07自动化仪表应用实例.pptx
- 格式:pptx
- 大小:2.02 MB
- 文档页数:85
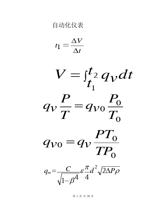
自动化仪表t V t ∆∆=1dt t t v q V ⎰=21000T P v q T P v q =000TP PT v q v q =ρπεβP d C q m ∆-=24412学习、交流总公司 4月:0。
9622亿 85。
7%5月 1。
0365亿 79。
62002年价格 0。
4667元/KWH 近5000万元/月燃气发电 9。
9亿KWH/年 0。
825KWH/月月节电费: (0。
4667-。
18)*0。
825=2365万元消耗高炉煤气:13.7万NM3/H焦炉煤气:2。
8万NM3/H 占总(8万)35%目前放散高炉煤气:5万KWH/H *0。
045=2250/H 5。
4W/R焦炉煤气:1万NM3/H *0。
52=5200/H 12。
48W/R 数字来源----测量(检测)第一部分:热工仪表检测(重点) 二。
控制(显示) 控制仪表—计算机取代 显示仪表⎪⎪⎪⎪⎭⎫ ⎝⎛==md S D k k f q r v 4/1 2πt 22∆=L c u第一节:基本知识一.测量和测量方法测量:就是用试验的方法把被测量与所采用的测量单位相比较,求出其数学比值的过程。
数学形式如下:q=Q/VQ----被测量V----测量单位q----测量结果的数值测量是通过一种比较的装置来进行的。
这种装置为测量仪表。
测量方法:好多方法影响结果加油机(桶、涡轮、科里奥里按测量结果分类1.直接测量法:被测量与测量单位直接比较所的结果。
例如:指针压力表、体温表2.间接测量法:通过直接测量与被测量有确定函数的一个或多个量,然后计算出被测量的方法。
例如:导体电阻R=U/I 流量=速度*面积3.组合测量法:当被测量与直接测量的一些量不是一个函数关系,需要求解一个方程组才能取得时即为组合测量法。
主要用于实验室和科学研究。
二.测量误差1.随机误差:不能预定的误差。
是在相同测量条件下多次重复测量同一个量时,以不可预定的方式变化的测量误差的分量。
《自动化仪表概述》PPT课件目录•自动化仪表基本概念与原理•常见类型及其特点•选型、安装与调试方法•使用维护与故障排除技巧•发展趋势与行业应用前景•实验环节:自动化仪表操作实践01自动化仪表基本概念与原理自动化仪表定义及分类定义自动化仪表是用于测量、显示、记录和控制工业生产过程中各种参数的装置或系统。
分类根据测量对象的不同,自动化仪表可分为温度仪表、压力仪表、流量仪表、物位仪表等。
工作原理与组成结构工作原理自动化仪表通过传感器将被测参数转换为标准信号,经过变送器放大、转换后,送至显示仪表进行指示、记录或控制。
组成结构自动化仪表通常由传感器、变送器、显示仪表和执行器等组成。
技术参数与性能指标技术参数包括测量范围、精度等级、重复性、稳定性等。
性能指标反映仪表性能优劣的综合指标,如灵敏度、响应时间、抗干扰能力等。
02常见类型及其特点接触式测温仪表非接触式测温仪表特点通过与被测对象直接接触来测量温度,如热电阻、热电偶等。
通过测量被测对象发出的热辐射来测量温度,如红外测温仪等。
测温范围广、精度高、稳定性好,适用于各种环境下的温度测量。
利用弹性元件的变形与被测压力之间的关系来测量压力,如弹簧管压力表、膜片压力表等。
弹性式压力计负荷式压力计特点通过测量被测压力作用在活塞上的力来测量压力,如活塞式压力计等。
测量范围宽、精度高、稳定性好,适用于气体、液体等介质的压力测量。
030201利用流体通过节流装置产生的差压来测量流量,如孔板流量计、喷嘴流量计等。
差压式流量计通过测量流体在管道中的速度来推算流量,如涡轮流量计、涡街流量计等。
速度式流量计测量准确度高、稳定性好、响应速度快,适用于气体、液体等多种介质的流量测量。
特点物位测量仪表直读式物位计通过直接读取被测物位的高度或深度来测量物位,如玻璃板液位计、浮球液位计等。
间接式物位计通过测量与被测物位相关的物理量来推算物位,如电容式物位计、超声波物位计等。
特点测量准确度高、稳定性好、安装简便,适用于各种容器和管道中的物位测量。