}n a 的通项公式为11n n n a βαβα++-=-.………………………………………………10分(Ⅱ)若1p =,14q =,则240p q ∆=-=,此时12αβ==.由第(Ⅰ)步的结果得,数列{}n a 的通项公式为()11122nn n n a n +⎛⎫=+= ⎪⎝⎭,所以,{}n a 的前n 项和为231234122222n n n n n s -+=+++++234112341222222n n n n s n ++=+++++以上两式相减,整理得1133222n n n s ++=-所以332n n n s +=-. (15)分方法二:(Ⅰ)由韦达定理知0q αβ⋅=≠,又p αβ+=,所以1a αβ=+,222a αβαβ=++.特征方程20p q λλ-+=的两个根为α,β. ①当0αβ=≠时,通项()()1212n n a A A n n α=+=,,由12a α=,223a α=得()()122212223A A A A αααα+=⎧⎪⎨+=⎪⎩ 解得121A A ==.故 ()1n n a n α=+.……………………………………………………5分②当αβ≠时,通项()1212n n n a A A n αβ=+=,,.由1a αβ=+,222a αβαβ=++得12222212A A A A αβαβαβαβαβ+=+⎧⎪⎨+=++⎪⎩ 解得1A αβα-=-,2A ββα=-.故1111n n n n n a αββαβαβαβα++++--=+=---. (10)分(Ⅱ)同方法一.3. (本小题满分15分)求函数y 【解析】 函数的定义域为[]013,.因为y ==当0x =时等号成立.故y 的最小值为.……………………………………………5分又由柯西不等式得22y =()()()11122731312123x x x ⎛⎫+++++-= ⎪⎝⎭≤所以11y ≤. ………………………………………………………………………………10分由柯西不等式等号成立的条件,得()491327x x x =-=+,解得9x =.故当9x =时等号成立.因此y 的最大值为11.…………………………………………………………………………………15分2010年全国高中数学联赛一 试一、填空题(每小题8分,共64分,) 1. 函数x x x f 3245)(---=的值域是 .2. 已知函数x x a y sin )3cos (2-=的最小值为3-,则实数a 的取值范围是 . 3. 双曲线122=-y x 的右半支与直线100=x 围成的区域内部(不含边界)整点(纵横坐标均为整数的点)的个数是 .4. 已知}{n a 是公差不为0的等差数列,}{n b 是等比数列,其中3522113,,1,3b a b a b a ====,且存在常数βα,使得对每一个正整数n 都有βα+=n n b a log ,则=+βα .5. 函数)1,0(23)(2≠>-+=a a a ax f x x在区间]1,1[-∈x 上的最大值为8,则它在这个区间上的最小值是 .6. 两人轮流投掷骰子,每人每次投掷两颗,第一个使两颗骰子点数和大于6者为胜,否则轮由另一人投掷.先投掷人的获胜概率是 .7. 正三棱柱111C B A ABC -的9条棱长都相等,P 是1CC 的中点,二面角α=--11B P A B ,则=αsin .8. 方程2010=++z y x 满足z y x ≤≤的正整数解(x ,y ,z )的个数是 . 二、解答题(本题满分56分)9. (16分)已知函数)0()(23≠+++=a d cx bx ax x f ,当10≤≤x 时,1)(≤'x f ,试求a 的最大值.10.(20分)已知抛物线x y 62=上的两个动点1122(,)(,)A x y B x y 和,其中21x x ≠且421=+x x .线段AB 的垂直平分线与x 轴交于点C ,求ABC ∆面积的最大值.11.(20分)证明:方程02523=-+x x 恰有一个实数根r ,且存在唯一的严格递增正整数数列}{n a ,使得+++=32152a a a r r r . 解 答1. ]3,3[- 提示:易知)(x f 的定义域是[]8,5,且)(x f 在[]8,5上是增函数,从而可知)(x f 的值域为]3,3[-.2. 1223≤≤-a 提示:令t x =sin ,则原函数化为t a at t g )3()(2-+-=,即 t a at t g )3()(3-+-=.由3)3(3-≥-+-t a at ,0)1(3)1(2≥----t t at ,0)3)1()(1(≥-+--t at t 及01≤-t 知03)1(≤-+-t at 即3)(2-≥+t t a . (1)当1,0-=t 时(1)总成立;对20,102≤+<≤<t t t ;对041,012<+≤-<<-t t t .从而可知 1223≤≤-a . 3. 9800 提示:由对称性知,只要先考虑x 轴上方的情况,设)99,,2,1( ==k k y 与双曲线右半支于k A ,交直线100=x 于k B ,则线段k k B A 内部的整点的个数为99k -,从而在x 轴上方区域内部整点的个数为991(99)99494851k k =-=⨯=∑.又x 轴上有98个整点,所以所求整点的个数为98009848512=+⨯.3 提示 :设}{n a 的公差为}{,n b d 的公比为q ,则,3q d =+ (1) 2)43(3q d =+, (2)(1)代入(2)得961292++=+d d d ,求得9,6==q d .从而有βα+=-+-19log )1(63n n 对一切正整数n 都成立,即βα+-=-9log )1(36n n 对一切正整数n 都成立. 从而βαα+-=-=9log 3,69log ,求得 3,33==βα,333+=+βα.5. 41-提示:令,y a x =则原函数化为23)(2-+=y y y g ,)(y g 在3(,+)2-∞上是递增的. 当10<<a 时,],[1-∈a a y ,211max 1()32822g y a a a a ---=+-=⇒=⇒=, 所以412213)21()(2min -=-⨯+=y g ;当1>a 时,],[1a a y -∈,2823)(2max =⇒=-+=a a a y g ,所以412232)(12min -=-⨯+=--y g .综上)(x f 在]1,1[-∈x 上的最小值为41-.6. 1217 提示:同时投掷两颗骰子点数和大于6的概率为1273621=,从而先投掷人的获胜概率为+⨯+⨯+127)125(127)125(1274217121442511127=-⨯=.7.4提示:解法一:如图,以AB 所在直线为x 轴,线段AB 中点O 为原点,OC 所在直线为y 轴,建立空间直角坐标系.