一年级语文上册第四单元 单元知识
- 格式:docx
- 大小:21.10 KB
- 文档页数:7
一年级语文上册第四单元的必背知识点一、课文及内容理解本单元通常包括 《秋天》、《小小的船》、《江南》和 《四季》等课文。
《秋天》:描绘初秋季节典型景物的变化,展现秋天的美丽景色和作者对秋天的喜爱。
《小小的船》:是叶圣陶先生写的一首儿童诗歌,充满童趣和想象。
《江南》:古诗,写江南水乡人们采莲的情景,语言生动活泼。
《四季》:诗歌,通过描述四季代表性事物,表现春、夏、秋、冬不同的景色。
二、生字词及拼音本单元要求学生掌握一定数量的生字词及其拼音,包括:秋天、树叶、小船、闪闪、莲叶、采莲、四个、不是等词语及其拼音。
易写错的字如 “了”、“子”、“头”、“里”、“西”的笔顺。
会认的字如秋、气、树、叶、片、飞、会、个、的、船等,学生需能准确读出它们的音并理解字义。
三、词语搭配与积累形容词搭配:如 “弯弯的月儿”、“小小的船”、“闪闪的星星”、“蓝蓝的天”等。
动词搭配:如“顽皮地说”等。
“××的”式词语:如弯弯的、小小的、闪闪的、蓝蓝的等,用于描述事物的特征。
四、近义词与反义词近义词:如落—降、凉—冷、来—到、采—摘、弯—曲、里—内、看—观、顽皮—淘气等。
反义词:如凉—热、落—升、头—尾、坐—立、高—低、来—去、弯—直、小—大、尖—钝、里—外、南—北、东—西、是—非、顽皮—乖巧等。
五、句子与佳句积累积累一些优美的句子和段落,如 “弯弯的月儿小小的船,小小的船儿两头尖”、“一年之计在于春,一日之计在于晨”等。
通过背诵课文和佳句,提高学生的语言表达能力和审美情趣。
六、口语交际与语文园地口语交际:本单元可能包含 “我们做朋友”等口语交际内容,旨在培养学生的口头表达能力和社交能力。
语文园地:可能包括 “识字加油站”、“字词句运用”、“展示台”、“日积月累”、“和大人一起读”等栏目,帮助学生巩固所学知识并拓展阅读视野。
七、其他知识点偏旁部首:认识并学习本单元生字的偏旁部首,有助于理解和记忆生字。
笔画顺序:掌握本单元生字的正确笔画顺序,规范书写。
第四单元单元解读【人文主题】本单元是第三个拼音单元,共安排了5课拼音和1个语文园地,学习内容包括8个复韵母、1个特殊韵母、9个鼻韵母和6个整体认读音节、相关的音节拼读练习以及音节词的书写,还穿插安排了词语、识字和儿歌。
教材继续借助情境图学习复韵母。
这些情境图大多直接以相应的事物提示复韵母的读音,如,“海鸥”的“欧”提示ou的读音,“天安门”的“安”提示an 的读音。
有的复韵母没有对应的常用字,图画无法直接提示这些复韵母的读音,在这种情况下,图画呈现的是包含相关复韵母的音节,如,借助“杯bei”学习复韵母ei,借助“床chuɑng”学习复韵母ɑng。
这些情境图充分利用学生的口语基础和生活经验,在帮助学生学习相关韵母的同时,培养学生的观察能力和口语表达能力。
每课安排的常用音节、词语和儿歌,是为了巩固所学的韵母,在丰富多样的学习活动中学会准确拼读音节,借助拼音识字学词,同时在真实的语境中学拼音、用拼音,体会拼音学习的价值。
本单元一共要求认读30个生字,将识字与拼音的学习有机地融为一体,拼音帮助认识生字,汉字帮助读准拼音,学生学以致用,从中体会拼音学习的价值。
【语文要素】①文化自信:学生是第一次接触复韵母,所以容易产生畏难情绪。
教学时,老师可以充分利用插图,先是整体认读后再教授发音方法;还可以与单韵母ɑ、e、u比较体会,两者的区别在于口形是否有变化。
②语言运用:正确认读ɑi、ei等8个复韵母,1个特殊韵母er,ɑn、en等5个前鼻韵母,ɑng 、eng等4个后鼻母,ye、yue等6个整体认读音节;掌握两拼音节和三拼音节的拼读方法,正确拼读声母和复韵母组成的音节。
