matlab计算风速时程命令流
- 格式:doc
- 大小:27.00 KB
- 文档页数:2
流体⼒学matlab例题,流体⼒学简单计算MATLAB程式《流体⼒学简单计算MATLAB程式》由会员分享,可在线阅读,更多相关《流体⼒学简单计算MATLAB程式(2页珍藏版)》请在⼈⼈⽂库⽹上搜索。
1、⽤matlab进⾏编程计算第⼀问:z=30;p1=50*9.8*104;p2=2*9.8*104;jdc=0.00015;gama=9800;d=0.257;L=50000;mu=6*10(-6);hf=z+(p1-p2)/(0.86*gama)xdc=2*jdc/d;beta=4.15;m=1;Q=(hf*d(5-m)/(beta*mum*L)(1/(2-m);v=4*Q/(pi*d2);Re=v*d/mu;Re1=59.7/xdc(8*xdc/7);Re2=(665-765*log(xdc)/xdc;i=hf/L;if Re3000Q=Q;elseif3000ReRe1m=0.25;be。
2、ta=0.0246;Q=(hf*d(5-m)/(beta*mum*L)(1/(2-m);v=4*Q/(pi*d2);Re=v*d/mu;elseifRe1ReRe2m=0.123;A=10(0.127*log(jdc/d)-0.627);beta=0.0802*A;Q=(hf*d(5-m)/(beta*mum*L)(1/(2-m);v=4*Q/(pi*d2);Re=v*d/mu;else m=0;langda=1/(2*log(3.7*d/jdc)2;beta=0.0816*langda;Q=(hf*d(5-m)/(beta*mum*L)(1/(2-m);v=4*Q/(pi*d2);Re=v。
3、*d/mu;endiQRevhf =588.1395i =0.0118Q =0.0915Re =7.5526e+004v =1.7632利⽤IF 语句对四种流态⼀⼀进⾏试算,最终的结果⽔⼒损失为588.1395m , ⽔⼒坡降0.0118第⼆问:将其中10km换成直径305mm的管⼦z=30;p1=50*9.8*104;p2=2*9.8*104;jdc=0.00015;gama=9800;mu=6*10(-6);d=0.257 0.305;L=4000010000;x=zeros(4,1);Q1=0.0915;hf=z+(p1-p2)/(0.86*gama);xdc=2*jdc./d;bet。
Matlab在风力发电中的使用方法介绍随着全球对于可再生能源的需求日益增加,风力发电成为了一种受到广泛关注的清洁能源解决方案。
风力发电是指利用风能将其转化为电能的过程,其中涉及到大量的数据处理和分析。
在这个过程中,Matlab作为一种功能强大的数学计算软件,可以为风力发电提供各种支持。
本文将介绍Matlab在风力发电领域的使用方法及其应用。
1. 风速和风向分析风力发电的核心是风能的捕捉和利用,而风的主要特征则是风速和风向。
Matlab提供了各种用于风速和风向数据分析的函数和工具,可以帮助分析师了解不同地区的风能潜力和资源。
通过对不同地点的风速和风向数据进行统计和可视化分析,可以找到最佳的风电场选址和风机布局策略。
2. 功率曲线建模风力发电机的输出功率和风速之间存在一种非线性关系,通常通过功率曲线来描述。
Matlab提供了丰富的建模功能,可以根据实际测量数据拟合出风力机的功率曲线,并进行精确的功率预测。
这对于评估风力机的性能、优化风电场的运行以及进行风电场规划都非常重要。
3. 风电场配置优化在设计风力发电场时,需要考虑多个因素,包括风能资源、地形、土地利用等。
Matlab可以帮助进行风电场布局和配置的优化。
利用Matlab的优化工具箱,可以建立风电场的数学模型,定义目标函数和约束条件,并通过优化算法求解最优解。
这样可以最大限度地提高风电场的发电效率和经济性。
4. 故障诊断和维护在风力发电系统中,故障和维护是不可避免的。
Matlab可以通过对风力机的运行数据进行实时监测和分析,帮助诊断故障和提出维护建议。
通过建立模型和算法,可以预测设备的寿命和故障概率,提高维护效率和降低成本。
5. 能量存储和智能网格随着电力系统的智能化和可持续发展要求的提高,风力发电需要与能量存储和智能网格技术进行集成。
