广东省高考英语试题(广州二模)
- 格式:doc
- 大小:441.00 KB
- 文档页数:17
2023年高考英语模拟试卷注意事项1.考试结束后,请将本试卷和答题卡一并交回.2.答题前,请务必将自己的姓名、准考证号用0.5毫米黑色墨水的签字笔填写在试卷及答题卡的规定位置.3.请认真核对监考员在答题卡上所粘贴的条形码上的姓名、准考证号与本人是否相符.4.作答选择题,必须用2B铅笔将答题卡上对应选项的方框涂满、涂黑;如需改动,请用橡皮擦干净后,再选涂其他答案.作答非选择题,必须用05毫米黑色墨水的签字笔在答题卡上的指定位置作答,在其他位置作答一律无效.5.如需作图,须用2B铅笔绘、写清楚,线条、符号等须加黑、加粗.第一部分(共20小题,每小题1.5分,满分30分)1.China’s BeiDou Navigation Satellite System, whose positioning ________ will reach 2.5 meters by 2020, will soon provide services for more countries.A.accuracy B.categoryC.function D.reference2.—Tony, do remember to send the report to the sales manager!—________.A.Made it B.Got itC.Heard it D.Followed it3.To make extra-class education run on the right track, China is tightening _____ of after-school training institutions. A.application B.regulationC.adaptation D.cooperation4.Jess was sad and her friend helped her ___ the first awful weeks after her husband Bill died.A.break through B.break downC.get through D.get rid of5.I'm calling to enquire about the position __________in yesterday's China Daily.A.advertised B.to be advertised C.advertising D.having advertised6.Michelle Obama wears clothes that anyone can buy in a mall and ________ she may have a larger effect on consumers than ordinary models.A.furthermore B.otherwise C.nevertheless D.therefore7.—The terrible accident is under investigation.—Actually, quicker action _________ those workers trapped in the mine.A.might have saved B.must have saved C.should have saved D.could have saved8.It is so difficult a question_______ none of the kids could work it out.A.as B.that C.which D.X9.Please remind your grandpa to take medicine on time, for a man of his age ____be very forgetful.A.need B.must C.shall D.can10.Try to be independent, for your parents can't do ________ for you all your life.A.something B.nothingC.everything D.anything11.Many thought that after starring in the immensely popular drama,Nirvana in Fire,Hu Ge would ________ and actively seek new roles.A.make a mountain out of a molehillB.have too many irons in the fireC.strike while the iron is hotD.put the cart before the horse12.一When he know the result of today’s job interview?一In a couple of days.A.should B.may C.shall D.must13.According to the report, people in the ________ areas are rebuilding their homes and many roads ________ to the area have been repaired.A.flooded; lead B.flooding; leading C.flooding; to lead D.flooded; leading14.___________ and they will finish off the challenging job.A.In a week B.A week later C.After a week D.Another week15.Have you read the book Life and Death Are Wearing Me Out by Mo Y an, _____ that won him the 2012 Nobel Prize in Literature?A.the one B.one C.those D.ones16.Since we can do nothing about it, we _________ as well consult Mr. Smith about the matter.A.can B.mustC.need D.may17.After class, the teacher couldn’t leave,by the students.A.surrounded B.to surroundC.was surrounded D.surrounding18.—I'm going to order chicken and salad.What about you?—.I'll have the same.A.I'm afraid not B.It's up to youC.That sounds good to me.D.That depends19.—Would you please wait for a moment while I telephone the reception desk to check?—________.A.I wouldn't mind that B.Sound like funC.I mean it D.Y ou wish20.Some experts think, ________ genes, intelligence also depends on an adequate diet, a good education and a nice home environment.A.instead of B.except forC.apart from D.far from第二部分阅读理解(满分40分)阅读下列短文,从每题所给的A、B、C、D四个选项中,选出最佳选项。
20 1 3年广州市普通高中毕业班综合测试(二)英语本试卷共1 2页,三大题,满分1 35分。
考试历时1 20分钟。
注意事项:1.答卷前,考生务必用2B铅笔在“考生号"处填涂考生号。
用黑色笔迹的钢笔或签字笔将自己所在的市、县/区、学校和自己的姓名和考生号、试室号、座位号填写在答题卡上。
用2 B铅笔将试卷类型(B)填涂在答题卡相应位置上。
2.选择题每小题选出答案后,用2B铅笔把答题卡上对应题目选项的答案信息点涂黑,如需改动,用橡皮擦干净后,再选涂其他答案,答案不能答在试卷上。
3.非选择题必需用黑色笔迹钢笔或签字笔作答,答案必需写在答卷纸各题目指定区域内相应位置上;如需改动,先划掉原来的答案,然后再写上新的答案;不准利用铅笔和涂改液。
不按以上要求作答的答案无效。
4.考生必需维持答题卡的整洁。
考试结束后,将试卷和答题卡一并交回。
I 语言知识及应用(共两节,满分45分)第一节完形填空(共1 5小题;每小题2分,满分30分)阅读下面短文,掌握其大意,然后从1~1 5各题所给的A、B、C和D项中,选出最佳选项,并在答题卡上将该项涂黑。
Teachers and parents usually call attention to the pictures when reading storybooks to preschool children. But a new study suggests that calling attentionto the print the words and letters on the page may lead to 1 readers.The two-year study 2 children aged 3 to 5 who were regularly read to this way in class with children who were not. In all, over three hundred students, who were considered to be at serious risk of 3 reading problems in future life, were 4 in a classroom setting. After reviewing the recorded lessons, the researchers found that those students whose teachers most often 5 the print showed clearly higher skills in reading, spelling and understanding.Professor Shayne Piasta, the study's author, says most teachers would find this method 6 because it needs only a small change in the way they teach. They already read storybooks in class. The only 7 in the new method would be increased attention to the print.Ms. Piasta says if adults can 8 children in the stories and get themto pay attention to letters and words, it makes sense that they will do better at 9 recognition. But few parents and teachers do this in a 10 way starting first with letters, then 11 moving to words, sentences and paragraphs.Teachers and parents can point to a letter and outline its 12 with a finger. They can point out a word and 13 , "This is ‘dog’". They can discuss the 14 of the print to find how the words combine to tell the story. And they can talk about the 15 of the print for example, how words are written from leftto fight.1. A. clearer B. better C. higher D. happier2. A. compared B. paired C. related D. involved3. A. avoiding B. solving C. developing D. forcing4. A. found B. locked C. interviewed D. observed5. A. studied B. discussed C. saw D. ignored6. A. reliable B. illogical C. unbelievable D. manageable7. A. difference B. concern C. problem D. challenge8. A. annoy B. leave C. interest D. puzzle9. A. word B. voice C. story D. number10. A. easy B. systematic C. different D. typical11. A. silently B. suddenly C. gradually D. mostly12. A. route B. shape C. move D. sound13. A. guess B. think C. explain D. answer14. A. size B. style C. form D. meaning15. A. organization B. development C. information D. improvement第二节语法填空(共1 O小题;每小题1.5分,满分1 5分)阅读下面短文,依照句子结构的语法性和上下文连贯的要求,在空格处填人一个适当的词或利用括号中词语的正确形式填空,并将答案填写在答题卡标号为16~25的相应位置上。
一、听力部分(共两节,满分30分)第一节(共15小题,每小题1.5分,满分22.5分)1. How do you usually go to school?2. What is your favorite subject?3. Do you like playing sports?4. What do you think of online learning?5. How often do you visit your grandparents?6. What is your favorite movie genre?7. How do you spend your weekends?8. What is the most interesting place you've ever visited?9. Do you have a part-time job?10. What is your favorite food?11. How do you deal with stress?12. What do you think of social media?13. How do you keep fit?14. What is your favorite book?15. How do you plan your future?第二节(共5小题,每小题3分,满分15分)Listen to the following passage and answer the questions.W: Hi, John. How are you doing today?M: Not too bad, thanks. I'm actually quite busy with my final exams.W: I know you've been working hard. Do you have any tips on how to prepare for the exams?M: Well, I think the key is to start early and study regularly. It's also important to review the material regularly.W: That's a good point. Do you have any study groups?M: Yes, I'm in a study group with a few of my classmates. We help each other out and discuss the topics.W: That sounds helpful. What about your favorite subject?M: I really enjoy mathematics. It's challenging but also rewarding.W: I see. Do you think you'll continue studying mathematics in college?M: I'm not sure yet. I might consider majoring in computer science or engineering, but I haven't made up my mind yet.16. What is the main topic of the conversation?17. What does John think is the key to preparing for exams?18. What does John's study group consist of?19. What subject does John enjoy?20. What is John considering for his college major?二、阅读理解(共20小题,每小题2分,满分40分)AReading Passage 1Reading Passage 1 is about the importance of exercise for children.1. Why is exercise important for children?2. What are the benefits of exercise for children?3. How can parents encourage their children to exercise?4. What are some popular sports activities for children?5. What are the challenges that children may face when exercising?BReading Passage 2Reading Passage 2 is about the impact of technology on education.1. How has technology changed education?2. What are some advantages of using technology in education?3. What are some disadvantages of using technology in education?4. How can teachers adapt to the use of technology in the classroom?5. What are the future trends in technology in education?CReading Passage 3Reading Passage 3 is about the history of the Internet.1. When was the Internet invented?2. What were the early uses of the Internet?3. How has the Internet evolved over time?4. What are some of the major challenges of the Internet today?5. What are the potential future developments of the Internet?三、完形填空(共20小题,每小题1.5分,满分30分)Read the following passage and choose the best word or phrase to complete each sentence.Many people believe that money can't buy happiness. However, there are some things that money can indeed bring us. For example, money can provide us with comfort, security, and the ability to pursue our dreams. But it's important to remember that money is just a means to an end, and it's not the ultimate goal in life.21. However, there are some things that money can _______ bring us.A. actuallyB. reallyC. trulyD. indeed22. Money can provide us with comfort, security, and the ability to_______ our dreams.A. achieveB. fulfillC. reachD. obtain23. It's important to remember that money is just a _______ to an end.A. methodB. meansC. toolD. approach24. Some people believe that money is the ultimate goal in life, but others argue that it's not.A. absolutelyB. completelyC. totallyD. entirely25. Money can bring us comfort, security, and the ability to pursue our dreams, but it can't buy _______.A. loveB. happinessC. joyD. satisfaction四、短文改错(共10小题,每小题1分,满分10分)In the past, many people believed that the only way to become successful was to get a good job and work hard. However, this is no longer true. Today, success is defined in many different ways. It can be achieving a good grade in school, winning a sports competition, or starting a successful business.The key to success is determination and perseverance. You need to be willing to work hard and never give up. If you face a challenge, you should not be afraid to ask for help. Surround yourself with people who support you and encourage you to achieve your goals. Remember, success is not about the end result, but about the journey itself.In conclusion, there is no one path to success. It is different for everyone. But if you have the right mindset and work hard, you can achieve anything you want.26. believed→believe27. longer→is28. defined→defining29. achieving→to achieve30. winning→to win31. starting→to start32. determination→determined33. perseverance→perseverance34. willing→be willing35. result→results五、写作(共两节,满分25分)第一节:看图作文(10分)请根据下列图片写一篇短文,题目为“Healthy Eating Habits”,要求:1. 描述图片内容;2. 表达对健康饮食的看法;3. 提出建议。
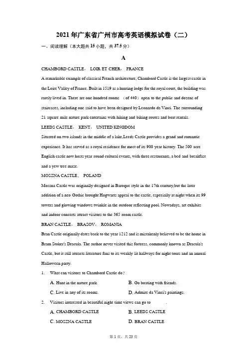
