高一数学函数的奇偶性
- 格式:docx
- 大小:16.91 KB
- 文档页数:5
高一数学课本函数知识点总结高一数学课本函数知识点有哪些?下面就是给大家带来的高一数学课本函数知识点,希望能帮助到大家!高一数学课本知识点总结11.函数的奇偶性(1)若f(x)是偶函数,那么f(x)=f(-x);(2)若f(x)是奇函数,0在其定义域内,则f(0)=0(可用于求参数);(3)判断函数奇偶性可用定义的等价形式:f(x)±f(-x)=0或(f(x)≠0);(4)若所给函数的解析式较为复杂,应先化简,再判断其奇偶性;(5)奇函数在对称的单调区间内有相同的单调性;偶函数在对称的单调区间内有相反的单调性;2.复合函数的有关问题(1)复合函数定义域求法:若已知的定义域为[a,b],其复合函数f[g(x)]的定义域由不等式a≤g(x)≤b解出即可;若已知f[g(x)]的定义域为[a,b],求f(x)的定义域,相当于x∈[a,b]时,求g(x)的值域(即f(x)的定义域);研究函数的问题一定要注意定义域优先的原则。
(2)复合函数的单调性由“同增异减”判定;3.函数图像(或方程曲线的对称性)(1)证明函数图像的对称性,即证明图像上任意点关于对称中心(对称轴)的对称点仍在图像上;(2)证明图像C1与C2的对称性,即证明C1上任意点关于对称中心(对称轴)的对称点仍在C2上,反之亦然;(3)曲线C1:f(x,y)=0,关于y=x+a(y=-x+a)的对称曲线C2的方程为f(y-a,x+a)=0(或f(-y+a,-x+a)=0);(4)曲线C1:f(x,y)=0关于点(a,b)的对称曲线C2方程为:f(2a-x,2b-y)=0;(5)若函数y=f(x)对x∈R时,f(a+x)=f(a-x)恒成立,则y=f(x)图像关于直线x=a对称;(6)函数y=f(x-a)与y=f(b-x)的图像关于直线x=对称;4.函数的周期性(1)y=f(x)对x∈R时,f(x+a)=f(x-a)或f(x-2a)=f(x)(a0)恒成立,则y=f(x)是周期为2a的周期函数;(2)若y=f(x)是偶函数,其图像又关于直线x=a对称,则f(x)是周期为2︱a︱的周期函数;(3)若y=f(x)奇函数,其图像又关于直线x=a对称,则f(x)是周期为4︱a︱的周期函数;(4)若y=f(x)关于点(a,0),(b,0)对称,则f(x)是周期为2的周期函数;(5)y=f(x)的图象关于直线x=a,x=b(a≠b)对称,则函数y=f(x)是周期为2的周期函数;(6)y=f(x)对x∈R时,f(x+a)=-f(x)(或f(x+a)=,则y=f(x)是周期为2的周期函数;5.方程k=f(x)有解k∈D(D为f(x)的值域);a≥f(x)恒成立a≥[f(x)]max,;a≤f(x)恒成立a≤[f(x)]min;(1)(a0,a≠1,b0,n∈R+);(2)logaN=(a0,a≠1,b0,b≠1);(3)logab的符号由口诀“同正异负”记忆;(4)alogaN=N(a0,a≠1,N0);6.判断对应是否为映射时,抓住两点:(1)A中元素必须都有象且;(2)B中元素不一定都有原象,并且A中不同元素在B中可以有相同的象;7.能熟练地用定义证明函数的单调性,求反函数,判断函数的奇偶性。
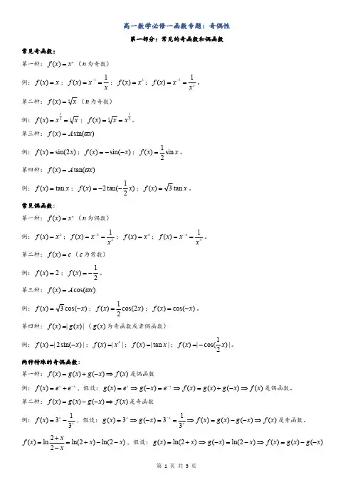
高一数学必修一函数专题:奇偶性第一部分:常见的奇函数和偶函数常见奇函数:第一种:nx x f =)((n 为奇数)例:x x f =)(;x x x f 1)(1==-;3)(x x f =;331)(xx x f ==-。
第二种:n x x f =)((n 为奇数)例:331)(x x x f ==;515)(x x x f ==。
第三种:)sin()(x A x f ϖ=例:)2sin()(x x f =;)sin()(x x f --=;x x f sin 21)(=。
第四种:)tan()(x A x f ϖ=例:x x f tan )(=;)21tan(2)(x x f --=;x x f tan 3)(=。
常见偶函数:第一种:n x x f =)((n 为偶数)例:2)(x x f =;221)(x x x f ==-;4)(x x f =;441)(x x x f ==-。
第二种:c x f =)((c 为常数)例:2)(=x f ;21)(-=x f 。
第三种:)cos()(x A x f ϖ=例:)cos(3)(x x f -=;)2cos(21)(x x f =;)cos()(x x f -=。
第四种:|)(|)(x g x f =()(x g 为奇函数或者偶函数)例:|)sin(2|)(x x f -=;||)(4x x f =;|tan |)(x x f =;|)21cos(|)(x x f -=。
两种特殊的奇偶函数:第一种:)()()()(x f x g x g x f ⇒-+=是偶函数例:x x e e x f -+=)(,假设:)()()()()()(x f x g x g x f e x g e x g x x ⇒-+=⇒=-⇒=-是偶函数。
第二种:)()()()(x f x g x g x f ⇒--=是奇函数例:x x x f 313)(-=,假设:)()()()(313)(3)(x f x g x g x f x g x g xx x ⇒--=⇒==-⇒=-是奇函数。
〖一方教育〗函数的奇偶性一、函数奇偶性的判断:1、定义域关于原点对称;2、奇函数()()x f x f -=-,偶函数()()x f x f =-;3、奇函数图像关于原点对称、偶函数图像关于y 轴对称。
1、奇偶性的判断①242)(x x x f +=; ②]1,1(,2)(3-∈+=x x x x f ; ③32)(2++=x x x f ;④24)(---=x x x f ;⑤2)(=x f ;⑥]2,1(,0)(-∈=x x f .⑦22)(34--=x x x x f ; ⑧|1||1|)(++-=x x x f ; ⑨xx x x f -+-=11)1()(; ⑩作出函数32)(2--=x x x f ;的图像.并判断函数)(x f 奇偶性(11).求证:函数⎪⎩⎪⎨⎧<--=>+=)0(2)0(0)0(222x x x x x y 是奇函数。
二、奇偶性的性质2、求值①已知函数()y f x =是定义域为R 的奇函数,求(0)f 的值.②已知函数2()(2)(1)3f x m x m x =-+-+是偶函数,求实数m 的值.③已知f(x)=x 5+2x 3+3x-8, f(-2)=10, f(2)=④若(),155,8)(57-=-+++=f cx bx ax x f 求)5(f . ⑤设()f x 为定义在R 上的奇函数,满足()()2f x f x +=-,当01x ≤≤时()f x x =,则()7.5f = 。
⑥已知函数y=()f x 是定义域为R 的偶函数,且当x ≥0时,f(x)=x 2-4x,试求方程f(x)=-3的解集。
3、求解析式①已知函数)(x f y =在R 上是奇函数,且在),0(+∞x x x f 2)(2-=,求)(x f 解析式.②已知()f x 是定义域为R 的奇函数,当x>0时,f(x)=x |x -2|,求x<0时,f(x)的解析式.③已知()f x 是定义域为R 的奇函数,且当x>0时,f(x)=x 2-2x+1,试求函数y=f(x)的表达式,并画出y=f(x)的图象。
