解二元一次方程组计算题
- 格式:doc
- 大小:88.00 KB
- 文档页数:4
解方程组50题配完整解析1.解下列方程组.(1)(2).【解答】解:(1)方程组整理得:,②﹣①×2得:y=8,把y=8代入①得:x=17,则方程组的解为;(2)方程组整理得:,①×3﹣②×2得:5y=5,即y=1,把y=1代入①得:x=8,则方程组的解为.2.解方程组:①;②.【解答】解:①,①×3+②×2得:13x=52,解得:x=4,则y=3,故方程组的解为:;②,①+12×②得:x=3,则3+4y=14,解得:y=,故方程组的解为:.3.解方程组.(1).(2).【解答】解:(1),②﹣①得:x=1,把x=1代入①得:y=9,∴原方程组的解为:;(2),①×3得:6a+9b=6③,②+③得:10a=5,a=,把a=代入①得:b=,∴方程组的解为:.4.计算:(1)(2)【解答】解:(1),①×2﹣②得:5x=5,解得:x=1,把x=1代入②得:y=﹣2,所以方程组的解为:;(2),①﹣②×2得:y=1,把y=1代入①得:x=﹣3,所以方程组的解为:.5.解下列方程组:(1)(2).【解答】解:(1),①×5,得15x﹣20y=50,③②×3,得15x+18y=126,④④﹣③,得38y=76,解得y=2.把y=2代入①,得3x﹣4×2=10,x=6.所以原方程组的解为(2)原方程组变形为,由②,得x=9y﹣2,③把③代入①,得5(9y﹣2)+y=6,所以y=.把y=代入③,得x=9×﹣2=.所以原方程组的解是6.解方程组:【解答】解:由①得﹣x+7y=6③,由②得2x+y=3④,③×2+④,得:14y+y=15,解得:y=1,把y=1代入④,得:﹣x+7=6,解得:x=1,所以方程组的解为.7.解方程组:.【解答】解:原方程组可化为,①+②得:y=,把y的值代入①得:x=.所以此方程组的解是.或解:①代入②得到,2(5x+2)=2x+8,解得x=,把x=代入①可得y=,∴.8.解方程组:(1)(2)【解答】解:(1)①代入②,得:2(2y+7)+5y=﹣4,解得:y=﹣2,将y=﹣2代入①,得:x=﹣4+7=3,所以方程组的解为;(2)①×2+②,得:11x=11,解得:x=1,将x=1代入②,得:5+4y=3,解得:y=﹣,所以方程组的解为.9.解方程组(1)(2).【解答】解:(1),②﹣①得:8y=﹣8,解得:y=﹣1,把y=﹣1代入①得:x=1,则方程组的解为;(2)方程组整理得:,①﹣②得:4y=26,解得:y=,把y=代入①得:x=,则方程组的解为.10.计算:(1)(2).【解答】解:(1),把①代入②得:5x+4x﹣10=8,解得:x=2,把x=2代入①得:y=﹣1,则方程组的解为;(2),②×2﹣①得:7y=21,解得:y=3,把y=3代入②得:x=﹣14,则方程组的解为.11.解方程组:【解答】解:方程组整理得:,①×4﹣②×3得:7x=42,解得:x=6,把x=6代入①得:y=4,则方程组的解为.12.解方程组:(1)(2)【解答】解:(1),①代入②,得:5x﹣3(2x﹣1)=7,解得:x=﹣4,将x=﹣4代入②,得:y=﹣8﹣1=﹣9,所以方程组的解为;(2),①×2+②,得:15x=3,解得:x=,将x=代入②,得:+6y=13,解得:y=,所以方程组的解为.13.解方程组(1)(2)【解答】解:(1),①+②,得:3x=3,解得:x=1,将x=1代入①,得:1+y=2,解得:y=1,则方程组的解为;(2),①×8﹣②,得:y=17,解得:y=3,将y=3代入②,得:4x﹣9=﹣1,解得:x=2,则方程组的解为.14.解方程组(1)(2)【解答】解:(1),①×3+②得:10x=25,解得:x=2.5,把x=2.5代入②得:y=0.5,则方程组的解为;(2)方程组整理得:,①×4+②×11得:42x=15,解得:x=,把x=代入②得:y=﹣,则方程组的解为.15.解方程组:【解答】解:①+②得:9x﹣33=0x=把x=代入①,得y=∴方程组的解是16.解方程组【解答】解:方程组整理得:,①×3﹣②×2得:x=1,把x=1代入①得:y=﹣2,则方程组的解为.17.用适当方法解下列方程组.(1)(2)【解答】解:(1),①×2,得:6s﹣2t=10③,②+③,得:11s=22,解得:s=2,将s=2代入②,得:10+2t=12,解得:t=1,则方程组的解为;(2)原方程组整理可得,①×2,得:8x﹣2y=10③,②+③,得:11x=22,解得:x=2,将x=2代入②,得:6+2y=12,解得:y=3,则方程组的解为.18.解方程组:(1)(2)【解答】解:(1),②﹣①,得:3y=6,解得:y=2,将y=2代入①,得:x﹣2=﹣2,解得:x=0,则方程组的解为;(2)方程组整理可得,①+②,得:6x=18,解得:x=3,将x=3代入②,得:9+2y=10,解得:y=,则方程组的解为.19.解方程组:【解答】解:方程组整理成一般式可得:,①+②,得:﹣3x=3,解得:x=﹣1,将x=﹣1代入①,得:﹣5+y=0,解得:y=5,所以方程组的解为.20.用适当的方法解下列方程组:(1)(2)【解答】解:(1),①代入②,得:7x﹣6x=2,解得:x=2,将x=2代入①,得:y=6,所以方程组的解为;(2)方程组整理可得,②﹣①,得:y=2,将y=2代入①,得:3x﹣4=2,解得:x=2,所以方程组的解为.21.解二元一次方程组:(1)(2)【解答】解:(1),②×3﹣①,得:13y=﹣13,解得:y=﹣1,将y=﹣1代入①,得:3x+4=10,解得:x=2,∴方程组的解为;(2)原方程组整理可得,①﹣②,得:y=10,将y=10代入①,得:3x﹣10=8,解得:x=6,∴方程组的解为.22.解方程组:(1)(2)【解答】解:(1),①×2+②得:7x=14,解得:x=2,把x=2代入①得:y=﹣1,则方程组的解为;(2)方程组整理得:,①+②得:3x=7,解得:x=,把x=代入①得:y=﹣,则方程组的解为.23.解下列方程组:(1)(2)【解答】解:(1)整理,得:,②﹣①×6,得:19y=114,解得:y=6,将y=6代入①,得:x﹣12=﹣19,解得:x=﹣7,所以方程组的解为;(2)方程整理为,②×4﹣①×3,得:11y=﹣33,解得:y=﹣3,将y=﹣3代入①,得:4x﹣9=3,解得:x=3,所以方程组的解为.24.解方程组(1)(2)【解答】解:(1),①×2,得:2x﹣4y=2③,②﹣③,得:7y=14,解得:y=2,将y=2代入①,得:x﹣4=1,解得:x=5,所以方程组的解为;(2)方程组整理可得,②×4,得:24x+4y=60③,③﹣①,得:23x=46,解得:x=2,将x=2代入②,得:12+y=15,解得:y=3,所以方程组的解为.25.(1)(2)【解答】解:(1)方程组整理得:,①×2﹣②×3得:﹣m=﹣162,解得:m=162,把m=162代入①得:n=204,则方程组的解为;(2)方程组整理得:,①﹣②×6得:﹣11x=﹣55,解得:x=5,把x=5代入①得:y=1,则方程组的解为.26.解方程(1)(代入法)(2)【解答】解:(1),由②,得:y=3x+1③,将③代入①,得:x+2(3x+1)=9,解得:x=1,将x=1代入②,得:y=4,所以方程组的解为;(2)原方程组整理可得,①+②,得:4x=12,解得:x=3,将x=3代入①,得:3+4y=14,解得:y=,则方程组的解为.27.解方程:(1)(2)【解答】解:(1),①×2,得:2x+4y=0③,②﹣③,得:x=6,将x=6代入①,得:6+2y=0,解得:y=﹣3,所以方程组的解为;(2)方程组整理可得,①+②,得:10x=30,解得:x=3,①﹣②,得:6y=0,解得:y=0,则方程组的解为.28.解下列二元一次方程组(1)(2)【解答】解:(1),①+②得:5x=10,解得:x=2,把x=2代入①得:y=3,则方程组的解为;(2),①×3+②得:10a=5,解得:a=,把a=代入①得:b=,则方程组的解为.29.解下列方程组:(1)(2)【解答】解:(1),由②得:x=y+4③代入①得3(y+4)+4y=19,解得:y=1,把y=1代入③得x=5,则方程组的解为;(2)方程组整理得:,①+②×4得:﹣37y=74,解得:y=﹣2,把y=﹣2代入①得:x=﹣,则方程组的解为.30.解下列方程组:(1)用代入消元法解;(2)用加减消元法解.【解答】解:(1),由①,得:a=b+1③,把③代入②,得:3(b+1)+2b=8,解得:b=1,则a=b+1=2,∴方程组的解为;(2),①×3,得:9m+12n=48③,②×2,得:10m﹣12n=66④,③+④,得:19m=114,解得:m=6,将m=6代入①,得:18+4n=16,解得:n=﹣,所以方程组的解为.31.解方程组:.【解答】解:方程组整理得:,①+②得:8x=24,解得:x=3,把x=3代入②得:y=﹣5,则方程组的解为.32.解下列方程组①;②.【解答】解:①化简方程组得:,(1)×3﹣(2)×2得:11m=55,m=5.将m=5代入(1)式得:25﹣2n=11,n=7.故方程组的解为;②化简方程组得:,(1)×4+(2)化简得:30y=22,y=.将y=代入第一个方程中得:﹣x+7×=4,x=.故方程组的解为.33.解下列方程组:(1);(2);(3);(4).【解答】解:(1)由①得x=y③,把③代入②,得y﹣3y=1,解得y=3,把y=3代入③,得x=5.即方程组的解为;(2)把①代入②,得4(y﹣1)+y﹣1=5,解得y=2,把y=2代入①,得x=4.即方程组的解为;(3)原方程组整理得,把②代入①,得x=,把x=代入②,得y=,即方程组的解为;(4)原方程组整理得,把①代入②,得﹣14n﹣6﹣5n=13,解得n=﹣1,把n=﹣1代入①,得m=4.即方程组的解为.34.用合适的方法解下列方程组(1)(2)(3)(4)==4.【解答】解:(1)把①代入②得,3x+2(40﹣2x)=22,解得x=58,把x=58代入①得,y=40﹣2×58=﹣76,故原方程组的解为;(2)①×2﹣②得,8y=9,解得y=,把y=代入①得,2x+3×=5,解得,x=,故原方程组的解为;(3)①+②×5得,21x=0,解得,x=0,把x=0代入①得,5y=15,解得y=3,故原方程组的解为;(4)原方程可化成方程组,①+②×3得,﹣7y=56,解得,y=﹣8,把y=﹣8代入②得,﹣x+24=12,解得,x=12.故原方程组的解为.35.计算解下列方程组(1)(2)(3).【解答】解:(1)①×2﹣②,得3y=15,解得y=5,将y=5代入①,得x=0.5,故原方程组的解是;(2)化简①,得﹣4x+3y=5③②+③,得﹣2x=6,得x=﹣3,将x=﹣3代入②,得y=﹣,故原方程组的解是;(3)将③代入①,得5y+z=12④将③代入②,得6y+5z=22⑤④×5﹣⑤,得19y=38,解得,y=2,将y=2代入③,得x=8,将x=8,y=2代入①,得z=2,故原方程组的解是.36.解下列方程组(1)(2)(3)【解答】解:(1),由①得:x=﹣2y③,将③代入②,得:3(﹣2y)+4y=6,解得:y=﹣3,将y=﹣3代入③得:x=6.所以方程组的解为;(2),①×2得:2x﹣4y=10③,②﹣③得:7y=﹣14.解得:y=﹣2,把y=﹣2代入①,得x+4=5,解得:x=1.所以原方程组的解是;(3),①+②得2y=16,即y=8,①+③得2x=12,即x=6,②+③得2z=6,即z=3.故原方程组的解为.37.解方程组:(1)(2).【解答】解:(1)把①代入②得:3(3+2y)﹣8y=13,解得:y=﹣2,把y=﹣2代入①得:x=3﹣4=﹣1,所以原方程组的解为;(2)①+②得:2x+3y=21④,③﹣①得:2x﹣2y=﹣2⑤,由④和⑤组成一元二元一次方程组,解得:,把代入①得:++z=12,解得:z=,所以原方程组的解为.38.解下列方程组:(1);(2);(3);(4).【解答】解:(1)将①代入②,得5x+2x﹣3=11解得,x=2将x=2代入②,得y=1故原方程组的解是;(2)②×3﹣①,得11y=22解得,y=2将y=2代入①,得x=1故原方程组的解是;(3)整理,得①+②×5,得14y=14解得,y=1将y=1代入②,得x=2故原方程组的解是;(4)①+②×2,得3x+8y=13④①×2+②,得4x+3y=25⑤④×4﹣⑤×3,得23y=﹣23解得,y=﹣1将y=﹣1代入④,得x=7将x=7,y=﹣1代入①,得z=3故原方程组的解是.39.解方程(1)(2)(3)(4).【解答】解:(1),①﹣②得y=1,把y=1代入②得x+2=1,解得x=﹣1.故方程组的解为.(2),①×4+②×3得17x=34,解得x=2,把x=2代入②得6+4y=2,解得y=﹣1.故方程组的解为.(3),②﹣①得x=2,把x=2代入②得12+0.25y=13,解得y=4.故方程组的解为.(4),①+②+③得2(x+y+z)=38,解得x+y+z=19④,④﹣①得z=3,④﹣②得x=7,④﹣③得y=9.故方程组的解为.40.解下列方程组:(1)(2)(3)(4).【解答】解:(1)可化为①﹣②得3y=4,y=;代入①得﹣y=4,y=;∴方程组的解为:;(2)方程组可化为,①×3﹣②×2得m=18,代入①得3×18+2n=78,n=12;方程组的解为:;(3)方程组可化为,把①变形代入②得9(36﹣5x)﹣x=2,x=7;代入①得35+y=36,y=1;方程组的解为:;(4)原方程组可化为,①﹣②得﹣6y=3,y=﹣;③﹣①×2得﹣6y﹣7z=﹣4,即﹣6×(﹣)﹣7z=﹣4,z=1;代入①得x+2×(﹣)+1=2,x=2.方程组的解为:.41.解方程组:(1)(2)(3).【解答】解:(1)由得,①﹣②得2x=4,∴x=2,把x=2代入①得,3×2﹣2y=0,∴y=3,∴;(2),原方程组可化为,①×6﹣②×2得,4y=8,∴y=2,把y=2代入①得,8x+9×2=6,∴x=﹣,∴;(3),①+②得,4x+y=16④,②×2+③得,3x+5y=29⑤,④×5﹣⑤得,17x=51,∴x=3,把x=3代入④得,y=4,把x=3和y=4代入①得,3×3﹣4+z=10,∴z=5,∴.42.解方程组(1)(2)(3).【解答】解:(1),由①得:x=3y+5③,把③代入②得:6y+10+5y=21,即y=1,把y=1代入③得:x=8,则方程组的解为;(2),①×3+②×2得:13x=52,即x=4,把x=4代入①得:y=3,则方程组的解为;(3),由①得:x=1,②+③得:x+2z=﹣1,把x=1代入得:z=﹣1,把x=1,z=﹣1代入③得:y=2,则方程组的解为.43.