2021年广东省广州市高考英语模拟试卷(二)一、阅读理解(本大题共15小题,共37.5分)ACHAMBORD CASTLE,LOIR-ET-CHER,FRANCEA remarkable example of classical French architecture, Chambord Castle is the largest castle in the Loire Valley of France. Built in 1519 as a hunting lodge for the royal court, the building was rarely lived in. There are one hundred rooms (of 440)open-to the public and dozens of staircases, including one said to have been designed by Leonardo da Vinci. The surrounding 21-square-mile nature park entertains with hiking and-biking routes and boat rentals. LEEDS CASTLE,KENT,UNITED KINGDOMSituated on two islands in the middle of a lake,Leeds Castle provides a grand and romantic experience. It has served as a royal residence for most of its 900-year history. The 500-acre English castle now hosts year-round cultural events, with three restaurants, a bed-and-breakfast and a yew tree maze.MOSZNA CASTLE,POLANDMoszna Castle was originally designed in Baroque style in the 17th century,but the later addition of a neo-Gothic brought Hogwarts appeal to the castle, especially at night when its 99 towers and glowing windows twinkle in the outdoor reflecting pool. Nowadays, art exhibits and indoor concerts attract visitors to the 365-room castle.BRAN CASTLE,BRASOV,ROMANIABran Castle originally dates back to the year 1212 and is mistakenly believed to be the home in Bram Stoker's Dracula. The author never visited this fortress, commonly known as Dracula's Castle, but it still attracts literature fans to its weakly-lit hallways for night tours and an annual Halloween party.1.What can visitors-to Chambord Castle do?______A. Hunt in the nature park.B. Go boating with friends.C. Live in any of its rooms.D. Admire da Vinci's paintings.2.Visitors interested in beautiful night-time views can go to ______ .A. CHAMBORD CASTLEB. LEEDS CASTLEC. MOSZNA CASTLED. BRAN CASTLE3.Which castle has the longest history?______A. CHAMBORD CASTLE.B. LEEDS CASTLE.C. MOSZNA CASTLE.D. BRAN CASTLBTourists to the North Antrim Coast come for its breathtaking beauty On this stretch of coast, myth and history live side by side, and running out of things to do is near impossible. Giant's Causeway, Carrick-a-Rede, the Iron Isles' filming locations ...However, when I make my way to the north of the-country in October, none of them are on my mind. What brings me to the coastal town of Portrush are the waves.Located, on a peninsula, Portrush is home to three brilliant beaches and all the usual points of interest of a coastal town. But what makes the North Antrim Coast so special is the promise of the consistent waves hitting its shores. Although still relatively unknown, it's a surfer's dream destination. This is the home of six-time Irish national surfing champion, Andrew Hill, after all.I meet Andrew at his surf shop, the most popular in Portrush. After hiring a surf board and jumping in the water at West Strand, I quickly realise that my trusted wetsuit is not enough. Within just 30 minutes,I've lost all feeling in my feet and hands, and my ears are burning. I retreat to a nearby café and gulp down steaming tea before popping by Andrew's shop again. Surf boots are what I need, we decide. I leave with a new determination to master the icy Atlantic waves. I'm invited to surf a different spot with Andrew and his friend that afternoon. but I decline his generous offer. My head is set on one thing only:taking revenge on the same waves that almost turned me into an ice block that very morning.Even with boots, surfing the cold waters of Portrush leaves my feet purple. I become covered in bruises that don't register until I thaw out each night, and it takes a couple of days to fully regain feeling in my hands. But it's worth it, and I would gladly do it all over again.4.What does the underlined word "them" in paragraph 2 refer to?______A. The popular attractions.B. Coastal towns.C. The filming locations.D. Passionate tourists.5.Why is the author attracted to the North Antrim Coast?______A. It has internationally famous beaches.B. It's home to the usual seaside interests.C. It produces excellent waves for surfing.D. It's the hometown of a surfing champion.6.The author goes back to the surf shop to ______ .A. better equip himself for the challengeB. consult with some experienced surfersC. accompany the owner on a later surf tripD. quickly warm himself up with some hot tea7.What is the tone of the passage?______A. Narrative and serious.B. Persuasive and critical.C. Descriptive and positive.D. Informative and objective.CWhen the Chinese spacecraft (航天器)Chang'e-5 returned to Earth on December 17,2020,it brought back something not seen on our planet since the 1970s:moon rock samples. This precious cargo,collected by Chang'e-5's robotic research vehicle in the northwest region of the lunar near side,is now being studied by scientists in Beijing. The success of the latest Chinese space mission also showcased technology that may be used in future years to create human settlements on Earth's near neighbour.The returned lunar samples will "absolutely add new knowledge of the history of the moon,particularly its volcanoes," says Xiao Long, a planetary scientist at China University of Geosciences. The rocks sent back by Chang'e-5 "will ask us to rethink about why and how the moon's volcanic history lasted this long," he says.The Chang'e-5 mission was more than just a trip to collect moon rocks. It was also the latest stage of a long, planned sequence of robotic lunar explorations by China that have grown ever more scientifically advanced.The program began with the 2007 launch of Chang'e-1 and Chang'e-2 three years later. These craft circled the moon collecting data used to help guide Chang'e-3 and Chang'e-4,the first Chinese spacecraft to land on the moon surface, and to direct their robotic vehicles. The robot on Chang'e-5 was able to collect rock and soil samples and return them to Earth. In the near future, an identical spacecraft called Chang'e-6 will attempt a sample-return mission from the moon's south pole -an area of intense scientific interest-given the large amount of water ice present.The more advanced Chang'e-7 and Chang'e-8 spacecraft are also planned to land near the south pole to carry out analysis of the region and test new technologies, including detecting and obtaining materials that could be useful to future human explorers, such as water and hydrogen,and testing 3-D printing on the lunar surface.The long-term aim of the Chang's program is to establish an International Lunar Research Station around 2030 to support robotic and, eventually, crewed missions.8.What is paragraph 2 mainly about?______A. The moon's recent volcanic activities.B. The significance of the moon rock samples.C. New knowledge of the history of the moon.D. Further studies of the returned lunar samples.9.What distinguishes the mission of Chang'e-6 from that of Chang'e-5?______A. The technology they use.B. The time they spend on the moon.C. The specific locations they explore.D. The amount of material they bring back.10.Chang'e-7 and Chang'e-8 space missions are mainly intended to ______ .A. transport researchers to the moon stationB. build up an International Lunar Research StationC. collect data necessary to guide moon-landing spacecraftD. find and test resources and means to support living on the moon11.Which of the following best summarizes the Chang's space program?______A. A project to study the surface of the moon.B. A plan to improve human settlements on the moon.C. A set of experiments to test the possibility of manned spacecraft.D. A series of increasingly challenging scientific lunar explorations.DWhat makes people so special?Tool use, self-consciousness, language, and culture are high on the list, but in fact all of these characteristics can be found elsewhere in the animal kingdom. Humans and apes are close relatives, so it is perhaps not surprising that chimpanzees use tools or that gorillas (大猩猩)have a sense of fair play, even rejecting carrots (which they normally accept)when they see their neighbors getting grapes. But the qualities that we often think of as uniquely human exist not just on land, but in the ocean as well.Among the invertebrates, octopuses (八爪鱼)are known for their intelligence, even exhibiting evidence of playfulness, tool use, and personality. But these skilled predators livealone and consequently lack culture. Dolphins, on the other hand, arelarge-brained,long-living,social- group-based predators, and it is here that we find the greatest similarity to human-like culture and awareness.Culture depends on the ability of animals to pass on things they have learned to others. Many animals have culture in this sense, but what sets dolphins apart is what they pass on. Some bottlenose dolphins hold sponges in their mouths that they use as tools to sweep for fish hiding on the ocean floor. This ability is handed down through generations (especially in females),with some families- grandmother, mother, and daughter - all feeding in this highly specialized way.Another characteristic that dolphins share with humans is their ability to recognize themselves in a mirror. When facing a mirror, most animals behave as though they are interacting with another individual. Even in humans, the ability to recognize that the image in a mirror is oneself does not occur before the age of 18 months. Dolphins not only recognize themselves, but if a black mark is put on the body of a dolphin,it will spend extra time at the mirror to look at the mark.12.The example of gorillas rejecting carrots shows they ______ .A. are not easy to foolB. prefer fruit to vegetablesC. have a special taste for foodD. have an awareness of equality13.What do octopuses lack compared with dolphins?______A. Social interaction.B. Intelligence.C. Tool using ability.D. Fun-loving spirits.14.What makes dolphin culture special?______A. They tend to hunt in groups.B. Their hunting skills are passed down.C. Their learning environment is favourable.D. Their families are typically female-controlled.15.What can be inferred from the last paragraph?______A. Dolphins enjoy looking at their own reflection in the mirror.B. Dolphins are as intelligent as a typical 18-month-old human baby.C. Dolphins are generally regarded as the most advanced non-human species.D. Dolphins' ability to recognize their own reflection is a higher-order mental skill.二、阅读七选五(本大题共5小题,共12.5分)Critical thinking is making an effort to improve the way you think.(1)______ We use this process to solve problems, make arguments and evaluate claims. It's important in just about every area of life.Most of our thinking is not critical thinking. We don't need to make many judgments to travel to work or cook dinner. (2)______ Critical thinking can save us from blindly making poor choices. So how can you improve your critical thinking skills?You need to practise. There are many ways of doing that. Here are a few:•(3)______ Look at articles or books written by people on all sides of the issue. For each source, evaluate the argument:What claim is it making?What reasons does it give?Are the reasons logical?• When you see or hear a claim, ask questions about it. Who is making the claim and why?What is the claimant's background and how does this motivate their opinion?• Evaluate your own thinking. Where do you tend to not think critically?Why don't you?How can you improve?• Question things you assume. What claims do you accept without knowing the reasons for them?