数理方法习题参考答案(1)
- 格式:pdf
- 大小:351.52 KB
- 文档页数:38
第一章:统计量及其分布19.设母体ξ服从正态分布N(),,2σμξ和2n S 分别为子样均值和子样方差,又设()21,~σμξN n +且与n ξξξ,,,21 独立, 试求统计量111+--+n n S nn ξξ的抽样分布. 解: 因为ξξ-+1n 服从⎪⎭⎫⎝⎛+21,0σn n N 分布. 所以()1,0~121N nn n σξξ+-+ 而()1~222-n nS nχσ且2n S 与ξξ-+1n 独立,, 所以()1~1111--÷+--+n t S n n n n S nnn σξξ分布. 即111+--+n n S nn εε服从()1-n t 分布. 20.(),,,1,,n i i i =ηξ是取自二元正态分布N()ρσσμμ222121,,,的子样,设()∑∑∑===-===n i i i ni n i i n S n n 12111,1,1ξξηηξξξ2,()2121∑=-=n i i n S ηηη和 ()()()()∑∑∑===----=ni i ni ii ni ir 12211ηηξξηηξξ试求统计量()122221--+---n S rS S S ηξηξμμηξ的分布.解: 由于().21μμηξ-=-E ()()=-+=-ηξηξηξ,c o v 2D D D nn nn2122212σσρσσ-+.所以()()n 212221212σρσσσμμηξ-+---服从()1,0N 分布 .()()()()()()()[]211212121222122ηξηξηηξξηηξξ---=----+-=-+∑∑∑∑====i ini i i ni i ni i ni S rS S S ni i ηξ-是正态变量,类似于一维正态变量的情况,可证ηξηξS rS S S 222-+与ηξ-相互独立.()()1~22221222122--+-+n S rS S S n χσρσσσηξηξ, 所以 统计量()122221--+---n S rS S S ηξηξμμηξ()()()()1)2(222122212221222121--+-+-+---=n S rS S S n nσρσσσσρσσσμμηξηξηξ服从()1-n t 分布.第二章:估计量1. 设n ξξ,,1 是来自二点分布的一个子样,试求成功概率p 的矩法估计量.解: p E =ξ ξ=∴pˆ 3. 对容量为n 的子样,求密度函数()()⎪⎩⎪⎨⎧<<-=其它,00,2;2ax x a a a x f 中参数a 的矩法估计3. 对容量为n 的子样,求密度函数 ()()⎪⎩⎪⎨⎧<<-=其它,00,2;2ax x a a a x f 中参数a 的矩法估计量. 解: ()322adx x a ax E a=-=⎰ξ 令ξ=3a 得ξ3ˆ=a . 4. 在密度函数 ()()10,1<<+=x x a x f a中参数a 的极大似然估计量是什么? 矩法估计量是什么? 解: (1) ()()()∏∏==+=+=ni i ni nni x x L 111ααααα ()i i x ∀<<1∴()().ln 1ln ln 1⎪⎪⎭⎫⎝⎛⋅++=∏=n i i x n L ααα令()0ln 1ln 1=++=∂∂∑=i ni x nL ααα, 得 ∑=--=ni iL xn1ln 1ˆα。
第一套试卷及参考答案一、选择题(40分)1、根据某医院对急性白血病患者构成调查所获得的资料应绘制( B )A 条图B 百分条图或圆图C线图D直方图2、均数和标准差可全面描述 D 资料的特征A 所有分布形式B负偏态分布C正偏态分布D正态分布和近似正态分布3、要评价某市一名5岁男孩的身高是否偏高或偏矮,其统计方法是( A )A 用该市五岁男孩的身高的95%或99%正常值范围来评价B 用身高差别的假设检验来评价C 用身高均数的95%或99%的可信区间来评价D 不能作评价4、比较身高与体重两组数据变异大小宜采用(A )A 变异系数B 方差C 标准差D 四分位间距5、产生均数有抽样误差的根本原因是( A )A.个体差异B. 群体差异C. 样本均数不同D. 总体均数不同6. 男性吸烟率是女性的10倍,该指标为(A )(A)相对比(B)构成比(C)定基比(D)率7、统计推断的内容为( D )A.用样本指标估计相应的总体指标B.检验统计上的“检验假设”C. A和B均不是D. A和B均是8、两样本均数比较用t检验,其目的是检验( C )A两样本均数是否不同B两总体均数是否不同C两个总体均数是否相同D两个样本均数是否相同9、有两个独立随机的样本,样本含量分别为n1和n2,在进行成组设计资料的t检验时,自由度是(D )(A)n1+ n2(B)n1+ n2–1(C)n1+ n2 +1(D)n1+ n2 -210、标准误反映(A )A 抽样误差的大小 B总体参数的波动大小C 重复实验准确度的高低D 数据的离散程度11、最小二乘法是指各实测点到回归直线的 (C)A垂直距离的平方和最小B垂直距离最小C纵向距离的平方和最小D纵向距离最小12、对含有两个随机变量的同一批资料,既作直线回归分析,又作直线相关分析。
令对相关系数检验的t值为tr ,对回归系数检验的t值为tb,二者之间具有什么关系?(C)A tr >tbB tr<tbC tr= tbD二者大小关系不能肯定13、设配对资料的变量值为x1和x2,则配对资料的秩和检验(D )A分别按x1和x2从小到大编秩B把x1和x2综合从小到大编秩C把x1和x2综合按绝对值从小到大编秩D把x1和x2的差数按绝对值从小到大编秩14、四个样本率作比较,χ2>χ20.05,ν可认为( A )A各总体率不同或不全相同 B各总体率均不相同C各样本率均不相同 D各样本率不同或不全相同15、某学院抽样调查两个年级学生的乙型肝炎表面抗原,其中甲年级调查35人,阳性人数4人;乙年级调查40人,阳性人数8人。
数理统计习题答案习题5.1解答1. 设总体服从()λP 分布,试写出样本n X X X ,,,21 的联合分布律. 解:()的分布律为:即X P X ,~λ ()!k e k X P k λλ-==, ,,,2,1,0n k =n X X X ,,,21 的联合分布律为:()n n x X x X x X P ===,,,2211 = ()()()n n x X P x X P x X P === 2211=nx x x x e x e x e nλλλλλλ---⋅2121=λλn n xx x e x x x n-+++!!!2121, n i n x i ,,2,1,,,2,1,0 ==2. 设总体X 服从()1,0N 分布,试写出样本n X X X ,,,21 的联合分布密度. 解:()1,0~N X ,即X 分布密度为:()2221x e x p -=π,+∞<<-∞xn X X X ,,,21 的联合分布密度为: ()∏==ni i n x p x x x p 121*)(,...,=22222221212121n x x x eee--⋅-πππ=()}21exp{2122∑=--n i ix n π n i x i ,,2,1, =+∞<<-∞.3. 设总体X 服从()2,σμN 分布,试写出样本n X X X ,,,21 的联合分布密度. 解:()2,~σμN X ,即X 分布密度为:()x p =()}2exp{2122σμσπ--x ,∞<<-∞xn X X X ,,,21 的联合分布密度为:()()∏==ni inx p x x x p 121*,...,=)})(21exp{21122∑--⋅⋅=-ni i n n x μσσπ, n i x i ,,2,1, =+∞<<-∞.4. 根据样本观测值的频率分布直方图可以对总体作什么估计与推断? 解:频率分布直方图反映了样本观测值落在各个区间长度相同的区间的频率大小,可以估计X 取值的位置与集中程度,由于每个小区间的面积就是频率,所以可以估计或推断X 的分布密度. 5. 略. 6. 略.习题5.2解答1. 观测5头基础母羊的体重(单位:kg)分别为53.2,51.3,54.5,47.8,50.9,试计算这个样本观测值的数字特征:(1)样本总和,(2)样本均值,(3)离均差平方和,(4)样本方差,(5)样本标准差,(6)样本修正方差,(7)样本修正标准差,(8)样本变异系数,(9)众数,(10)中位数,(11)极差,(12)75%分位数.解:设9.50,8.47,5.54,3.51,2.5354321=====x x x x x()7.257151=∑=i ix,()54.51251==∑=i ixx(3) ss =()2512512x n xx xi ii i-=-∑∑===13307.84-5×51.542=25.982(4)2s =()∑=-51251i i x x =51ss =5.1964, (5)s =2.28; (6)s s * =ss n 11-=6.4955 (7)*s =2.5486; (8)cv =100⨯*xs =4.945;(9)每个数都是一个,故没有众数. (10)中位数为3x =51.3; (11)极差为54.5-47.8=6.7;(12)0.75分位数为53.2.2. 观测100支金冠苹果枝条的生长量(单位:cm)得到频数表如下:组下限 19.5 24.5 29.5 34.5 39.5 44.5 49.5 54.5 59.5 组上限 24.5 29.5 34.5 39.5 44.5 49.5 54.5 59.5 64.5 组中值 22 27 32 37 42 47 52 57 62频数 8 11 13 18 18 15 10 4 3试计算这个样本观测值的数字特征:(1)样本总和,(2)样本均值,(3)离均差平方和,(4)样本方差,(5)样本标准差,(6)样本修正方差,(7)样本修正标准差,(8)样本变异系数,(9)众数,(10)中位数,(11)极差,(12)75%分位数.解:设组中值依次为921,,,x x x ,频数依次为921,,,n n n ,=+++=921n n n n 100,()=∑=911i ii x n 3950;()=+=∑=919112i ii xn n n x 39.5;()()=-=-=∑∑==29129123x n xn x x n ss i ii i i i 25.39100166300⨯-=10275;()==ss s 100142102.75; ()=s 510.137;()=-=*ss n s 1162103.788 ()=*s 710.188;()=⨯=*1008xs cv 25.79;()42379或众数是(),50210=n ;中位数为5.3924237=+;()11极差为:62-22=40;()4775.0,83,6812621521分位数为∴=+++=+++n n n n n n .3.略.4. 设n x x x ,,,21 是一组实数,a 和b 是任意非零实数,bax y i i -=(n i ,,1 =),x 、y 分别为i x 、i y 的均值,2xs =∑-iix xn2)(1,2ys =1n()y y i i-∑2,试证明:① b a x y -=;② 222b s s x y =. 解①:∑∑==-==ni i ni i b a x ny ny 1111= ()∑=-ni i a x bn11= ⎪⎪⎭⎫ ⎝⎛-∑=n i i na x nb 11= b a x -; ②2ys =1n∑-ii y y 2)(=∑=⎪⎪⎭⎫ ⎝⎛---ni i b a x b a x n121=∑=⎪⎪⎭⎫⎝⎛-ni i b x x n 121=221x s b .习题5.3解答1.求分位数(1)()8205.0x ,(2)()12295.0x 。
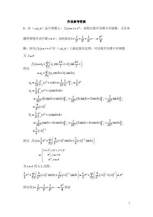
作业参考答案3、在(,ππ-)这个周期上,2()f x x x =+,试将它展开为傅立叶级数,又在本题所得展开式中置x π=,由此验证222211112346π++++=解:因为2()f x x x =+在(,ππ-)上满足狄氏定理,可以展开为傅立叶级数 又 l π=所以()0101()cos sincos sin k k k k k k k k f x a a x b x l l a a kx b kx ππ∞=∞=⎛⎫=++ ⎪⎝⎭=++∑∑23201111()d 2233a x x x x πππππππ--=+==⎰ 21()cos d k a x x kx xπππ-=+⎰()()22312sin cos sin 2cos sin xkx kx kx kx kx kx kx k k k πππππππππ---=+++-()241k k =- 21()sin d k b x x kx xπππ-=+⎰()()22312sin cos 2sin cos cos xkx kx kx kx kx kx kx k k k πππππππππ---=-+--()121k k +=- 所以 ()()1221142()1cos 1sin 3k k k f x kx kx kk π∞+=⎛⎫=+-+- ⎪⎝⎭∑222,,,x x x x x ππππππ⎧+-<<⎪==-⎨⎪=⎩令x π=代入上式得:()()()()122222211142141cos 1sin 1133k k k k k k kx kx k k kπππ∞∞+==⎛⎫⎛⎫+-+-=+-⨯-= ⎪ ⎪⎝⎭⎝⎭∑∑ 所以有222211112346π++++=得证5.(1)()cos ,(0,),(0)0,()0f x x x f f αππ=∈==作奇延拓,展为奇函数(sin 函数)1()sin k k f x b kx ∞==∑2cos sin d k b x kx x παπ=⎰2sin()sin()d 2k x k xx πααπ-++=⎰0111cos()cos()k x k x k k ππααπαα--⎡⎤=-++⎢⎥-+⎣⎦()()111cos cos 1cos cos 1k k k k παππαππαα--⎡⎤=-+-⎢⎥-+⎣⎦12221(1)cos ()k k k αππα+⎡⎤=+-⎣⎦- 12212()1(1)cos sin ,0()k k kf x kx x k απππα∞+=⎡⎤∴=+-<<⎣⎦-∑6. (1)2cos(/),(0,/2)(),(0)0,()00,(,)lx l x l f x f f l x l π∈⎧''===⎨ ∈⎩ 作偶延拓,展为偶函数(cos 函数)01()cos k k k x f x a a l π∞=⎛⎫=+ ⎪⎝⎭∑/2/200002111cos d cos d sin 2l l l x x x a x x l l l l l πππππ⎛⎫⎛⎫⎛⎫==== ⎪ ⎪ ⎪⎝⎭⎝⎭⎝⎭⎰⎰ /202cos cos d l k x k x a x l l l ππ⎛⎫⎛⎫= ⎪ ⎪⎝⎭⎝⎭⎰所以要讨论k =1的情况/221021cos d 2l x a x l l π⎛⎫== ⎪⎝⎭⎰ /202cos cos d l k x k x a x l l l ππ⎛⎫⎛⎫= ⎪ ⎪⎝⎭⎝⎭⎰/202111cos cos d 2l k k x x x l l l ππ⎡+-⎤⎛⎫⎛⎫= ⎪ ⎪⎢⎥⎝⎭⎝⎭⎣⎦⎰ /211111sin sin 11l k k x x k l k l πππ⎡+-⎤⎛⎫⎛⎫=+ ⎪ ⎪⎢⎥+-⎝⎭⎝⎭⎣⎦11111sin sin 1212k k k k πππ⎡+-⎤⎛⎫⎛⎫=+ ⎪ ⎪⎢⎥+-⎝⎭⎝⎭⎣⎦120,212(1),2(41)m k m k m m π+ =+⎧⎪=-⎨ =⎪-⎩121112(1)2()cos cos ,02(41)m m x mf x x x l l m l ππππ+∞=-∴=++<<-∑ (2)()(1/),(0,),(0)0,()0f x a x l x l f f l ''=-∈==作偶延拓,展为偶函数(cos 函数)01()cos k k k x f x a a l π∞=⎛⎫=+ ⎪⎝⎭∑002(1/)d 22l aa a x l x l =-=⎰ 02(1)cos d l k x k x a a x l l l π⎛⎫=- ⎪⎝⎭⎰ 202221sin cos l a l k k k x x x l l k l l l ππππ-⎛⎫=+ ⎪⎝⎭()222202211421(21)k k n a a k n k n ππ=⎧⎪⎡⎤=--=⎨⎣⎦=+⎪+⎩220421()cos ,02(21)n a a n f x x x l n lππ∞=+∴=+<<+∑8.矩形波()f x 在(/2,/2)T T -这个周期上可以表示为0,/2/2(),/2/20,/2/2T x f x H x x T ττττ-<<-⎧⎪=<<-⎨⎪<<⎩试将它展为复数形式的傅立叶级数解:因为()f x 在(/2,/2)T T -上满足狄氏定理,可以展开为复数形式的傅立叶级数 又 2l T =2()k k ix ix lTkkk k f x c ec eππ∞∞=-∞=-∞==∑∑22/2/2/2/211()d d k k T i x i x T Tk T c f x e x He x T T ππττ--==⎰⎰ 2/2/22k ixTH T e T i k πττπ-⎛⎫=⎪-⎝⎭sin 2k k i i TT H e e H k k i k T πτπτπτππ-⎛⎫- ⎪== ⎪ ⎪⎝⎭当k =0时,/2/2/2/211()d d T k T H c f x x H x T T Tτττ--===⎰⎰ 2211()sin sin k k i x i x T Tk k H H k H k f x e e T k T k T ππτπτπτππ-∞=-∞=∴=++∑∑*****************************************************************3.把下列脉冲()f t 展开为傅立叶积分0,(),0,00,t T f t h T t h t T t T⎧⎪<-⎪⎪=--<<⎨⎪<<⎪>⎪⎩解:在(,)t ∈-∞∞,()f t 满足狄氏条件,且绝对可积,所以()f t 可以展开为付氏积分。
