数值计算方法杨一都课后习题答案
- 格式:wps
- 大小:2.16 MB
- 文档页数:15
习 题 一 解 答1.取3.14,3.15,227,355113作为π的近似值,求各自的绝对误差,相对误差和有效数字的位数。
分析:求绝对误差的方法是按定义直接计算。
求相对误差的一般方法是先求出绝对误差再按定义式计算。
注意,不应先求相对误差再求绝对误差。
有效数字位数可以根据定义来求,即先由绝对误差确定近似数的绝对误差不超过那一位的半个单位,再确定有效数的末位是哪一位,进一步确定有效数字和有效数位。
有了定理2后,可以根据定理2更规范地解答。
根据定理2,首先要将数值转化为科学记数形式,然后解答。
解:(1)绝对误差:e(x)=π-3.14=3.14159265…-3.14=0.00159…≈0.0016。
相对误差:3()0.0016()0.51103.14r e x e x x -==≈⨯有效数字:因为π=3.14159265…=0.314159265…×10,3.14=0.314×10,m=1。
而π-3.14=3.14159265…-3.14=0.00159…所以│π-3.14│=0.00159…≤0.005=0.5×10-2=21311101022--⨯=⨯所以,3.14作为π的近似值有3个有效数字。
(2)绝对误差:e(x)=π-3.15=3.14159265…-3.14=-0.008407…≈-0.0085。
相对误差:2()0.0085()0.27103.15r e x e x x --==≈-⨯有效数字:因为π=3.14159265…=0.314159265…×10,3.15=0.315×10,m=1。
而π-3.15=3.14159265…-3.15=-0.008407…所以│π-3.15│=0.008407……≤0.05=0.5×10-1=11211101022--⨯=⨯所以,3.15作为π的近似值有2个有效数字。
(3)绝对误差:22() 3.14159265 3.1428571430.0012644930.00137e x π=-=-=-≈-相对误差:3()0.0013()0.4110227r e x e x x--==≈-⨯有效数字:因为π=3.14159265…=0.314159265…×10, 223.1428571430.3142857143107==⨯,m=1。
数值计算方法试题和答案解析(总22页)--本页仅作为文档封面,使用时请直接删除即可----内页可以根据需求调整合适字体及大小--数值计算方法试题一一、 填空题(每空1分,共17分)1、如果用二分法求方程043=-+x x 在区间]2,1[内的根精确到三位小数,需对分( )次。
2、迭代格式)2(21-+=+k k k x x x α局部收敛的充分条件是α取值在( )。
3、已知⎪⎩⎪⎨⎧≤≤+-+-+-≤≤=31)1()1()1(2110)(233x c x b x a x x x x S 是三次样条函数,则a =( ),b =( ),c =( )。
4、)(,),(),(10x l x l x l n 是以整数点n x x x ,,,10 为节点的Lagrange 插值基函数,则∑==nk kx l0)(( ),∑==nk k jk x lx 0)(( ),当2≥n 时=++∑=)()3(204x l x x k k n k k ( )。
5、设1326)(247+++=x x x x f 和节点,,2,1,0,2/ ==k k x k 则=],,,[10n x x x f 和=∆07f 。
6、5个节点的牛顿-柯特斯求积公式的代数精度为 ,5个节点的求积公式最高代数精度为 。
7、{}∞=0)(k kx ϕ是区间]1,0[上权函数x x =)(ρ的最高项系数为1的正交多项式族,其中1)(0=x ϕ,则⎰=14)(dx x x ϕ 。
8、给定方程组⎩⎨⎧=+-=-221121b x ax b ax x ,a 为实数,当a 满足 ,且20<<ω时,SOR 迭代法收敛。
9、解初值问题00(,)()y f x y y x y '=⎧⎨=⎩的改进欧拉法⎪⎩⎪⎨⎧++=+=++++)],(),([2),(]0[111]0[1n n n n n n n n n n y x f y x f h y y y x hf y y 是阶方法。