(4)______ Try to find out what others believe about that claim and why.As you grow in critical thinking, you'll become a wiser and more thoughtful person. (5)______A. Stick to your claim.B. Read about a topic people disagree on.C. When you think of one, do some research.D. It's analyzing facts separately so you can make decisions.E. And it may help you to succeed at work or school as well.F. We'll only use it if we make a conscious effort to ask questions about what we see.G. But when a problem comes our way, we need to think critically to decide how to solve it.16. A. A B. B C. C D. D E.E F.F G. G17. A. A B. B C. C D. D E.E F.F G. G18. A. A B. B C. C D. D E.E F.F G. G19. A. A B. B C. C D. D E.E F.F G. G20. A. A B. B C. C D. D E.E F.F G. G三、完形填空(本大题共15小题,共15.0分)A famous theorist once said, "I don't divide the world into the weak and the strong:or the successes and the failures...I divide the world into the learners and the non-learners."What on earth would make someone a non-learner?Everyone is born with an intense(1)______ to learn. Babies rise to the learning challenge daily. Not just for(2)______ tasks, but the most difficult ones of a lifetime,like leaning to walk and talk. They never decide it's too hard or not worth the(3)______ . Babies don't worry about making mistakes or(4)______ themselves. They walk,they fall,they(5)______ .What puts an end to this fearless learning?A fixed mindset. As soon as children become able to evaluate themselves,some of them become (6)______ of challenges. They worry about not being(7)______ . My research team have studied thousands of people from preschoolers on,and It's breathtaking how many (8)______ an opportunity to learn.We offered four-year-olds a(9)______ :they could redo an easy jigsaw(拼图)or try a harder one. Even at this young age, children with a fixed mindset stuck with the (10)______ one. They believe smart kids don't make(11)______ .Children with a growth mindset, however, thought it was a(12)______ choice. Why would anyone want to keep doing the same puzzle(13)______ ?They chose increasingly difficult-ones instead.Believing that success is about learning, children with a growth mindset seized the chance. But those with a fixed mindset didn't want to expose their (14)______ . This is how a fixed mindset makes people into(15)______21. A. fear B. drive C. competition D. concentration22. A. crucial B. mental C. ordinary D. particular23. A. attention B. effort C. interest D. time24. A. confusing B. behaving C. punishing D. hurting25. A. get up B. give up C. show up D. shut up26. A. afraid B. ashamed C. confident D. ignorant27. A. adorable B. curious C. modest D. smart28. A. seize B. ruin C. reject D. require29. A. lesson B. choice C. gift D. game30. A. challenging B. interesting C. new D. simple31. A. decisions B. jigsaws C. mistakes D. predictions32. A. strange B. promising C. profitable D. difficult33. A. repeatedly B. unwillingly C. automatically D. properly34. A. secrets B. thoughts C. preferences D. weaknesses35. A. theorists B. perfectionistsC. non-learnersD. risk-takers四、语法填空(本大题共1小题,共15.0分)36.The glass harp is one of the most extraordinary instruments in the world. It doesn't evenappear to be(1)______ instrument at first glance, and it isn't actually a harp at all. Instead, it's just a set of glasses on a table. The glasses are of different sizes and some are filled with water.(2)______ (play)the glass harp, performers wet and rub their fingers along the tops of the glasses. Each glass will then produce a high(3)______ low sound, depending on its shape and how much water it (4)______ (contain). Many people think the sound (5)______ (create)is delightful,like music you would hear in heaven.It's a mystery who invented the glass harp. Some say it first appeared in China,whileothers say Persia. but it was in Europe (6)______ it become the most popular. By the 1700s,(7)______ (Europe)glass harp masters could play works by Mozart and Beethoven on the instruments. This love for glass harps didn't last long, however, aspeople lost interest (8)______ a while.Glass harps haven't entirely disappeared, though you can still find some street(9)______ (music)playing them to entertain large crowds. If you're lucky enough to catch such a performance, sit back, relax, and enjoy the beautiful sounds of this(10)______ (usual)instrument.五、书面表达(本大题共2小题,共40.0分)37.为迎接国外姐妹学校来访师生,学校准备选拔"文化交流小使者(YoungAmbassador for Cultural Exchange)",你打算参加。
2022届广东省广州市普通高中毕业班综合测试(二)(二模)英语试题一、听力选择题1. Why did the man fail the test?A.He didn't work hard.B.He didn't sleep well.C.He got to the test late.2.A.It’s suitable for her learning style.B.She wants to try different ways to learn.C.She prefers to connect notes to a story.D.It can strongly smooth her emotion.3.A.Teacher and student.B.Policeman and robber.C.Doctor and patient.D.Landlord and tenant.4. What did the woman do yesterday?A.She finished her daily reports.B.She typed an e-mail.C.She had a meeting.5. When will the lecture be given?A.On June 10th,B.On June 11th.C.On June 12th.二、听力选择题6. 听下面一段较长对话,回答以下小题。
1. What is the man doing?A.Listening to a talk.B.Hosting a talent show.C.Conducting an interview.2. What does Annie do?A.She is a writer.B.She is a photographer.C.She is a journalist.3. What does Annie value most in her job?A.Curiosity.B.Generosity.C.Courage.4. What does Annie think of her job?A.Well-paid.B.Rewarding.C.Difficult.7. 听下面一段较长对话,回答以下小题。
绝密★启用前2024年广州市普通高中毕业班综合测试(二)英语注意事项:1.答卷前,考生务必将自己的姓名、准考证号填写在答题卡上。
2.回答选择题时,选出每小题答案后,用铅笔把答题卡上对应题目的答案标号涂黑。
如需改动,用橡皮擦干净后,再选涂其他答案标号。
回答非选择题时,将答案写在答题卡上,写在本试卷上无效。
3.考试结束后,将本试卷和答题卡一并交回.第二部分阅读理解(共两节,满分50分)第一节(共15小题;每小题2.5分,满分37.5分)阅读下列短文,从每题所给的A、B、C和D四个选项中,选出最佳答案。
ATrain the important skills modern editors use to evaluate and enhance writing for clarity, precision and accuracy.In this course, students will learn how an editor approaches a submitted piece, going beyond sentence-level error and looking at the big picture around accuracy, style and organization. Understanding the different challenges in an editor's job, students will get a behind-the-scenes look at this sometimes busy and often exciting career. Meanwhile, students will grow their own technical editing skills and return home a more competent editor.Using Gen Z Era as their case study, students will meet and study under the people who decide what topics are relevant and valuable to the audience and who determine the overall editorial strategy, ensuring that the content meets the standards and tone of the publication.Course Highlights●Visit the media city and attend lectures by award-winning guest speakers.●Assess articles as well as question and coach the authors to get the best piece possible.●Connect with professionals who manage the development and publication of accurate and worthy content.●Edit one piece into a well-written and fact-checked article in the style of Gen Z Era.Price●Residential Program (Students live on campus):$6,600●Day Program(Students commute to class every day): $5,500(Graduating seniors can have a $400 discount if applying before May 2,2024.)Term Date: July 9-July 21,2024Application Deadline: Friday, May 31,202421. Which is the probable name of the course?A. Career Development in Media.B. Editorial Decision-making.C. Fundamentals of Editing.D. Introduction to Publication.22. What will students do in the course?A. Interview award-winning guests.B. Help authors improve their articles.C. Connect with professional publishers.D. Edit one article for Gen Z Era.23. A graduating senior applying for a Day Program on April 30, 2024 should pay _______.A.$5,100B.$5,500C.$6,200D. $6,600BCourage is a huge theme in my life, a quality I constantly seek, appreciate, and analyze. The root of“courage”is “cor,” the Latin word for heart. Originally, courage meant“to speak one’s mind by telling all one's heart.”While courage is often associated with heroism nowadays, I believe true courage lies in being open and honest about who we are and how we feel.I recently witnessed an example of true courage. During a mountain-climbing trip with my15-year-old daughter and some college students, I noticed her struggling to keep up with the group. Despite my suggestions to rest, she persisted until she couldn't breathe properly.Panicked, I called out to the front for help, but there was no response, and we had no cellphone signal. Fortunately, two students just came back to check out on us. They offered assistance and calmed us down. As we continued at a slower pace, they shared their own experiences, from starting out as beginners like my daughter to becoming consistently among the first to reach the peak.“You know,” one of them said, looking at my daughter,“I was just like you when I started. But with practice and proper pace, you'll get there too.”“Yeah, don't let your lack of experience stop you,” the other added. “It's okay to admit when you're struggling or not feeling alright. In fact, it's important to speak up and ask for help when you need it. That's how we improve and grow.”Reaching the mountain top was a huge relief for both my daughter and me. However, the two students addressed the celebrating group directly, emphasizing the importance of staying together in tough environments. Their words led the group to apologize to us for overlooking our struggle.I was totally amazed at their bravery, and my daughter learned that it's okay to be the least experienced in a group. Courage, I've come to realize, has a ripple effect. Each time we choose courage, we inspire those around us to be a little brave r and make the world a little better.24. Why does the author mention the original meaning of courage?A. To argue for the true essence of courage.B. To question the common belief of courage.C. To show the changing meaning of courage.D. To compare different interpretations of courage.25. What did the two students suggest the daughter do?A. Challenge her own limits.B. Seek help whenever possible.C. Keep to a suitable pace.D. Stick with experienced climbers.26. Which action in the mountain-climbing story is an example of true courage?A. The mother asked the girl to rest.B. The girl tried hard not to fall behind.C. The group celebrated the reach of the top.D. The two students pointed out the group's fault.27. What does the author intend to tell us?A. Kindness connects us all.B. Being a beginner takes courage.C. With courage, everyone can be perfect.D. We don't have to be a hero to be brave.C“It's not unusual for guests to feel emotional when they discover the story behind our food,” says Patrick Navis. “Not to mention when they taste it. One even cried with happiness.” The setting for these tearful scenes? Navis's restaurant in a Dutch city. Here, the owner and his team create experimental food using herbs, roots, flowers and nuts—some common, others less so.Most of these ingredients(食材) come from the Ketelbroek Food Forest nearby. To the untrained eye, it's like an ordinary wood. But there's one key difference: everything in it is edible. It was set up in 2009 by Dutch botanist and environmentalist Noah Eck as an experiment in slow farming, to see what would happen if the right combination of food plants were left to grow together like a natural forest, without chemicals.“It's the first ‘food forest’ of its kind in Europe and we’re one of the few restaurants around the world cooperating in this way,”says Navis.