奇偶性第1课时奇偶性的概念学习目标 1.理解函数奇偶性的定义.2.掌握函数奇偶性的判断和证明方法.3.会应用奇、偶函数图象的对称性解决简单问题.知识点一函数奇偶性的几何特征思考下列函数图象中,关于y轴对称的有哪些?关于原点对称的呢?答案①②关于y轴对称,③④关于原点对称.梳理一般地,图象关于y轴对称的函数称为偶函数,图象关于原点对称的函数称为奇函数.知识点二函数奇偶性的定义思考1为什么不直接用图象关于y轴(原点)对称来定义函数的奇偶性?答案因为很多函数图象我们不知道,即使画出来,细微之处是否对称也难以精确判断.思考2利用点对称来刻画图象对称有什么好处?答案好处有两点:(1)等价:只要所有点均关于y轴(原点)对称,则图象关于y轴(原点)对称,反之亦然.(2)可操作:要判断点是否关于y轴(原点)对称,只要代入解析式验证即可,不知道函数图象也能操作.梳理函数奇偶性的概念:(1)偶函数:如果对于函数f(x)的定义域内任意一个x,都有f(-x)=f(x),那么函数f(x)就叫做偶函数.其实质是函数f(x)上任一点(x,f(x))关于y轴的对称点(-x,f(x))也在f(x)图象上.(2)奇函数:如果对于函数f(x)的定义域内任意一个x,都有f(-x)=-f(x),那么函数f(x)就叫做奇函数.其实质是函数f(x)上任一点(x,f(x))关于原点的对称点(-x,-f(x))也在f(x)图象上.知识点三奇(偶)函数的定义域特征思考如果一个函数f(x)的定义域是(-1,1],那么这个函数f(x)还具有奇偶性吗?答案 由函数奇偶性定义,对于定义域内任一元素x ,其相反数-x 必须也在定义域内,才能进一步判断f (-x )与f (x )的关系.而本问题中,1∈(-1,1],-1∉(-1,1],f (-1)无定义,自然也谈不上是否与f (1)相等了.所以该函数既非奇函数,也非偶函数.梳理 一般地,判断函数奇偶性要注意定义域优先原则,即首先要看定义域是否关于原点对称.类型一 证明函数的奇偶性命题角度1 已知函数解析式,证明奇偶性 例1 (1)证明f (x )=x 3-x 2x -1既非奇函数又非偶函数;(2)证明f (x )=(x +1)(x -1)是偶函数;(3)证明f (x )=1-x 2+x 2-1既是奇函数又是偶函数.证明 (1)因为它的定义域为{x |x ∈R 且x ≠1},所以对于定义域内的-1,其相反数1不在定义域内,故f (x )=x 3-x 2x -1既非奇函数又非偶函数. (2)函数的定义域为R ,因函数f (x )=(x +1)(x -1)=x 2-1,又因f (-x )=(-x )2-1=x 2-1=f (x ),所以函数为偶函数.(3)定义域为{-1,1},因为对定义域内的每一个x ,都有f (x )=0,所以f (-x )=f (x ),故函数f (x )=1-x 2+x 2-1为偶函数.又f (-x )=-f (x ),故函数f (x )=1-x 2+x 2-1为奇函数.即该函数既是奇函数又是偶函数.反思与感悟 利用定义法判断函数是否具有奇偶性时,首先应看函数定义域是否关于原点对称,即对于定义域内的任意一个x ,则-x 也一定属于定义域. 跟踪训练1 (1)证明f (x )=(x -2) 2+x2-x既非奇函数又非偶函数; (2)证明f (x )=x |x |是奇函数.证明 (1)由2+x2-x ≥0,得定义域为[-2,2),关于原点不对称,故f (x )为非奇非偶函数.(2)函数的定义域为R ,因f (-x )=(-x )|-x |=-x |x |=-f (x ),所以函数为奇函数. 命题角度2 证明分段函数的奇偶性例2 判断函数f (x )=⎩⎪⎨⎪⎧(x +5)2-4,x ∈(-6,-1],(x -5)2-4,x ∈[1,6)的奇偶性.解 由题意可知f (x )的定义域为(-6,-1]∪[1,6), 关于原点对称,当x ∈(-6,-1]时,-x ∈[1,6),所以f (-x )=(-x -5)2-4=(x +5)2-4=f (x ); 当x ∈[1,6)时,-x ∈(-6,-1],所以f (-x )=(-x +5)2-4=(x -5)2-4=f (x ). 综上可知对于任意的x ∈(-6,-1]∪[1,6), 都有f (-x )=f (x ),所以f (x )=⎩⎪⎨⎪⎧(x +5)2-4,x ∈(-6,-1],(x -5)2-4,x ∈[1,6)是偶函数.反思与感悟 分段函数也是函数,证明奇偶性也是抓住两点:(1)定义域是否关于原点对称;(2)对于定义域内的任意x ,是否都有f (-x )=f (x )(或-f (x )),只不过对于不同的x ,f (x )有不同的表达式,要逐段验证是否都有f (-x )=f (x )(或-f (x )).跟踪训练2 证明f (x )=⎩⎪⎨⎪⎧-x 2,x <0,x 2,x >0是奇函数.证明 定义域为{x |x ≠0}. 若x <0,则-x >0, ∴f (-x )=x 2,f (x )=-x 2, ∴f (-x )=-f (x ); 若x >0,则-x <0,∴f (-x )=-(-x )2=-x 2,f (x )=x 2, ∴f (-x )=-f (x );即对任意x ≠0,都有f (-x )=-f (x ). ∴f (x )为奇函数.命题角度3 证明抽象函数的奇偶性例3 f (x ),g (x )是定义在R 上的奇函数,试判断y =f (x )+g (x ),y =f (x )g (x ),y =f [g (x )]的奇偶性. 解 ∵f (x ),g (x )是定义在R 上的奇函数,∴f (-x )+g (-x )=-f (x )-g (x )=-[f (x )+g (x )],y =f (x )+g (x )是奇函数. f (-x )g (-x )=[-f (x )][-g (x )]=f (x )g (x ),y =f (x )g (x )是偶函数. f [g (-x )]=f [-g (x )]=-f [g (x )],y =f [g (x )]是奇函数.反思与感悟 利用基本的奇(偶)函数,通过加减乘除、复合,可以得到新的函数,判断这些新函数的奇偶性,主要是代入-x ,看总的结果.跟踪训练3 设函数f (x ),g (x )的定义域都为R ,且f (x )是奇函数,g (x )是偶函数,则下列结论中正确的是( ) A.f (x )g (x )是偶函数 B.|f (x )|g (x )是奇函数 C.f (x )|g (x )|是奇函数 D.|f (x )g (x )|是奇函数 答案 C解析 A :令h (x )=f (x )·g (x ),则h (-x )=f (-x )·g (-x )=-f (x )·g (x )=-h (x ),∴h (x )是奇函数,A 错. B :令h (x )=|f (x )|g (x ),则h (-x )=|f (-x )|g (-x )=|-f (x )|g (x )=|f (x )|g (x )=h (x ),∴h (x )是偶函数,B 错.C:令h(x)=f(x)|g(x)|,则h(-x)=f(-x)·|g(-x)|=-f(x)|g(x)|=-h(x),∴h(x)是奇函数,C正确.D:令h(x)=|f(x)·g(x)|,则h(-x)=|f(-x)·g(-x)|=|-f(x)·g(x)|=|f(x)·g(x)|=h(x),∴h(x)是偶函数,D错.类型二奇偶性的应用命题角度1奇(偶)函数图象的对称性的应用例4定义在R上的奇函数f(x)在[0,+∞)上的图象如图所示.(1)画出f(x)的图象;(2)解不等式xf(x)>0.解(1)先描出(1,1),(2,0)关于原点的对称点(-1,-1),(-2,0),连线可得f(x)的图象如图.(2)xf(x)>0即图象上横坐标、纵坐标同号.结合图象可知,xf(x)>0的解集是(-2,0)∪(0,2).引申探究把例4中的“奇函数”改为“偶函数”,重做该题.解(1)f(x)的图象如图所示:(2)xf(x)>0的解集是(-∞,-2)∪(0,2).反思与感悟鉴于奇(偶)函数图象关于原点(y轴)对称,可以用这一特性去画图,求值,求解析式,研究单调性.跟踪训练4已知奇函数f(x)的定义域为[-5,5],且在区间[0,5]上的图象如图所示.(1)画出在区间[-5,0]上的图象;(2)写出使f (x )<0的x 的取值集合. 解 (1)如图,在[0,5]上的图象上选取5个关键点O ,A ,B ,C ,D . 分别描出它们关于原点的对称点O ′,A ′,B ′,C ′,D ′, 再用光滑曲线连接即得.(2)由(1)图可知,当且仅当x ∈(-2,0)∪(2,5)时,f (x )<0. ∴使f (x )<0的x 的取值集合为(-2,0)∪(2,5). 命题角度2 利用函数奇偶性的定义求值例5 若函数f (x )=ax 2+bx +3a +b 是偶函数,定义域为[a -1,2a ],则a =________,b =________. 