解方程组:(1)(2)(3).【解答】解:(1),由②得:x=2y+4③,将③代入①得:11y=﹣11,解得:y=﹣1,将y=﹣1代入③得:x=2,则原方程组的解是;(2),②﹣①×2得:13y=65,即y=5,将y=5代入①得:x=2,则原方程组的解是;(3),将①代入②得:4x﹣y=5④,将①代入③得:y=3,将y=3代入④得:x=2,将x=2,y=3代入①得:z=5,则原方程组的解是.44.解方程组:(1)(2)(3)(4).【解答】解:(1)①+②得:3x=3,解得:x=1,把x=1代入①得:1﹣y=1,解得:y=0,所以原方程组的解为:;(2)①×3+②×2得:13x=52,解得:x=4,把x=4代入①得:12﹣2y=6,解得:y=3,所以原方程组的解为:;(3)整理得:①﹣②得:﹣7y=﹣7,解得:y=1,把y=1代入①得:3x﹣2=﹣8,解得:x=﹣2,所以原方程组的解为:;(4)①+②得:3x+3y=15,x+y=5④,③﹣②得:x+3y=9⑤,由④和⑤组成一个二元一次方程组,解得:x=3,y=2,把x=3,y=2代入①得:z=1,所以原方程组的解为:.45.解方程组:(1);(2);(3).【解答】解:(1)①+②得:3x=9解得:x=3把x=3代入①得:y=﹣1所以;(2)原方程可化为①×4﹣②×3得:7x=42解得:x=6把x=6代入①得:y=4所以;(3)把③变为z=2﹣x把z代入上两式得:两式相加得:2y=4解得:y=2把y=2代入①得:x=﹣1,z=3所以.46.用合适的方法解下列方程组:(1)(2)(3)(4)(5)【解答】解:(1)把①代入②得,3x+2(40﹣2x)=22,解得x=58,把x=58代入①得,y=40﹣2×58=﹣76,故原方程组的解为;(2)①×2﹣②得,8y=9,解得y=,把y=代入①得,2x+3×=5,解得,x=,故原方程组的解为;(3)①+②×5得,21x=0,解得,x=0,把x=0代入①得,5y=15,解得y=3,故原方程组的解为;(4)原方程可化成方程组,①+②×3得,﹣7y=56,解得,y=﹣8,把y=﹣8代入②得,﹣x+24=12,解得,x=12.故原方程组的解为;(5)把②代入③得,5x+3(12x﹣10)+2z=17,即41x+2z=47…④,①+④×2得,85x=85,解得,x=1,把x=1代入①得,3﹣4z=﹣9,解得,z=3,把x=1代入②得,y=12﹣10=2,故原方程组的解为.47.解方程组:(1)(2)(3)(4).【解答】解:(1),①×3﹣②得:﹣16y=﹣160,解得:y=10,把y=10代入①得:x=10,则原方程组的解是:;(2),①+②得;x+y=③,①﹣③得:2008x=,解得:x=,把x=代入③得:y=,则原方程组的解是:;(3)①4x﹣6y=13③,②﹣③得:3y=﹣6,解得:y=﹣2,把y=﹣2代入②得:x=,则原方程组的解为:;(4)由①得,y=1﹣x把y=1﹣x代入②得,1﹣x+z=6④④+③得2z=10,解得z=5,把z=5代入②得,y=1,把y=1代入②得,x=0,则原方程组的解为.48.解下列方程组:(1)(2)(3)(4).【解答】解:(1)②﹣①×2,得3x=6,解得,x=2,将x=2代入①,得y=﹣1,故原方程组的解是;(2)①×9+②,得x=9,将x=9代入①,得y=6,故原方程组的解是;(3)②﹣①,得y=1,将y=1代入①,得x=1故原方程组的解是;(4)②+③×3,得5x﹣7y=19④①×5﹣④,得y=﹣2,将y=﹣2代入①,得x=1,将x=1,y=﹣2代入③,得z=﹣1故原方程组的解是.49.(1);(2);(3);(4).【解答】解:(1)把①变形后代入②得:5(3x﹣7)﹣x=7,x=3;代入①得:y=2;即方程组的解为;(2)原方程化简为①×5﹣②得:y=﹣988代入①得:x﹣988=600,x=1588.原方程组的解为;(3)在中,把两方程去分母、去括号得:①+②×5得:14y﹣28=0,y=2;代入②得:x=﹣2.原方程组的解为;(4)在③×3﹣②得:7x﹣y=35,代入①得:5x+3(7x﹣35)=25,x=5;代入①得:25+3y=25,y=0;代入②得:2×5﹣3z=19,z=﹣3.原方程组的解为.50.解方程组:①;②;③.【解答】解:①方程组整理得:,①+②×5得:7x=﹣7,解得:x=﹣1,把x=﹣1代入②得:y=3,则方程组的解为;②方程组整理得:得,①×6+②得:19y=114,解得:y=6,把y=6代入①得:x=﹣7,则方程组的解为;③,①+②得:x+z=1④,③+④得:2x=5,解得:x=2.5,把x=2.5代入④得:z=﹣1.5,把x=2.5,z=﹣1.5代入①得:y=1,则方程组的解为.。
二元一次方程组计算50题二元一次方程组计算50题1.解方程组:.2.解方程组:.3.解方程组:.4.解方程组:.5.解方程组:.6.解方程组:.7.解方程组:8.解方程组:.9.解方程组:.10.解方程组:.11.解方程组:.12.解方程组:.13.解方程组:.14.解方程组:.15.解方程组:.二元一次方程组计算50题16.解方程组:.17.解方程组:.18.解方程组:19.解方程组:.20.解方程组:.21.解方程组:22.解方程组:.23.解方程组:.24.解方程组:.25.解方程组:.26.解方程组:.27.解方程组:.28.解方程组:.29.解方程组:.30.解方程组:31.解方程组:.32.解方程组:.二元一次方程组计算50题33.解方程组:.34.解方程组:35.解方程组:.36.解方程组:.37.解方程组:.38.解方程组:.39.解方程组:.40.解方程组:.41.解方程组:.42.解方程组:.43.解方程组:.44.解方程组:.45.解方程组:.46.解方程组:⎪⎩⎪⎨⎧=--+-=+--3y x 22y x 31214y x 3y x 2)()()(47.解方程组:⎪⎪⎩⎪⎪⎨⎧=---=+--6131y 23x 042y 31x二元一次方程组计算50题48.解方程组:.49.解方程组:.50.解方程组:4y x 610y 2x 32y x ++=-=+二元一次方程组计算50题参考答案与解析1.解方程组:.解答:解:,②﹣①得:a=1,将a=1代入①得:2+b=3,即b=1,则方程组的解为.2.解方程组:.解答:解:,①×3+②得:5x=﹣10,即x=﹣2,将x=﹣2代入①得:y=1,则方程组的解为.3.解方程组:.解答:解:,由②得x=2y﹣4③,把③代入①,得y=3,把y=3代入③,得x=2,∴原方程组的解为.4.解方程组:.解答:解:,①+②得:3x=6,即x=2,将x=2代入①得:y=2,则方程组的解为.5.解方程组:.解答:解:①+②得:5x=5,即x=1,将x=1代入①得:y=1,则方程组的解为.6.解方程组:.解答:解:,①×3﹣②×2得:13y=14,即y=,将y=代入①得:x=,则方程组的解为.7.解方程组:解答:解:①×2﹣②,得3x=3,x=1.代入②,得1+6y=7,y=1.所以原方程组的解为.8.解方程组:.解答:解:,①×2得,4x+6y=28③,③﹣②得,11y=22,解得y=2,把y=2代入①得,2x+3×2=14,解得x=4,所以,方程组的解是.9.解方程组:.解答:解:,由②得,x=﹣2y③,③代入①得,﹣2y+3y=4,解得y=4,把y=4代入③得,x=﹣2×4=﹣8,所以,方程组的解是.10.解方程组:.解答:解:,①×4﹣②得:13y=13,即y=1,把y=1代入①得:x=﹣6,则方程组的解为.11.解方程组:.解答:解:,由②得:x=5y﹣2③,③代入②得:15y﹣6﹣2y=﹣19,解得:y=﹣1,把y=﹣1代入③得:x=﹣7,12.解方程组:.解答:解:把①代入②,得﹣5x=﹣25,x=5.代入①,得y=﹣2.则方程组的解.13.解方程组:.解答:解:,①+②得,6x=3,x=;x=代入①得y=1,方程组的解为.14.解方程组:.解答:解:,①﹣②×3得:﹣x=﹣8,即x=8,将x=8代入②得:y=﹣11,则方程组的解为.15.解方程组:.解答:解:,①×2﹣②得,﹣x=﹣3,即x=3,代入①得,3﹣2y=5,解得y=﹣1,16.解方程组:.解答:解:由②得:x=2y+5③,把③代入①得:2(2y+5)﹣y=7,去括号得:4y+10﹣y=7,移项合并得:3y=﹣3,即y=﹣1,把y=﹣1代入③得:x=﹣2+5=3,则方程组的解为.17.解方程组:.解答:解:②×4﹣①得,7x=5,解得,x=,把x=,代入②3×﹣y=2,解得,y=,所以原方程组的解为:18.解方程组:解答:解:由②,得y=2x+5③,代入①,得4x+3(2x+5)=5,解得x=﹣1.将x=﹣1代入③,得y=3.故原方程组的解为.19.解方程组:.解答:解:,②×2得,x﹣2y=﹣8③,①﹣③得,5y=15,解得y=3,把y=3代入①得,x+3×3=7,解得x=﹣2,所以,方程组的解是.20.解方程组:.解答:解:,①×2+②×3得:22x=﹣33,解得:x=﹣,将x=﹣代入①得:﹣3+3y=0,解得:y=1,则方程组的解为.21.解方程组:解答:解:(1)×2﹣(2)得,15b=5,b=,代入(1)得,2a+3×=2,a=.故原方程组的解为.22.解方程组:.解答:解:,①×2+②×3得:13x=13,即x=1,将x=1代入①得:2+3y=8,即y=2,则方程组的解为.23.解方程组:.解答:解:,①×3得,9x﹣6y=3③,②×2得,4x+6y=﹣14④,③+④得,13x=﹣11,解得x=﹣,把x=﹣代入①得,3×(﹣)﹣2y=1,解得y=﹣,所以,方程组的解是.24.解方程组:.解答:解:,①×3﹣②得:7y=7,即y=1,将y=1代入①得:x+3=5,即x=2,则方程组的解为.25.解方程组:.解答:解:,②×2﹣①得:5b=10,即b=2,将b=2代入②得:a=5,则方程组的解为.26.解方程组:.解答:解:,①+②得:6x=24,即x=4,将x=4代入②得:y=﹣3,则方程组的解为.27.解方程组:.解答:解:,将①代入②得:3y=8﹣2(3y﹣5),解得:y=2,将y=2代入①得:x=1,则方程组的解为.28.解方程组:.解答:解:,由①得:x=y+3③,把③代入②得:3(y+3)﹣8y=19解这个方程得:y=﹣2把y=﹣2代入③,得:x=1∴这个方程组的解是.29.解方程组:.解答:解:,①×2+②得:13x=91,即x=7,将x=7代入①得:35﹣2y=36,即y=﹣,则方程组的解为.30.解方程组:解答:解:原方程组可化为,①﹣②得,3y=﹣6,解得y=﹣2,把y=﹣2代入①得,3x+4=4,解得x=0.故原方程组的解为.31.解方程组:.解答:解:原方程组化为:,把②代入①得:x+3(2x﹣3)=﹣2,解得:x=1,把x=1代入②得:y=2×1﹣3=﹣1.∴.32.解方程组:.解答:解:,①﹣②得,0.4x=﹣1.2,解得x=﹣3,把x=﹣3代入①得,0.2×(﹣3)﹣0.4y=2.3,解得y=﹣,所以,方程组的解是.33.解方程组:.解答:解:原方程组可化为:,①+②,得3x=﹣3,解得x=﹣1.把x=﹣1代入①,得y=2.所以原方程组的解是.34.解方程组:解答:解:原方程组可化为,解得.35.解方程组:.解答:解:将该二元一次方程组化简得:①×2+②得:x=1,将x=1代入①式得:y=1.∴.36.解方程组.解答:解:∵①+②得:4(x+2)=44,解得:x=9,②﹣①得:6(y﹣1)=17.4,解得:y=3.9,∴原方程组的解是:.37.解方程组:.解答:解:,由①得,y=4x﹣5③,③代入②得,3x+2(4x﹣5)=11,解得x=,把x=代入③得,y=4×﹣5=,所以,方程组的解是.38.解方程组:.解答:解:方程组整理得:,②×2﹣①得:5x=10,即x=2,将x=2代入①得:y=1,则方程组的解为.39.解方程组:.解答:解:化简方程组得由①×2+②得11x=22,解得x=2,把x=2代入①得y=3,所以方程组的解为.40.解方程组:.解答:解:整理得:,②﹣①得:8y=﹣24,y=﹣3,把y=﹣3代入①得:4y+15=30,即x=﹣即方程组的解是.41.解方程组:.解答:解:方程组整理得:,②×2﹣①×3得:15y=﹣50,即y=﹣,将y=﹣代入①得:8x+30=20,即x=﹣,则方程组的解为.42.解方程组:.解答:解:方程组可化为,由②得,y=x﹣3③,③代入①得,3x+2(x﹣3)=14,解得x=4,把x=4代入③得,y=4﹣3=1,所以,方程组的解是.43.解方程组:.解答:解:方程组整理得:①+②得x+y=3③,把③代入①,得x﹣y=1④,③+④得:x=2,③﹣④得:y=1,则原方程组的解是.44.解方程组:.解答:解:将原方程组化简,得,②×2﹣①,得y=1.把y=1代入②,得2x+3=﹣3,解得x=﹣3.所以原方程组的解为.45.解方程组:.解答:解:方程组可化为,由①得,y=15﹣2x ③,③代入②得,3x ﹣8(15﹣2x )=﹣6,解得x=6,把x=6代入③得,y=15﹣2×6=3,所以,方程组的解是.46.解方程组:⎪⎩⎪⎨⎧=--+-=+--3y x 22y x 31214y x 3y x 2)()()(解答:47.解方程组:⎪⎪⎩⎪⎪⎨⎧=---=+--6131y 23x 042y 31x 解答:48.解方程组:.解答:解:设=a ,=b ,方程组变形得:,①+②×3得:8a=4,即a=0.5,将a=0.5代入②得:b=0.25,即=0.5,=0.25,解得:x=2,y=3,经检验都为原方程的解.49.解方程组:.解答:解:方程组整理得:,①+②×3得:11x=11,即x=1,将x=1代入②得:y=1,则方程组的解为.50.解方程组:.解答:解:根据题意,得,整理得,由(1)﹣(2),并解得x=﹣(3).把(3)代入(1),解得y=﹣,所以原方程组的解是。