“We have over 400 different species of edible plants we plan our menus around, including some we previously knew little about." He harvests the ingredients and, with his fellow chefs, works them into beautifully presented tasting menus, served in a dining room hidden in the backstreets of the city,“To us, fine dining is not about the fame of a restaurant, its location, expensive decoration, fancy cooking and wine list,”says Navis.“It's about adding value through creativity and using ingredients nobody knows of, which are grown with great attention.”However, he adds, luxury cooking can be about enhancing everyday ingredients, too.“When looking at cooking in this way, who can argue that caviar(鱼子酱), for example, is more valuable than a carrot grown with specialist knowledge?”Experimentation is extremely important to Navis. In the next five years, he hopes to open an outdoor restaurant. But for now, the most important thing is to continue focusing on how plants are being grown and the perennial system used in the Food Forest, reducing the need for replanting each season.28. What can we learn about Navis's restaurant?A. It is well received by its guests.B. It serves food with moving stories.C. It offers experimental food for free.D. It is known for its rare food sources.29. How is Ketelbrock Food Forest different from ordinary woods?A. It is a natural forest.B. Diverse plants coexist in it.C. Plants there take longer to grow.D. It provides safe food ingredients.30. What is the key element of fine dining according to Navis?A. Convenient locations.B. Expensive ingredients.C. Innovative menus.D. Fancy cooking techniques.31. What does “the perennial system” in the last paragraph probably refer to?A. The sustainable farming practice.B. Farming with proper use of chemicals.C. Natural farming without human intervention.D. An experimental farm for an outdoor restaurant.DMy father started learning French at 57, drawn by the potential benefits of bilingualism in delaying dementia (失智症). Now,20 years later, he's on his third teacher. Many people like my father have attempted to pick up a new language. But can this really boost brain health?According to experts, regularly using a new language brings cognitive(认知的) benefits. If you're trying to recall the right words in another language, your brain is forced to inhibit your mother tongue. This process, called cognitive inhibition, helps improve your brain function. Repeating this process makes your brain more resistant to diseases like dementia. The more you challenge your brain, the better it functions, even if your brain health starts to decline.However, evidence for the benefits of learning a second language in your 60s is weaker. Research by Dr. Leo Antoniou found that older Italians who took English lessons for four months didn't see any difference in their cognition scores, but people who didn't saw their scores decline. Prof. Diana Smith's 2023 studies found similar results.Researchers offered a few potential explanations for their disappointing results. One is that the participants were highly motivated volunteers, probably of high cognitive level for their age, making it hard to see any improvements. “When choosing participants, we have to be careful, are they really representative of the population?” said Dr. Judith Ware. Another is that the language interventions were perhaps too short. These studies have used language lessons that “were very different in their length and frequency,” said Prof. Laura Grossman.To Dr. Antoniou, the limited findings are not entirely surprising. No one would say that learning a new language for six months would be the same as having used two languages for your entire life. But he does think that languagelessons can provide cognitive benefits by being cognitively stimulating.Perhaps more important, Prof. Grossman said, learning another language offers other potential advantages, like traveling or connecting with new communities. My father, for example, has remained pen friends with his first teacher and traveled to France numerous times.And at 76, he's as sharp as ever.32. What happens in the process of “cognitive inhibition” ?A. Memory improves.B. Native language is held back.C. Dementia is cured.D. Brain health worsens.33. Which is a possible explanation for the disappointing research results?A. The intervention of the first language.B. The great length of the language course.C. The poor choice of research participants.D. The age difference of the research subjects.34. Whose opinion does the author support by mentioning his father's experience?A. Leo Antoniou's.B. Diana Smith's.C. Judith Ware's.D. Laura Grossman's.35. Which of the following is a suitable title for the text?A. Is it never too late to learn a new language?B. Can learning a new language delay dementia?C. Why does my father start learning a new language?D. How does learning a new language benefit aging brain?第二节(共5小题;每小题2.5分,满分12.5分)根据短文内容,从短文后的选项中选出能填入空白处的最佳选项。
2022年广东省高考英语二模试卷一、阅读理解(本大题共15小题,共37.5分)ARiver Beach Community now offers various programs free of charge.Please call(608)7898640 for details.Coping SkillsTuesdays;December 8,December 22 1 p.m. -2 p.m.on Do you need a little help coping with life?Don't we all?Come and join us for casual conversation and helpful information.We will discuss a variety of topics、including healthy ways to cope with change and life transitions as we age.Fill Your CupFill Your Cup is a personalized one-hour session held on Mondays or Thursdays.Looking for a way to be social while still being safe?This program is designed lo help you recharge your batteries in a way suitable for you.Bring your coffee and we'll chat!Bring your exercise shoes and we can stretch together!Whatever helps you "fill your cup",we can figure out a plan together.Connect 2 NatureFridays;December 4,December 18 11 a.m.- 12:30 p.m.on Join us as we explore a range of topics related to nature and discover how the environment impacts our health and well-being.We will learn from local experts and share in casual conversation about all things environmental.New Device Tech HelpThursdays;December 3,December 17 11 a.m.- 12 p.m.New Site at St.Andrews Street (if open,please call before attending!)Do you have questions about a new device or just need some help with your device Bring in your cell phone,tablet,iPad,or any other technology item that you may have and La Crosse Library staff will be ready to help with your questions.1.How can participants benefit from Fill Your Cup______A. By taking stretching exercises alone.B. By designing team plans to improve skills.C. By enjoying friendly talks with free drinks.D. By enlarging social circle in a relaxing way.2.Which program is suitable if you are available only on Fridays?______A. Coping Skills.B. Fill Your Cup.C. Conned 2 Nature.D. New Device Tech Help.3.What do the programs have in common?______A. They feature online activities.B. They promote social interaction.C. They provide professional instructions.D. They advocate environmental protection.BWhile some feel that bookstores are fading away,one Chinese bookstore has found new life by marching into rural areas in China to bring colorful cultural life and higher incomes lo local residents.By absorbing local rural characteristics,the village branches of the Librairie Avantgarde Bookstore(LAB)chain have transformed into important platforms to display local history,culture and folk traditions.Not just bookstores,they are foundations helping to relieve spiritual poverty(贫困)and centers for gathering and displaying rural culture.To better fit in the lives of local residents,earth village branch has its own characteristics,like the branch in Shaxi,southwest China's Yunnan province.Many of nearly 20,000 books in the store are associated with the history,geography and folk customs of Yunnan and the Bai people. "Turning in profits is not our only aim.Our bookstore has become a public gathering space for villagers.Not only young people,butt many elderly residents come here.They do not buy books,but pass the time by rending or chatting with each other in our store." Liu Xia,the bookstore owner explained.She added that this is a cultural atmosphere that bookstores offer the area.Some residents have grown accustomed to turning to the books of the store to find answers to the troubles they face,such as operating a business or controlling tourists from urban areas.The biggest benefit of opening bookstores in villages is that it helps provide a healthy environment for children's growth. "My kids often come to the store.They love reading books here.They gain knowledge and curiosity about outside world." one villager said.The arrival of the bookstore menus a lot to the village when young residents have been leaving for urban areas in recent years.During the 2020 May Day and National Day holidays,the daily number of tourists traveling to the village reached 5,000,a record high.Visitors were attracted by the bookstore.Surrounding it,several restaurants and holds have opened.4.Which of the following best describes village branches of the LAB?______A. They are disappearing gradually.B. They feature local rural cultures.C. They could make much higher profits.D. They have set up poverty-relief foundations.5.What do we know about the branch in Shaxi?______A. It specializes in history-related books.B. It creates a public gathering space for business.C. It shares the same features with oilier branches.D. It helps villagers know more about the Bai people.6.What's the greatest influence of village bookshops on the local areas______A. Attracting more people lo pay a visit.B. Offering kids a healthy atmosphere.C. Helping residents lo acquire knowledge.D. Encouraging the young to go to big cities.7.Which of the following can be the best title of the text?______A. LAB:A Bookstore on the RiseB. Local Culture Welcomed by TouristsC. Village Bookshops Promote Rural LifeD. Great Ambitions of Village BookstoresCFor people born into the Russian aristocracy(贵族)in the nineteenth century,life was full of interesting opportunities - unless they were female.At the time,women generally did not have careers,for they were expected,instead,to focus fully on marrying and raising families.Sophia Behrs was one such young woman.When Sophia married Leo Tolstoy(列夫•托尔斯泰),he was already a well-known author.Both the couple were literary in their interests:Sophia had been a gifted student and,even at a very young age,was a keen and sensitive reader.Sophia's marriage to Tolstoy gave her the opportunity to put her abilities as a good reader to use,often advising him on his work throughout the writing process.She served as her husband's copyist,writing out multiple copies of his novels by hand.She made suggestions for and edits to his work,many of which were incorporated into the final product.In addition,she served as his manager,publicist,and agent,keeping track of the financial and legal sides of her husband's writing career.If Sophia were alive today,she might have found her calling at a publishing house or literary-agency.She wrote her own Russian-language grammar textbook and translated texts from German and English.She also wrote fiction,including a revision of Leo's novella The Krcutzer Sonata.In that story,a man recounts the dramatic breakdown of his marriage;Sophia retold the narrative from his wife's point of view.The famous writer was impressed by his wife's literary talents."What force of truth and simplicity!" he wrote in his diary upon reading one of her stories. However,Sophia never sought publication for her own work.Writing was not a fantasy that she look seriously;rather,she regarded it with "a certain contempt(轻蔑)and irony." Limited by personal modesty,her domestic duties,and the expectations for women in her lifetime,Sophia never even considered seeking fame of her own.Yet Tolstoy would never have been able to produce the work he did without Sophia's vital contributions.8.What advantages did Sophia's marriage bring to her______A. A strong interest in literature.B. A superior sense of gracefulness.C. A profession at a literary agency.D. A chance to put her literary gift to use.9.What can be inferred about Sophia from paragraph 3______A. Her revision of The Kreutzer Sonata was admirable.B. Her grammar textbook was easy and simple.C. She had a dramatic and imaginative writing style.D. She almost went through a marriage breakdown.10.Which of the following words best describe Sophia according to the last paragraph?