可编辑修改精选全文完整版数值分析-第1章1.填空题(1)为便于算法在计算机上实现,必须将一个数学问题分解为有限次的四则运算;(2)在数值计算中为避免损失有效数字,尽量避免两个相近数作减法运算;为避免误差的扩大,也尽量避免分母的绝对值远小于分子的绝对值;(3)误差有四大来源,数值分析主要处理其中的截断误差和舍入误差;(4)有效数字越多,相对误差越小;2. 用例1.4的算法计算10,迭代3次,计算结果保留4位有效数字。
//见P4解题思路:假定x0是√a的一个近似值,x0>0,则ax0也是√a的一个近似值,且x0和ax0两个近似值必有一个大于√a,另一个小于√a,设想它们的平均值应为√a的更好的近似值,于是x k+1=1 2(x k+ax k),k=0,1,2,……解:取x0=3,按算法x k+1=12(x k+ax k),k=0,1,2,……迭代3次有:x1=12(x0+10x0)=(3+103)≈3.167x2=12(x1+10x1)=(3.167+103.167)≈3.162x3=12(x2+10x2)=(3.162+103.162)≈3.1623. 推导开平方运算的误差限公式,并说明什么情况下结果误差不大于自变量误差。
//见P8解:已知f(x)=√x,设x∗是准确值,令x是x∗的一个近似值,则相对误差e(f(x))=f(x)−f(x∗),由Taylor公式f(x∗)=f(x)0! +f′(x)1!(x∗−x)+f"(x)2!(x∗−x)2+⋯+f n(x)n!(x∗−x)n+R n(x)其中,R n(x)=f n+1(ξ)(n+1)!(x∗−x)n+1将f(x∗)展开分析有:f(x∗)=√x2√x x∗−x)+⋯+f n(ξ)n!(x∗−x)n+R n(x)∴e(f(x))=f(x)−f(x∗)=− (2√x x∗−x)+⋯+f n(ξ)n!(x∗−x)n+R n(x))∴|e(f(x))|≤ ε(f(x))≤|2√x |ε(x)+⋯+|f n(ξ)n!εn(x)|+|R n(x)|忽略二阶以上无穷小,可得f(x)的误差限公式为ε(f(x))≈2√x(x)。
习题一解答1.取3.14,3.15,227,355113作为π的近似值,求各自的绝对误差,相对误差和有效数字的位数。
分析:求绝对误差的方法是按定义直接计算。
求相对误差的一般方法是先求出绝对误差再按定义式计算。
注意,不应先求相对误差再求绝对误差。
有效数字位数可以根据定义来求,即先由绝对误差确定近似数的绝对误差不超过那一位的半个单位,再确定有效数的末位是哪一位,进一步确定有效数字和有效数位。
有了定理2后,可以根据定理2更规范地解答。
根据定理2,首先要将数值转化为科学记数形式,然后解答。
解:(1)绝对误差:e(x)=π-3.14=3.14159265…-3.14=0.00159…≈0.0016。
相对误差:3()0.0016()0.51103.14r e x e x x -==≈⨯有效数字:因为π=3.14159265…=0.314159265…×10,3.14=0.314×10,m=1。
而π-3.14=3.14159265…-3.14=0.00159…所以│π-3.14│=0.00159…≤0.005=0.5×10-2=21311101022--⨯=⨯所以,3.14作为π的近似值有3个有效数字。
(2)绝对误差:e(x)=π-3.15=3.14159265…-3.14=-0.008407…≈-0.0085。
相对误差:2()0.0085()0.27103.15r e x e x x --==≈-⨯有效数字:因为π=3.14159265…=0.314159265…×10,3.15=0.315×10,m=1。
而π-3.15=3.14159265…-3.15=-0.008407…所以│π-3.15│=0.008407……≤0.05=0.5×10-1=11211101022--⨯=⨯所以,3.15作为π的近似值有2个有效数字。
(3)绝对误差:22() 3.14159265 3.1428571430.0012644930.00137e x π=-=-=-≈- 相对误差:3()0.0013()0.4110227r e x e x x--==≈-⨯有效数字:因为π=3.14159265…=0.314159265…×10,223.1428571430.3142857143107==⨯,m=1。
“数值计算方法”习题解答配套教材:数值分析简明教程,王能超 编著,高等教育出版社,第二版第二章 数值积分2.1 机械求积和插值求积1、(p.94,习题3)确定下列求积公式中的待定参数,使其代数精度尽量高,并指明求积公式所具有的代数精度: ⎰-++-≈hhh f A f A h f A dx x f )()0()()()1(210;⎰++≈10210)43()21()41()()2(f A f A f A dx x f ;⎰+≈1000)()0(41)()3(x f A f dx x f 。