答案 13解析 因为偶函数的定义域关于原点对称,所以a -1=-2a ,解得a =13,f (x )=13x 2+bx +b +1.又f (x )为偶函数,∴f (-x )=13(-x )2+b (-x )+b +1=f (x )=13x 2+bx +b +1,对定义域内任意x 恒成立,即2bx =0对任意x ∈[-23,23]恒成立,∴b =0.综上,a =13,b =0.反思与感悟 函数奇偶性的定义有两处常用:①定义域关于原点对称;②对定义域内任意x ,恒有f (-x )=f (x )(或-f (x ))成立,常用这一特点得一个恒成立的等式,或对其中的x 进行赋值.跟踪训练5 已知函数f (x )=⎩⎪⎨⎪⎧x 2+x ,x ≤0,ax 2+bx ,x >0为奇函数,则a +b =________.答案 0解析 由题意知⎩⎪⎨⎪⎧f (2)=-f (-2),f (1)=-f (-1),则⎩⎪⎨⎪⎧ 4a +2b =-2,a +b =0, 解得⎩⎪⎨⎪⎧a =-1,b =1. 当a =-1,b =1时,经检验知f (x )为奇函数,故a +b =0.1.下列函数为偶函数的是()A.f(x)=x-1B.f(x)=x2+xC.f(x)=2x-2-xD.f(x)=2x+2-x答案D解析D中,f(-x)=2-x+2x=f(x),∴f(x)为偶函数.2.函数f(x)=x(-1<x≤1)的奇偶性是()A.奇函数B.偶函数C.非奇非偶函数D.既是奇函数又是偶函数答案C3.已知函数y=f(x)+x是偶函数,且f(2)=1,则f(-2)等于()A.-1B.1C.-5D.5答案D解析函数y=f(x)+x是偶函数,∴x=±2时函数值相等.∴f(-2)-2=f(2)+2,∴f(-2)=5,故选D.4.若函数f(x)=(m-1)x2+(m-2)x+(m2-7m+12)为偶函数,则m的值是()A.1B.2C.3D.4答案B5.下列说法错误的个数是()①图象关于原点对称的函数是奇函数;②图象关于y轴对称的函数是偶函数;③奇函数的图象一定过原点;④偶函数的图象一定与y轴相交;⑤既是奇函数,又是偶函数的函数一定是f(x)=0(x∈R).A.4B.3C.2D.0答案B1.两个定义:对于f(x)定义域内的任意一个x,如果都有f(-x)=-f(x)⇔f(-x)+f(x)=0⇔f(x)为奇函数;如果都有f(-x)=f(x)⇔f(-x)-f(x)=0⇔f(x)为偶函数.2.两个性质:函数为奇函数⇔它的图象关于原点对称;函数为偶函数⇔它的图象关于y轴对称.3.证明一个函数是奇函数,必须对f(x)的定义域内任意一个x,都有f(-x)=-f(x).而证明一个函数不是奇函数,只要能举出一个反例就可以了.课时作业一、选择题1.已知一个奇函数的定义域为{-1,2,a ,b },则a +b 等于( ) A.-1 B.1 C.0 D.2 答案 A解析 因为一个奇函数的定义域为{-1,2,a ,b }, 根据奇函数的定义域关于原点对称, 所以a 与b 有一个等于1,一个等于-2, 所以a +b =1+(-2)=-1, 故选A.2.设f (x )是定义在R 上的奇函数,当x ≤0时,f (x )=2x 2-x ,则f (1)等于( ) A.-3 B.-1 C.1 D.3 答案 A解析 ∵f (x )是奇函数, 当x ≤0时,f (x )=2x 2-x ,∴f (1)=-f (-1)=-[2×(-1)2-(-1)]=-3.3.设函数f (x )和g (x )分别是R 上的偶函数和奇函数,则下列结论恒成立的是( ) A.f (x )+|g (x )|是偶函数 B.f (x )-|g (x )|是奇函数 C.|f (x )|+g (x )是偶函数 D.|f (x )|-g (x )是奇函数 答案 A解析 由f (x )是偶函数,可得f (-x )=f (x ), 由g (x )是奇函数可得g (-x )=-g (x ), 故|g (x )|为偶函数, ∴f (x )+|g (x )|为偶函数.4.已知f (x )=ax 2+bx 是定义在[a -1,2a ]上的偶函数,那么a +b 的值是( ) A.-13B.13 C.12 D.-12答案 B解析 依题意b =0,且2a =-(a -1), ∴a =13,则a +b =13.5.函数f (x )=|x +1|-|x -1|为( ) A.奇函数 B.偶函数C.既是奇函数也是偶函数D.既不是奇函数也不是偶函数 答案 A解析 f (x )的定义域为R ,对于任意x ∈R ,f (-x )=|-x +1|-|-x -1|=|x -1|-|x +1|=-f (x ), ∴f (x )为奇函数.又f (-1)=-2,f (1)=2,f (-1)≠f (1), ∴f (x )不是偶函数.6.设奇函数f (x )在(0,+∞)上为增函数,且f (3)=0,则不等式f (x )-f (-x )2>0的解集为( )A.(-3,0)∪(3,+∞)B.(-3,0)∪(0,3)C.(-∞,-3)∪(3,+∞)D.(-∞,-3)∪(0,3) 答案 A解析 ∵f (x )为奇函数,f (3)=0, ∴f (-3)=0.又∵f (x )在(0,+∞)上为增函数, ∴f (x )在(-∞,0)上也为增函数, ∴f (x )-f (-x )2=f (x )>0, ①当x >0时,则f (x )>f (3)=0,∴x >3; ②当x <0时,则f (x )>f (-3)=0,∴-3<x <0, 综上可得,原不等式的解集为(-3,0)∪(3,+∞). 二、填空题7.已知函数y =f (x )为偶函数,其图象与x 轴有四个交点,则方程f (x )=0的所有实根之和是________. 答案 0解析 由于偶函数的图象关于y 轴对称,所以偶函数的图象与x 轴的交点也关于y 轴对称,因此,四个交点中,有两个在x 轴的负半轴上,另两个在x 轴的正半轴上,所以四个实根的和为0. 8.若函数f (x )=x 2-1+a -x 2为偶函数且非奇函数,则实数a 的取值范围为________. 答案 a >1解析 ∵函数f (x )=x 2-1+a -x 2为偶函数且非奇函数, ∴f (-x )=f (x )且f (-x )≠-f (x ).又∵⎩⎪⎨⎪⎧x 2-1≥0,a -x 2≥0,∴a ≥1.当a =1时,函数f (x )=x 2-1+a -x 2为偶函数且为奇函数, 故a >1.9.已知函数f (x )=x 2+x +1x 2+1,若f (a )=23,则f (-a )=________.答案 43解析 根据题意,f (x )=x 2+x +1x 2+1=1+x x 2+1,而h (x )=xx 2+1是奇函数,故f (-a )=1+h (-a )=1-h (a )=2-[1+h (a )]=2-f (a )=2-23=43.10.函数f (x )=⎩⎪⎨⎪⎧x (1-x ),x <0,x (1+x ),x >0为________.(填“奇函数”或“偶函数”)答案 奇函数解析 定义域关于原点对称,且f (-x )=⎩⎪⎨⎪⎧-x (1+x ),-x <0,-x (1-x ),-x >0=⎩⎪⎨⎪⎧-x (1+x ),x >0,-x (1-x ),x <0 =-f (x ), 所以f (x )是奇函数. 三、解答题11.判断下列函数的奇偶性: (1)f (x )=x 3+x 5; (2)f (x )=|x +1|+|x -1|; (3)f (x )=2x 2+2x x +1.解 (1)函数的定义域为R .∵f (-x )=(-x )3+(-x )5=-(x 3+x 5)=-f (x ),∴f (x )是奇函数. (2)f (x )的定义域是R .∵f (-x )=|-x +1|+|-x -1|=|x -1|+|x +1|=f (x ),∴f (x )是偶函数. (3)函数f (x )的定义域是(-∞,-1)∪(-1,+∞),不关于原点对称,∴f (x )是非奇非偶函数. 12.若函数f (x )=x 2-|x +a |为偶函数,求实数a 的值. 解 ∵函数f (x )=x 2-|x +a |为偶函数, ∴f (-x )=f (x ),即(-x )2-|-x +a |=x 2-|x +a |, ∴|-x +a |=|x +a |,即|x -a |=|x +a |, ∴a =0.13.