Matlab提供了各种用于能量存储和智能网格分析的工具和模型,可以帮助设计师优化风力发电系统与能量存储设备和智能网格的集成方案,以提高电力系统的可靠性和灵活性。
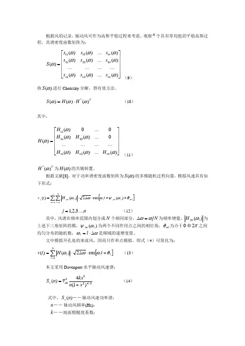
根据风的记录,脉动风可作为高斯平稳过程来考虑。
观察n 个具有零均值的平稳高斯过程,其谱密度函数矩阵为:⎥⎥⎥⎥⎦⎤⎢⎢⎢⎢⎣⎡=)(...)()(............)(...)()()(...)()()(212222111211ωωωωωωωωωωnn n n n n s s s s s s s s s S (9)将)(ωS 进行Cholesky 分解,得有效方法。
T H H S )()()(*ωωω⋅= (10)其中,⎥⎥⎥⎥⎦⎤⎢⎢⎢⎢⎣⎡=)(...)()(............0...)()(0...0)()(21222111ωωωωωωωnn n n H H H H H H H (11) T H )(*ω为)(ωH 的共轭转置。
根据文献[8],对于功率谱密度函数矩阵为)(ωS 的多维随机过程向量,模拟风速具有如下形式:[]∑∑==++⋅∆⋅=j m N l ml l jm l l jm j t H t v 11)(cos 2)()(θωψωωω n j ...,3,2,1= (12)其中,风谱在频率范围内划分成N 个相同部分,N ωω=∆为频率增量,)(l jm H ω为上述下三角矩阵的模,)(l jm ωψ为两个不同作用点之间的相位角,ml θ为介于0和π2之间均匀分布的随机数,ωω∆⋅=l l 是频域的递增变量。
文中模拟开孔处的来流风,因而只作单点模拟。
即式(4)可简化为:[]∑=+⋅∆⋅=Nl l l l t H t v 1cos 2)()(θωωω (13)本文采用Davenport 水平脉动风速谱:3/422210)1(4)(x n kx v n S v += (14) 式中,--)(n S v 脉动风速功率谱;--n 脉动风频率(Hz);--k 地面粗糙度系数;;120010v n x--10v 标准高度为10m 处的风速(m/s)。
Matlab 程序:N=10;d=0.001;n=d:d:N;%%频率区间(0.01~10)v10=16;k=0.005;x=1200*n/v10;s1=4*k*v10^2*x.^2./n./(1+x.^2).^(4/3);%%Davenport 谱subplot(2,2,1)loglog(n,s1)%%画谱图axis([-100 15 -100 1000])xlabel('freq');ylabel('S');for i=1:1:N/dH(i)=chol(s1(i));%%Cholesky 分解endthta=2*pi*rand(N/d,1000);%%介于0和2pi 之间均匀分布的随机数t=1:1:1000;%%时间区间(0.1~100s )for j=1:1:1000a=abs(H);b=cos((n*j/10)+thta(:,j)');c=sum(a.*b);v(j)=(2*d).^(1/2)*c;%%风荷载模拟endsubplot(2,2,2)plot(t/10,v)%%显示风荷载xlabel('t(s)');ylabel('v(t)');Y=fft(v);%%对数值解作傅立叶变换Y(1)=[];%%去掉零频量m=length(Y)/2;%%计算频率个数;power=abs(Y(1:m)).^2/(length(Y).^2);%%计算功率谱freq=10*(1:m)/length(Y);%%计算频率,因为步长为0.1,而不是1,故乘以10subplot(2,2,3)loglog(freq,power,'r',n,s1,'b')%%比较axis([-100 15 -100 1000])xlabel('freq');ylabel('S');1010100102freq S 050100-20-1001020t(s)v (t )10-2100100freq S对源程序的修改:z=xcorr(v);Y=fft(z);%%对数值解作傅立叶变换Y(1)=[];%%去掉零频量m=length(Y)/2;%%计算频率个数;power=abs(Y(1:m)).^2/(length(Y).^2);%%计算功率谱freq=10*(1:m)/length(Y);%%计算频率,因为步长为0.1,而不是1,故乘以10subplot(2,2,3)loglog(freq,power,'r',n,s1,'b')%%比较axis([-100 15 -100 1000])xlabel('freq');ylabel('S');楼主的修改使模拟得到的功率谱与源谱的数量级对上了,但是吻合不是太好。