③思维能力:可以鼓励学生运用已经掌握的声母与单韵母的拼读方法大胆尝试。
在拼读音节时,要联系学生的口语经验,调动学生的生活积累,把音节和学生熟悉的事物对应起来。
④审美创造:要求学生认读的不只是一个个孤立的音节,而是赋予汉语意义的音节,使学生深深体会到,拼音既可以帮助识字,拼音又可以帮助阅读,它使学生了解学习汉语拼音的意义所在,更加激发学好汉语。
一年级语文上册第四单元知识点1、一年级语文上册第四单元知识点一、易读错的字树(shù √ sù)叶小船(chuán √ cuán)闪(shǎn √ sǎn)闪莲(lián√ nián)叶采(cǎi√ chǎi)莲四(sì √ shì)个不是(shì √ sì)二、易写错的字了:第一笔是横撇,第二笔是弯钩。
子:第一笔是横撇,第二笔是弯钩。
头:最后一笔是点。
里:第四笔是横,第五笔是竖。
西:第五笔是竖弯。
三、会认的字秋(qiū)(秋天)(深秋)(秋风)气(qì)(天气)(气体)(气球)树(shù)(树木)(大树)(树苗)叶(yè)(树叶)(绿叶)(叶子)片(piàn)(一片)(几片)(纸片)飞(fēi)(飞机)(飞鸟)(飞天)会(huì)(开会)(学会)(一会儿)个(gè)(一个)(个别)(个子)的(de)(好的)(你的)船(chuán)(小船)(飞船)(船只)两(liǎng)(两个)(两人)在(zài)(正在)(好在)看(kàn)(看见)(看到)(看一看)见(jiàn)(看见)(见到)(见面)闪(shǎn)(闪光)(闪开)(闪亮)星(xīng)(星星)(星光)(星空)江(jiāng)(江南)(长江)(江河)南(nán)(南方)(江南)(南面)采(cǎi)(采莲)(采花)(采摘)莲(lián)(莲花)(莲叶)(莲子)鱼(yú)(鱼儿)(小鱼)(金鱼)北(běi)(北方)(北边)(北京)尖(jiān)(笔尖)(山尖)(尖尖的)说(shuō)(说话)(听说)(说一说)春(chūn)(春天)(春色)(春景)青(qīng)(青色)(青山)(青天)蛙(wā)(青蛙)(牛蛙)夏(xià)(夏天)(夏季)(盛夏)弯(wān)(弯曲)(弯路)(弯月)地(de)(轻轻地)(慢慢地)就(jiù)(就是)(就好)冬(dōng)(冬天)(冬季)(冬雪)四、会写的字了(走了)(好了)(来了)子(叶子)(儿子)(学子)人(人们)(人口)(大人)大(大雁)(大小)(大家)月(月亮)(明月)(满月)儿(月儿)(儿童)(鸟儿)头(头发)(石头)(头脑)里(里面)(这里)(心里)可(可口)(可以)(可是)东(东方)(东边)(广东)西(西方)(西边)(向西)天(白天)(天气)(天空)四(四月)(四个)(四十)是(是非)(不是)(是否)女(女生)(女儿)(女孩)开(开关)(开门)(开学)五、会写的词语来了儿子大人月光头发里面可口东西白天四方可是女子开水六、多音字七、同音字八、形近字九、近义词落—降凉—冷来—到采—摘弯—曲里—内看—观顽皮—淘气十、反义词凉—热落—升头—尾坐—立高—低来—去弯—直小—大尖—钝里—外南—北东—西是—非顽皮—乖巧十一、词语搭配1.形容词搭配(弯弯)的月儿(小小)的船(闪闪)的星星(蓝蓝)的天2.动词搭配(顽皮)地说十二、词语积累【“××的”式词语】弯弯的小小的闪闪的蓝蓝的十三、佳句积累1. 弯弯的月儿小小的船,小小的船儿两头尖。
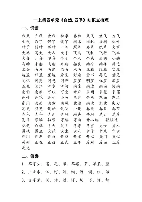
