2014年高考文科数学试题(广东卷)及参考答案
- 格式:doc
- 大小:1.48 MB
- 文档页数:9
2014高考广东卷文科数学及答案订正版一.选择题:本大题共10小题,每小题5分,共50分. 在每小题给出的四个选项中,只有一项是符合题目要求的。
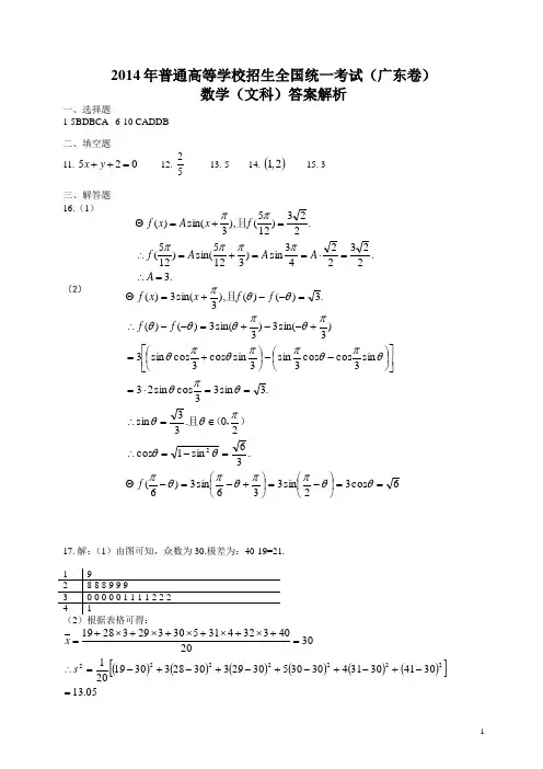
(1)已知集合{}{}5,3,2,0,4,3,2==N M ,则N M ( ) A. {}2,0 B. {}3,2 C. {}4,3 D. {}5,3 (2)已知复数z 满足25)43(=-z i ,则=z ( )A.i 43--B. i 43+-C. i 43-D. i 43+(3)已知向量)1,3(),2,1(==b a,则=-a b ( )A. )1,2(-B. )1,2(-C. )0,2(D. )3,4((4)若变量y x ,满足约束条件⎪⎩⎪⎨⎧≤≤≤≤≤+304082y x y x 则y x z +=2的最大值等于( )A. 7B. 8C. 10D. 11 5.下列函数为奇函数的是( )A.x x 212-B.x x sin 3C.1cos 2+xD.xx 22+ 6.为了解1000名学生的学习情况,采用系统抽样的方法,从中抽取容量为40的样本,则分段的间隔为( ) A.50 B.40 C.25 D.207.在ABC ∆中,角A,B,C 所对应的边分别为,,,c b a 则“b a ≤”是“B A sin sin ≤”的( ) A.充分必要条件 B.充分非必要条件 C.必要非充分条件 D.非充分非必要条件8.若实数k 满足05k <<,则曲线221165x y k -=-与曲线221165x y k -=-的( ) A.实半轴长相等 B.虚半轴长相等 C.离心率相等 D.焦距相等9.若空间中四条两两不同的直线1234,,,l l l l ,满足122334,,,l l l l l l ⊥⊥∥则下列结论一定正确的是( ) A .14l l ⊥ B.14l l ∥ C.1l 与4l 既不垂直也不平行 D.1l 与4l 的位置关系不确定10.对任意复数12,,w w 定义1212,ωωωω*=其中2ω是2ω的共轭复数,对任意复数123,,z z z 有如下四个命题: ①1231323()()();z z z z z z z +*=*+*②1231213()()()z z z z z z z *+=*+*; ③123123()();z z z z z z **=**④1221z z z z *=*;则真命题的个数是( )A.1B.2C.3D.4二、填空题:本大题共5小题,考生作答4小题,每小题5分,满分20分. (一)必做题(11—13题)11.曲线53xy e =-+在点()0,2-处的切线方程为________.12.从字母,,,,a b c d e 中任取两个不同字母,则取字母a 的概率为________.13.等比数列{}n a 的各项均为正数,且154a a =,则2122232425log +log +log+log +log =a a a a a ____ .(二)选做题(14-15题,考生只能从中选做一题)14.(坐标系与参数方程选做题)在极坐标系中,曲线1C 与2C 的方程分别为θθρsin cos 22=与1cos =θρ,以极点为平面直角坐标系的原点,极轴为x 轴的正半轴,建立平面直角坐标系,则曲线1C 与2C 的直角坐标为________ 15.(几何证明选讲选做题)如图1,在平行四边形ABCD 中,点E 在AB 上且AC AE EB ,2=与DE 交于点F 则______=∆∆的周长的周长AEF CDF三.解答题:本大题共6小题,满分80分16.(本小题满分12分)已知函数()sin(),3f x A x x R π=+∈,且5()12f π=(1) 求A 的值;(2) 若()()(0,)2f f πθθθ--=∈,求()6f πθ-17(本小题满分13分)某车间20名工人年龄数据如下表: 年龄(岁)工人数(人)19 1 28 3 29 3 30 5 31 4 32 3 40 1 合计20(1) 求这20名工人年龄的众数与极差;(2) 以十位数为茎,个位数为叶,作出这20名工人年龄的茎叶图; (3) 求这20名工人年龄的方差.18(本小题满分13分)如图2,四边形ABCD 为矩形,PD ⊥平面ABCD ,AB=1,BC=PC=2,作如图3折叠,折痕EF ∥DC.其中点E ,F 分别在线段PD ,PC 上,沿EF 折叠后点P 在线段AD 上的点记为M ,并且MF ⊥CF. (1) 证明:CF ⊥平面MDF (2) 求三棱锥M-CDE 的体积.19.(本小题满分14分)设各项均为正数的数列{}n a 的前n 项和为n S ,且n S 满足()()*∈=+--+-N n n n S n n S n n ,033222.(1)求1a 的值;(2)求数列{}n a 的通项公式; (3)证明:对一切正整数n ,有()()().311111112211<+++++n n a a a a a a20(本小题满分14分)已知椭圆()01:2222>>=+b a b y a x C 的一个焦点为()0,5,离心率为35。
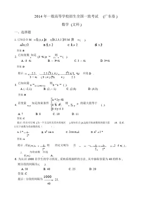
一.选择题:本大题共10小题,每小题5分,共50分. 在每小题给出的四个选项中,只有一项是符合题目要求的。
(1)已知集合{}{}5,3,2,0,4,3,2==N M ,则N M ( )A. {}2,0B. {}3,2C. {}4,3D. {}5,3 (2)已知复数z 满足25)43(=-z i ,则=z ( )A.i 43--B. i 43+-C. i 43-D. i 43+(3)已知向量)1,3(),2,1(==b a,则=-a b ( )A. )1,2(-B. )1,2(-C. )0,2(D. )3,4((4)若变量y x ,满足约束条件⎪⎩⎪⎨⎧≤≤≤≤≤+304082y x y x 则y x z +=2的最大值等于( )A. 7B. 8C. 10D. 11 5.下列函数为奇函数的是( )A.x x 212-B.x x sin 3C.1cos 2+xD.xx 22+ 6.为了解1000名学生的学习情况,采用系统抽样的方法,从中抽取容量为40的样本,则分段的间隔为( )A.50B.40C.25D.207.在ABC ∆中,角A,B,C 所对应的边分别为,,,c b a 则“b a ≤”是“B A sin sin ≤”的( ) A.充分必要条件 B.充分非必要条件 C.必要非充分条件 D.非充分非必要条件8.若实数k 满足05k <<,则曲线221165x y k -=-与曲线221165x y k -=-的( ) A.实半轴长相等 B.虚半轴长相等 C.离心率相等 D.焦距相等9.若空间中四条两两不同的直线1234,,,l l l l ,满足122334,,,l l l l l l ⊥⊥∥则下列结论一定正确的是( )A .14l l ⊥ B.14l l ∥ C.1l 与4l 既不垂直也不平行 D.1l 与4l 的位置关系不确定 10.对任意复数12,,w w 定义1212,ωωωω*=其中2ω是2ω的共轭复数,对任意复数123,,z z z 有如下四个命题:①1231323()()();z z z z z z z +*=*+*②1231213()()()z z z z z z z *+=*+*; ③123123()();z z z z z z **=**④1221z z z z *=*;则真命题的个数是( ) A.1 B.2 C.3 D.4二、填空题:本大题共5小题,考生作答4小题,每小题5分,满分20分. (一)必做题(11—13题)11.曲线53xy e =-+在点()0,2-处的切线方程为________.12.从字母,,,,a b c d e 中任取两个不同字母,则取字母a 的概率为________.13.等比数列{}n a 的各项均为正数,且154a a =,则2122232425log +log +log +log +log =a a a a a ________.(二)选做题(14-15题,考生只能从中选做一题)14.(坐标系与参数方程选做题)在极坐标系中,曲线1C 与2C 的方程分别为θθρsin cos 22=与1cos =θρ,以极点为平面直角坐标系的原点,极轴为x 轴的正半轴,建立平面直角坐标系,则曲线1C 与2C 的直角坐标为________15.(几何证明选讲选做题)如图1,在平行四边形ABCD 中,点E 在AB 上且AC AE EB ,2=与DE 交于点F 则______=∆∆的周长的周长AEF CDF三.解答题:本大题共6小题,满分80分 16.(本小题满分12分) 已知函数()sin(),3f x A x x R π=+∈,且532()122f π=(1) 求A 的值;(2) 若()()3,(0,)2f f πθθθ--=∈,求()6f πθ-17(本小题满分13分)某车间20名工人年龄数据如下表: 年龄(岁) 工人数(人)19 1 28 3 29 3 30 5 31 4 32 3 40 1 合计 20(1) 求这20名工人年龄的众数与极差;(2) 以十位数为茎,个位数为叶,作出这20名工人年龄的茎叶图; (3) 求这20名工人年龄的方差.18(本小题满分13分)如图2,四边形ABCD 为矩形,PD ⊥平面ABCD ,AB=1,BC=PC=2,作如图3折叠,折痕EF ∥DC.其中点E ,F 分别在线段PD ,PC 上,沿EF 折叠后点P 在线段AD 上的点记为M ,并且MF ⊥CF. (1) 证明:CF ⊥平面MDF(2) 求三棱锥M-CDE 的体积.19.(本小题满分14分)设各项均为正数的数列{}n a 的前n 项和为n S ,且n S 满足()()*∈=+--+-N n n n S n n S n n ,033222. (1)求1a 的值;(2)求数列{}n a 的通项公式;(3)证明:对一切正整数n ,有()()().311111112211<+++++n n a a a a a a20(本小题满分14分)已知椭圆()01:2222>>=+b a by a x C 的一个焦点为()0,5,离心率为35。
2014年普通高等学校招生全国统一考试(广东B 卷)数学(文科)一.选择题:本大题共10小题,每小题5分,共50分. 在每小题给出的四个选项中,只有一项是符合题目要求的。
1.已知集合{}{}5,3,2,0,4,3,2==N M ,则N M =( )A .{}5,3B .{}4,3C . {}3,2D . {}2,0 2.已知复数z 满足25)43(=-z i ,则=z ( )A .i 43+B . i 43-C . i 43+-D . i 43--3.已知向量)1,3(),2,1(==b a,则=-a b ( )A .)3,4(B . )0,2(C . )1,2(-D . )1,2(-4.若变量y x ,满足约束条件⎪⎩⎪⎨⎧≤≤≤≤≤+304082y x y x 则y x z +=2的最大值等于( )A . 11B .10C . 8D . 7 5.下列函数为奇函数的是( )A .x x 22+B . 1cos 2+xC . x x sin 3D .x x212-6.为了解1000名学生的学习情况,采用系统抽样的方法,从中抽取容量为40的样本,则分段的间隔为( )A .20B .25C .40D .507.在ABC ∆中,角A,B,C 所对应的边分别为,,,c b a 则“b a ≤”是 “B A sin sin ≤”的( ) A .充分必要条件 B .充分非必要条件 C .必要非充分条件 D .非充分非必要条件8.若实数k 满足05k <<,则曲线221165x y k -=-与曲线221165x y k -=-的( ) A .焦距相等 B . 离心率相等 C .虚半轴长相等 D . 实半轴长相等9.若空间中四条两两不同的直线1234,,,l l l l ,满足122334,,,l l l l l l ⊥⊥∥则下列结论一定正确的是( )A .14l l ⊥B .14l l ∥C .1l 与4l 既不垂直也不平行D .1l 与4l 的位置关系不确定10.对任意复数12,,w w 定义1212,ωωωω*=其中2ω是2ω的共轭复数,对任意复数123,,z z z 有如下四个命题:①1231323()()();z z z z z z z +*=*+*②1231213()()()z z z z z z z *+=*+*; ③123123()();z z z z z z **=**④1221z z z z *=*; 则真命题的个数是( ) A .4 B .3 C .2 D .1二、填空题:本大题共5小题,考生作答4小题,每小题5分,满分20分. (一)必做题(11—13题)11.曲线53x y e =-+在点()0,2-处的切线方程为________.12.从字母,,,,a b c d e 中任取两个不同字母,则取字母a 的概率为________.13.等比数列{}n a 的各项均为正数,且154a a =,则2122232425log +log +log +log +log =a a a a a ________.(二)选做题(14-15题,考生只能从中选做一题)选做题(14-15题,考生只能从中选做一题) 14.(坐标系与参数方程选做题)在极坐标系中,曲线1C 与2C 的方程分别为θθρsin cos22=与1cos =θρ,以极点为平面直角坐标系的原点,极轴为x 轴的正半轴,建立平面直角坐标系,则曲线1C 与2C 交点的直角坐标为________15.(几何证明选讲选做题)如图1,在平行四边形ABCD 中,点E 在AB 上且AC AE EB ,2=与DE 交于点F 则______=∆∆的周长的周长AEF CDF三.解答题:本大题共6小题,满分80分 16.(本小题满分12分)已知函数()sin(),3f x A x x R π=+∈,且5()122f π=(1) 求A 的值;(2) 若()()(0,)2f f πθθθ--=∈,求()6f πθ-17.(本小题满分13分)某车间20名工人年龄数据如下表:.(1) 求这20名工人年龄的众数与极差;(2) 以十位数为茎,个位数为叶,作出这20名工人年龄的茎叶图; (3) 求这20名工人年龄的方差.18.(本小题满分13分)如图2,四边形ABCD 为矩形,PD ⊥平面ABCD ,AB=1,BC=PC=2,作如图3折叠:折痕EF ∥DC ,其中点E ,F 分别在线段PD ,PC 上,沿EF 折叠后点P 在线段AD 上的点记为M ,并且MF ⊥CF .(1) 证明:CF ⊥平面MDF ; (2) 求三棱锥M-CDE 的体积.19.(本小题满分14分)设各项均为正数的数列{}n a 的前n 项和为n S ,且n S 满足()()*∈=+--+-N n n n S n n S n n ,033222(1)求1a 的值;(2)求数列{}n a 的通项公式; (3)证明:对一切正整数n ,有()()().311111112211<+++++n n a a a a a a20.(本小题满分14分)已知椭圆()01:2222>>=+b a by a x C 的一个焦点为()0,5,离心率为35。