已知函数f (x )=⎩⎪⎨⎪⎧-x 2+2x ,x >0,0,x =0,x 2+mx ,x <0是奇函数.(1)求实数m 的值;(2)若函数f (x )在区间[-1,a -2]上单调递增,求实数a 的取值范围. 解 (1)因为f (x )为奇函数,所以f (-1)=-f (1),即1-m =-(-1+2), 解得m =2.经检验m =2时函数f (x )是奇函数. 所以m =2.(2)要使f (x )在[-1,a -2]上单调递增,结合f (x )的图象知⎩⎪⎨⎪⎧a -2>-1,a -2≤1,所以1<a ≤3,故实数a 的取值范围是(1,3]. 四、探究与拓展14.设奇函数f (x )的定义域为[-6,6],当x ∈[0,6]时,f (x )的图象如图所示,不等式f (x )<0的解集用区间表示为________.答案 [-6,-3)∪(0,3)解析 由f (x )在[0,6]上的图象知,满足f (x )<0的不等式的解集为(0,3).又f (x )为奇函数,图象关于原点对称,所以在[-6,0)上,不等式f (x )<0的解集为[-6,-3).综上可知,不等式f (x )<0的解集为[-6,-3)∪(0,3). 15.已知函数f (x )=ax +b 1+x 2是定义在(-1,1)上的奇函数,且f ⎝⎛⎭⎫12=25,求函数f (x )的解析式. 解 ∵f (x )是定义在(-1,1)上的奇函数, ∴f (0)=0,即b1+02=0,∴b =0.又∵f ⎝⎛⎭⎫12=12a 1+14=25, ∴a =1,∴f (x )=x1+x 2.第2课时 奇偶性的应用学习目标 1.掌握用奇偶性求解析式的方法.2.理解奇偶性对单调性的影响并能用以解不等式.3.理解函数的奇偶性的推广——对称性.知识点一 用奇偶性求解析式思考 函数f (x )在区间[a ,b ]上的解析式与该区间函数图象上的点(x ,y )有什么关系?答案 点(x ,y )满足y =f (x ).梳理 一般地,求解析式的任务就是要找到一个含有自变量因变量的等式,该等式同时满足两个条件: ①定义域符合要求;②图象上任意一点均满足该式.特别地,如果知道函数的奇偶性和一个区间[a ,b ]上的解析式,想求对称区间[-b ,-a ]上的解析式,那么就可以设出关于原点对称区间[-b ,-a ]上任一点(x ,y ),通过关于原点(或y 轴)的对称点(-x ,-y )(或(-x ,y ))满足的关系式间接找到(x ,y )所满足的解析式.知识点二 奇偶性与单调性思考 观察偶函数y =x 2与奇函数y =1x在(-∞,0)和(0,+∞)上的单调性,你有何猜想? 答案 偶函数y =x 2在(-∞,0)和(0,+∞)上的单调性相反;奇函数y =1x在(-∞,0)和(0,+∞)上的单调性相同.梳理 一般地,若函数f (x )为奇函数,则f (x )在关于原点对称的两个区间[a ,b ]和[-b ,-a ]上具有相同的单调性;若函数f (x )为偶函数,则f (x )在关于原点对称的两个区间[a ,b ]和[-b ,-a ]上具有相反的单调性. 知识点三 奇偶性的推广思考 对于定义域内任意x ,若f (-x )=-f (x ),则函数f (x )的图象关于(0,0)对称,那么若f (1-x )=-f (1+x ),函数f (x )的图象又有什么特点?答案 设1-x =x 1,1+x =x 2,则有⎩⎨⎧x 1+x 22=1,f (x 1)+f (x 2)2=0, 即点(x 1,f (x 1))与点(x 2,f (x 2))关于点(1,0)对称. 梳理 一般地,对于定义域内任意x , (1)若f (a -x )=2b -f (a +x ),则f (x )图象关于点(a ,b )对称.当a =b =0时,即为奇函数定义. (2)若f (a -x )=f (a +x ),则f (x )图象关于直线x =a 对称,当a =0时,即为偶函数定义.类型一 用奇偶性求解析式命题角度1 已知区间[a ,b ]上的解析式,求[-b ,-a ]上的解析式例1 函数f (x )是定义域为R 的奇函数,当x >0时,f (x )=-x +1,求当x <0时,f (x )的解析式.解 设x <0,则-x >0,∴f (-x )=-(-x )+1=x +1,又∵函数f (x )是定义域为R 的奇函数,∴f (-x )=-f (x )=x +1,∴当x <0时,f (x )=-x -1.反思与感悟 求给定哪个区间的解析式就设这个区间上的变量为x ,然后把x 转化为-x ,此时-x 成为了已知区间上的解析式中的变量,通过应用奇函数或偶函数的定义,适当推导,即可得所求区间上的解析式. 跟踪训练1 已知y =f (x )是定义在 R 上的奇函数,且当x >0时,f (x )=2x -x 2.求y =f (x )的解析式. 解 设x <0,则-x >0,因为f (x )是奇函数,所以f (x )=-f (-x )=-[2(-x )-(-x )2]=2x +x 2.因为y =f (x )是R 上的奇函数,所以f (0)=0.所以f (x )=⎩⎪⎨⎪⎧x 2+2x ,x ≤0,2x -x 2,x >0. 命题角度2 已知一奇一偶两函数之和,求这两个函数的解析式例2 设f (x )是偶函数,g (x )是奇函数,且f (x )+g (x )=1x -1,求函数f (x ),g (x )的解析式. 解 ∵f (x )是偶函数,g (x )是奇函数,∴f (-x )=f (x ),g (-x )=-g (x ),由f (x )+g (x )=1x -1. ① 用-x 代替x 得f (-x )+g (-x )=1-x -1, ∴f (x )-g (x )=1-x -1, ② (①+②)÷2,得f (x )=1x 2-1; (①-②)÷2,得g (x )=x x 2-1. 反思与感悟 f (x )+g (x )=1x -1对定义域内任意x 都成立,所以可以对x 任意赋值,如x =-x . 因为f (x ),g (x )一奇一偶,才能把-x 的负号或提或消,最终得到关于f (x ),g (x )的二元方程组,从中解出f (x )和g (x ).跟踪训练2 设f (x )是偶函数,g (x )是奇函数,且f (x )+g (x )=x 2+2x ,求函数f (x ),g (x )的解析式.解 ∵f (x )是偶函数,g (x )是奇函数,∴f (-x )=f (x ),g (-x )=-g (x ),由f (x )+g (x )=2x +x 2. ①用-x 代替x 得f (-x )+g (-x )=-2x +(-x )2,∴f (x )-g (x )=-2x +x 2, ②(①+②)÷2,得f (x )=x 2;(①-②)÷2,得g (x )=2x .类型二 奇偶性对单调性的影响命题角度1 由x 的取值情况推导f (x )的取值情况例3 设f (x )是偶函数,在区间[a ,b ]上是减函数,试证f (x )在区间[-b ,-a ]上是增函数.证明 设x 1,x 2是区间[-b ,-a ]上任意两个值,且有x 1<x 2.∵-b ≤x 1<x 2≤-a ,∴a ≤-x 2<-x 1≤b .∵f (x )在[a ,b ]上是减函数,∴f (-x 2)>f (-x 1).∵f (x )为偶函数,即f (-x )=f (x ),∴f (-x 2)=f (x 2),f (-x 1)=f (x 1).∴f (x 2)>f (x 1),即f (x 1)<f (x 2).∴函数f (x )在区间[-b ,-a ]上是增函数.引申探究区间[a ,b ]和[-b ,-a ]关于原点对称.(1)若f (x )为奇函数,且在[a ,b ]上有最大值M ,则f (x )在[-b ,-a ]上有最________值________.(2)若f (x )为奇函数,f (x )+2在[a ,b ]上有最大值M ,则f (x )+2在[-b ,-a ]上有最________值________. 