二元一次方程组计算题20道带答案1.求解下列二元一次方程组:–3x - 2y = 7–2x + 4y = 10答案: x = 3, y = -12.解方程组:–2x + 5y = 11–3x - 7y = 8答案: x = 3, y = 13.求解二元方程组:–x + 2y = 9–3x - y = 3答案: x = 3, y = 34.解下列方程组:–4x + 2y = 10–2x - y = 9答案: x = 2, y = -55.解方程组:–5x - 3y = 4–x + 4y = 7答案: x = 2, y = 16.求解以下方程组:–8x + 3y = 21–2x - 5y = 7答案: x = 3, y = -37.解二元一次方程组:–3x + 2y = 13–4x - y = 6答案: x = 2, y = 58.解下列方程组:–7x + 3y = 17–5x - 2y = 11答案: x = 2, y = 39.求解二元方程组:–2x + 3y = 10–3x - y = 1答案: x = 2, y = 210.解方程组:–6x - 4y = 8–3x + 7y = 10答案: x = 2, y = 111.求解下列二元一次方程组:–5x + 2y = 11–x - 3y = 4答案: x = 2, y = 112.解方程组:–4x - 2y = 8–2x + 5y = 9答案: x = 2, y = 113.求解二元方程组:–x + 4y = 7–3x - y = 4答案: x = 2, y = 114.解下列方程组:–2x + 3y = 13–4x - y = 3答案: x = 2, y = 315.解方程组:–5x + 2y = 14–2x - 3y = 4答案: x = 2, y = 316.求解以下方程组:–3x - y = 4–5x + 2y = 11答案: x = 1, y = 117.解二元一次方程组:–4x + y = 9–x - 5y = -5答案: x = 2, y = 118.解下列方程组:–3x + 5y = 19–7x - 2y = 11答案: x = 2, y = 319.求解二元方程组:–2x - y = 1–3x + 4y = 11答案: x = 2, y = 320.解方程组:–4x - 3y = 5–x + 6y = 10答案: x = 2, y = 2以上为二元一次方程组计算题,每道题都已附有详细答案。
计算题)二元一次方程组练习题-直接打印版1.2x+3y=5,3x+4y=16,消元法得到y=-2x+5,代入第二个方程得到3x+4(-2x+5)=16,解得x=4,代入y=-2x+5得到y=-3.2.3y-2x=10,5y+2x=6,消元法得到y=-2x+5/3,代入第二个方程得到10x+15=6,解得x=-9/5,代入y=-2x+5/3得到y=23/15.3.2x-7y=15,5x-6y=33,消元法得到y=(-15+2x)/7,代入第二个方程得到5x-6((-15+2x)/7)=33,解得x=12,代入y=(-15+2x)/7得到y=-3.4.6s=27-5t,3s+4t=18,代入第一个方程得到18-24t/5+4t=18,解得t=5,代入第一个方程得到s=3.5.3p+7q=9,-7p=5,代入得到p=-5/7,代入第一个方程得到q=38/49.6.2x-y=4,4q=6,代入得到y=2x-4,代入第二个方程得到x=3/4.7.3m+2n=2,2m-n=-2,代入得到m=-2,代入第一个方程得到n=7.8.5x-9y=4,4a-5b=19,代入得到x=(4+9y)/5,代入第二个方程得到4a-5((-4+9y)/5)=19,解得y=3,代入x=(4+9y)/5得到x=7.9.2x-3y=-5,3x=2y,代入得到x=2,代入第二个方程得到y=3.10.2x-y/2+1=18,2x-y/2=17,2x-y/2=3,3x=2y,代入得到x=2,代入第二个方程得到y=3.11.2m+3n=5,4m-2n=1,代入得到m=1,代入第一个方程得到n=-1.12.6x+5y=25,3x+2y=10,代入得到x=2,代入第二个方程得到y=1.13.2x+y=1.5,无法求解。
14.3.2x+2.4y=5.2,2x/3+y/2=5/6,代入得到y=5-2x/3,代入第二个方程得到x=6/5,代入第一个方程得到y=16/15.15.2(x-1)+3(x-y)=6,5x-3y=5,3m-n=1,n=16,代入得到m=15.16.5x-2y=3,x-y/6=11/6,代入得到x=7/2,代入第一个方程得到y=-11/4.17.x+y/2=1,x-y/2=17/2,代入得到x=9,代入第一个方程得到y=-8.请用X表示Y:1.2x+(4-2x)=4,解得x=1,代入得到y=2.2.2x-(5-y)=5,解得x=5-y/2,代入得到y=10.3.(6-x)-x=6,解得x=3,代入得到y=-3.4.2(7-y)-x=7,解得x=12-2y,代入得到y=-5/3.5.3x+2(6-x)=-9,解得x=-12,代入得到y=27.6.x+y=5,代入得到2x+2(5-x)=10,解得x=3,代入得到y=2.7.2x-2y=12,代入得到x+y=6,解得x=3-y,代入得到y=1.8.x=2y/3,代入得到3(2y/3)=2y,解得y=0,代入得到x=0.9.x=3y/2,代入得到4(3y/2)=6y,解得y=0,代入得到x=0.10.3x+2y=-9,代入得到2y=-9-3x,解得y=(-9-3x)/2,代入得到x=3.请用Y表示X:1.2x+Y=4,解得Y=4-2x。
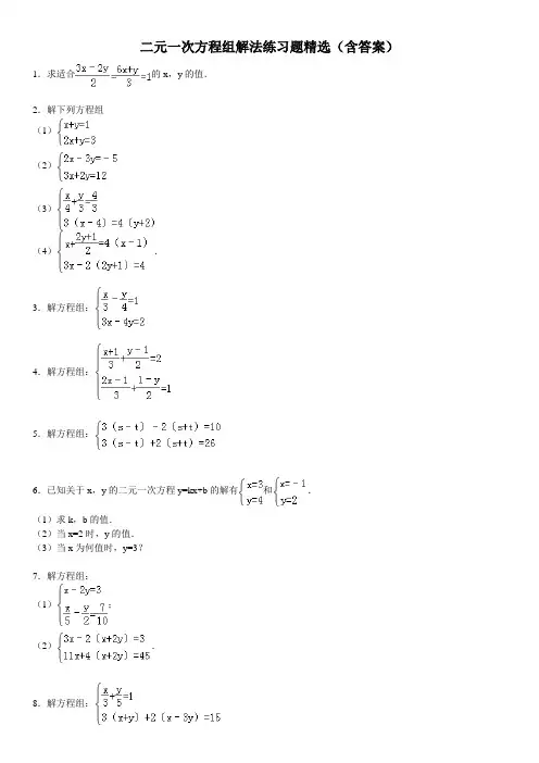
二元一次方程组解法练习题精选(含答案)1.求适合的x,y的值.2.解下列方程组(1)(2)(3)(4).3.解方程组:4.解方程组:5.解方程组:6.已知关于x,y的二元一次方程y=kx+b的解有和.(1)求k,b的值.(2)当x=2时,y的值.(3)当x为何值时,y=3?7.解方程组:(1);(2).8.解方程组:9.解方程组:10.解下列方程组:(1)(2)11.解方程组:(1)(2)12.解二元一次方程组:(1);(2).13.在解方程组时,由于粗心,甲看错了方程组中的a,而得解为,乙看错了方程组中的b,而得解为.(1)甲把a看成了什么,乙把b看成了什么?(2)求出原方程组的正确解.14.15.解下列方程组:(1);(2).16.解下列方程组:(1)(2)第二十六章《二次函数》检测试题1,(2008年芜湖市)函数2y ax b y ax bx c =+=++和在同一直角坐标系内的图象大致是 ( )2,在一定条件下,若物体运动的路程s (米)与时间t (秒)的关系式为s =5t 2+2t ,则当t =4时,该物体所经过的路程为( )3,已知二次函数y =ax 2+bx +c (a ≠0)的图象如图2所示,给出以下结论:① a +b +c <0;② a -b +c <0;③ b +2a <0;④ abc >0 .其中所有正确结论的序号是( )A. ③④B. ②③C. ①④D. ①②③4,二次函数y =ax 2+bx +c 的图象如图3所示,若M =4a +2b +c ,N =a -b +c ,P =4a +2b ,则( ) A.M >0,N >0,P >0 B. M >0,N <0,P >0 C. M <0,N >0,P >0 D. M <0,N >0,P <0 5,如果反比例函数y =kx的图象如图4所示,那么二次函数y =kx 2-k 2x -1的图象大致为( )6y所对应的函数值依次为:20,56,110,182,274,380,506,650.其中有一个值不正确,这个不正确的值是()A. 506B.380C.274D.187,二次函数y =x 2的图象向上平移2个单位,得到新的图象的二次函数表达式是( )A. y =x 2-2B. y =(x -2)2C. y =x 2+2D. y =(x +2)28如图6,小敏在今年的校运动会跳远比赛中跳出了满意一跳,函数h =3.5t -4.9t 2(t 的单位:s ,h 的单位:图3 图4B . 图5 图1m )可以描述他跳跃时重心高度的变化,则他起跳后到重心最高时所用的时间是( )A.0.71sB.0.70sC.0.63sD.0.36s9,如果将二次函数y =2x 2的图象沿y 轴向上平移1个单位,那么所得图象的函数解析式是 .10,平移抛物线y =x 2+2x -8,使它经过原点,写出平移后抛物线的一个解析式______ . 11,若二次函数y =x 2-4x +c 的图象与x 轴没有交点,其中c 为整数,则c = 12,二次函数y =ax 2+bx +c 的图像如图7所示,则点A (a ,b )在第___象限.13,已知抛物线y =x 2-6x +5的部分图象如图8,则抛物线的对称轴为直线x = ,满足y <0的x 的取值范围是 .14,已知一抛物线与x 轴的交点是)0,2( A 、B (1,0),且经过点C (2,8)。
二元一次方程组解法练习题精选(含答案) 二元一次方程组解法练题精选(含答案)一.解答题(共16小题)1.求适合 $3x-2y=2$ 和 $6x+y=3$ 的 $x$,$y$ 的值。
解答:由 $(1)\times2$ 得:$3x-2y=2$(3),由$(2)\times3$ 得:$6x+y=3$(4),$(3)\times2$ 得:$6x-4y=4$(5),$(5)-(4)$ 得:$y=-\frac{1}{2}$,把 $y$ 的值代入 $(3)$ 得:$x=\frac{1}{2}$,故原方程组的解为$(x,y)=(\frac{1}{2},-\frac{1}{2})$。
2.解下列方程组:begin{cases} \frac{x}{2}+\frac{y}{3}=1 \\\frac{x}{3}+\frac{y}{2}=2 \end{cases}$$解答:由题意得:$\frac{x}{2}+\frac{y}{3}=1$(1),$\frac{x}{3}+\frac{y}{2}=2$(2),先把两方程变形(去分母),得到一组新的方程,然后在用加减消元法解二元一次方程组。
把 $(1)\times3$ 减去 $(2)\times2$,得到 $x=-1$,把$x=-1$ 代入 $(1)$,得到 $y=6$,故原方程组的解为 $(x,y)=(-1,6)$。
3.解方程组:begin{cases} 3x+2y=7 \\ 2x+3y=8 \end{cases}$$解答:把两方程相加得到 $5x+5y=15$,即 $x+y=3$,把$x+y=3$ 代入其中一个方程,如 $(1)$,得到 $x=-1$,再把$x=-1$ 代入 $(1)$ 或 $(2)$ 中的一个方程,如 $(1)$,得到$y=4$,故原方程组的解为 $(x,y)=(-1,4)$。
4.解方程组:begin{cases} x+y=5 \\ 2x-y=4 \end{cases}$$解答:把两方程相加得到 $3x=9$,即 $x=3$,把$x=3$ 代入其中一个方程,如 $(1)$,得到 $y=2$,再把 $x=3$,$y=2$ 代入原方程组检验,发现符合,故原方程组的解为$(x,y)=(3,2)$。
二元一次方程组解法计算题一.解答题(共16小题)1.求适合的x,y的值.2.解下列方程组.6.已知关于x,y的二元一次方程y=kx+b 的解有和.(1)求k,b的值.(2)当x=2时,y的值.(3)当x为何值时,y=3?7.解方程组:(1);(2).8.解方程组:9.解方程组:10.解下列方程组:12.解二元一次方程组:;.15.解下列方程组:(1)(2).16.解下列方程组:(1)(2)二元一次方程组解法练习题精选(含答案)参考答案与试题解析一.解答题(共16小题)1.求适合的x,y的值.考点:解二元一次方程组.分析:先把两方程变形(去分母),得到一组新的方程,然后在用加减消元法消去未知数x,求出y的值,继而求出x的值.解答:解:由题意得:,由(1)×2得:3x﹣2y=2(3),由(2)×3得:6x+y=3(4),(3)×2得:6x﹣4y=4(5),(5)﹣(4)得:y=﹣,把y的值代入(3)得:x=,∴.点评:本题考查了二元一次方程组的解法,主要运用了加减消元法和代入法.2.解下列方程组(1)(2)(3)(4).考点:解二元一次方程组.分析:(1)(2)用代入消元法或加减消元法均可;(3)(4)应先去分母、去括号化简方程组,再进一步采用适宜的方法求解.解答:解:(1)①﹣②得,﹣x=﹣2,解得x=2,把x=2代入①得,2+y=1,解得y=﹣1.故原方程组的解为.(2)①×3﹣②×2得,﹣13y=﹣39,解得,y=3,把y=3代入①得,2x﹣3×3=﹣5,解得x=2.故原方程组的解为.(3)原方程组可化为,①+②得,6x=36,x=6,①﹣②得,8y=﹣4,y=﹣.所以原方程组的解为.(4)原方程组可化为:,①×2+②得,x=,把x=代入②得,3×﹣4y=6,y=﹣.所以原方程组的解为.点评:利用消元法解方程组,要根据未知数的系数特点选择代入法还是加减法:①相同未知数的系数相同或互为相反数时,宜用加减法;②其中一个未知数的系数为1时,宜用代入法.3.解方程组:考点:解二元一次方程组.专题:计算题.分析:先化简方程组,再进一步根据方程组的特点选用相应的方法:用加减法.解答:解:原方程组可化为,①×4﹣②×3,得7x=42,解得x=6.把x=6代入①,得y=4.所以方程组的解为.点评:注意:二元一次方程组无论多复杂,解二元一次方程组的基本思想都是消元.消元的方法有代入法和加减法.4.解方程组:考点:解二元一次方程组.专题:计算题.分析:把原方程组化简后,观察形式,选用合适的解法,此题用加减法求解比较简单.解答:解:(1)原方程组化为,①+②得:6x=18,∴x=3.代入①得:y=.所以原方程组的解为.点评:要注意:两个二元一次方程中同一未知数的系数相反或相等时,把这两个方程的两边相加或相减,就能消去这个未知数,得到一个一元一次方程,这种方法叫做加减消元法.本题适合用此法.5.解方程组:考点:解二元一次方程组.专题:计算题;换元法.分析:本题用加减消元法即可或运用换元法求解.解答:解:,①﹣②,得s+t=4,①+②,得s﹣t=6,即,解得.所以方程组的解为.点评:此题较简单,要熟练解方程组的基本方法:代入消元法和加减消元法.6.已知关于x,y的二元一次方程y=kx+b的解有和.(1)求k,b的值.(2)当x=2时,y的值.(3)当x为何值时,y=3?考点:解二元一次方程组.专题:计算题.分析:(1)将两组x,y的值代入方程得出关于k、b的二元一次方程组,再运用加减消元法求出k、b的值.(2)将(1)中的k、b代入,再把x=2代入化简即可得出y的值.(3)将(1)中的k、b和y=3代入方程化简即可得出x的值.解答:解:(1)依题意得:①﹣②得:2=4k,所以k=,所以b=.(2)由y=x+,把x=2代入,得y=.(3)由y=x+把y=3代入,得x=1.