第八章 假 设 检 验三、解答题1. 某种零件的长度服从正态分布,方差σ2 = 1.21,随机抽取6件,记录其长度(毫米)分别为32.46,31.54,30.10,29.76,31.67,31.23在显著性水平α = 0.01下,能否认为这批零件的平均长度为32.50毫米? 解:这是单个正态总体均值比较的问题,若设该种零件的长度),(~2σμN X ,则需要检验的是:00:μμ=H 01:μμ≠H由于2σ已知,选取nX Z σμ0-=为检验统计量,在显著水平α = 0.01下,0H 的拒绝域为:}|{|}|{|005.02Z z Z z ≥=≥α查表得 2.575829005.0=Z ,现由n =6, 31.1266711∑===ni i x n x ,1.1=σ, 50.320=μ计算得:3.0581561.132.5-31.126670==-=nX z σμ005.0Z z >可知,z 落入拒绝域中,故在0.01的显著水平下应拒绝0H ,不能认为这批零件的平均长度为32.50毫米。
EXCEL 实验结果:2. 正常人的脉搏平均每分钟72次,某医生测得10例“四乙基铅中毒”患者的脉搏数如下:54,67,68,78,70,66,67,65,69,70已知人的脉搏次数服从正态分布,问在显著水平α = 0.05下,“四乙基铅中毒”患者的脉搏和正常人的脉搏有无显著差异?解:这是单个正态总体均值比较的问题,若设“四乙基铅中毒”患者的脉搏数),(~2σμN X ,则需要检验的是:0:μμ=H1:μμ≠H由于方差未知,选取ns X T 0μ-=为检验统计量,在显著水平α = 0.05下,0H 的拒绝域为:)}9(|{|)}1(|{|2/05.02t t n t t ≥=-≥α查表得 2.26215716)9(025.0=t ,现由n =10, 67.411∑===n i i x n x , ()35.155555611122∑==--=n i i x x n s , 计算得2.45335761035.1555556724.670=-=-=nsX t μ)9(025.0t t >可知,t 落入拒绝域中,故在0.05的显著水平下应拒绝0H ,“四乙基铅中毒”患者的脉搏和正常人的脉搏有显著差异。
习题五1试检验不同日期生产的钢锭的平均重量有无显著差异?(α=0.05) 解 根据问题,因素A 表示日期,试验指标为钢锭重量,水平为5.假设样本观测值(1,2,3,4)ij y j =来源于正态总体2~(,),1,2,...,5i i Y N i μσ= .检验的问题:01251:,:i H H μμμμ===L 不全相等 .计算结果:表5.1 单因素方差分析表注释: 当=0.001表示非常显著,标记为 ‘***’,类似地,= 0.01,0.05,分别标记为 ‘**’ ,‘*’ .查表0.95(4,15) 3.06F =,因为0.953.9496(4,15)F F =>,或p = 0.02199<0.05, 所以拒绝0H ,认为不同日期生产的钢锭的平均重量有显著差异.2 考察四种不同催化剂对某一化工产品的得率的影响,在四种不同催化剂下分别做试验 试检验在四种不同催化剂下平均得率有无显著差异?(α=0.05)解根据问题,设因素A 表示催化剂,试验指标为化工产品的得率,水平为4 .假设样本观测值(1,2,...,)ij i y j n =来源于正态总体2~(,),1,2,...,5i i Y N i μσ= .其中样本容量不等,i n 分别取值为6,5,3,4 .检验的问题:012341:,:i H H μμμμμ===不全相等 .计算结果:表5.2 单因素方差分析表查表0.95(3,14) 3.34F =,因为0.952.4264(3,14)F F =<,或p = 0.1089 > 0.05,所以接受0H ,认为在四种不同催化剂下平均得率无显著差异 .3 试验某种钢的冲击值(kg ×m/cm2),影响该指标的因素有两个,一是含铜量A ,另试检验含铜量和试验温度是否会对钢的冲击值产生显著差异?(α=0.05) 解 根据问题,这是一个双因素无重复试验的问题,不考虑交互作用.设因素,A B 分别表示为含铜量和温度,试验指标为钢的冲击力,水平为12.假设样本观测值(1,2,3,1,2,3,4)ij yi j ==来源于正态总体2~(,),1,2,3,ij ij Y N i μσ=1,2,3,4j = .记i α⋅为对应于i A 的主效应;记j β⋅为对应于j B 的主效应;检验的问题:(1)10:i H α⋅全部等于零,11:i H α⋅不全等于零;(2)20:j H β⋅全部等于零,21:j H β⋅不全等于零; 计算结果:表5.3 双因素无重复试验的方差分析表查表0.95(2,6) 5.143F =,0.95(3,6) 4.757F =,显然计算值,A B F F 分别大于查表值,或p = 0.0005,0.0009 均显著小于0.05,所以拒绝1020,H H ,认为含铜量和试验温度都会对钢的冲击值产生显著影响作用.设每个工人在每台机器上的日产量都服从正态分布且方差相同 .试检验:(α=0.05)1) 操作工之间的差异是否显著? 2) 机器之间的差异是否显著?3) 它们的交互作用是否显著?解 根据问题,这是一个双因素等重复(3次)试验的问题,要考虑交互作用.设因素,A B 分别表示为机器和操作,试验指标为日产量,水平为12. 假设样本观测值(1,2,3,1,2,3,4)ijk y i j ==来源于正态总体2~(,),1,2,3,ij ij Y N i μσ= 1,2,3,4j =,1,2,3k = .记i α⋅为对应于i A 的主效应;记j β⋅为对应于j B 的主效应;记ij γ为对应于交互作用A B ⨯的主效应; 检验的问题:(1)10:i H α⋅全部等于零,11:i H α⋅不全等于零; (2)20:j H β⋅全部等于零,21:j H β⋅不全等于零; (3)30:ij H γ全部等于零,31:ij H γ不全等于零;计算结果:表5.4 双因素无重复试验的方差分析表查表0.95(3,24) 3.01F =,0.95(2,24) 3.4F =,0.95(6,24) 2.51F =,计算值 3.01,A F <3.4, 2.51B A B F F ⨯>>,或0.05A p >>,而,B A B p p ⨯均显著小于0.05,所以拒绝2030,H H ,接受10H ,认为操作工之间的差异显著,机器之间的差异不显著,它们之间的交互作用显著 . 5 某轴承厂为了提高轴承圈退火的质量,制定因素水平分级如下表所示因素 上升温度℃ 保温时间(h)出炉温度℃水平1 800 6 400 水平28208500试填好正交试验结果分析表并对试验结果进行直观分析和方差分析 .解 根据题意,这是一个3因素2水平的试验问题 .试验指标为硬度的合格率 .应选择正交表44(2)L 来安排试验,随机生成正交试验表如下:方差来源 自由度 平方和 均方 F 值 P 值 因素A 因素B 相互效应A ×B误差 总和3 2 6 24 352.750 27.167 73.5 41.333 144.750.917 13.583 12.250 1.7220.5323 7.8871 7.11290.6645 0.00233** 0.00192**由此可见第三号试验条件为:上升温度800℃、保温时间6h 、出炉温度500℃ . 直观分析需要计算K 值,计算结果如下:直观分析 由计算的K 值知,因素A 、B 、C 的极差分别为70,40,40,因此主次关系为A B C >=,B ,C 相当 .由于试验指标为硬度的合格率,应该是越大越好,所以各确定因素的水平分别是121,,A B C ,即最佳的水平组合是121A B C ,即最佳搭配为:上升温度800℃、保温时间8h 、出炉温度400℃.采用方差分析法,计算得下表:表5.7 方差分析表方差来源平方和 自由度 均方差 F 值 A 1225 1 1225 1 B 400 1 400 0.33 C 400 1 400 0.33 误差 1225 1 1225 总和32504如果显著性检验水平取0.1α=,则查表得0.9(1,1)39.9F =,显然计算的F 值1,0.33A B C F F F ===均小于查表值,所以认为三个因素对结果影响都显著 .6问应选用哪张正交表安排试验,并写出第8号试验的条件;如果9组试验结果为(单位:kg/100m 2):62.925,57.075,51.6,55.05,58.05,56.55,63.225,50.7,54.45,试对该正交试验结果进行直观分析和方差分析.解 该问题属于3因素3水平的试验问题,试验指标为水稻产量 .根据题意应选择正交表49(3)L 来安排试验,随机生成正交表如下:由表可知,第8号试验的条件:品种(A 3)珍珠矮11号,插值密度(B 2)3.75棵/100m 2,施肥量(C 1)0.75kg/100m 2纯氨; 直观分析需要计算K 值,计算结果如下:同上题进行直观分析,得出K 值的大小关系为:111312212223333132,,K K K K K K K K K >>>>>>由直观分析看出:本例较好的水平搭配是:113A B C 采用方差分析法,计算得下表:表5.10 方差分析表方差来源平方和自由度 均方差F 值A 1.759 2 0.879 0.0223B 65.861 2 32.931 0.8361C 6.660 2 3.330 0.0845 误差78.776 239.388 39.3880.9(2,2)9F =,所以认为三个因素对结果影响都不显著.7 在阿魏酸的合成工艺考察中,为了提高产量,选取了原料配比A ,吡啶量B 和反应时间C 三个因素,它们各取了7个水平如下:原料配比A :1.0,1.4,1.8,2.2,2.6,3.0,3.4 吡啶量B :10,13,16,19,22,25,28 反应时间C :0.5,1.0,1.5,2.0,2.5,3.0,3.5试选用合适的均匀设计表安排试验,并写出第7号试验的条件;如果7组试验的结果(收率)为:0.33,0.336,0.294,0.476,0.209,0.451,0.482,试对该均匀试验结果进行直观分析并通过回归分析发现可能更好的工艺条件.解 根据题意选择均匀设计表47(7)U 来安排试验,有3个因素,根据使用表,实验安排如:表5.11 试验安排表6 6 5 4 0.4517 7 7 7 0.482 所以第7号实验的条件为:原配料比3.4,吡啶量28ml,反应时间3.5h.通过直观分析,最好的实验条件是:原配料比3.4,吡啶量28ml,反应时间3.5h. 通过回归分析,最合适的实验条件是:原配料比2.6,吡啶量16ml,反应时间0.5h.习题六1 从某中学高二女生中随机选取8名,测得其升高、体重如下:1 2 3 4 5 6 78身高(cm)160 159 160 157 169 162 165 154体重(kg)49 46 53 41 49 50 48 43在绝对距离下,试用最短距离法和离差平方和法对其进行聚类分析.解由R软件,用最短距离(左)和差离平方和法(右)对题目进行聚类分析如下图6.1,表6.1和表6.2:最短距离法离差平方和法图6.1 聚类树形图表6.1 聚类附表(最短距离法)步骤聚类合并系数首次出现的阶段类别下一步组1 组2 组1 组21 1 6 5.000 0 0 22 1 2 10.000 1 0 43 4 8 13.000 0 0 74 1 7 13.000 2 0 55 1 3 13.000 4 0 66 1 5 17.000 5 0 7表6.2 聚类附表(离差平方和法)2 已知五个变量的距离矩阵为03674012340444401592343331).;2);3)036034022020401000⎛⎫⎛⎫⎛⎫⎪ ⎪ ⎪ ⎪ ⎪ ⎪ ⎪ ⎪ ⎪ ⎪ ⎪ ⎪ ⎪ ⎪ ⎪ ⎪ ⎪ ⎪⎝⎭⎝⎭⎝⎭试用最短距离法和最长距离法对这些变量进行聚类,并画出聚类图和二分树.解 针对距离矩阵1),采用两种方法计算如下. ①最短距离法的聚类步骤如下:12345036740159036020w w w w w ⎛⎫ ⎪⎪ ⎪ ⎪⎪⎪⎝⎭a )将()236,1w w f h =合并为一类,,{}11456,,,,H w w w h =距离矩阵如下0743023060⎛⎫ ⎪⎪ ⎪ ⎪⎝⎭{}()457457),,,2b w w h w w f h ==合并为一类,{}2167,,,H w h h =距离矩阵如下:034030⎛⎫ ⎪⎪ ⎪⎝⎭{}()()1681689),,3,3c w h h w h f h f h ===合并为一类,最后,,聚类图和树状图如图6.2:图6.2 聚类图(左)与树状图(右)②最长距离法与最短距离法类似,步骤如下: a )()236,1w w f h =合并为一类,{}11456,,,,H w w w h =距离矩阵如下0746025090⎛⎫ ⎪⎪ ⎪ ⎪⎝⎭ {}(){}4574572167),,,2,,,b w w h w w f h H w h h ===合并为一类,距离矩阵如下:067090⎛⎫⎪⎪ ⎪⎝⎭{}()()1681689),,69c w h h w h f h f h ===合并为一类,最后,,,聚类图和树状图如图6.3:图6.3 聚类图(左)与树状图(右)(2)针对距离矩阵2)012340234034040⎛⎫ ⎪⎪ ⎪ ⎪⎪⎪⎝⎭①最短距离法的聚类步骤如下 a )()216,1w w f h =合并为一类,{}13456,,,,0342043040H w w w h =⎛⎫⎪⎪ ⎪ ⎪⎝⎭距离矩阵如下{}()367367),,,2b w h h w h f h ==合并为一类,{}24567,,,,H w w h h =聚类矩阵如下:043040⎛⎫⎪⎪ ⎪⎝⎭{}(){}()4784789879),,3,,4c w h h w h f h h w h f h ====合并为一类,最后,,聚类图和树状图如图6.4:图6.4 聚类图(左)与树状图(右)②由于本题数据的特殊性,最长距离法与最短距离法结果相同(略). (3)044440333022010⎛⎫ ⎪⎪ ⎪ ⎪⎪⎪⎝⎭最短距离法的聚类步骤如下a ) ()456,1w w f h =合并为一类,{}11236,,,,H w w w h =距离矩阵如下0444033020⎛⎫ ⎪⎪ ⎪ ⎪⎝⎭{}(){}36736724567),,,2,,,,b w h h w h f h H w w h h ===合并为一类,距离矩阵如下:044030⎛⎫⎪⎪ ⎪⎝⎭{}(){}()4784789879),,3,,4c w h h w h f h h w h f h ====合并为一类,最后,,,聚类图和树状图如图6.5:图6.5 聚类图(左)与树状图(右)由于本题数据的特殊性,最长距离法与最短距离法结果相同(略).3 在一项关于作物对土壤营养的反应的研究中,要测定土壤的总磷量和总氮量(占干物质重的百分比),今对10份土样测得数据如下:总氮量(%)0.120.63 1.19 2.30 1.29 0.73 0.52 0.33 0.61 0.470.66在绝对距离下,试用重心法对其进行聚类分析.解由R软件得到重心法聚类分析的结果如图6.6与表6.3:图6.6 聚类树形图表6.3 聚类过程记录表步骤聚类合并系数首次出现的阶段类别下一步组1 组2 组1 组21 1 8 .001 0 0 22 1 10 .002 1 0 43 6 9 .005 0 0 64 15 .010 2 0 75 2 4 .010 0 0 86 67 .027 3 0 77 1 6 .048 4 6 88 1 2 .459 7 5 99 1 3 2.572 8 0 04 1975年Dagnelie收集了11年的气象数据资料如下表变量年序x1x2x3x4其中:x 1—前一年11月12日的降水量;x 2—7月均温;x 3—7月降雨量;x 4—月日辐射,试对这四个气象因子进行主成分分析. 解 由R 软件分析得到如下表6.4,6.5:表6.4 各主成分的重要性:主成分1 主成分2 主成分3 主成分4 标准差 1.6103349 0.9890848 0.53407741 0.37854199 方差贡献率 0.6482947 0.2445722 0.07130967 0.03582351 累积贡献率0.64829470.89286680.964176491.00000000表6.5 因子荷载:主成分1 主成分2 主成分3 主成分4 X1 0.291 0.871 0.332 -0.214 X2 -0.506 0.425 -0.742 -0.111 X3 0.577 0.136 -0.418 0.688 X4-0.5710.2050.4040.685由于前两个主成分对应的累积贡献率已经达到89.287,因此选取主成分的数目为2.5 对某初中12岁的女生进行体检,测量其身高x 1、体重x 2、胸围x 3和坐高x 4,共测得58个样本,并算得1234(,,,)x x x x x ='的样本协方差为19.9410.5023.566.5919.7120.958.637.97 3.937.55S ⎛⎫ ⎪⎪= ⎪ ⎪ ⎪⎝⎭ 试进行样本主成分分析.解 首先计算样本的相关系数矩阵:10.484410.32240.887210.70330.59760.31251⎛⎫ ⎪ ⎪ ⎪ ⎪⎝⎭设相关系数矩阵的特征值和特征向量分别为d 和v 阵,计算得到0.0546000 0 0.312600= 000.96470 000 2.6681d ⎛⎫ ⎪ ⎪ ⎪ ⎪⎝⎭即四个特征值依次为:2.6681,0.9647,0.3126,0.0546,前两个主成分的累计贡献率为:90.8471%,因此提取主成分为2.四个特征根相应的特征向量为0.06000.70600.5333 0.4620 0.7317 0.17430.34040.5642=0.60570.19320.60400.48060.30690.65870.48460.4870v -⎛⎫ ⎪-⎪ ⎪--- ⎪-⎝⎭ 因此,两个主成分的表达式为:112340.060.73170.60570.3069z x x x x =+-- 212340.7060.17430.19320.6587z x x x x =-+-+6 比较因子分析和主成分分析模型的异同,阐明两者的关系. 解(1)提取公因子的方法主要有主成分法和公因子法.若采取主成分法,则主成分分析和因子分析基本等价,该法从解释变量的变异的角度出发,尽量使变量的方差能被主成分解释;而公因子法主要从解释变量的相关性角度,尽量使变量的相关程度能被公因子解释,当因子分析目的重在确定结构时则用到该法.(2)主成分分析和因子分析都是在多个原始变量中通过他们之间的内部相关性来获得新的变量,达到既减少分析指标个数,又能概括原始指标主要信息的目的.但他们各有其特点:主成分分析是将n 个原始变量提取m 个支配原始变量的公因子,和1个特殊因子,各因子之间可以相关或不相关.(3)统用降维的方法,但差异也很明显:主成分分析把方差划分为不同的正交成分,而因子分析则把方差化分为不同的起因因子;因子分析中的特征值的计算只能从相关系数矩阵出发,且必须把主成分划分为因子.(4)因子分析提取的公因子比主成分分析提取的主成分更具有可解释性.(5)两者分析的实质及重点不同.主成分的数学模型为Y AX =,因子分析的数学模型为X AF ε=+.