【解】 (1)令2,,1)(x x x f =时等式精确成立,可列出如下方程组:⎪⎪⎩⎪⎪⎨⎧=+=+-=++)3(32)2(0)1(22020210h A A A A h A A A解得:h A h A A 34,3120===,即:⎰-++-≈h h h f f h f hdx x f )]()0(4)([3)(,可以验证,对3)(x x f =公式亦成立,而对4)(x x f =不成立,故公式(1)具有3次代数精度。
(2)令2,,1)(x x x f =时等式精确成立,可列出如下方程组:⎪⎩⎪⎨⎧=++=++=++)3(1627123)2(232)1(1210210210A A A A A A A A A解得:31,32120-===A A A ,即:])43(2)21()41(2[31)(10⎰+-≈f f f dx x f ,可以验证,对3)(x x f =公式亦成立,而对4)(x x f =不成立,故公式(2)具有3次代数精度。
(3)令x x f ,1)(=时等式精确成立,可解得:⎪⎩⎪⎨⎧==324300x A即:⎰+≈1)32(43)0(41)(f f dx x f ,可以验证,对2)(x x f =公式亦成立,而对3)(x x f =不成立,故公式(3)具有2次代数精度。
2、(p.95,习题6)给定求积节点,43,4110==x x 试构造计算积分⎰=10)(dx x f I 的插值型求积公式,并指明该求积公式的代数精度。
习 题 三 解 答1、用高斯消元法解下列方程组。
(1)12312312231425427x x x x x x x x -+=⎧⎪++=⎨⎪+=⎩①②③解:⨯4②+(-)①2,12⨯③+(-)①消去第二、三个方程的1x ,得:1232323231425313222x x x x x x x ⎧⎪-+=⎪-=⎨⎪⎪-=⎩④⑤⑥ 再由52)4⨯⑥+(-⑤消去此方程组的第三个方程的2x ,得到三角方程组:1232332314272184x x x x x x ⎧⎪-+=⎪-=⎨⎪⎪-=⎩回代,得:36x =-,21x =-,19x = 所以方程组的解为(9,1,6)T x =--注意:①算法要求,不能化简。
化简则不是严格意义上的消元法,在算法设计上就多出了步骤。
实际上,由于数值计算时用小数进行的,化简既是不必要的也是不能实现的。
无论是顺序消元法还是选主元素消元法都是这样。
②消元法要求采用一般形式,或者说是分量形式,不能用矩阵,以展示消元过程。
要通过练习熟悉消元的过程而不是矩阵变换的技术。
矩阵形式错一点就是全错,也不利于检查。
一般形式或分量形式: 12312312231425427x x x x x x x x -+=⎧⎪++=⎨⎪+=⎩①②③ 矩阵形式123213142541207x x x -⎛⎫⎛⎫⎛⎫ ⎪⎪ ⎪= ⎪⎪ ⎪ ⎪⎪ ⎪⎝⎭⎝⎭⎝⎭向量形式 123213142541207x x x -⎛⎫⎛⎫⎛⎫⎛⎫ ⎪ ⎪ ⎪ ⎪++= ⎪ ⎪ ⎪ ⎪ ⎪ ⎪ ⎪ ⎪⎝⎭⎝⎭⎝⎭⎝⎭③必须是方程组到方程组的变形。
三元方程组的消元过程要有三个方程组,不能变形出单一的方程。
④消元顺序12x x →→L ,不能颠倒。
按为支援在方程组中的排列顺序消元也是存储算法的要求。
实际上,不按顺序消元是不规范的选主元素。
⑤不能化简方程,否则系数矩阵会变化,也不利于算法设计。
(2)1231231231132323110221x x x x x x x x x --=⎧⎪-++=⎨⎪++=-⎩①②③解:⨯23②+()①11,111⨯③+(-)①消去第二、三个方程的1x ,得: 123232311323523569111111252414111111x x x x x x x ⎧--=⎪⎪⎪-=⎨⎪⎪+=-⎪⎩④⑤⑥ 再由2511)5211⨯⑥+(-⑤消去此方程组的第三个方程的2x ,得到三角方程组:123233113235235691111111932235252x x x x x x ⎧⎪--=⎪⎪-=⎨⎪⎪=-⎪⎩回代,得:32122310641,,193193193x x x =-==, 所以方程组的解为 41106223(,,)193193193Tx =-2、将矩阵1020011120110011A ⎛⎫ ⎪⎪= ⎪- ⎪⎝⎭作LU 分解。