一上第四单元《自然.四季》知识点梳理一、词语秋天立秋金秋秋季春秋天气空气力气生气为了好了黄了树木树林果树树叶叶子竹叶落叶一片照片名片纸片大家大地高大大人大手飞鸟飞机飞行飞车大会开会学会个子个人个头好的小的有的小船飞船木船船头两个两年两边木头头发头皮石头木头正在现在实在这里那里里边看见好看看书再见意见见识闪亮闪光闪开星星明星红星歌星五星长江江水江河南京南边南面河南南北南瓜可以可爱开采采用采花采莲莲叶莲花莲子小鱼鱼片金鱼东面东风东门西面西方西风北边南北东北尖刀笔尖指尖说话说明小说春天春日春节春色青年青山青蛙蛙声牛蛙夏天夏季夏日弯腰转弯弯路弯曲开心地轻轻地就是成就冬天过冬冬季冬雪男女男人男孩男生女孩女生女人女子女儿少女开门开车开放开口开水开心关门关心关爱正在正好正式正午反对反面正反反光二、偏旁1. 草字头:莲、花、草、草莓、芽、苹果、蓝2.三点水:江、河、泪、湖、海、洞、法、活3.言字旁:说、话、语、课、词、语、许、诗4.虫子旁:青蛙、蜗牛5.折文旁:冬、夏、处6.反文旁:数、放7.木字旁:树、桃、杏、棋、森林8.口字旁:叶、吗、呢、吧9.人字头:全、会10.门字框:闪、问二、“一”的变调yí:一片片树叶一会儿一寸光阴一寸金,寸金难买寸光阴。
yì:一群大雁一排一群大雁往南飞,一会儿排成个“人”字,一会儿排成个“一”字。
一年之计在于春,一日之计在于晨。
三、量词:一片片树叶、一片片羽毛、一片片云朵一片片()一片片()四、照样子写话例:秋天来了,天气凉了,树叶黄了。
秋天来了,小草黄了,菊花开了。
秋天来了,梨子黄了,苹果红了。
五、读一读,照样子写一写。
弯弯的月儿弯弯的小河弯弯的眉毛小小的船小小的米粒小小的沙粒闪闪的星星闪闪的宝石闪闪的灯光蓝蓝的天蓝蓝的大海蓝蓝的湖水草芽尖尖尖尖的草芽荷叶圆圆圆圆的荷叶谷穗弯弯弯弯的谷穗六、多音字地:dì1. 大地、土地、天地、田地、土地2.大树旁边的地里种了许多花生。
2 /
3 第四单元 单元知识小结
一、易读错的字
树.
(shù √ sù) 叶 小船.(chuán √ cuán) 闪.(shǎn √ sǎn)闪 莲.
(lián√ nián) 叶 采.(cǎi√ chǎi) 莲 四.
(sì √ shì)个 不是.
(shì √ sì) 二、易写错的字
了:第一笔是横撇,第二笔是弯钩。
子:第一笔是横撇,第二笔是弯钩。
头:最后一笔是点。
里:第四笔是横,第五笔是竖。
西:第五笔是竖弯。
三、会写的词语
来了 儿子 大人 月光 头发 里面 可口
东西 白天 四方 可是 女子 开水
四、多音字
了⎩⎪⎨⎪⎧le (好了)liǎo (了不起) 会⎩⎪⎨⎪⎧hu ì(开会)ku ài (会计) 空⎩⎪⎨⎪⎧k ōng (天空)k òng (空格) 看⎩⎪⎨⎪⎧k àn (看见) k ān (看守) 地⎩⎪⎨⎪⎧de (满意地)dì(土地) 只⎩⎪⎨⎪⎧zhī(一只)zhǐ(只是) 大⎩⎪⎨⎪⎧dà(大人)dài (大夫) 间⎩⎪⎨⎪⎧jiān (中间)jiàn (间隙) 五、同音字
qì⎩⎪⎨⎪⎧气(气球)汽(汽车) lǐ⎩⎪⎨⎪⎧里(里边)李(姓李) dōng ⎩⎪⎨⎪⎧东(东西 )冬(冬天) qīng ⎩⎪⎨⎪⎧青(青草)清(清水)
六、形近字
⎩⎪⎨⎪⎧了(到了)子(儿子) ⎩⎪⎨⎪⎧人(人们)入(入口) ⎩⎪⎨⎪⎧大(大家)太(太阳)。
第四单元:风筝(知识必记)一、识字1. 生活词汇•风筝:风筝是一种在风力的作用下飞翔的玩具。
•风筝线:用来牵引风筝的线,通常由柳条、麻线等制成。
•天空:大气层的上部,是云和鸟类活动的空间。
•风:大气运动的一种,通常带有气流和温度变化。
•鸟儿:指雀类和鸽类等飞禽。
2. 字词•风(fēng):指空气移动的现象。
•筝(zhēng):民间乐器的一种,通常有丝弦。
•拴(shuān):用绳索等捆绑物品。
•笔(bǐ):书写或绘画时使用的工具。
二、课文内容本单元的主要课文《风筝》讲述了小男孩小飞和小女孩小妍一起放风筝的故事。
小飞因为风筝线太粗,风筝飞不高;小妍建议用香肠线,结果风筝飞得很高。
最后小飞和小妍一起拉着风筝向远处跑去,拉风筝的线感觉很像在拉小飞燕。