matlab wind_rose 解读如何通过MATLAB的wind_rose函数解读风向风速数据。
引言:风向和风速是大气科学研究中重要的气象参数之一。
通过对风向风速数据的分析可以帮助我们了解气候特征、制定风险评估和采取适当的预防措施。
MATLAB是一种功能强大的科学计算软件,它提供了许多工具和函数,用于分析和可视化气象数据。
本文将重点介绍MATLAB中的wind_rose函数,以指导使用者一步一步地解读风向风速数据。
一、wind_rose函数简介:MATLAB中的wind_rose函数是一个用于绘制风向风速玫瑰图的函数。
其中,玫瑰图是一种以圆形为基础的统计图表,用于显示不同方向上的频次或频率。
wind_rose函数可以根据输入的风向和风速数据创建一个玫瑰图,将不同风向上的频率和风速范围进行可视化展示。
二、数据准备:在使用wind_rose函数前,需要准备风向和风速的数据。
一般来说,风向数据以角度表示,可以是0到360之间的任意值,其中0度表示正北方向,90度表示正东方向,180度表示正南方向,270度表示正西方向。
风速数据可以是任意非负实数。
三、调用wind_rose函数:在MATLAB中,可以通过调用wind_rose函数来创建风向风速玫瑰图。
wind_rose函数的基本语法如下:wind_rose(wd, ws)其中,wd是一个包含风向角度的向量,ws是一个包含相应风速值的向量。
四、风向风速玫瑰图的解读:绘制完风向风速玫瑰图后,我们可以通过图表中呈现的不同特征来解读数据。
下面是一些常用的解读方法:1. 风速频率解读:玫瑰图的半径表示不同风速区间,可以根据颜色深浅或虚实来表示不同的频率。
通过观察图表,我们可以了解到不同风速的出现频率。
例如,半径较短的区域表示较低的风速频率,而较长的区域表示较高的风速频率。
2. 风向频率解读:玫瑰图的角度表示不同的风向。
通过观察图表中的扇区大小或颜色深浅,我们可以了解不同风向的出现频率。
基于MATLAB的交通流计算机模拟交通流计算是交通工程中的一个重要研究方向,用于分析交通流量、交通状况和交通运行的模拟。
MATLAB是一种强大的数学计算软件,可以用于建立交通流计算的模拟模型。
本文将介绍基于MATLAB的交通流计算机模拟。
交通流计算模拟可以用来预测不同交通系统中的交通流量、速度、密度等参数。
这些参数的准确估计对于合理规划交通路网、提高交通运行效率至关重要。
使用MATLAB进行交通流计算模拟能够提供实时的、准确的交通状况估计,帮助交通工程师和规划者分析和解决交通问题。
下面以一个简单的例子来介绍如何使用MATLAB进行交通流计算机模拟。
假设有一个单车道的道路,长度为1公里,开始时没有车辆在道路上行驶。
我们想要模拟在不同时间段内车辆在道路上的行驶情况。
首先,我们需要确定道路的交通流量。
交通流量是单位时间内通过其中一路段的车辆数量。
为了模拟不同时间段的流量变化,我们可以使用MATLAB中的随机数生成函数。
假设在第1分钟,交通流量为20辆/分钟,在第2分钟,交通流量为30辆/分钟,以此类推。
我们可以使用以下代码来生成交通流量数据:```matlabflow = [20 30 40 35 30 25]'; % 设置每分钟的交通流量flow_sim = repelem(flow, 60); % 将每分钟的交通流量扩展为每秒的交通流量```接下来,我们需要根据交通流量来模拟车辆在道路上的行驶情况。
我们可以使用MATLAB中的离散事件仿真来模拟车辆的行驶。
首先,我们需要定义车辆的速度、车辆间距等参数。