设正三棱柱的棱长为2,则)1,3,0(),2,0,1(),2,0,1(),0,0,1(11P A B B -,从而,)1,3,1(),0,0,2(),1,3,1(),2,0,2(1111--=-=-=-=B A B .设分别与平面P BA 1、平面P A B 11垂直的向量是),,(111z y x =、),,(222z y x =,则⎪⎩⎪⎨⎧=++-=⋅=+-=⋅,03,022111111z y x BP m z x BA ⎪⎩⎪⎨⎧=-+-=⋅=-=⋅,03,022221211z y x B x A B 由此可设 )3,1,0(),1,0,1(==n m ,所以cos m n m n α⋅=⋅,即2cos cos 4αα=⇒=. 所以 410sin =α. 解法二:如图,PB PA PC PC ==11,.OEPC 1B 1A 1CBA设B A 1与1AB 交于点,O 则1111,,OA OB OA OB A B AB ==⊥ .11,,PA PB PO AB =⊥因为 所以 从而⊥1AB 平面B PA 1 .过O 在平面B PA 1上作P A OE 1⊥,垂足为E .连结E B 1,则EO B 1∠为二面角11B P A B --的平面角.设21=AA ,则易求得3,2,5111=====PO O B O A PA PB .在直角O PA 1∆中,OE P A PO O A ⋅=⋅11,即 56,532=∴⋅=⋅OE OE .又 554562,222111=+=+=∴=OE O B E B O B . 4105542sin sin 111===∠=E B O B EO B α. 8. 336675 提示:首先易知2010=++z y x 的正整数解的个数为 1004200922009⨯=C .把2010=++z y x 满足z y x ≤≤的正整数解分为三类:(1)z y x ,,均相等的正整数解的个数显然为1;(2)z y x ,,中有且仅有2个相等的正整数解的个数,易知为1003; (3)设z y x ,,两两均不相等的正整数解为k . 易知100420096100331⨯=+⨯+k ,所以110033*********-⨯-⨯=k200410052006123200910052006-⨯=-⨯+-⨯=, 即3356713343351003=-⨯=k .从而满足z y x ≤≤的正整数解的个数为33667533567110031=++.9. 解法一: ,23)(2c bx ax x f ++='由 ⎪⎪⎩⎪⎪⎨⎧++='++='='cb a fc b a f c f 23)1(,43)21(,)0( 得)21(4)1(2)0(23f f f a '-'+'=.所以)21(4)1(2)0(23f f f a '-'+'=)21(4)1(2)0(2f f f '+'+'≤ 8≤, 所以38≤a . 又易知当m x x x x f ++-=23438)((m 为常数)满足题设条件,所以a 最大值为38. 解法二:c bx ax x f ++='23)(2. 设1)()(+'=x f x g ,则当10≤≤x 时,2)(0≤≤x g . 设 12-=x z ,则11,21≤≤-+=z z x . 14322343)21()(2++++++=+=c b az b a z a z g z h .容易知道当11≤≤-z 时,2)(0,2)(0≤-≤≤≤z h z h . 从而当11≤≤-z 时,22)()(0≤-+≤z h z h , 即21434302≤++++≤c b a z a , 从而 0143≥+++c b a ,2432≤z a ,由 102≤≤z 知38≤a .又易知当m x x x x f ++-=23438)((m 为常数)满足题设条件,所以a 最大值为38.10. 解法一:设线段AB 的中点为),(00y x M ,则 2,22210210y y y x x x +==+=, 01221221212123666y y y y y y y x x y y k AB =+=--=--=.线段AB 的垂直平分线的方程是)2(30--=-x y y y . (1) 易知0,5==y x 是(1)的一个解,所以线段AB 的垂直平分线与x 轴的交点C 为定点,且点C 坐标为)0,5(.由(1)知直线AB 的方程为)2(30-=-x y y y ,即2)(300+-=y y y x . (2) (2)代入x y 62=得12)(2002+-=y y y y ,即012222002=-+-y y y y . (3)依题意,21,y y 是方程(3)的两个实根,且21y y ≠,所以22200044(212)4480y y y ∆=--=-+>,32320<<-y .221221)()(y y x x AB -+-=22120))()3(1(y y y -+=]4))[(91(2122120y y y y y -++=))122(44)(91(202020--+=y y y)12)(9(322020y y -+=. 定点)0,5(C 到线段AB 的距离 202029)0()25(y y CM h +=-+-==.220209)12)(9(3121y y y h AB S ABC +⋅-+=⋅=∆ )9)(224)(9(2131202020y y y +-+=3202020)392249(2131y y y ++-++≤7314=. 当且仅当20202249y y -=+,即0y =,66((33A B +-或66((33A B -时等号成立. 所以,ABC ∆面积的最大值为7314. 解法二:同解法一,线段AB 的垂直平分线与x 轴的交点C 为定点,且点C 坐标为)0,5(.设4,,,222121222211=+>==t t t t t x t x ,则161610521222121t t t t S ABC =∆的绝对值, 2222122112))656665(21(t t t t t t S ABC --+=∆221221)5()(23+-=t t t t )5)(5)(24(23212121++-=t t t t t t3)314(23≤,所以7314≤∆ABC S , 当且仅当5)(21221+=-t t t t 且42221=+t t ,即,6571-=t6572+-=t ,66((33A B +-或66((33A B -时等号成立. 所以,ABC ∆面积的最大值是7314. 11.令252)(3-+=x x x f ,则056)(2>+='x x f ,所以)(x f 是严格递增的.又043)21(,02)0(>=<-=f f ,故)(x f 有唯一实数根1(0,)2r ∈.所以 32520r r +-=,3152rr -=4710r r r r =++++.故数列),2,1(23 =-=n n a n 是满足题设要求的数列. 