现代数值计算方法习题答案习 题 一1、解:根据绝对误差限不超过末位数的半个单位,相对误差限为绝对误差限除以有效数字本身,有效数字的位数根据有效数字的定义来求.因此49×10-2:E = 0.005; r E= 0.0102; 2位有效数字. 0.0490 :E = 0.00005;r E = 0.00102; 3位有效数字. 490.00 :E = 0.005; r E = 0.0000102;5位有效数字. 2、解:722= 3.1428 …… , π = 3.1415 …… ,取它们的相同部分3.14,故有3位有效数字.E= 3.1428 - 3.1415 = 0.0013 ;r E = 14.3E = 14.30013.0 = 0.00041. 3、解:101的近似值的首位非0数字1α= 1,因此有 |)(*x E r |)1(10121−−××=n < = 21× 10-4, 解之得n > = 5,所以 n = 5 . 4、证:)()(1)()(1)(*11**11**x x x nx E x n x E n n n−=≈−−)(11)()(1)()(*****11****x E nx x x n x x x x nx x E x E r nnnn n r =−=−≈=− 5、解:(1)因为=204.4721…… , 又=)(*x E |*x x −| = |47.420−| = 0.0021 < 0.01, 所以 =*x4.47. (2)20的近似值的首位非0数字1α = 4,因此有|)(*x E r |)1(10421−−××=n < = 0.01 , 解之得n > = 3 .所以,=*x 4.47. 6、解:设正方形的边长为x ,则其面积为2x y =,由题设知x 的近似值为*x = 10 c m .记*y 为y 的近似值,则)(20)(20)(2)(*****x E x x x x x y E =−=−= < = 0.1,所以)(*x E< = 0.005 c m . 7、解:因为)()(*1x x nx x E n n −≈−,所以n x nE x x x n xx E x E r nn nr 01.0)()()(*==−≈=. 8、解:9、证:)()()(**t gtE t t gt S S S E =−≈−=t t E gt t t gt S S S S E r )(22/)()(2**=−≈−= 由上述两式易知,结论. 10、解:代入求解,经过计算可知第(3)个计算结果最好.11、解:基本原则为:因式分解,分母分子有理化、三角函数恒等变形…… (1)通分;(2)分子有理化;(3)三角函数恒等变形.12、解: 因为20=x ,41.1*0=x ,所以|*00x x −| < = δ=×−21021于是有|*11x x −| = |110110*00+−−x x | = 10|*00x x −| < =δ10|*22x x −| = |110110*11+−−x x | = 10|*11x x −| < =δ210类推有 |*1010x x −| < =810102110×=δ 即计算到10x ,其误差限为δ1010,亦即若在0x 处有误差限为δ,则10x 的误差将扩大1010倍,可见这个计算过程是不稳定的.习 题 二1、 解:只用一种方法. (1)方程组的增广矩阵为:−−−−11114423243112M M M → −−−−1010411101110112M M M →−−−11041001110112M M M → 31=x , 12=x , 13=x . (2)方程组的增广矩阵为:−−−−−−017232221413M M M → −−247210250413M M M → −−147200250413M M M → 21=x , 12=x, 2/13=x . (3)适用于计算机编程计算.2、 解:第一步:计算U 的第一行,L 的第一列,得611=u 212=u 113=u 114−=u3/1/112121==u a l 6/1/113131==u a l 6/1/114141−==u a l第二步:计算U 的第二行,L 的第二列,得3/1012212222=−=u l a u 3/213212323=−=u l a u 3/114212424=−=u l a u 5/1/)(2212313232=−=u u l a l 10/1/)(2212414242=−=u u l a l第三步:计算U 的第三行,L 的第三列,得10/37233213313333=−−=u l u l a u 10/9243214313434−=−−=u l u l a u 37/9/)(33234213414343−=−−=u u l u l a l第四步:计算U 的第四行,得370/9553443244214414444−=−−−=u l u l u l a u从而,−−−−3101141101421126 =−−137/910/16/1015/16/10013/10001−−−370/95500010/910/37003/13/23/1001126 由b LY =, 解得Y =(6,-3,23/5,-955/370)T . 