然后,我们可以使用以下代码来模拟车辆的行驶情况:```matlabvehicle_speed = 60; % 车辆速度,单位为km/hsafe_distance = 10; % 车辆之间的最小安全距离,单位为mvehicle_number = length(flow_sim); % 计算需要车辆的数量vehicle_position = zeros(vehicle_number, 1); % 存储每辆车的位置vehicle_velocity = zeros(vehicle_number, 1); % 存储每辆车的速度for t = 1:length(flow_sim)%更新车辆位置和速度vehicle_position = vehicle_position + vehicle_velocity;vehicle_velocity = min(vehicle_velocity,safe_distance/(t/3600));%添加新车辆if flow_sim(t) > 0vehicle_position(end+1) = 0;vehicle_velocity(end+1) = vehicle_speed;endend```通过以上代码,我们可以得到不同时间段内车辆在道路上的位置。
MATLAB操作命令大全1.基本操作:- clear: 清除工作区中的所有变量。
- clc: 清除命令窗口的内容。
- close all: 关闭所有图形窗口。
- help function-name: 显示与函数相关的帮助文档。
- who: 显示当前工作区中的所有变量。
- save file-name: 保存当前工作区中的所有变量到指定的文件。
- load file-name: 从文件中加载变量到当前工作区。
2.变量操作:-=:赋值操作符,将右边的值赋给左边的变量。
-+:加法操作符。
--:减法操作符。
-*:乘法操作符。
-/:除法操作符。
-^:幂运算操作符。
- sqrt(x): 计算 x 的平方根。
- abs(x): 计算 x 的绝对值。
- max(x): 返回 x 中的最大值。
- min(x): 返回 x 中的最小值。
- sum(x): 计算 x 中所有元素的和。
3.数组操作:- zeros(m, n): 创建一个 m 行 n 列的全零数组。
- ones(m, n): 创建一个 m 行 n 列的全一数组。
- eye(n): 创建一个 n 行 n 列的单位矩阵。
- size(x): 返回 x 的维度。
- length(x): 返回 x 的长度。
- reshape(x, m, n): 将 x 重新排列为一个 m 行 n 列矩阵。
- transpose(x): 将 x 的行和列互换。
4.控制流程:- if-else: 条件语句,根据条件执行不同的代码块。
- for loop: 循环语句,执行指定次数的代码块。
- while loop: 循环语句,根据条件反复执行代码块。
- break: 在循环中使用,用来跳出当前循环。
- continue: 在循环中使用,用来跳过当前循环的剩余部分。
5.统计分析:- mean(x): 计算 x 的平均值。
- median(x): 计算 x 的中位数。
- std(x): 计算 x 的标准差。
Matlab 时程分析0 动力平衡方程及相关参数取值波浪、风载作用下的单桩动力反应计算(把结构简化为质点剪切型)wave wind []{}[]{}[]{}M u C u K u F F ∙∙∙++=+式中:u 为结构水平位移;[]M 桩-结构集中质量矩阵;[][][]P S C C C =+体系的阻尼矩阵;体系的阻尼矩阵由结构和土体的阻尼矩阵集成,其中结构的阻尼按瑞雷阻尼理论,土体阻尼由材料阻尼和辐射阻尼组成。
[][][]P S K K K =+体系的刚度矩阵;体系的刚度矩阵由结构和土体的刚度矩阵集成,土体刚度由动力P-Y 曲线对Y 求导得到。
地震、波浪、风载作用下的单桩动力反应计算1 自由场地震分析(远离桩,取单位面积土柱)[]{}[]{}[]{}[]{}f f f f f f f g M u C u K u M E u ∙∙∙∙∙++=- 土的刚度矩阵:;/f i i i k G h =土的阻尼矩阵:;离桩较远,可采用刚度比例阻尼2 桩土相互作用地震分析[]{}[]{}[]{}[]{}[]{}[]{}s s f f g wave wind M u C u K u M E u F F C u K u ∙∙∙∙∙∙++=-++++也可写为[]{}[]{}[]{}[]{}[]{}[]{}P S P S f f g wave wind M u C u C u u K u K u u M E u F F ∙∙∙∙∙∙∙++-++-=-++[]K 桩-结构集中质量矩阵;[]P C 结构的阻尼矩阵;[]S C 土体的阻尼矩阵;[]P K 结构的刚度矩阵;[]S K 土体的刚度矩阵;g u ∙∙基岩加速度。