若存在两个不同的正整数数列 <<<<n a a a 21和 <<<<n b b b 21满足52321321=+++=+++ b b b a a a r r r r r r ,去掉上面等式两边相同的项,有+++=+++321321t t t s s s r r r r r r ,这里 <<<<<<321321,t t t s s s ,所有的i s 与j t 都是不同的.不妨设11t s <,则++=++<21211t t s s s r r r r r ,112111111121211=--<--=++≤++<--rr r r r s t s t ,矛盾.故满足题设的数列是唯一的.2011年全国高中数学联合竞赛一试试题(A 卷)考试时间:2011年10月16日 8:00—9:20一、填空题:本大题共8小题,每小题8分,共64分.把答案填在横线上. 1.设集合},,,{4321a a a a A =,若A 中所有三元子集的三个元素之和组成的集合为}8,5,3,1{-=B ,则集合=A .2.函数11)(2-+=x x x f 的值域为 .3.设ba ,为正实数,2211≤+ba ,32)(4)(ab b a =-,则=b a log .4.如果)cos (sin 7sin cos 3355θθθθ-<-,)2,0[πθ∈,那么θ的取值范围是 .5.现安排7名同学去参加5个运动项目,要求甲、乙两同学不能参加同一个项目,每个项目都有人参加,每人只参加一个项目,则满足上述要求的不同安排方案数为 .(用数字作答)6.在四面体ABCD 中,已知︒=∠=∠=∠60CDA BDC ADB ,3==BD AD ,2=CD ,则四面体ABCD 的外接球的半径为 .7.直线012=--y x 与抛物线x y 42=交于B A ,两点,C 为抛物线上的一点,︒=∠90ACB ,则点C 的坐标为 .8.已知=n a C ())95,,2,1(2162003200=⎪⎪⎭⎫⎝⎛⋅⋅-n nnn ,则数列}{n a 中整数项的个数为 .二、解答题:本大题共3小题,共56分.解答应写出文字说明、证明过程或演算步骤.9.(本小题满分16分)设函数|)1lg(|)(+=x x f ,实数)(,b a b a <满足)21()(++-=b b f a f ,2lg 4)21610(=++b a f ,求b a ,的值.10.(本小题满分20分)已知数列}{n a 满足:∈-=t t a (321R 且)1±≠t ,121)1(2)32(11-+--+-=++n n n n n n t a t t a t a ∈n (N )*.(1)求数列}{n a 的通项公式; (2)若0>t ,试比较1+n a 与n a 的大小.11.(本小题满分20分)作斜率为31的直线l与椭圆C:143622=+y x 交于B A ,两点(如图所示),且)2,23(P 在直线l 的左上方.(1)证明:△PAB 的内切圆的圆心在一条定直线上;(2)若︒=∠60APB ,求△PAB 的面积.yOPAB2012年全国高中数学联赛一试参考答案及详细评分标准一、填空题:本大题共8小题,每小题8分,共64分.把答案填在题中的横线上.1. 设P 是函数2y x x=+(0x >)的图像上任意一点,过点P 分别向 直线y x =和y 轴作垂线,垂足分别为,A B ,则PA PB ⋅的值是 .解:方法1:设0002(,),p x x x +则直线PA 的方程为0002()(),y x x x x -+=--即0022.y x x x =-++由00000011(,).22y xA x x y x x x x x=⎧⎪⇒++⎨=-++⎪⎩又002(0,),B x x +所以00011(,),(,0).PA PB x x x =-=-故001() 1.PA PB x x ⋅=⋅-=- 2. 设ABC ∆的内角,,A B C 的对边分别为,,a b c ,且满足3cos cos 5a Bb Ac -=,则tan tan A B的值是 . 解:由题设及余弦定理得222223225c a b b c a a b c ca bc +-+-⋅-⋅=,即22235a b c -=故222222222222228tan sin cos 2542tan sin cos 52a c b a c A A B c a b ac b c a B B A b c a c b bc+-⋅+-=====+-+-⋅.3.设,,[0,1]x y z ∈,则||||||M x y y z z x =-+-+-的最大值是 .解:不妨设01,x y z ≤≤≤≤则.M y x z y z x =-+-+-因为2[()()]2().y x z y y x z y z x -+-≤-+-=-所以2()(21)2 1.M z x z x z x ≤-+-=+-≤-当且仅当1,0,1,2y x z y x z y -=-===时上式等号同时成立.故max 2 1.M =+ 4.抛物线22(0)y px p =>的焦点为F ,准线为l,,A B 是抛物线上的两个动点,且满足3AFB π∠=.设线段AB的中点M 在l上的投影为N ,则||||MN AB 的最大值是 . 解:由抛物线的定义及梯形的中位线定理得.2AF BFMN +=在AFB ∆中,由余弦定理得2222cos3AB AF BF AF BF π=+-⋅2()3AF BF AF BF =+-⋅22()3()2AF BF AF BF +≥+-22().2AF BF MN +== 当且仅当AF BF =时等号成立.故MNAB的最大值为1.5.设同底的两个正三棱锥P ABC -和Q ABC -内接于同一个球.若正三棱锥P ABC -的侧面与底面所成的角为45,则正三棱锥Q ABC -的侧面与底面所成角的正切值是 . 解:如图.连结PQ ,则PQ ⊥平面ABC ,垂足H 为正ABC ∆的中心,且PQ 过球心O ,连结CH 并延长交AB 于点M ,则M 为AB 的中点,且CM AB ⊥,易知,PMH QMH ∠∠分别为正三棱锥,P ABC Q ABC --的侧面与底面所成二角的平面角,则45PMH ∠=,从而12PH MH AH ==,因为90,,PAQ AH PQ ∠=⊥ 所以2,AP PH QH =⋅即21.2AH AH QH =⋅所以24.QH AH MH ==,故tan 4QHQMH MH∠==6. 设()f x 是定义在R 上的奇函数,且当0x ≥时,()f x x 2=.若对任意的[,2]x a a ∈+,不等式()2()f x a f x +≥恒成立,则实数a 的取值范围是 .解:由题设知22(0)()(0)x x f x x x ⎧≥⎪=⎨-<⎪⎩,则2()).f x f =因此,原不等式等价于()).f x a f +≥因为()f x 在R 上是增函数,所以,x a +≥即1).a x ≥又[,2],x a a ∈+所以当2x a =+时,1)x 取得最大值1)(2).a +因此,1)(2),a a ≥+解得a ≥故a 的取值范围是).+∞7.满足11sin 43n π<<的所有正整数n 的和是 .