三、写作内容1. 描述风筝风筝是一种古老的玩具,外形多为长方形或lae格形。
风筝通常由竹子和纸等材料制成,通过适当的设计和材料选择,使得风筝在风的作用下能够飞翔。
风筝线固定在风筝的上部,人们可以通过拉动风筝线控制风筝的高度和飞行方向。
2. 风筝的制作和飞行风筝的制作一般需要选用轻、坚韧的材料,并按照一定的比例和构造设计。
在飞行风筝时,需要选择适当的场地和天气条件。
人们在风筝线上加上适当的挂物,可以让风筝在空中更加美观、稳定和有趣。
3. 风筝的文化意义风筝不仅是一种娱乐活动,还具有深厚的文化内涵。
在中国传统文化中,风筝有着象征吉祥、祈福和追求自由的含义。
人们放风筝不仅是为了放飞自己的心情,也是希望风筝飞得越高越好,寓意着希望家庭事业兴旺、生活稳定幸福。
四、名称解释在本单元中,“风筝”一词的意思是指为了风筝的高飞,同时也为了家庭、学习和生活等方面都能顺利前进,获得成功和幸福的象征。
五、诗词赏析《蜻蜓》蜻蜓轻舒细翅,微风轻抚葱草,风筝高飞似金龙;筝声飘扬催心赏,文墨斜日是良辰。
六、必背习题1.用一句话概括《风筝》这篇课文的主题。
2.对比描述小飞用粗线和用细线放风筝的不同情况。
2024版一年级语文上册“第四单元汉语拼音”必背知识点一、复韵母与鼻韵母1.复韵母定义:由两个或三个元音结合而成的韵母。
本单元涉及的复韵母:ɑi、ei、ui、ɑo、ou、iu、ie、üe、er。
ɑi:发音时,由ɑ向i滑动,如“白菜”的“白”。
ei:发音时,由e向i滑动,如“飞机”的“飞”。
ui:发音时,由u向ei滑动,如“围巾”的“围”。
ɑo:发音时,由ɑ向o滑动,如“棉袄”的“袄”。
ou:发音时,由o向u滑动,如“莲藕”的“藕”。
iu:发音时,由i向u滑动,如“游泳”的“游”。
ie:发音时,由i向e滑动,如“树叶”的“叶”。
üe:发音时,由ü向e滑动,如“月亮”的“月”。
er:特殊韵母,发音时舌头卷起,如“儿子”的“儿”。
2.鼻韵母定义:发音时以鼻辅音n或nɡ收尾的韵母。
本单元涉及的前鼻韵母:ɑn、en、in、un、ün。
ɑn:如“安全”的“安”。
en:如“门铃”的“门”。
in:如“音乐”的“音”。
un:如“蚊子”的“蚊”。
ün:如“云朵”的“云”。
本单元涉及的后鼻韵母:ɑnɡ、enɡ、inɡ、onɡ。
ɑnɡ:如“山羊”的“羊”。
enɡ:如“台灯”的“灯”。
inɡ:如“老鹰”的“鹰”。
onɡ:如“闹钟”的“钟”。
二、整体认读音节定义:整体认读音节一般是指添加一个声母后读音仍和韵母一样的音节(yuan比较特殊),也就是指不用拼读即直接认读的音节。
本单元涉及的整体认读音节:ye、yue、yuɑn、yin、yun、yinɡ。
这些音节在拼音中不能拆开拼读,需要整体认读。
三、拼读规则标调规则:标调时,有ɑ不放过,无ɑ找o、e;i、u并列标在后,i上标调点去掉。
隔音符号:以ɑ、o、e开头的音节连接在其他音节后面时,如果音节的界限容易混淆,就用隔音符号(’)隔开。
y、w的使用:i作韵母或以i开头的韵母,前面没有声母时,应加上y 或将i改为y,如:yí(i)、ye(ie)。
单元重点❶《ɑi ei ui》学习复韵母ɑi ei ui 及四个声调;正确拼读声母和三个复韵母组成的音节。
了解复韵母标调规则。
❷《ɑo ou iu》学习复韵母ɑo ou iu 的正确认读及声母和它们组成音节的正确拼读。
❸《ie üe er》学习复韵母ie üe,特殊韵母er 和整体认读音节ye yue 的正确认读,声母和ie üe 组成音节的正确拼读。
❹《ɑn en in un ün》学习前鼻韵母和整体认读音节yuɑn、yin、yun 的认读,声母和前鼻韵母的拼读,以及三拼音节的正确拼读。