2014年普通高等学校招生全国统一考试(广东卷)数学 (文科)一、选择题{}{}{}{}{}{}1.2,3,4,0,2,3,5,()..0,2.2,3.3,4.3,5M N M N A B C D ===已知集合则答案:B2.(34)25,()..34.34.34.34z i z z A i B iC iD i-==---+-+已知复数满足则答案:D 2525(34)25(34):=34,.34(34)(34)25i i z i D i i i ++===+--+提示故选 3.(1,2),(3,1),()..(2,1).(2,1).(2,0).(4,3)a b b a A B C D =-=--已知向量则答案:B284.,04,2().03.7.8.10.11x y x y x z x y y A B C D +≤⎧⎪≤≤=+⎨⎪≤≤⎩若变量满足约束条件则的最大值等于 答案:C提示:作出可行域(为一个五边形及其内部区域),易知在点(4,2)处目标函数取到最大值10. 选C. 5.下列函数为奇函数的是( ).A.xx212-B.x x sin 3C.1cos 2+xD.xx 22+ 答案:A111:()2,(),()22(),222(),A .x xxx x x f x f x R f x f x f x --=--=-=-=-∴提示设则的定义域为且为奇函数故选6.1000,,40,()..50.40.25.20:1000:25.40A B C D C=为了解名学生的学习情况采用系统抽样的方法从中抽取容量为的样本则分段的间隔为答案提示分段的间隔为7.,,,,,,sin sin ().....::,,,sin ,sin ,sin sin .sin sin ABC A B C a b c a b A B A B C D Aa ba b A B a b A B A B∆≤≤=∴≤⇔≤在中角所对应的边分别为则“”是“”的充分必要条件充分非必要条件必要非充分条件非充分非必要条件答案提示由正弦定理知都为正数22228.05,11().165165....05,50,160,16(5)21(16)5,x y x y k k k k A B C D k k k k k k <<-=-=--<<∴->->+-=-=-+若实数满足则曲线与曲线的实半轴长相等虚半轴长相等离心率相等焦距相等答案:D提示:从而两曲线均为双曲线,又故两双曲线的焦距相等,选D.1234122334141414149.,,,,,//,,()...//..l l l l l l l l l l A l l B l l C l l D l l ⊥⊥⊥若空间中四条两两不同的直线满足则下列结论一定正确的是与既不垂直也不平行与的位置关系不确定答案:D1212122212310.,,=,,,,z z z ωωωωωωωω*对任意复数定义其中是的共轭复数对任意复数有如下四个命题:①1231323()()();z z z z z z z +*=*+*②1231213()()()z z z z z z z *+=*+*; ③123123()();z z z z z z **=**④1221z z z z *=*;则真命题的个数是( )A.1B.2C.3D.412312313231323123123123121312131231231231231231:()()()()()();()()()()()()();(),()()(),,;Bz z z z z z z z z z z z z z z z z z z z z z z z z z z z z z z z z z z z z z z z z z z z z z z ++++=+=+=+====≠答案提示:①*===*+*,故①是真命题②**+*,②对③左边=*=右边*左边右边③错 ④左边=2122121,,,z z z z z z z ==≠*右边=*左边右边故④不是真命题.综上,只有①②是真命题,故选B.(一)必做题(11-13)''142511.53(0,2)_______.:520:5,5,25,520.12.,,,d,e ________.2:542:105x x x y e x y y e y y x x y a b c a C P C ==-+-++==-∴=-∴+=-++====曲线在点处的切线方程为答案提示所求切线方程为即从字母中任取两个不同字母,则取到字母的概率为答案提示13.等比数列{}n a 的各项均为正数,且154a a =,则2122232425log +log +log +log +log =a a a a a ________.212223242525242322212152:5:log log log log log ,log log log log log ,25log ()5log 410,5.S a a a a a S a a a a a S a a S =++++=++++∴===∴=答案提示设则2121214.()2cos sin cos =1.,,_____________.C C x C C ρθθρθ=坐标系与参数方程选做题在极坐标系中,曲线与的方程分别为与以极点为平面直角坐标系的原点,极轴为轴的正半轴建立平面直角坐标系则曲线与交点的直角坐标为2221212:(1,2):2cos sin 2cos =sin ,2,1,,(1,2).C y x C x C C ρθθρθρθ===∴答案提示由得()故的直角坐标方程为:的直角坐标方程为:交点的直角坐标为15.()1,,2,,___________.:3:, 3.ABCD E AB EB AE AC DE F CDF AEF CDF CD EB AECDFAEF AEF AE AE=∆=∆∆+∆∆∴===∆几何证明选讲选做题如图在平行四边形中点在上且与交于点的周长则的周长答案的周长提示显然的周长16.(本小题满分12分) 已知函数()sin(),3f x A x x R π=+∈,且5()122f π=(1) 求A 的值;(2)若()()(0,)2f f πθθθ--=∈,求()6f πθ-553:(1)()sin()sin 3.121234(2)(1):()3sin(),3()()3sin()3sin()333(sin cos cos sin )3(sin()cos cos()sin )33336sin cos3sin 3sin (0,),2f A A A f xx f f πππππππθθθθππππθθθθπθθπθθ=+==∴===+∴--=+--+=+--+-===∴=∈解由得又cos ()3sin()3sin()3cos 36632f θππππθθθθ∴=∴-=-+=-===17. 某车间20名工人年龄数据如下表:(1)求这20名工人年龄的众数与极差;(2)以十位数为茎,个位数为叶,作出这20名工人年龄的茎叶图; (3)求这20名工人年龄的方差.:(1)2030,401921.-=解这名工人年龄的众数为极差为(2)茎叶图如下:()2222222(1928329330531432340)3:30,20120:(11)3(2)3(1)504132102011(121123412100)25212.62020+⨯+⨯+⨯+⨯+⨯+=⎡⎤-+⨯-+⨯-+⨯+⨯+⨯+⎣⎦=+++++=⨯=年龄的平均数为故这名工人年龄的方差为18.2,,,1, 2.3://,,,,,.(1):;(2).ABCD PD ABCD AB BC PC EF DC E F PD PC EF P AD M MF CF CF MDF M CDE ⊥===⊥⊥-如图四边形为矩形平面作如图折叠折痕其中点分别在线段上沿折叠后点叠在线段上的点记为并且证明平面求三棱锥的体积00:(1):,,,,,,,,,,,,,.11(2),,60,30,==,22,PD ABCD PD PCD PCD ABCD PCD ABCD CD MD ABCD MD CD MD PCD CF PCD CF MD CF MF MD MF MDF MD MF M CF MDF CF MDF CF DF PCD CDF CF CD DE EF DC D ⊥⊂∴⊥=⊂⊥∴⊥⊂∴⊥⊥⊂=∴⊥⊥∴⊥∠=∴∠=∴解证明平面平面平面平面平面平面平面平面又平面平面平面又易知从而∥2112,,2211.33CDE M CDE CDE CF DE PE S CD DE P CP MD V S MD ∆-∆=∴=∴==⋅=====∴=⋅=={}{}222119.,(3)3()0,.(1);(2);n n n n n n a n S S S n n S n n n N a a *-+--+=∈设各项均为正数的数列的前项和为且满足求的值求数列的通项公式1 92 8 8 8 9 9 93 0 0 0 0 0 1 1 1 1 2 2 24 0(3)证明:对一切正整数n ,有()()().311111112211<+++++n n a a a a a a221111*********2221:(1)1:(1)320,60,(3)(2)0,0,2, 2.(2)(3)3()0,:(3)()0,0(),0,30,,2,(1)(1)n n n n n n n n n n n n S S S S S S S S a S n n S n n S S n n a n N S S S n n n a S S n n n n *-=---⨯=+-=∴+-=>∴==⎡⎤-+--+=+-+=⎣⎦>∈∴>+>∴=+⎡∴≥=-=+--+-⎣解令得即即由得从而当时12211222,221,2().313(3):,()(),221644111111(1)2(21)44()()()24411111111144(1)()(1)4444111(1)(1)n k k n a a n n N k k k N k k k k a a k k k k k k k k k k a a a a **⎤=⎦==⨯∴=∈∈+>+-=-+∴==⋅<⋅+++-+⎡⎤⎢⎥=⋅=⋅-⎢⎥⎡⎤⎢⎥-+--⋅+-⎢⎥⎣⎦⎣⎦∴+++++又解法一当时(1)1111111()()11111141223(1)444444111111().11434331(1)44111111:(),.(1)2(21)(21)(21)22121(:)n n k k a a n n n n a a k k k k k k +⎡⎤⎢⎥<-+-++-⎢⎥⎢⎥-----+-⎣⎦=-=-<+-+-=<=-++-+-+解法二以下略注解法二的放缩没有解法一的精确,在使用中第一项不放缩时才能得到答案2222002222220.:1(0)(1);(2)(,),,.:(1)3,954,1.94(2),,4x yC a ba bCP x y C P C Pcc e a b a cax yCx y+=>>====∴==-=-=∴+=已知椭圆的一个焦点为求椭圆的标准方程若动点为椭圆外一点且点到椭圆的两条切线相互垂直求点的轨迹方程解椭圆的标准方程为:若一切线垂直轴则另一切线垂直于轴则这样的点P共个002200222000022222000000(3,2),(3,2).(),(),194(94)18()9()40,,0,(18)()36()4(94)0,4()4y y k x xx yy k x x yk x k y kx x y kxk y kx y kx k y kx-±±-=-=-++=⎡⎤++-+--=∆=⎣⎦⎡⎤----+=--⎣⎦,它们的坐标分别为若两切线不垂直于坐标轴,设切线方程为即将之代入椭圆方程中并整理得:依题意即:即2222200000122220022(94)0,4(9)240,,1,:1,913,(3,2),(3,2),13.kyx k x y k y k kxx yP x y+=-∴--+-=∴=-=--∴+=-±±∴+=两切线相互垂直即显然这四点也满足以上方程点的轨迹方程为3200121.()1().3(1)();111(2)0,(0,)(,1),()=().222f x x x ax a Rf xa x f x f=+++∈<∈已知函数求函数的单调区间当时试讨论是否存在使得3232000033220002000000200000111111(2):()()1()()()12332221111()()()3222111111()()()()()322422211111()()()(4236122122f x f x x ax a x x a x x x x x x a x x x x x a x ⎡⎤-=+++-+++⎢⎥⎣⎦⎡⎤⎡⎤=-+-+-⎢⎥⎢⎥⎣⎦⎣⎦⎡⎤=-+++-++-⎢⎥⎣⎦=-+++++=-解法一2000020020014712)111(0,)(,1),()(),222114147120(0,)(,1).220,1416(712)4(2148)0,0,,01,7x x a x f x f x x a a a a x x +++∴∈=+++=<∴∆=-+=->=>∴<<<若存在使得必须在上有解方程的两根为依题意即0000025711,492148121,,1212155,,,,24425557111(,)(,),(0,)(,1)()().124412222257511(,][,0),(0,)(,1)(1212422a a a x a a x f x f a x f x ∴<-<-<<-=-≠-∴∈----∈=⎧⎫∈-∞---∈⎨⎬⎩⎭即得故欲使满足题意的存在则当时存在唯一的满足当时不存在使1)().2f =00:0,10,()3,11,(1)()(0,1),111(0,)(,1),()=();222()30,()(0,1,(1,5111),()(0,),(,1),422a i a f x x f x f ii a f x a f x <∴-≤--∈-<<-+-+=-解法二若从而由知在区间上是减函数故此时不存在使得若则函数在区间上递减在区间上递增若则在上递减在上递增显然此时不存在满足题意的000000;512)3,11,,(14212525255(1)()0,0,,;222412124513)0,01,,(0,1421775(0)()0,0,,2224124x a x x a f f a a x a x x a f f a -<<-<-∈-+->+>>--<<--<<<-+∈-+->--><--若则若题意中的存在则故只需即则故时存在满足题意的若则若题意中的存在则故只需即则故000007.12:25557111(,)(,),(0,)(,1)()().1244122222575111(,][,0),(0,)(,1)()().12124222a x a x f x f a x f x f <<-∴∈----∈=⎧⎫∈-∞---∈=⎨⎬⎩⎭时存在满足题意的综上所述当时存在唯一的满足当时不存在使。
2014年全国普通高等学校招生统一考试文科(广东卷)数学答案解析1、【答案】B【解析】试题分析:由题意得,故选B.考点:本题考查集合的基本运算,属于容易题.2、【答案】D【解析】试题分析:解法一:由题意得,故选D. 解法二:设,则,由复数相等得,解得,因此,故选D.考点:本题考查复数的四则运算,属于容易题.3、【答案】B【解析】试题分析:由题意得,故选B.考点:本题考查平面向量的坐标运算,属于容易题.4、【答案】C【解析】试题分析:作出不等式组所表示的可行域如下图所示,直线交直线于点,作直线,则为直线在轴上的截距,当直线经过可行域上的点时,直线在轴上的截距最大,此时取最大值,即,故选C.考点:本题考查线性规划中线性目标函数的最值,属于中等题.5、【答案】A【解析】试题分析:对于A选项中的函数,函数定义域为,,故A选项中的函数为奇函数;对于B选项中的函数,由于函数与函数均为奇函数,则函数为偶函数;对于C选项中的函数,定义域为,,故函数为偶函数;对于D 选项中的函数,,,则,因此函数为非奇非偶函数,故选A.考点:本题考查函数的奇偶性的判定,着重考查利用定义来进行判断,属于中等题.6、【答案】C【解析】试题分析:由题意知,分段间隔为,故选C.考点:本题考查系统抽样的定义,属于中等题.7、【答案】A【解析】试题分析:由正弦定理得(其中为外接圆的半径),则,,,因此是的充分必要必要条件,故选A.考点:本题考查正弦定理与充分必要条件的判定,属于中等题.8、【答案】D【解析】试题分析:,则,,双曲线的实半轴长为,虚半轴长为,焦距为,离心率为,双曲线的实半轴长为,虚半轴长为,焦距为,离心率为,因此,两双曲线的焦距相等,故选D.考点:本题考查双曲线的方程与基本几何性质,属于中等题.9、【答案】D【解析】试题分析:如下图所示,在正方体中,取为,为,取为,为,;取为,为,则;取为,为,则与异面,因此、的位置关系不确定,故选D.考点:本题考查空间中直线的位置关系的判定,属于中等题.10、【答案】B【解析】试题分析:对于命题①,,命题①正确;对于命题②,,命题②正确;对于命题③,左边,右边,左边右边,命题③错误;对于命题④,取,,则,,命题④错误.故选B.考点:本题考查复数中的新定义运算,考查复数的概念,属于中等偏难题.11、【答案】或.【解析】试题分析:,,故所求的切线的斜率为,故所求的切线的方程为,即或.考点:本题考查利用导数求函数图象的切线问题,属于中等题.12、【答案】.【解析】试题分析:所有的基本事件有、、、、、、、、、,共个,其中事件“取到字母”所包含的基本事件有、、、,共个,故所求事件的概率为.考点:本题考查利用列举法计算古典概型的概率计算问题,属于中等题.13、【答案】.【解析】试题分析:由题意知,且数列的各项均为正数,所以,,.考点:本题考查等比数列的基本性质与对数的基本运算,属于中等偏难题.14、【答案】.【解析】试题分析:曲线的极坐标方程为,化为普通方程得,曲线的普通方程为,联立曲线和的方程得,解得,因此曲线和交点的直角坐标为.考点:本题考查极坐标与参数方程的相互转化以及曲线的交点坐标求解,属于中等题.15、【答案】【解析】试题分析:由于四边形为平行四边形,则,因此,由于,所以,因此,故. 考点:本题考查相似三角形性质的应用,属于中等题.16、【答案】(1);(2).【解析】试题分析:(1)(1)将代入函数的解析式求出的值;(2)先利用已知条件,结合两角和与差的正弦公式求出的某个三角函数值,然后将代入函数的解析式,并结合诱导公式对进行化简,最后利用同角三角函数的基本关系求出的值.(1),且,,;(2),且,,,且,,.考点:本题考查诱导公式、同角三角函数的基本关系以及两角和的三角函数,综合考查三角函数的求值问题,属于中等题.17、【答案】(1)众数为,极差为;(2)详见解析;(3).【解析】试题分析:(1)根据频率分布表中的相关信息结合众数与极差的定义求出众数与极差;(2)根据频率分布表中的信息以及茎叶图的作法作出这名工人年龄的茎叶图;(3)根据茎叶图所反映的信息,先求出平均数,然后根据方差的计算公式求出这名工人年龄的方差. (1)这名工人年龄的众数为,极差为;(2)茎叶图如下:(3)年龄的平均数为,故这名工人年龄的方差为.