解:由正弦函数的凸性,有当(0,)6x π∈时,3sin ,x x x π<<由此得131sin ,sin ,1313412124πππππ<<>⨯= 131sin ,sin .10103993πππππ<<>⨯=所以11sin sin sin sin sin .134********πππππ<<<<<< 故满足11sin 43n π<<的正整数n 的所有值分别为10,11,12,它们的和为33.8.某情报站有,,,A B C D 四种互不相同的密码,每周使用其中的一种密码,且每周都是从上周未使用的三种密码中等可能地随机选用一种.设第1周使用A种密码,那么第7周也使用A种密码的概率是 .(用最简分数表示)解:用k P 表示第k 周用A 种密码的概率,则第k 周末用A 种密码的概率为1k P -.于是,有11(1),3k k P P k N *+=-∈,即1111()434k k P P +-=--由11P =知,14k P ⎧⎫-⎨⎬⎩⎭是首项为34,公比为13-的等比数列。
全国高中数学联赛模拟题一 试一、填空题(本题满分64分,每小题8分)1.在数列{}n a 中,12a =,21a =-,且21n n n a a a ++=-,1,2,n = .则 2011a = .2.设a ,b ,c 是正整数,且成等比数列,b a -是一个完全平方数,666log log log 6a b c ++=,则a b c ++= .3.一列数123,,,a a a 满足对于任意正整数n ,都有312n a a a n +++= ,则23100111111a a a +++=--- . 4.设1a <-,变量x 满足2x ax x +≤-,且2x ax +的最小值为12-,则a =_______.5.正整数500n ≤,具有如下性质:从集合{}1,2,,500 中任取一个元素m ,则m 整除n 的概率是1100,则n 的最大值是 . 6.集合{1,2,…,2011}的元素和为奇数的非空子集的个数为 .7.一个直径2AB =的半圆,过A 作这个圆所在平面的垂线,在垂线上取一点S ,使A S A B =,C 为半圆上一个动点,,N M 分别为A 在,SC SB 上的射影.当三棱锥S AMN -的体积最大时,BAC ∠=_________.8.直线2y kx =-交抛物线28y x =于,A B 两点,若AB 中点的横坐标为2,则AB = .二、解答题(第9题16分,第10、11题各20分,共56分)9.(本小题满分16分)设[),,1x y z ∈+∞,,证明不等式2222(22)(22)(22)()22x x y y z z xyz xyz -+-+-+≤-+.10.(本小题满分20分)已知双曲线C :22221x y a b-=(0a >,0b >)的离心率为2,过点(0)P m ,(0m >)斜率为1的直线l 交双曲线C 于A 、B 两点,且3AP PB = ,3OA OB ⋅= .(1)求双曲线方程;(2)设Q 为双曲线C 右支上动点,F 为双曲线C 的右焦点,在x 轴负半轴上是否存在定点M 使得2QFM QMF ∠=∠?若存在,求出点M 的坐标;若不存在,请说明理由.11.(本小题满分20分) 设12,,,,n x x x 是不同的正实数.证明:12,,,,n x x x 是一个等比数列的充分必要条件是:对所有整数(2)n ≥,都有2221112212121n n n k k k x x x x x x x x x -=+-=-∑.。
2011年全国高中数学联合竞赛加试试题(A 卷)
考试时间:2011年10月16日 9:40—12:10
一、(本题满分40分)如图,Q P ,分别是圆内接四边形ABCD 的对角线BD AC ,的中点.若DPA BPA ∠=∠,证明:CQB AQB ∠=∠.
二、(本题满分40分)证明:对任意整数4≥n ,存在一个n 次多项式
0111)(a x a x a x x f n n n ++++=-- 具有如下性质:
(1)110,,,-n a a a 均为正整数;
(2)对任意正整数m ,及任意)2(≥k k 个互不相同的正整数k r r r ,,,21 ,均有
)()()()(21k r f r f r f m f ≠.
三、(本题满分50分)设)4(,,,21≥n a a a n 是给定的正实数,n a a a <<< 21.对任意正实数r ,满足)1(n k j i r a a a a j k i
j ≤<<≤=--的三元数组),,(k j i 的个数记为)(r f n . 证明:4
)(2
n r f n <.
四、(本题满分50分)设A 是一个93⨯的方格表,在每一个小方格内各填一个正整数.称A 中的一个)91,31(≤≤≤≤⨯n m n m 方格表为“好矩形”,若它的所有数的和为10的倍数.称A 中的一个11⨯的小方格为“坏格”,若它不包含于任何一个“好矩形”.求A 中“坏格”个数的最大值. A B
C
D
Q
P。
2011年全国高中数学联合竞赛一试试卷(A 卷)一、填空题:本大题共8小题,每小题8分,共64分.把答案填在横线上.1.设集合},,,{4321a a a a A =,若A 中所有三元子集的三个元素之和组成的集合为}8,5,3,1{-=B ,则集合=A {-3,0,2,6}.2.函数11)(2-+=x x x f 的值域为.3.设b a ,为正实数,2211≤+ba,32)(4)(ab b a =-,则=b a log .4.如果)cos (sin 7sin cos 3355θθθθ-<-,)2,0[πθ∈,那么θ的取值范围是.5.现安排7名同学去参加5个运动工程,要求甲、乙两同学不能参加同一个工程,每个工程都有人参加,每人只参加一个工程,则满足上述要求的不同安排方案数为.(用数字作答)6.在四面体ABCD 中,已知︒=∠=∠=∠60CDA BDC ADB ,3==BD AD ,2=CD ,则四面体ABCD 的外接球的半径为.7.直线012=--y x 与抛物线x y 42=交于B A ,两点,C 为抛物线上的一点,︒=∠90ACB ,则点C 的坐标为.8.已知=n a C ())95,,2,1(2162003200=⎪⎪⎭⎫⎝⎛⋅⋅-n nnn ,则数列}{n a 中整数项的个数为.二、解答题:本大题共3小题,共56分.解答应写出文字说明、证明过程或演算步骤. 9.(本小题满分16分)设函数|)1lg(|)(+=x x f ,实数)(,b a b a <满足)21()(++-=b b f a f ,2lg 4)21610(=++b a f ,求b a ,的值.10.(本小题满分20分)已知数列}{n a 满足:∈-=t t a (321R 且)1±≠t ,121)1(2)32(11-+--+-=++nn n n n n t a t t a t a ∈n (N )*.(1)求数列}{n a 的通项公式;(2)若0>t ,试比较1+n a 与n a 的大小.11.