点评:本题考查的是二元一次方程的代入消元法和加减消元法,通过已知条件的代入,可得出要求的数.7.解方程组:(1);(2).考点:解二元一次方程组.分析:根据各方程组的特点选用相应的方法:(1)先去分母再用加减法,(2)先去括号,再转化为整式方程解答.解答:解:(1)原方程组可化为,①×2﹣②得:y=﹣1,将y=﹣1代入①得:x=1.∴方程组的解为;(2)原方程可化为,即,①×2+②得:17x=51,x=3,将x=3代入x﹣4y=3中得:y=0.∴方程组的解为.点评:这类题目的解题关键是理解解方程组的基本思想是消元,掌握消元的方法有:加减消元法和代入消元法.根据未知数系数的特点,选择合适的方法.8.解方程组:考点:解二元一次方程组.专题:计算题.分析:本题应把方程组化简后,观察方程的形式,选用合适的方法求解.解答:解:原方程组可化为,①+②,得10x=30,x=3,代入①,得15+3y=15,y=0.则原方程组的解为.点评:解答此题应根据各方程组的特点,有括号的去括号,有分母的去分母,然后再用代入法或加减消元法解方程组.9.解方程组:考点:解二元一次方程组.专题:计算题.分析:本题为了计算方便,可先把(2)去分母,然后运用加减消元法解本题.解答:解:原方程变形为:,两个方程相加,得4x=12,x=3.把x=3代入第一个方程,得4y=11,y=.解之得.点评:本题考查的是二元一次方程组的解法,方程中含有分母的要先化去分母,再对方程进行化简、消元,即可解出此类题目.10.解下列方程组:(1)(2)考点:解二元一次方程组.专题:计算题.分析:此题根据观察可知:(1)运用代入法,把①代入②,可得出x,y的值;(2)先将方程组化为整系数方程组,再利用加减消元法求解.解答:解:(1),由①,得x=4+y③,代入②,得4(4+y)+2y=﹣1,所以y=﹣,把y=﹣代入③,得x=4﹣=.所以原方程组的解为.(2)原方程组整理为,③×2﹣④×3,得y=﹣24,把y=﹣24代入④,得x=60,所以原方程组的解为.点评:此题考查的是对二元一次方程组的解法的运用和理解,学生可以通过题目的训练达到对知识的强化和运用.11.解方程组:(1)(2)考点:解二元一次方程组.专题:计算题;换元法.分析:方程组(1)需要先化简,再根据方程组的特点选择解法;方程组(2)采用换元法较简单,设x+y=a,x﹣y=b,然后解新方程组即可求解.解答:解:(1)原方程组可化简为,解得.(2)设x+y=a,x﹣y=b,∴原方程组可化为,解得,∴∴原方程组的解为.点评:此题考查了学生的计算能力,解题时要细心.12.解二元一次方程组:(1);(2).考点:解二元一次方程组.专题:计算题.分析:(1)运用加减消元的方法,可求出x、y的值;(2)先将方程组化简,然后运用加减消元的方法可求出x、y的值.解答:解:(1)将①×2﹣②,得15x=30,x=2,把x=2代入第一个方程,得y=1.则方程组的解是;(2)此方程组通过化简可得:,①﹣②得:y=7,把y=7代入第一个方程,得x=5.则方程组的解是.点评:此题考查的是对二元一次方程组的解法的运用和理解,学生可以通过题目的训练达到对知识的强化和运用.13.在解方程组时,由于粗心,甲看错了方程组中的a,而得解为,乙看错了方程组中的b,而得解为.(1)甲把a看成了什么,乙把b看成了什么?(2)求出原方程组的正确解.考点:解二元一次方程组.专题:计算题.分析:(1)把甲乙求得方程组的解分别代入原方程组即可;(2)把甲乙所求的解分别代入方程②和①,求出正确的a、b,然后用适当的方法解方程组.解答:解:(1)把代入方程组,得,解得:.把代入方程组,得,解得:.∴甲把a看成﹣5;乙把b看成6;(2)∵正确的a是﹣2,b是8,∴方程组为,解得:x=15,y=8.则原方程组的解是.点评:此题难度较大,需同学们仔细阅读,弄清题意再解答.14.考点:解二元一次方程组.分析:先将原方程组中的两个方程分别去掉分母,然后用加减消元法求解即可.解答:解:由原方程组,得,由(1)+(2),并解得x=(3),把(3)代入(1),解得y=,∴原方程组的解为.点评:用加减法解二元一次方程组的一般步骤:1.方程组的两个方程中,如果同一个未知数的系数既不互为相反数又不相等,就用适当的数去乘方程的两边,使一个未知数的系数互为相反数或相等;2.把两个方程的两边分别相加或相减,消去一个未知数,得到一个一元一次方程;3.解这个一元一次方程;4.将求出的未知数的值代入原方程组的任意一个方程中,求出另一个未知数,从而得到方程组的解.15.解下列方程组:(1);(2).考点:解二元一次方程组.分析:将两个方程先化简,再选择正确的方法进行消元.解答:解:(1)化简整理为,①×3,得3x+3y=1500③,②﹣③,得x=350.把x=350代入①,得350+y=500,∴y=150.故原方程组的解为.(2)化简整理为,①×5,得10x+15y=75③,②×2,得10x﹣14y=46④,③﹣④,得29y=29,∴y=1.把y=1代入①,得2x+3×1=15,∴x=6.故原方程组的解为.点评:方程组中的方程不是最简方程的,最好先化成最简方程,再选择合适的方法解方程.16.解下列方程组:(1)(2)考点:解二元一次方程组.分析:观察方程组中各方程的特点,用相应的方法求解.解答:解:(1)①×2﹣②得:x=1,将x=1代入①得:2+y=4,y=2.∴原方程组的解为;(2)原方程组可化为,①×2﹣②得:﹣y=﹣3,y=3.将y=3代入①得:x=﹣2.∴原方程组的解为.点评:解此类题目要注意观察方程组中各方程的特点,采用加减法或代入法求解.。
二元一次方程组计算题100题1.解方程组:2x+9y=81,3x+y=34.2.解方程组:9x+4y=35,8x+3y=30.3.解方程组:7x+2y=52,7x+4y=62.4.解方程组:4x+6y=54,9x+2y=87.5.解方程组:2x+y=7,2x+5y=19.6.解方程组:x+2y=21,3x+5y=56.7.解方程组:5x+7y=52,5x+2y=22.8.解方程组:5x+5y=65,7x+7y=203.9.解方程组:8x+4y=56,x+4y=21.10.解方程组:5x+7y=41,5x+8y=44.11.解方程组:7x+5y=54,3x+4y=38.12.解方程组:x+8y=15,4x+y=29.13.解方程组:3x+6y=24,9x+5y=46.14.解方程组:9x+2y=62,4x+3y=36.15.解方程组:9x+4y=46,XXX。
16.解方程组:9x+7y=135,4x+y=41.17.解方程组:3x+8y=51,x+6y=27.18.解方程组:9x+3y=99,4x+7y=95.19.解方程组:9x+2y=38,3x+6y=18.20.解方程组:5x+5y=45,7x+9y=69.21.解方程组:8x+2y=28,7x+8y=62.22.解方程组:x+6y=14,3x+3y=27.23.解方程组:7x+4y=67,2x+8y=26.24.解方程组:5x+4y=52,7x+6y=74.25.解方程组:7x+y=9,4x+6y=16.26.解方程组:6x+6y=48,XXX。
27.解方程组:8x+2y=16,7x+y=11.28.解方程组:4x+9y=77,8x+6y=94.29.解方程组:6x+8y=68,7x+6y=66.30.解方程组:2x+2y=22,7x+2y=47.31.解方程组:5x+3y=8,3x+5y=8.32.解方程组:6x-7y=5,x+2y=4.33.解方程组:10x-8y=14,x+y=5.34.解方程组:4x+7y=3,x+y=0.35.解方程组:3x+y=10,7x-y=20.36.解方程组:44x+10y=27,x+y=1.37.解方程组:8x-y=0,x+y=18.38.解方程组:11x-y=12,11y-x=-12.39.解方程组:5x+6y=27,2x+3y=12.40.解方程组:2x+3y=12,7x-2y=4.41.解方程组:2x-5y=0,2x+y=2.42.解方程组:7x-3y=3,3x+2y=21.43.解方程组:7x+2y=21,6x-y=1.54.5x+6y=4805x+3y=240改写:将第一行乘以0.5,得到第二行。
二元一次方程组计算题60题(含答案)一、解答题1. \(x+y=15, x-y=5\),求\(x,y\)的值。
解:将方程组相加得\(2x=20\),解得\(x=10\),代入其中一个方程得\(10+y=15\),解得\(y=5\),所以\(x=10, y=5\)。
2. \(2x+y=9, x-3y=-3\),求\(x,y\)的值。
解:将方程组相加得\(3x-2y=6\),解得\(y=-3\),代入其中一个方程得\(2x+(-3)=9\),解得\(x=6\),所以\(x=6, y=-3\)。
3. \(3x-2y=1, 2x+y=5\),求\(x,y\)的值。
解:将方程组相加得\(5x-y=6\),解得\(y=3\),代入其中一个方程得\(2x+3=5\),解得\(x=1\),所以\(x=1, y=3\)。
4. \(x+2y=6, 2x-y=1\),求\(x,y\)的值。
解:将方程组相加得\(3x+y=7\),解得\(y=1\),代入其中一个方程得\(x+2=6\),解得\(x=4\),所以\(x=4, y=1\)。
5. \(3x+2y=11, 4x+3y=15\),求\(x,y\)的值。
解:将方程组相加得\(7x+5y=26\),解得\(y=1\),代入其中一个方程得\(3x+2=11\),解得\(x=3\),所以\(x=3, y=1\)。
6. \(x-y=7, x+y=3\),求\(x,y\)的值。
解:将方程组相加得\(2x=10\),解得\(x=5\),代入其中一个方程得\(5-y=7\),解得\(y=-2\),所以\(x=5, y=-2\)。
7. \(2x+y=8, x-2y=-6\),求\(x,y\)的值。
解:将方程组相加得\(3x-y=2\),解得\(y=1\),代入其中一个方程得\(2x+1=8\),解得\(x=3\),所以\(x=3, y=1\)。
8. \(3x-2y=2, 4x+y=5\),求\(x,y\)的值。
二元一次方程组解法练习题精选(含答案)一.解答题(共16小题)1.求适合的x,y的值.2.解下列方程组(1)(2)(3)(4).3.解方程组:4.解方程组:5.解方程组:6.已知关于x,y的二元一次方程y=kx+b的解有和.(1)求k,b的值.(2)当x=2时,y的值.(3)当x为何值时,y=3?7.解方程组:(1);(2).8.解方程组:9.解方程组:10.解下列方程组:(1)(2)11.解方程组:(1)(2)12.解二元一次方程组:(1);(2).13.在解方程组时,由于粗心,甲看错了方程组中的a,而得解为,乙看错了方程组中的b,而得解为.(1)甲把a看成了什么,乙把b看成了什么?(2)求出原方程组的正确解.14.15.解下列方程组:(1);(2).16.解下列方程组:(1)(2)第二十六章《二次函数》检测试题1,(2008年芜湖市)函数2y ax b y ax bx c =+=++和在同一直角坐标系内的图象大致是 ( )2,在一定条件下,若物体运动的路程s (米)与时间t (秒)的关系式为s =5t 2+2t ,则当t =4时,该物体所经过的路程为( )3,已知二次函数y =ax 2+bx +c (a ≠0)的图象如图2所示,给出以下结论:① a +b +c <0;② a -b +c <0;③ b +2a <0;④ abc >0 .其中所有正确结论的序号是( )A. ③④B. ②③C. ①④D. ①②③4,二次函数y =ax 2+bx +c 的图象如图3所示,若M =4a +2b +c ,N =a -b +c ,P =4a +2b ,则( )A.M >0,N >0,P >0B. M >0,N <0,P >0C. M <0,N >0,P >0D. M <0,N >0,P <05,如果反比例函数y =k x的图象如图4所示,那么二次函数y =kx 2-k 2x -1的图象大致为( )6y 所对应的函数值依次为:20,56,110,182,274,380,506,650.其中有一个值不正确,这个不正确的值是()A. 506B.380C.274D.18图3图4 A . B . 图5 图1A. y =x 2-2B. y =(x -2)2C. y =x 2+2D. y =(x +2)28如图6,小敏在今年的校运动会跳远比赛中跳出了满意一跳,函数h =3.5t -4.9t 2(t 的单位:s ,h 的单位:m )可以描述他跳跃时重心高度的变化,则他起跳后到重心最高时所用的时间是( )A.0.71sB.0.70sC.0.63sD.0.36s9,如果将二次函数y =2x 2的图象沿y 轴向上平移1个单位,那么所得图象的函数解析式是 .10,平移抛物线y =x 2+2x -8,使它经过原点,写出平移后抛物线的一个解析式______ .11,若二次函数y =x 2-4x +c 的图象与x 轴没有交点,其中c 为整数,则c =12,二次函数y =ax 2+bx +c 的图像如图7所示,则点A (a ,b )在第___象限.13,已知抛物线y =x 2-6x +5的部分图象如图8,则抛物线的对称轴为直线x = ,满足y <0的x 的取值范围是 .14,已知一抛物线与x 轴的交点是)0,2( A 、B (1,0),且经过点C (2,8)。
二元一次方程组计算题一、基础计算题1. 解方程组:x + y = 5 2x - y = 1解析:- 对于这个方程组,我们可以采用加减消元法。
- 将方程x + y = 5和2x - y = 1相加,这样可以消去y。
- 即(x + y)+(2x - y)=5 + 1,展开括号得到x+y+2x - y=6,合并同类项得3x=6,解得x = 2。
- 把x = 2代入x + y = 5中,得到2+y=5,解得y = 3。
- 所以方程组的解为x = 2 y = 32. 解方程组:2x+3y = 8 3x - 2y=-1解析:- 这里我们采用消元法,先给第一个方程乘以2,第二个方程乘以3。
- 第一个方程变为4x + 6y=16,第二个方程变为9x-6y=- 3。
- 然后将这两个新方程相加,即(4x + 6y)+(9x-6y)=16+(-3),得到13x = 13,解得x = 1。
- 把x = 1代入2x+3y = 8中,得到2 + 3y=8,3y=6,解得y = 2。