❺《ɑnɡenɡinɡonɡ》学习后鼻韵母和整体认读音节yinɡ的正确认读,声母和后鼻韵母组成音节的正确拼读。
❻语文园地四:读记字母表,能区分声母、韵母、整体认读音节;通过归类练习,训练口语表达能力和逻辑思维能力。
基础知识梳理一、拼音◎复韵母8个:aiei ui ao ou iu ie üe◎特殊韵母1个:er 它不能和声母相拼,只单独作为字音。
◎鼻韵母分为前鼻音和后鼻音:★前鼻音5个:an en in un ün ★后鼻音4个:angenging ong◎整体认读音节:zhi chishi ri zi ci si yi wu yu ye yue yuan yin yun ying二、笔画盘点三、偏旁盘点四、会认的字白(bái)菜(cài)西(xī)瓜(guā)果(guǒ)小(xiǎo)桥(qiáo)流(liú)柳(liǔ)开(kāi)雪(xuě)夜(yè)色(sè)美(měi)蓝(lán)云(yún)草(cǎo)原(yuán)冰(bīng)自(zì)行(xíng)车(chē)晚(wǎn)昨(zuó)今(jīn)明(míng)个(gè)这(zhè)去(qù)年(nián)五、重点词语萝卜白菜蔬菜鸭梨西瓜水果小桥流水垂柳梅花开雪花飘夜色美蓝天白云草原森林游泳滑冰骑自行车打乒乓球叽叽喳喳六、读一读1.《洗手歌》排着队,向前走,做什么?去洗手。
部编版一上第四单元基础复习【知识梳理】第四单元基础知识梳理一、易读错字。
二、一(yí)片片一(yì)群大雁一(yí)会儿第一(yī)三、易写错的字了:第一笔是横撤,第二笔是弯钩。
子:第一笔是横撤,第二笔是弯钩。
头:最后一笔是长点。
里:注意笔顺,先写“日”再写竖,最后写两横。
西:第五笔是竖弯,不要写钩。
四、认识新偏旁。
树:木木字旁叶:口口字旁会:人人字头闪:门门字框江:氵三点水莲:艹草字头说:讠言字旁蛙:虫虫字旁夏:夂折文五、一字组多词。
rén人:行人大人人间dà大:大米大小大水yuè月:月光月亮正月ér儿:儿子女儿儿歌kě可:可笑可心可人dōng东:东风东西东门tiān天:今天天气秋天sì四:四面四个四月shì是:是的不是可是shù树:树木大树树苗yè叶:树叶绿叶叶子piàn片:一片几片纸片fēi飞:飞机飞鸟飞天huì会:开会学会一会儿gè个:一个个别个子 de 的:好的你的chuán船:小船飞船船只liǎng两:两个两人zài在:正在好在) kàn看:看见看到看看jiàn见:看见见到见面shǎn闪:闪光闪开闪亮xīng星:星星星光星空jiāng江:江南长江江河nán南:南方江南南面cǎi采:采莲采花采摘lián莲:莲花莲叶莲子yú鱼:鱼儿小鱼金鱼běi北:北方北边北京jiān尖:笔尖山尖尖尖的shuō说:说话听说说一说chūn春:春天春色春景qīng青:请色青山青天wā蛙:青蛙牛蛙xià夏:夏天夏季夏wān弯:曲路弯月de 地:轻轻地慢慢地jiù就:就是就好dōng冬:冬天冬季冬雪八、了(好了)月(月儿)人(好人)子(儿子)目(目光)入(入口)大(大人)儿(小儿)天(上天)太(太好)几(几朵)夫(丈夫)东(东面)西(西面)开(开水)车(小车)四(四朵)井(井口)九、重点词语秋天天气好了一片大人树叶飞机开会一个我测小船两头正在里面可以闪亮星光看见春天夏天弯曲皮球冬天青蛙鱼儿尖尖说话东方西北采莲男女开心地跳开关正反江南十、近义词落—降凉—冷弯—曲里—内看—观顽皮—淘气十一、反义词凉—热高—低弯—直里—外南—北东—西正—反十二、词语积累。
第四单元基础复习单元知识小结一、字(一)易读错的字(二)易写错的字了:第一笔是横撤,不要写成横钩,第二笔是弯钩。
子:第一笔是横撤,第二笔是弯钩。
头:最后一笔是长点。
里:注意笔顺,先写“日”再写竖,最后写两横。
西:第五笔是竖弯,不要写钩。