(本小题满分20分)作斜率为31的直线l 与椭圆C :143622=+y x 交于B A ,两点(如图所示),且)2,23(P 在直线l 的左上方.(1)证明:△PAB 的内切圆的圆心在一条定直线上;(2)若︒=∠60APB ,求△PAB 的面积.2011年全国高中数学联合竞赛加试试卷(A卷)考试时间:2011年10月16日 9:40—12:10二、(本题满分40分)证明:对任意整数4≥n ,存在一个n 次多项式0111)(a x a xa x x f n n n ++++=--具有如下性质:(1)110,,,-n a a a 均为正整数;(2)对任意正整数m ,及任意)2(≥k k 个互不相同的正整数kr r r ,,,21,均有)()()()(21k r f r f r f m f ≠.三、(本题满分50分)设)4(,,,21≥n a a a n 是给定的正实数,n a a a <<< 21.对任意正实数r ,满足)1(n k j i r a a a a jk ij ≤<<≤=--的三元数组),,(k j i 的个数记为)(r f n .证明:4)(2n r f n <.四、(本题满分50分)设A 是一个93⨯的方格表,在每一个小方格内各填一个正整数.称A 中的一个)91,31(≤≤≤≤⨯n m n m 方格表为“好矩形”,若它的所有数的和为10的倍数.称A 中的一个11⨯的小方格为“坏格”,若它不包含于任何一个“好矩形”.求A 中“坏格”个数的最大值.。
2011年全国高中数学联合竞赛一试试题(A 卷)考试时间:2011年10月16日 8:00—9:20一、填空题:本大题共8小题,每小题8分,共64分.把答案填在横线上.1.设集合},,,{4321a a a a A =,若A 中所有三元子集的三个元素之和组成的集合为}8,5,3,1{-=B ,则集合=A.2.函数11)(2-+=x x x f 的值域为 .3.设b a ,为正实数,2211≤+ba,32)(4)(ab b a =-,则=b a log .4.如果)cos (sin 7sin cos 3355θθθθ-<-,)2,0[πθ∈,那么θ的取值范围是 .5.现安排7名同学去参加5个运动项目,要求甲、乙两同学不能参加同一个项目,每个项目都有人参加,每人只参加一个项目,则满足上述要求的不同安排方案数为 .(用数字作答)6.在四面体ABCD 中,已知︒=∠=∠=∠60CDA BDC ADB ,3==BD AD ,2=CD ,则四面体ABCD 的外接球的半径为 .7.直线012=--y x 与抛物线x y 42=交于B A ,两点,C 为抛物线上的一点,︒=∠90ACB ,则点C 的坐标为 .8.已知=n a C ())95,,2,1(2162003200=⎪⎪⎭⎫⎝⎛⋅⋅-n nnn ,则数列}{n a 中整数项的个数为 .二、解答题:本大题共3小题,共56分.解答应写出文字说明、证明过程或演算步骤. 9.(本小题满分16分)设函数|)1lg(|)(+=x x f ,实数)(,b a b a <满足)21()(++-=b b f a f ,2lg 4)21610(=++b a f ,求b a ,的值.10.(本小题满分20分)已知数列}{n a 满足:∈-=t t a (321R 且)1±≠t ,121)1(2)32(11-+--+-=++nn n n n n t a t t a t a ∈n (N )*.(1)求数列}{n a 的通项公式; (2)若0>t ,试比较1+n a 与n a 的大小.11.(本小题满分20分)作斜率为31的直线l 与椭圆C :143622=+y x 交于B A ,两点(如图所示),且)2,23(P 在直线l 的左上方.(1)证明:△PAB 的内切圆的圆心在一条定直线上;(2)若︒=∠60APB ,求△PAB 的面积.2011年全国高中数学联合竞赛加试试题(A卷)考试时间:2011年10月16日 9:40—12:10二、(本题满分40分)证明:对任意整数4≥n ,存在一个n 次多项式0111)(a x a x a x x f n n n ++++=--具有如下性质:(1)110,,,-n a a a 均为正整数;(2)对任意正整数m ,及任意)2(≥k k 个互不相同的正整数k r r r ,,,21 ,均有)()()()(21k r f r f r f m f ≠.三、(本题满分50分)设)4(,,,21≥n a a a n 是给定的正实数,n a a a <<< 21.对任意正实数r ,满足)1(n k j i r a a a a jk i j ≤<<≤=--的三元数组),,(k j i 的个数记为)(r f n .证明:4)(2n r f n <.四、(本题满分50分)设A是一个93⨯的方格表,在每一个小方格内各填一个正整数.称A中的一个)9⨯nmm方格表为“好矩形”,若它的所有数的和为10的倍数.称A n≤≤1(≤1,3≤中的一个11⨯的小方格为“坏格”,若它不包含于任何一个“好矩形”.求A中“坏格”个数的最大值.出师表两汉:诸葛亮先帝创业未半而中道崩殂,今天下三分,益州疲弊,此诚危急存亡之秋也。
2011年全国高中数学联合竞赛加试试题、参考答案及评分标(专家预测)时间:2011-9-1122一、如图,M,N分别为锐角三角形△ABC(∠A<∠B=的外接圆D上弧的中点.过点C作PC∥MN交圆D于P点,I为△ABC的内心,连接PI并延长交圆D于T.(1)求证:MP·MT=NP·NT;(2)在弧(不含点C)上任取一点Q(Q≠A,T,B),记△AQC,△QCB的内心分别为I1,I2.求证:Q,I1,I2,T四点共圆.证明:(1)连NI,MI.由于PC∥MN,P,C,M,N共圆,故PCMN是等腰梯形.因此NP=MC,PM=NC.……10分连AM,CI,则AM与CI交于I,因为∠MIC=∠MAC+∠ACI=∠MCB+∠BCI=∠MCI,所以MC=MI.同理NC=NI.于是NP=MI,PM=NI.故四边形MPNI为平行四边形.因此S△PMT=S△PNT(同底,等高).……20分又P,N,T,M四点共圆,故∠TNP+∠PMT=180°,由三角形面积公式==.于是PM·MT=PN·NT.……30分(2)因为∠NCI1=∠NCA+∠ACI1=∠NQC+∠QCI1=∠CI1N,所以NC=NI1,同理MC=MI2.由MP·MT=NP·NT得. 由(1)所证MP=NC,NP=MC,故.……40分又因∠I1NT=∠QNT=∠QMT=∠I2MT,有△I1NT∽△I2MT.故∠NTI1=∠MTI2,从而∠I1QI2=∠NQM=∠NTM=∠I1TI2.因此Q,I1,I2,T四点共圆.……50分二、求证不等式:,n=1,2,…证明:首先证明一个不等式:(1).事实上,令h(x)=x-ln(1+x),.则对x>0,. 于是h(x)>h(0)=0,g(x)>g(0)=0.在(1)中取得(2).