考点:本题考查茎叶图、样本的数字特征,考查茎叶图的绘制,以及样本的众数、极差、平均数以及方差的计算,属于中等题.18、【答案】(1)详见解析;(2).【解析】试题分析:(1)由平面结合平面与平面垂直的判定定理的得到平面平面,利用平面与平面垂直的性质定理得到平面,从而得到,然后利用并结合直线与平面垂直的判定定理证明平面;(2)在(1)的条件平面下,以作为三棱锥的高,作为三棱锥的底面计算三棱锥的体积.(1)证明:平面,平面,平面平面,而平面平面,平面,,平面,平面,,又,、平面,且,平面;(2)平面,,又易知,,从而,,,即,,,,,.考点:本题以折叠图形为考查形式,考查直线与平面垂直的判定以及利用等体积法计算三棱锥的体积,属于中等题.19、【答案】(1);(2);(3)详见解析.【解析】试题分析:(1)将代入方程得到,结合题中条件(数列的各项均为正数,得到)求出的值,从而得到的值;(2)由十字相乘法结合得到的表达式,然后在的情况下,由求出数列的表达式,并验证是否满足该表达式,从而得到数列的通项公式;(3)解法一是利用放缩法得到,于是得到,最后利用裂项求和法证明题中的不等式;解法二是保持不放缩,在的条件下放缩为,最后在和时利用放缩法结合裂项法证明相应的不等式.(1)令得:,即,,,,即;(2)由,得,,,从而,,所以当时,,又,;(3)解法一:当时,,.证法二:当时,成立,当时,,则.考点:本题以二次方程的形式以及与的关系考查数列通项的求解,以及利用放缩法证明数列不等式的综合问题,考查学生的计算能力与逻辑推理能力,属于中等偏难题.20、【答案】(1);(2).【解析】试题分析:(1)利用题中条件求出的值,然后根据离心率求出的值,最后根据、、三者的关系求出的值,从而确定椭圆的标准方程;(2)分两种情况进行计算:第一种是在从点所引的两条切线的斜率都存在的前提下,设两条切线的斜率分别为、,并由两条切线的垂直关系得到,并设从点所引的直线方程为,将此直线的方程与椭圆的方程联立得到关于的一元二次方程,利用得到有关的一元二次方程,最后利用以及韦达定理得到点的轨迹方程;第二种情况是两条切线与坐标轴垂直的情况下求出点的坐标,并验证点是否在第一种情况下所得到的轨迹上,从而得到点的轨迹方程.(1)由题意知,且有,即,解得,因此椭圆的标准方程为;(2)①设从点所引的直线的方程为,即,当从点所引的椭圆的两条切线的斜率都存在时,分别设为、,则,将直线的方程代入椭圆的方程并化简得,,化简得,即,则、是关于的一元二次方程的两根,则,化简得;②当从点所引的两条切线均与坐标轴垂直,则的坐标为,此时点也在圆上.综上所述,点的轨迹方程为.考点:本题以椭圆为载体,考查直线与圆锥曲线的位置关系以及动点的轨迹方程,将直线与二次曲线的公共点的个数利用的符号来进行转化,计算量较大,从中也涉及了方程思想的灵活应用,属于难题.21、【答案】(1)详见解析;(2)详见解析.【解析】试题分析:(1)先求出导数为二次函数,对和进行分类讨论,根据导数的正负求出函数的单调区间;(2)由作差法将等式进行因式分解,得到,于是将问题转化为方程在上有解,并求出该方程的两根,并判定其中一根在区间上,并由以及确定满足条件时的取值范围,然后取相应的补集作为满足条件时的取值范围.(1),方程的判别式为,①当时,,则,此时在上是增函数;②当时,方程的两根分别为,,解不等式,解得或,解不等式,解得,此时,函数的单调递增区间为和,单调递减区间为;综上所述,当时,函数的单调递增区间为,当时,函数的单调递增区间为和,单调递减区间为;(2),若存在,使得,必须在上有解,,,方程的两根为,,,,依题意,,即,,即,又由得,故欲使满足题意的存在,则,所以,当时,存在唯一满足,当时,不存在满足.考点:本题以三次函数为考查形式,考查利用导数求函数的单调区间,从中渗透了利用分类讨论的思想处理含参函数的单调区间问题,并考查了利用作差法求解不等式的问题,综合性强,属于难题。
2014年广东高考文科数学真题及答案一、选择题1. 已知集合{}{}2,3,4,0,2,3,5,()M N MN ===则A. {}0,2B. {}2,3C. {}3,4D.{}3,52. 已知复数z 满足(34)25i z -=,则z =()A.34i --B.34i -+C.34i -D.34i +3. 已知向量(1,2),(3,1)a b =,则b a -=()A.(-2,1)B.(2,-1)C.(2,0)D.(4,3)4. 若变量,x y 满足约束条件280403x y x y +≤⎧⎪≤≤⎨⎪≤≤⎩,则2z x y =+的最大值等于()A.7B.8C.10D.115. 下列函数为奇函数的是( )A.x x212-B.x x sin 3C.1cos 2+xD.xx 22+6. 为了解1000名学生的学习情况,采用系统抽样的方法,从中抽取容量为40的样本,则分段的间隔为( ) A.50B.40C.25D.207. 在ABC ∆中,角,,A B C 所对应的边分别为,,a b c ,则“a b ≤”是“sin sin A B ≤”的( )A.充分必要条件B.充分非必要条件C.必要非充分条件D.非充分非必要条件8. 若实数k 满足05k <<,则曲线221165x y k-=-与曲线221165x y k -=-的()A.实半轴长相等B.虚半轴长相等C.离心率相等D.焦距相等9. 若空间中四条两两不同的直线1234,,,l l l l ,满足122334,//,l l l l l l ⊥⊥,则下列结论一定正确的是()A.14l l ⊥B.14//l lC.1l 与4l 既不垂直也不平行D. 1l 与4l 的位置关系不确定10. 对任意复数12,ωω,定义1212*ωωωω=,其中2ω是2ω的共轭复数,对任意复数123,,z z z ,有如下四个命题:①1231323()()();z z z z z z z +*=*+*②1231213()()()z z z z z z z *+=*+*;③123123()();z z z z z z **=**④1221z z z z *=*;则真命题的个数是( )A.1B.2C.3D.4 二、填空题(一)必做题(11-13)11. 曲线53xy e =-+在点(0,-2)处的切线方程为______________________12. 从字母a,b,c,d,e 中任取两个不同字母,则取到字母a 的概率为__________________ 13. 等比数列{}n a 的各项均为正数,且154a a =,则2122232425log +log +log +log +log =a a a a a________.14. (坐标系与参数方程选做题)在极坐标系中,曲线1C 与2C 的方程分别为22cos sin ρθθ=与cos =1ρθ,以极点为平面直角坐标系的原点,极轴为x 轴的正半轴,建立平面直角坐标系,则曲线1C 与2C 交点的直角坐标为____________________15. (几何证明选讲选做题)如图1,在平行四边形ABCD 中,点E 在AB 上,且2EB AE =,AC 与DE 交于点F ,则CDF AEF ∆∆的周长的周长=____________三、解答题16.(本小题满分12分)已知函数()sin(),3f x A x x R π=+∈,且532()122f π=(1) 求A 的值;(2) 若()()3,(0,)2f f πθθθ--=∈,求()6f πθ-17. 某车间20名工人年龄数据如下表:(1)求这20名工人年龄的众数与极差;(2)以十位数为茎,个位数为叶,作出这20名工人年龄的茎叶图; (3)求这20名工人年龄的方差。
2014年普通高等学校招生全国统一考试(广东卷)数学(文科)一、选择题:本大题共10小题,每小题5分,满分50分,在每小题给出的四个选项中,只有一项是符合题目要求的. (1)【2014年广东,文1,5分】已知集合{}2,3,4M =,{}0,2,3,5N =,则M N =( )(A ){}0,2 (B ){}2,3 (C ){}3,4 (D ){}3,5 【答案】B 【解析】{}2,3MN =,故选B .【点评】本题主要考查集合的基本运算,比较基础. (2)【2014年广东,文2,5分】已知复数z 满足(34i)25z -=,则z =( )(A )34i -- (B )34i -+ (C )34i - (D )34i + 【答案】D【解析】2525(34i)25(34i)=34i 34i (34i)(34i)25z ++===+--+,故选D .【点评】本题主要考查两个复数代数形式的乘除法,虚数单位i 的幂运算性质,属于基础题. (3)【2014年广东,文3,5分】已知向量(1,2)a =,(3,1)b =,则b a -=( )(A )(2,1)- (B )(2,1)- (C )(2,0) (D )(4,3) 【答案】B【解析】()2,1b a -=-,故选B .【点评】本题考查向量的坐标运算,基本知识的考查.(4)【2014年广东,文4,5分】若变量,x y 满足约束条件280403x y x y +≤⎧⎪≤≤⎨⎪≤≤⎩,则2z x y =+的最大值等于( )(A )7 (B )8 (C )10 (D )11 【答案】C 【解析】作出不等式组对应的平面区域如图:由2z x y =+,得2y x z =-+,平移直线2y x z =-+, 由图象可知当直线2y x z =-+经过点()4,2B 时,直线2y x z =-+的截距最大,此时z 最大,此时24210z ==⨯+=,故选C . 【点评】本题主要考查线性规划的应用,利用z 的几何意义,利用数形结合是解决本题的关键. (5)【2014年广东,文5,5分】下列函数为奇函数的是( )(A )122x x - (B )3sin x x (C )2cos 1x + (D )22x x +【答案】A【解析】对于函数()122x x f x =-,()()112222x x x x f x f x ---=-=-=-,故此函数为奇函数;对于函数()3sin f x x x =,()()()()33sin sin f x x x x x f x -=--==,故此函数为偶函数;对于函数()2cos 1f x x =+,()()()2cos 12cos 1f x x x f x -=-+=+=,故此函数为偶函数;对于函数()22x f x x =+,()()()2222x x f x x x f x ---=-+=+≠-,同时()()f x f x -=≠故此函数为非奇非偶函数,故选A .【点评】本题主要考查函数的奇偶性的判断方法,属于基础题.(6)【2014年广东,文6,5分】为了解1000名学生的学习情况,采用系统抽样的方法,从中抽取容量为40的样本,则分段的间隔为( )(A )50 (B )40 (C )25 (D )20 【答案】C【解析】∵从1000名学生中抽取40个样本,∴样本数据间隔为1000÷40=25,故选C . 【点评】本题主要考查系统抽样的定义和应用,比较基础. (7)【2014年广东,文7,5分】在ABC ∆中,角,,A B C 所对应的边分别为,,a b c ,则“a b ≤”是“sin sin A B ≤”的( )(A )充分必要条件 (B )充分非必要条件 (C )必要非充分条件 (D )非充分非必要条件 【答案】A【解析】由正弦定理可知sin sin a bA B=,∵ABC ∆中,角A 、B 、C 所对应的边分别为a ,b ,c ,∴a ,b ,sin A ,sin B 都是正数,sin sin a b A B ≤⇔≤.∴“a b ≤”是“sin sin A B ≤”的充分必要条件,故选A .【点评】本题考查三角形中,角与边的关系正弦定理以及充要条件的应用,基本知识的考查.(8)【2014年广东,文8,5分】若实数k 满足05k <<,则曲线221165x y k-=-与曲线221165x y k -=-的( ) (A )实半轴长相等 (B )虚半轴长相等 (C )离心率相等 (D )焦距相等 【答案】D【解析】当05k <<,则055k <-<,111616k <-<,即曲线221165x y k-=-表示焦点在x 轴上的双曲线,其中216a =,25b k =-,221c k =-,曲线221165x y k -=-表示焦点在x 轴上的双曲线,其中216a k =-,25b =,221c k =-,即两个双曲线的焦距相等,故选D .【点评】本题主要考查双曲线的方程和性质,根据不等式的范围判断a ,b ,c 是解决本题的关键. (9)【2014年广东,文9,5分】若空间中四条两两不同的直线1234,,,l l l l ,满足122334,//,l l l l l l ⊥⊥,则下列结论一定正确的是( )(A )14l l ⊥ (B )14//l l (C )1l 与4l 既不垂直也不平行 (D )1l 与4l 的位置关系不确定 【答案】D【解析】在正方体中,若AB 所在的直线为2l ,CD 所在的直线为3l ,AE 所在的直线为1l , 若GD 所在的直线为4l ,此时14//l l ,若BD 所在的直线为4l ,此时14l l ⊥,故1l 与4l 的位 置关系不确定,故选D .【点评】本题主要考查空间直线平行或垂直的位置关系的判断,比较基础.(10)【2014年广东,文10,5分】对任意复数12,ωω,定义1212*ωωωω=,其中2ω是2ω的共轭复数,对任意复数123,,z z z ,有如下四个命题: ①1231323()()()z z z z z z z +=**+*②1231213()()()z z z z z z z +=**+*; ③123123()()z z z z z z *=***④1221z z z z *=*;则真命题的个数是( )(A )1 (B )2 (C )3 (D )4 【答案】B【解析】①12312313231323()()()()()()z z z z z z z z z z z z z z +++*===*+*,正确;②12312312312131213()()()()()()()z z z z z z z z z z z z z z z z z +=+=+=+=**+*,正确;③123123123123123(),()()(),z z z z z z z z z z z z z z z ===≠左边=*=右边*左边右边,等式不成立,故错误;④12122121,,z z z z z z z z ==≠左边=*右边=*左边右边,等式不成立,故错误; 综上所述,真命题的个数是2个,故选B .【点评】本题以命题的真假判断为载体,考查了复数的运算性质,细心运算即可,属于基础题. 二、填空题:本大题共5小题,考生作答4小题,每小题5分,满分20分. (一)必做题(11~13) (11)【2014年广东,文11,5分】曲线53x y e =-+在点()0,2-处的切线方程为 . 【答案】520x y ++= 【解析】'5x y e =-,'5x y =∴=-,因此所求的切线方程为:25y x +=-,即520x y ++=.【点评】本题考查了导数的几何意义、曲线的切线方程,属于基础题. (12)【2014年广东,文12,5分】从字母,,,,a b c d e 中任取两个不同字母,则取到字母a 的概率为 .【答案】25【解析】142542105C P C ===.【点评】本题考查古典概型,是一个古典概型与排列组合结合的问题,解题时先要判断该概率模型是不是古典概型,再要找出随机事件A 包含的基本事件的个数和试验中基本事件的总数.(13)【2014年广东,文13,5分】等比数列{}n a 的各项均为正数,且154a a =, 则2122232425log log log log log a a a a a ++++= . 【答案】5【解析】设2122232425log log log log log S a a a a a =++++,则2524232221log log log log log S a a a a a =++++,215225log ()5log 410S a a ∴===,5S ∴=.【点评】本题考查等比数列的性质,灵活运用性质变形求值是关键,本题是数列的基本题,较易. (二)选做题(14-15题,考生只能从中选做一题) (14)【2014年广东,文14,5分】(坐标系与参数方程选做题)在极坐标系中,曲线1C 与2C 的方程分别为22cos sin ρθθ=与cos =1ρθ,以极点为平面直角坐标系的原点,极轴为x 轴的正半轴,建立平面直角坐标系,则曲线1C 与2C 交点的直角坐标为 . 【答案】(1,2)【解析】由22cos sin ρθθ=得22cos =sin ρθρθ(),故1C 的直角坐标系方程为:22y x =,2C 的直角坐标系方程为:1x =,12,C C ∴交点的直角坐标为(1,2).【点评】本题考查极坐标与直角坐标的互化,考查了方程组的解法,是基础题. (15)【2014年广东,文15,5分】(几何证明选讲选做题)如图,在平行四边形ABCD 中,点E 在AB 上,且2EB AE =,AC 与DE 交于点F ,则CDF AEF ∆=∆的周长的周长. 