______A. Talented and selfless.B. Loving and ambitious.C. Thoughtful but strong-willed.D. Responsible but proud.11.What is the text mainly about?______A. Sophia,a delayed publisher.B. Sophia,the other Tolstoy.C. Life of Tolstoy and Sophia.D. Literature on Russian women.DIn a fascinating paper published last year in Science,a team led by Andreas Nieder of the University of Tubingen in Germany showed that crows - already known to be among the most intelligent of animals - are even more impressive than we knew.In fact,the evidence suggests that they are self-aware and,in an important sense,conscious(有意识的).Crows had been observed previously to use tools to solve certain problems.Nieder's experiment showed that the birds were actively evaluating how to solve a particular problem;in effect,they were thinking it over.This ability to consciously assess a problem was associated with the cerebral cortex(大脑皮层)in the brains of humans,which birds don't have.Other studies support the idea that the bird brain can,in principle,support the development of higher intelligence.It had been dismissed in the past due to the small size of birds,brains.But recent research has shown that in birds,the neurons (神经元)are smaller and morelightly-packed,which makes sense to reduce weight and makes easier lo fly.The total number of brain cell in crows (about 1.5 billion)is about the same as that in some monkey species.But because they are more tightly-packed,the communication between the neurons seems to be better,and the overall intelligence of crows may be closer to that of gorillas(猩猩).This research has important consequences for our understanding of the evolution of higher intelligence.First,a cerebral cortex is not needed,and there are other means to achieve the same outcome.Second,either the evolution of consciousness is very ancient tracing back to the last common ancestor of mammals and birds about 320 million years ago,or,equally interesting,consciousness arose at least twice later on,independently in mammals andbirds.Both options raise the possibility that higher intelligence on other planets may not necessarily be mammal or human-like,but could very well be birdlike.12.What did Andreas Nieder's team find out about crows______A. They are more intelligent than other animals.B. They have left people a very good impression.C. They are much cleverer than previously thought.D. They can use tools to solve certain problems.13.What does the underlined "it" in paragraph 3 refer to______A. The idea.B. The bird brain.C. The development.D. Higher intelligence.14.Why do crows have high-level intelligence?______A. They have more tightly-packed brains.B. They have a small number of brain cells.C. Their brain neurons could communicate well.D. Their brain cells are the same with the monkeys.15.What can be inferred from the last paragraph?______A. Cerebral cortexes are necessary for the evolution of higher intelligence.B. Both mammals and birds got their intelligence from common ancestors.C. Higher intelligence has already developed separately in different species.D. Higher intelligence on other planets might be different from what we imagine.二、阅读七选五(本大题共5小题,共12.5分)Building and supporting your learn has never been more important.A key part of a positive work environment is showing gratitude to team members. (1) Yet 81% of employees report higher motivation with a communicative manager.Tips below are strongly recommended by successful leaders.(2) 45% of employees enjoy praise such as positive feedback and encouragement as their favorite way of receiving appreciation.You can send an uplifting message before a big presentation,or congratulate peers on a job well done.Your recognition can help shape a more supportive work environment.Make time for your team.Practice to giving your coworkers your undivided attention. (3) By spending quality time with coworkers,you help ease their anxiety and make them more productive,It also creates opportunities to show your recognition of their contributions. Practice acts of service.They show rather than tell coworkers that you sincerely care.Express your appreciation with more than a helping hand. (4) Bear it in mind to check in regularly to ask "how can I help you?",and then use their input to inspire a new idea.Consider giving your team gifts.They can be as simple as a cup of coffee for the "idea of the week".To ensure you are making everyone feel seen and included,give gifts to those who would value them. (5)e words of approval often.B.Recognize your workers' strengths.C.Work environments can be fast-paced and stressful.D.Be thoughtful with your sign of care to make it count.E.For example,volunteer to stay after hours to help with a project.F.Careful attention to work has become even more valuable in a real work environment.G.However,our survey shows most employers rarely express thanks lo their employees.16. A. A B. B C. C D. D E.E F.F G. G17. A. A B. B C. C D. D E.E F.F G. G18. A. A B. B C. C D. D E.E F.F G. G19. A. A B. B C. C D. D E.E F.F G. G20. A. A B. B C. C D. D E.E F.F G. G三、完形填空(本大题共15小题,共15.0分)Joriden's love with migrating(迁徙的)raptors(肉食鸟)started when he saw a group of strangers scanning the sky with telescope on top of a hill in his village.His(21) drove him to find out what they were doing.To his joy,the strangers(22)him to take a look.With just one quick look,Joriden was (23). "The sight is very(24)," says Joriden. "They take away my stress.I(25)watching these mighty birds."Joriden used to hunt birds for fun or food.But the(26)with the birdwatchers shifted his mind.Now,not only did he(27)his fellow youths or even older folk to(28)birds they've caught,but he also (29)the community members to stop cutting trees in the mountains to(30)the roosts (栖息地)of the migratory birds.Raptors are(31)indicators of the health of the environment.They sit on top of the food chain,thus their health depends on the health of the whole ecosystem they live in.Declines in their population can indicate a(32)in the specific ecosystem that raptor species depend upon or visit.Raptors,which are natural predators(食肉动物),are also(33)to human food security and livelihoods.If their population (34),the population of harmful insects and animals along their migrating path will increase, (35)agricultural productivity.21. A. joy B. curiosity C. experience D. confidence22. A. reminded B. urged C. allowed D. convinced23. A. attracted B. controlled C. rewarded D. accepted24. A. regular B. strange C. famous D. impressive25. A. imagined B. avoided C. enjoyed D. risked26. A. encounter B. discussion C. adventure D. training27. A. wait for B. send for C. rely on D. appeal to28. A. sell B. raise C. scare D. release29. A. warned B. persuaded C. forced D. expected30. A. protect B. locale C. clear D. hide31. A. natural B. statistical C. subjective D. faulty32. A. probability B. problem C. secret D. pattern33. A. familiar B. accessible C. obvious D. beneficial34. A. doubles B. decreases C. varies D. ages35. A. boosting B. maintaining C. affecting D. measuring四、语法填空(本大题共1小题,共15.0分)36.Israeli singer-songwriter Gilad Segev has devoted himself to an ambitious project topresent different views of China through music,because of his love for the country.In June 2020,he launched Project 34,through(1)______ he will release a song for each of the34 provincial-level regions in China every month.(2)______(combine)Chinese musicand global folk music,he (3)______(post)17 videos so far on social mediaplatforms,gaining millions of views."My(4)______(inspire)for the project was the great beauty I discovered in China's culture,landscapes,and more(5)______(important),the hearts of Chinese people."says Segev.He calls(6)______(he)a "passer-by" - a traveling artist who tells stories from his encounters with people from various cultures,through music.Over the past decade,the award-winning musician has travelled to most of the 34provincial-level regions,and plans to go to(7)______ rest when travel is not restricted by the COVID-19 pandemic.For each music video,he cooperates actively(8)______ a Chinese singer or musician,to include characteristics from their own home region.He and his team have listenedextensively to various types of Chinese music (9)______(figure)out what suitable elements can be used in his works. "I believe when all of our voices(10)______(hear)together,true harmony can happen," Segev says.五、书面表达(本大题共2小题,共40.0分)37.你校英文网站开辟了一个专栏:Campus Life。
20XX年广州市普通高中毕业班英语综合测试(二)Ⅱ语言知识及应用(共两节,满分35分)第一节完形填空(共10小题;每小题2分,满分20分)阅读下面短文,掌握其大意,然后从21~30各题所给的A、B、C和D项中,选出最佳选项,并在答题卡上将该项涂黑。
Scottsdale was a typical American suburb in the 1950s,with children going to each other's houses to play, or riding their bikes around the neighborhood. But for Steven Spielberg none of these “normal” activities were very exciting. Instead he made his own entertainment, like the time he 21 his younger sisters that he had a dead body in his bedroom and almost frightened them to death. When Steven was about seven years o1d, he developed a 22 for television, despite the 23 his parents made t control the children's viewing. His father 24 placed hair on the television“ON' switch to know when Steven watched TV. But Steven woul d 25 its position and replace it after watching hours of television.A chance finally came for Steven to 26 his ability to entertain with his enthusiasm for television. When his father received a movie camera for Father’s Day, the movies he took,“acc ording to Steven, were 27 .Annoyed by his son's28 criticism(批评),he gave the camera to Steven.Steven proved to be a( an) 29 with the camera and quickly made several films using his own toys as the performers. His parents were 30 by how life-like they were and so he began a magnificent movie career.21. A. convinced B. reminded C. promised D. encouraged22. A. gift B. need C. concern D. love23. A. decisions B. suggestions C. attempts D. preparations24. A quietly B. secretly C hopefully D. successfully25. A locate B. relate C. memorize D. examine26. A combine B. compare C. connect D. accompany27. A special B. terrible C. entertaining D .surprising28. A occasional B. humorous C .unreasonable D .constant29 . A winner B. expert C. natural D native30. A .satisfied B. amazed C. puzzled D .inspired第二节语法填空(共10小题;每小题1.5分,满分15分)阅读下面短文,按照句子结构的语法性和上下文连贯的要求,在空格处填人一个适当的词或使用括号中词语的正确形式填空,并将答案填写在答题卡标号为31 -40的相应位置上。