答案 (1)小 -M (2)小 -M +4解析 (1)设x ∈[-b ,-a ],则-x ∈[a ,b ],∴f (-x )≤M 且存在x 0∈[a ,b ],使f (x 0)=M .∵f (x )为奇函数,∴-f (x )≤M ,f (x )≥-M ,且存在-x 0∈[-b ,-a ],使f (-x 0)=-M .∴f (x )在[-b ,-a ]上有最小值-M .(2)由(1)知,f (x )在[a ,b ]上有最大值M -2时,f (x )在[-b ,-a ]上有最小值-M +2.∴f (x )+2在[-b ,-a ]上有最小值-M +4.反思与感悟 与求解析式一样,证哪个区间上的单调性,设x 1,x 2属于哪个区间.同样,求哪个区间上的最值,也设x 属于哪个区间.跟踪训练3 已知函数y =f (x )是偶函数,当x >0时,有f (x )=x +1x +2,则当x ∈[-4,-1]时,求函数f (x )的值域.解 设1≤x 1<x 2≤4,则f (x 1)-f (x 2)=x 1+1x 1+2-x 2+1x 2+2=(x 1+1)(x 2+2)-(x 1+2)(x 2+1)(x 1+2)(x 2+2) =x 1-x 2(x 1+2)(x 2+2). 因为1≤x 1<x 2≤4,所以x 1-x 2<0,x 1+2>0,x 2+2>0,所以x 1-x 2(x 1+2)(x 2+2)<0,即f (x 1)-f (x 2)<0, 所以f (x 1)<f (x 2).故函数f (x )在[1,4]上是增函数,所以当x ∈[1,4]时,函数f (x )的值域是[23,56]. 因为y =f (x )是偶函数,所以当x ∈[-4,-1]时,函数f (x )的值域也是[23,56]. 命题角度2 由f (x )的取值情况推导x 的取值情况例4 已知偶函数f (x )在[0,+∞)上单调递减,f (2)=0.若f (x -1)>0,则x 的取值范围是________. 答案 (-1,3)解析 ∵f (x )为偶函数,∴f (x -1)=f (|x -1|),又f (2)=0,∴f (x -1)>0,即f (|x -1|)>f (2),∵|x -1|,2∈[0,+∞),且f (x )在[0,+∞)上单调递减.∴|x -1|<2,即-2<x -1<2,∴x 的取值范围为(-1,3).反思与感悟 若f (x )在[a ,b ]上单调递增,则x 1,x 2∈[a ,b ]时,可由f (x 1)<f (x 2)推知x 1<x 2.但是如果不知道x 1或x 2是否在[a ,b ]内呢?这时如果已知函数奇偶性,可以借助奇偶性把x 1,x 2转化为在已知区间[a ,b ]内,如本例中x -1是否属于[0,+∞)不确定,但是|x -1|∈[0,+∞).跟踪训练4 奇函数f (x )在[0,+∞)上单调递减,解不等式f (x -1)+f (2x +3)>0.解 ∵f (x )在[0,+∞)上单调递减且为奇函数,∴f (x )在(-∞,+∞)上单调递减,∴f (x -1)+f (2x +3)>0⇔f (x -1)>-f (2x +3)=f (-2x -3)⇔x -1<-2x -3,解得x <-23,∴原不等式解集为{x |x <-23}. 类型三 对称问题例5 定义在R 上的奇函数f (x )满足:f (x -4)=-f (x ),且x ∈[0,2]时,f (x )=x ,试画出f (x )的图象. 解 ∵f (x )是奇函数,∴f (x -4)=-f (x )=f (-x ),∴f(x)关于直线x=-2对称.反复利用f(x)关于原点对称又关于直线x=-2对称,可画出f(x)的图象如图:反思与感悟奇偶性推广到一般的对称性后,要善于抓住特征识别对称中心(或对称轴),而应用对称性与应用奇偶性完全类似.跟踪训练5定义在R上的偶函数f(x)满足:f(x-4)=-f(x),且x∈[0,2]时,f(x)=x.试画出f(x)的图象.解∵f(x)是偶函数,∴f(x)的图象关于y轴对称.又∵f(x-4)=-f(x),∴f(x)关于点C(-2,0)对称.反复利用f(x)关于(-2,0)对称又关于y轴对称,可画出的图象如图:1.f(x)=x2+|x|()A.是偶函数,在(-∞,+∞)上是增函数B.是偶函数,在(-∞,+∞)上是减函数C.不是偶函数,在(-∞,+∞)上是增函数D.是偶函数,且在(0,+∞)是增函数答案D2.已知f(x)是奇函数,且x>0时,f(x)=x-1,则x<0时f(x)等于()A.x+1B.x-1C.-x-1D.-x+1答案A3.若奇函数f(x)在R上是增函数,则函数y=f(-x)在R上是()A.单调递减的偶函数B.单调递减的奇函数C.单调递增的偶函数D.单调递增的奇函数答案B4.定义在R上的偶函数f(x)在[0,+∞)上是增函数,若f(a)<f(b),则一定可得()A.a<bB.a>bC.|a|<|b|D.0≤a<b或a>b≥0答案C5.已知对于函数f(x)=x2+ax定义域内任意x,有f(1-x)=f(1+x),则实数a等于()A.1B.-1C.2D.-2答案D1.函数的奇偶性是其相应图象特殊对称性的反映,也体现了在关于原点对称的定义域的两个区间上函数值及其性质的相互转化,这是对称思想的应用.这种对称推广,就是一般的中心对称或轴对称.2.(1)根据奇函数的定义,如果一个奇函数在原点处有定义,即f(0)有意义,那么一定有f(0)=0.有时可以用这个结论来否定一个函数为奇函数.(2)偶函数的一个重要性质:f(|x|)=f(x),它能使自变量化归到[0,+∞)上,避免分类讨论.3.具有奇偶性的函数的单调性的特点:(1)奇函数在[a,b]和[-b,-a]上具有相同的单调性.(2)偶函数在[a,b]和[-b,-a]上具有相反的单调性.课时作业一、选择题1.已知奇函数f(x)在区间[0,+∞)上单调递增,则满足f(x)<f(1)的x的取值范围是()A.(-∞,1)B.(-∞,-1)C.(0,1)D.[-1,1)答案A解析由于f(x)在[0,+∞)上单调递增,且是奇函数,所以f(x)在R上单调递增,f(x)<f(1)等价于x<1.故选A.2.若定义在R上的偶函数f(x)和奇函数g(x)满足f(x)+g(x)=x2+3x+1,则f(x)等于()A.x2B.2x2C.2x2+2D.x2+1答案D解析∵f(x)+g(x)=x2+3x+1,①∴f(-x)+g(-x)=x2-3x+1.又f(x)是偶函数,且g(x)是奇函数,∴f (x )-g (x )=x 2-3x +1.②由①②联立,得f (x )=x 2+1.3.若函数f (x )是R 上的偶函数,且在区间[0,+∞)上是增函数,则下列关系成立的是( )A.f (-3)>f (0)>f (1)B.f (-3)>f (1)>f (0)C.f (1)>f (0)>f (-3)D.f (1)>f (-3)>f (0)答案 B解析 ∵f (-3)=f (3),且f (x )在区间[0,+∞)上是增函数,∴f (-3)>f (1)>f (0).4.设f (x )是奇函数,当x ∈[0,+∞)时,f (x )≤m (m <0),则f (x )的值域是( )A.[m ,-m ]B.(-∞,m ]C.[-m ,+∞)D.(-∞,m ]∪[-m ,+∞)答案 D解析 当x ≥0时,f (x )≤m ;当x ≤0时,-x ≥0,所以f (-x )≤m ,因为f (x )是奇函数,所以f (-x )=-f (x )≤m ,即f (x )≥-m .5.定义在R 上的函数f (x )在(-∞,2)上是增函数,且f (x +2)=f (2-x )对任意x ∈R 恒成立,则( )A.f (-1)<f (3)B.f (0)>f (3)C.f (-1)=f (3)D.f (0)=f (3)答案 A解析 f (x )的图象关于直线x =2对称,所以f (3)=f (1),由于f (x )在(-∞,2)上是增函数,所以f (-1)<f (1)=f (3).6.设奇函数f (x )在(0,+∞)上为减函数,且f (1)=0,则不等式f (x )-f (-x )x<0的解集为( ) A.(-1,0)∪(1,+∞)B.(-∞,-1)∪(0,1)C.(-∞,-1)∪(1,+∞)D.