- 所以方程组的解为x = 1 y = 2二、含有参数的二元一次方程组1. 若关于x、y的方程组mx+ny = 6 nx+my = - 3的解是x = 1 y = 2,求m和n的值。
解析:- 把x = 1 y = 2代入方程组mx+ny = 6 nx+my=-3中,得到:- m + 2n=6 n+2m=-3- 由第一个方程m+2n = 6可得m=6 - 2n。
- 将m = 6 - 2n代入第二个方程n + 2m=-3中,得到n+2(6 - 2n)=-3。
- 展开括号得n + 12-4n=-3,移项合并同类项得- 3n=-15,解得n = 5。
- 把n = 5代入m = 6 - 2n,得到m=6-2×5=-4。
- 所以m=-4,n = 5。
2. 已知方程组3x - y = 5 4ax+5by=-22与方程组2x+3y=-4 ax - by = 8有相同的解,求a、b的值。
七年级下册数学《第八章二元一次方程组》专题解二元一次方程组(计算题50题)1.用代入法解下列方程组:(1)−=4,3+=16;(2)−=2,3+5=14.【分析】(1)−=4①3+=16②,由①得:x=y+4,代入②得:3(y+4)+y=16,即可求出y的值,则x的值也就迎刃而解了;(2)−=4①3+5=14②,由①得:y=x﹣2,代入②得:3x+5(x﹣2)=14,即可求出x的值,则y的值也就可以求出了.【解答】解:(1)−=4①3+=16②,由①得:x=y+4,代入②得:3(y+4)+y=16,解得y=1.将y=1代入x=y+4中得x=5,故方程组的解为:=5=1;(2)−=4①3+5=14②,由①得:y=x﹣2,代入②得:3x+5(x﹣2)=14,解得x=3.将x=3代入y=x﹣2,得y=1.故方程组的解为:=3=1.【点评】本题主要考查了二元一次方程组的解法,解题的关键是掌握代入法解方程.2.用代入法解下列方程组:(1)2−=33+2=8;(2)+=103−2=5.【分析】两方程组利用代入消元法求出解即可.【解答】解:(1)2−=3①3+2=8②,由①得:y=2x﹣3③,把③代入②得:3x+2(2x﹣3)=8,解得:x=2,把x=2代入③得:y=4﹣3=1,则方程组的解为=2=1;(2)+=10①3−2=5②,由①得:u=10﹣v③,把③代入②得:3(10﹣v)﹣2v=5,解得:v=5,把v=5代入①得:5+u=10,解得:u=5,则方程组的解为=5=5.【点评】此题考查了解二元一次方程组,利用了消元的思想,消元的方法有:代入消元法与加减消元法.3.用代入法解下列方程组:(1)3−=2,9+8=17;(2)3−4=10+3=12.【分析】(1)由①得出y =3x ﹣2③,把③代入②得出9x +8(3x ﹣2)=17,求出x ,再把x =1代入③求出y 即可;(2)由②得出x =12﹣3y ③,把③代入①得出3(12﹣3y )﹣4y =10,求出y ,再把y =2代入③求出x 即可.【解答】解:(1)3−=2①9+8=17②,由①,得y =3x ﹣2③,把③代入②,得9x +8(3x ﹣2)=17,解得:x =1,把x =1代入③,得y =3×1﹣2,即y =1,所以原方程组的解是=1=1;(2)3−4=10①+3=12②,由②,得x =12﹣3y ③,把③代入①,得3(12﹣3y )﹣4y =10,解得:y =2,把y =2代入③,得x =12﹣3×2,即x =6,所以原方程组的解是=6=2.【点评】本题考查了解二元一次方程组,能把二元一次方程组转化成一元一次方程是解此题的关键.4.用代入法解下列方程组.(1)+2=4=2−3;(2)−=44+2=−2.【分析】(1)方程组利用代入消元法求出解即可;(2)方程组利用加减消元法求出解即可.【解答】解:(1)+2=4①=2−3②,把②代入①得:x +2(2x ﹣3)=4,解得:x =2,把x =2代入②得:y =4﹣3=1,则方程组的解为=2=1;(2)方程组整理得:−=4①2+=−1②,①+②得:3x =3,解得:x =1,把x =1代入①得:1﹣y =4,解得:y =﹣3,则方程组的解为=1=−3.【点评】此题考查了解二元一次方程组,利用了消元的思想,消元的方法有:代入消元法与加减消元法.5.用代入法解下列方程组:(1)5+4=−1.52−3=4(2)4−3−10=03−2=0【分析】(1)方程组利用代入消元法求出解即可;(2)方程组利用代入消元法求出解即可.【解答】解:(1)5+4=−1.5①2−3=4②,由②得:x =3r42③,把③代入①得:15r202+4y =﹣1.5,去分母得:15y +20+8y =﹣3,移项合并得:23y =﹣23,解得:y =﹣1,把y =﹣1代入③得:x =12,则方程组的解为=12=−1;(2)方程组整理得:4−3−10=0①=23t ,把②代入①得:83y ﹣3y ﹣10=0,去分母得:8y ﹣9y ﹣30=0,解得:y=﹣30,把y=﹣30代入②得:x=﹣20,则方程组的解为=−20=−30.【点评】此题考查了解二元一次方程组,利用了消元的思想,消元的方法有:代入消元法与加减消元法.6.用代入法解下列方程组:(1)−=42+=5;(2)3−=29+8=17;(3)3+2=−86−3=−9.【分析】各方程组利用代入消元法求出解即可.【解答】解:(1)−=4①2+=5②,由①得:x=y+4③,把③代入②得:2(y+4)+y=5,解得:y=﹣1,把y=﹣1代入③得:x=﹣1+4=3,则方程组的解为=3=−1;(2)3−=2①9+8=17②,由①得:y=3x﹣2③,把③代入②得:9x+8(3x﹣2)=17,解得:33x=33,解得:x=1,把x=1代入③得:y=3﹣2=1,则方程组的解为=1=1;(3)3+2=−8①2−=−3②,由②得:y=2x+3③,把③代入①得:3x+2(2x+3)=﹣8,解得:x=﹣2,把x=﹣2代入②得:﹣4﹣y=﹣3,解得:y=﹣1,则方程组的解为=−2=−1.【点评】此题考查了解二元一次方程组,利用了消元的思想,消元的方法有:代入消元法与加减消元法.7.用代入法解下列方程组:(1)3+2=11,①=+3,②(2)4−3=36,①+5=7,②(3)2−3=1,①3+2=8,②【分析】(1)将方程②代入方程①进行求解;(2)将方程②变形为y=﹣5x+7,再代入方程①进行求解;(3)将方程①变形为y=2K13,再代入方程②进行求解.【解答】解:(1)将方程②代入方程①得,3(y+3)+2y=11,解得y=25,把y=25代入②得,x=175,∴该方程组的解为=175=25;(2)将方程②变形为y=﹣5x+7③,把③代入①得,4x﹣3(﹣5x+7)=36,解得x=3,将x=3代入③得,y=﹣5×3+7,解得y=﹣8,∴该方程组的解为=3=−8;(3)将方程①变形为y=2K13③,把③代入②得,3x+2×2K13=8,解得x=2,将x =2代入③得,y =2×2−13,解得y =1,∴该方程组的解为=2=1.【点评】此题考查了利用代入法解二元一次方程组的能力,关键是能直接或将某方程变式后进行代入消元求解.8.用代入法解下列方程组:(1)5+2=15①8+3=−1②;(2)3(−2)=−172(−1)=5−8.【分析】(1)用代入消元法解二元一次方程组即可;(2)用代入消元法解二元一次方程组即可.【解答】解:(1)5+2=15①8+3=−1②,由①得,y =15−52③,将③代入②得,8x +15−52×3=﹣1,解得,x =﹣47,将x =﹣47代入①得,y =125,∴方程组的解为=−47=125;(2)3(−2)=−172(−1)=5−8,整理得,3−=−11①2−5=−6②,由①得,x =3y +11③,将③代入②得,y =﹣28,将y =﹣28代入①得,x =﹣73,∴方程组的解为=−73=−28.【点评】本题考查二元一次方程组的解,熟练掌握代入消元法和加减消元法解二元一次方程组是解题的关键.9.用代入法解下列方程组:(1)=6−53−6=4(2)5+2=15+=6(3)3+4=22−=5(4)2+3=73−5=1【分析】(1)用代入消元法解方程组即可.(2)用代入消元法解方程组即可.(3)用代入消元法解方程组即可.(4)用代入消元法解方程组即可.【解答】解:(1)=6−5s3−6=4②,把①代入②得3(6﹣5y)﹣6y=4,解得y=23,∴x=6−5×23=83,所以方程组的解为=83=23;(2)5+2=15①+=6②,由②得x=6﹣y③,把③代入①,得y=5,∴x=6﹣5=1,所以原方程组的解为=1=5;(3)3+4=2①2−=5②,由②得y=2x﹣5③,把③代入①得,解得x=2,∴y=2×2﹣5=﹣1,所以原方程组的解为=2=−1;(4)2+3=7①3−5=1②,由①得x=7−32③,把③代入②得解得y=1,∴x=7−3×12=2,所以原方程组的解为=2=1.【点评】本题考查二元一次方程组的解法,解题关键是熟知代入消元法解方程组的步骤.10.用代入法解下列方程组:(1)2+=3+2=−6;(2)+5=43−6=5;(3)2−=63+2=2;(4)5+2=113−=−9;【分析】(1)用代入消元法解方程组即可.(2)用代入消元法解方程组即可.(3)用代入消元法解方程组即可.(4)用代入消元法解方程组即可.【解答】解:(1)2+=3①+2=−6②,由①得y=3﹣2x,把y=3﹣2x代入②得x+2(3﹣2x)=﹣6,解得x=4,∴y=3﹣2×4=﹣5.∴方程组的解为=4=−5.(2)+5=4①3−6=5②,由①得x=4﹣5y,把x=4﹣5y代入②得3(4﹣5y)﹣6y=5,解得y=13,∴x=4﹣5×13=73.∴方程组的解为=73=13.(3)2−=6①3+2=2②,由①得y=2x﹣6,把y=2x﹣6代入②得3x+2(2x﹣6)=2,解得x=2,∴y=2x﹣6=2×2﹣6=﹣2.方程组的解为=2=−2.(4)5+2=11①3−=−9②,由②得x=3y+9,把x=3y+9代入①得5(3y+9)+2y=11,解得y=﹣2,∴x=3×(﹣2)+9=3.∴方程组的解为=3=−2.【点评】本题考查二元一次方程组的解法,解题关键是熟知代入消元法解方程组的步骤.1.用加减法解下列方程组:(1)4−=143+=7(2−2=7−3=−8【分析】(1)方程组利用加减消元法求出解即可;(2)方程组利用加减消元法求出解即可.【解答】解:(1)4−=14①3+=7②,①+②得:7x=21,解得:x=3,把x=3代入②得:y=﹣2,则方程组的解为=3=−2;(2−2=7①−3=−8②,①﹣②得:y=15,把y=15代入①得:x=74,则方程组的解为=74=15.【点评】此题考查了解二元一次方程组,利用了消元的思想,消元的方法有:代入消元法与加减消元法.2.用加减法解下列方程组:(1)2+7=53+=−2(2)5=123=−2(37=127=13【分析】(1)由②得出n=﹣2﹣3m③,把③代入①得出2m+7(﹣2﹣3m)=5,求出m,把m=﹣1代入③求出n即可;(2)②﹣①×2得出13v=﹣26,求出v,把v=﹣2代入①求出u即可;(3)整理后①+②得出28x=35,求出x,②﹣①求出y即可.【解答】解:(1)2+7=5①3+=−2②由②得:n=﹣2﹣3m③,把③代入①得:2m+7(﹣2﹣3m)=5,解得:m=﹣1,把m=﹣1代入③得:n=1,所以原方程组的解是:=−1=1;(2)2−5=12①4+3=−2②②﹣①×2得:13v=﹣26,解得:v=﹣2,把v=﹣2代入①得:2u+10=12,解得:u=1,所以原方程组的解是:=1=−2;(3)整理得:14−6=21①14+6=14②,①+②得:28x=35,解得:x=54,②﹣①得:12y=﹣7,解得:y=−712,所以原方程组的解是:=54=−712.【点评】本题考查了解二元一次方程组,能把二元一次方程组转化成一元一次方程是解此题的关键.3.用加减法解下列方程组:(1)−=53+4=−1.2+=4;(2)−2=3【分析】(1)方程组利用加减消元法求出解即可;(2)方程组利用加减消元法求出解即可.【解答】解:(1)−=5①2+=4②,①+②得:3x =9,解得:x =3,把x =3代入①得:3﹣y =5,解得:y =﹣2,则方程组的解为=3=−2;(2)−2=3①3+4=−1②,①×2+②得:5x =5,解得:x =1,把x =1代入①得:1﹣2y =3,解得:y =﹣1,则方程组的解为=1=−1.【点评】此题考查了解二元一次方程组,利用了消元的思想,消元的方法有:代入消元法与加减消元法.4.用加减法解下列方程组:(1)4−3=11,2+=13;(2)−=3,2+3(−p =11【分析】(1)方程组利用加减消元法求出解即可;(2)方程组整理后,利用加减消元法求出解即可.【解答】解:(1)4−3=11①2+=13②,①+②×3得:10x =50,解得:x =5,把x =5代入①得:20﹣3y =11,解得:y =3,所以方程组的解为=5=3;(2)方程组整理得:−=3①3−=11②,②﹣①得:2x =8,解得:x =4,把x=4代入①得:4﹣y=3,解得:y=1,所以方程组的解为=4=1.【点评】此题考查了解二元一次方程组,解方程组利用了消元的思想,消元的方法有:代入消元法与加减消元法.5.用加减法解下列方程组:(1)3+2=76−2=11(2)2+=33+=4.【分析】各个方程组利用加减消元法求出解即可.【解答】解:(1)3+2=7①6−2=11②,①+②得:9μ=18,即μ=2,把μ=2代入①得:6+2t=7,解得:t=12,则方程组的解为=2=12;(2)2+=3①3+=4②,②﹣①得:a=1,把a=1代入①得:2+b=3,解得:b=1,则方程组的解为=1=1.【点评】此题考查了解二元一次方程组,熟练掌握运算法则是解本题的关键.6.(2023•市北区校级开学)用加减法解下列方程组:(1)3−4=04+=8;(2+=3−32=−1.【分析】(1)方程组利用加减消元法求出解即可;(2)方程组整理后,利用加减消元法求出解即可.【解答】解:(1)3−4=0①4+=8②,①+②得:4y=8,解得:y=2,把y=2代入②得:4x+2=8,解得:x=32,则方程组的解为=32=2;(2)方程组整理得:2+=3①−3=−2②,①×3+②得:7x=7,解得:x=1,把x=1代入①得:2+y=3,解得:y=1,则方程组的解为=1=1.【点评】此题考查了解二元一次方程组,利用了消元的思想,消元的方法是代入消元法与加减消元法.7.(2022秋•陕西期末)用加减法解下列方程组:(1)−=33−8=14;(2+2=10=1+r13.