因而可知主成分分析是实际上是线性变换,无假设检验,而因子分析是统计模型,某些因子模型是可以得到假设检验的;主成分分析主要综合原始数据的信息,而因子分析重在解释原始变量之间的关系.(6)SPSS 数据的实现:两者都通过“analyzedata reduction Factor ···”过程实现,但主成分分析主要使用“descriptires ”,“extraction ”,“stores ”对话框,而因子分析处使用这些外,还可使用“rotaction ”对话框进行因子旋转.7 试对第4题的变量作因子分析,并将结果和上面的结果进行比较. 解 用SPSS 分析,计算结果如下表6.6-6.8:表6.6 反应压缩比情况表 提取方法: 主成分法计算的相关系数矩阵的特征值和方差贡献率:表6.7 方差解释度提取方法: 主成分法表6.8 主成分矩阵8 为研究某一树种的叶片形态,选取50片叶测量其长度x 1(mm )和宽度x 2(mm ),按样本数据求得其平均值和协方差矩阵为:129048134,92,4845x x S ⎛⎫=== ⎪⎝⎭求出相关系数阵R ,并由R 出发作因子分析;解1)求相关系数矩阵:904810.7303,48900.73031S R ⎛⎫⎛⎫== ⎪ ⎪⎝⎭⎝⎭ 2)用R 软件求R 的特征根及其相应的特征向量,软件输出结果如下:$values[1] 2.99393809 0.07273809 $vectors[,1] [,2] [1,] 0.7071068 -0.7071068 [2,] 0.7071068 0.7071068122.9939,0.0727,λλ∴==12(),()0.7071,0.7071-0.7071,0.7071T Tηη==3) 求载荷矩阵A :1.22350.19071.22350.1907A -⎛⎫= ⎪⎝⎭4)22121.5333, 1.5333,h h == 0.98810.154*0.98810.154A -⎛⎫= ⎪⎝⎭12121,1,0.3043,0.3043u u v v ===-=,222222000011112,0,()0.9074,20i i iii i i i i i A u B v C u v D u v =========-===∑∑∑∑9 1981年,生物学家Grogan 和Wirth 对两种蠓虫Af 和Apf 根据其触角长度x 1和翼长x 2进行了分类,分类的数据资料如下:Af 1 2 3 4 5 6 7 8 x 1 1.24 1.36 1.38 1.38 1.38 1.40 1.48 1.54 x 2 1.27 1.74 1.64 1.82 1.90 1.70 1.82 1.82 Apf 1 2 3 4 5 6 x 1 1.14 1.18 1.20 1.26 1.28 1.30 x 2 1.78 1.96 1.86 2.00 2.00 1.96 (1)试建立Af 和Apf 的Fisher 判别模型;(2)对样本(1.24,1.80),(1.28,1.84),(1.40,2.04)进行判别分类. 解 (1)建立Fisher 判别模型991122121111(,)(1.42,1.75),(,)(1.23,1.93)99T TT T i i i i i i x x y y μμ======∑∑120.08480.1490.01980.0218,0.1490.39120.02180.039A A ⎛⎫⎛⎫== ⎪ ⎪⎝⎭⎝⎭12120.0080.0130.0130.0332A A n n ⎛⎫+== ⎪+-⎝⎭∑()120.19,0.18Tμμ-=-,()()121 1.325,1.842T μμ+= 1345.05135.42135.4283.33--⎛⎫= ⎪-⎝⎭∑, 带入Fisher 判别函数 ()12345.05135.42[(,)(1.325,1.84)]0.19,0.18135.4283.33Tx x -⎛⎫-- ⎪-⎝⎭1291.301741.336944.534x x =--(2)把三个样本(1.24,1.80),(1.28,1.84),(1.4,2.04)带入模型,得到结果:三个样本均属于Apf 类.10 在两个玉米品种之间进行判别:137玉米G 1和甜玉米G 2,选取的两个变量是:x 1—玉米果穗长;x 2—玉米果穗直径,两个类的样本容量为n 1=n 2=40,实际算得两个类的样本均值和样本协方差为:121218.5625.348.120 4.4589.661 3.720,,,5.98 4.12 4.458 4.350 3.720 3.410x x S S ⎛⎫⎛⎫⎛⎫⎛⎫==== ⎪ ⎪ ⎪ ⎪⎝⎭⎝⎭⎝⎭⎝⎭试建立G 1,G 2的Bayes 类线性判别函数.解 因为已知两类的样本均值和样本协方差为:12(18.56,5.98),(25.34,4.12)T T x x ==,128.120 4.4589.661 3.720,4.458 4.350 3.720 3.410S S ⎛⎫⎛⎫== ⎪ ⎪⎝⎭⎝⎭可计算得到修正的公共协方差矩阵和逆矩阵12120.2280.1450.1450.0992A A n n ⎛⎫+== ⎪+-⎝⎭∑,15.6393.738.25147.38--⎛⎫= ⎪-⎝⎭∑()()()121216.78,1.86,21.95,5.052TTμμμμ-=-+= 带入Fisher 判别函数()112121(())()2T W x x μμμμ-=-+-∑ ()()12 5.6393.73[(,)21.95,5.05] 6.78,1.868.25147.38Tx x -⎛⎫=-- ⎪-⎝⎭1274.396.951141.29x x =-+-。
概率论与数理统计习题及答案习题 一1.写出下列随机试验的样本空间及下列事件包含的样本点。
(1) 掷一颗骰子,出现奇数点。
(2) 掷二颗骰子,A =“出现点数之和为奇数,且恰好其中有一个1点.”B =“出现点数之和为偶数,但没有一颗骰子出现1点.” (3)将一枚硬币抛两次, A =“第一次出现正面。
” B =“至少有一次出现正面。
”C =“两次出现同一面.” 【解】{}{}1123456135A Ω==(),,,,,,,,;{}{}{}{}{}(2)(,)|,1,2,,6,(12),(14),(16),(2,1),(4,1),(6,1),(22),(24),(26),(3,3),(3,5),(4,2),(4,4),(4,6),(5,3),(5,5),(6,2),(6,4),(6,6);(3)(,),(,),(,),(,),(,),(,),(,),(,),(i j i j A B A B ΩΩ=======,,,,,,正反正正反正反反正正正反正正正反反{}{},),(,),(,),C =正正正反反2。
设A ,B ,C 为三个事件,试用A ,B ,C 的运算关系式表示下列事件: (1) A 发生,B ,C 都不发生; (2) A 与B 发生,C 不发生; (3) A ,B ,C 都发生;(4) A ,B ,C 至少有一个发生; (5) A ,B ,C 都不发生; (6) A ,B ,C 不都发生; (7) A ,B ,C 至多有2个发生;(8) A ,B ,C 至少有2个发生. 【解】(1) A BC (2) AB C (3) ABC(4) A ∪B ∪C =AB C ∪A B C ∪A BC ∪A BC ∪A B C ∪AB C ∪ABC =ABC(5) ABC =A B C (6) ABC(7) A BC ∪A B C ∪AB C ∪AB C ∪A BC ∪A B C ∪ABC =ABC =A ∪B ∪C (8) AB ∪BC ∪CA =AB C ∪A B C ∪A BC ∪ABC5.设A ,B 为随机事件,且P (A )=0。
第一章 随机事件及其概率1. 写出下列随机试验的样本空间:(1)同时掷两颗骰子,记录两颗骰子的点数之和; (2)在单位圆内任意一点,记录它的坐标;(3)10件产品中有三件是次品,每次从其中取一件,取后不放回,直到三件次品都取出为止,记录抽取的次数;(4)测量一汽车通过给定点的速度. 解 所求的样本空间如下(1)S= {2,3,4,5,6,7,8,9,10,11,12} (2)S= {(x, y)| x 2+y 2<1}(3)S= {3,4,5,6,7,8,9,10} (4)S= {v |v>0}2. 设A 、B 、C 为三个事件,用A 、B 、C 的运算关系表示下列事件: (1)A 发生,B 和C 不发生; (2)A 与B 都发生,而C 不发生; (3)A 、B 、C 都发生; (4)A 、B 、C 都不发生; (5)A 、B 、C 不都发生; (6)A 、B 、C 至少有一个发生; (7)A 、B 、C 不多于一个发生; (8)A 、B 、C 至少有两个发生. 解 所求的事件表示如下(1)(2)(3)(4)(5)(6)(7)(8)A B C A B C A B CA B CA B C A B CA B B C A CA BB CC A3.在某小学的学生中任选一名,若事件A 表示被选学生是男生,事件B 表示该生是三年级学生,事件C 表示该学生是运动员,则 (1)事件AB 表示什么?(2)在什么条件下ABC =C 成立?(3)在什么条件下关系式C B ⊂是正确的? (4)在什么条件下A B =成立? 解 所求的事件表示如下(1)事件AB 表示该生是三年级男生,但不是运动员.(2)当全校运动员都是三年级男生时,ABC =C 成立.(3)当全校运动员都是三年级学生时,关系式C B ⊂是正确的.(4)当全校女生都在三年级,并且三年级学生都是女生时,A B =成立. 4.设P (A )=0.7,P (A -B )=0.3,试求()P AB 解 由于 A -B = A – AB , P (A )=0.7 所以P (A -B ) = P (A -AB ) = P (A ) -P (AB ) = 0.3,所以 P (AB )=0.4, 故()P AB= 1-0.4 = 0.6.5. 对事件A 、B 和C ,已知P(A) = P(B)=P(C)=14,P(AB) = P(CB) = 0, P(AC)= 18求A 、B 、C 中至少有一个发生的概率. 解 由于,()0,⊂=ABC AB P AB 故P(ABC) = 0则P(A+B+C) = P(A)+P(B)+P(C) –P(AB) –P(BC) –P(AC)+P(ABC)1111500044488=++---+=6. 设盒中有α只红球和b 只白球,现从中随机地取出两只球,试求下列事件的概率: A ={两球颜色相同}, B ={两球颜色不同}.解 由题意,基本事件总数为2a b A +,有利于A 的事件数为22a b A A +,有利于B 的事件数为1111112a b b a a b A A A A A A +=, 则2211222()()a b a ba ba bA A A AP A P B A A +++==7. 若10件产品中有件正品,3件次品,(1)不放回地每次从中任取一件,共取三次,求取到三件次品的概率; (2)每次从中任取一件,有放回地取三次,求取到三次次品的概率. 解 (1)设A={取得三件次品} 则 333333101016()()120720或者====C A P A P A C A .(2)设B={取到三个次品}, 则33327()101000==P A .8. 某旅行社100名导游中有43人会讲英语,35人会讲日语,32人会讲日语和英语,9人会讲法语、英语和日语,且每人至少会讲英、日、法三种语言中的一种,求: (1)此人会讲英语和日语,但不会讲法语的概率; (2)此人只会讲法语的概率.解 设 A={此人会讲英语}, B={此人会讲日语}, C={此人会讲法语} 根据题意, 可得(1) 32923()()()100100100=-=-=P ABC P AB P ABC(2)()()()P ABC P AB P ABC =-()01()P A B P A B =+-=-+1()()()P A P B P AB =--+433532541100100100100=--+=9. 罐中有12颗围棋子,其中8颗白子4颗黑子,若从中任取3颗,求:(1) 取到的都是白子的概率;(2) 取到两颗白子,一颗黑子的概率; (3) 取到三颗棋子中至少有一颗黑子的概率; (4) 取到三颗棋子颜色相同的概率. 解(1) 设A={取到的都是白子} 则 3831214()0.25555===C P A C .(2) 设B={取到两颗白子, 一颗黑子}2184312()0.509==C C P B C .(3) 设C={取三颗子中至少的一颗黑子} ()1()0.745=-=P C P A .(4) 设D={取到三颗子颜色相同}3384312()0.273+==C C P D C .10. (1)500人中,至少有一个的生日是7月1日的概率是多少(1年按365日计算)?(2)6个人中,恰好有个人的生日在同一个月的概率是多少? 解(1) 设A = {至少有一个人生日在7月1日}, 则 500500364()1()10.746365=-=-=P A P A (2)设所求的概率为P(B)412612611()0.007312⨯⨯==C C P B11. 将C ,C ,E ,E ,I ,N ,S 7个字母随意排成一行,试求恰好排成SCIENCE 的概率p. 解 由于两个C ,两个E 共有2222A A 种排法,而基本事件总数为77A ,因此有 2222770.000794A A p A ==12. 从5副不同的手套中任取款4只,求这4只都不配对的概率. 解 要4只都不配对,我们先取出4双,再从每一双中任取一只,共有⋅4452C 中取法.设A={4只手套都不配对},则有⋅==445410280()210C P A C13. 一实习生用一台机器接连独立地制造三只同种零件,第i 只零件是不合格的概率为=+11i p i,i=1,2,3,若以x 表示零件中合格品的个数,则P(x =2)为多少?解 设A i = {第i 个零件不合格},i=1,2,3, 则1()1i i P A p i==+ 所以()11i i i P A p i=-=+123123123(2)()()()P x P A A A P A A A P A A A ==++由于零件制造相互独立,有:123123()()()()P A A A P A P A P A =,123123()()()()P A A A P A P A P A = 123123()()()()P A A A P A P A P A =11112111311,(2)23423423424P x ==⨯⨯+⨯⨯+⨯⨯=所以14. 假设目标出现在射程之内的概率为0.7,这时射击命中目标的概率为0.6,试求两次独立射击至少有一次命中目标的概率p.解 设A={目标出现在射程内},B={射击击中目标},B i ={第i 次击中目标}, i=1,2.则 P(A)=0.7, P(B i|A)=0.6 另外 B=B 1+B 2,由全概率公式12()()()()()(|)()(()|)P B P AB P AB P AB P A P B A P A P B B A =+===+ 另外, 由于两次射击是独立的, 故P(B 1B 2|A)= P(B 1|A) P(B 2|A) = 0.36 由加法公式P((B 1+B 2)|A)= P(B 1|A)+ P(B 2|A)-P(B 1B 2|A)=0.6+0.6-0.36=0.84因此P(B)= P(A)P((B 1+B 2)|A)=0.7×0.84 = 0.58815. 设某种产品50件为一批,如果每批产品中没有次品的概率为0.35,有1,2,3,4件次品的概率分别为0.25, 0.2, 0.18, 0.02,今从某批产品中抽取10件,检查出一件次品,求该批产品中次品不超过两件的概率.解 设A i ={一批产品中有i 件次品},i=0, 1, 2, 3, 4, B={任取10件检查出一件次品}, C={产品中次品不超两件}, 由题意01914911050192482105019347310501944611050(|)01(|)516(|)4939(|)98988(|)2303=========P B A C C P B A C C C P B A C C C P B A C C C P B A C由于 A 0, A 1, A 2, A 3, A 4构成了一个完备的事件组, 由全概率公式40()()(|)0.196===∑i i i P B P A P B A由Bayes 公式000111222()(|)(|)0()()(|)(|)0.255()()(|)(|)0.333()======P A P B A P A B P B P A P B A P A B P B P A P B A P A B P B故20()(|)0.588===∑i i P C P A B16. 由以往记录的数据分析,某船只运输某种物品损坏2%,10%和90%的概率分别为0.8,0.15,0.05,现在从中随机地取三件,发现三件全是好的,试分析这批物品的损坏率是多少(这里设物品件数很多,取出一件后不影响下一件的概率).解 设B={三件都是好的},A 1={损坏2%}, A 2={损坏10%}, A 1={损坏90%},则A 1, A 2, A 3是两两互斥, 且A 1+ A 2 +A 3=Ω, P(A 1)=0.8, P(A 2)=0.15, P(A 2)=0.05. 因此有 P(B| A 1) = 0.983, P(B| A 2) = 0.903, P(B| A 3) = 0.13, 由全概率公式31333()()(|)0.80.980.150.900.050.100.8624===⨯+⨯+⨯=∑i i i P B P A P B A由Bayes 公式, 这批货物的损坏率为2%, 10%, 90%的概率分别为313233()(|)0.80.98(|)0.8731()0.8624()(|)0.150.90(|)0.1268()0.8624()(|)0.050.10(|)0.0001()0.8624⨯===⨯===⨯===i i i i i i P A P B A P A B P B P A P B A P A B P B P A P B A P A B P B由于P( A 1|B) 远大于P( A 3|B), P( A 2|B), 因此可以认为这批货物的损坏率为0.2.17. 验收成箱包装的玻璃器皿,每箱24只装,统计资料表明,每箱最多有两只残次品,且含0,1和2件残次品的箱各占80%,15%和5%,现在随意抽取一箱,随意检查其中4只;若未发现残次品,则通过验收,否则要逐一检验并更换残次品,试求: (1)一次通过验收的概率α;(2)通过验收的箱中确定无残次品的概率β. 