由Y UX = , 解得X =(1,-1,1,-1)T . 3、(1)解:首先检验系数矩阵的对称正定性,这可以通过计算其各阶顺序主子式是否大于零来判断. 11a = 3 > 0,2223= 2 > 0, 301022123 = 4 > 0,所以系数矩阵是对称正定的.记系数矩阵为A ,则平方根法可按如下三步进行:第一步 分解:A = L L T . 由公式计算出矩阵的各元素:311=l 33221=l 3622=l 3331=l 3632−=l 233=l 因此, L =−23633036332003. 第二步 求解方程组LY = b . 解得Y = (335,36,2)T . 第三步 求解方程组L T X = Y . 解得X =(0,2,1)T .(2)解:首先检验系数矩阵的对称正定性,这可以通过计算其各阶顺序主子式是否大于零来判断.11a = 3 > 0,2223= 2 > 0, 1203022323 = 6 > 0,所以系数矩阵是对称正定的.记系数矩阵为A ,则平方根法可按如下三步进行:第一步 分解:A = L L T . 由公式计算出矩阵的各元素:311=l 33221=l 3622=l 331=l 632−=l 333=l因此, L =−363036332003 . 第二步 求解方程组LY = b . 解得Y = (335,66−,33)T. 第三步 求解方程组L T X = Y . 解得X = (1,21,31)T. 4、解: 对1=i , 2111==a d ;对2=i , 121−=t , 2121−=l ,252−=d ; 对3=i , 131=t , 2732=t ,2131=l , 5732−=l ,5273=d .所以数组A 的形式为:−−−=527572102521002A 求解方程组LY = b . 解得Y = (4,7,569)T .求解方程组DL T X = Y . 解得X = (910,97,923)T .5、解:(1)设A = LU =1010000000000010010015432l l l l5432106000000000600006006u u u u u 计算各元素得: 51=u ,512=l , 1952=u , 1953=l , 19653=u , 65194=l , 652114=u , 211655=l , 2116655=u .求解方程组LY = d . 解得Y = (1,51−,191,651−,211212)T.求解方程组UX = Y . 解得X = (6651509,6651145,665703,665395−,665212)T.(2)设A = LU =100100132l l3211001u u u 计算各元素得:51=u ,512=l ,5242=u ,2453=l ,241153=u . 求解方程组LY = d . 解得Y = (17,553,24115)T. 求解方程组UX = Y . 解得X = (3,2,1)T . 6、证:(1)(2)相同. 因为此方程组的系数矩阵为严格对角占优矩阵,所以雅可比迭代法和相应的高斯-赛德尔迭代法都收敛. (1)雅可比迭代公式:7107271)(3)(2)1(1+−−=+k k k x x x14141)(3)(1)1(2+−−=+k k k x x x329292)(2)(1)1(3+−−=+k k k x x x高斯-赛德尔迭代公式:7107271)(3)(2)1(1+−−=+k k k x x x14141)(3)1(1)1(2+−−=++k k k x x x329292)1(2)1(1)1(3+−−=+++k k k x x x(2)雅可比迭代公式:545152)(3)(2)1(1+−=+k k k x x x 525351)(3)(1)1(2++−=+k k k x x x 5115152)(2)(1)1(3++=+k k k x x x 高斯-赛德尔迭代公式:545152)(3)(2)1(1+−=+k k k x x x 525351)(3)1(1)1(2++−=++k k k x x x5115152)1(2)1(1)1(3++=+++k k k x x x7、(1)证:因为此方程组的系数矩阵为严格对角占优矩阵,所以雅可比迭代法和相应的高斯-赛德尔迭代法都收敛。