【分析】(1)根据加减消元法解二元一次方程组即可求解;(2)将第二个方程去分母化简,然后根据加减消元法解二元一次方程组即可求解.【解答】解:(1)−=3①3−8=14②,①×3﹣②得:﹣3y+8y=9﹣14,解得:y=﹣1,将y=﹣1代入①得:x+1=3,解得:x=2,∴原方程组的解为:=2=−1;(2+2=10①=1+r13②,由②得3x=6+2(y+1),即3x﹣2y③,①﹣③得:4y=2,解得:=12,①+③得:6x=18,解得:x=3,∴原方程组的解为:=3=12.【点评】本题考查了加减消元法解二元一次方程组,掌握解二元一次方程组的方法是解题的关键.8.用加减法解下列方程组:(1)+3=,2(+1)−=6;(2)+=2800,96%+64%=2800×92%.【分析】(1)先用第二个方程减去第一个方程即可得到x 的值,然后将x 的值代入任意一个方程,解方程即可得到y 的值;(2)先对方程组进行化简可得+=2800①3+2=8050②,易得两个方程中y 的系数存在2倍关系,故只需用方程②减去方程①乘2的积即可得到关于x 的方程,解方程即可.【解答】解:(1)+3=,①2(+1)−=6.②②﹣①,得x ﹣1=6,∴x =7,x =7代入①得y =10,所以原方程组的解为=7=10.(2)原方程化简得+=2800,①3+2=8050.②②﹣①×2,得﹣x =﹣2450,∴x =2450,将x =2450代入①得:y =350,∴原方程组的解为:=2450=350.【点评】本题考查二元一次方程组的解法,利用正确的方法求解是本题的关键.9.用加减法解下列方程组:(1)−=5,①2+=4;②(2)−2=1,①+3=6;②(3)2−=5,①−1=12(2−1).②【分析】(1)利用加减消元法解答即可;(2)利用加减消元法解答即可;(3)利用加减消元法解答即可.【解答】解:(1)−=5①2+=4②,①+②得:3x=9,解得:x=3,把x=3代入①得:3﹣y=5,解得:y=﹣2,所以方程组的解为:=3=−2;(2)−2=1①+3=6②,②﹣①得:5y=5,解得:y=1,把y=1代入①得:x﹣2=1,解得:x=3,所以方程组的解为:=3=1;(3)2−=5①−1=12(2−1)②,由②得:2x﹣2y=1③,①﹣③得:y=4,把y=4代入①得:2x﹣4=5,解得:x=92,所以方程组的解为:=92=4.【点评】此题考查了解二元一次方程组,以及解一元一次方程,熟练掌握运算法则是解本题的关键.10.用加减法解下列方程组:(1)+3=62−3=3(2)7+8=−57−=4(3)−1=3(−2)+4=2(+1)(4+4=1−3=−1.【分析】各方程组整理后,利用加减消元法求出解即可.【解答】解:(1)+3=6①2−3=3②,①+②得:3x=9,即x=3,把x=3代入①得:y=1,则方程组的解为=3=1;(2)7+8=−5①7−=4②,①﹣②得:9y=﹣9,即y=﹣1,把y=﹣1代入①得:x=37,则方程组的解为=37=−1;(3)方程组整理得:3−=5①2−=2②,①﹣②得:x=3,把x=3代入①得:y=4,则方程组的解为=3=4;(4)方程组整理得:4+3=12①3−2=−6②,①×2+②×3得:17x=6,即x=617,①×3﹣②×4得:17y=60,即y=6017,则方程组的解为=617=6017.【点评】此题考查了解二元一次方程组,利用了消元的思想,消元的方法有:代入消元法与加减消元法.1.(2022春•新田县期中)用指定的方法解下列方程组:(1)2−5=14①3+5=16②(加减法).=−t(代入法);(2)2+3=9①【分析】(1)方程组利用代入消元法求出解即可;(2)方程组利用加减消元法求出解即可.【解答】解:(1)把②代入①得:2x+5x=14,解得:x=2,把x=2代入②,得:y=﹣2,则原方程组的解是=2=−2;(2)①×3得:6x+9y=27③,②×2得:6x+10y=32④,④﹣③得:y=5,把y=5代入①得:2x+15=9,解得:x=﹣3,则原方程组的解是=−3=5.【点评】此题考查了解二元一次方程组,利用了消元的思想,消元的方法有:代入消元法与加减消元法.2.(2022春•安岳县校级月考)解下列方程组:(1)3−=75+2=8(用代入法);(23=104=5(用加减法).【分析】(1)方程组利用代入消元法求出解即可;(2)方程组利用加减消元法求出解即可.【解答】解:(1)3−=7①5+2=8②,由①得:y=3x﹣7③,把③代入②得:5x+2(3x﹣7)=22,解得:x=2,把x=2代入①得:6﹣y=7,解得:y=﹣1,则方程组的解为=2=−1;(2)方程组整理得:3+4=120①4−3=60②,①×3+②×4得:25m=600,解得:m=24,把m=24代入①得:72+4n=120,解得:n=12,则方程组的解为=24=12.【点评】此题考查了解二元一次方程组,利用了消元的思想,消元的方法有:代入消元法与加减消元法.3.(2022春•大连期中)用指定的方法解下列方程组:(1)−3=42+=13(代入法);(2)5+2=4+4=−6(加减法).【分析】(1)利用代入法解方程组;(2)利用加减消元法解方程组.【解答】解:(1)−3=4①2+=13②,由①得x =3y +4③,把③代入②,得2(3y +4)+y =13,解得y =57,∴x =3×57+4=617,∴方程组的解为=617=57;(2)5+2=4①+4=−6②,①×2﹣②,得9x =14,解得x =149,把x =149代入②,得149+4y =﹣6,解得y =−179.∴方程组的解为=149=−179.【点评】本题考查了解二元一次方程组,做题的关键是掌握加减消元法,和代入消元法解二元一次方程组.4.(2022春•宁远县月考)请用指定的方法解下列方程组(1)5−=113+=7(代入消元法);(2)2−5=245+2=31(加减消元法).【分析】(1)由方程①,得b =5a ﹣11,再代入方程②求出未知数a ,进而得出未知数b ;(2)用方程①×2﹣②×5,可消去未知数y ,求出未知数x ,进而得出y 的值.【解答】解:(1)5−=11①3+=7②,由①,得b =5a ﹣11③,把③代入②,得3a +5a ﹣11=7,解得a =94,把a=94代入③,得b=14,故方程组的解为=94=14;(2)2−5=24①5+2=31②,①×2﹣②×5,得29x=203,解得x=7,把x=7代入①,得y=﹣2,故方程组的解为=7=−2.【点评】本题考查了解二元一次方程组,掌握加减消元法和代入消元法是解答本题的关键.5.(2021秋•蒲城县期末)请用指定的方法解下列方程组:(1)2+3=11①=+3②(代入消元法);(2)3−2=2①4+=10②(加减消元法).【分析】(1)利用代入消元法进行求解即可;(2)利用加减消元法进行求解即可.【解答】解:(1)2+3=11①=+3②,把②代入①得:2(y+3)+3y=11,解得y=1,把y=1代入②得:x=1+3=4,故原方程组的解是:=4=1;(2)3−2=2①4+=10②,②×2得:8x+2y=20③,①+③得:11x=22,解得x=2,把x=2代入②得:8+y=10,解得y=2,故原方程组的解是:=2=2.【点评】本题主要考查解二元一次方程组,解答的关键是对解二元一次方程组的方法的掌握.6.(2022秋•历下区期中)请用指定的方法解下列方程组:(1)−2=22+3=12(代入法);(2)6−5=36+=−15(加减法).【分析】(1)整理后由①得出n =2m ﹣4③,把③代入②得出2m +3(2m ﹣4)=12,求出m ,再把m =3代入③求出n 即可;(2)②﹣①得出6t =﹣18,求出t ,再把t =﹣3代入①求出s 即可.【解答】解:(1)整理得:2−=4①2+3=12②,由①,得n =2m ﹣4③,把③代入②,得2m +3(2m ﹣4)=12,解得:m =3,把m =3代入③,得n =2×3﹣4=6﹣4=2,所以原方程组的解是=3=2;(2)6−5=3①6+=−15②,②﹣①,得6t =﹣18,解得:t =﹣3,把t =﹣3代入①,得6s +15=3,解得:s =﹣2,所以原方程组的解是=−2=−3.【点评】本题考查了解二元一次方程组,能把二元一次方程组转化成一元一次方程是解此题的关键,解二元一次方程组的方法有代入消元法和加减消元法两种.7.(2022春•泰安期中)用指定的方法解下列方程组(1)3+4=19−=4(代入消元法);(2)2+3=−53−2=12(加减消元法);(3−9)=6(−2)r13=2.【分析】(1)方程组利用代入消元法求出解即可;(2)方程组利用加减消元法求出解即可;(3)方程组整理后,利用加减消元法求出解即可.【解答】解:(1)3+4=19①−=4②,由②得:x =y +4③,把③代入①得:3(y +4)+4y =19,解得:y=1,把y=1代入③得:x=1+4=5,则方程组的解为=5=1;(2)2+3=−5①3−2=12②,①×2+②×3得:13x=26,解得:x=2,把x=2代入①得:4+3y=﹣5,解得:y=﹣3,则方程组的解为=2=−3;(3)方程组整理得:5−6=33①3−4=28②,①×2﹣②×3得:x=﹣18,把x=﹣18代入①得:﹣90﹣6y=33,解得:y=−412,则方程组的解为=−18=−412.【点评】此题考查了解二元一次方程组,利用了消元的思想,消元的方法有:代入消元法与加减消元法.8.(2021秋•历下区期中)请用指定的方法解下列方程组:(1)3+2=143+4=17.(加减法)=+3;(代入法)(2)2+3=12【分析】(1)用代入消元法解方程组即可;(2)用加减消元法解方程组即可.【解答】解:(1)3+2=14①=+3②,将②代入①,得3y+9+2y=14,解得y=1,将y=1代入②得x=4,∴方程组的解为=4=1;(2)2+3=12①3+4=17②,①×3得,6x+9y=36③,②×2得,6x+8y=34④,③﹣④,得y=2,将y=2代入①得,x=3,∴方程组的解为=3=2.【点评】本题考查二元一次方程组的解,熟练掌握代入消元法和加减消元法解二元一次方程组的方法是解题的关键.9.(2021春•沙河口区期末)用指定的方法解下列方程组:(1)=2−33+2=8(代入法);(2)3+4=165−6=33(加减法).【分析】(1)把①代入②得出x的值,再把x的值代入①求出y的值,从而得出方程组的解;(2)①×3+②×2得出19x=114,求出x,把x=6代入①求出y即可.【解答】解:(1)=2−3①3+2=8②,把①代入②得:3x+2(2x﹣3)=8,解得:x=2,把x=2代入①得:y=1,则原方程组的解是:=2=1.(2)3+4=16①5−6=33②,①×3+②×2得:19x=114,解得:x=6,把x=6代入①得:18+4y=16,解得:y=−12,所以方程组的解=6=−12.【点评】本题考查了解二元一次方程组,能把二元一次方程组转化成一元一次方程是解此题的关键.10.用指定的方法解下列方程组:(1)3+4=19−=4(代入法);(2)2+3=−53−2=12(加减法).【分析】(1)由②得出x=4+y③,把③代入①得出3(4+y)+4y=19,求出y,把y =1代入③求出x即可;(2)①×2+②×3得出13x=26,求出x,把x=2代入①求出y即可.【解答】解:(1)3+4=19①−=4②,由②得:x=4+y③,把③代入①得:3(4+y)+4y=19,解得:y=1,把y=1代入③得:x=4+1=5,所以方程组的解是=5=1;(2)2+3=−5①3−2=12②,①×2+②×3得:13x=26,解得:x=2,把x=2代入①得:4+3y=﹣5,解得:y=﹣3,所以方程组的解=2=−3.【点评】本题考查了解二元一次方程组,能把二元一次方程组转化成一元一次方程是解此题的关键.1.(2022•苏州模拟)用适当的方法解下列方程组.(1)+2=9−3=1;(2−34=1−p−(−4p=4.【分析】(1)利用加减消元法,方程组可化为:7y=28,解得:y=4,将y=4代入①得:x=1;(2)先将方程组化为:8−9=12①8−5=4②,利用加减消元法解得:y=﹣2,将y=﹣2代入①得:=−34.【解答】解:(1)+2=9①−3=1②①×3+②得:7y=28,解得:y=4,将y=4代入①得:x=1,即方程的解为:=1=4;(2)原方程组可化为:8−9=12①8−5=4②,①﹣②得:﹣4y=8,解得:y=﹣2,将y=﹣2代入①得:=−34,即方程的解为:=−34=−2.【点评】本题主要考查的是二元一次方程组的解法,利用合适的方法解方程组即可.2.(2022秋•锦江区校级期末)用适当的方法解下列方程组.(1)=2−14+3=7;(2)3+2=22+3=28,.【分析】(1)方程组利用代入消元法求解即可;(2)用方程①×3﹣②×2,可消去未知数y,求出未知数x,进而得出y的值.【解答】解:(1)=2−1①4+3=7②,把①代入②,得4(2y﹣1)+3y=7,解得y=1,把y=1代入①,得x=1,故原方程组的解为=1=1;(2)3+2=2①2+3=28②,①×3﹣②×2,得5x=﹣50,解得x=﹣10,把x=﹣10代入①,得y=16,故原方程组的解为=−10=16.【点评】本题考查了解二元一次方程组,掌握加减消元法和代入消元法是解答本题的关键.3.用适当的方法解下列方程组:(1)+2=0,3+4=6;(2=21)−=11(3)+0.4=40,0.5+0.7=35;(4K4=−14,5(r1)12=2.【分析】(1)由x+2y=0可用y表示x,利用代入消元法求第一个方程组的解.同理解(2)(3)利用加减消元法求方程组的解.(4)对于关于m、n的方程,将其化为整系数方程时,给第一个方程两边同时乘12,给第二个方程两边同时乘12.利用加减消元法求方程组的解.【解答】解:(1)+2=0,①3+4=6;②由①,得x=﹣2y,③把③代入②,得﹣6y+4y=6,解得y=﹣3,把y=﹣3代入①,得x=6.∴原方程组的解为=6=−3;(2=2s1)−=11②由①,得x+1=6y,③把③代入②,得12y﹣y=11,解得y=1.把y=1代入③,得x+1=6,解得x=5.∴原方程组的解为=5=1;(3)+0.4=40,①0.5+0.7=35;②②×2,得x+1.4y=70,③③﹣①,得y=30.把y=30代入①,得x+0.4×30=40,解得x=28.∴原方程组的解为=28=30;(4K4=−14,5(r1)12=2,原方程组化为:+7=−3,①2−5=13,②,①×2﹣②,得19n=﹣19,解得n=﹣1.把n=﹣1代入①,得m﹣7=﹣3,解得m=4.∴原方程组的解为=4=−1.