【答案】3【解析】由于CDF AEF ∆∆∽,3CDF CD EB AEAEF AE AE∆+∴===∆的周长的周长.【点评】本题考查三角形相似的判断,考查学生的计算能力,属于基础题.三、解答题:本大题共6题,共80分.解答应写出文字说明,证明过程或演算步骤.(16)【2014年广东,文16,12分】已知函数()sin ,3f x A x x R π⎛⎫=+∈ ⎪⎝⎭,且512f π⎛⎫= ⎪⎝⎭.(1)求A 的值;(2)若()()0,2f f πθθθ⎛⎫--=∈ ⎪⎝⎭,求6f πθ⎛⎫- ⎪⎝⎭.解:(1)553()sin()sin 121234f A A ππππ=+==3A ∴.(2)由(1)得:()3sin()3f x x π=+,()()3sin()3sin()33f f ππθθθθ∴--=+--+3(sin coscos sin )3(sin()cos cos()sin )6sin cos 3sin 3333πππππθθθθθθ=+--+-===sin 0,2πθθ⎛⎫∴=∈ ⎪⎝⎭,cos θ∴==()3sin()3sin()3cos 36632f ππππθθθθ∴-=-+=-==【点评】本题考查两角和与差的三角函数,三角函数的解析式的求法,基本知识的考查. (17)【2014年广东,文17,12分】某车间20名工人年龄数据如下表:(1)求这20名工人年龄的众数与极差;(2)以十位数为茎,个位数为叶,作出这20名工人年龄的茎叶图; (3)求这20名工人年龄的方差. 解:(1)这这20名工人年龄的众数为30,极差为40﹣19=21.(2)茎叶图如下: (3)年龄的平均数为:(1928329330531432340)3020+⨯+⨯+⨯+⨯+⨯+=,这20名工人年龄的方差为:2222222111(11)3(2)3(1)50413210(121123412100)25212.6202020⎡⎤-+⨯-+⨯-+⨯+⨯+⨯+=+++++=⨯=⎣⎦【点评】本题考查了众数,极差,茎叶图,方差的基本定义,属于基础题. (18)【2014年广东,文18,14分】如图1,四边形ABCD 为矩形,PD ABCD ⊥平面,1,2AB BC PC ===,做如图2折叠:折痕//EF DC ,其中点,E F 分别在线段,PD PC 上,沿EF 折叠后,点P 叠在线段AD 上的点记为M ,并且MF CF ⊥. (1)证明:CF MDF ⊥平面; (2)求三棱锥M CDE -的体积. 解:(1)PD ⊥平面ABCD ,PD PCD ⊂,∴平面PCD ⊥平面ABCD ,平面PCD 平面ABCD CD =,MD ⊂平面ABCD ,MD CD ⊥,MD ∴⊥平面PCD ,CF ⊂平面PCD ,CF MD ∴⊥,又 CF MF ⊥,MD ,MF ⊂平面MDF ,MD MF M =,CF ∴⊥平面MDF .(2)CF ⊥平面MDF ,CF DF ∴⊥,又易知060PCD ∠=,030CDF ∴∠=,从而11==22CF CD ,EF DC ∥,DE CFDP CP ∴=122,DE ∴=,PE ∴=12CDE S CD DE ∆=⋅=,2MD ===,1133M CDE CDE V S MD -∆∴=⋅== 【点评】本题考查了空间中的垂直关系的应用问题,解题时应结合图形,明确线线垂直、线面垂直以及面面垂直的相互转化关系是什么,几何体的体积计算公式是什么,是中档题.(19)【2014年广东,文19,14分】设各项均为正数的数列{}n a 的前n 项和为n S ,且n S 满足222(3)3()0,n n S n n S n n n N *-+--+=∈.(1)求1a 的值;(2)求数列{}n a 的通项公式; (3)证明:对一切正整数n ,有()()()112211111113n n a a a a a a +++<+++.解:(1)令1n =得:211(1)320S S ---⨯=,即21160S S +-=,11(3)(2)0S S ∴+-=,10S >,12S ∴=,即12a =.(2)由222(3)3()0nn S n n S n n -+--+=,得:2(3)()0n n S S n n ⎡⎤+-+=⎣⎦,0()n a n N *>∈,0n S ∴>,从而30n S +>,2n S n n ∴=+,∴当2n ≥时,221(1)(1)2n n n a S S n n n n n -⎡⎤=-=+--+-=⎣⎦,又1221a ==⨯,2()n a n n N *∴=∈. (3)当k N *∈时,22313()()221644k k k k k k +>+-=-+, 111111111111131111(1)2(21)4444()()()(1)()(1)2444444k k a a k k k k k k k k k k ⎡⎤⎢⎥∴==⋅<⋅=⋅=⋅-⎢⎥++⎡⎤⎢⎥+-+-+--⋅+-⎢⎥⎣⎦⎣⎦11221111111111()()111111(1)(1)(1)41223(1)444444n n a a a a a a n n ⎡⎤⎢⎥∴+++<-+-++-⎢⎥+++⎢⎥-----+-⎣⎦1 92 8 8 8 9 9 93 0 0 0 0 0 1 1 1 1 2 2 24 0111111()11434331(1)44n n =-=-<+-+-. 【点评】本题考查了数列的通项与前n 项和的关系、裂项求和法,还用到了放缩法,计算量较大,有一定的思维难度,属于难题.(20)【2014年广东,文20,14分】已知椭圆2222:1(0)x y C a b a b+=>>的一个焦点为.(1)求椭圆C 的标准方程;(2)若动点00(,)P x y 为椭圆外一点,且点P 到椭圆C 的两条切线相互垂直,求点P 的轨迹方程.解:(1)cc e a ===3a ∴=,222954b a c =-=-=,∴椭圆C 的标准方程为:22194x y +=. (2)若一切线垂直x 轴,则另一切线垂直于y 轴,则这样的点P 共4个,它们坐标分别为(3,2)-±,(3,2)±.若两切线不垂直与坐标轴,设切线方程为00()y y k x x -=-,即00()y k x x y =-+,将之代入椭圆方程22194x y +=中并整理得:2220000(94)18()9()40k x k y kx x y kx ⎡⎤++-+--=⎣⎦,依题意,0∆=, 即22220000(18)()36()4(94)0k y kx y kx k ⎡⎤----+=⎣⎦,即22004()4(94)0y kx k --+=, 2220000(9)240x k x y k y ∴--+-=,两切线相互垂直,121k k ∴=-,即2020419y x -=--,220013x y ∴+=, 显然(3,2)-±,(3,2)±这四点也满足以上方程,∴点P 的轨迹方程为2213x y +=.【点评】本题主要考查了椭圆的标准方程,轨迹方程的相关问题.对于求轨迹方程,最重要的是建立模型求得x和y 关系.(21)【2014年广东,文21,14分】已知函数321()1()3f x x x ax a R =+++∈.(1)求函数()f x 的单调区间;(2)当0a <时,试讨论是否存在011(0,)(,1)22x ∈,使得01()=()2f x f .解:(1)'2()2f x x x a =++,方程220x x a ++=的判别式:44a ∆=-,∴当1a ≥时,0∆≤,'()0f x ∴≥,此时()f x 在(,)-∞+∞上为增函数.当1a <时,方程220x xa ++=的两根为1-(,1x ∈-∞-时,'()0f x >,∴此时()f x为增函数,当(11x ∈--,'()0f x <,此时()f x 为减函数,当(1)x ∈-+∞时,'()0f x >,此时()f x 为增函数,综上,1a ≥时,()f x 在(,)-∞+∞上为增函数,当1a <时,()f x 的单调增函数区间为(,1-∞-,(1)-++∞,()f x的单调递减区间为(11---.(2)3232332200000001111111111()()1()()()1()()()2332223222f x f x x ax a x x a x ⎡⎤⎡⎤⎡⎤-=+++-+++=-+-+-⎢⎥⎢⎥⎢⎥⎣⎦⎣⎦⎣⎦200011()(414712)122x x x a =-+++∴若存在011(0,)(,1)22x ∈,使得01()()2f x f =, 必须2004147120x x a +++=在11(0,)(,1)2上有解.0a <,21416(712)4(2148)0a a ∴∆=-+=->,00x >,0x ∴ 01<,即711<,492148121a ∴<-<,即2571212a -<<-,12,得54a =-,故欲使满足题意的0x 存在,则54a ≠-,∴当25557(,)(,)124412a ∈----时,存在唯一的011(0,)(,1)22x ∈满足01()()2f x f =.当2575(,][,0)12124a ⎧⎫∈-∞---⎨⎬⎩⎭时,不存在011(0,)(,1)22x ∈使01()()2f x f =.【点评】(1)求含参数的函数的单调区间时,导函数的符号往往难以确定,如果受到参数的影响,应对参数进行讨论,讨论的标准要根据导函数解析式的特征而定.如本题中导函数为一元二次函数,就有必要考虑对应方程中的判别式△.(2)对于存在性问题,一般先假设所判断的问题成立,再由假设去推导,若求得符合题意的结果,则存在;若得出矛盾,则不存在.。
2014 年一般高等学校招生全国一致考试(广东卷 )数学 (文科 )一、选择题1. 已知会合 M2,3,4 ,N0,2,3,5 ,则 M N().A. 0,2B. 2,3C. 3,4D. 3,5答案 :B2. 已知复数 知足(3 4i )z则( ).z25, zA. 3 4iB.3 4iC. 34iD. 3 4i答案 :D提示 : z2 5 2 5 (3 i4 )2 5 i(34 ) 应选 D .3 4i=4 ) 3 i4 ,( 3 i 4 ) ( 3i2 53. 已知向量a则ba ( ).(1,2),b(3,1),A. ( 2,1)B. (2, 1)C. (2,0)D. (4,3)答案 :Bx 2y 84. 若变量知足拘束条件0 x 4 , 则的最大值等于( ).x, yz 2x y0 y 3A. 7B. 8C. 10D. 11答案 :C提示 :作出可行域 (为一个五边形及其内部地区 ),易知在点 (4,2)处目标函数取到最大值 10. 选 C.5.以下函数为奇函数的是() .A. 2 x1 B. x 3sin xC. 2cosx 1D. x 22 x2x答案 :A提示 : 设 f ( x )x 1 则的定义域为 且x1 1x2 f x( ) ,2, f x( )R , f ( x )22x2x2 x为奇函数 应选 A .f ( x ),6. 为认识 1000名学生的学习状况 , 采纳系统抽样的方法 , 从中抽取容量为 40的样本 ,则分段的间隔为 ().A. 50B. 40C. 25D. 20答案 :C提示 : 分段的间隔为100025.407. 在中 角所对应的边分别为a,b,c, 则“a ” 是“ sin A”的( ).ABC,A, B,Cb sin B A. 充足必需条件 B. 充足非必需条件C. 必需非充足条件D. 非充足非必需条件答案:A提示 : 由正弦定理知a b 都为正数 , a bsin A sin B.sin Aa, b,si n A,si n Bsin B8. 若实数 k 知足 0 k 5,则曲线x 2y 2 1与曲线x 2 k y 2 1的( ).165 k16 5A. 实半轴长相等B. 虚半轴长相等C. 离心率相等D . 焦距相等答案 :D提示 : 0 k 5, 5 k 0,16 k 0, 进而两曲线均为双曲线 ,又16(5 k) 21 k (16 k ) 5, 故两双曲线的焦距相等 , 选D.9. 若空间中四条两两不一样的直线 l 1, l 2 , l 3 , l 4, 知足l 1 l 2 , l 2 / /l 3 ,l 3 l 4 ,则以下结论必定正确的选项是 ( ).A. l 1 l 4B. l 1 / /l 4C. l 1与l 4既不垂直也不平行D. l 1与l 4的地点关系不确立答案 :D10. 对随意复数 1,2,定义 12=12, 此中 2是 2的共轭复数 ,对随意复数 z 1 , z 2 , z 3有以下四个命题 :① ( z 1 z 2 ) z 3( z 1 z 3 ) ( z 2 z 3);② z 1 (z 2 z 3 ) ( z 1 z 2 ) ( z 1 z 3 ) ;③ ( z 1 z 2 ) z 3z 1 ( z 2 z 3 );④ z 1 z 2z 2 z 1 ;则真命题的个数是()A.1B.2C.3D.4答案:B提示: ① ( zz *= ( z== *+ * 故①,是真命题;2 ) zz) z ( z z) ( z z) ( z z) ( z z)131231 3231 323② z 1 * ( z 2 z 3)z(1 z 2 z)3z(1 z 2z)3 ( z 1 z)2( z 1 z)3 *+ * ②,对 z)3 ;( z 1 z)2 ( z 1 ③左侧 =* z 2 ) z 3 = 右侧 * z 1( z 2 )z 3 (z 1 z 2)z 3( z 1 左侧 右侧 ③错,;( z 1 z 1 z 2 z,3z 2) z,3 ④左侧 = z 1 z 2 , 右侧 =z 2 * z 1 z 2 z 1, 左侧 右侧 , 故④不是真命题.z 1 * z 2综上 , 只有①②是真命题 , 应选 B.二、填空题(一 )必做题( 11-13)11. 曲线 y5e x3在点 (0,2)处的切线方程为 _______.答案 : 5x y 2 0提示 : y'5e x , y'x 05, 所求切线方程为 y 25x,即 5x y 2 0.12.从字母 a, b, c,d,e 中任取两个不一样字母 , 则取到字母 a的概率为 ________.答案:25提示:P C4142 C5210513.等比数列a n的各项均为正数,且a1a5 4 ,则log2 a1+log 2 a2 +log 2 a3 +log 2 a4 +log 2 a5 = ________.答案 :5提示 :设 S log 2 a1log 2 a2log 2 a3log 2 a4log 2 a5 ,则 S log 2 a5log 2 a4log 2 a3log 2 a2log 2 a1,2S5log 2 (a1a5 ) 5log 2 4 10,S 5.14. (坐标系与参数方程选做题) 在极坐标系中, 曲线 C1与 C2的方程分别为2cos2sin与 cos =1.以极点为平面直角坐标系的原点 , 极轴为 x轴的正半轴 ,成立平面直角坐标系, 则曲线 C1与 C2交点的直角坐标为 _____________.答案 : (1,2)提示由2得(2故的直角坐标方程为:2 : 2 cossin cos)=y 2x ,2sin ,C1C 的直角坐标方程为: x1, C,C交点的直角坐标为 (1,2).21215.(几何证明选讲选做题 ) 如图 1,在平行四边形 ABCD中,点在上且2 AE, AC 与DE交于点F ,E ABEB则CDF的周长___________. AEF的周长答案 :3CDF的周长 CD EB AE提示 : 明显 CDF AEF ,AEF 的周长AE3.AE三、解答题16.( 本小题满分12 分 )已知函数 f (x)Asin( x), x R ,且 f ( 5)323122( 1)求 A的值;( 2)若 f () f ()3,(0,) ,求 f (6)25) A sin(5)Asin332A323.解 : (1) f (1242,21232 (2)由(1)得 : f (x) 3 sin( x),3f () f () 3 sin()3 sin(3)33(sin cos cos sin)3(sin()cos cos( )sin ) 33336cos sin33 3 cos3cos 1f () 3sin()3sin() 3cos31, 1. 36632317.某车间 20 名工人年纪数据以下表 :(1)求这 20 名工人年纪的众数与极差 ;(2) 以十位数为茎,个位数为叶,作出这20 名工人年纪的茎叶图;(3)求这 20 名工人年纪的方差 .解 : (1)这 20名工人年纪的众数为 30,极差为 40 19 21.(2)茎叶图以下 :1 92 8889993 0000011112224 03 年纪的均匀数为: (19 283 29 330531 4 32 3 40)30 ,20故这 20名工人年纪的方差为: 1 ( 11)2 3 ( 2) 2 3 ( 1)2 5 02412322 102201(121 1234 12100)201 2522012.61 8.如图四边形 ABCD 为矩形 PD, 平面 ABCD ,2 ,AB 1 ,BC PC 作如图 折叠 折痕 EF DC// , 2. 