自由场反应{}{0()}f T T f u u ∙∙=;{}{0()}fT T f u u = 1 结构动力响应数值方法威尔逊θ法,隐式积分格式,θ一般取1.4时无条件稳定。
θ=1即为常规线性加速度法。
题目:深度探析kaimal谱matlab风速模拟程序在风能领域,kaimal谱matlab风速模拟程序是一种常见的工具,它能够模拟风速在不同条件下的频谱特性,对风力发电等方面有着重要的应用价值。
在本篇文章中,我将对kaimal谱matlab风速模拟程序进行深度探讨,帮助您更全面地理解这一主题。
1. kaimal谱matlab风速模拟程序的基本原理kaimal谱matlab风速模拟程序是基于kaimal谱理论的,它能够根据参数输入,模拟出与实际风速频谱特性相近的虚拟风速数据。
在使用该程序时,首先需要输入风速的平均值、标准差和相关时间等参数,然后程序会根据这些参数生成符合kaimal谱分布的虚拟风速数据。
这一过程借助了matlab软件的功能,使得模拟风速数据变得更加高效和方便。
2. kaimal谱matlab风速模拟程序的应用范围这一模拟程序在风能领域有着广泛的应用,它可以用于模拟不同地理位置和季节下的风速频谱,帮助研究人员更好地了解风场的特性。
它还可以用于评估风力发电设备的性能,帮助设计者更准确地预测设备的工作状况。
在城市规划和建筑设计领域,这一模拟程序也可以用于评估风场对建筑物的影响,提高建筑物的抗风能力。
3. 对kaimal谱matlab风速模拟程序的个人理解在我看来,kaimal谱matlab风速模拟程序是一种非常实用的工具,它能够帮助研究人员和工程师更好地理解风场的特性,提高风能利用效率。
通过模拟不同条件下的风速频谱,我们可以更准确地预测风力发电设备的发电量,也能更好地规划城市风景和建筑布局。
我认为这一模拟程序在风能利用和城市规划方面有着重要的应用前景。
总结回顾通过本篇文章的深度探讨,我希望您对kaimal谱matlab风速模拟程序有了更深入的认识。
我们从原理、应用范围和个人理解三个方面对这一主题进行了全面的讨论,希望能够为您提供有价值的信息和观点。
在未来的研究和工作中,我相信这一模拟程序将继续发挥重要作用,推动风能和城市规划领域的发展。
Matlab命令大全A aabs 绝对值、模、字符的ASCII码值acos 反余弦acosh 反双曲余弦acot 反余切acoth 反双曲余切acsc 反余割acsch 反双曲余割align 启动图形对象几何位置排列工具all 所有元素非零为真angle 相角ans 表达式计算结果的缺省变量名any 所有元素非全零为真area 面域图argnames 函数M文件宗量名asec 反正割asech 反双曲正割asin 反正弦asinh 反双曲正弦assignin 向变量赋值atan 反正切atan2 四象限反正切atanh 反双曲正切autumn 红黄调秋色图阵axes 创建轴对象的低层指令axis 控制轴刻度和风格的高层指令B bbar 二维直方图bar3 三维直方图bar3h 三维水平直方图barh 二维水平直方图base2dec X进制转换为十进制bin2dec 二进制转换为十进制blanks 创建空格串bone 蓝色调黑白色图阵box 框状坐标轴break while 或for 环中断指令brighten 亮度控制C ccapture (3版以前)捕获当前图形cart2pol 直角坐标变为极或柱坐标cart2sph 直角坐标变为球坐标cat 串接成高维数组caxis 色标尺刻度cd 指定当前目录cdedit 启动用户菜单、控件回调函数设计工具cdf2rdf 复数特征值对角阵转为实数块对角阵ceil 向正无穷取整cell 创建元胞数组cell2struct 元胞数组转换为构架数组celldisp 显示元胞数组内容cellplot 元胞数组内部结构图示char 把数值、符号、内联类转换为字符对象chi2cdf 分布累计概率函数chi2inv 分布逆累计概率函数chi2pdf 分布概率密度函数chi2rnd 分布随机数发生器chol Cholesky分解clabel 