人:撇与捺要协调,在田字格中的占位要正。
儿:最后一笔是竖弯钩,不要写成斜钩。
可:第五笔是竖钩,不是横。
是:上部是“日”,不要写成“口”或“目”。
女:第一笔是撇点,不是横。
(三)注意字形了:子:头:里:西:女:开:月:儿:可:(四)掌握常见的笔画和偏旁(五)易混淆的字了(好了)月(月亮)人(人民)星(星星)子(子女)目(目光)入(入口)里(里面)大(大小)儿(儿子)天(天上)是(不是)太(太阳)几(几个)夫(夫人)足(足球)东(东西)西(西方)开(开关)天(天空)车(车子)四(四朵)井(井口)大(长大)二、词(一)词语听写(二)近义词凉一冷落一降来一回弯一曲里一内顽皮一淘气(三)反义词凉一热落一升来一去小一大弯一直里一外开一关高一低东一西南一北是一否正一反上一下男一女(四)词语积累1.由反义词组成的词语:男女开关大小来回上下好坏黑白前后左右动静老少2.ABB式的数量词:一片片一张张一个个一朵朵一件件一匹匹一只只3.XX的式的词语:弯弯的小小的闪闪的蓝蓝的4.表示方位:东南西北上下前后左右以后以前北边以上东边5.含“月”的词语:日积月累花好月圆日新月异月光如水6.含“秋”字的四字词语:秋收冬藏秋高气爽一叶知秋秋风萧瑟平分秋色老气横秋7.关于四季的词语:春天夏天秋天冬天穿暖花开春华秋实鸟语花香枝繁叶茂烈日炎炎骄阳似火秋高气爽一叶知秋秋风萧瑟白雪皑皑冰天雪地银装素裹8.量词积累:一片片叶子一群大雁9.修饰词积累:三、句(一)句子积累1.比喻句(1)弯弯的月儿小小的船,小小的船儿两头尖。
(2)秋风吹,树枝摇,红叶黄叶往下掉。
红树叶,黄树叶,片片飞来像蝴蝶。
(3)蓝蓝的天,白白的云,大雁成群往南行。
第四单元知识点整理 一、会hu ì认r èn 字z ì秋 气 了 树 叶 片 大 飞 会 个 的 船 两 头 在 里 看 见 闪 星 江 南可 采 莲 鱼 东 西 北 尖 说 春 青 蛙 夏 弯 地 就 冬 男 女 开 关 正反二、容r ón ɡ易y ì读d ú错cu ò的de 音y īn秋.天(qi ū√ q ū) 天气.(q ī q ì√) 树.叶(s ù sh ù√)叶.子(y è√ yi è) 飞.走(f ēi √ hu ī) 小船.(cu án chu án √)两.头(li ǎng √ ni ǎng )里.面(l ǐ√ n ǐ) 看.见(k ān k àn √)闪.光(s ǎn sh ǎn √) 星.星(x īn x īng √)江南.(l án n án √)采.莲(c ǎi √ ch ǎi ) 小鱼.(y ú √ y ǘ) 江.水(ji āng √ j āng )莲.叶(li án √ ni án )四.十(s ì √ sh ì) 说.话(su ō shu ō√)春.天(c ūn ch ūn √) 青.蛙(q īn q īng √) 是.的(s ì sh ì√)三、认r èn 识shi 新x īn 笔b ǐ画hu à、新x īn 偏pi ān 旁p án ɡ1. 新x īn 笔b ǐ画hu àh éng g ōu h éng zh é g ōu sh ù w ān g ōu sh ù g ōu2.新x īn 偏pi ān 旁p án ɡ 五、容r ón ɡ易y ì写xi ě错cu ò的de 字z ìSh ù w ān 木字旁(m ù z ì p áng )子: ,共(3)画,第一画是( 横钩 )。