3 : 此中点 E, F 分别在线段 PD ,PC 上 沿 EF 折叠后点 P,叠在线段 AD 上的点记为 M ,而且 MF CF .(1)证明 : CF 平面 MDF ;(2) 求三棱锥 M CDE 的体积 .解证明 : PD 平面 ABCD , PDPCD, 平面PCD 平面 ABCD,: (1)平面 PCD 平面 ABCD CD, MD 平面 ABCD, MD CD, MD 平面 PCD ,CF平面 PCD , CFMD, 又CF MF ,MD,MF平面 MDF , MD MFM ,CF 平面 MDF .(2)CF 平面 MDF , CFDF ,又易知 PCD600, CDF 300,进而CF= 1CD= 1,2 2DE CF即 DE133 313 EF ∥ DC , =2, DE,S CDEDPCP ,3 2 ,PECD DE,44 2 8MDME 2 DE 2PE 2 DE 2(3 3)2 ( 3)26 ,4 42V MCDE1S CDE MD1 3 62 .33 8 21619. 设各项均为正数的数列 a n 的前 n 项和为 S n ,且 S n 知足 S n 2(n 2 n 3)S n3(n 2 n)0, n N .(1)求 a 1的值 ; (2) 求数列 a 的通项公式 ;n(3)证明:对全部正整数n ,有11 1111 .a 1 a 1 1 a 2 a 2a n a n 3解 : (1)令 n 1得 :S 12( 1)S 1 3 20,即 S 12 S 16 0, (S 1 3)( S 1 2) 0,S 10, S 1 2,即 a 12.(2)由 S n 2 (n 2n 3)S n 3(n 2 n) 0, 得 : (S n 3) S n (n 2 n) 0,a n0(nN ), S n 0,进而 S n3 0, S n n 2 n,当n 2时 ,a n S n S n 1 n 2 n(n 1)2(n 1)2n,又a 1 2 2 1, a n 2n(n N ). (3)当 k N 时 ,k2k k2k 3 (k 1)(k3),2216 44111 111a k (a k 1) 2k (2k1)4 k( k 1 )4 (k1)(k 3)24 4111114(k1) (k 1)14 k 1 ( k 1)14 444111a 1( a 1 1) a 2 (a 2 1)a n (a n 1)1 1111114 ( 121 ) (1 1)n1 ( n11424341)4441 ( 11) 1 1 1.4 1 1(n 1)1 3 4n 3 34420.已知椭圆 C : x 2 y 2 的一个焦点为 ( 5,0), 离心率为 5.a 2b 2 1(a b 0) 3 求椭圆 C 的标准方程 ;(1)(2)若动点 P( x 0 , y 0 )为椭圆 C 外一点 , 且点 P 到椭圆 C 的两条切线互相垂直 , 求点 P 的轨迹方程 .解 : (1)c5, ec 5 5 , a 3,b 2 a 2 c 2954,aa3椭圆 的标准方程为 : x 2y 2C9 1.4(2)若全部线垂直 x 轴,则另全部线垂直于 y 轴, 则这样的点 P 共 4个,它们的坐标分别为 ( 3, 2),(3, 2).若两切线不垂直于坐标轴 , 设切线方程为 y y 0 k ( x x 0 ),即y k (xx 0 ) y 0 , 将之代入椭圆方程x 2y 2中并整理得 :9 4 1(9k 2 4)x 2 18k ( y 0 kx 0 ) x 9 ( y 0kx 0 )2 4 0, 依题意 , 0,即: (18k) 2 ( y 0 kx 0 ) 2 36 ( y 0 kx 0 ) 2 4 (9k 24) 即kx 0 ) 24(9k 24) 0,0, 4( y 029)k 224 0, 两切线互相垂直 , k 1 k 2即 y 0 2 41,( x 02x 0 y 0k y 01, :2 9x 02y 0 2明显 ( 3,2),(3, 2) 这四点也知足以上方程 ,x 0 13,点 的轨迹方程为 x 2 y 213.P21. 已知函数 f (x)1 x 3 x2 ax 1(a R).3(1)求函数 f ( x)的单一区间 ;(2)当 a0时,试议论能否存在 x 0 (0, 1)( 1,1),使得 f (x 0 )= f ( 1).222解: (1)f '(x)22xa, 方程x 22x a 的鉴别式 :4 4a,x当 时 0, f '( x) 0, 此时 在 , ) 上为增函数 .a 1 , f (x) (当 时 方程 x 2 的两根为 1 1 a ,a 1 , 2x a 0当 x ( , 1 时 ' 此时 f (x) 为增函数 ,1 a) , f ( x) 0,当 x ( 1 1 a, 1 时 '(x) 0, 此时 为减函数 ,1 a ) , f f ( x)当 x ( 1 1 a , ) 时 ' ( x) 0, 此时 为增函数 ,, f f (x)综上 时 在 , ) 上为增函数 ,,a 1 , f (x) (当 时 的单一递加区间为 ( , 11 a),( 1 1 a, ), a 1 , f (x)的单一递减区间为 ( 1 1 a , 1 1 a ).f ( x)(2) f ( x 0 ) f ( 1 )1x 0 3 x 0 2ax 01 1(1)3 (1)2a( 1) 1233 222 1 x 03 ( 1)3x 0 2( 1)2a(x 01)3 2221( x1)( x2x 0 1 ) (x0 1)( x1) a( x1)322 4222( x 01 )( x 02x 0 1 x 01 a)236 1221( x 01)(4 x 0214x 0 7 12a)122若存在 x 0(0, 1) (1,1),使得 f ( x 0 )f ( 1),2 22一定 4x 0214x 07 12a 0在 (0, 1)(1,1)上有解 .2 2a 0,14 2 16(7 12a) 4(21 48a)0,方程的两根为 :142 21 48a721 48ax 0 0, x 0只好是721 48a84,4,依题意 ,07+ 21 48a1,即721 48a11, 49 2148a 121,即 25a7 ,412 12又由7+ 2148a = 1,得 a5, 故欲使知足题意的 x 0存在 ,则 a5 ,4244当 a( 25 , 5 ) ( 5 , 7)时, 存在独一的 x 0 (0, 1) ( 1,1)知足 f (x 0 ) f ( 1).12 4 4 12 2 22当 a (, 25] [ 7 ,0)5 时 ,不存在 x 0(0, 1) ( 1 ,1)使 f (x 0 ) f ( 1).12 1242 22。
.3.2232243sin )3125sin()125(.223)125(),3sin()(=∴=⋅==+=∴=+=A A A A f f x A x f ππππππ且 6cos 32sin 336sin 3)6(.36sin 1cos 20.33sin .3sin 33cos sin 23sin 3cos cos 3sin 3sin cos 3cos sin 3)3sin(3)3sin(3)()(.3)()(),3sin(3)(2==⎪⎭⎫ ⎝⎛-=⎪⎭⎫ ⎝⎛+-=-=-=∴∈=∴==⋅=⎥⎦⎤⎢⎣⎡⎪⎭⎫ ⎝⎛--⎪⎭⎫ ⎝⎛+=+--+=--∴=--+=θθππθπθπθθπθθθπθθπθππθπθπθπθθθθθπf f f f f x x f ),(且且2014年普通高等学校招生全国统一考试(广东卷)数学(文科)答案解析一、选择题1-5BDBCA 6-10 CADDB二、填空题11. 520x y ++= 12. 2513. 5 14. ()1,2 15. 3三、解答题 16.(1)(2)17. 解:(1)由图可知,众数为30.极差为:40-19=21.()()()()()()[]05.133041303143030530293302833019201302040332431530329328192222222=-+-+-+-+-+-=∴=+⨯+⨯+⨯+⨯+⨯+=s x18.解:证明:(1)解: (2)19.解:(1)由 ()()*∈=+--+-N n n n S n n S n n ,033222,令1n =,得211(1)S 60S ---=, 即21160a a +-=.解得12a =或13a =-,由于数列{}n a 为正项数列,所以12a =;(2)由()()*∈=+--+-N n n n S n n S n n ,033222,因式分解得()()2320n n S S n n +--=.16231.834312121.433,.26,1,210210,.23.23212,211,602,1.,.31==∴=⨯⨯=⋅=∴=∴====∆∴=⊥=∴=-==∴=︒=∠∴==∆⊥∴⊆⊥⋅⋅=∴⊥∆-∆∆-DM S V DE CD S DE PD E PD CP F DM CD CM MDC RT CM MF CF MF PF CF CD PCD PC CD PCD RT DF CF MDF DF MDF CF MD S V PCD MD CDECDE M CDECDE CDE M 的三分点,故为且的三分点点位于又得中,在故利用勾股定理得:又故且中,在面面面 MDF CF M MF MD CF MF CF MD PCD CF PCD MD ABCD AD CD AD ABCD CD ABCD PCD PCD ABCD PD 面且面又由于面面为矩形,四边形又交线为面面面且面⊥∴=⋂⊥⊥∴⊆⊥∴⊆⊥⊥∴⊆⊥,.,,.,.PD ,由数列{}n a 为正项数列可得220n S n n --=,即22n S n n =+,当2n ≥时,()()22121212n n n a S S n n n n n -⎡⎤=-=+--+-=⎣⎦,由12a =可得,n N *∀∈,2n a n =(3)由(2)可知()()111221n n a a n n =++()()()()1111111221212122121n n n N a a n n n n n n *⎛⎫∀∈=<=- ⎪++-+-+⎝⎭当1n =时,显然有()11111163a a =<+; 当2n ≥时,()()()1122111111n n a a a a a a ++++++()11111111221235572121n n ⎛⎫<+-+-++- ⎪⋅+-+⎝⎭=111132213n -⋅<+ 所以,对一切正整数n ,有()()().311111112211<+++++n n a a a a a a20.解:(1)149.2,335,522=+=====yx b a a c e c 椭圆方程为:得:由 (2))点坐标为(,椭圆长轴与短轴的端点两点分别位于、率不存在时,即当两条切线中有一条斜、设两个切点分别为2,3①±±P B A BA)3131-949442)9()(490△0369189)1818(49149)(y -y )(y -y P k ②02020*******02021212000222002200020202022220000±≠=+=--=∙∴--=∙=-+--⇒-=+⇒==-+-+-++⎪⎩⎪⎨⎧=+-=-=x y x x y k k PB PA x y k k k k PB PA y k y x k x y kx k y y kx x k x x k ky x k y x x x k x x k (化简得互相垂直,、又,则、斜率分别为、设)(,得联立的椭圆切线方程为,过点设椭圆切线斜率为切线斜率均存在时,当两条.13132,3222020上在圆点上)在(又=+∴=+±±y x P y x P21.解:(1)由()32113f x x x ax =+++,求导得()'22f x x x a =++,令()'0f x =即220x x a ++=,44a ∆=-,① 当0∆≤,即1a ≥时,()'0f x ≥恒成立,()f x 在R 上单调递增;② 当0∆>,即1a <时,方程220x x a ++=的两根分别为:11x =-21x =-当(()()',1,0,x fx f x ∈-∞->单调递增;当(11x ∈--+,()'0f x <,()f x 单调递减;当()()()'1,0,x f x f x ∈-+∞>单调递增。
2014年广东省高考数学试卷(文科)2014年广东省高考数学试卷(文科)一、选择题:(本大题共10小题,每小题5分,满分50分.在每小题给出的四个选项中,只有一项是符合题目要求的)3.(5分)已知向量=(1,2),=(3,1),则﹣=()4.(5分)若变量x,y满足约束条件,则z=2x+y的最大值等于()8.(5分)若实数k满足0<k<5,则曲线﹣=1与﹣=1的()10.(5分)对任意复数ω1,ω2,定义ω1*ω2=ω12,其中2是ω2的共轭复数,对任意复数z1,z2,z3有如下命题:①(z1+z2)*z3=(z1*z3)+(z2*z3)②z1*(z2+z3)=(z1*z2)+(z1*z3)③(z1*z2)*z3=z1*(z2*z3);④z1*z2=z2*z1则真命题的个数是()二、填空题(共3小题,考生作答4小题,每小题5分,满分15分)(一)必做题(11-13题)11.(5分)曲线y=﹣5e x+3在点(0,﹣2)处的切线方程为_________.12.(5分)从字母a,b,c,d,e中任取两个不同字母,则取到字母a的概率为_________.13.(5分)等比数列{a n}的各项均为正数,且a1a5=4,则log2a1+log2a2+log2a3+log2a4+log2a5=_________.(二)(14-15题,考生只能从中选做一题)【坐标系与参数方程选做题】14.(5分)在极坐标系中,曲线C1与C2的方程分别为2ρcos2θ=sinθ与ρcosθ=1,以极点为平面直角坐标系的原点,极轴为x轴的正半轴,建立平面直角坐标系,则曲线C1与C2交点的直角坐标为_________.【几何证明选讲选做题】15.如图,在平行四边形ABCD中,点E在AB上且EB=2AE,AC与DE交于点F,则=_________.四、解答题(本大题共6小题,满分80分.解答须写出文字说明、证明过程和演算步骤)16.(12分)已知函数f(x)=Asin(x+),x∈R,且f()=.(1)求A的值;(2)若f(θ)﹣f(﹣θ)=,θ∈(0,),求f(﹣θ).(2)以十位数为茎,个位数为叶,作出这20名工人年龄的茎叶图;(3)求这20名工人年龄的方差.18.(13分)如图1,四边形ABCD为矩形,PD⊥平面ABCD,AB=1,BC=PC=2作如图2折叠;折痕EF∥DC,其中点E,F分别在线段PD,PC上,沿EF折叠后点P叠在线段AD上的点记为M,并且MF⊥CF.(1)证明:CF⊥平面MDF;(2)求三棱锥M﹣CDE的体积.19.(14分)设各项均为正数的数列{a n}的前n项和为S n满足S n2﹣(n2+n﹣3)S n﹣3(n2+n)=0,n∈N*.(1)求a1的值;(2)求数列{a n}的通项公式;(3)证明:对一切正整数n,有++…+<.20.(14分)(2014•广东)已知椭圆C:+=1(a>b>0)的每一个焦点为(,0),离心率为.(1)求椭圆C的标准方程;(2)若动点P(x0,y0)为椭圆C外一点,且点P到椭圆C的两条切线相互垂直,求点P的轨迹方程.21.(14分)已知函数f(x)=x3+x2+ax+1(a∈R).(1)求函数f(x)的单调区间;(2)当a<0时,试讨论是否存在x0∈(0,)∪(,1),使得f(x0)=f().2014年广东省高考数学试卷(文科)参考答案与试题解析一、选择题:(本大题共10小题,每小题5分,满分50分.在每小题给出的四个选项中,只有一项是符合题目要求的)==3+4i3.(5分)已知向量=(1,2),=(3,1),则﹣=()解:∵向量,﹣4.(5分)若变量x,y满足约束条件,则z=2x+y的最大值等于()=解:由正弦定理可知8.(5分)若实数k满足0<k<5,则曲线﹣=1与﹣=1的()﹣=1﹣10.(5分)对任意复数ω1,ω2,定义ω1*ω2=ω12,其中2是ω2的共轭复数,对任意复数z1,z2,z3有如下命题:①(z1+z2)*z3=(z1*z3)+(z2*z3)②z1*(z2+z3)=(z1*z2)+(z1*z3)③(z1*z2)*z3=z1*(z2*z3);④z1*z2=z2*z112,其中)12=(+)1+z11,2))1z12,等式不成立,故错误;二、填空题(共3小题,考生作答4小题,每小题5分,满分15分)(一)必做题(11-13题)11.(5分)曲线y=﹣5e x+3在点(0,﹣2)处的切线方程为5x+y+2=0..12.(5分)从字母a,b,c,d,e中任取两个不同字母,则取到字母a的概率为0.4.中任取两个不同字母,共有=10,共有=0.413.(5分)等比数列{a n}的各项均为正数,且a1a5=4,则log2a1+log2a2+log2a3+log2a4+log2a5=5.(二)(14-15题,考生只能从中选做一题)【坐标系与参数方程选做题】14.(5分)在极坐标系中,曲线C1与C2的方程分别为2ρcos2θ=sinθ与ρcosθ=1,以极点为平面直角坐标系的原点,极轴为x轴的正半轴,建立平面直角坐标系,则曲线C1与C2交点的直角坐标为(1,2).,解得:.【几何证明选讲选做题】15.如图,在平行四边形ABCD中,点E在AB上且EB=2AE,AC与DE交于点F,则=3..=四、解答题(本大题共6小题,满分80分.解答须写出文字说明、证明过程和演算步骤)16.(12分)已知函数f(x)=Asin(x+),x∈R,且f()=.(1)求A的值;(2)若f(θ)﹣f(﹣θ)=,θ∈(0,),求f(﹣θ).x+),,﹣x+))+)=))﹣)()﹣(cos=3sin=,=﹣()(2)以十位数为茎,个位数为叶,作出这20名工人年龄的茎叶图;(3)求这20名工人年龄的方差.=3018.(13分)如图1,四边形ABCD为矩形,PD⊥平面ABCD,AB=1,BC=PC=2作如图2折叠;折痕EF∥DC,其中点E,F分别在线段PD,PC上,沿EF折叠后点P叠在线段AD上的点记为M,并且MF⊥CF.(1)证明:CF⊥平面MDF;(2)求三棱锥M﹣CDE的体积.CD=;=,即=,PE=CD;=,MD=××=19.(14分)设各项均为正数的数列{a n}的前n项和为S n满足S n2﹣(n2+n﹣3)S n﹣3(n2+n)=0,n∈N*.(1)求a1的值;(2)求数列{a n}的通项公式;(3)证明:对一切正整数n,有++…+<.得:,即.)由.,.时,∵,20.(14分)(2014•广东)已知椭圆C:+=1(a>b>0)的每一个焦点为(,0),离心率为.(1)求椭圆C的标准方程;(2)若动点P(x0,y0)为椭圆C外一点,且点P到椭圆C的两条切线相互垂直,求点P的轨迹方程.)依题意知+=1=+21.(14分)已知函数f(x)=x3+x2+ax+1(a∈R).(1)求函数f(x)的单调区间;(2)当a<0时,试讨论是否存在x0∈(0,)∪(,1),使得f(x0)=f().((的两根为,即)时,)∵∴若存在∪,使得,即∪的两根为,∴依题意有,且.∪时,存在唯一的∪∪参与本试卷答题和审题的老师有:caoqz;742048;sxs123;qiss;whgcn;maths;wsj1012;刘长柏;尹伟云;xintrl;孙佑中;王老师;翔宇老师(排名不分先后)菁优网2014年6月23日。