解 设H i ={箱中实际有的次品数},0,1,2=i , A={通过验收}则 P(H 0)=0.8, P(H 1)=0.15, P(H 2)=0.05, 那么有:042314244222424(|)1,5(|),695(|)138P A H C P A H C C P A H C =====(1)由全概率公式20()()(|)0.96α====∑i i i P A P H P A H(2)由Bayes 公式 得00()(|)0.81(|)0.83()0.96β⨯====i P H P A H P H A P A18. 一建筑物内装有5台同类型的空调设备,调查表明,在任一时刻,每台设备被 使用的概率为0.1,问在同一时刻(1)恰有两台设备被使用的概率是多少? (2)至少有三台设备被使用的概率是多少?解 设5台设备在同一时刻是否工作是相互独立的, 因此本题可以看作是5重伯努利试验. 由题意,有p=0.1, q=1-p=0.9, 故(1) 223155(2)(0.1)(0.9)0.0729===P P C(2) 2555(3)(4)(5)P P P P =++332441550555(0.1)(0.9)(0.1)(0.9)(0.1)(0.9)0.00856C C C =++=第二章 随机变量及其分布1. 有10件产品,其中正品8件,次品两件,现从中任取两件,求取得次品数X 的分律. 解 X 的分布率如下表所示:2. 进行某种试验,设试验成功的概率为34,失败的概率为14,以X 表示试验首次成功所需试验的次数,试写出X 的分布律,并计算X 取偶数的概率. 解 X 的分布律为:113(),1,2,3,44k P X k k -⎛⎫⎛⎫=== ⎪⎪⎝⎭⎝⎭X 取偶数的概率:2113{}(2)4411116331165116k k P X P X k -∞∞∞⎛⎫⎛⎫=== ⎪ ⎪⎝⎭⎝⎭⎛⎫==⨯=⎪-⎝⎭∑∑∑k=1k=1k=1为偶数 3. 从5个数1,2,3,4,5中任取三个为数123,,x x x .求:X =max (123,,x x x )的分布律及P(X ≤4); Y =min (123,,x x x )的分布律及P(Y>3). 解 基本事件总数为:3510C =,X 345(1)X 的分布律为:P(X ≤4)=P(3)+P(4)=0.4 (2)Y 的分布律为P(X>3) =04. C 应取何值,函数f(k) =!kC k λ,k =1,2,…,λ>0成为分布律?解 由题意, 1()1k f x ∞==∑, 即0110(1)1!!!0!kkk k k k CC C C e k k k λλλλλ∞∞∞===⎛⎫==-=-= ⎪⎝⎭∑∑∑ 解得:1(1)C e λ=-5. 已知X的分布律 X -112P162636求:(1)X 的分布函数;(2)12P X ⎛⎫< ⎪⎝⎭;(3)312P X ⎛⎫<≤ ⎪⎝⎭.解 (1) X 的分布函数为()()k k x xF x P X x p ≤=≤=∑0,11/6,11()1/2,121,2x x F x x x <-⎧⎪-≤<⎪=⎨≤<⎪⎪≥⎩;(2) 11(1)26P X P X ⎛⎫<==-= ⎪⎝⎭(3)31()02P X P ⎛⎫<≤=∅= ⎪⎝⎭6. 设某运动员投篮投中的概率为P =0.6,求一次投篮时投中次数X解 X 的分布函数0()0.60111x F x x x ≤⎧⎪=<≤⎨⎪>⎩7. 对同一目标作三次独立射击,设每次射击命中的概率为p ,求:(1)三次射击中恰好命中两次的概率;(2)目标被击中两弹或两弹以上被击毁,目标被击毁的概率是多少? 解 设A={三次射击中恰好命中两次},B=目标被击毁,则(1) P(A) =2232233(2)(1)3(1)P C p p p p -=-=-(2) P(B) =22323333233333(2)(3)(1)(1)32P P C p p C p p p p --+=-+-=-8. 一电话交换台每分钟的呼唤次数服从参数为4的泊松分布,求:(1)每分钟恰有6次呼唤的概率;(2)每分钟的呼唤次数不超过10次的概率. 解(1) P(X=6) =6440.104!6!k e e k λλ--==或者P(X=6) =!kek λλ-446744!!k k k k e e k k ∞∞--===-∑∑= 0.21487 – 0.11067 =0.1042.(2) P(X ≤10)104401144110.00284!!kkk k e e k k ∞--====-=-∑∑ = 0.997169. 设随机变量X 服从泊松分布,且P(X =1)=P(X =2),求P(X =4) 解 由已知可得,12,1!2!e e λλλλ--=解得λ=2, (λ=0不合题意)422,(4)4!P X e -==因此= 0.0910. 商店订购1000瓶鲜橙汁,在运输途中瓶子被打碎的概率为0.003,求商店收到的玻璃瓶,(1)恰有两只;(2)小于两只;(3)多于两只;(4)至少有一只的概率. 解 设X={1000瓶鲜橙汁中由于运输而被打破的瓶子数},则X 服从参数为n=1000, p=0.003的二项分布,即X~B(1000, 0.003), 由于n 比较大,p 比较小,np=3, 因此可以用泊松分布来近似, 即X~π(3). 因此(1) P(X=2)2330.2242!e -==(2)323(2)1(2)110.80080.1992!k k P X P X e k ∞-=<=-≥=-=-=∑(3)333(2)(2)0.5768!k k P X P X e k ∞-=>=>==∑(4)313(1)0.9502!k k P X e k ∞-=≥==∑11. 设连续型随机变量X 的分布函数为20,0(),011,1x F x kx x x <⎧⎪=≤≤⎨⎪>⎩求:(1)系数k ;(2)P(0.25<X<0.75);(3)X 的密度函数;(4)四次独立试验中有三次恰好在区间(0.25,0.75)内取值的概率.解 (1) 由于当0≤x ≤1时,有F(x )=P(X ≤x )=P(X<0)+P(0≤X ≤x )=k x 2 又F(1) =1, 所以k ×12=1因此k=1.(2) P(0.25<X<0.75) = F(0.75)-F(0.25) = 0.752-0.252=0.5 (3) X 的密度函数为2,01()'()0,x x f x F x Other ≤≤⎧==⎨⎩(4) 由(2)知,P(0.25<X<0.75) = 0.5, 故P{四次独立试验中有三次在(0.25, 0.75)内} =334340.5(10.5)0.25C --=.12. 设连续型随机变量X 的密度函数为1()0,1x F x x ⎧<⎪=⎨⎪≥⎩求:(1)系数k ;(2)12P X⎛⎫<⎪⎝⎭;(3)X 的分布函数.解 (1)由题意,()1f x dx +∞-∞=⎰, 因此111()arcsin 111kf x dx k x k k ππ+∞+-∞-====-=⎰⎰解得:(2)1/21/21/21111arcsin 1/22663P x x ππππ--⎛⎫⎛⎫<===-= ⎪ ⎪-⎝⎭⎝⎭⎰ (3) X 的分布函数1()()1/2arcsin /11111/xx F x f x dx x x x k ππ-∞<-⎧⎪==+-≤≤⎨⎪>⎩=⎰解得:13. 某城市每天用电量不超过100万千瓦时,以Z 表示每天的耗电率(即用电量除以100万千瓦时),它具有分布密度为212(1),01()0,x x x F x ⎧-<<=⎨⎩其他若该城市每天的供电量仅有80万千瓦时,求供电量不够需要的概率是多少?如每天供电量为90万千瓦时又是怎样的?解 如果供电量只有80万千瓦,供电量不够用的概率为: P(Z>80/100)=P(Z>0.8)=120.812(1)0.0272x x dx -=⎰如果供电量只有80万千瓦,供电量不够用的概率为:P(Z>90/100)=P(Z>0.9)=120.912(1)0.0037x x dx -=⎰ 14. 某仪器装有三只独立工作的同型号电子元件,其寿命(单位 小时)都服从同一指数分布,分布密度为6001,0()6000,xe x F x x⎧<⎪=⎨⎪≥⎩试求在仪器使用的最初200小时以内,至少有一只电子元件损坏的概率.解 设X 表示该型号电子元件的寿命,则X 服从指数分布,设A={X ≤200},则 P(A)=1200600311600x e dx e--=-⎰设Y={三只电子元件在200小时内损坏的数量},则所求的概率为:100303331(1)1(0)1()(1())1()1P Y P Y C P A P A e e--≥=-==--=-=-15. 设X 为正态随机变量,且X ~N(2,2σ),又P(2<X<4) = 0.3,求P(X<0) 解 由题意知()222422(24)00.3X P X P σσσσ---⎛⎫⎛⎫<<=<<=Φ-Φ= ⎪ ⎪⎝⎭⎝⎭即20.30.50.8σ⎛⎫Φ=+= ⎪⎝⎭故20222(0)10.2X P X P σσσσ---⎛⎫⎛⎫⎛⎫<=<=Φ=-Φ= ⎪ ⎪ ⎪⎝⎭⎝⎭⎝⎭16. 设随机变量X 服从正态分布N(10,4),求a ,使P(|X -10|<a ) = 0.9.解 由于()()10|10|10222a X a P X a P a X a P --⎛⎫-<=-<-<=<<⎪⎝⎭210.9222a a a -⎛⎫⎛⎫⎛⎫=Φ-Φ=Φ-= ⎪ ⎪ ⎪⎝⎭⎝⎭⎝⎭所以0.952a ⎛⎫Φ= ⎪⎝⎭查表可得, 2a =1.65即 a = 3.3 17. 设某台机器生产的螺栓的长度X 服从正态分布N(10.05,0.062),规定X 在范围(10.05±0.12)厘米内为合格品,求螺栓不合格的概率.解 由题意,设P 为合格的概率,则()10.05(|10.05|0.12)0.1210.050.12220.06X P P X P X P -⎛⎫=-<=-<-<=-<< ⎪⎝⎭(2)(2)2(2)120.977210.9544=Φ-Φ-=Φ-=⨯-=则不合格的概率=1-P = 0.045618. 设随机变量X 服从正态分布N(60,9),求分点x 1,x 2,使X 分别落在(-∞,x 1)、(x 1,x 2)、(x 2,+∞)的概率之比为3:4:5. 解 由题,111116060603()()0.253333456060()1()0.75,33x x X P X x P x x ---⎛⎫<=<=Φ== ⎪++⎝⎭--Φ-=-Φ=查表可得1600.673x --=解得, x 1 = 57.9922260606034()()0.5833333345x x X P X x P ---+⎛⎫<=<=Φ== ⎪++⎝⎭又查表可得2600.213x -=解得, x 2 =60.63. 19. 已知测量误差X (米)服从正态分布N(7.5, 102),必须进行多少次测量才能使至少有一次误差的绝对值不超过10米的概率大于0.98?解 设一次测量的误差不超过10米的概率为p , 则由题可知107.57.5107.5(10)101010(0.25)( 1.75)(0.25)1(1.75)0.598710.95990.5586X p P X P ----⎛⎫=<=<< ⎪⎝⎭=Φ-Φ-=Φ-+Φ=-+=设 Y 为n 次独立重复测量误差不超过10米出现的次数,则Y~B(n, 0.5586)于是 P(Y ≥1)=1-P(X=0)=1-(1-0.5586)n ≥0.98 0.4414n ≤0.02, n ≥ln(0.02)/ln(0.4414) 解得:n ≥4.784取n=5, 即,需要进行5次测量. 20.设随机变量X 的分布列为X -2 023P17173727试求:(1)2X 的分布列;(2)x 2的分布列. 解 (1) 2X 的分布列如下(2) x 2的分布列21. 设X 服从N(0,1)分布,求Y=|X |的密度函数. 解 y=|x|的反函数为,0h(y)=,x x x x -<⎧⎨≥⎩, 从而可得Y=|X|的密度函数为: 当y>0时,222212())|yy yY X X f y f yyf yy e e ---=--+=+=当y ≤0时,()Y f y =0 因此有 22,0()0,0yY e y f y y ->=≤⎩22. 若随机变量X 的密度函数为23,01()0,x x f x ⎧<<=⎨⎩其他求Y =1x的分布函数和密度函数.解 y=1x在(0,1)上严格单调,且反函数为 h(y)=1y,y>1, h ’(y)=21y -222411113()[()]|()|3Y X X f y f h y h y f y y y yy⎛⎫⎛⎫⎛⎫'==-== ⎪ ⎪⎪⎝⎭⎝⎭⎝⎭因此有43,1()0,Y y y f y other ⎧>⎪=⎨⎪⎩Y 的分布函数为:433131,1()10,y Y y y dy y y y F y other---⎧=-=->⎪=⎨⎪⎩⎰23. 设随机变量X 的密度函数为22,0(1)()0,0x x f x x π⎧>⎪+=⎨⎪≤⎩试求Y =lnX 的密度函数.解 由于ln y x =严格单调,其反函数为(),'()y y h y e h y e ==且,则2()[()]|()|()2(1)2,()y yY X X yy y y f y f h y h y f e e e e y e e ππ-'===+=-∞<<+∞+24. 设随机变量X 服从N(μ,2σ)分布,求Y =x e 的分布密度.解 由于x y e =严格单调,其反函数为1()ln ,'(),h y y h y ==且yy>0,则221(ln )21()[()]|()|(ln ),0Y X X y f y f h y h y f y yy μσ--'===>当0y ≤时()0Y f y =因此221(ln )2,0()0,y Y y f y y μσ--⎧>=≤⎩25. 假设随机变量X 服从参数为2的指数分布,证明:Y =21x e --在区间(0, 1)上服从均匀分布.解 由于21x y e -=-在(0, +∞)上单调增函数,其反函数为:1()ln(1),01,2h y y y =--<<并且1'()2(1)h y y =-,则当01y << 12(ln(1))2()[()]|()|11(ln(1))22(1)1212(1)Y X X y f y f h y h y f y y ey ---'==---==-当y ≤0或y ≥1时,()Y f y =0.因此Y 在区间(0, 1)上服从均匀分布. 26. 把一枚硬币连掷三次,以X 表示在三次中正面出现的次数,Y 表示三次中出现正面的次数与出现反面的次数之差的绝对值,试求(X ,Y )的联合概率分布.解 根据题意可知, (X ,Y)可能出现的情况有:3次正面,2次正面1次反面, 1次正面2次反面, 3次反面, 对应的X,Y 的取值及概率分别为P(X=3, Y=3)=18P(X=2,Y=1)=223113228C ⎛⎫⎛⎫= ⎪ ⎪⎝⎭⎝⎭P(X=1, Y=1)=3113113228C -⎛⎫⎛⎫= ⎪⎪⎝⎭⎝⎭P(X=0, Y=3)=31128⎛⎫= ⎪⎝⎭ 于是,(X ,Y )的联合分布表如下:27. 在10件产品中有2件一级品,7件二级品和1件次品,从10件产品中无放回抽取3件,用X 表示其中一级品件数,Y 表示其中二级品件数,求: (1)X 与Y 的联合概率分布; (2)X 、Y 的边缘概率分布; (3)X 与Y 相互独立吗?解 根据题意,X 只能取0,1,2,Y 可取的值有:0,1,2,3,由古典概型公式得:(1) 271310(,),ij k ijC C Cp P X i Y j C====其中,3,0,1,2,i j k i ++==0,1,2,3j =0,1k =,可以计算出联合分布表如下jp(2) X,Y 的边缘分布如上表(3) 由于P(X=0,Y=0)=0, 而P(X=0)P(Y=0)≠0, P(X=0,Y=0)≠P(X=0)P(Y=0), 因此X,Y 不相互独立.28. 袋中有9张纸牌,其中两张“2”,三张“3”,四张“4”,任取一张,不放回,再任取一张,前后所取纸牌上的数分别为X 和Y ,求二维随机变量(X, Y)的联合分布律,以及概率P(X +Y>6)解 (1) X,Y 可取的值都为2,3,4, 则(X,Y)的联合概率分j p(2) P(X+Y>6) = P(X=3, Y=4) + P(X=4, Y=3) + P(X=4,Y=4)=1/6+1/6+1/6=1/2.29. 设二维连续型随机变量(X, Y)的联合分布函数为(,)arctan arctan 23x y F x y A B C ⎛⎫⎛⎫=++ ⎪⎪⎝⎭⎝⎭,求:(1)系数A 、B 及C ; (2)(X, Y)的联合概率密度; (3)X ,Y 的边缘分布函数及边缘概率密度;(4)随机变量X 与Y 是否独立?解 (1) 由(X, Y)的性质, F(x, -∞) =0, F(-∞,y) =0, F(-∞, -∞) =0, F(+∞, +∞)=1, 可以得到如下方程组:arctan 022arctan 023022122x A B C y A B C A B C A B C ππππππ⎧⎛⎫⎛⎫+-= ⎪ ⎪⎪⎝⎭⎝⎭⎪⎪⎛⎫⎛⎫-+=⎪ ⎪ ⎪⎪⎝⎭⎝⎭⎨⎛⎫⎛⎫⎪--= ⎪ ⎪⎪⎝⎭⎝⎭⎪⎛⎫⎛⎫⎪++= ⎪ ⎪⎪⎝⎭⎝⎭⎩解得:21,,,22A B C πππ===(2)2222(,)6(,)(4)(9)F x y f x y x y x y π∂==∂∂++ (3) X 与Y 的边缘分布函数为:211()(,)arctan arctan 222222X x x F x F x ππππππ⎛⎫⎛⎫⎛⎫=+∞=++=+ ⎪⎪ ⎪⎝⎭⎝⎭⎝⎭ 211()(,)arctan arctan 222322Y y y F y F y ππππππ⎛⎫⎛⎫⎛⎫=+∞=++=+ ⎪⎪ ⎪⎝⎭⎝⎭⎝⎭X 与Y 的边缘概率密度为:'22()()(4)X X f x F x x π==+'23()()(9)Y Y f y F y y π==+(4) 由(2),(3)可知:(,)()()X Y f x y f x f y =, 所以X ,Y 相互独立.30. 设二维随机变量(X, Y)的联合概率密度为-(x+y)e ,0,(,)0,x f x y ⎧<<+∞=⎨⎩其他(1)求分布函数F(x, y);(2)求(X ,Y)落在由x =0,y =0,x +y =1所围成的三角形区域G 内的概率.解 (1) 当x>0, y>0时,()0(,)(1)(1)y xu v x y F x y e dudv e e -+--==--⎰⎰否则,F (x, y ) = 0.(2) 由题意,所求的概率为11()10((,))(,)120.2642Gxx y P x y G f x y dxdydx e dy e --+-∈===-=⎰⎰⎰⎰31. 