2023年广州市普通高中毕业班综合测试(二)英语试题参考答案第二部分阅读第一节(共15小题;每小题2.5分,满分37.5分)21. C 22. D 23. B 24. A 25. D26. B 27. A 28. D 29. A 30. C31. B 32. C 33. D 34. A 35. B第二节(共5小题;每小题2.5分, 满分12.5分)36. B 37. A 38. D 39. E 40. G第三部分语言运用第一节(共15小题;每小题1分,满分15分)41. A 42. D 43. B 44. C 45. D46. A 47. D 48. C 49. B 50. C51. B 52. B 53. A 54. C 55. D第二节(共10小题;每小题1.5分,满分15分)56. conditions 57. stronger 58. Faced 59. was convinced 60. survival 61. an 62. to enjoy 63. tirelessly 64. on / forward 65. where说明:1. 有拼写或大小写错误的作答不给分。
2. 除所列答案外,若试评过程中发现其他可接受答案,须及时上报。
经讨论确认后,全市范围内统一给分。
第四部分写作第一节(满分15分)一、评分原则1.本题总分为15分,按五个档次进行评分。
2.评分时,应主要从内容、词汇语法和篇章结构三个方面考虑,具体为:(1)对内容要点的覆盖情况以及表述的清楚程度和合理性。
(2)使用词汇和语法结构的准确性、恰当性和多样性。
(3)上下文的衔接和全文的连贯性。
3.评分时,先根据作答的整体情况初步确定其所属档次,然后以该档次的要求来综合衡量,确定或调整档次,最后给分。
4.评分时还应注意:(1)词数少于60的,酌情扣分。
(2)单词拼写和标点符号是写作规范的重要方面,评分时应视其对交际的影响程度予以考虑。
2024学年广东省广州市荔湾、海珠部分学校高三第二次模拟考试英语试题(详细答案版)注意事项:1.答卷前,考生务必将自己的姓名、准考证号、考场号和座位号填写在试题卷和答题卡上。
用2B铅笔将试卷类型(B)填涂在答题卡相应位置上。
将条形码粘贴在答题卡右上角"条形码粘贴处"。
2.作答选择题时,选出每小题答案后,用2B铅笔把答题卡上对应题目选项的答案信息点涂黑;如需改动,用橡皮擦干净后,再选涂其他答案。
答案不能答在试题卷上。
3.非选择题必须用黑色字迹的钢笔或签字笔作答,答案必须写在答题卡各题目指定区域内相应位置上;如需改动,先划掉原来的答案,然后再写上新答案;不准使用铅笔和涂改液。
不按以上要求作答无效。
4.考生必须保证答题卡的整洁。
考试结束后,请将本试卷和答题卡一并交回。
第一部分(共20小题,每小题1.5分,满分30分)1.Philips won 8 gold medals at the Beijing Olympic Games, __________astonished the world.A.that B.which C.what D.who2._____________equal opportunities, both Frank and Billy may accomplish the task.A.Given B.GivingC.To give D.to be given3.The problem lies in______ we’re now giving him a fish, not teaching him how to fish.A.what B.thatC.which D.if4.________ the concert to raise money for hunger relief and to make the public aware of the problem, Geldof invited many famous musicians to take part in it.A.Intended B.Intending C.Having intended D.To intend5.No student ________ go out of school to have lunch without permission of the headteacher.A.might B.mustC.shall D.could6.______ a book in front of your face, you’ll feel the air moving against your face.A.Waved B.WaveC.To wave D.Waving7.You can use this room for your club activities tomorrow ______ you keep it tidy and clean.A.for fear that B.in caseC.on condition that D.even if8., he talks a lot about his favorite singers after class.A.A quiet student as he may B.Quiet student as he may beC.Be a quiet student as he may D.Quiet as he may be a student9.The monitor said that the learning method he used improved his maths.A.greatly B.nearly C.normally D.seriously10.— I am just wondering which team, Chicago Bulls or Washington Wizards, won the game last night?—________ I don’t really like either team.A.Don’t ment ion it. B.No problem.C.Who cares? D.Why bother?11.We must ______ the time that you’ve wasted this afternoon by working late to-night.A.make up for B.make out C.do up D.make up to12.In order to finish the work time,the man in charge decided to some more workers.A.give up B.take on C.look after D.find out13.I didn t see your sister at the meeting. If she , she would have met my brother.A.has come B.did comeC.came D.had come14.Many thought that after starring in the immensely popular drama,Nirvana in Fire,Hu Ge would ________ and actively seek new roles.A.make a mountain out of a molehillB.have too many irons in the fireC.strike while the iron is hotD.put the cart before the horse15._________ his conclusion on the evidence he collected on the scene, he proved that the murderer was guilty. A.Based B.BasingC.To base D.Being based16.-- -____that he manage to get the information?---Oh,a friend of his helped him.A.Where was it B.What was itC.How was it D.Why was it17.I like such h ouses with beautiful gardens in front, but I don’t have enough money to buy.A.it B.one C.that D.this18.We were sad to learn that several students were by a car yesterday.A.hit out B.knocked overC.run across D.picked up19.Usually Beijing Roast Duck _____ together with special pancakes, green onions and sweet sauce.A.was served B.will serveC.is served D.served20.The differences the children’s achievements can not be completely explained ________ their social backgrounds. A.in front of B.in case ofC.in need of D.in charge of第二部分阅读理解(满分40分)阅读下列短文,从每题所给的A、B、C、D四个选项中,选出最佳选项。
2022年广州市普通高中毕业班综合测试(二)英语【精品解析】阅读A 篇 21-23: DBA D.细节理解题。
根据文章第一段"A big problem for animals in the wild is keeping their enemies away while they sleep. ”可知所有野生动物睡眠时最大的顾虑是安全问题。
21. B.细节理解题。
根据文章第三段"Each day, a chimpanzee builds itself a new,comfortablebed to sleep in. ” 和 a Scientists believe carefully choose a tree that isstrong, where they秘密★启用前试卷类型:B build a nest using branches and leaves.” 得知chimpanzee 是睡前准备做得】 充足的。
22.A.细节理解题。
根据文章第五段bottle-nosed dolphins的介绍,可以根据"they also need to watch over their young”得知答案选择A。
B> D选项明显不符合题意,C选项根据"but they have to be on the ocean' s surface to breathe w排除。
23.B.细节理解题。
定位文章第二段"It felt incredibly unfair. At 16, I decided I twasn' going to feel guilty about it any more. ” 得知B 选项符合题意。
24.A.细节推断题。
定位文章第三段“For 18 months, every time Bastawrous and his team set up their 'mobile' eye clinic in yet another new location, they had to drag heavy, fragilehospital equipmeny cross-country. ”得知A选项符合题意,此题容易误选C,但是不能仅凭别人的"pipe dream"的疑惑认为这段旅程是“不合实际的”。
广东省广州市南沙区2022-2023学年高三下学期二模英语试题一、听力选择题1. What does the woman mean?A.She isn't allowed to tell students their exam results.B.Mr. Brown is busy with his work in the office.C.She has no idea where the man's exam paper is.D.Mr. Brown doesn't want others to touch his things.2. What does the woman usually do in the evening?A.She watches TV.B.She goes for a run.C.She does yoga.3. When did the man get to class yesterday?A.At 2:30.B.At 2:00.C.At 1:30.4.A.His suit is too old to wear.B.He doesn’t want to wear a suit.C.He’ll go shopping with the woman.D.He doesn’t want to buy new clothes.5. What caused the company sales to increase?A.The online marketing campaign.B.The extra salespeople.C.The discount prices.二、听力选择题6. 听下面一段较长对话,回答以下小题。
1.A.a construction engineer.B.A financial analyst.C.An accountant.D.A business researcher.2.A.Because he was too shy to talk to people.B.Because he was absolutely busy with his homework.C.Because he was not ready for the interviews then.D.Because he was too busy with his work to afford any more time.3.A.Because John was a nice person and welcome almost everywhere.B.Because John had nice working experience.C.Because John did well in school and the job market was friendly.D.Because John was a well-trained analyst.4.A.He should take more jobs for more experience.B.He should work harder in school before going for any interview.C.He should do more research on how to do an interview.D.He should learn more about the companies he applied for.7. 听下面一段较长对话,回答以下小题。
2021年广东省高三年级英语第二次调研考试第二部分阅读(共两节,满分50分)第一节(共15小题;每小题2.5分,满分37.5分)阅读下列短文,每题所给的A、B、C、D四个选项中选出最佳选项。
ASocial net working websites are an important tool for us to keep up with the world, make new friends, and share pictures, videos, or bits of interesting news. But for people who have very specific interests, a comprehensive site like Twitter is not sufficient. They want to be part of a supportive online community that shares their particular passions. The following are examples of specialized websites for these people.Stache PassionsIt is a social site for people who wear, admire, or have an interest in moustaches. It features photos of men with all sizes and styles of moustaches, forums for discussing the history, growing, and styling of the stache, and even a meet-up page to help you meet other moustache-lovers.HoryouIt is a website for people who want to do good in the world. On the site, you can connect with other social activists and entrepreneurs(企业家), plan meetings, share fund-raising strategies, and keep up with thousands of people who are working hard to make the world a better place. There are no funny videos here, but Horyou offers its own web-based video channel that features programs and documentaries about. efforts to improve people’s lives around the globe. Watching them will warm your heart and inspire you to work harder for a better world.PurrsonalsIt is a specialized site for those who love cats. Here you can meet and chat with cat-loving friends, set up play-dates with local people and their pets, and even find a temporary home for a cat in need. If your friends don’t like it when you share endless cute cat videos on your regular social site, Purrsonals is where people are sure to appreciate them!21. Which site might be useful for those who are interested in appearance?A. Twitter.B. Purrsonals.C. Horyou.D. Stache Passions.22. What can you do on Horyou?A. Watch funny short films.B. Discuss how to raise money.C. Advertise for social activists.D. Collect ideas for making videos.23. Which of the following is true about Purrsonals?A. It helps people find their lost pets.B. It collects beautiful photos of cats.C. It offers a great many cat videos.D. It enables people to adopt various pets.BIn Los Angeles, UPS driver Hector Vesco noticed that while he did his normal route, there was one kid who looked sad.Once Hector understood why the boy looked upset, he jumped into action. A father of two himself, he knew that he would have to check in with the parents. Using a blank UPS slip, Hector wrote out a note reading, “Hi, this is Hector, your UPS driver. I’ve seen your son plenty of times on the balcony and he seemed very sad that he didn’t get any package. When he asked me if I had any package for him, it old him, ‘Don’t worry. Maybe next time.’ So, anyway, I’ve bought something and put it in box. Just wanted to know his name.” Hector also shared his number so that the parents could contact him directly.After getting all the information he needed from the mother Brooke Walbuck, lector showed up the next day and surprised the boy, Langston, with the delivery.Of course, the gesture of delivering the parcel was nice enough, but it turned out what was inside made it even better! When Langston opened up the box, he found a collection of toy cars and a bunch of candy. It didn’t get much better than that for a little boy.After the delivery was made, Brooke sent a follow-up text to thank Hector again. In his reply, Hector stated that he had two daughters himself. He kept a bunch of toy cars he had collected over the years. When he met Langston, he knew it was the perfect opportunity to put them to good use.In his message back to Brooke, he also intentioned that Langston helped him remember how many kids, along with his, had to live through theCOVID-19 pandemic (疫情). “Our kids are our world and the future,” he said. “I just want to show some love.”Before the pandemic, you probably didn’t think too much about the people who delivered your packages. But in times of pandemic, delivery drivers like Hector have some of the most important jobs!24. What do we know about Hector Vesco?A. He collected toy cars for boys.B. He worked for a delivery company.C. He was familiar with the Walbucks.D. He informed Langston of his own number.25. Which of the following does the underlined “it” in Paragraph 4 refer to?A. The box.B. The gift.C. The gesture.D. The parcel.26. How were the Walbucks influenced by the delivery?A. Brooke was gr ateful to Hector’s kids.B. Brooke was regretful for ignoring her son.C. Langston was cheered up in the pandemic.D. Langston was disappointed with the used toys.27. What does the author mainly intend to convey in the text?A. The pandemic affects the globe.B. Children love toy cars and candies.C. Old products can serve new purposes.D. Ordinary people can be extraordinary.What is the most powerful word in the English language? The. It’s everywhere. We use it in English without always noticing or appreciating it. It’s not much to look at. It isn’t descriptive, emotive or inspiring. Technically, it’s meaningless. And yet this dull and harmless-seeming word could be one of the most powerful words in the English language.