(-1,0)∪(0,1)答案 C解析 ∵f (x )为奇函数,f (x )-f (-x )x <0,即f (x )x<0, ∵f (x )在(0,+∞)上为减函数且f (1)=0,∴当x >1时,f (x )<0.∵奇函数图象关于原点对称,∴在(-∞,0)上f (x )为减函数且f (-1)=0,即x <-1时,f (x )>0.综上使f (x )x<0的解集为(-∞,-1)∪(1,+∞). 二、填空题7.若函数f (x )=(k -2)x 2+(k -1)x +3是偶函数,则f (x )的递减区间是________.答案 [0,+∞)解析 利用函数f (x )是偶函数,得k -1=0,k =1,所以f (x )=-x 2+3,其单调递减区间为[0,+∞).8.已知偶函数f (x )在区间[0,+∞)上单调递增,则满足f (2x -1)<f (13)的x 的取值范围是________. 答案 (13,23) 解析 由于f (x )是偶函数,因此f (x )=f (|x |),∴f (|2x -1|)<f (13),再根据f (x )的单调性, 得|2x -1|<13,解得13<x <23. 9.已知y =f (x )+x 2是奇函数且f (1)=1,若g (x )=f (x )+2,则g (-1)=________.答案 -1解析 ∵y =f (x )+x 2是奇函数,∴f (-x )+(-x )2=-[f (x )+x 2],∴f (x )+f (-x )+2x 2=0,∴f (1)+f (-1)+2=0.∵f (1)=1,∴f (-1)=-3.∵g (x )=f (x )+2,∴g (-1)=f (-1)+2=-3+2=-1.10.若函数f (x )=⎩⎪⎨⎪⎧x 2+2x ,x ≥0,g (x ),x <0为奇函数,则f [g (-1)]=________. 答案 -15解析 当x <0时,则-x >0,由f (x )是奇函数,所以f (-x )=-f (x )=(-x )2-2x =x 2-2x ,所以f (x )=-x 2+2x .即g (x )=-x 2+2x ,因此,f [g (-1)]=f (-3)=-9-6=-15.三、解答题11.已知函数y =f (x )的图象关于原点对称,且当x >0时,f (x )=x 2-2x +3.(1)试求f (x )在R 上的解析式;(2)画出函数的图象,根据图象写出它的单调区间.解 (1)因为函数f (x )的图象关于原点对称,所以f (x )为奇函数,则f (0)=0.设x <0,则-x >0,因为x >0时,f (x )=x 2-2x +3.所以f (x )=-f (-x )=-(x 2+2x +3)=-x 2-2x -3.于是有f (x )=⎩⎪⎨⎪⎧ x 2-2x +3,x >0,0,x =0,-x 2-2x -3,x <0.(2)先画出函数在y 轴右侧的图象,再根据对称性画出y 轴左侧的图象,如图.由图象可知函数f (x )的单调递增区间是(-∞,-1],[1,+∞),单调递减区间是(-1,0),(0,1).12.设函数f (x )在R 上是偶函数,在区间(-∞,0)上单调递增,且f (2a 2+a +1)<f (2a 2-2a +3),求实数a 的取值范围.解 由f (x )在R 上是偶函数,在区间(-∞,0)上单调递增,可知f (x )在(0,+∞)上单调递减.∵2a 2+a +1=2(a +14)2+78>0, 2a 2-2a +3=2(a -12)2+52>0, 且f (2a 2+a +1)<f (2a 2-2a +3),∴2a 2+a +1>2a 2-2a +3,即3a -2>0,解得a >23. ∴实数a 的取值范围是a >23. 13.已知函数f (x )=ax +b x +c (a ,b ,c 是常数)是奇函数,且满足f (1)=52,f (2)=174. (1)求a ,b ,c 的值;(2)试判断函数f (x )在区间⎝⎛⎭⎫0,12上的单调性并证明.解 (1)∵f (x )为奇函数,∴f (-x )=-f (x ),∴-ax -b x +c =-ax -b x-c , ∴c =0,∴f (x )=ax +b x. 又∵f (1)=52,f (2)=174, ∴⎩⎨⎧ a +b =52,2a +b 2=174.∴a =2,b =12. 综上,a =2,b =12,c =0. (2)由(1)可知f (x )=2x +12x. 函数f (x )在区间⎝⎛⎭⎫0,12上为减函数. 证明如下:任取0<x 1<x 2<12, 则f (x 1)-f (x 2)=2x 1+12x 1-2x 2-12x 2=(x 1-x 2)⎝⎛⎭⎫2-12x 1x 2=(x 1-x 2)4x 1x 2-12x 1x 2. ∵0<x 1<x 2<12, ∴x 1-x 2<0,2x 1x 2>0,4x 1x 2-1<0.∴f (x 1)-f (x 2)>0,f (x 1)>f (x 2).∴f (x )在⎝⎛⎭⎫0,12上为减函数. 四、探究与拓展14.已知f (x )是定义域为R 的偶函数,当x ≥0时,f (x )=x 2-4x ,那么,不等式f (x +2)<5的解集是________. 答案 (-7,3)解析 因为f (x )为偶函数,所以f (|x +2|)=f (x +2),则f (x +2)<5可化为f (|x +2|)<5,则|x +2|2-4|x +2|<5,即(|x +2|+1)(|x +2|-5)<0,所以|x +2|<5,解得-7<x <3,所以不等式f (x +2)的解集是(-7,3).15.已知函数y =f (x )是定义在R 上的奇函数,且当x ≥0时,f (x )=-x 2+ax .(1)若a =-2,求函数f (x )的解析式;(2)若函数f (x )为R 上的单调减函数,①求a 的取值范围;②若对任意实数m ,f (m -1)+f (m 2+t )<0恒成立,求实数t 的取值范围. 解 (1)当x <0时,-x >0,又∵f (x )为奇函数,且a =-2,∴f (x )=-f (-x )=x 2-2x ,∴f (x )=⎩⎪⎨⎪⎧x 2-2x ,x <0,-x 2-2x ,x ≥0. (2)①当a ≤0时,对称轴x =a 2≤0, ∴f (x )=-x 2+ax 在[0,+∞)上单调递减,由于奇函数在关于原点对称的区间上单调性相同,∴f (x )在(-∞,0)上单调递减,又在(-∞,0)上f (x )>0,在(0,+∞)上f (x )<0,∴当a ≤0时,f (x )为R 上的单调减函数.当a >0时,f (x )在(0,a 2)上单调递增,在(a 2,+∞)上单调递减,不合题意. ∴函数f (x )为单调减函数时,a 的取值范围为a ≤0.②∵f (m -1)+f (m 2+t )<0,∴f (m -1)<-f (m 2+t ),又∵f (x )是奇函数,∴f (m -1)<f (-t -m 2),又∵f (x )为R 上的单调减函数,∴m -1>-t -m 2恒成立,∴t >-m 2-m +1=-(m +12)2+54恒成立, ∴t >54.。
高一数学函数奇偶性知识点归纳在高中数学学习中,函数是一个非常重要的内容,而其中奇偶性是函数的一个重要性质。
了解函数的奇偶性对于理解函数图像的对称性,解题以及应用等方面都有着至关重要的作用。
本文将围绕高一数学函数奇偶性的相关知识点展开归纳。
1. 函数的定义函数是一种关系,其中每个自变量的取值都唯一地确定了一个因变量的取值。
函数可以用数学符号表示为 f(x),其中 x 表示自变量,而f(x) 表示因变量。
2. 奇函数的定义与性质奇函数是指满足 f(-x)=-f(x) 的函数。
具体来说,如果对于定义域内的任意 x,都有 f(-x)=-f(x),那么函数 f(x) 就是一个奇函数。
奇函数具有如下性质:- 函数图像关于原点对称;- 如果函数在原点处定义,那么 f(0)=0;- 如果函数图像关于 y 轴对称,那么函数是奇函数。
3. 偶函数的定义与性质偶函数是指满足 f(-x)=f(x) 的函数。
具体来说,如果对于定义域内的任意 x,都有 f(-x)=f(x),那么函数 f(x) 就是一个偶函数。