习 题 一 解 答1.取3.14,3.15,227,355113作为π的近似值,求各自的绝对误差,相对误差和有效数字的位数。
分析:求绝对误差的方法是按定义直接计算。
求相对误差的一般方法是先求出绝对误差再按定义式计算。
注意,不应先求相对误差再求绝对误差。
有效数字位数可以根据定义来求,即先由绝对误差确定近似数的绝对误差不超过那一位的半个单位,再确定有效数的末位是哪一位,进一步确定有效数字和有效数位。
有了定理2后,可以根据定理2更规范地解答。
根据定理2,首先要将数值转化为科学记数形式,然后解答。
解:(1)绝对误差:e(x)=π-3.14=3.14159265…-3.14=0.00159…≈0.0016。
相对误差: 有效数字:因为π=3.14159265…=0.314159265…×10,3.14=0.314×10,m=1。
而π-3.14=3.14159265…-3.14=0.00159…所以│π-3.14│=0.00159…≤0.005=0.5×10-2=21311101022--⨯=⨯所以,3.14作为π的近似值有3个有效数字。
(2)绝对误差:e(x)=π-3.15=3.14159265…-3.14=-0.008407…≈-0.0085。
相对误差: 有效数字:因为π=3.14159265…=0.314159265…×10,3.15=0.315×10,m=1。
而π-3.15=3.14159265…-3.15=-0.008407…所以│π-3.15│=0.008407……≤0.05=0.5×10-1=11211101022--⨯=⨯所以,3.15作为π的近似值有2个有效数字。
(3)绝对误差: 相对误差: 有效数字:因为π=3.14159265…=0.314159265…×10, 223.1428571430.3142857143107==⨯,m=1。
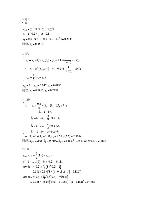
习题三 2 解:()()2112230.2()10.210.80.80.20.80.20.80.61440.4613n n n n n y y y x y y y y +=+--=+⨯-==+⨯--⨯==同理,7. 解:()()()22212111,0.1(2)11,0.1(2)112pn n n n n nc n n n n p n n p c y y hf x y y y x y y hf x y y y x y y y +++⎧=+=+⨯-⎪+⎪⎪=+=+⨯-⎨+⎪⎪=+⎪⎩111230.1,0.097,0.09850.1913,0.2737p c y y y y y =====同理,11. 解:()112341213243123412340.2226833830.223830.228330.21, 1.4, 1.58, 1.05,(0.2) 2.30041.0986,0.7692,0.8681,0.5780,(0.4)2.4654n n nn n n y y k k k k k y k y k k y k k y k k k k k y k k k k y +⎧=+⨯+++⎪⎪=-⎪⎪⎪=--⨯⨯⎨⎪⎪=--⨯⨯⎪⎪=--⨯⨯⎪⎩==========同理,13. 解:()()[]()[]()110.220.22321,00,(0.2)0.181(0.4)(0.2)3(0.2)10.1810.1310.18110.3267(0.6)(0.4)3(0.4)(0.2)0.32670.1310.3267(10.181)0.4468n n nn hy y y y y y y y y y y y y y y +-''=+-'=-=='=+-=+⨯⨯--=⎡⎤⎣⎦''=+-=+⨯⨯---=⎡⎤⎣⎦(0.8)0.5454,(1)0.6265y y ==同理,习题四),(,121)('sin 21)('cos 21)(.2∞-∞∈<≤-==x x xx x x ϕϕϕ证明:迭代函数所以在均收敛。
数值计算方法习题一(2)习题二(6)习题三(15)习题四(29)习题五(37)习题六(62)习题七(70)2009.9,9习题一1.设x >0相对误差为2%4x 的相对误差。