试卷类型:A2014年普通高等学校招生全国统一考试(广东卷)数学(文科)试题及答案本试卷共4页,21题,满分150分。
考试用时120分钟。
注意事项:1.答卷前,考生务必用黑色字迹的钢笔或签字笔将自己的姓名和考生号、试室号、座位号填写在答题卡上。
用2B 铅笔将试卷类型(A )填涂在答题卡相应位置上。
将条形码横贴在答题卡右上角“条形码粘贴处”。
2.选择题每小题选出答案后,用2B 铅笔把答题卡对应题目选项的答案信息点涂黑,如需改动,用橡皮擦干净后,再选涂其他答案,答案不能答在试卷上。
3.非选择题必须用黑色字迹钢笔或签字笔作答,答案必须写在答题卡各题目指定区域相应位置上;如需改动,先划掉原来的答案,然后再写上新的答案;不准使用铅笔盒涂改液。
不按以上要求作答的答案无效。
4.作答选做题时,请先用2B 铅笔填涂选做题的题号对应的信息点,再作答。
漏涂、错涂、多涂的,答案无效。
5.考生必须保持答题卡的整洁。
考试结束后,将试卷和答题卡一并交回。
参考公式:锥体的体积公式V =13Sh ,其中S 为锥体的底面积,ℎ为锥体的高。
一组数据x 1,x 2,…,x n 的方差s 2=1n [(x 1−x)2+(x 2−x)2+⋯+(x n −x)2],其中x 表示这组数据的平均数 一、选择题:本大题共10小题,每小题5分,满分50分,在每小题给出的四个选项中,只有一项是符合题目要求的。
1 . 已知集合M ={2,3,4},N ={0,2,3,5},则M ∩N =( ) A.{0,2} B.{2,3} C.{3,4} D.{3,5} 2 .已知复数z 满足(3−4i)z =25,则z =( )A. −3−4iB. −3+4iC. 3−4iD. 3+4i 3. 已知向量a ⃗=(1,2),b ⃗⃗=(3,1)则b ⃗⃗−a ⃗=( )A.(-2,1)B.(2,-1)C.(2,0)D.(4,3) 4.若变量x ,y 满足约束条件{x +2y ≤80≤x ≤40≤y ≤3,则z =2x +y 的最大值等于( )A.7B.8C.10D.11 5.下列函数为奇函数的是( )A.B. C. D. 6.为了解1000名学生的学习情况,采用系统抽样的方法,从中抽取容量为40的样本,则分段的间隔为( )A.50B.40C.25D.207.在中,角A,B,C 所对应的边分别为则“”是“”的( ) A.充分必要条件 B.充分非必要条件 C.必要非充分条件 D.非充分非必要条件8.若实数满足,则曲线与曲线的( )A.实半轴长相等B.虚半轴长相等C.离心率相等D.焦距相等 9.若空间中四条两两不同的直线,满足则下列结论一定正确的是( )A .B.C.与既不垂直也不平行 D.与的位置关系不确定10.对任意复数定义其中是的共轭复数,对任意复数有如下四个命题:①②;③④;则真命题的个数是( )A.1B.2C.3D.4二、填空题:本大题共5小题,考生作答4小题,每小题5分,满分20分。
2014年普通高等学校招生全国统一考试(广东卷)数学 (文科)一、选择题{}{}{}{}{}{}1.2,3,4,0,2,3,5,()..0,2.2,3.3,4.3,5M N M N A B C D ===已知集合则答案:B2.(34)25,()..34.34.34.34z i z z A iB iC iD i-==---+-+已知复数满足则答案:D 2525(34)25(34):=34,.34(34)(34)25i i z i D i i i ++===+--+提示故选 3.(1,2),(3,1),()..(2,1).(2,1).(2,0).(4,3)a b b a A B C D =-=--已知向量则答案:B284.,04,2().03.7.8.10.11x y x y x z x y y A B C D +≤⎧⎪≤≤=+⎨⎪≤≤⎩若变量满足约束条件则的最大值等于 答案:C提示:作出可行域(为一个五边形及其内部区域),易知在点(4,2)处目标函数取到最大值10. 选C. 5.下列函数为奇函数的是( ).A.x x212- B.x x sin 3 C.1cos 2+x D.xx 22+ 答案:A111:()2,(),()22(),222(),A .x xxx x xf x f x R f x f x f x --=--=-=-=-∴提示设则的定义域为且为奇函数故选6.1000,,40,()..50.40.25.20:1000:25.40A B C D C=为了解名学生的学习情况采用系统抽样的方法从中抽取容量为的样本则分段的间隔为答案提示分段的间隔为7.,,,,,,sin sin ().....::,,,sin ,sin ,sin sin .sin sin ABC A B C a b c a b A B A B C D Aa ba b A B a b A B A B∆≤≤=∴≤⇔≤在中角所对应的边分别为则“”是“”的充分必要条件充分非必要条件必要非充分条件非充分非必要条件答案提示由正弦定理知都为正数22228.05,11().165165....05,50,160,16(5)21(16)5,x y x y k k k k A B C D k k k k k k <<-=-=--<<∴->->+-=-=-+若实数满足则曲线与曲线的实半轴长相等虚半轴长相等离心率相等焦距相等答案:D提示:从而两曲线均为双曲线,又故两双曲线的焦距相等,选D.1234122334141414149.,,,,,//,,()...//..l l l l l l l l l l A l l B l l C l l D l l ⊥⊥⊥若空间中四条两两不同的直线满足则下列结论一定正确的是与既不垂直也不平行与的位置关系不确定答案:D1212122212310.,,=,,,,z z z ωωωωωωωω*对任意复数定义其中是的共轭复数对任意复数有如下四个命题:①1231323()()();z z z z z z z +*=*+*②1231213()()()z z z z z z z *+=*+*;③123123()();z z z z z z **=**④1221z z z z *=*;则真命题的个数是( )A.1B.2C.3D.412312313231323123123123121312131231231231231231:()()()()()();()()()()()()();(),()()(),,;Bz z z z z z z z z z z z z z z z z z z z z z z z z z z z z z z z z z z z z z z z z z z z z z z ++++=+=+=+====≠答案提示:①*===*+*,故①是真命题②**+*,②对③左边=*=右边*左边右边③错 ④左边=2122121,,,z z z z z z z ==≠*右边=*左边右边故④不是真命题.综上,只有①②是真命题,故选B.二、填空题(一)必做题(11-13)''142511.53(0,2)_______.:520:5,5,25,520.12.,,,d,e ________.2:542:105x x x y e x y y e y y x x y a b c a C P C ==-+-++==-∴=-∴+=-++====曲线在点处的切线方程为答案提示所求切线方程为即从字母中任取两个不同字母,则取到字母的概率为答案提示13.等比数列{}n a 的各项均为正数,且154a a =,则2122232425log +log +log +log +log =a a a a a ________.212223242525242322212152:5:log log log log log ,log log log log log ,25log ()5log 410,5.S a a a a a S a a a a a S a a S =++++=++++∴===∴=答案提示设则2121214.()2cos sin cos =1.,,_____________.C C x C C ρθθρθ=坐标系与参数方程选做题在极坐标系中,曲线与的方程分别为与以极点为平面直角坐标系的原点,极轴为轴的正半轴建立平面直角坐标系则曲线与交点的直角坐标为 2221212:(1,2):2cos sin 2cos =sin ,2,1,,(1,2).C y x C x C C ρθθρθρθ===∴答案提示由得()故的直角坐标方程为:的直角坐标方程为:交点的直角坐标为15.()1,,2,,___________.:3:, 3.ABCD E AB EB AE AC DE F CDF AEF CDF CD EB AECDFAEF AEF AE AE=∆=∆∆+∆∆∴===∆几何证明选讲选做题如图在平行四边形中点在上且与交于点的周长则的周长答案的周长提示显然的周长三、解答题16.(本小题满分12分)已知函数()sin(),3f x A x x R π=+∈,且532()122f π= (1) 求A 的值;(2) 若()()3,(0,)2f f πθθθ--=∈,求()6f πθ-5533232:(1)()sin()sin ,2 3.12123422(2)(1):()3sin(),3()()3sin()3sin()333(sin cos cos sin )3(sin()cos cos()sin )33336cos sin 333cos 31cos ,()336f A A A f x x f f f πππππππθθθθππππθθθθπθθπθθ=+==∴=⋅==+∴+-=++-+=++-+-===∴=∴-=解由得1sin()3sin()3cos 3 1.6323πππθθθ-+=-==⨯=17. 某车间20名工人年龄数据如下表:(1)求这20名工人年龄的众数与极差;(2)以十位数为茎,个位数为叶,作出这20名工人年龄的茎叶图; (3)求这20名工人年龄的方差.:(1)2030,401921.-=解这名工人年龄的众数为极差为 (2)茎叶图如下:()2222222(1928329330531432340)3:30,20120:(11)3(2)3(1)50413210201(121123412100)2012522012.6+⨯+⨯+⨯+⨯+⨯+=⎡⎤-+⨯-+⨯-+⨯+⨯+⨯+⎣⎦=+++++=⨯=年龄的平均数为故这名工人年龄的方差为18.2,,,1, 2.3://,,,,,.(1):;(2).ABCD PD ABCD AB BC PC EF DC E F PD PC EF P AD M MF CF CF MDF M CDE ⊥===⊥⊥-如图四边形为矩形平面作如图折叠折痕其中点分别在线段上沿折叠后点叠在线段上的点记为并且证明平面求三棱锥的体积00:(1):,,,,,,,,,,,,,.11(2),,60,30,==,22,PD ABCD PD PCD PCD ABCD PCD ABCD CD MD ABCD MD CD MD PCD CF PCD CF MD CF MF MD MF MDF MD MF M CF MDF CF MDF CF DF PCD CDF CF CD DE EF DC D ⊥⊂∴⊥=⊂⊥∴⊥⊂∴⊥⊥⊂=∴⊥⊥∴⊥∠=∴∠=∴解证明平面平面平面平面平面平面平面平面又平面平面平面又易知从而∥2222221333132,=,,,,2442833336()(),44211362.338216CDE M CDE CDE CF DE DE PE S CD DE P CP MD ME DE PE DE V S MD ∆-∆=∴=∴==⋅==-=-=-=∴=⋅=⋅⋅=即1 92 8 8 8 9 9 93 0 0 0 0 0 1 1 1 1 2 2 24 0{}{}222119.,(3)3()0,.(1);(2);n n n n n n a n S S S n n S n n n N a a *-+--+=∈设各项均为正数的数列的前项和为且满足求的值求数列的通项公式 (3)证明:对一切正整数n ,有()()().311111112211<+++++n n a a a a a a221111*********2221:(1)1:(1)320,60,(3)(2)0,0,2, 2.(2)(3)3()0,:(3)()0,0(),0,30,,2,(1)(1)n n n n n n n n n n n n S S S S S S S S a S n n S n n S S n n a n N S S S n n n a S S n n n n *-=---⨯=+-=∴+-=>∴==⎡⎤-+--+=+-+=⎣⎦>∈∴>+>∴=+⎡∴≥=-=+--+-⎣解令得即即由得从而当时12211222,221,2().313(3),()(),221644111111113(1)2(21)44()()()24411111111144(1)()(1)4444111(1)(1)(n k k n n a a n n N k k k N k k k k a a k k k k k k k k k k a a a a a a **⎤=⎦==⨯∴=∈∈+>+-=-+∴==⋅<⋅+++-+⎡⎤⎢⎥=⋅=⋅-⎢⎥⎡⎤⎢⎥-+--⋅+-⎢⎥⎣⎦⎣⎦∴+++++又当时1)1111111()()11111141223(1)444444111111().11434331(1)44n n n n n +⎡⎤⎢⎥<-+-++-⎢⎥⎢⎥-----+-⎣⎦=-=-<+-+-22220022222520.:1(0)(5,0),.3(1);(2)(,),,.55:(1)5,,3,954,31.94(2),,4x y C a b a b C P x y C P C P c c e a b a c a a x y C x y +=>>====∴==-=-=∴+=已知椭圆的一个焦点为离心率为求椭圆的标准方程若动点为椭圆外一点且点到椭圆的两条切线相互垂直求点的轨迹方程解椭圆的标准方程为:若一切线垂直轴则另一切线垂直于轴则这样的点P 共个002200222000022222000000(3,2),(3,2).(),(),194(94)18()9()40,,0,(18)()36()4(94)0,4()4y y k x x x y y k x x y k x k y kx x y kx k y kx y kx k y kx -±±-=-=-++=⎡⎤++-+--=∆=⎣⎦⎡⎤----+=--⎣⎦,它们的坐标分别为若两切线不垂直于坐标轴,设切线方程为即将之代入椭圆方程中并整理得:依题意即:即22222000001220220022(94)0,4(9)240,,1,:1,913,(3,2),(3,2),13.k y x k x y k y k k x x y P x y +=-∴--+-=∴=-=--∴+=-±±∴+=两切线相互垂直即显然这四点也满足以上方程点的轨迹方程为3200121.