设随机变量(X ,Y )的联合概率密度为-(3x+4y)Ae ,0,0,(,)0,x y f x y ⎧>>=⎨⎩其他求:(1)常数A ;(2)X ,Y 的边缘概率密度;(3)(01,02)P X Y <≤<≤.解 (1) 由联合概率密度的性质,可得(34)00(,)1/12x y f x y dxdy Ae dxdy A +∞+∞+∞+∞-+-∞-∞===⎰⎰⎰⎰ 解得 A=12.(2) X, Y 的边缘概率密度分别为:(34)30123,0()(,)0,x y x X edy e x f x f x y dy other +∞-+-+∞-∞⎧=>⎪==⎨⎪⎩⎰⎰ (34)40124,0()(,)0,x y y Y edx e y f y f x y dx other +∞-+-+∞-∞⎧=>⎪==⎨⎪⎩⎰⎰(3) (01,02)P x y <≤<≤21(34)03812(1)(1)x y edxdye e -+--==--⎰⎰32. 设随机变量(X ,Y )的联合概率密度为2,01,02,(,)30,xyx x y f x y ⎧+≤≤≤≤⎪=⎨⎪⎩其他求 P(X +Y ≥1).解 由题意,所求的概率就是(X,Y)落入由直线x=0 ,x=1, y=0, y=2, x+y=1围的区域G 中, 则122012310((,))(,)3456532672G x P x y G f x y dxdyxy dx x dy x x x dx -∈==+=++=⎰⎰⎰⎰⎰33. 设二维随机变量(X, Y)在图2.20所示的区域G 上服从均匀分布,试求(X, Y)的联合概率密度及边缘概率密度.解 由于(X, Y)服从均匀分布,则G的面积A 为:2112001(,)()6x x GA f x y dxdy dx dy x x dx ===-=⎰⎰⎰⎰⎰,(X, Y)的联合概率密度为:6,01(,)0,x f x y other ≤<⎧=⎨⎩.X,Y 的边缘概率密度为:2266(),01()(,)0,x xX dy x x x f x f x y dy other +∞-∞⎧=-≤<⎪==⎨⎪⎩⎰⎰ ),01()(,)0,yY dy y y f y f x y dx other +∞-∞⎧=≤<⎪==⎨⎪⎩⎰34. 设X 和Y 是两个相互独立的随机变量,X 在(0, 0.2)上服从均匀分布,Y 的概率密度是55,0()0,0y y e y f y y -⎧ >=⎨≤⎩求:(1)X 和Y 和联合概率密度; (2)P(Y ≤X).解 由于X 在(0, 0.2)上服从均匀分布,所以()1/0.25X f x == (1) 由于X ,Y 相互独立,因此X, Y 525,0,00.2(,)()()0,y X Y e y x f x y f x f y other -⎧><<==⎨⎩(2) 由题意,所求的概率是由直线x=0, 所围的区域,如右图所示, 因此0.2500.2511()(,)255111xy Gx P Y X f x y dxdy dx e dye dx e e ----≤===-=+-=⎰⎰⎰⎰⎰35. 设(X ,Y )的联合概率密度为1,01,02(,)20,x y f x y ⎧ ≤≤≤≤⎪=⎨⎪⎩其他求X 与Y中至少有一个小于12的概率.解 所求的概率为0.50.5120.50.511()()22111,221(,)15128P X Y P XY f x y dxdydxdy +∞+∞⎛⎫<< ⎪⎝⎭⎛⎫=-≥≥ ⎪⎝⎭=-=-=⎰⎰⎰⎰ 36. 设随机变量X 与Y 相互独立,且X -113 Y -3 1P1215310P 1434求二维随机变量(X ,Y )的联合分布律.解 由独立性,计算如下表37. 设二维随机变量(X ,Y )的联合分布律为X 1 2 3Y116191182abc(1)求常数a ,b ,c 应满足的条件;(2)设随机变量X 与Y 相互独立,求常数a ,b ,c. 解 由联合分布律的性质,有:11116918a b c +++++=, 即 a + b + c =12133-= 又,X, Y 相互独立,可得 111::::6918a b c =从而可以得到: 121,,399a b c ===38. 设二维随机变量(X ,Y )的联合分布函数为22232,0,1,1(,),0,01,10,x x y x x y F x y x y x⎧ >>⎪+⎪⎪= ><≤⎨+⎪⎪ ⎪⎩其他, 求边缘分布函数()x F x 与()y F y ,并判断随机变量X 与Y 是否相互独立.解 由题意, 边缘分布函数2222lim,0()(,)110,0y X x x x F x F x x x x →+∞⎧=>⎪=+∞=++⎨⎪≤⎩下面计算F Y (y )2332220,0()(,)lim ,011lim1,11Y x x y x y F y F y y y xx y x →+∞→+∞⎧⎪≤⎪⎪=+∞==<≤⎨+⎪⎪=>⎪+⎩可以看出,F(x,y)= F x (x ) F Y (y ), 因此,X ,Y 相互独立.39.设二维随机变量(X ,Y )的联合分布函数为132,1,1(,)0,ye x yf x y x -⎧ ≥≥⎪=⎨⎪ ⎩其他,求边缘概率密度()X f x 与()Y f y ,并判断随机变量X 与Y 是否相互独立.解 先计算()X f x , 当x <1时, ()0X f x =当x ≥1时,113331222()1yy X f x e dy e x x x+∞--+∞-===⎰再计算()Y f y , 当y <1时, ()0Y f y =当y ≥1时, 11132121()1y y yY f y e dx e e x x+∞---+∞-===⎰可见, (,)()()X Y f x y f x f y =,所以随机变量X, Y 相互独立40.设二维随机变量(X ,Y )的联合分布函数为,(,)0,x y x y f x y + 0≤,≤1,⎧=⎨ ⎩其他,求边缘概率密度()X f x 与()Y f y ,并判断随机变量X 与Y 是否相互独立.解 先计算()X f x , 当x <0或者x >1时, ()0X f x = 当1≥x ≥0时,1212011()02X f x x y dy xy y x =+=+=+⎰ 再计算()Y f y , 当y <0或者y >1时, ()0Y f y = 当1≥y ≥0时, 120111()022Y f y x ydx xy x y =+=+=+⎰ 由于11(,)()()22X Y f x y x y f x f y x y ⎛⎫⎛⎫=+≠=++ ⎪⎪⎝⎭⎝⎭,所以随机变量X,Y 不独立41.设二维随机变量(X ,Y )的联合分布函数为22,00(,)0,x y e x y f x y --⎧ >,>=⎨ ⎩其他求随机变量Z =X -2Y 的分布密度. 解 先求Z 的分布函数F(z ) :2()()(2)(,)D X Y zF z P Z z P X Y z f x y dxdy -≤=≤=-≤=⎰⎰当z<0时,积分区域为:求得2220()2zz yx y F z dy e dx +∞+---=⎰⎰224122z y y z z e e dy e +∞----=-=⎰ 当z ≥0时,积分区域为:2200()2z yx yF z dy e dx +∞+--=⎰⎰ 2401212yy zz eedy e +∞----=-=-⎰由此, 随机变量Z 的分布函数为11,02()1,02zz e z F z e z -⎧-≥⎪⎪=⎨⎪<⎪⎩ 因此, 得Z 的密度函数为:1,02()1,02zz e z f z e z -⎧≥⎪⎪=⎨⎪<⎪⎩42. 设随机变量X 和Y 独立,X ~2()N μ,σ,Y 服从[-b ,b ](b>0)上的均匀分布,求随机变量Z =X +Y 的分布密度. 解 解法一 由题意,22()21()()()2z y a bX Y F z f z y f y dy dy bσ---+∞-∞-=-=⋅⎰⎰令)/,,[,],z y a t dy dt y b b σσ--==-∈-(则()()()2211()22z b az b at z b a z b aF z e dt b bσσσσ+----+---==Φ-Φ⎰ 解法二22()()(),()1()221122111212X Yz bz bF z f x f z x dx-b<z-x<b,z-b<x<z+bx aF z dxbz bx a z b a z b az bb ba zb a z bba z bbσσσσσσσ+∞-∞+-=-∴--=⋅+-⎛+---⎫⎛⎫⎛⎫⎛⎫=Φ=Φ-Φ⎪ ⎪ ⎪⎪-⎝⎭⎝⎭⎝⎭⎝⎭⎛⎫--⎛-+⎫⎛⎫⎛⎫=-Φ--Φ⎪⎪ ⎪⎪⎝⎭⎝⎭⎝⎭⎝⎭-+⎛⎫=Φ ⎪⎝⎭⎰⎰a z bσ⎛--⎫⎛⎫-Φ ⎪⎪⎝⎭⎝⎭43.设X服从参数为12的指数分布,Y服从参数为13的指数分布,且X与Y独立,求Z=X+Y的密度函数.解由题设,X~12120,0(),0X xxf xe x-≤⎧⎪=⎨>⎪⎩, Y~13130,0(),0Y xxf ye x-≤⎧⎪=⎨>⎪⎩并且,X,Y相互独立,则()()()Z X YF z f x f z x dx+∞-∞=-⎰由于()Xf x仅在x>0时有非零值,()Yf z x-仅当z-x>0,即z>x时有非零值,所以当z<0时,()Xf x=0, 因此()Zf z=0.当z>0时,有0>z>x, 因此1132()11()23z z xxZF z e e dx---=⎰1633216zz zz xe dx e e----==-⎰44.设(X,Y)的联合分布律为X0 1 2 3Y0 0 0.05 0.08 0.121 0.01 0.09 0.12 0.152 0.02 0.11 0.13 0.12求:(1)Z=X+Y的分布律;(2)U=max(X,Y)的分布律;(3)V=min(X,Y)的分布律.解(1) X+Y的可能取值为:0,1,2,3,4,5,且有P(Z=0)=P(X=0,Y=0) = 0P(Z=1)=P(X=1,Y=0) + P(X=0,Y=1) = 0.06P(Z=2)=P(X=2,Y=0) + P(X=0,Y=2) + P(X=1,Y=1) = 0.19 P(Z=3)=P(X=3,Y=0) + P(X=1,Y=2) + P(X=2,Y=1) = 0.35 P(Z=4)=P(X=2,Y=2) + P(X=3,Y=1) = 0.28P(Z=5)=P(X=3,Y=2) = 0.12同理,U=max(X,Y)的分布如下U∈{0,1,2,3}同理,V=min(X,Y)的分布分别如下V∈{0,1,2}第三章 随机变量的数字特征1. 随机变量X 的分布列为X -1 0 1212P13161611214求E(X),E(-X +1),E(X 2) 解 111111136261243()1012E X =-⨯+⨯+⨯+⨯+⨯=111111236261243(1)((1)1)(01)(1)(11)(21)E X -+=--+⨯+-+⨯+-+⨯+-+⨯+-+⨯=或者1233(1)()(1)()11E X E X E E X -+=-+=-+=-+=22222235111111362612424()(1)(0)()(1)(2)E X -=-⨯+⨯+⨯+⨯+⨯=2. 一批零件中有9件合格品与三件废品,安装机器时从这批零件中任取一件,如果取出的废品不再放回,求在取得合格品以前已取出的废品数的数学期望. 解 设取得合格品之前已经取出的废品数为X, X 的取值为0, 1, 2, 3, A k 表示取出废品数为k 的事件, 则有:1391121230(),0,1,2,3,66()()0.3220k k k kk k C C P A k C C E X k P A -==∙==⋅==∑3. 已知离散型随机变量X 的可能取值为-1、0、1,E(X)=0.1,E(X 2)=0.9,求P(X=-1),P(X =0),P(X =1). 解 根据题意得:2222()1(1)0(0)1(1)0.1()(1)(1)0(0)1(1)0.9E X P X P X P X E X P X P X P X =-=-+=+===-=-+=+==可以解得 P(X =-1)=0.4, P(X=1)=0.5,P(X=0) = 1- P(X =-1) - P(X=1) = 1-0.4-0.5=0.14. 设随机变量X 的密度函数为2(1),()x x f x - 0<<1,⎧=⎨ 0, ⎩其他.求E(X). 解 由题意,11()()2(1)3E X xf x dx x xdx ∞-∞==-=⎰⎰,5. 设随机变量X 的密度函数为,0()x e x f x x -⎧ ≥,=⎨ 0, <0.⎩求E(2X),E(2x e -). 解(2)2()2x E X xf x dx xe dx ∞∞--∞==⎰⎰()()0002|20|2x x x xe e dx e∞-∞--∞=+=-=⎰ 22230()()11|33Xx x xx E ee f x dxee dx e ∞---∞∞---∞===-=⎰⎰6. 对球的直径作近似测量,其值均匀分布在区间[a ,b ]上,求球的体积的数学期望.解 由题意,球的直接D~U(a,b), 球的体积V=()3432D π因此,341()()32bax E V Vf x dx dx b aπ∞-∞⎛⎫== ⎪-⎝⎭⎰⎰ 4220|()()24()24x a b a b b a ππ∞==++-7. 设随机变量X ,Y 的密度函数分别为22,0()x X e x f x x -⎧ >,=⎨ 0, ≤0.⎩44,0()y Y e y f y y -⎧ >,=⎨ 0, <0.⎩求E(X +Y),E(2X -3Y 2). 解()()(E X Y E X E Y+=+240()()24113244X Y x y x f x dx y f y dyxe dx ye dy+∞+∞-∞-∞+∞+∞--=+=+=+=⎰⎰⎰⎰22222400(23)2()3()2()3()223435188X Y xy E X Y E X E Y x f x dx y f y dyxedx y e dy+∞+∞-∞-∞+∞+∞---=-=-=-=-=⎰⎰⎰⎰8. 设随机函数X 和Y 相互独立,其密度函数为2,1()X x x f x 0≤≤,⎧=⎨ 0, .⎩其他5,5() 5y Y e y f y y -⎧ >,=⎨ 0, ≤.⎩(-)求E(XY).解 由于XY 相互独立, 因此有()()()12(5)05(5)(5)5(5)()()()()()225320553225(01)(6)433X Y y y y y E XY E X E Y x f x dx y f y dyx dx ye dyye e dy e +∞+∞-∞-∞+∞--+∞------===⎛⎫⎛+∞⎫=-- ⎪ ⎪ ⎪⎝⎭⎝⎭⎛⎫⎛+∞⎫=---- ⎪ ⎪ ⎪⎝⎭⎝⎭=-----=-⨯-=⎰⎰⎰⎰⎰9. 设随机函数X 的密度为()f x <,= 0, ≥⎩x 1x 1. 求E(X), D(X). 解11()()0E X x f x dx +∞-∞-===⎰⎰π2211222110001012()()2222211()arcsin |1422E X x f x dx x +∞-∞-====-=-+=-+=-+=⎰⎰⎰⎰⎰⎰ππππππππ()221()()()2D XE X E X =-=10.设随机函数X 服从瑞利(Rayleigh)分布,其密度函数为2222,0()x x e x f x x σ-⎧ >,⎪=σ⎨⎪ 0, ≤0.⎩其中σ>0是常数,求E(X),D(X). 解22222222()()x x x E X x f x dx edx xdeσσσ--+∞+∞+∞-∞===-⎰⎰⎰2222222222200/00222x x x u u x xe e dx e dxedu σσσσππσσσ---+∞+∞+∞-=⎛⎫+∞=--= ⎪⎝⎭−−−→===⎰⎰⎰222222222222222222322222002220()()2202220x x x x x x u u ux E X x f x dx edx x dex e xe dx xe dx e du eσσσσσσσσσσ=+∞+∞+∞---∞+∞+∞---+∞--===-⎛+∞⎫=--= ⎪⎝⎭+∞−−−→==-=⎰⎰⎰⎰⎰⎰()22222()()()2(2)22D X E X E X ππσσσ⎛⎫=-=-=- ⎪ ⎪⎝⎭11. 抛掷12颗骰子,求出现的点数之和的数学期望与方差.解 掷1颗骰子,点数的期望和方差分别为: E(X) = (1+2+3+4+5+6)/6= 7/2 E(X 2)=(12+22+32+42+52+62)/6=91/6 因此 D(X) = E(X 2)-(E(X)) 2 = 35/12掷12颗骰子, 每一颗骰子都是相互独立的, 因此有: E(X 1+X 2+…+X 12)=12E(X) = 42D(X 1+X 2+…+X 12) =D(X 1)+D(X 2)+…+D(X 12)=12D(X)=35 12. 将n 只球(1~n 号)随机地放进n 只盒子(1~n 号)中去,一只盒子装一只球,将一只球装入与球同号码的盒子中,称为一个配对,记X 为配对的个数,求E(X), D(X).解 (1)直接求X 的分布律有些困难,我们引进新的随机变量X k1,0,k k X k ⎧=⎨⎩第只球装入第k 号盒子第只球没装入第k 号盒子,则有:1nkk X X ==∑,X k 服0-1分布因此:11(0)11,(1),kk P X p P X p n n==-=-===()11111(),()11()1k k nnk k k k E X p D X nn n E X E X E X n n ==⎛⎫===- ⎪⎝⎭⎛⎫===⋅= ⎪⎝⎭∑∑(2)k j X X 服从0-1分布,则有11(1)(1)(1)(1,1),()k j k j k j n n n n P X X P X X E X X --======1()n k k D X D X =⎛⎫= ⎪⎝⎭∑()112222(,)1112(()()())11112(1)1111112111(1)nk k j k k jnk j k j k k jk j n D X Cov X X E X X E X E X n n n n n n n C n n n n n n =<=<<=+⎛⎫=-+- ⎪⎝⎭⎛⎫=-+- ⎪-⎝⎭⎛⎫-⎛⎫=-+-=-+-= ⎪ ⎪-⎝⎭⎝⎭∑∑∑∑∑故,E(X)=D(X)=1. 我们知道,泊松分布具有期望与方差相等的性质,可以认定,X 服从参数为1的泊松分布. 13. 在长为l 的线段上任意选取两点,求两点间距离的数学期望及方差.解 设所取的两点为X,Y , 则X,Y 为独立同分布的随机变量, 其密度函数为11,01,01(),(),0,0,X Y x x f x f y l l other other ⎧⎧≤≤≤≤⎪⎪==⎨⎨⎪⎪⎩⎩ 21,0,1(,)()(),0,Y Y x y f x y f x f y l other ⎧≤≤⎪==⎨⎪⎩依题意有()(,)E X Y x y f x y dxdy +∞+∞-∞-∞-=-⎰⎰()()2200011l xl l x x y dydx y x dydx l l=-+-⎰⎰⎰⎰ 222220011222llx l x dx lx dx ll =+-+⎰⎰322322110032262l l x l x lx x l l ⎛⎫⎛⎫=+-+ ⎪ ⎪⎝⎭⎝⎭663l l l =+= ()22()(,)E X Y x yf x y dxdy +∞+∞-∞-∞-=-⎰⎰()22001l lx y dxdy l=-⎰⎰ ()222003222012103l l l dx x xy y dy ll yx y xy dxl =-+⎛⎫=-+ ⎪⎝⎭⎰⎰⎰ 3222033222213111032316ll x l xl dx l ll x l x l x ll =-+⎛⎫=-+⎪⎝⎭=⎰ D(X -Y) = E((X -Y)2)-(E(X -Y))2 = 2221116918l l l -= 14.设随机变量X 服从均匀分布,其密度函数为12,()2x f x ⎧0<<,⎪=⎨⎪0, .⎩其他,求E(2X 2),D(2X 2). 解12222201(2)2()2()226E X E X x f x dx x dx +∞-∞====⎰⎰ 124442011()()2,()8012E X x f x dx x dx E X +∞-∞====⎰⎰ ()()22242111(2)4()4()()48014445D X D XE X E X ⎛⎫==-=⨯-=⎪⎝⎭ 15. 设随机变量X 的方差为2.5,试利用切比雪夫不等式估计概率(()7.5)P X E X -≥ 的值.。