“The” tops the lists of most frequently used words in English, accounting for 5% of every 100 words used. But why is this? The answer is two-fold. The principle of least effort plays a major part. So people use it a lot. At the same time, “the” lies at the heart of English grammar, ha ving a function rather thana meaning. Words’ are split into two categories: expressions with a semantic (语义的) meaning and functional words like “the”, “to”, “for”, with a job to do.Although “the” has no meaning in itself, “it seems to be able to do things in subtle and miraculous ways,” says Michael Rosen, poet and author. Consider the difference between “he scored a goal” and “he scored the goal”. The inclusion of “the” immediately signals something important about that goal. Perhaps it was the only one of the matches? Or maybe it helped a team win the championship? Context very often determines sense.This simplest of word scan be used for dramatic effect. At the start of Hamlet, a guard’s utterance of “Long live the King” is soon followed by the ghost: “Looks it not like the King?” Who, the audience may wonder, does “the” refer to? The living King or a dead King? This kind of confusion is the kind of “trick” that writers use to make us surprised and amused, a bit uneasy even. “‘The’ is doing a lot of work here,” says Rosen.28. Which of the following describes the word “the” correctly?A. It is often overlooked.B. It is useless in practice.C. It is dull and descriptive.D. It is in every English sentence.29. The word “the” is frequently used becaus e it is _____.A. brief and functionalB. popular and uniqueC. effective and emotiveD. meaningful and expressive30. What does the example in Paragraph 3 imply?A. “A” is not as important as “the”.B. Words should be understood in the context.C. It’s impossible to understand a single sentence.D. Some words have a clearer meaning than others.31. Why did the writer of the play stress “the” in “Looks it not like the King”?A. To show his confusion.B. To add drama to the scene.C. To r epeat the guard’s words.D. To help the audience understand.Our suits have four layers: thermal(保暖的)underwear on the inside, followed by an electrically heated bodysuit, a thick wool coat, and a half-inch-thick layer of rubber outerwear. There ’re t wo layers of hoods, waterproof gloves and 35 pounds of weights. There are two batteries for the heated bodysuit, a backup gas container, and finally, my photography equipment. We look like astronauts minus the helmets.When we finally dive into the freezin g water, we’re wearing200pounds each. The cold quickly numbs(使麻木)the few square inches of exposed skin on our cheeks, and as the dive goes on, it spreads into our suits and gloves, biting even harder. It’s almost unbearable. Toward the end, as we’re pausin g on our way up to let the pressure drop, we search for anything to distract us from the pain. When we finally drag ourselves out of the freezing ocean, I lie face down on the ice, my brain dulled, my skin hard and wrinkled, my lips, hands, and feet swollen and unconscious (无知觉的)— then, as my body warms and the blood starts to flow again, the intense pain is at its worst.What could possibly make this worthwhile? The sight! Only a few species of seals, penguins, and other birds live in East Antarctica, and no land mammals at all. Below, it’s a rich garden. Antarctic marine(海洋的)life has been largely isolated from the rest of the planet for millions of years, ever since the continent separated from the other continents and froze over. Since then the powerful Antarctic Circum polar Current has surrounded Antarctica from west to east, creating a sharp change in temperature that prevents the spread of marine animals. The long isolation has allowed a surprising diversity of species, unique to the region, to evolve on the seafloor.The waters under Antarctic ice are like Mount Qomolangma: magical, but extremely unfriendly. Nothing short of full commitment gets you anywhere. The demand is too great. But that’s what makes the mages you see here so breathtaking, and the experience of having photographed them and of having seen this place so unforgettable.32. What does the author intend to tell us in Paragraph 1?A. How fully prepared the divers are.B. How entertaining a diver appears to be.C. How advanced modern technologies are.D. How heavy the astronauts’ equipment is.33. The divers suffer the greatest pain when they ______.A. dive into the waterB. begin to resurfaceC. reach the deepest spotD. regain consciousness34. What do we know about marine species in Antarctica?A. They can be found elsewhere on the planet.B. They have unimpressive biological diversity.C. They experience sharp changes in temperature.D. They live relatively independently geographically.35. What makes the diving experience in Antarctica so worthwhile?A. The amazing scenery and pictures taken.B. The divers’ devotion to the tough task.C. The long-standing reputation of Antarctica.D. The challenging circumstances of the diving.第二节(共5小题;每小题2. 5分, 满分12. 5分)阅读下面短文, 从短文后的选项中选出可以填入空白处的最佳选项,选项中有两项为多余选项。
广东省广州市2012届高三毕业班4月综合测试(二)英语本试卷共12页,三大题,满分135分。
考试用时120分钟。
注意事项:1. 答卷前,考生务必用2B铅笔在“考生号”处填涂考生号。
用黑色字迹的钢笔或签字笔将自己所在的市、县/区、学校以及自己的姓名和考生号、试室号、座位号填写在答题卡上。
用2B铅笔将试卷类型(B)填涂在答题卡相应位置上2. 选择题每小题选出答案后,用2B铅笔把答题卡上对应题目选项的答案信息点涂黑,如需改动,用橡皮擦干净后,再选涂其他答案,答案不能答在试卷上。
3. 非选择题必须用黑色字迹钢笔或签字笔作答,答案必须写在答卷纸各题目指定区域内相应位置上;如需改动,先划掉原来的答案,然后再写上新的答案;不准使用铅笔和涂改液不按以上要求作答的答案无效。
4. 考生必须保持答题卡的整洁。
考试结束后,将试卷和答题卡一并交回。
I语言知识及应用(共两节,满分45分)第一节完形填空(共小题;每小题2分,满分30分)阅读下面短文,掌握其大意,然后从〗5各题所给的A、B、C和D项中,选出最佳选项,并在答题卡上将该项涂黑。
I woke up this morning with a fright !There appeared to be a mouse in my bed tickling my nose and 1 ____ scratching me. It had to be a mouse, for those tiny sharp little nails were scratching me all across my 2 ____ .It couldn't have been a(n) 3 ____ as I didn't own any pets; it couldn't have been a rat, because if what I had read about rats was 4 ____ ,their sharp teeth could 5 ____ their way through solid stone. They do this because their front teeth never stop growing and this is the only way to keep them 6 ____.I didn't dare to open my eyes and face the 7 ____ of the disgusting mouse in9 ____ the mouse would slide onto other areas of my body, which would 10 ____ give me horrible dreams for years to come!Despite my fears, I finally decided to swiftly 1 ____ 1 the mouse away. But it12 ____ ! I did it again and again and it kept coming back, every single time.There was no way out. I had to face my enemy. I took a breath, gathered my 13 ____ and slowly opened my eyes. To my relief, I saw something far 14 ____ than a mouse and it all came back to me.I had put my baby daughter Rebecca into bed beside me after her first bottle in the morning !1. A. warmly B. lightly C. wildly D. thoroughly2. A. foot B. hand C. stomach D. face3. A. mouse B. insect C. cat D, fly4. A. true B. suitable C. interesting D. clear5. A. fight B. pull C. carve D. wind6. A. strong B. sharp C. slim D. short7. A. horror B. thought C. risk D. cost8. A. tired B. stupid C. uncomfortable D. disappointe9. A‘hoping B. fearing C. assuming D. doubtinggradually B. temporarily C. surely D. hardly10,..throw B. brush C. keep D. send11,.returned B. repeated C. dropped D. stayed12..memories B. thoughts C. energy D. courage13...softer B. cuter C. uglier D. worse14 ...hair B. feet C. nails D. fingers15 ..第二节语法填空(共10小题;钻小题1. 5分,满分15分):阅读下面短文,按照句子结构的语法性和上下文连贯的要求,在空格处填入一个适当的词或使用括号屮词语的正确形式填空,并将答案填写在答题卡标号为16-25的相应位置上。
Inequality between men and women results in poorer health for children and greater family poverty(贫穷),according to a new study. The UN agency Unicef found that, 16 _____ the situation has slightly improved, many women are still not included in family decisions, 17_____ as a result their children are more likely to suffer from poor health.The main finding of the 30-country survey is that equality between men and women is vital to 18 _____ (improve) living standards and health, especially for children in developing countries. The conclusions arc contained in the agency’ s 19 _____ (late) report. This report points to a lack of opportunities for girls and women in education and work,which contributes 20_____ theirpoverty and lack of power. Where men control the household, less money 21_____ ( spend) on healthcare and food, 22_____ results in poorer health for children.An increase in 23 _____ (employ) opportunities for women would increase 24_____ household power, the report said. For example, the agency found that whoever has more household income decides 25_____ or not it will be used for family needs.II阅读(共两节,满分50分)第一节阅读理解(共2O小题;每小题2分,满分4O分)阅读下列短文,从每题所给的A、B、C和D项中,选出最佳选项,并在答题卡上将该项涂黑。
AWhen the SS Gairsoppa was sunk by a German war boat 70 years ago,it took its huge silver cargo to a watery grave. Today, US divers are working to recover what may be the biggest shipwreck treasure ever.The Florida-based company Odyssey Marine Exploration announced that it had found the Gairsoppa, and cited official documents indicating the British ship was carrying some 219 tons of silver when it sank in 1941 in the North Atlantic f some 300 milesoff the Irish coast.Valued then at£600,000, the silver today is worth about $ 210 million, which would make it history's largest recovery of precious metals lost at sea.