()1().3(1)();111(2)0,(0,)(,1),()=().222f x x x ax a R f x a x f x f =+++∈<∈已知函数求函数的单调区间当时试讨论是否存在使得'22'2'':(1)()2,20:44,1,0,()0,()(,).1,2011,(,11),()0,(),(11,11),()0,(),(11,)f x x x a x x a a a f x f x a x x a a x a f x f x x a a f x f x x a =++++=∆=-∴≥∆≤∴≥-∞+∞<++=-±-∈-∞--->∴∈----+-<∈-+-+∞解方程的判别式当时此时在上为增函数当时方程的两根为当时此时为增函数当时此时为减函数当时',()0,(),,1,()(,),1,()(,11),(11,),()(11,11).f x f x a f x a f x a a f x a a >≥-∞+∞<-∞----+-+∞----+-此时为增函数综上时在上为增函数当时的单调递增区间为的单调递减区间为323200003322000200000020000200111111(2)()()1()()()12332221111()()()3222111111()()()()()3224222111()()23612211()(4122f x f x x ax a x x a x x x x x x a x x x x x a x x ⎡⎤-=+++-+++⎢⎥⎣⎦⎡⎤⎡⎤=-+-+-⎢⎥⎢⎥⎣⎦⎣⎦⎡⎤=-+++-++-⎢⎥⎣⎦=-+++++=-+00020020014712)111(0,)(,1),()(),222114147120(0,)(,1).220,1416(712)4(2148)0,14221487214872148:,0,,8447+2148,01,721484x a x f x f x x a a a a a a ax x a a ++∴∈=+++=<∴∆=-+=->-±--±--+-=>∴--<<<-<若存在使得必须在上有解方程的两根为只能是依题意即0000025711,492148121,,12127+2148155=,,,,424425557111(,)(,),(0,)(,1)()().124412222257511(,][,0),(0,)(,1)()(1212422a a a a x a a x f x f a x f x f ∴<-<-<<---=-≠-∴∈----∈=⎧⎫∈-∞---∈=⎨⎬⎩⎭即又由得故欲使满足题意的存在则当时存在唯一的满足当时不存在使1).2。
绝密★启用前试卷类型:A2014年普通高等学校招生全国统一考试(广东卷)数学(文科)本试卷共4页,21小题,满分150分。
考试用时120分钟。
注意事项:1. 答卷前,考生务必用黑色字迹的钢笔或签字笔将自己的姓名和考生号、考场号、座位号填写在答题卡上。
用2B 铅笔将试卷类型(B )填涂在答题卡相应位置上。
将条形码横贴在答题卡右上角“条形码粘贴处”。
2. 选择题每小题选出答案后,用2B 铅笔把答题卡上对应题目选项的答案信息点涂黑,如需改动,用橡皮擦干净后,再选涂其他答案,答案不能答在试卷上。
3. 非选择题必须用黑色字迹钢笔或签字笔作答,答案必须写在答题卡各题目指定区域内相应位置上;如需改动,先划掉原来的答案,然后再写上新的答案;不准使用铅笔和涂改液。
不按以上要求作答的答案无效。
4. 作答选做题时,请先用2B 铅笔填涂选做题的题号对应的信息点,再作答。
漏涂、错涂、多涂的,答案无效。
5. 考生必须保持答题卡的整洁。
考试结束后,将试卷和答题卡一并交回。
参考公式:锥体的体积公式13V sh ,其中s 为锥体的底面积,h 为锥体的高.一组数据12,,,nx x x L 的方差2222121[()()()],n s x x x x x x n=-+-++-L其中x 表示这组数据的平均数.一、选择题:本大题共10小题,每小题5分,满分50分,在每小题给出的四个选项中,只有一项是符合题目要求的. 1. 已知集合{}2,3,4M =,{}0,2,3,5N =,则M N =I{}A.0,2{}B.2,3{}C.3,4{}D.3,52. 已知复数z 满足(34)25i z -=,则z =A.34i --B.34i -+ .34C i -D.34i +3. 已知向量(1,2)a =r ,(3,1)b =r ,则b a -=r rA.(2,1)-B.(2,1)-C.(2,0)D.(4,3)4. 若变量x ,y 满足约束条件280403x y x y +≤⎧⎪≤≤⎨⎪≤≤⎩,则2z x y =+的最大值等于A.7B.8C.10D.115. 下列函数为奇函数的是1A.22x x- 2B.sin x xC.2cos 1x + 2D.2x x +6. 为了了解1000名学生的学习情况,采用系统抽样的方法,从中抽取容量为40的样本,则分段的间隔为A.50B.40C.25D.207. 在ABC ∆中,角,,A B C 所对应的变分别为,,a b c ,则a b ≤“”是sin sin A B ≤“”的A.充分必要条件B.充分非必要条件C.必要非充分条件D.非充分非必要条件8. 若实数k 满足05k <<,则曲线221165x y k-=-与曲线221165x k y --=的 A.实半轴长相等 B.虚半轴长相等 C.离心率相等 D.焦距相等9. 若空间中四条两两不相同的直线1l ,2l ,3l ,4l ,满足12l l ⊥,23//l l ,34l l ⊥,则下列结论一定正确的是A.14l l ⊥ B.14//l lC.1l 与4l 既不平行也不垂直D.14l l 与位置关系不确定10. 对任意复数1w ,2w ,定义1212w w w w *=,其中2w 是2w 的共轭复数,对任意复数123,,z z z ,有如下四个命题:①()()()1231323z z z z z z z +*=*+*②()()()1231213z z z z z z z *+=*+*③()()123123z z z z z z **=** ④1221z z z z *=* 则真命题的个数是A.1B.2C.3D.4二、填空题:本大题共5小题,考生作答4小题,每小题5分,满分20分.(一)必做题(11~13题)11. 曲线53x y e =-+在点(0,2)-处的切线方程为 . 12. 从字母,,,,a b c d e 中任取两个不同的字母,则取到字母a 的概率为 .13. 等比数列{}n a 的各项均为正数且154a a =,则2122232425log log log log log a a a a a ++++ = .(二)选做题(14~15题,考生只能从中选做一题)14. (坐标系与参数方程选做题)在极坐标系中,曲线1C 与2C 的方程分别为22cos sin ρθθ=与cos 1ρθ=,以极点为平面直角坐标系的原点,极轴为x 轴的正半轴,建立平面直角坐标系,则曲线1C 与2C 的交点的直角坐标为 .15. (几何证明选讲选做题)如图1,在平行四边形ABCD 中,点E 在AB 上且2EB AE =,AC 与DE 交于点F ,则CDF AEF ∆∆的周长的周长= .三、解答题:本大题共6小题,满分80分.解答须写出文字说明、证明过程和演算步骤. 16.(本小题满分12 分)已知函数 5()sin(),,()3122f x A x x R f ππ=+∈= (1)求A 的值;EF DCB A(2)若()()(0,),2f f πθθθ--=∈,求()6f πθ-.17.(本小题满分13 分)某车间20名工人年龄数据如下表:年龄(岁) 工人数(人)19 1 28 3 29 3 30 5 31 4 32 3 40 1合计 20(1)求这20名工人年龄的众数与极差;(2)以这十位数为茎,个位数为叶,作出这20名工人年龄的茎叶图;(3)求这20名工人年龄的方差.如图2,四边形ABCD 为矩形,PD ⊥平面ABCD ,1,2AB BC PC ===,作如图3折叠,折痕EF ∥DC ,其中点,E F 分别在线段,PD PC 上,沿EF 折叠后点P 叠在线段AD 上的点记为M ,并且MF ⊥CF .(1)证明:CF ⊥平面MDF ; (2)求三棱锥M CDE -的体积.19. (本小题满分14分)设各项为正数的数列{}n a 的前n 和为n S ,且n S 满足.222*(3)3()0,n n S n n S n n n N -+--+=∈(1)求1a 的值;(2)求数列{}n a 的通项公式; (3)证明:对一切正整数n ,有11221111(1)(1)(1)3n n a a a a a a +++<+++CEFPBADP A DCBFEM已知椭圆2222:1(0,0)x y C a b a b+=>>的一个焦点为),(1)求椭圆C 的标准方程;(2)若动点00(,)P x y 为椭圆C 外一点,且点P 到椭圆的两条切线相互垂直,求点P 的轨迹方程.21. (本小题满分14分)已知函数321()1()3f x x x ax a R =+++∈.(1)求函数()f x 的单调区间; (2)当0a <时,试讨论是否存在0110,,122x ⎛⎫⎛⎫∈ ⎪ ⎪⎝⎭⎝⎭,使得01()()2f x f =.2014年普通高等学校招生全国统一考试(广东卷)数学(文科)参考答案:一、选择题:本大题共10小题,每小题5分,满分50分,在每小题给出的四个选项中,只有一项是符合题目要求的.1. B2. D3. B4. C5. A6. C7. A8. D9. D 10. B二、填空题:本大题共5小题,考生作答4小题,每小题5分,满分20分.11. 520x y ++= 12. 2513. 5 14. (1,2) 15. 3 三、解答题:本大题共6小题,满分80分.解答须写出文字说明、证明过程和演算步骤.16.553:(1)()sin()sin 3.12123422(2)(1):()3sin(),3()()3sin()3sin()333(sin cos cos sin )3(sin()cos cos()sin )33336sin cos 33sin sin (0,),32f A A Af x x f f πππππππθθθθππππθθθθπθθπθθ=+==∴===+∴--=+--+=+--+-===∴=∈∴解由得cos 3()3sin()3sin()3cos 36632f θππππθθθθ==∴-=-+=-===17.:(1)2030,401921.-=解这名工人年龄的众数为极差为(2)茎叶图如下:1 9()2222222(1928329330531432340) 3:30,20120:(11)3(2)3(1)50413210201(121123412100)2012522012.6+⨯+⨯+⨯+⨯+⨯+=⎡⎤-+⨯-+⨯-+⨯+⨯+⨯+⎣⎦=+++++=⨯=年龄的平均数为故这名工人年龄的方差为 18.00:(1):,,,,,,,,,,,,,.11(2),,60,30,==,22,PD ABCD PD PCD PCD ABCD PCD ABCD CD MD ABCD MD CD MD PCD CF PCD CF MD CF MF MD MF MDF MDMF M CF MDF CF MDF CF DF PCD CDF CF CD DE EF DC D ⊥⊂∴⊥=⊂⊥∴⊥⊂∴⊥⊥⊂=∴⊥⊥∴⊥∠=∴∠=∴解证明平面平面平面平面平面平面平面平面又平面平面平面又易知从而∥2112,,2211.33CDE M CDE CDE CF DE PE S CD DE P CP MD V S MD ∆-∆=∴=∴==⋅=====∴=⋅==2 8 8 8 9 9 93 0 0 0 0 0 1 1 1 1 2 2 24 019.2211111111122222221:(1)1:(1)320,60,(3)(2)0,0,2, 2.(2)(3)3()0,:(3)()0,0(),0,30,,2,(1)(1)n n n n n n n n n n n n S S S S S S S S a S n n S n n S S n n a n N S S S n n n a S S n n n n *-=---⨯=+-=∴+-=>∴==⎡⎤-+--+=+-+=⎣⎦>∈∴>+>∴=+⎡∴≥=-=+--+-⎣解令得即即由得从而当时12211222,221,2().313(3),()(),221644111111113(1)2(21)44()()()24411111111144(1)()(1)4444111(1)(1)(n k k n n a a n n N k k k N k k k k a a k k k k k k k k k k a a a a a a **⎤=⎦==⨯∴=∈∈+>+-=-+∴==⋅<⋅+++-+⎡⎤⎢⎥=⋅=⋅-⎢⎥⎡⎤⎢⎥-+--⋅+-⎢⎥⎣⎦⎣⎦∴+++++又当时1)1111111()()11111141223(1)444444111111().11434331(1)44n n n n n +⎡⎤⎢⎥<-+-++-⎢⎥⎢⎥-----+-⎣⎦=-=-<+-+-20.2222200220022:(1)3,954,1.94(2),,4(3,2),(3,2).(),(),194(94)18(cc e a b a cax yCx yy y k x xx yy k x x yk x k y====∴==-=-=∴+=-±±-=-=-++=++解椭圆的标准方程为:若一切线垂直轴则另一切线垂直于轴则这样的点P共个,它们的坐标分别为若两切线不垂直于坐标轴,设切线方程为即将之代入椭圆方程中并整理得:200002222220000002222000001222200)9()40,,0,(18)()36()4(94)0,4()4(94)0,4(9)240,,1,:1,913,(3,2),(3,2)kx x y kxk y kx y kx k y kx kyx k x y k y k kx x y⎡⎤-+--=∆=⎣⎦⎡⎤----+=--+=⎣⎦-∴--+-=∴=-=--∴+=-±±Q依题意即:即两切线相互垂直即显然这四点也满足以上方22,13.P x y∴+=程点的轨迹方程为21.'22'2'':(1)()2,20:44,1,0,()0,()(,).1,201(,1,()0,(),(11),()0,(),(1)f x x x a x x a a a f x f x a x x a x f x f x x f x f x x =++++=∆=-∴≥∆≤∴≥-∞+∞<++=-±∈-∞-->∴∈---+<∈-++∞解方程的判别式当时此时在上为增函数当时方程的两根为当时此时为增函数当时此时为减函数当时',()0,(),,1,()(,),1,()(,11),()(11).f x f x a f x a f x f x >≥-∞+∞<-∞---++∞--+此时为增函数综上时在上为增函数当时的单调递增区间为的单调递减区间为323200003322000200000020000200111111(2)()()1()()()12332221111()()()3222111111()()()()()3224222111()()23612211()(4122f x f x x ax a x x a x x x x x x a x x x x x a x x ⎡⎤-=+++-+++⎢⎥⎣⎦⎡⎤⎡⎤=-+-+-⎢⎥⎢⎥⎣⎦⎣⎦⎡⎤=-+++-++-⎢⎥⎣⎦=-+++++=-+00020020014712)111(0,)(,1),()(),222114147120(0,)(,1).220,1416(712)4(2148)0,0,,01,7x a x f x f x x a a a a x x ++∴∈=+++=<∴∆=-+=->>∴<<若存在使得必须在上有解方程的两根为依题意即0000025711,492148121,,1212155,,,,24425557111(,)(,),(0,)(,1)()().124412222257511(,][,0),(0,)(,1)()(1212422a a a x a a x f x f a x f x f ∴<-<-<<-=-≠-∴∈----∈=⎧⎫∈-∞---∈=⎨⎬⎩⎭即得故欲使满足题意的存在则当时存在唯一的满足当时不存在使1).2。
2014年普通高等学校招生全国统一考试(广东卷)数学(文科)一.选择题:本大题共10小题,每小题5分,共50分. 在每小题给出的四个选项中,只有一项是符合题目要求的。