第四单元知识归类了子人大月儿头里可东西天四是女开秋气了树叶片大飞会个月儿的船两头在里看见闪星江南可采莲鱼东西北天尖说春青蛙夏弯地就冬男女开关正反了(好了)人(人们)天(天上)四(四个)子(叶子)大(大家)头(里头)西(东西)了(完了好了晚了)子(儿子孩子子孙)人(人们大人人间)大(大地大小长大)秋(秋天秋季立秋)气(天气空气生气)树(树木树林大树)叶(叶子红叶树叶)片(一片卡片片面)飞(飞翔飞机起飞)会(开会会议学会)个(个头个子个人)月(月儿月亮新月)儿(儿童儿子少儿)头(头发头脑零头)里(里面里外里弄)的(我的你的他的)船(小船船长开船)两(两面两个两人)在(现在在家正在)看(看见观看不看)见(见面看见见到)闪(闪亮闪闪闪光)星(星辰星星星光)可(可以可爱可是)东(东面东西东风)西(西风西面西北)江(江水江东长江)南(南风南方南面)采(采花开采采购)莲(莲花白莲莲叶)鱼(钓鱼小鱼鱼钩)北(北面北风北方)天(天空天上飞天)四(四季四面四方)是(是否是非)尖(尖头尖叫笔尖)说(说话说书说法)春(春天春季春节)青(青蛙青草青色)蛙(青蛙蛙泳)夏(夏天夏季夏至)弯(弯曲弯月拐弯)地(土地地道地面)就(成就就是就业)冬(冬季冬天过冬)子 zi 叶子zǐ子女了liǎo了解le好了只zhǐ只有zhī一只地de轻轻地dì土地凉——暖冷——热落——升小——大东——西南——北是——否弯——直冬——夏上——下男——女正——反开——关顽皮——乖巧是——非来——去小小的船弯弯的月儿闪闪的星星蓝蓝的天尖尖的草芽圆圆的荷叶弯弯的谷穗顽皮的雪人1、弯弯的小小的船,小小的船儿两尖。
我在小小的船坐,只看见闪闪的星星蓝蓝的。
2、江南采莲,莲叶何田田。
鱼戏莲叶间。
鱼戏莲叶,鱼戏莲叶,鱼戏莲叶南,鱼戏莲叶北。
3、一年之计在于春,一日之计在于晨。
4、一寸光阴一寸金,寸金难买寸光阴。
5、雪人大肚子一挺,他顽皮地说:“我就冬天。
第四单元核心考点清单10 ai ei ui读准音紧紧挨着ai ai ai水杯喝水ei ei ei围在一起ui ui u i写好形ai ai ai ei ei ei ui ui ui拼读练习1.四声练习ai的四声调:āi āi āi挨得近,ái ái ái挨饿了,ǎi ǎi ǎi矮个子,ài ài ài爱学习。
ei的四声调:ēi ēi ēi危险啊,éi éi éi违规了,ěi ěi ěi小尾巴,èi èi èi喂饱了。
ui的四声调:uīuíuǐuì2.两拼音节g—āi→gāi l—èi→lèi h—uì→huì t—ái→tái g—ěi→gěi r—uì→ruì3.三拼音节g—u—āi →guāi h—u—ài →huài k—u—ài →kuài标调规则:出现a母别放过,没有a母找o、e,i、u并列标在后。
词语和识字lúo bo bái cài shū cài yā lí xī guā shuǐ guǒ萝卜白菜蔬菜鸭梨西瓜水果11 ao ou iu读准音厚厚棉袄ao ao ao莲藕莲藕ou ou ou一张邮票iu iu iu写好形ao ao ao ou ou ou iu iu iu拼读练习1.四声练习aoāoáoǎoào ouōuóuǒuòu iu iūiúiǔiù2.两拼音节z—ǎo→zǎo r—òu→ròu j—iù→jiù y—ào→yào y—óu→yóu n—iú→niú3.三拼音节t—i—ào →tiào n—i—ǎo →niǎo x—i—ǎo →xiǎo词语和识字xiǎo qiáo liú shuǐchuí liǔtáo huā小桥流水垂柳桃花12 ieüe er读准音椰树椰树ie ie ie月亮月亮üe üe üe耳朵耳朵er er er整体认读音节:ye yue写好形ie ie ie üe üe üe er er er比较记忆ie—eiüe—ie ie ie ie真调皮,非要小i换大y,整体认读ye ye ye。