第一章 概率论的基本概念1 写出下列随机试验的样本空间(1)记录一个小班一次数学考试的平均分数(充以百分制记分)解 }100 , ,1 ,0|{n i ni S ⋅⋅⋅==, 其中n 为小班人数(2)同时掷三颗骰子 记录三颗骰子点数之和 解 S ={3 4, ⋅⋅⋅ 18}.(3)生产产品直到得到10件正品为止, 记录生产产品的总件数解 S ={10, 11, 12, ⋅⋅⋅ , n , ⋅⋅⋅ }(4)对某工厂出厂的产品进行检查, 合格的记上“正品”, 不合格的记上“次品”, 如连续查出2个次品就停止检查, 或检查4个产品 停止检查, 记录检查的结果.解 S ={00, 100, 0100, 0101, 1010, 0110,1100, 0111, 1011, 1101, 1110, 1111}其中0表示次品 1表示正品.(5)在单位圆内任意取一点 记录它的坐标解 S ={(x y )|x 2+y 2<1}.(6)将一尺之棰成三段 观察各段的长度解 S ={(x y z )|x >0 y >0 z >0 x +y +z =1} 其中x y z 分别表示第一、二、三段的长度2. 设A , B , C 为三事件, 用A , B , C 的运算关系表示下列各事件.(1)A 发生, B 与C 不发生解 表示为: A B C 或A -(AB +AC )或A -(B C )(2)A , B 都发生, 而C 不发生解 表示为: AB C 或AB -ABC 或AB -C(3)A , B , C 中至少有一个发生解 表示为: A +B +C(4)A , B , C 都发生解 表示为: ABC(5)A , B , C 都不发生解 表示为: ⎺A B C 或S - (A +B +C)或C B A ⋃⋃(6)A , B , C 中不多于一个发生解 即A , B , C 中至少有两个同时不发生相当于⎺A B B C ⎺A C 中至少有一个发生. 故表示为: ⎺A B B C ⎺A C .(7)A , B , C 中不多于二个发生解 相当于: A B C 中至少有一个发生.故表示为: A B C 或ABC(8)A , B , C 中至少有二个发生.解 相当于: AB , BC , AC 中至少有一个发生.故表示为: AB +BC +AC3 设A , B 是两事件且P (A )=0.6, P (B )=0.7. 问 (1)在什么条件下P (AB )取得最大值, 最大值是多少?(2)在什么条件下P (AB )取得最小值, 最小值是多少?解 (1)因为P (AB )=P (A )+P (B )-P (A B ) 且P (A )<P (B )≤P (A B ) 所以当A B 时 P (A B )=P (B ) P (AB )取到最大值, 最大值为P (AB )=P (A )=0.6(2)当A B =S 时, P (AB )取到最小值, 最小值为P (AB )=0.6+0.7-1=0.3.4 设A , B , C 是三事件, 且P (A )P (B )P (C )1/4 P (AB )P (BC )0, P (AC )1/8. 求A , B , C 至少有一个发生的概率.解 P (A , B , C 至少有一个发生)=P (A +B +C )=P (A )+P (B )+P (C )-P (AB )-P (BC )-P (AC )+P (ABC ) (3/4)(1/8)05/85 在一标准英语字典中有55个由两个不同的字母所组成的单词, 若从26个英文字母中任取两个字母予以排列, 问能排成上述单词的概率是多少?解 记A 表“能排成上述单词” 因为从26个任选两个来排列, 排法有226A 种. 每种排法等可能. 字典中的二个不同字母组成的单词: 55个 所以1301155)(226==A AP6 在房间里有10人. 分别佩戴从1号到10号的纪念章, 任选3人记录其纪念章的号码.(1)求最小的号码为5的概率解 记“三人纪念章的最小号码为5”为事件A . 因为10人中任选3人为一组: 选法有310C 种, 且每种选法等可能. 又事件A相当于: 有一人号码为5, 其余2人号码大于5. 这种组合的种数有251C ⨯ 所以1211)(31025=⨯=C C AP (2)求最大的号码为5的概率.解 记“三人中最大的号码为5”为事件B , 同上 10人中任选3人, 选法有310C 种, 且每种选法等可能, 又事件B 相当于:有一人号码为5, 其余2人号码小于5, 选法有241C ⨯种 所以2011)(31024=⨯=C C BP 7 某油漆公司发出17桶油漆, 其中白漆10桶、黑漆4桶, 红漆3桶. 在搬运中所有标签脱落, 交货人随意将这些标签发给顾客, 问一个定货4桶白漆, 3桶黑漆和2桶红漆顾客, 能按所订颜色如数得到定货的概率是多少?解 记所求事件为A .在17桶中任取9桶的取法有310C 种, 且每种取法等可能. 取得4白3黑2红的取法有2334410C C C ⨯⨯ 故2431252)(6172334410=⨯⨯=C C C C A P8 在1500个产品中有400个次品, 1100个正品, 任意取200个.(1)求恰有90个次品的概率解 用A 表示取出的产品恰有90个次品 在1500个产品中任取200个, 取法有2001500C 种, 每种取法等可能. 200个产品恰有90个次品, 取法有110110090400C C 种 因此2001500110110090400)(C C C A P= (2)至少有2个次品的概率.解 用B 表示至少有2个次品 B 0表示不含有次品, B 1表示只含有一个次品 同上, 200个产品不含次品, 取法有2001100C 种, 200个产品含一个次品, 取法有19911001400C C种 因为B B 0B 1且B 0, B 1互不相容 所以P (B )1P (B )1[P (B 0)P (B 1)]20015002001100199110014001C C C C +-=9 从5双不同鞋子中任取4只, 这4只鞋子中至少有2只配成一双的概率是多少?解 样本空间所含的样本点数为410C 用A 表示4只全中至少有2支配成一对 则A 表示4只全不配对 A 所包含的样本点数为4452⨯C (先从5双鞋中任取4双 再从每双中任取一只) 因此2182)(410445=⋅=C C AP 21132181)(1)(=-=-=A P AP10 在11张卡片上分别写上Probabitity 这11个字母 从中任意连抽7张 求其排列结果为Abitity的概率解 所有可能的排列构成样本空间 其中包含的样本点数为711P 用A 表示正确的排列 则A 包含的样本点数为411111*********=C C C C C C C 则0000024.04)(711==P A P11 将3个球随机地放入4个杯子中去, 求杯子中球的最大个数分别为1, 2, 3解 记A i 表示杯中球的最大个数为i 个( i =1, 2, 3)三只球放入四只杯中, 放法有43种, 每种放法等可能 对A 1: 必须三球放入三杯中, 每杯只放一球. 放法4×3×2种. 故1664234)(31=⨯⨯=A P 对A 2: 必须三球放入两杯, 一杯装一球, 一杯装两球. 放法有3423⨯⨯C 种. 故169434)(3232=⨯⨯=C A P 对A 3: 必须三球都放入一杯中. 放法有4种.16144)(33==A P 12 将50只铆钉随机地取来用在10个部件, 其中有3个铆钉强度太弱, 每个部件用3只铆钉, 若将三个强度太弱的铆钉都装在一个部件上, 则这个部件强度就太弱, 问发生一个部件强度太弱的概率是多少?解 记A 表示10个部件中有一个部件强度太弱.把随机试验E 看作是用三个钉一组, 三个钉一组去铆完10个部件(在三个钉的一组中不分先后次序. 但10组钉铆完10个部件要分先后次序)对E : 铆法有323344347350C C C C ⨯⨯⨯ 种, 每种装法等可能对A : 三个次钉必须铆在一个部件上. 这种铆法数为10)(32334434733⨯⨯⨯C C C C故 00051.01960110][)(32334735032334434733==⨯⨯⨯⨯⨯⨯⨯=C C C C C C C A P13 已知3.0)(=A P P (B )=0.4 5.0)(=B A P 求)|(B A B P ⋃.解 7.0)(1)(=-=A P A P 6.0)(1)(=-=B P BPB A AB B B A AS A ⋃=⋃==)( 注意Φ=))((B A AB . 故有 2.05.07.)()()(=-=-=B A P A P AB P .再由加法定理8.05.06.07.0)()()()(=-+=-+=⋃B A P B P A P B AP 于是 25.08.02.0)()()()]([)|(==⋃=⋃⋃=⋃B A P AB P B A P B A B P B A BP14 已知41)(=A P 31)|(=A B P 21)|(=B A P求P (A ⋃B ).解 根据条件概率)()|()()()()|(B P A B P A P B P AB P B A P ==61213141)|()|()()(=⨯==B A P A B P A P BP根据乘法公式1214131)()|()(=⨯==A P A B P ABP根据加法公式311216141)()()()(=-+=-+=⋃AB P B P A P B AP15 掷两颗骰子, 已知两颗骰子点数之和为7, 求其中有一颗为1点的概率(用两种方法).解法一 (在缩小的样本空间SB 中求P (A |B ), 即将事件B 作为样本空间, 求事件A 发生的概率).掷两颗骰子的试验结果为一有序数组(x , y )(x , y =1, 2, 3, 4, 5,6)并且满足x +y =7, 则样本空间为S ={(x , y )| (1, 6 ), (6, 1), (2, 5), (5, 2), (3, 4), (4, 3)}每种结果(x , y )等可能.A ={掷二骰子, 点数和为7时, 其中有一颗为1点}故 3162)(==A P解法二 用公式)()()|(B P AB P B A P = S ={(x , y )| x =1, 2, 3, 4, 5, 6; y =1, 2, 3, 4, 5, 6} 每种结果均可能A =“掷两颗骰子, x , y 中有一个为1点”,B =“掷两颗骰子, x +y =7”.则 6166)(2==B P 262)(=AB P , 故31626162)()()|(2====B P AB P B A P 16 据以往资料表明, 某3口之家, 患某种传染病的概率有以下规律:P {孩子得病}=0.6,P {母亲得病|孩子得病}=0.5,P {父亲得病|母亲及孩子得病}=0.4.求母亲及孩子得病但父亲未得病的概率.解 令A ={孩子得病}, B ={母亲得病}, C ={父亲得病} 则P (A )=0.6, P (B |A )=0.5, P (C |AB )=0.4所以 P (⎺C|AB )=1-P (C |AB )=1-0.4=0.6.P (AB )=P (A )P (B |A )=0.6×0.5=0.3,所求概率为P (AB ⎺C )=P (AB )·P (⎺C|AB )=0.3×0.6=0.18.17 已知在10只晶体管中有2只次品, 在其中取两次, 每次任取一只, 作不放回抽样, 求下列事件的概率(1)两只都是正品(2)二只都是次品(记为事件B )(3)一只是正品, 一只是次品(记为事件C )(4)第二次取出的是次品(记为事件D )解 设A i ={第i 次取出的是正品)(i =1 2).(1)452897108)|()()(12121=⨯==A A P A P A A P . (2)45191102)|()()(12121=⨯==A A P A P A A P . (3))()()(21212121A A P A A P A A A A P +=⋃)|()()|()(121121A A P A P A A P A P +=45169810292108=⨯+⨯=. (4))()(21212A A A A P A P +=519110292108)|()()|()(121121=⨯+⨯=+=A A P A P A A P A P18 某人忘记了电话号码的最后一个数字, 因而他随机地拨号, (1)求他拨号不超过三次而接通所需的电话的概率 (2)若已知最后一个数字是奇数, 那么此概率是多少?解 设A i ={第i 次拨号拨对}(i =1 2 3) A ={拨号不超过3次而拨通} 则321211A A A A A A A ++= 且三种情况互斥 所以)|()|()()|()()()(2131211211A A A P A A P A P A A P A P A P A P ++= 于是(1)103819810991109101)(=⨯⨯+⨯+=A P(2)53314354415451)(=⨯⨯+⨯+=A P19 (1)设甲袋中装有n 只白球 m 只红球, 乙袋中装有N 只白球 M 只红球, 今从甲袋中任取一只球放入乙袋中, 再从乙袋中任意取一只球, 问取到白球的概率是多少? 解 用A 1表示“从甲袋中取得白球放入乙袋”, A 2表示“从甲袋中取得红球放入乙袋” 再记B 表“再从乙袋中取得白球”. 因为 B =A1B +A 2B 且A 1, A 2互斥所以 P (B )=P (A 1)P (B |A 1)+P (A 2)P (B |A 2)111++⨯+++++⨯+=M N N m n m M N N m n n)1)(()(+++++=N M n m n N m n19 (2)第一只盒子装有5只红球, 4只白球 第二只盒子装有4只红球, 5只白球. 先从第一盒子中任取2只球放入第二盒中去, 然后从第二盒子中任取一只球, 求取到白球的概率. 解 记C 1为“从第一盒子中取得2只红球”. C 2为“从第一盒子中取得2只白球”. C 3为“从第一盒子中取得1只红球, 1只白球”, D 为“从第二盒子中取得白球”, 显然C 1, C 2, C 3两两互斥, C 1C 2C 3=S , 由全概率公式, 有P (D )=P (C 1)P (D|C 1)+P (C 2)P (D|C 2)+P (C 3)P (D|C 3)995311611711529141529242925=⋅⋅+⋅+⋅=C C C C C CC20 某种产品的高标为“MAXAM” 其中有2个字母已经脱落 有人捡起随意放回 求放回后仍为“MAXAM”的概率解 设A 1 A 2 ⋅⋅⋅ A 10分别表示字母MAMX MA MM AX AA AM XA XM AM 脱落的事件 则101)(=i A P (i =1 2, ⋅⋅⋅ 10) 用B 表示放回后仍为“MAXAM”的事件 则21)|(=i A B P (i =1 2, ⋅⋅⋅10) 1)|()|(64==A B P A B P 所以由全概公式得5311011101821101)|()()(101=⨯+⨯+⨯⨯==∑=i i i A B P A P BP21 已知男子有5%是色盲患者, 女子有0.25%是色盲患者. 今从男女人数相等的人群中随机地挑选一人, 恰好是色盲患者, 问此人是男性的概率是多少?解 A 1={男人}, A 2={女人}, B ={色盲}, 显然A 1A 2=S , A 1 A 2= 由已知条件知21)()(21==A P A P %5)|(1=A B P ,%25.0)|(2=A BP 由贝叶斯公式, 有)|()()|()()|()()()()|(22111111A B P A P A B P A P A B P A P B P B A P B A P +==2120100002521100521100521=⋅+⋅⋅=22 一学生接连参加同一课程的两次考试. 第一次及格的概率为p , 若第一次及格则第二次及格的概率也为p 若第一次不及格则第二次及格的概率为2p (1)若至少一次及格则他能取得某种资格, 求他取得该资格的概率. (2)若已知他第二次已经及格, 求他第一次及格的概率.解 A i ={他第i 次及格}(i =1, 2)已知P (A 1)=P (A 2|A 1)=p , 2/)|(12p A A P= (1)B ={至少有一次及格} 则21}{A A B ==两次均不及格 所以 )|()(1)(1)(1)(12121A A P A P A A P B P B P -=-=-=)]|(1)][(1[1121A A P A P ---=22123)21)(1(1p p p p -=---= (2)由乘法公式, 有P (A 1A 2)=P (A 1)P (A 2| A 1)=p2 由全概率公式, 有)|()()|()()(1211212A A P A P A A P A P A P +=222)1(2p p p p p p +=⋅-+⋅= 于是 1222)|(2221+=+=p p p p p A AP23 将两信息分别编码为A 和B 传递出去 接收站收敛到时 A 被误收作B 的概率为002 而B 被误收作A 的概率为0.01 信息A 与信息B 传送的频繁程度为21 若收站收到的信息是A 问原发信息是A 的概率是多少? 