(1)已知集合{}{}5,3,2,0,4,3,2==N M ,则N M ( )A. {}2,0B. {}3,2C. {}4,3D. {}5,3 (2)已知复数z 满足25)43(=-z i ,则=z ( )A.i 43--B. i 43+-C. i 43-D. i 43+(3)已知向量)1,3(),2,1(==b a,则=-a b ( )A. )1,2(-B. )1,2(-C. )0,2(D. )3,4((4)若变量y x ,满足约束条件⎪⎩⎪⎨⎧≤≤≤≤≤+304082y x y x 则y x z +=2的最大值等于( )A. 7B. 8C. 10D. 11 5.下列函数为奇函数的是( ) A.xx212-B.x x sin 3C.1cos 2+xD.xx 22+ 6.为了解1000名学生的学习情况,采用系统抽样的方法,从中抽取容量为40的样本,则分段的间隔为( ) A.50 B.40 C.25 D.207.在ABC ∆中,角A,B,C 所对应的边分别为,,,c b a 则“b a ≤”是 “B A sin sin ≤”的( ) A.充分必要条件 B.充分非必要条件 C.必要非充分条件 D.非充分非必要条件8.若实数k 满足05k <<,则曲线221165x y k -=-与曲线221165x y k -=-的( ) A.实半轴长相等 B.虚半轴长相等 C.离心率相等 D.焦距相等9.若空间中四条两两不同的直线1234,,,l l l l ,满足122334,,,l l l l l l ⊥⊥∥则下列结论一定正确的是( ) A .14l l ⊥ B.14l l ∥ C.1l 与4l 既不垂直也不平行 D.1l 与4l 的位置关系不确定10.对任意复数12,,w w 定义1212,ωωωω*=其中2ω是2ω的共轭复数,对任意复数123,,z z z 有如下四个命题: ①1231323()()();z z z z z z z +*=*+*②1231213()()()z z z z z z z *+=*+*; ③123123()();z z z z z z **=**④1221z z z z *=*; 则真命题的个数是( ) A.1 B.2 C.3 D.4二、填空题:本大题共5小题,考生作答4小题,每小题5分,满分20分. (一)必做题(11—13题)11.曲线53xy e =-+在点()0,2-处的切线方程为________.12.从字母,,,,a b c d e 中任取两个不同字母,则取字母a 的概率为________.13.等比数列{}n a 的各项均为正数,且154a a =,则2122232425log +log +log +log +log =a a a a a ________.(二)选做题(14-15题,考生只能从中选做一题)14.(坐标系与参数方程选做题)在极坐标系中,曲线1C 与2C 的方程分别为θθρsin cos22=与1cos =θρ,以极点为平面直角坐标系的原点,极轴为x 轴的正半轴,建立平面直角坐标系,则曲线1C 与2C 的直角坐标为________15.(几何证明选讲选做题)如图1,在平行四边形ABCD 中,点E 在AB 上且AC AE EB ,2=与DE 交于点F 则______=∆∆的周长的周长AEF CDF三.解答题:本大题共6小题,满分80分 16.(本小题满分12分)已知函数()sin(),3f x A x x R π=+∈,且532()122f π=(1) 求A 的值;(2) 若()()3,(0,)2f f πθθθ--=∈,求()6f πθ- 17(本小题满分13分)某车间20名工人年龄数据如下表:(1) 求这20名工人年龄的众数与极差;(2) 以十位数为茎,个位数为叶,作出这20名工人年龄的茎叶图; (3) 求这20名工人年龄的方差.18(本小题满分13分)如图2,四边形ABCD 为矩形,PD ⊥平面ABCD ,AB=1,BC=PC=2,作如图3折叠,折痕EF ∥DC.其中点E ,F 分别在线段PD ,PC 上,沿EF 折叠后点P 在线段AD 上的点记为M ,并且MF ⊥CF. (1) 证明:CF ⊥平面MDF(2) 求三棱锥M-CDE 的体积.19.(本小题满分14分)设各项均为正数的数列{}n a 的前n 项和为n S ,且n S 满足()()*∈=+--+-N n n n S n n S n n ,033222.(1)求1a 的值;(2)求数列{}n a 的通项公式;(3)证明:对一切正整数n ,有()()().311111112211<+++++n n a a a a a a20(本小题满分14分)已知椭圆()01:2222>>=+b a by a x C 的一个焦点为()0,5,离心率为35。
2014年普通高等学校招生全国统一考试(广东卷)数学(文科)参考公式:锥体的体积公式13V Sh =,其中S 为锥体的底面面积,h 为锥体的高。
一组数据12,,,n x x x L 的方差2222121()()()n s x x x x x x n ⎡⎤=-+-++-⎣⎦L ,其中x 表示这组数据的平均数。
一、选择题:本大题共10小题,每小题5分,满分50分.在每小题给出的四个选项中,只有一项是符合题目要求的.1、已知集合{}2,3,4M =,{}0,2,3,5N =,则M N ⋂=A.{}0,2B.{}2,3C.{}3,4D.{}3,5 答案:B2、已知复数z 满足()3425i z -=,则z =A.34i --B.34+i -C.34i -D. 34i + 答案:D 2525(34)25(34):=34,.34(34)(34)25i i z i D i i i ++===+--+提示故选 3、已知向量()()1,2,3,1==a b ,则-=b aA.()2,1-B.()2,1-C.()2,0D.()4,3 答案:B4、若变量,x y 满足约束条件280403x y x y +≤⎧⎪≤≤⎨⎪≤≤⎩,则2z x y =+的最大值等于A.7B.8 C .10 D.11 答案:C提示:作出可行域(为一个五边形及其内部区域),易知在点(4,2)处目标函数取到最大值10. 选C.5、下列函数为奇函数的是A.1 22 xx-B.2sinx x C.2cos1x+ D.22xx+答案:A111:()2,(),()22(),222(), A.x x xx x xf x f x R f xf xf x--=--=-=-=-∴提示设则的定义域为且为奇函数故选6、为了了解1000名学生的学习情况,采用系统抽样的方法,从中抽取容量为40的样本,则分段的间隔为A.50B.40C.25D.207、在ABC∆中,角,,A B C所对应的变分别为,,a b c,则a b≤“”是sin sinA B≤“”的A.充分必要条件B.充分非必要条件C.必要非充分条件D.非充分非必要条件8、若实数k满足05k<<,则曲线221165x yk-=-与曲线221165x k y--=的A.实半轴长相等B.虚半轴长相等C.离心率相等D.焦距相等9、若空间中四条两两不相同的直线1234,,,l l l l满足122334,//,l l l l l l⊥⊥,则下列结论一定正确的是A.14l l⊥ B.14//l l C.14l l与既不平行也不垂直 D.14l l与位置关系不确定10、对任意复数12,w w,定义1212w w w w*=,其中2w是2w的共轭复数.对任意复数123,,z z z,有如下四个命题:①()()()1231323z z z z z z z+*=*+*②()()()1231213z z z z z z z*+=*+*③()()123123z z z z z z**=**④1221z z z z*=*则真命题的个数是A.1B.2C.3D.412312313231323123123123121312131231231231231231:()()()()()();()()()()()()();(),()()(),,;Bz z z z z z z z z z z z z z z z z z z z z z z z z z z z z z z z z z z z z z z z z z z z z z z ++++=+=+=+====≠答案提示:①*===*+*,故①是真命题②**+*,②对③左边=*=右边*左边右边③错 ④左边=2122121,,,z z z z z z z ==≠*右边=*左边右边故④不是真命题.综上,只有①②是真命题,故选B.二、填空题:本大题共5小题,考生作答4小题,每小题5分,满分20分. (一)必做题(11:13题)11.曲线53x y e =-+在点(0,2)-处的切线方程为12.从字母,,,,a b c d e 中任取两个不同的字母,则取到字母a 的概率为13.等比数列{}n a 的各项均为正数,且154a a =,则2122232425log log log log log a a a a a ++++=212223242525242322212152:5:log log log log log ,log log log log log ,25log ()5log 410,5.S a a a a a S a a a a a S a a S =++++=++++∴===∴=答案提示设则(二)选做题(14~15题,考生从中选做一题):14.(坐标系与参数方程选做题)在极坐标系中,曲线1C 与2C 的方程分别为22cos sin ρθθ=与cos 1ρθ=,以极点为平面直角坐标系的原点,极轴为x 轴的正半轴,建立平面直角坐标系,则曲线1C 与2C 的交点的直角坐标为2221212:(1,2):2cos sin 2cos =sin ,2,1,,(1,2).C y x C x C C ρθθρθρθ===∴答案提示由得()故的直角坐标方程为:的直角坐标方程为:交点的直角坐标为15.(几何证明选讲选做题)如图1,在平行四边形ABCD 中,点E 在AB 上且2EB AE =,AC与DE 交于点F ,则CDF AEF ∆∆的周长的周长=三.解答题:本大题共6小题,满分80分.解答须写出文字说明、证明过程和演算步骤. 16.(本小题满分12 分) 已知函数 532()sin(),,()3122f x A x x R f ππ=+∈= (1)求A 的值;(2)若()()3,(0,),2f f πθθθ--=∈,求()6f πθ-. 5533232:(1)()sin()sin 2 3.121234(2)(1):()3sin(),3()()3sin()3sin()333(sin cos cos sin )3(sin()cos cos()sin )33336cos sin 33331cos ,()336f A A A f x x f f f πππππππθθθθππππθθθθπθθπθθ=+==∴===+∴+-=++-+=++-+-===∴=∴-=解由得1sin()3sin()3cos 3 1.6323πππθθθ-+=-==⨯=17.(本小题满分13 分)某车间20名工人年龄数据如下表:年龄(岁) 工人数(人)E F D C B A(1)求这20(2)以这十位数为茎,个位数为叶,作出这20名工人年龄的茎叶图; (1)求这20名工人年龄的方差;:(1)2030,401921.-=解这名工人年龄的众数为极差为(2)茎叶图如下:()2222222(1928329330531432340)3:30,20120:(11)3(2)3(1)50413210201(121123412100)2012522012.6+⨯+⨯+⨯+⨯+⨯+=⎡⎤-+⨯-+⨯-+⨯+⨯+⨯+⎣⎦=+++++=⨯=年龄的平均数为故这名工人年龄的方差为18. (本小题满分13 分)如图2,四边形ABCD 为矩形,PD ⊥平面ABCD ,1,2AB BC PC ===,作如图3折叠,折痕EF ∥DC ,其中点,E F 分别在线段,PD PC 上,沿EF 折叠后点P 叠在线段AD 上的点记为M ,并且MF ⊥CF .(1)证明:CF ⊥平面MDF ;(2)求三棱锥M CDE -的体积1 92 8 8 8 9 9 93 0 0 0 0 0 1 1 1 1 2 2 24 0A BCDFPMPEDCBA00:(1):,,,,,,,,,,,,,.11(2),,60,30,==,22,PD ABCD PD PCD PCD ABCD PCD ABCD CD MD ABCD MD CD MD PCD CF PCD CF MD CF MF MD MF MDF MD MF M CF MDF CF MDF CF DF PCD CDF CF CD DE EF DC D ⊥⊂∴⊥=⊂⊥∴⊥⊂∴⊥⊥⊂=∴⊥⊥∴⊥∠=∴∠=∴I I QQ 解证明平面平面平面平面平面平面平面平面又平面平面平面又易知从而∥2112,,2211.33CDE M CDE CDE CF DE PE S CD DE P CP MD V S MD ∆-∆=∴=∴==⋅====∴=⋅==19.(本小题满分14分)设各项为正数的数列{}n a 的前n 和为n S ,且n S 满足222*(3)3()0,n n S n n S n n n N -+--+=∈ (1)求1a 的值;(2)求数列{}n a 的通项公式; (3)证明:对一切正整数n ,有11221111(1)(1)(1)3n n a a a a a a +++<+++L221111*********2221:(1)1:(1)320,60,(3)(2)0,0,2, 2.(2)(3)3()0,:(3)()0,0(),0,30,,2,(1)(1)n n n n n n n n n n n n S S S S S S S S a S n n S n n S S n n a n N S S S n n n a S S n n n n *-=---⨯=+-=∴+-=>∴==⎡⎤-+--+=+-+=⎣⎦>∈∴>+>∴=+⎡∴≥=-=+--+-⎣Q Q 解令得即即由得从而当时12211222,221,2().313(3),()(),221644111111113(1)2(21)44()()()24411111111144(1)()(1)4444111(1)(1)(n k k n n a a n n N k k k N k k k k a a k k k k k k k k k k a a a a a a **⎤=⎦==⨯∴=∈∈+>+-=-+∴==⋅<⋅+++-+⎡⎤⎢⎥=⋅=⋅-⎢⎥⎡⎤⎢⎥-+--⋅+-⎢⎥⎣⎦⎣⎦∴+++++L 又当时1)1111111()()11111141223(1)444444111111().11434331(1)44n n n n n +⎡⎤⎢⎥<-+-++-⎢⎥⎢⎥-----+-⎣⎦=-=-<+-+-L20.(本小题满分14分)已知椭圆2222:1(0,0)x y C a b a b+=>>的一个焦点为), (1)求椭圆C 的标准方程;(2)若动点00(,)P x y 为椭圆C 外一点,且点P 到椭圆的两条切线相互垂直,求点P 的轨迹方程21.(本小题满分14分)已知函数321()1()3f x x x ax a R =+++∈.(1)求函数()f x 的单调区间;(2)当0a <时,试讨论是否存在0110,,122x ⎛⎫⎛⎫∈ ⎪ ⎪⎝⎭⎝⎭U ,使得01()()2f x f ='22'2'':(1)()2,20:44,1,0,()0,()(,).1,2011,(,11),()0,(),(11,11),()0,(),(11,)f x x x a x x a a a f x f x a x x a a x a f x f x x a a f x f x x a =++++=∆=-∴≥∆≤∴≥-∞+∞<++=-±-∈-∞--->∴∈----+-<∈-+-+∞解方程的判别式当时此时在上为增函数当时方程的两根为当时此时为增函数当时此时为减函数当时',()0,(),,1,()(,),1,()(,11),(11,),()(11,11).f x f x a f x a f x a a f x a a >≥-∞+∞<-∞----+-+∞----+-此时为增函数综上时在上为增函数当时的单调递增区间为的单调递减区间为323200003322000200000020000200111111(2)()()1()()()12332221111()()()3222111111()()()()()3224222111()()23612211()(4122f x f x x ax a x x a x x x x x x a x x x x x a x x ⎡⎤-=+++-+++⎢⎥⎣⎦⎡⎤⎡⎤=-+-+-⎢⎥⎢⎥⎣⎦⎣⎦⎡⎤=-+++-++-⎢⎥⎣⎦=-+++++=-+00020020014712)111(0,)(,1),()(),222114147120(0,)(,1).220,1416(712)4(2148)0,0,,01,7x a x f x f x x a a a a x x ++∴∈=+++=<∴∆=-+=->>∴<<U U Q Q 若存在使得必须在上有解方程的两根为依题意即0000025711,492148121,,1212155,,,,24425557111(,)(,),(0,)(,1)()().124412222257511(,][,0),(0,)(,1)()(1212422a a a x a a x f x f a x f x f ∴<-<-<<-=-≠-∴∈----∈=⎧⎫∈-∞---∈=⎨⎬⎩⎭U U U U U 即得故欲使满足题意的存在则当时存在唯一的满足当时不存在使1).2。