【点评】此题主要考查了解二元一次方程组的方法,灵活运用代入消元法和加减消元法是解题的关键.4.(2022•天津模拟)用适当的方法解下列方程组:(1)+=52−=4;(2=r24−K33=112.【分析】(1)应用代入消元法,求出方程组的解即可.(2)应用加减消元法,求出方程组的解即可.【解答】解:(1)+=5①2−=4②,由①,可得:x=5﹣y③,③代入②,可得:2(5﹣y)﹣y=4,解得y=2,把y=2代入③,可得:x=5﹣2=3,∴原方程组的解是=3=2.(2=r24①−K33=112②,由①,可得:4x﹣3y=2③,由②,可得:3x﹣4y=﹣2④,③×4﹣④×3,可得7x=14,解得x=2,把x=2代入③,可得:4×2﹣3y=2,解得y=2,∴原方程组的解是=2=2.【点评】此题主要考查了解二元一次方程组的方法,注意代入消元法和加减消元法的应用.5.(2021•越城区校级开学)用适当的方法解下列方程组:(1)2−3=7−3=7.(2)0.3+0.4=40.2+2=0.9.【分析】(1)利用加减法消元法解二元一次方程组即可;(2)先整理方程,再利用加减消元法解二元一次方程组即可.【解答】解:(1)2−3=7①−3=7②,①﹣②得x =0,把x =0代入②得0﹣3y =7,解得y =−73,∴方程组的解为=0=−73;(2)整理原方程组得3+4=40①2−9=−20②,①×2﹣②×3得35q =140,q =4,把q =4代入②得2p ﹣36=﹣20,解得p =8,∴方程组的解为=8=4.【点评】本题考查了解二元一次方程组,做题关键是掌握加减消元法和代入消元法解二元一次方程组.6.(2022春•东城区校级月考)用适当的方法解下列方程组(1)+=52+=8;(2)2+3=73−2=4.【分析】(1)应用代入消元法,求出方程组的解是多少即可.(2)应用加减消元法,求出方程组的解是多少即可.【解答】解:(1)+=5①2+=8②,由①,可得:x =5﹣y ③,③代入②,可得:2(5﹣y )+y =8,解得y =2,把y =2代入③,解得x =3,∴原方程组的解是=3=2.(2)2+3=7①3−2=4②,①×2+②×3,可得13x=26,解得x=2,把x=2代入①,解得y=1,∴原方程组的解是=2=1.【点评】此题主要考查了解二元一次方程组的方法,注意代入消元法和加减消元法的应用.7.(2021春•哈尔滨期末)用适当的方法解下列方程组(1)+2=93−2=−1(2)2−=53+4=2【分析】(1)利用加减消元法进行求解即可;(2)利用加减消元法进行求解即可.【解答】解:(1)+2=9①3−2=−1②,①+②得:4x=8,解得:x=2,把x=2代入①得:2+2y=9,解得:y=72,故原方程组的解是:=2=72;(2)2−=5①3+4=2②,①×4得:8x﹣4y=20③,②+③得:11x=22,解得:x=2,把x=2代入①得:4﹣y=5,解得:y=﹣1,故原方程组的解是:=2=−1.【点评】本题主要考查解二元一次方程组,解答的关键是熟练掌握解二元一次方程组的方法.8.(2022春•椒江区校级期中)用适当的方法解下列方程组:(1)2+3=16①+4=13②;(2)2r3=3K28=3.【分析】(1)②×2﹣①得出5y=10,求出y,再把y=2代入②求出x即可;(2)整理后得出得2+=9①3−2=24②,①×2+②得出7s=42,求出s,再把s=6代入①求出t即可.【解答】解:(1)2+3=16①+4=13②,②×2﹣①,得5y=10,解得:y=2,把y=2代入②,得x+8=13,解得:x=5,所以方程组的解为=5=2;(2)整理方程组,得2+=9①3−2=24②,①×2+②,得7s=42,解得:s=6,把s=6代入①,得12+t=9,解得:t=﹣3,所以方程组的解为=6=−3.【点评】本题考查了解二元一次方程组,能把二元一次方程组转化成一元一次方程是解此题的关键.9.(2022春•诸暨市期中)用适当的方法解下列方程组:(1)=2−1+2=−7(2+3=7+2=8【分析】(1)用代入消元解二元一次方程组即可;(2)用加减消元解二元一次方程组即可;【解答】解:(1)=2−1①+2=−7②,把①代入②得,x+2(2x﹣1)=﹣7,解得x=﹣1,将x=﹣1代入①得y=﹣3,∴方程组的解为=−1=−3.(2)整理得3+4=84①2+3=48②,①×2﹣②×3得,﹣y=24,解得y=﹣24,将y=﹣24代入②得x=60,∴方程组的解为=60=−24.【点评】本题考查二元一次方程组的解,熟练掌握加减消元法和代入消元法解二元一次方程组是解题的关键.10.(2021春•南湖区校级期中)用适当的方法解下列方程组:(1)3+2=9−=8;(2=r25=7.【分析】(1)由②可得x=8+y③,再把③代入①,可得y的值,然后把y的值代入③求出x的值即可;(2)方程组整理后可得+5=0①2−5=7②,利用①+②可得x的值,然后把x的值代入①求出y的值即可.【解答】解:(1)3+2=9①−=8②,由②得,x=8+y③,将③代入①得,3(8+y)+2y=9,解得,y=﹣3,把y=﹣3代入③得,x=5,则方程组的解为=5=−3;(2)方程组整理得:+5=0①2−5=7②,①+②得:3x=7,解得:x=73,把x=73代入①得:y=−715,则方程组的解为=73=−715.【点评】此题考查了解二元一次方程组,利用了消元的思想,消元的方法有:代入消元法与加减消元法.1.先阅读材料,然后解方程组:材料:解方程组+=4①3(+p+=14②在本题中,先将x+y看作一个整体,将①整体代入②,得3×4+y=14,解得y=2.把y=2代入①得x=2,所以=2=2这种解法称为“整体代入法”,你若留心观察,有很多方程组可采用此法解答,请用这种方法解方程组−−1=0①4(−p−=5②.【分析】根据阅读材料中的方法求出方程组的解即可.【解答】解:由①得:x﹣y=1③,把③代入②得:4﹣y=5,即y=﹣1,把y=﹣1代入③得:x=0,则方程组的解为=0=−1.【点评】此题考查了解二元一次方程组,熟练掌握运算法则是解本题的关键.2.(2021秋•乐平市期末)解方程组3−2=8⋯⋯⋯①3(3−2p+4=20⋯.②时,可把①代入②得:3×8+4y=20,求得y=﹣1,从而进一步求得=2=−1这种解法为“整体代入法“,请用这样的方法解下列方程组2−3=123(2−3p+5=26.【分析】利用整体代入法的求解方法进行解答即可.【解答】解:2−3=12①3(2−3p+5=26②,把①代入②得:3×12+5y=26,解得y=﹣2,把y=﹣2代入①得:2x+6=12,解得x =3,故原方程组的解是:=3=−2.【点评】本题主要考查解二元一次方程组,解答的关键是对解二元一次方程组的方法的掌握与运用.3.先阅读,然后解方程组.解方程组−−1=0①4(−p −=5②时,可由①得x ﹣y =1.③,然后再将③代入②得4×1﹣y =5,求得y =﹣1,从而进一步求得=0=−1这种方法被称为“整体代入法”,请用这5=0=2+1.【分析】利用整体代入法解方程组即可.5=0①=2+1②,由①得,2x ﹣3y =﹣5,③,把③代入②得,10+37=2y +1,解得,y =37,把y =37代入③得,x =−137,则方程组的解为:=−137=37.【点评】本题考查的是二元一次方程组的解法,掌握整体代入法解方程组的一般步骤是解题的关键.4.(2022春•太和县期末)先阅读,然后解方程组.解方程组−−1=0①4(−p −=5②时,可由①得x ﹣y =1,③然后再将③代入②得4×1﹣y =5,求得y =﹣1,从而进一步求得=0①=−1②这种方法被称为“整体代入法”,2=02=9.【分析】仿照所给的题例先把①变形,再代入②中求出y 的值,进一步求出方程组的解即可.2=0①+2=9②,由①得,2x﹣3y=2③,代入②得2+57+2y=9,解得y=4,把y=4代入③得,2x﹣3×4=2,解得x=7.故原方程组的解为=7=4.【点评】本题考查的是在解二元一次方程组时整体思想的应用,利用整体思想可简化计算.5.先阅读,然后解方程组.解方程组−−1=0①4(−p−=5②时,可由①得x﹣y=1③,然后再将③代入②得4×1﹣y=5,求得y=﹣1,从而进一步求得x这种方法被称为“整体代入法”,请用这样的方法解下列方程组:2−3−2=03(2−3p+=7.【分析】把2x﹣3y看作一个整体,代入第二个方程求出y的值,进而求出x的值即可.【解答】解:2−3−2=0①3(2−3p+=7②,把①变形得:2x﹣3y=2③,③代入②得:6+y=7,即y=1,把y=1代入③得:x=2.5,则方程组的解为=2.5=1.【点评】此题考查了解二元一次方程组,利用了消元的思想,消元的方法有:代入消元方法与加减消元法.1.用换元法解下列方程组+2=12−1=34【分析】方程组利用换元法求出解即可.【解答】解:设1=a,1=b,方程组变形为2+2=12①5−=34②,①+②×2得:12a=2,解得:a=16,把a=16代入②得:b=112,则方程组的解为=16=112,即=6=12.【点评】此题考查了解二元一次方程组,熟练掌握运算法则是解本题的关键.2.用换元法解下列方程组:(1)3(p+2(−p=36(−4(−p=−16(2+r53=2−(+5p=5.【分析】(1)令x+y=m、x﹣y=n得关于m、n的方程组,解得m、n的值,从而可得关于x、y的方程组,求解可得;(2)令x﹣4y=a、x+5y=b得关于a、b的方程组,解该方程组可得a、b的值,从而可得关于x、y的方程组,求解可得.【解答】解:(1)令x+y=m,x﹣y=n,则原方程组可化为:3+2=36−4=−16,解得:=8=6,即+=8−=6,解得:=7=1;(2)令x﹣4y=a,x+5y=b,+3=2−=5,解得:=6=−3,即:−4=6+5=−3,解得:=2=−1.【点评】本题主要考查换元法解方程组的能力,熟练而准确地解方程组是基础,正确找到共同的整体加以换元是关键.3.(2022春•云阳县期中)阅读探索:解方程组(−1)+2(+2)=62(−1)+(+2)=6解:设a﹣1=x,b+2=y原方程组可以化为+2=62+=6,解得=2=2,即:−1=2+2=2∴=3=0,此种解方程组的方法叫换元法.(1)拓展提高运用上述方法解下列方程组(4−1)+2(5+2)=102(4−1)+(5+2)=11;(2)能力运用已知关于x,y的方程组1+1=12+2=2的解为=6=7,求关于m、n的方程组1(−2)+1(+3)=12(−2)+2(+3)=2的解.【分析】(1)仿照“阅读探索“的思路,利用换元法进行计算即可解答;(2)仿照“阅读探索“的思路,利用换元法进行计算即可解答.【解答】解:(1)设4−1=x,5+2=y,∴原方程组可变为:+2=102+=11,解这个方程组得:=4=3,−1=45+2=3,所以:=20=5;(2)设−2=+3=,可得:−2=6+3=7,解得:=8=4.【点评】本题考查了解二元一次方程组,二元一次方程组的解,理解并掌握例题的换元法是解题的关键.4.在学过了二元一次方程组的解法后,+K10=3①−K10=−1②,你会解这个方程组吗?小明、小刚、小芳争论了一会儿,他们分别写出了一种方法:小明:把原方程组整理得8+2=90③2+8=−30④④×4﹣③得30y=﹣210,所以y=﹣7把y=﹣7代入③得8x=104,所以x=13,即=13=−7小刚:设r6=m,K10=n,则+=3③−=−1④③+④得m=1,③﹣④得m=2,=1=2,所以+=6−=20,所以=13=−7.小芳:①+②得2(rp6=2,即x+y=6.③①﹣②得2(Kp10=4,即x﹣y=20.④③④组成方程组得x=13③﹣④得y=﹣7,即=13=−7.老师看过后,非常高兴,特别是小刚的方法独特,像小刚的这种方法叫做换元法,你能用换元法解下列方程组吗?+2r37=1−2r37=5.【分析】设3K26=m,2r37=n,方程组整理后求出m与n的值,即可确定出x与y 的值.【解答】解:设3K26=m,2r37=n,方程组整理得:+=1①−=5②,①+②得:2m=6,即m=3,①﹣②得:2n=﹣4,即n=﹣2,=32r3=−2,整理得:3−2=182+3=−14,解得:=2=−6.【点评】此题考查了解二元一次方程组,利用了消元的思想,消元的方法有:代入消元法与加减消元法.5.(2022春•卧龙区校级月考)阅读探索(1)知识积累解方程组(−1)+2(+2)=62(−1)+(+2)=6.解:设a﹣1=x,b+2=y.原方程组可变为+2=62+=6,解这个方程组得=2=2,即−1=2+2=2,所以=3=0,这种解方程组的方法叫换元法.(2)拓展提高运用上述方法解下列方程组:(3−1)+2(5+2)=43(3−1)−(5+2)=5.(3)能力运用已知关于x,y的方程组1+1=12+2=2的解为=3=4,请直接写出关于m、n的方程组1(+2)−1=12(+2)−2=2的解是.【分析】(2)仿照(1)的思路,利用换元法进行计算即可解答;(3)仿照前两个题的思路,利用换元法进行计算即可解答.【解答】解:(2)设3−1=x,5+2=y,∴原方程组可变为:+2=43−=5,解这个方程组得:=2=1,−1=25+2=1,所以:=9=−5;(3)设+2=−=,可得:+2=3−=4,解得:=1=−4.。