……10分令,则,<=-,因此.……30分又因为lnn=(lnn-ln(n-1))+(ln(n-1)-ln(n-2))+…+(ln2-ln1)+ln1=.从而===.……50分三、设k,l是给定的两个正整数,证明:有无穷多个正整数m≥k,使得与l互素.证法一:对任意正整数t,令m=k+t·l·(k!).我们证明(,l)=1.设p是l的任一素因子,只要证明:p.若p k!,则由即p不整除上式,故:p.……20分若p|k!,设α≥1,使|k!,但k!,则|l(k!).故由及p|k!,且k!,知|k!且k!.从而p.……50分证法二:对任意正整数t,令m=k+t·l·(k!)2.我们证明(,l)=1.设p是l的的任一素因子,只要证明:p.若p k!,则由即p不整除上式,故:p.……20分若p|k!,设α≥1,使|k!,但k!.则|(k!)2.故由及|k!,且k!,知|k!且k!.从而p.……50分四、在非负数构成3×9数表中每行的数互不相同,前6列中每列的三数之和为1,x17=x28=x39=0,x27,x37,x18,x38,x19,x39均大于1.如果P的前三列构成的数表满足下面的性质(O):对于数表P中的任意一列(k=1,2,……,9)均存在某个i{1,2,3},使得(3)x ik≤u i=min{x i1,x i2,x i3}.求证:(i)最小值u i=min{x i1,x i2,x i3},I=1,2,3一定取自数表S的不同列.(ii)存在数表P中唯一的一列,≠1,2,3使得3×3数表仍然具有性质(O).证明:(i)假设最小值,y=1,2,3不是取自数表S的不同列,则存在一列不含任何u i.不妨设u i≠,i=1,2,3.由于数表P中同一行中的任何两个元素都不等,于是i=1,2,3.另一方面,由于数表S具有性质(O),在(3)中取k=2,则存在某个i0∈{1,2,3}使得.矛盾.……10分(ii)由抽屉原理知min{x11,x12},min{x21,x22},{x31,x32}中至少有两个值取在同一列.不妨设min{x21,x22}=x22,{x31,x32}=x32.由前面的结论知数表S的第一列一定含有某个u i,所以只能是x11=u1.同样,第二列中也必含某个u i,I=1,2.不妨设x22=u2.于是u3=x33,即u i是数表S中的对角线上的数字:记M={1,2,…,9},令集合I={k∈M|x ik>min{x i1,x i2},i=1,3}.显然I={k∈M|x1k>x11,x3k>x32}且1,2,3I.因为x18,x38≥x11,x32,所以8∈I.故I≠Φ.于是存在k*∈I使得下面证明3×3数表具有性质(O).从上面的选法可知,(I=1,3).这说明又由满足性质地(O),在(3)中取k=k*,推得,于是下证对任意的k∈M,存在某个i=1,2,3使得假若不然,则x ik>min{x i1,x i2},I=1,3.且这与的最大性矛盾.因此,数表S′满足性质(O).……30分下证唯一性.设有k∈M使得数表具有性质(O).不失一般性,我们假定(4)由于x32<x31,x22<x21及(i),有又由(i)知:或者(a)或者(b)如果(a)成立,由数表具有性质(O),则(5)由数表满足性质(O),则对于3∈M,至少存在一个i∈{1,2,3}, 使得又由(4),(5)式知,.所以只能有.同样由数表S满足性质(O),可推得x33≥x3k.于是k=3,即数表S=.……40分如果(b)成立,则(6)由数表满足性质(O),对于k*∈M,存在某个i=1,2,3使得由k*∈I及(4)和(6)式知,于是只能有类似地,由S′满足性质(O)及k∈M可推得从而k*=k.……50分。
2011年全国高中数学联合竞赛一试试题(A 卷)考试时间:2011年10月16日 8:00—9:20一、填空题:本大题共8小题,每小题8分,共64分.把答案填在横线上. 1.设集合},,,{4321a a a a A =,若A 中所有三元子集的三个元素之和组成的集合为}8,5,3,1{-=B ,则集合=A.2.函数11)(2-+=x x x f 的值域为 .3.设b a ,为正实数,2211≤+ba,32)(4)(ab b a =-,则=b a log .4.如果)cos (sin 7sin cos 3355θθθθ-<-,)2,0[πθ∈,那么θ的取值范围是 .6.在四面体ABCD 中,已知︒=∠=∠=∠60CDA BDC ADB ,3==BD AD ,2=CD ,则四面体ABCD 的外接球的半径为 .二、解答题:本大题共3小题,共56分.解答应写出文字说明、证明过程或演算步骤.9.(本小题满分16分)设函数|)1lg(|)(+=x x f ,实数)(,b a b a <满足)21()(++-=b b f a f ,2lg 4)21610(=++b a f ,求b a ,的值.10.(本小题满分20分)已知数列}{n a 满足:∈-=t t a (321R 且)1±≠t ,121)1(2)32(11-+--+-=++n n n n n n t a t t a t a ∈n (N )*.(1)求数列}{n a 的通项公式; (2)若0>t ,试比较1+n a 与n a 的大小.2009年全国高中数学联合竞赛加试一、填空(共4小题,每小题50分,共200分)1. 如图,M ,N 分别为锐角三角形ABC ∆(A B ∠<∠)的外接圆Γ上弧BC 、AC 的中点.过点C 作PC MN ∥交圆Γ于P 点,I 为ABC ∆的内心,连接PI 并延长交圆Γ于T . ⑴求证:MP MT NP NT ⋅=⋅;⑵在弧AB (不含点C )上任取一点Q (Q A ≠,T ,B ),记AQC ∆,QCB △的内心分别为1I ,2I ,ITQ PNMCBA求证:Q ,1I ,2I ,T 四点共圆.2008年全国高中数学联合竞赛加试(A 卷)一、(本题满分50分)如题一图,给定凸四边形ABCD ,180B D ∠+∠<,P 是平面上的动点,令()f P PA BC PD CA PC AB =⋅+⋅+⋅.(Ⅰ)求证:当()f P 达到最小值时,P A B C ,,,四点共圆;(Ⅱ)设E 是ABC ∆外接圆O 的AB 上一点,满足:32AE AB =,31BC EC =-,12ECB ECA ∠=∠,又,DA DC 是O 的切线,2AC =,求()f P 的最小值.2007年全国高中数学联合竞赛加试试卷(考试时间:上午10:00—12:00)一、(本题满分50分)如图,在锐角△ABC 中,AB<AC ,AD 是边BC 上的高,P 是线段AD 内一点。
2011年全国高中数学联合竞赛(A 卷)一试一、填空题:本大题共8个小题,每小题8分,共64分。