第四单元1秋天一、会认字秋.天qiū天气.qì凉了.le树.木shù叶.子yè一片.piàn 大.雁dà飞.走fēi开会.huì一个.ɡè二、会写字走了.le 子.女ǐ人.口rén大.雁dà三、重点偏旁笔画木木字旁:树口口字旁:叶人人字头:会个横撇:了子水四、形近字错误!错误!错误!五、词语搭配量词搭配:一片片叶子一群大雁六、重点句子品析一群大雁往南飞,一会儿排成个“人”字,一会儿排成个“一”字。
“一会儿……一会儿……”表示大雁飞行时,经常变换队形。
七、疑难探究“一”有哪些变调规则?1“一”单独使用、用在词句末尾或作为序数“第一”时,读一声yī。
如:第一dì yī;2“一”在四声字的前面读二声yí。
如:一片yí piàn;3“一”在一、二、三声字的前面读四声yì。
如:一起yì qǐ。
八、课文结构秋天错误!景色优美九、课文回顾《秋天》抓住天气、树叶、天空、大雁等事物的特点,描写了秋高气爽、黄叶飘落、北雁南飞的景象,表达了作者对秋天的喜爱之情。
2小小的船一、会认字你的.de小船.chuán两.个liǎnɡ头.上tóu自在.ài里.面lǐ看见..àn jiàn闪.光shǎn星.星īnɡ二、会写字日月.yuè儿.子ér 头.发tóu 里.外lǐ三、重点偏旁笔画门门字框:闪横折钩:月竖弯钩:儿见四、词语搭配“的”字短语:弯弯的月儿小小的船闪闪的星星蓝蓝的天五、重点句子品析1.弯弯的月儿小小的船,小小的船儿两头尖。
运用比喻的修辞手法,把“弯弯的月儿”比作“小小的船”,形象而生动。
2.我在小小的船里坐,只看见闪闪的星星蓝蓝的天。
作者想象自己坐着月亮船在太空中漫游,和星星相伴,多么美妙又多么令人向往啊!六、课文结构小小的船错误!丰富的想象七、课文回顾《小小的船》以优美的语言、形象的比喻,描绘了夜空的美丽景象,表达了作者对大自然、对太空的向往之情。
第四单元单元知识一、易读错的字
树√sù)xx
.(shù
莲n)xx
.(lián√niá
不是√ sì)
.(shì小船n √cuán)
.(chuá
采
.(cǎi√ chǎi)莲闪
.(shǎn√ sǎn)闪四√shì)个.(sì
二、易写错的字
了:第一笔是横撇,第二笔是弯钩。
子:第一笔是横撇,第二笔是弯钩。
头:最后一笔是点。
里:第四笔是横,第五笔是竖。
西:第五笔是竖弯。
三、会写的词语
来了儿子大人月光头发里面可口
xx白天四方可是女子开水
四、多音字
huì(开会)
kōng(天空)
k
Àn(看见)le(好了)
会空看
了
ku
Ài(会计)kòng(空格)kān(看守) liǎo(了不起)
de(满意地)
地
(土地)
dì
zhī(一只)
只
zhǐ(只是)(大人)
dà
大
i (大夫)
dà
jiān(中间)间n (间隙)jià 五、同音字
xx(xx草)qīng
清(清水)
气(气球)
qì
汽(汽车)) 里(里边)
xx(xx
lǐdōng
xx(姓xx)
冬(冬天)
六、形近字了(到了) 子(儿子) 月(月光) 目(目光) 里(手里) 果(水果) 西(西面)
四(四天)
人(人们)
入(xx)
儿(花儿) 几(几个) 可(可是) xx(xx)
天(天空)
夫(夫人)大(大家)
太(xx)
头(头发)
斗(斗争)
xx(xx方)
车(大车)
开(开门)
井(xx)
七、近义词
落—降凉—冷来—到采—摘弯—xx—内看—观顽皮—淘气八、反义词
凉—热落—升头—尾坐—立高—低来—去弯—直
小—大尖—钝里—外南—北东—西是—非顽皮—乖巧
九、词语搭配
1.形容词搭配
(弯弯)的月儿(小小)的船
(闪闪)的星星(xx)的天
2.动词搭配
(顽皮)地说
十、词语积累
【“××的”式词语】
弯弯的小小的闪闪的蓝蓝的
十一、佳句积累
1.弯弯的月儿小小的船,小小的船儿两头尖。
2.江南可采莲,莲叶何田田。
鱼戏莲叶间。
鱼戏莲叶东,鱼戏莲叶西,鱼戏莲叶南,鱼戏莲叶北。
3.(1)一年之计在于春,一日之计在于晨。
(2)一寸光阴一寸金,寸金难买寸光阴。