二元一次方程组习题及答案100道1.2x+9y=813x+y=342.9x+4y=358x+3y=303.7x+2y=527x+4y=624.4x+6y=549x+2y=875.2x+y=72x+5y=196.x+2y=213x+5y=567.5x+7y=525x+2y=228.5x+5y=657x+7y=2039.8x+4y=56x+4y=2110.5x+7y=415x+8y=4411.7x+5y=543x+4y=3812.x+8y=154x+y=299x+5y=46 14.9x+2y=62 4x+3y=36 15.9x+4y=46 7x+4y=42 16.9x+7y=135 4x+y=41 17.3x+8y=51 x+6y=27 18.9x+3y=99 4x+7y=95 19.9x+2y=38 3x+6y=18 20.5x+5y=45 7x+9y=69 21.8x+2y=28 7x+8y=62 22.x+6y=14 3x+3y=27 23.7x+4y=67 2x+8y=26 24.5x+4y=52 7x+6y=74 25.7x+y=926.6x+6y=486x+3y=4227.8x+2y=167x+y=1128.4x+9y=778x+6y=9429.6x+8y=687x+6y=6630.2x+2y=227x+2y=471) 66x+17y=3967 25x+y=1200答案:x=48 y=47 (2) 18x+23y=2303 74x-y=1998答案:x=27 y=79 (3) 44x+90y=7796 44x+y=3476答案:x=79 y=48 (4) 76x-66y=4082 30x-y=2940答案:x=98 y=51 (5) 67x+54y=8546 71x-y=5680答案:x=80 y=59 (6) 42x-95y=-1410 21x-y=1575答案:x=75 y=48 (7) 47x-40y=853 34x-y=2006答案:x=59 y=48 (8) 19x-32y=-1786 75x+y=4950答案:x=66 y=95 (9) 97x+24y=7202 58x-y=2900答案:x=50 y=98 (10) 42x+85y=6362 63x-y=1638答案:x=26 y=62 (11) 85x-92y=-2518 27x-y=486答案:x=18 y=44 (12) 79x+40y=2419 56x-y=1176答案:x=21 y=19 (13) 80x-87y=2156 22x-y=880答案:x=40 y=12(14) 32x+62y=5134 57x+y=2850答案:x=50 y=57 (15) 83x-49y=82 59x+y=2183答案:x=37 y=61 (16) 91x+70y=5845 95x-y=4275答案:x=45 y=25 (17) 29x+44y=5281 88x-y=3608答案:x=41 y=93 (18) 25x-95y=-4355 40x-y=2000答案:x=50 y=59 (19) 54x+68y=3284 78x+y=1404答案:x=18 y=34 (20) 70x+13y=3520 52x+y=2132答案:x=41 y=50 (21) 48x-54y=-3186 24x+y=1080答案:x=45 y=99 (22) 36x+77y=761947x-y=799答案:x=17 y=91 (23) 13x-42y=-2717 31x-y=1333答案:x=43 y=78 (24) 28x+28y=3332 52x-y=4628答案:x=89 y=30 (25) 62x-98y=-2564 46x-y=2024答案:x=44 y=54 (26) 79x-76y=-4388 26x-y=832答案:x=32 y=91 (27) 63x-40y=-821 42x-y=546答案:x=13 y=41 (28) 69x-96y=-1209 42x+y=3822答案:x=91 y=78 (29) 85x+67y=7338 11x+y=308答案:x=28 y=74 (30) 78x+74y=12928 14x+y=1218答案:x=87 y=83 (31) 39x+42y=5331 59x-y=5841答案:x=99 y=35 (32) 29x+18y=1916 58x+y=2320答案:x=40 y=42 (33) 40x+31y=6043 45x-y=3555答案:x=79 y=93 (34) 47x+50y=8598 45x+y=3780答案:x=84 y=93 (35) 45x-30y=-1455 29x-y=725答案:x=25 y=86 (36) 11x-43y=-1361 47x+y=799答案:x=17 y=36 (37) 33x+59y=3254 94x+y=1034答案:x=11 y=49 (38) 89x-74y=-2735 68x+y=1020答案:x=15 y=55(39) 94x+71y=7517 78x+y=3822答案:x=49 y=41 (40) 28x-62y=-4934 46x+y=552答案:x=12 y=85 (41) 75x+43y=8472 17x-y=1394答案:x=82 y=54 (42) 41x-38y=-1180 29x+y=1450答案:x=50 y=85 (43) 22x-59y=824 63x+y=4725答案:x=75 y=14 (44) 95x-56y=-401 90x+y=1530答案:x=17 y=36 (45) 93x-52y=-852 29x+y=464答案:x=16 y=45 (46) 93x+12y=8823 54x+y=4914答案:x=91 y=30 (47) 21x-63y=8420x+y=1880答案:x=94 y=30 (48) 48x+93y=9756 38x-y=950答案:x=25 y=92 (49) 99x-67y=4011 75x-y=5475答案:x=73 y=48 (50) 83x+64y=9291 90x-y=3690答案:x=41 y=92 (51) 17x+62y=3216 75x-y=7350答案:x=98 y=25 (52) 77x+67y=2739 14x-y=364答案:x=26 y=11 (53) 20x-68y=-4596 14x-y=924答案:x=66 y=87 (54) 23x+87y=4110 83x-y=5727答案:x=69 y=29 (55) 22x-38y=804 86x+y=6708答案:x=78 y=24 (56) 20x-45y=-3520 56x+y=728答案:x=13 y=84 (57) 46x+37y=7085 61x-y=4636答案:x=76 y=97 (58) 17x+61y=4088 71x+y=5609答案:x=79 y=45 (59) 51x-61y=-1907 89x-y=2314答案:x=26 y=53 (60) 69x-98y=-2404 21x+y=1386答案:x=66 y=71 (61) 15x-41y=754 74x-y=6956答案:x=94 y=16 (62) 78x-55y=656 89x+y=5518答案:x=62 y=76 (63) 29x+21y=1633 31x-y=713答案:x=23 y=46(64) 58x-28y=2724 35x+y=3080答案:x=88 y=85 (65) 28x-63y=-2254 88x-y=2024答案:x=23 y=46 (66) 43x+50y=7064 85x+y=8330答案:x=98 y=57 (67) 58x-77y=1170 38x-y=2280答案:x=60 y=30 (68) 92x+83y=11586 43x+y=3010答案:x=70 y=62 (69) 99x+82y=6055 52x-y=1716答案:x=33 y=34 (70) 15x+26y=1729 94x+y=8554答案:x=91 y=14 (71) 64x+32y=3552 56x-y=2296答案:x=41 y=29 (72) 94x+66y=1052484x-y=7812答案:x=93 y=27 (73) 65x-79y=-5815 89x+y=2314答案:x=26 y=95 (74) 96x+54y=6216 63x-y=1953答案:x=31 y=60 (75) 60x-44y=-352 33x-y=1452答案:x=44 y=68 (76) 79x-45y=510 14x-y=840答案:x=60 y=94 (77) 29x-35y=-218 59x-y=4897答案:x=83 y=75 (78) 33x-24y=1905 30x+y=2670答案:x=89 y=43 (79) 61x+94y=11800 93x+y=5952答案:x=64 y=84 (80) 61x+90y=5001 48x+y=2448答案:x=51 y=21 (81) 93x-19y=286x-y=1548答案:x=18 y=88 (82) 19x-96y=-5910 30x-y=2340答案:x=78 y=77 (83) 80x+74y=8088 96x-y=8640答案:x=90 y=12 (84) 53x-94y=1946 45x+y=2610答案:x=58 y=12 (85) 93x+12y=9117 28x-y=2492答案:x=89 y=70 (86) 66x-71y=-1673 99x-y=7821答案:x=79 y=97 (87) 43x-52y=-1742 76x+y=1976答案:x=26 y=55 (88) 70x+35y=8295 40x+y=2920答案:x=73 y=91(89) 43x+82y=4757 11x+y=231答案:x=21 y=47 (90) 12x-19y=236 95x-y=7885答案:x=83 y=40 (91) 51x+99y=8031 71x-y=2911答案:x=41 y=60 (92) 37x+74y=4403 69x-y=6003答案:x=87 y=16 (93) 46x+34y=4820 71x-y=5183答案:x=73 y=43 (94) 47x+98y=5861 55x-y=4565答案:x=83 y=20 (95) 30x-17y=239 28x+y=1064答案:x=38 y=53 (96) 55x-12y=4112 79x-y=7268答案:x=92 y=79 (97) 27x-24y=-45067x-y=3886答案:x=58 y=84 (98) 97x+23y=8119 14x+y=966答案:x=69 y=62 (99) 84x+53y=11275 70x+y=6790答案:x=97 y=59 (100) 51x-97y=297 19x-y=1520答案:x=80 y=39。
二元一次方程组练习题(含答案)1.解下列方程组:1) 5x + 2y = 11a,-4y = 6a;2) 4x + 3y - 1 = 0,2x + y - 2 = 0;3) x + 2y/3 - 1/3 = 2,x/3 + 1 - y/2 = 1/2;4) x - y/2 = 1,x + y/2 = 3.2.求解以下方程组:1) 2x + 3y = 7,x - y = 1;2) x + 2y = 5,2x + y = 7;3) 3x + 2y = 8,4x - 3y = -11.3.已知二元一次方程y = kx + b的解有(2,5)和(-1,0)。
1) 求k,b的值;2) 当x = 2时,y的值;3) 当y = 3/5时,x的值。
4.在解方程组2x + y = 5,x - y = 1时,甲看错了方程组中的a,而得到解x = 2,y = 1.乙看错了方程组中的b,而得到解x = 3,y = -1.1) 甲把a看成了什么,乙把b看成了什么?2) 求出原方程组的正确解。
参考答案与解析:1.解下列方程组:1) 5x + 2y = 11a,-4y = 6a。
将第二个方程式化简为y = -3/2a,代入第一个方程式中得到5x + 2(-3/2a) = 11a,化简得到x = (23/10)a,y = (-9/5)a。
2) 4x + 3y - 1 = 0,2x + y - 2 = 0.将第二个方程式中的y用第一个方程式中的x表示,得到y = 2 - 2x,代入第一个方程式中得到4x + 3(2 - 2x) - 1 = 0,化简得到x = 1/2,y = 1.3) x + 2y/3 - 1/3 = 2,x/3 + 1 - y/2 = 1/2.将第二个方程式中的x用第一个方程式中的y表示,得到x = 6 - 2y,代入第一个方程式中得到6 - 4y/3 = 2,化简得到y = 3/2,x = 0.4) x - y/2 = 1,x + y/2 = 3.将两个方程式相加得到2x = 4,化简得到x = 2,代入第一个方程式中得到y = 2.2.求解以下方程组:1) 2x + 3y = 7,x - y = 1.将第二个方程式中的x用第一个方程式中的y表示,得到x = y + 1,代入第一个方程式中得到2(y + 1) + 3y = 7,化简得到y = 1,x = 2.2) x + 2y = 5,2x + y = 7.将第一个方程式中的x用第二个方程式中的y表示,得到x = (7 - y)/2,代入第一个方程式中得到(7 - y)/2 + 2y = 5,化简得到y = 1,x = 2.3) 3x + 2y = 8,4x - 3y = -11.将第一个方程式中的x用第二个方程式中的y表示,得到x = (3y - 11)/4,代入第一个方程式中得到3(3y - 11)/4 + 2y = 8,化简得到y = 1,x = 1.3.已知二元一次方程y = kx + b的解有(2,5)和(-1,0)。
八年级数学二元一次方程组计算题一、基础计算类。
1. x + y = 5 2x - y = 1- 解析:- 将两个方程相加消去y,(x + y)+(2x - y)=5 + 1,即3x=6,解得x = 2。
- 把x = 2代入x + y = 5,得2+y=5,解得y = 3。
所以方程组的解为x = 2 y = 3。
2. 2x+3y = 8 x - 2y=-3- 解析:- 由方程x - 2y=-3可得x=2y - 3。
- 将x = 2y-3代入2x + 3y = 8,得到2(2y - 3)+3y=8。
- 展开式子得4y-6 + 3y = 8,7y=14,解得y = 2。
- 把y = 2代入x = 2y - 3,得x = 2×2-3 = 1。
所以方程组的解为x = 1 y = 2。
3. 3x - y = 7 5x + 2y = 8- 解析:- 由3x - y = 7可得y = 3x - 7。
- 将y = 3x - 7代入5x + 2y = 8,得到5x+2(3x - 7)=8。
- 展开式子得5x + 6x-14 = 8,11x = 22,解得x = 2。
- 把x = 2代入y = 3x - 7,得y = 3×2 - 7=-1。
所以方程组的解为x = 2 y=-1。
- 解析:- 由方程2x - 3y=-1可得2x = 3y - 1,即x=(3y - 1)/(2)。
- 将x=(3y - 1)/(2)代入4x + 5y = 11,得到4×(3y - 1)/(2)+5y = 11。
- 化简得2(3y - 1)+5y = 11,6y-2 + 5y = 11,11y = 13,解得y=(13)/(11)。
- 把y=(13)/(11)代入x=(3y - 1)/(2),得x=(3×frac{13)/(11)-1}{2}=(frac{39)/(11)-1}{2}=(frac{28)/(11)}{2}=(14)/(11)。