偶函数具有如下性质:- 函数图像关于 y 轴对称;- 如果函数在原点处定义,那么 f(0)=0;- 如果函数图像关于原点对称,那么函数是偶函数。
4. 奇偶性与对称性函数的奇偶性与其图像的对称性密切相关。
如果一个函数是奇函数,那么它的图像关于原点对称;如果一个函数是偶函数,那么它的图像关于 y 轴对称。
5. 奇偶性的判断方法判断一个函数的奇偶性可以通过以下方法:- 观察函数的解析式,如果 f(x) 中不包含任何偶数次幂的 x,那么该函数可能是奇函数;- 判断函数图像关于原点的对称性,如果图像关于原点对称,则函数可能是奇函数;- 检验函数的定义域和值域,如果函数在原点处满足 f(0)=0,那么函数可能是奇函数;- 利用函数的性质和性质的推论来判断奇偶性。
6. 奇偶函数的性质奇偶函数有一些特殊的性质:- 奇函数与奇函数的和(或差)是奇函数;- 偶函数与偶函数的和(或差)是偶函数;- 奇函数与偶函数的积是奇函数;- 奇函数在 0 点对称的点函数值相等;- 偶函数在 0 点对称的点函数值相等。
高一奇偶函数所有知识点在高一数学学习中,奇偶函数是一个重要的概念。
理解和掌握奇偶函数的性质和特点,对于解题和应用数学知识具有重要的作用。
本文将全面介绍高一奇偶函数的所有知识点,帮助同学们更好地理解和应用这一概念。
一、奇偶函数的概念奇函数指的是函数在定义域内满足$f(-x)=-f(x)$的函数,即函数关于原点对称。
奇函数具有对称轴为原点的特点,如果在定义域内存在一对不相等的x值,使得$f(x_1)=-f(x_2)$,那么这个函数就是奇函数。
偶函数则是指函数在定义域内满足$f(-x)=f(x)$的函数,即函数关于y轴对称。
偶函数具有对称轴为y轴的特点,如果在定义域内存在一对不相等的x值,使得$f(x_1)=f(x_2)$,那么这个函数就是偶函数。
二、奇函数和偶函数的性质1. 奇函数与偶函数的和(或差)仍然是奇函数或偶函数。
2. 奇函数与奇函数的乘积是偶函数。
3. 偶函数与偶函数的乘积是偶函数。
4. 奇函数与偶函数的乘积是奇函数。
三、奇函数和偶函数的图像特点奇函数的图像关于原点对称,也就是说,如果知道函数在第一象限内的图像,可以根据奇函数的对称性推知其它象限内的图像。
偶函数的图像关于y轴对称,也就是说,如果知道函数在第一象限内的图像,可以根据偶函数的对称性推知其它象限内的图像。
四、判断函数的奇偶性要判断一个函数的奇偶性,可以有以下方法:1. 通过函数的解析表达式进行判断。
如果函数满足$f(-x)=f(x)$,则函数是偶函数;如果函数满足$f(-x)=-f(x)$,则函数是奇函数。
2. 通过函数的图像进行判断。
如果图像关于y轴对称,则函数是偶函数;如果图像关于原点对称,则函数是奇函数。
五、常见的奇偶函数1. 常函数:常函数既是奇函数又是偶函数。
因为对于任何x值,都有$f(-x)=f(x)$且$f(-x)=-f(x)$。
2. 幂函数:幂函数的奇偶性与指数的奇偶性有关。
当指数为偶数时,函数是偶函数;当指数为奇数时,函数是奇函数。
函数奇偶性知识点归纳考点分析配经典案例分析函数的奇偶性定义:1.偶函数:一般地,对于函数()f x 的定义域内的任意一个x ,都有()()f x f x -=,那么()f x 就叫做偶函数.2.奇函数:一般地,对于函数()f x 的定义域的任意一个x ,都有()()f x f x -=-,那么()f x 就叫做奇函数.二、函数的奇偶性的几个性质1、对称性:奇(偶)函数的定义域关于原点对称;2、整体性:奇偶性是函数的整体性质,对定义域内任意一个x 都必须成立;3、可逆性:)()(x f x f =-⇔)(x f 是偶函数;)()(x f x f -=-⇔)(x f 奇函数;4、等价性:)()(x f x f =-⇔0)()(=--x f x f (||)()f x f x ⇔=;)()(x f x f -=-⇔0)()(=+-x f x f ;5、奇函数的图像关于原点对称,偶函数的图像关于y 轴对称;6、可分性:根据函数奇偶性可将函数分类为四类:奇函数、偶函数、既是奇函数又是偶函数、非奇非偶函数。
7、判断或证明函数是否具有奇偶性的根据是定义。
8、如果一个奇函数f(x)在x=0处有意义,则这个函数在x=0处的函数值一定为0。
并且关于原点对称。
三、关于奇偶函数的图像特征 一般地:奇函数的图像关于原点对称,反过来,如果一个函数的图像关于原点对称,那么这个函数是奇函数; 即:f(x)为奇函数<=>f(x)的图像关于原点对称 点(x,y )→(-x,-y )偶函数的图像关于y 轴对称,反过来,如果一个函数的图像关于y 轴对称,那么这个函数是偶函数。
即: f(x)为偶函数<=>f(x)的图像关于Y 轴对称 点(x,y )→(-x,y )奇函数对称区间上的单调性相同(例:奇函数在某一区间上单调递增,则在它的对称区间上也是单调递增。
)偶函数对称区间上的单调性相反(例:偶函数在某一区间上单调递增,则在它的对称区间上单调递减)。
高一函数奇偶性常考知识点函数的奇偶性是高中数学中的一个重要概念,也是函数性质分析中经常出现的题型。
了解函数的奇偶性特点,可以帮助我们简化计算和解题过程。
本文将介绍高一函数奇偶性的常考知识点。
一、函数的奇偶性概念函数的奇偶性是指函数关于坐标原点的对称性。
具体而言,如果对于任意的x,函数f(x)满足f(-x) = f(x),则函数f(x)称为偶函数;如果对于任意的x,函数f(x)满足f(-x) = -f(x),则函数f(x)称为奇函数。
二、奇偶性的性质1. 偶函数的性质- 偶函数关于y轴对称,即图像关于y轴对称;- 偶函数的定义域可以是全体实数,也可以是一个区间;- 偶函数的图像在y轴上对称,即对于图像上的每一点(x, y),也存在相应的点(-x, y),在图像上对应的两点关于y轴对称。
2. 奇函数的性质- 奇函数关于原点对称,即图像关于原点对称;- 奇函数的定义域可以是全体实数,也可以是一个区间;- 奇函数的图像关于原点对称,即对于图像上的每一点(x, y),也存在相应的点(-x, -y),在图像上对应的两点关于原点对称。
三、计算函数的奇偶性1. 利用函数表达式判断奇偶性- 当函数表达式中只含有偶指数幂的项且系数非零时,函数为偶函数;- 当函数表达式中只含有奇指数幂的项且系数非零时,函数为奇函数;- 当函数表达式中含有奇数个奇指数幂的项且系数非零时,函数既不是偶函数也不是奇函数。
2. 利用函数的性质判断奇偶性- 若函数的图像关于原点对称,则函数为奇函数;- 若函数的图像关于y轴对称而不关于原点对称,则函数为偶函数;- 若函数既不关于y轴对称也不关于原点对称,则既不是奇函数也不是偶函数。
四、常见函数的奇偶性1. 偶函数的例子- 幂函数:y = x^n(n为正整数且为偶数)- 余弦函数:y = cos(x)- 绝对值函数:y = |x|- 常函数:y = k(k为常数)2. 奇函数的例子- 正弦函数:y = sin(x)- 正切函数:y = tan(x)- 反正比函数:y = cot(x)- 倒数函数:y = 1/x(x ≠ 0)五、应用函数的奇偶性在数学题目中有广泛的应用,常见的应用包括:1. 确定函数的对称中心:根据函数的奇偶性,可以确定函数图像的对称中心,帮助我们更好地绘制函数图像;2. 确定函数的性质:根据函数的奇偶性,可以快速判断函数的性质,如极值点、零点等;3. 简化计算过程:根据函数的奇偶性,可以简化函数的计算过程,并帮助我们更快地求解问题。
高一函数知识点总结奇偶性函数是高中数学中的重要知识点之一,而函数的奇偶性则是函数理论中的一个重要概念。
在高一阶段,学生需要学习和掌握函数的奇偶性相关的知识,本文将对高一函数的奇偶性进行总结。
1. 函数的奇偶性概念函数的奇偶性是指函数在定义域内的奇偶性质。
如果对于在定义域内的任意x值,f(-x) = f(x),那么这个函数就是偶函数;如果对于在定义域内的任意x值,f(-x) = -f(x),那么这个函数就是奇函数;如果一个函数既不满足偶性质也不满足奇性质,那么这个函数就是既非偶函数也非奇函数。
2. 奇函数的性质奇函数的特点是关于原点对称,即图象关于原点对称。
此外,奇函数在坐标系的第一象限和第三象限的函数值相等,即f(x) = -f(-x)。