解:由自变量的误差对函数值引起误差的公式:(())(())'()()()()f x xf x f x x f x f x δδ∆=≈得(1)()f x =11()()*2%1%22x x δδδ≈===;(2)4()f x x =时444()()'()4()4*2%8%x x x x x xδδδ≈===2.设下面各数都是经过四舍五入得到的近似数,即误差不超过最后一位的半个单位,试指出他们各有几位有效数字。
(1)12.1x =;(2)12.10x =;(3)12.100x =。
解:由教材9P 关于1212.m nx a a a bb b =±型数的有效数字的结论,易得上面三个数的有效数字位数分别为:3,4,53.用十进制四位浮点数计算 (1)++; (2)+(+)哪个较精确 解:(1)++ ≈21((0.3197100.245610)0.1352)fl fl ⨯+⨯+=2(0.3443100.1352)fl ⨯+=210⨯(2)+(+)21(0.319710(0.245610))fl fl ≈⨯+⨯ = 21(0.3197100.259110)fl ⨯+⨯ =210⨯易见++=210⨯,故(2)的计算结果较精确。
4.计算正方形面积时,若要求面积的允许相对误差为1%,测量边长所允许的相对误差限为多少解:设该正方形的边长为x ,面积为2()f x x =,由(())(())'()()()()f x xf x f x x f x f x δδ∆=≈解得(())()()'()f x f x x xf x δδ≈=2(())(())22f x x f x x xδδ==%5.下面计算y 的公式哪个算得准确些为什么(1)已知1x <<,(A )11121xy x x-=-++,(B )22(12)(1)x y x x =++; (2)已知1x>>,(A )y=,(B )y = (3)已知1x <<,(A )22sin x y x =,(B )1cos2xy x-=;(4)(A)9y =-(B )y =解:当两个同(异)号相近数相减(加)时,相对误差可能很大,会严重丧失有效数字;当两个数相乘(除)时,大因子(小除数)可能使积(商)的绝对值误差增大许多。
第一章 绪论(12)1、设0>x ,x 的相对误差为δ,求x ln 的误差。
[解]设0*>x 为x 的近似值,则有相对误差为δε=)(*x r ,绝对误差为**)(x x δε=,从而x ln 的误差为δδεε=='=*****1)()(ln )(ln x x x x x , 相对误差为****ln ln )(ln )(ln x x x x rδεε==。
2、设x 的相对误差为2%,求n x 的相对误差。
[解]设*x 为x 的近似值,则有相对误差为%2)(*=x r ε,绝对误差为**%2)(x x =ε,从而nx 的误差为nn x x nxn x x n x x x **1***%2%2)()()()(ln *⋅=='=-=εε,相对误差为%2)()(ln )(ln ***n x x x nr==εε。
3、下列各数都是经过四舍五入得到的近似数,即误差不超过最后一位的半个单位,试指出它们是几位有效数字:1021.1*1=x ,031.0*2=x ,6.385*3=x ,430.56*4=x ,0.17*5⨯=x 。
[解]1021.1*1=x 有5位有效数字;0031.0*2=x 有2位有效数字;6.385*3=x 有4位有效数字;430.56*4=x 有5位有效数字;0.17*5⨯=x 有2位有效数字。
4、利用公式(3.3)求下列各近似值的误差限,其中*4*3*2*1,,,x x x x 均为第3题所给的数。
(1)*4*2*1x x x ++; [解]3334*4*2*11***4*2*1*1005.1102110211021)()()()()(----=⨯=⨯+⨯+⨯=++=⎪⎪⎭⎫ ⎝⎛∂∂=++∑x x x x x f x x x e nk k k εεεε;(2)*3*2*1x x x ;[解]52130996425.010********.2131001708255.01048488.2121059768.01021)031.01021.1(1021)6.3851021.1(1021)6.385031.0()()()()()()()()(3333334*3*2*1*2*3*1*1*3*21***3*2*1*=⨯=⨯+⨯+⨯=⨯⨯+⨯⨯+⨯⨯=++=⎪⎪⎭⎫⎝⎛∂∂=-------=∑x x x x x x x x x x x f x x x e n k k kεεεε;(3)*4*2/x x 。