2011A1、设集合{}4321,,,a a a a A =,若A 中所有三元子集的三个元素之和组成为{}8,5,3,1-=B ,则集合=A ◆答案: {3,0,2,6}-★解析:显然,在A 的所有三元子集中,每个元素均出现了3次,所以15853)1()(34321=+++-=+++a a a a ,故54321=+++a a a a ,于是集合A 的四个元素分别为5-(-1)=6,5-3=2,5-5=0,5-8=-3, 因此,集合}6,2,0,3{-=A .2011A 2、函数11)(2-+=x x x f 的值域为 ◆答案:(,(1,)2-∞-+∞ ★解析:提示:设22,tan πθπθ<<-=x ,且4πθ≠,则)4sin(21cos sin 11tan cos 1)(πθθθθθ-=-=-=x f .设)4sin(2πθ-=u ,则12<≤-u ,且0≠u ,所以 ),1(]22,(1)(+∞--∞∈= u x f .2011A 3、设b a ,为正实数,2211≤+ba ,32)(4)(ab b a =-,则=b a log ◆答案: 1- ★解析:由2211≤+ba ,得ab b a 22≤+. 又 23322)(8)(24)(44)(4)(ab ab ab ab ab b a ab b a =⋅⋅≥+=-+=+,即ab b a 22≥+. ①于是 ab b a 22=+.②再由不等式①中等号成立的条件,得1=ab .与②联立解得⎩⎨⎧+=-=,12,12b a 或⎩⎨⎧-=+=,12,12b a ,故1log -=b a .2011A 4、如果)cos (sin 7sin cos 3355θθθθ-<-,)2,0[πθ∈,那么θ的取值范围为◆答案: ⎪⎭⎫⎝⎛45,4ππ ★解析:不等式)cos (sin 7sin cos 3355θθθθ-<-等价于θθθθ5353cos 71cos sin 71sin +>+. 又5371)(x x x f +=是),(+∞-∞上的增函数,所以θθcos sin >, 故∈+<<+k k k (45242ππθππZ ).因为)2,0[πθ∈,所以θ的取值范围是⎪⎭⎫⎝⎛45,4ππ.2011A 5、现安排7名同学去参加5个运动项目,要求甲、乙两同学不能参加同一个项目,每个项目都有人参加,每人只参加一个项目,则满足上述要求的不同安排方案数为 ◆答案:15000★解析:由题设条件可知,满足条件的方案有两种情形:(1)有一个项目有3人参加,共有3600!5!51537=⋅-⋅C C 种方案;(2)有两个项目各有2人参加,共有11400!5!5)(21252527=⋅-⋅⋅C C C 种方案; 所以满足题设要求的方案数为15000114003600=+.2011A 6、在四面体ABCD 中,已知060=∠=∠=∠CDA BDC ADB ,3==BD AD ,2=CD ,则在四面体ABCD 的外接球的半径为◆答案:★解析:设四面体ABCD 的外接球球心为O ,则O 在过△ABD 的外心N 且垂直于平面ABD 的垂线上.由题设知,ABD ∆是正三角形,则点N 为ABD ∆的中心.设M P ,分别为CD AB ,的中点,则N 在DP 上,且DP ON ⊥,CD OM ⊥.因为︒=∠=∠=∠60ADB CDB CDA ,设CD 与平面ABD 所成角为θ,可求得32sin ,31cos ==θθ.在DMN ∆中,33233232,121=⋅⋅=⋅===DP DN CD DM . 由余弦定理得231312)3(1222=⋅⋅⋅-+=MN,故2=MN .四边形DMON 的外接圆的直径 3322sin ===θMNOD .故球O 的半径3=R .2011A 7、直线012=--y x 与抛物线x y 42=交于B A ,两点,C 为抛物线上的一点,090=∠ACB ,则点C 的坐标为◆答案: )2,1(-或)6,9(-.★解析:设)2,(),,(),,(22211t t C y x B y x A ,由⎩⎨⎧==--,4,0122x y y x 得 0482=--y y ,则821=+y y ,421-=⋅y y .又12,122211+=+=y x y x ,所以182)(22121=++=+y y x x , 11)(24212121=+++⋅=⋅y y y y x x .因为︒=∠90ACB ,所以0=⋅CB CA ,即有0)2)(2())((212212=--+--y t y t x t x t ,即0)(24)(21212212214=⋅++-+⋅++-y y t y y t x x t x x t ,即03161424=---t t t ,即0)14)(34(22=--++t t t t .显然0142≠--t t ,否则01222=-⋅-t t ,则点C 在直线012=--y x 上,从而点C 与点A 或点B 重合.所以0342=++t t ,解得3,121-=-=t t .故所求点C 的坐标为)2,1(-或)6,9(-.2011A 8、已知()nnnn C a ⎪⎭⎫⎝⎛=-2162003200(95,,2,1 =n ),则数列{}n a 中整数项的个数为 ◆答案: 15★解析:由题意 =n a 65400320020023n nnC --⋅⋅.要使)951(≤≤n a n 为整数,必有65400,3200nn --均为整数,从而4|6+n . 当=n 2,8,14,20,26,32,38,44,50,56,62,68,74,80时,3200n -和65400n-均为非负整数,所以n a 为整数,共有14个.当86=n 时,=86a 5388620023-⋅⋅C ,在!114!86!20086200⋅=C 中,!200中因数2的个数为1972200220022002200220022002200765432=⎥⎦⎤⎢⎣⎡+⎥⎦⎤⎢⎣⎡+⎥⎦⎤⎢⎣⎡+⎥⎦⎤⎢⎣⎡+⎥⎦⎤⎢⎣⎡+⎥⎦⎤⎢⎣⎡+⎥⎦⎤⎢⎣⎡, 同理可计算得!86中因数2的个数为82,!114中因数2的个数为110,所以86200C 中因数2的个数为511082197=--,故86a 是整数.当92=n 时,=92a 10369220023-⋅⋅C ,在!108!92!20092200⋅=C 中,同样可求得!92中因数2的个数为88,!108中因数2的个数为105,故86200C 中因数2的个数为410588197=--,故92a 不是整数.因此,整数项的个数为15114=+.二、解答题:本大题共3小题,共56分。