3. 偶函数的性质偶函数的特点是关于y轴对称,即图象关于y轴对称。
此外,偶函数在坐标系的第一象限和第二象限的函数值相等,即f(x) = f(-x)。
4. 奇偶函数的判定方法要判定一个函数是奇函数还是偶函数,可以通过以下方法:- 方法1:利用函数的定义,对于任意给定的x,计算f(-x)和f(x)的值是否相等或相反。
- 方法2:观察函数图象关于x轴的对称性。
如果函数的图象关于x 轴对称,则函数是偶函数;如果函数的图象关于原点对称,则函数是奇函数。
- 方法3:利用导函数的性质。
若函数的导函数是奇函数,则原函数是偶函数;若函数的导函数是偶函数,则原函数是奇函数。
5. 奇偶函数的性质应用奇偶函数在数学和物理中具有重要的应用。
在数学中,奇偶函数在积分计算时可以简化计算过程,同时在函数图象的对称性证明中也起到重要作用。
在物理中,奇函数和偶函数可用于描述对称和非对称的现象,如电荷分布的对称性、波函数的对称性等。
6. 奇偶函数的例子以下是一些常见的奇偶函数例子:- 正弦函数:sin(x)是奇函数,它在区间[-π, π]内关于原点对称。
- 余弦函数:cos(x)是偶函数,它在区间[-π, π]内关于y轴对称。
高一函数的奇偶性知识点函数是数学中一个非常重要的概念,它描述了数值之间的关系。
在高中数学中,函数受到了广泛的研究和运用。
其中,函数的奇偶性是一个很重要的概念。
本文将介绍高一函数的奇偶性知识点,并探讨其应用。
一、奇函数和偶函数的定义函数f(x)是定义在一个对称区间上的函数。
如果对任意的x∈该区间,都有f(-x)=-f(x)成立,那么函数f(x)就被称为奇函数;如果对任意的x∈该区间,都有f(-x)=f(x)成立,那么函数f(x)就被称为偶函数。
二、奇函数和偶函数的性质1. 奇函数的图像关于原点对称,即在平面直角坐标系中,关于原点对称。
2. 奇函数的定义域包括原点,而奇函数在原点处取零值。
3. 偶函数的图像关于y轴对称,即在平面直角坐标系中,关于y轴对称。
4. 偶函数的定义域包括y轴,而偶函数在y轴上的任意点处取相等的函数值。
三、奇偶性的判断方法对于一个给定的函数,我们如何确定它是奇函数还是偶函数呢?有以下几种判断方法:1. 利用定义进行判断:根据奇函数和偶函数的定义进行判断。
2. 利用恒等式进行判断:对于一些特定的函数形式,我们可以通过代入x和-x,利用恒等式判断函数的奇偶性。
例如,对于幂函数y=x^n,如果n为偶数,则函数为偶函数;如果n为奇数,则函数为奇函数。
3. 利用图像进行判断:通过观察图像,我们可以发现奇函数的图像具有对称性,而偶函数的图像则具有轴对称性。
四、奇函数和偶函数的应用奇偶性在函数的研究和应用中扮演着重要的角色。
以下是一些常见的应用:1. 函数图像的绘制:通过了解函数的奇偶性,我们可以在绘制函数的图像时,仅仅绘制出对称区间上的一部分,然后通过对称性得到整个图像。
2. 函数性质的研究:通过奇偶性的判断,我们可以推论出一些重要的函数性质。
例如,奇函数与奇函数的和仍然是奇函数;奇函数与偶函数的积是一个偶函数。
3. 函数的积分计算:对于定义在对称区间上的奇函数,其在该区间上的积分等于零。
高一数学函数的奇偶性
课题:§1.3.2函数的奇偶性
教学目的:(1)理解函数的奇偶性及其几何意义;
(2)学会运用函数图象理解和研究函数的性质;
(3)学会判断函数的奇偶性.
教学重点:函数的奇偶性及其几何意义.
教学难点:判断函数的奇偶性的方法与格式.
教学过程:
一、引入课题
1.实践操作:(也可借助计算机演示)
取一张纸,在其上画出平面直角坐标系,并在第一象限任画
一可作为函数图象的图形,然后按如下操作并回答相应问题:○1 以y轴为折痕将纸对折,并在纸的背面(即第二象限)
画出第一象限内图形的痕迹,然后将纸展开,观察坐标系中
的图形;
问题:将第一象限和第二象限的图形看成一个整体,则这个
图形可否作为某个函数y=f(x)的图象,若能请说出该图象具有什么特殊的性质?函数图象上相应的点的坐标有什么特殊
的关系?
答案:(1)可以作为某个函数y=f(x)的图象,并且它的图
象关于y轴对称;
(2)若点(x,f(x))在函数图象上,则相应的点(-x,f(x))也在函数图象上,即函数图象上横坐标互为相反数的点,它们的纵坐标一定相等.
○2 以y轴为折痕将纸对折,然后以x轴为折痕将纸对折,在纸的背面(即第三象限)画出第一象限内图形的痕迹,然后将纸展开,观察坐标系中的图形:
问题:将第一象限和第三象限的图形看成一个整体,则这个图形可否作为某个函数y=f(x)的图象,若能请说出该图象具有什么特殊的性质?函数图象上相应的点的坐标有什么特殊的关系?
答案:(1)可以作为某个函数y=f(x)的图象,并且它的图象关于原点对称;
(2)若点(x,f(x))在函数图象上,则相应的点(-x,-f(x))也在函数图象上,即函数图象上横坐标互为相反数的点,它们的纵坐标也一定互为相反数.
2.观察思考(教材P39、P40观察思考)
二、新课教学
(一)函数的奇偶性定义
象上面实践操作○1中的图象关于y轴对称的函数即是偶函数,操作○2中的图象关于原点对称的函数即是奇函数.1.偶函数(even function)
一般地,对于函数f(x)的定义域内的任意一个x,都有f(-
x)=f(x),那么f(x)就叫做偶函数.
(学生活动):仿照偶函数的定义给出奇函数的定义
2.奇函数(odd function)
一般地,对于函数f(x)的定义域内的任意一个x,都有f(-x)=f(x),那么f(x)就叫做奇函数.
注意:
○1 函数是奇函数或是偶函数称为函数的奇偶性,函数的奇偶性是函数的整体性质;
○2 由函数的奇偶性定义可知,函数具有奇偶性的一个必要条件是,对于定义域内的任意一个x,则-x也一定是定义域内的一个自变量(即定义域关于原点对称).
(二)具有奇偶性的函数的图象的特征
偶函数的图象关于y轴对称;
奇函数的图象关于原点对称.
(三)典型例题
1.判断函数的奇偶性
例1.(教材P36例3)应用函数奇偶性定义说明两个观察思考中的四个函数的奇偶性.(本例由学生讨论,师生共同总结具体方法步骤)
解:(略)
总结:利用定义判断函数奇偶性的格式步骤:
○1 首先确定函数的定义域,并判断其定义域是否关于原点
对称;
○2 确定f(-x)与f(x)的关系;
○3 作出相应结论:
若f(-x) = f(x) 或 f(-x)-f(x) = 0,则f(x)是偶函数;若f(-x) =-f(x) 或 f(-x)+f(x) = 0,则f(x)是奇函数.巩固练习:(教材P41例5)
例2.(教材P46习题1.3 B组每1题)
解:(略)
说明:函数具有奇偶性的一个必要条件是,定义域关于原点
对称,所以判断函数的奇偶性应应首先判断函数的定义域是
否关于原点对称,若不是即可断定函数是非奇非偶函数.2.利用函数的奇偶性补全函数的图象
(教材P41思考题)规律:
偶函数的图象关于y轴对称;
奇函数的图象关于原点对称.
说明:这也可以作为判断函数奇偶性的依据.
巩固练习:(教材P42练习1)
3.函数的奇偶性与单调性的关系
(学生活动)举几个简单的奇函数和偶函数的例子,并画出
其图象,根据图象判断奇函数和偶函数的单调性具有什么特
殊的特征.
例3.已知f(x)是奇函数,在(0,+∞)上是增函数,证明:
f(x)在(-∞,0)上也是增函数
解:(由一名学生板演,然后师生共同评析,规范格式与步骤)规律:
偶函数在关于原点对称的区间上单调性相反;
奇函数在关于原点对称的区间上单调性一致.
三、归纳小结,强化思想
本节主要学习了函数的奇偶性,判断函数的奇偶性通常有两
种方法,即定义法和图象法,用定义法判断函数的奇偶性时,必须注意首先判断函数的定义域是否关于原点对称.单调性
与奇偶性的综合应用是本节的一个难点,需要学生结合函数
的图象充分理解好单调性和奇偶性这两个性质.
四、作业布置
1.书面作业:课本P46 习题1.3(A组)第9、10题, B 组第2题.
2.补充作业:判断下列函数的奇偶性:○1 ;○2 ;
○3 ()○43.课后思考:
已知是定义在R上的函数,设,○1 试判断的奇偶性;
○2 试判断的关系;
○3 由此你能猜想得出什么样的结论,并说明理由.。