“We've accomplished the first stage of this project — the location and identification of the target shipwreck — and now we're hard at work planning for the recovery stage,” Odyssey project manager Andrew Craig said.Under the terms of an agreement reached between Odyssey and the British government,the company will retain 80 percent of the silver it can recover from the wreck.The 412-foot Gairsoppa had been sailing from India back to Britain in February 1941 carrying a cargo of silver, iron and tea, when a storm hit. Running low on fuel, the ship was forced to change direction and headed for Galway,Ireland,the nearest port of safety.It never made it,sunk by a German torpedo in the contested waters of the North Atlantic. Of the 85 people on board,only one survived.The Gairsoppa came to rest nearly 15 ,400 feet below the surface, where for decades it was lost to the world. All previous efforts to locate the shipwreck failed.New photographs released by the Oddesy show clear details of the ship,including the hole blown open by the torpedo. The find highlights the influential role that modern technologies,such as global positioning systems and deepwater robots,have come to play in the business of finding shipwrecks.Odyssey president Mark Gordon said, "The majority of the world's ocean floor has not yet been explored. We know more about the surface of the moon than we know about the deepest parts of the oceans. It's exciting to be working at depths like these and to be among the pioneers of this unexplored frontier, ”26. What caused the ship to sink?A. A dangerous storm.B. A German attack.C. A loss of direction.D. An accidental explosion.27. Where was the ship headed when it sank?A. India.B. Ireland.C. The United States.D. Britain.28. Which of the following about the Gairsoppa is true?A. All the passengers aboard were killed.B. Some of its treasures have already been recovered.C. It is under more than 15,000 meters of water.D. It is officially owned by the British government.29. Why has it taken so many years to find the location of the ship?A. The required technology was not available before,B. People had completely forgotten the ship had been sunk.C. Search permission had previously been refused.D. Official ship records have only recently been discovered.30. What does Mark Gordon think of deep-sea exploration?A. It is more difficult than space exploration.B. It is a very expensive activity.C. It is still in its early stage.D. It can make explorers very rich,BI live in Mumbai, India, a big city, but I came from a remote Kerala village. When I was a- boy, hardly anyone spoke English around me. So, at age nine, Dad sent me to Montfort, an exclusive boarding school. There, I had to speak English or be punished. My uniform was typical English public school: grey jacket,tie,and black leather shoes一 so different from the clothes most people in my village wore. And our official school sport was cricket, something I'd never heard of, let alone played, before arriving.Montfort had been built for the children of the British officials who once ruled India ’ but by the time I arrived in 1961, nearly all the students were from powerful Indian families. Its English traditions, however, continued.When I returned home for the holidays still wearing my uniform, people stared at me like I was an alien. ”Speak some English,“ they teased. Looking back, I unwittingly brought a bit of English culture to my village.But English and too much Western influence are precisely what manytraditionalists and politicians fear. They ask: Will such influences finish off our own culture?Various leaders have tried to erase the British traditions, pulling down old British statues and replacing many British-rule city names with older native names. Some even advocate changing our weekly day of rest from the "Western" Sunday to the “Hindu" Tuesday.Extreme responses I say. You can't change history, and it's only natural for foreign influences to affect a nation's culture. So Indian culture, as it is today, is really a mixture derived from centuries of foreign invasions.Add to that the massive changes of the 20th century resulting from the television, jet-age travel, the Internet, etc.Everything from clothes and language to food keeps changing, yet we remain Indian.I believe that Asian cultures are too ancient and deep-rooted to be weakened by foreign influences.Allow me to illustrate ray point. Some time ago, I took my visiting Singapore-born-and- raised cousin to a Chinese restaurant for dinner. Later, while driving home,I talked about the fine Chinese food we'd just had."Was that Chinese food?" my cousin exclaimed. “Oh, I didn't know. “ It must have tasted too Indian for him to realise it.Meanwhile, like countless others, my village has transformed over the past decades. Many people wear modern clothes and TV brings cricket into local homes. There's even an English- language school,where you can hear kids giggling,yelling,flirting — all in English,but with an Indian accent. Just like the Chinese food you get in India.Are these foreign influences something to worry about? I don't think so. India's Chinese food tastes pretty good to me!31. What can we infer about the author?A. He was a supporter of British rule in India.B. He came from a wealthy family.C. His family was unpopular in the village.D. He was partly educated in Britain.32. Which of the following are mentioned by the author as British influences on Indian society?a. Place namesb. Languagec. Foodd. Architecturee. Sportf. EducationA. a, b, d, eB. b, d, e, fC. a, b, e, fD. b, c, e, f33. Why does the author use the example of Chinese food in India?A. To show how foreign customs are adapted to suit local conditions.B. To argue that overseas influences have enriched the lives of local people.C. To explain why foreign influences on local culture should be limited.D. To indicate the loss of local cultural traditions resulting from foreign influences.34. In the last part of the passage, the author again refers to his village to show .A. life there has improved a lotB. its culture has become less IndianC. culture continues to change over timeD. his disapproval of modern youth35. The main purpose of the passage is to .A. informB. persuadeC. describeD. criticiseCAre you an optimist? Do you look at yourglass and see it as half full? Do you believethat every cloud has a silver lining and thatgenerally things turn out for the best? Do youbelieve that if something is meant to be, it willbe? If you reply "yes" to all of these questions, then you are an optimist. You probably are enthusiastic,cheerful and outgoing. You may well be successful atwork and in love.But you may be misguided because things don't turn out for the best. You may believe that when one door closes another one opens (for example,you may fail to land a new job,another chance will come around soon), Wrong. When one door closes, another door slams in your face. That's bitter reality.Now a book has been published which confirms what we pessimists (悲观者)have suspected all along. It's called The Positive Power of Defensive Pessimism. Its author argues that defensive pessimism can lead to positive results. Defensive pessimism is a strategy used to manage fear, anxiety and worry. Defensive pessimists prepare for things by setting low outcomes for themselves. They carefully consider everything that may go wrong and plan for ways to handle these problems. And this gives them a sense of control. Lawrence Sanno, a psychology professor, says, "What's interesting about defensive pessimists is that they tend to be very successful people, so their low opinion of the situation's outcomes is not realistic. They use it to motivate themselves to perform better. ”So far, so good. This is not rocket science. Defensive pessimists prepare carefully and consider what might go wrong, whether at work, on a date or even in a sports game. It makes sense to have a back-up plan. There are many sayings in English urging caution. For example, “Don't put all your eggs in one basket," and “ Don't count your chickens until they hatch. “ To have a confident and optimistic approach to life's problems is good. But listen to what Woody Alien ,the American comedian says, ”Confidence is what you have before you understand the problem.“There are pros and cons to being an optimist and a pessimist. Don't feel bad if you see the glass half empty. You are a realist. But lighten up and hook up with someone who sees the same glass half full.36. What is the passage mainly about?A. A book that has recently been published.B. The dangers of being too optimistic.C. The benefits of defensive pessimism.D. How to become successful in life.37. The underlined word “ it" in paragraph 3 refers to_____.A. the final outcomeB. their low opinionC. people's motivationD. their performance38. The underlined sentence “This is not rocket science" in paragraph 4 means_____.A. the cost is not so highB. there is no real proofC. it's not a dangerous thing to doD. it is quite simple to understand39. The writer would probably describe himself as_____.A. an optimistB. a realistC. a defeatistD. a scientist40. Which of the following English expressions would a defensive pessimist believe?A. “Every cloud has a silver lining.B. "The glass is half full not half empty. ,C. "Whatever will be, will be.D. “Don't put all your eggs in one basket.DDuring lectures, my students often ask which is the most difficult language to learn. It's not easy to answer because there are many factors to take into consideration. For a person's first language these factors are unimportant because people learn their mother tongue naturally. So the question of how hard a language is to learn is only relevant when learning a second language.Studies have shown that native speakers of Spanish find Portuguese much easier to learn than, say, native speakers of Chinese, because Portuguese is very similar to Spanish, while Chinese is very different. So a person's first language affects their learning of a second language. The greater the differences between a second language and the first, the harder it will be for most people to learn. Many Westerners think that Chinese is the hardest language to learn because of its writing system and pronunciation. But for Japanese speakers, who already use Chinese characters in their own language, learning writing is less difficult than for speakers of languages using the Roman alphabet.A recent study reported that British embassy staff found that the second hardestlanguage to learn was Japanese. More surprising was the language that they found most problematic — Hungarian. In this case the issue was not the writing system (as both English and Hungarian use a similar alphabet) but grammatical complexity. Hungarian has 35 cases (forms of a noun according to whether it is subject, object, genitive, etc. ) and it was this that caused the British diplomatic personnel most difficulty. One suspects they would have even more problems with Tabassaran, a Caucasian language with 48 cases, if they ever had to learn it.Teachers and the circumstances in which a language is learned also play important roles,as does each learner's motivation for learning. If people learn a language because they need to use it professionally, they often learn it faster than people studying a language that has no direct use in their day-to-day life.Put simply,no language is easy Io learn well,though languages which are related to our first language are easier. Learning a completely different writing system is a huge challenge, but that does not necessarily make a language more difficult than another. In the end, it is impossible to say that there is one language that is the most difficult language in the world.41. According to the passage, who is likely to have the most difficulty learninga new language?A. A Korean person learning French.B. A Spanish person learning Portuguese.C. A German person learning English.D. A Chinese person learning Japanese.42. Which language do British embassy staff find most difficult to learn? .A. Japanese.B. Caucasian.C. Hungarian.D. Tabassaran.43. Which of the following is NOT mentioned as a factor affecting language learning?A. The amount of time spent studying the new language.B. The environment in which language learning takes place.C. The reasons a person has for learning the new language.D. The similarity between a person's first language and the new language.44. Why does the author believe there's no single hardest language?A. All languages are equally difficult to learn well.B. With enough effort, any language can be learned well.C. There is not enough evidence to make any final conclusion.D. People's background and learning situations determine which language is hardest.45. The writer is probably_____. A. a language learner B. a language teacher C. a newspaper journalistD. an embassy official第二节信息匹配(共5小题;毎小题2分,满分10分)阅读下列应用文及相关信息,并按照要求匹配信息。