一、填空题(每小题8分,共64分)1.设集合},,,{4321a a a a A =,若A 中所有三元子集的三个元素之和组成的集合为}8,5,3,1{-=B ,则集合=A .2.函数11)(2-+=x x x f 的值域为 . 3.设b a ,为正实数,2211≤+ba ,32)(4)(ab b a =-,则=b a log . 4.如果)cos (sin 7sin cos 3355θθθθ-<-,)2,0[πθ∈,那么θ的取值范围是 .二、解答题(本大题共3小题,共56分)9.(16分)设函数|)1lg(|)(+=x x f ,实数)(,b a b a <满足21()(++-=b b f a f ,2lg 4)21610(=++b a f ,求b a ,的值.10.(20分)已知数列}{n a 满足:∈-=t t a (321R 且)1±≠t ,121)1(2)32(11-+--+-=++nn n n n n t a t t a t a ∈n (N )*. (1)求数列}{n a 的通项公式;(2)若0>t ,试比较1+n a 与n a 的大小.11.(本小题满分20分)作斜率为31的直线l 与椭圆C :143622=+y x 交于B A ,两点(如图所示),且)2,23(P 在直线l 的左上方.(1)证明:△PAB 的内切圆的圆心在一条定直线上;(2)若︒=∠60APB ,求△PAB 的面积.加 试1. (40分)如图,Q P ,分别是圆内接四边形ABCD 的对角线BD AC ,的中点.若DPA BPA ∠=∠,证明:CQB AQB ∠=∠.2. (40分)证明:对任意整数4≥n ,存在一个n 次多项式0111)(a x a x a x x f n n n ++++=--具有如下性质:4.(50分)设A 是一个93⨯的方格表,在每一个小方格内各填一个正整数.称A 中的一个)91,31(≤≤≤≤⨯n m n m 方格表为“好矩形”,若它的所有数的和为10的倍数.称A 中的一个11⨯的小方格为“坏格”,若它不包含于任何一个“好矩形”.求A 中“坏格”个数的最大值。
2011年全国高中数学联合竞赛第一试一、填空题:本大题共8小题,每小题8分,共64分.把答案填在横线上.1.设集合{}1234,,,A a a a a =,若中所有三元子集的三个元素之和组成的集合为{}1,3,5,8B =-,则集合 .2.函数()f x =的值域为 .3.设为正实数,11a b+≤()()234a b ab -=,则 .4.如果()5533cos sin 7sin cos θθθθ-<-,[)0,2θπ∈,那么的取值范围是 .5.现安排7名同学去参加5个运动项目,要求甲、乙两同学不能参加同一个项目,每个项目都有人参加,每人只参加一个项目,则满足上述要求的不同安排方案数为 .(用数字作答)6.在四面体中,已知60ADB BDC CDA ∠=∠=∠=︒,3AD BD ==,2CD =,则四面体的外接球的半径为 .7.直线210x y --=与抛物线24y x =交于,A B 两点,C 为抛物线上的一点,90ACB ∠=︒,则点C 的坐标为 .8.已知()2002001,2,,95nnnn a C n -=⋅⋅=,则数列{}n a 中整数项的个数为 .二、解答题:本大题共3小题,共56分.解答应写出文字说明、证明过程或演算步骤.9.设函数()()lg 1f x x =+,实数(),a b a b <满足()12b f a f b +⎛⎫=- ⎪+⎝⎭,()106214lg 2f a b ++=,求,a b 的值.10.已知数列满足:()1231a t t t =-∈≠±R 且,()()()112321121n n n n n n t a t t a n a t ++-+--=∈+-N .(1)求数列{}n a 的通项公式; (2)若0t >,试比较与的大小.11.作斜率为13的直线l 与椭圆C :221364x y +=交于A 、B 两点(如图所示),且(P 在直线l 的左上方.(1)证明:△P AB 的内切圆的圆心在一条定直线上; (2)若60APB ∠=︒,求△P AB 的面积.加试一、(本题满分40分)如图,P,Q分别是圆内接四边形ABCD的对角线AC,BD的中点.若∠=∠.∠=∠,证明:AQB CQBBPA DPA二、(本题满分40分)证明:对任意整数,存在一个次多项式()1110n n n f x x a x a x a --=++++具有如下性质:(1)011,,,n a a a -均为正整数;(2)对任意正整数,及任意()2k k ≥个互不相同的正整数12,,,k r r r ,均有()()()()21k f m f r f r f r ≠.三、(本题满分50分)设()12,,,4n a a a n ≥是给定的正实数,12n a a a <<<.对任意正实数,满足()1j i k ja a r i j k n a a -=≤<<≤-的三元数组(),,i j k 的个数记为()n f r .证明:()24n n f r <.四、(本题满分50分)设A是一个39⨯的方格表,在每一个小方格内各填一个正整数.称A中的一个()⨯≤≤≤≤方格表为“好矩形”,若它的所有数的和为10的倍数.称A中的一个的m n m n13,19小方格为“坏格”,若它不包含于任何一个“好矩形”.求A中“坏格”个数的最大值.。
一、填空题:本大题共8小题,每小题8分,满分64分.把答案填在横线上.
1.设集合A ={a 1,a 2,a 3,a 4},若A 中所有三元子集的三个元素之和组成的集合为B ={−1,3,5,8},则集合A =.
2.函数f (x )=√x 2+1x −1的值域为.
3.设a,b 为正实数,1a +1b
⩽2√2,(a −b )2=4(ab )3,则log a b =.4.如果cos 5θ−sin 5θ<7(sin 3θ−cos 3θ),θ∈[0,2π),那么θ的取值范围是
.
5.现安排7名同学去参加5个运动项目,要求甲、乙两同学不能参加同一个项目,每个项目都有人参加,每人只参加一个项目,则满足上述要求的不同安排方案数为.(用数字作答)
6.在四面体ABCD 中,已知∠ADB =∠BDC =∠CDA =60◦,AD =BD =3,CD =2,则四面体ABCD 的外接球的半径为.
7.直线x −2y −1=0与抛物线y 2=4x 交于A 、B 两点,C 为抛物线上的一点,∠ACB =90◦,则点C 的坐标为.8.已知a n =C n 200· 3√6 200−n · 1√2
n (n =1,2,···,95),则数列{a n }中整数项的个数为.
二、解答题:本大题共3小题,满分56分.解答应写出文字说明、证明过程或演算步骤.9.设函数f (x )=|lg (x +1)|,实数a,b (a <b )满足f (a )=f −b +1b +2 ,f (10a +6b +21)=4lg 2,求a,b 的值.
10.已知数列{a n }满足:a 1=2t −3(t ∈R 且t =±1),
a n +1=(2t n +1−3)a n +2(t −1)t n −1a n +2t n −1
(n ∈N ∗).(1)求数列{a n }的通项公式;
(2)若t >0,试比较a n +1与a n 的大小
.
2011年全国高中数学联合竞赛试题(A 卷)
11.作斜率为13的直线l 与椭圆C :x 236+y 2
4=1交于A,B 两点(如图所示),
且P (3√2,√2)在直线l 的左上方.
(1)证明:△P AB 的内切圆的圆心在一
条定直线上;
(2)若∠AP B =60◦,求△P AB 的面积.。