解 设B 1 B 2分别表示发报台发出信号“A ”及“B ” 又以A 1有A 2分别表示收报台收到信号“A ”及“B ”. 则有 32)(1=B P 31)(2=B P P (A 1|B 1)=0.98 P (A 2|B 1)=0.08 P (A 1|B 2)=0.01 P (A 2|B 2)=0.91 从而由Beyes 公式得)|()()|()()|()()|(2121111111B A P B P B A P B P B A P B P A B P i += 19719601.03198.03298.032=⨯+⨯⨯=24 有两箱同种类的零件 第一箱装50只 其中10只一等品 第二箱装30只 其中18只一等品 今从两箱中任挑出一箱 然后从该箱中取零件两次每次任取一只 作不放回抽样 试求(1)第一次取到的零件是一等品的概率(2)第一次取到的零件是一等品的条件下 第二次取到的也是一等品的概率解 (1)记A i ={在第i 次中取到一等品}(i =1 2) B ={挑到第i 箱} 则有4.03018215121)|()()|()()(2121111=⨯+⨯=+=B A P B P B A P B P A P . (2))|()()|()()(2212121121B A A P B P B A A P B P A A P +=19423.030182129175121499=⨯⨯+⨯⨯= 4856.04.019423.0)()()|(12112===A P A A P A A P .25 某人下午5:00下班, 他所积累的资料表明:的, 试求他是乘地铁回家的概率.解 设A={乘地铁}, B ={乘汽车}, C ={在5:47到家}, 由题意 AB =∅, A B =S已知P (A )=0.5, P (C|A )=0.45, P (C|B )=0.2, P (B )=0.5 由贝叶斯公式有)()|()()|()()|()()()|()|(B P B C P AP A C P A P A C P C P A P A C P C A P +== 6923.05.02.05.045.05.045.0=⨯+⨯⨯=26 (1)设有4个独立工作的元件1, 2, 3, 4. 它们的可靠性分别为p 1, p 2, p 3, p 4, 将它们按图1-3的方式联接, 求系统的可靠性.解 记A i 表示第i 个元件正常工作(i =1, 2, 3, 4), A 表示系统正常.因为A =A 1A 2A 3+A 1A 4两种情况不互斥 所以P (A )=P (A 1A 2A 3)+P (A 1A 4)-P (A 1A 2A 3 A 4) (加法公式) =P (A 1)P (A 2)P (A 3)+P (A 1)P (A 4)-P (A 1)P (A 2)P (A 3)P (A 4)=p 1p 2p 3+p 1p 4-p 1p 2p 3p 4 (A 1, A 2, A 3, A 4独立)26. (2)设有5独立工作的元件1 2 3 4 5 它们的可靠性均为p 将它们按图1-4的方式联接 求系统的可靠性.解 记A i 表示第i 个元件正常工作(i =1, 2, 3, 4 5), B 表示系统正常 则)()(2345453121A A A A A A A A A A P B P ⋃⋃⋃=)()()()(2345453121A A A P A A P A A A P A A P +++= )()()(432154215321A A A A P A A A A P A A A A P ---)()()(5432543215431A A A A P A A A A A P A A A A P --- )()(45432154321A A A A A P A A A A A P -+24222522p p p p +-+=27 如果一危险情况C 发生时 一电路闭合并发出警报 我们可以借用两个或多个开关并联以改善可靠性 在C 发生时这些开关每一个都应闭合 且至少一个开关闭合了 警报就发出 如果两个这样开关并联接 它们每个具有0.95的可靠性(即在情况C 发生时闭合的概率) (1)这时系统的可靠性(即电路闭合的概率)是多少?(2)如果需要有一个可靠性至少为0.9999的系统 则至少需要用多少只开关并联?这里各开关闭合与否都是相互独立的解 (1)设A i 表示第i 个开关闭合 A 表示电路闭合 于是A =A1⋃A 2. 由题意当两个开关并联时P (A )=0. 96. 再由A 1 A 2的独立性得P (A )=P (A 1⋃A 2)=P (A 1)+P (A 2)-P (A 1A 2)=P (A 1)+P (A 2)-P (A 1)P (A 2)=2⨯0.96-(0.96)2=0.9984.(2)设至少需要n 个开关闭合 则∏==≥-=--=⋃=n i i i n i A P A P A P 1419999.004.01)](1[1)()(即 0.04n≤0.00001所以 58.304.0lg 00001.0lg =≥n 故至少需要4只开关联28 三个独立地去破译份密码 已知各人能译出的概率分别为1/5 1/3 1/4 问三个中至少有一个能将此密码译出的概率是多少?解 设A B C 分别表示{第一、二、三人独立译出密码} D 表示{密码被译出} 则)(1)()(C B A P C B A P D P ⋃⋃-=⋃⋃=)()()(1)(1C P B P A P C B A P -=⋂⋂-=534332541=⨯⨯-=29 设第一个盒子装有3只蓝球, 2只绿球, 2只白球;第二个盒子装有2只蓝球, 3只绿球, 4只白球. 独立地分别在两只盒子中各取一只球.(1)求至少有一只蓝球的概率(2)求有一只蓝球一只白球的概率(3)已知至少有一只蓝球, 求有一只蓝球一只白球的概率. 解 记A 1 A 2 A 3分别表示是从第一只盒子中取到一只蓝球 一只绿球 一只白球, B 1 B 2 B 3分别表示是从第二只盒子中取到一只蓝球 一只绿球 一只白球. 则A i 与B i 独立(i =1 2 3).(1)所求概率为9592739273)()()()(111111=⨯-+=-+=⋃B A P B P A P B A P . (2)所求概率为)()()()()(13311331B P A P B P A P B A B A P +=⋃631692729473=⨯+⨯= (3)所求概率为P (A 1B 3⋃A 3B 1| A 1⋃B 1)=P (A 1B 3| A 1⋃B 1)+P (A 3B 1| A 1⋃B 1))())(()())((111113111131B A P B A B A P B A P B A B A P ⋃⋃+⋃⋃= )())()())(11131311131131B A P B A B A A P B A P B B A B A P ⋃⋃+⋃⋃= 35169/563/16)()()(111331==⋃+=B A P B A P B A P .30 A , B , C 三人在同一办公室工作, 房间有三部电话, 据统计知, 打给A , B , C 的电话的概率分别为2/5 2/5 1/5. 他们三人常因工作外出, A , B , C 三人外出的概率分别为1/2 1/4 1/4, 设三人的行动相互独立, 求(1)无人接电话的概率(2)被呼叫人在办公室的概率若某一时间段打进3个电话, 求(3)这3个电话打给同一人的概率(4)这3个电话打给不同人的概率(5)这3个电话都打给B , 而B 却都不在的概率. 解 设A 1 B 1 C 1分别表示A B C 三个人外出的事件 A B C 分别表示打给三个人的电话的事件(1)P (无人接电话)=P (A 1B 1C 1)=P (A 1)P (B 1)P (C 1)321414121=⨯⨯= (2)用D 表示被呼叫人在办公室的事件, 则CC B B A AD 111++= )()(111C C B B A A P D P ++=)()(()()()(111C P C P BP P B P A P A P ++=2013514352435221=⨯+⨯+⨯=(3)用E 表示3个电话打给同一个人的事件 E 1 E 2 E 3分别表示3个电话是打给A B C 则E =E 1+E 2+E 3)()()()(321E P E P E P E P ++=12517)51()52()52(333=++=(4)用F 表示3个电话打给不同的人的事件 则F 由六种互斥情况组成, 每种情况为打给A , B , C 的三个电话, 每种情况的概率为1254515252=⨯⨯于是1252412546)(=⨯=F P (5)由于是知道每次打电话都给B , 其概率是1, 所以每一次打给B 电话而B 不在的概率为41, 且各次情况相互独立 于是P (3个电话都打给B , B 都不在的概率)641)41(3==31 袋中装有m 只正品硬币, n 只次品硬币(次品硬币的两面均印有国徽). 在袋中任取一只, 将它投掷r 次, 已知每次都得到国徽. 问这只硬币是正品的概率为多少?解 用A 表示出现r 次国徽的事件 B 表示任取一只是正品的事件 则r r nm n n m m B A P B P B A P B P A P 1)21()|()()|()()(⨯+++=+=)()|()()|(A P B A P B P A B P =r n m m2⋅+=32 设一枚深炸弹击沉一潜水艇的概率为1/3 击伤的概率为1/2 击不中的概率为1/6 并设击伤两次也会导致潜水艇下沉 求施放4枚深炸能击沉潜水艇的概率解 用A 表示施放4枚深炸击沉潜水艇的事件 则433446131]21)61()61[(1)(1)(-=⨯+-=-=C A P A P33 设根据以往记录的数据分析 某船只运输某种物品损坏的情况共有三种 损坏2%(这一事件记为A 1), 损坏10%(事件A 2), 损坏90%(事件A 3) 且知P (A 1)=0.8, P (A 2)=0.15, P (A 3)=0.05, 现在从已被运输的物品中随机地取3件, 发现这3件都是好的(这一事件记为B ), 试分别求P (A 1|B ) P (A 2|B ), P (A 3|B )(这里设物品件数很多, 取出一件后不影响后一件是否是好品的概率)解 因为B 表取得三件好物品.B =A 1B +A 2B +A 3B 且三种情况互斥由全概率公式, 有P (B )=P (A 1)P (B|A 1)+P (A 2)P (B|A 2)+P (A 3)P (B|A 3)=0.8×(0.98)3+0.15×(0.9)3+0.05×(0.1)3=0.86248731.08624.0)98.0(8.0)()|()()()()|(31111=⨯===B P A B P A P B P B A P B A P 1268.08624.0)9.0(15.0)()|()()()()|(32222=⨯===B P A B P A P B P B A P B A P 0001.08624.0)1.0(05.0)()|()()()()|(33333=⨯===B P A B P A P B P B A P B A P34 将A , B , C 三个字母一一输入信道, 输出为原字母的概率为α, 而输出为其它一字母的概率都是(1α)/2. 今将字母串AAAA , BBBB , CCCC 之一输入信道, 输入AAAA , BBBB , CCCC 的概率分别为p 1, p 2, p 3 (p 1+p 2+p 3=1), 已知输出为ABCA , 问输入的是AAAA 的概率是多少?(设信道传输每个字母的工作是相互独立的. )解 用A B C 分别表示输入信号为AAAA , BBBB , CCCC ,用H 表示输出信号为ABCA 由于每个字母的输出是相互独立的 于是有4)1(]2/)1[()|(2222αααα-=-=A H P8)1(]2/)1[()|(33αααα-=-=B H P8)1(]2/)1[()|(33αααα-=-=C HP又P (A )=p 1 P (B )=p 2 P (C )=p 3 由贝叶斯公式得)()|()()|()()|()()|()|(C P C H P B P B H P A P A H P A P A H P H A P ++= 33231221228)1(8)1(4)1(4)1(p p p p ⋅-+⋅-+⋅-⋅-=αααααααα ))(1(223211p p p p +-+=ααα。
习题五1 某钢厂检查一月上旬内的五天中生产的钢锭重量,结果如下:(单位:k g)日期重旦量1 5500 5800 5740 57102 5440 5680 5240 56004 5400 5410 5430 54009 5640 5700 5660 570010 5610 5700 5610 5400试检验不同日期生产的钢锭的平均重量有无显著差异? ( =0.05)解根据问题,因素A表示日期,试验指标为钢锭重量,水平为 5.2假设样本观测值y j(j 123,4)来源于正态总体Y~N(i, ),i 1,2,...,5检验的问题:H。
:i 2 L 5, H i : i不全相等.计算结果:注释当=0.001表示非常显著,标记为*** '类似地,=0.01,0.05,分别标记为查表F0.95(4,15) 3.06,因为F 3.9496 F0.95(4,15),或p = 0.02199<0.05 ,所以拒绝H。
,认为不同日期生产的钢锭的平均重量有显著差异2 考察四种不同催化剂对某一化工产品的得率的影响,在四种不同催化剂下分别做试验解根据问题,设因素A表示催化剂,试验指标为化工产品的得率,水平为 4 .2假设样本观测值y j(j 1,2,..., nJ来源于正态总体Y~N(i, ), i 1,2,...,5 .其中样本容量不等,n分别取值为6,5,3,4 .日产量操作工查表 F O .95(3,14) 3.34,因为 F 2.4264 F °.95(3,14),或 p = 0.1089 > 0.05, 所以接受H 。
,认为在四种不同催化剂下平均得率无显著差异3试验某种钢的冲击值(kg Xm/cm2 ),影响该指标的因素有两个,一是含铜量 A ,另一个是温度试检验含铜量和试验温度是否会对钢的冲击值产生显著差异? ( =0.05 )解 根据问题,这是一个双因素无重复试验的问题,不考虑交互作用设因素A,B 分别表示为含铜量和温度,试验指标为钢的冲击力,水平为 12.2假设样本观测值y j (i 1,2,3, j 1,2,3,4)来源于正态总体 Y j ~N (j ,),i 1,2,3,j 1,2,3,4 .记i 为对应于A 的主效应;记 j 为对应于B j 的主效应;检验的问题:(1) H i 。
概率论与数理统计第一章课后习题及参考答案1.写出下列随机试验的样本空间.(1)记录一个小班一次数学考试的平均分数(以百分制记分);(2)一个口袋中有5个外形相同的球,编号分别为1,2,3,4,5,从中同时取出3个球;(3)某人射击一个目标,若击中目标,射击就停止,记录射击的次数;(4)在单位圆内任意取一点,记录它的坐标.解:(1)}100,,2,1{ =Ω;(2)}345,235,234,145,135,134,125,124,123{=Ω;(3)},2,1{ =Ω;(4)}|),{(22y x y x +=Ω.2.在}10,,2,1{ =Ω,}432{,,=A ,}5,4,3{=B ,}7,6,5{=C ,具体写出下列各式:(1)B A ;(2)B A ;(3)B A ;(4)BC A ;(5)C B A .解:(1),9,10}{1,5,6,7,8=A ,}5{=B A ;(2)}10,9,8,7,6,5,4,3,1{=B A ;(3)法1:}10,9,8,7,6,2,1{=B ,}10,9,8,7,6,1{=B A ,}5,4,3,2{=B A ;法2:}5,4,3,2{===B A B A B A ;(4)}5{=BC ,}10,9,8,7,6,4,3,2,1{=BC ,}4,3,2{=BC A ,}10,9,8,7,6,5,1{=BC A ;(5)}7,6,5,4,3,2{=C B A ,{1,8,9,10}=C B A .3.设}20|{≤≤=Ωx x ,}121|{≤<=x x A ,}2341|{≤≤=x x B ,具体写出下列各式:(1)B A ;(2)B A ;(3)AB ;(4)B A .解:(1)B B A = ,}223,410|{≤<<≤==x x x B B A ;(2)=B A ∅;(3)A AB =,}21,210|{≤<≤≤==x x x A AB ;(4)}231,2141|{<<<≤=x x x B A .4.化简下列各式:(1)))((B A B A ;(2)))((C B B A ;(3)))((B A B A B A .解:(1)A B B A B A B A ==)())(( ;(2)AC B C A B C B B A ==)())((;(3))())()((B A B B A B A B A B A =AB AB A A B A A === )(.5.A ,B ,C 表示3个事件,用文字解释下列事件的概率意义:(1)C B A C A C B A ;(2)BC AC AB ;(3)(C B A ;(4)BC AC AB .解:(1)A ,B ,C 恰有一个发生;(2)A ,B ,C 中至少有一个发生;(3)A 发生且B 与C 至少有一个不发生;(4)A ,B ,C 中不多于一个发生.6.对于任意事件A ,B ,证明:Ω=-A B A AB )(.证:A B B A A B A AB A B A AB )()(==-Ω==Ω=A A A A .7.把事件C B A 表示为互不相容事件的和事件.解:)()[(C A B A A A C B A C B A =-=)(B A A A A C A B A A ==CB A BC A B A A )(=C B A B A A =.8.设0)(>A P ,0)(>B P ,将下列5个数)(A P ,)()(B P A P -,)(B A P -,)()(B P A P +,)(B A P 按有小到大的顺序排列,用符号“≤”联结它们,并指出在什么情况下可能有等式成立.解:因为0)(>A P ,0)(>B P ,)()(B P AB P ≤,故)()()()()()()()()(B P A P B A P A P B A P AB P A P B P A P +≤≤≤-=-≤- ,所以)()()()()()()(B P A P B A P A P B A P B P A P +≤≤≤-≤- .(1)若A B ⊂,则有)()()(B A P B P A P -=-,)()(B A P A P =;(2)若=AB ∅,则有)()(A P B A P =-,)()()(B P A P B A P += .9.