《数值计算方法》课后题答案详解吉 林 大 学第一章 习 题 答 案1. 已知(1)2,(1)1,(2)1f f f −===,求()f x 的Lagrange 插值多项式。
解:由题意知:()01201212001020211012012202121,1,2;2,1,1()()(1)(2)()()6()()(1)(2)()()2()()(1)(1)()()3(1)(2)(1)(2)()2162nj j j x x x y y y x x x x x x l x x x x x x x x x x l x x x x x x x x x x l x x x x x x x x L x y l x ==−=====−−−−==−−−−+−==−−−−−+−==−−−−+−==×+×−∴∑()2(1)(1)131386x x x x +−+×=−+2. 取节点01210,1,,2x x x ===对x y e −=建立Lagrange 型二次插值函数,并估计差。
解11201201210,1,;1,,2x x x y y e y e −−======1)由题意知:则根据二次Lagrange插值公式得:02011201201021012202110.510.520.51()()()()()()()()()()()()()2(1)(0.5)2(0.5)4(1)(224)(43)1x x x x x x x x x x x x L x y y y x x x x x x x x x x x x x x x x e x x e e e x e e x −−−−−−−−−−−−=++−−−−−−=−−+−−−=+−+−−+22)Lagrange 根据余项定理,其误差为(3)2210122()1|()||()||(1)(0.5)|3!61max |(1)(0.5)|,(0,1)6()(1)(0.5),()330.5030.2113()61()0.2113(0.21131)(0.21130.5)0.008026x f R x x e x x x x x x t x x x x t x x x x t x R x ξξωξ−+≤≤==−−≤−−∈′=−−=−+=−==≤××−×−=∴取 并令 可知当时,有极大值3. 已知函数y =在4, 6.25,9x x x ===处的函数值,试通过一个二次插值函数求的近似值,并估计其误差。
数值计算参考答案数值计算参考答案数值计算是一门研究如何使用计算机进行数值计算的学科。
它涉及到数值方法、算法、计算误差等方面的内容,广泛应用于科学、工程、金融等领域。
在实际应用中,我们常常需要通过数值计算来解决实际问题,比如求解方程、计算积分、求解微分方程等等。
本文将介绍一些常见的数值计算方法,并给出相应的参考答案。
一、方程求解方程求解是数值计算中最基础的问题之一。
当我们无法通过代数方法求解方程时,就需要借助数值计算方法来求解。
常见的方程求解方法有二分法、牛顿法、割线法等。
1. 二分法二分法是一种简单而有效的方程求解方法。
它的基本思想是通过不断缩小求解区间,直到找到方程的根。
具体步骤如下:(1)选择一个初始区间[a, b],使得f(a)和f(b)异号;(2)计算区间的中点c=(a+b)/2;(3)判断f(c)与0的关系,如果f(c)为0,则c即为方程的根;如果f(c)与f(a)异号,则新的区间为[a, c],否则为[c, b];(4)重复步骤(2)和(3),直到满足精度要求。
2. 牛顿法牛顿法是一种迭代法,通过不断迭代逼近方程的根。
它的基本思想是利用方程的切线来逼近根的位置。
具体步骤如下:(1)选择一个初始点x0;(2)计算函数f(x)在x0处的导数f'(x0);(3)计算切线的方程,即y=f(x0)+f'(x0)(x-x0);(4)求切线与x轴的交点,即x1=x0-f(x0)/f'(x0);(5)重复步骤(2)到(4),直到满足精度要求。
二、数值积分数值积分是求解定积分的一种方法。
当无法通过解析方法求解定积分时,我们可以通过数值积分来近似计算。
常见的数值积分方法有梯形法则、辛普森法则等。
1. 梯形法则梯形法则是一种简单而常用的数值积分方法。
它的基本思想是将积分区间分成若干个小梯形,然后计算这些小梯形的面积之和。
具体步骤如下:(1)将积分区间[a, b]等分成n个小区间;(2)计算每个小区间的梯形面积,即S=(f(x0)+f(x1))*(x1-x0)/2,其中x0和x1分别为小区间的两个端点;(3)将所有小梯形的面积相加,得到总面积。