已知B A ⊂,3.0)(=A P ,5.0)(=B P ,求)(A P ,)(AB P ,)(B A P 和)(B A P .解:(1)7.0)(1)(=-=A P A P ;(2)∵B A ⊂,∴A AB =,则3.0)()(==A P AB P ;(3)2.0)()()()(=-=-=AB P B P A B P B A P ;(4))(1()(B A P B A P B A P -==5.0)]()()([1=-+-=AB P B P A P .10.设有10件产品,其中6件正品,4件次品,从中任取3件,求下列事件的概率.(1)只有1件次品;(2)最多1件次品;(3)至少一件次品.解:从10件产品中任取3件,共有310C 种取法,(1)记=A {从10件产品中任取3件,只有1件次品},只有1件次品,可从4件次品中任取1件次品,共14C 中取法,另外的两件为正品,从6件正品中取得,共26C 种取法.则事件A 共包含2614C C 个样本点,21)(3102614==C C C A P .(2)记=B {从10件产品中任取3件,最多有1件次品},=C {从10件产品中任取3件,没有次品},则C A B =,且A 与C 互不相容.没有次品,即取出的3件产品全是正品,共有36C 种取法,则61)(31036==C C C P ,32)()()()(=+==C P A P C A P B P .(3)易知=C {从10件产品中任取3件,至少有1件次品},则65)(1(=-=C P C P .11.盒子里有10个球,分别标有从1到10的标号,任选3球,记录其号码,求:(1)最小号码为5的概率;(2)最大号码为5的概率.解:从10个球中任选3球,共有310C 种选法,(1)记=A {从10个球中任选3球,最小标号为5},事件A 发生,则选出球的最小标号为5,另外两个球的标号只可从6,7,8,9,10这5个数中任选,共有25C 种选法,则121)(31025==C C A P .(2)记=B {从10个球中任选3球,最大标号为5},事件B 发生,则选出球的最大标号为5,另外两个球的标号只可从1,2,3,4这4个数中任选,共有24C 种选法,则201)(31024==C C B P .12.设在口袋中有a 个白球,b 个黑球,从中一个一个不放回地摸球,直至留在在口袋中的球都是同一种颜色为止.求最后是白球留在口袋中的概率.解:设=A {最后是白球留在口袋中},事件A 即把b a +个球不放回地一个一个摸出来,最后摸到的是白球,此概率显然为ba a A P +=)(.13.一间学生寝室中住有6位同学,假定每个人的生日在各个月份的可能性相同,求下列事件的概率:(1)6个人中至少有1人的生日在10月份;(2)6个人中有4人的生日在10月份;(3)6个人中有4人的生日在同一月份.解:设=i B {生日在i 月份},则=i B {生日不在i 月份},12,,2,1 =i ,易知121)(=i B P ,1211)(=i B P ,12,,2,1 =i .(1)设=A {6个人中至少有1人的生日在10月份},则=A {6个人中没有一个人的生日在10月份},66101211(1)]([1)(1)(-=-=-=B P A P A P ;(2)设=C {6个人中有4人的生日在10月份},则62244621041046121115)1211()121()]([)]([)(⋅===C B P B P C C P ;(3)设=D {6个人中有4人的生日在同一月份},则52112121115)()(⋅==C P C D P .14.在半径为R 的圆内画平行弦,如果这些弦与垂直于弦的直径的交点在该直径上的位置是等可能的,即交点在这一直径上一个区间内的可能性与此区间的长度成正比,求任意画的弦的长度大于R 的概率.解:设弦与该直径的交点到圆心的距离为x ,已知,当R x 23<,弦长大于半径R ,从而所求的概率为232232=⋅=R R P .15.甲乙两艘轮船驶向一个不能同时停泊两艘轮船的码头停泊,它们在同一昼夜内到达的时刻是等可能的,如果甲船的停泊时间是1h ,乙船的停泊时间是2h ,求它们中的任何一艘都不需要等候码头空出的概率.解:设=A {两艘中的任何一艘都不需要等候码头空出},则=A {一艘船到达泊位时必须等待},分别用x 和y 表示第一、第二艘船到达泊位的时间,则}10,20|),{(≤-≤≤-≤=x y y x y x A ,从而1207.0242221232124)()()(2222≈⋅-⋅-=Ω=μμA A P ;8993.0)(1)(≈-=A P A P .16.甲、乙两人独立地对同一目标射击一次,其命中率分别为0.6和0.5,现已知目标被击中,问由甲射中的概率为多少?解:设=A {甲击中目标},=B {乙击中目标},=C {目标被击中},则B A C =,由题设知A 与B 相互独立,且6.0)(=A P ,5.0)(=B P ,所以)()()()()(AB P B P A P B A P C P -+== 8.0)()()()(=-+=B P A P B P A P ,从而43)()()()()|(===C P A P C P AC P C A P .17.某地区位于河流甲与河流乙的汇合点,当任一河流泛滥时,该地区即被淹没,设在某时期内河流甲泛滥的概率是0.1,河流乙泛滥的概率是0.2,又当河流甲泛滥时引起河流乙泛滥的概率为0.3,求在该时期内这个地区被淹没的概率,又当河流乙泛滥时,引起河流甲泛滥的概率是多少?解:=A {甲河流泛滥},=B {乙河流泛滥},=C {该地区被淹没},则B A C =,由题设知1.0)(=A P ,2.0)(=B P ,3.0)|(=A B P ,从而)()()()()(AB P B P A P B A P C P -+== 27.0)|()()()(=-+=A B P A P B P A P ,15.0)()|()()()()|(===B P A B P A P B P AB P B A P .18.设n 件产品中有m 件不合格品,从中任取两件,已知两件中有一件不合格品,求另一件也是不合格品的概率.解:设=A {有一件产品是不合格品},=B {另一件产品也是不合格品},=i D {取出的两件产品中有i 件不合格品},2,1,0=i ,显然,21D D A =,=21D D ∅,2D B AB ==.=Ω{从n 件产品种任取两件},共有2nC 种取法;若1D 发生,即取出的两件产品中有1件不合格品,则该不合格品只能从m 件不合格品中取得,共有1m C 种取法;另一件为合格品,只能从m n -件合格品中取得,共有1m n C -种取法,则事件1D 中共有11m n m C C -个样本点,)1()(2)(2111--==-n n m n m C C C D P n m n m ,类似地,)1()1()(222--==n n m m C C D P n m ,所以)1()1()(2)()()()(2121--+-=+==n n m m m n m D P D P D D P A P ,)1()1()()(2--==n n m m D P AB P ,于是所求概率为121)()()|(---==m n m A P AB P A B P .19.10件产品中有3件次品,每次从其中任取一件,取出的产品不再放回去,求第三次才取得合格品的概率.解:设=i A {第i 次取得合格品},3,2,1=i ,则所求概率为12878792103)|()|()()(213121321=⋅⋅==A A A P A A P A P A A A P .20.设事件A 与B 互不相容,且1)(0<<B P ,证明:)(1)(|(B P A P B A P -=.证:∵事件A 与B 互不相容,则0)(=AB P ,)(1)()(1)()()(1)()()()|(B P A P B P AB P A P B P B A P B P B A P B A P -=--=--==.21.设事件A 与B 相互独立,3.0)(=A P ,45.0)(=B P ,求下列各式的值:(1))|(A B P ;(2))(B A P ;(3)(B A P ;(4)|(B A P .解:∵事件A 与相互独立,∴事件A 与B 也相互独立,(1)45.0)()|(==B P A B P ;(2))()()()(AB P B P A P B A P -+= )()()()(B P A P B P A P -+=615.0=;(3)385.0)](1)][(1[)(()(=--==B P A P B P A P B A P ;(4)7.0()|(==A P B A P .22.某种动物活到10岁的概率为0.92,活到15岁的概率为0.67,现有一只10岁的该种动物,求其能活到15岁的概率.解:设=A {该种动物能活到10岁},=B {该种动物能活到15岁},显然A B ⊂,由题设可知92.0)(=A P ,67.0)(=B P ,所以9267)()()()()|(===A P B P A P AB P A B P .23.某商店出售的电灯泡由甲、乙两厂生产,其中甲厂的产品占60%,乙厂的产品占40%,已知甲厂产品的次品率为4%,乙厂的次品率为5%.一位顾客随机地取出一个电灯泡,求它是合格品的概率.解:设=A {电灯泡是次品},=1B {电灯泡由甲厂生产},=2B {电灯泡由乙厂生产},则=A {电灯泡是合格品}.由题设可知6.0)(1=B P ,4.0)(2=B P ,04.0)|(1=B A P ,05.0)|(2=B A P ,044.0)|()()|()()(2211=+=B A P B P B A P B P A P ,所以956.0)(1)(=-=A P A P .24.已知男子有5%是色盲患者,女子有0.25%是色盲患者.今从男女人数相等的人群中随机地挑选一人,恰好是色盲患者,问此人是男性的概率是多少?解:设=A {选出的人是色盲患者},=B {选出的人是男性},=B {选出的人是女性},由题设可知21()(==B P B P ,05.0)|(=B A P ,0025.0)|(=B A P ,则2120)|()()|()()|()()|(=+=B A P B P B A P B P B A P B P A B P .25.甲、乙、丙三人独立地向一敌机射击,设甲、乙、丙命中率分别为0.4,0.5和0.7,又设敌机被击中1次、2次、3次而坠毁的概率分别为0.2,0.6和1.现三人向敌机各射击一次,求敌机坠毁的概率.解:设1A ,2A ,3A 分别表示甲、乙、丙射击击中敌机,=i B {敌机被击中i 次},3,2,1=i ,=C {敌机坠毁},则3213213211A A A A A A A A A B =,3213213212A A A A A A A A A B =,3213A A A B =,由题设可知4.0)(1=A P ,5.0)(2=A P ,7.0)(3=A P ,2.0)|(1=B C P ,6.0)|(2=B C P ,1)|(3=B C P ,则)()()()(3213213211A A A P A A A P A A A P B P ++=)()()()()()()()()(321321321A P A P A P A P A P A P A P A P A P ++=36.0=,类似地,51.0)(2=B P ,14.0)(3=B P ,由全概率公式得458.0)|()()(31==∑=i i i B C P B P C P .26.三人独立地破译一份密码,已知各人能译出的概率分别为51,31和41.问三人中至少有一人能将此密码译出的概率是多少?解:分别设事件A ,B ,C 为甲、乙、丙破译密码,则三人中至少有一人能将此密码译出可表示为C B A ,有)()()()()()()()(ABC P BC P AC P AB P C P B P A P C B A P +---++= )()()()()()()()()()()()(C P B P A P C P B P C P A P B P A P C P B P A P +---++=53=.27.甲袋中装有n 只白球、m 只红球,乙袋中装有N 只白球、M 只红球.今从甲袋中任意取一只球放入乙袋中,再从乙袋中任意取一只球,问取到白球的概率是多少?解:设=A {从甲袋中取出白球},=B {从乙袋中取出白球},则由题设可知m n n A P +=)(,m n m A P +=(,11)|(+++=M N N A B P ,1|(++=M N N A B P ,由全概率公式,得)|(()|()()(A B P A P A B P A P B P +=)1)(()1(+++++=N M n m mN N n .28.从区间)1,0(内任取两个数,求这两个数的和小于1.2的概率.解:设x 和y 分别为所取的两个数,显然10≤≤x ,10≤≤y ,即试验的样本空间为边长为1的单位正方形,记}2.1|),{(<+=y x y x A ,由几何概型,有68.0118.08.02111)(=⨯⨯⨯-⨯=A P .29.一个系统由4个元件联结而成(如图),每个元件的可靠性(即元件能正常工作的概率)为r (10<<r ),假设各个元件独立地工作,求系统的可靠性.解:设=i A {第i 个元件能正常工作},4,3,2,1=i ,=B {系统能正常工作},则4314214321)(A A A A A A A A A A B ==,由题知r A P i =)(,i A 相互独立,4,3,2,1=i ,所以)()(431421A A A A A A P B P =)()()(4321431421A A A A P A A A P A A A P -+=)(()()()()()()()()(4321431421A P A P A P A P A P A P A P A P A P A P -+=3)2(r r -=.30.某篮球运动员投篮命中的概率为0.8,求他在5次独立投篮中至少命中2次的概率.解:设=A {该篮球运动员5次独立投篮中至少命中2次},=i B {该篮球运动员5次独立投篮中命中的次数},5,,1,0 =i ,则由题可知5432B B B B A =,10B B A =,i B 互不相容,5,,1,0 =i ,所以)()(1)(1)(10B P B P A P A P --=-=9933.02.08.02.08.0141155005=⋅⋅-⋅⋅-=C C .31.设概率统计课的重修率为5%,若某个班至少一人重修的概率不小于0.95,1324问这个班至少有多少名同学?解:设该班有n 名同学,=A {该班每名同学概率统计课重修},=i B {该班n 名同学中有i 名同学概率统计课重修},=C {该班n 名同学中至少有1名同学概率统计课重修},则 ni i n B B B B C 121===,0B C =,由题可知05.0)(=A P ,n n n C B P C P C P 95.0195.005.01)(1)(1)(000-=⋅⋅-=-=-=,由题意,应有95.095.01=-n ,解得59=n .32.某种灯泡使用时数在1000h 以上的概率为0.6,求3个灯泡在使用1000h 以后最多有1个损坏的概率.解:设=A {该种灯泡使用时数在h 1000以上},=i B {3个灯泡在使用h 1000以后有i 个损坏},3,2,1,0=i ,=C {3个灯泡在使用h 1000以后最多有1个损坏},则10B B C =,由题知6.0)(=A P ,i B 互不相容,3,2,1,0=i ,所以648.06.04.06.04.0)()()(2113300310=⋅⋅+⋅⋅=+=C C B P B P C P .33.甲、乙两名篮球运动员投篮的命中率分别为0.7和0.6,每人投篮3次,求:(1)二人进球数相等的概率;(2)甲比乙进球数多的概率.解:设=A {甲篮球运动员投篮命中},=B {乙篮球运动员投篮命中},=i A {甲篮球运动员投篮命中i 次},3,2,1,0=i ,=i B {乙篮球运动员投篮命中i 次},3,2,1,0=i ,=C {甲、乙进球数相等},=D {甲比乙进球数多},由题可知A 与B 相互独立,i A 相互独立,i B 相互独立,i A 与i B 相互独立,7.0)(=A P ,6.0)(=B P ,i i i i C A P -⋅⋅=333.07.0)(,i i i i C B P -⋅⋅=334.06.0)(,3,2,1,0=i ,(1) 30==i i i B A C ∑∑======303030)()()()()(i i i i i i i i i B P A P B A P B A P C P 3208.0=;(2)3310201)(B A B B A B A D =,从而有))(()(3310201B A B B A B A P D P =)(]([)(3310201B A P B B A P B A P ++= )()()()(33120201B A P B A P B A P B A P +++=)()()()()()()()(33120201B P A P B P A P B P A P B P A P +++=4362.0=.34.若三事件A ,B ,C 相互独立,证明:B A 及B A -都与C 相互独立.证:(1))())((BC AC P C B A P =)()()(ACBC P BC P AC P -+=)()()(ABC P BC P AC P -+=)()()()()()()(C P B P A P C P B P C P A P -+=)()]()()()([C P B P A P B P A P -+=)()]()()([C P AB P B P A P -+=)()(C P B A P =所以B A 与C 相互独立.(2))())((BC AC P C B A P -=-)()(ABC P AC P -=)()()()()(C P B P A P C P A P -=)()]()()([C P B P A P A P -=)()]()([C P AB P A P -=)()(C P B A P -=,所以B A -与C 相互独立.35.设袋中有1个黑球和1-n 个白球,每次从袋中随机摸出一球,并放入一个白球,连续进行,问第k 次摸到白球的概率是多少?解:设=A {第k 次摸到白球},=A {第k 次摸到黑球},A 发生表示前1-k 次摸球摸到的都是白球,第k 次摸到的是黑球.前1-k 次摸球,每次摸到白球的概率均为n n 1-,第k 次摸到黑球的概率为n 1,每次摸球相互独立,可知nn n A P k 1)1()(1⋅-=-,则n n n A P A P k 11(1)(1)(1⋅--=-=-.。