等位线标识cla 清除当前轴class 获知对象类别或创建对象clc 清除指令窗clear 清除内存变量和函数clf 清除图对象clock 时钟colorcube 三浓淡多彩交叉色图矩阵colordef 设置色彩缺省值colormap 色图colspace 列空间的基close 关闭指定窗口colperm 列排序置换向量comet 彗星状轨迹图comet3 三维彗星轨迹图compass 射线图compose 求复合函数cond (逆)条件数condeig 计算特征值、特征向量同时给出条件数condest 范-1条件数估计conj 复数共轭contour 等位线contourf 填色等位线contour3 三维等位线contourslice 四维切片等位线图conv 多项式乘、卷积cool 青紫调冷色图copper 古铜调色图cos 余弦cosh 双曲余弦cot 余切coth 双曲余切cplxpair 复数共轭成对排列csc 余割csch 双曲余割cumsum 元素累计和cumtrapz 累计梯形积分cylinder 创建圆柱D ddblquad 二重数值积分deal 分配宗量deblank 删去串尾部的空格符dec2base 十进制转换为X进制dec2bin 十进制转换为二进制dec2hex 十进制转换为十六进制deconv 多项式除、解卷delaunay Delaunay 三角剖分del2 离散Laplacian差分demo Matlab演示det 行列式diag 矩阵对角元素提取、创建对角阵diary Matlab指令窗文本内容记录diff 数值差分、符号微分digits 符号计算中设置符号数值的精度dir 目录列表disp 显示数组display 显示对象内容的重载函数dlinmod 离散系统的线性化模型dmperm 矩阵Dulmage-Mendelsohn 分解dos 执行DOS 指令并返回结果double 把其他类型对象转换为双精度数值drawnow 更新事件队列强迫Matlab刷新屏幕dsolve 符号计算解微分方程E eecho M文件被执行指令的显示edit 启动M文件编辑器eig 求特征值和特征向量eigs 求指定的几个特征值end 控制流FOR等结构体的结尾元素下标eps 浮点相对精度error 显示出错信息并中断执行errortrap 错误发生后程序是否继续执行的控制erf 误差函数erfc 误差补函数erfcx 刻度误差补函数erfinv 逆误差函数errorbar 带误差限的曲线图etreeplot 画消去树eval 串演算指令evalin 跨空间串演算指令exist 检查变量或函数是否已定义exit 退出Matlab环境exp 指数函数expand 符号计算中的展开操作expint 指数积分函数expm 常用矩阵指数函数expm1 Pade法求矩阵指数expm2 Taylor法求矩阵指数expm3 特征值分解法求矩阵指数eye 单位阵ezcontour 画等位线的简捷指令ezcontourf 画填色等位线的简捷指令ezgraph3 画表面图的通用简捷指令ezmesh 画网线图的简捷指令ezmeshc 画带等位线的网线图的简捷指令ezplot 画二维曲线的简捷指令ezplot3 画三维曲线的简捷指令ezpolar 画极坐标图的简捷指令ezsurf 画表面图的简捷指令ezsurfc 画带等位线的表面图的简捷指令F ffactor 符号计算的因式分解feather 羽毛图feedback 反馈连接feval 执行由串指定的函数fft 离散Fourier变换fft2 二维离散Fourier变换fftn 高维离散Fourier变换fftshift 直流分量对中的谱fieldnames 构架域名figure 创建图形窗fill3 三维多边形填色图find 寻找非零元素下标findobj 寻找具有指定属性的对象图柄findstr 寻找短串的起始字符下标findsym 机器确定内存中的符号变量finverse 符号计算中求反函数fix 向零取整flag 红白蓝黑交错色图阵fliplr 矩阵的左右翻转flipud 矩阵的上下翻转flipdim 矩阵沿指定维翻转floor 向负无穷取整flops 浮点运算次数flow Matlab提供的演示数据fmin 求单变量非线性函数极小值点(旧版)fminbnd 求单变量非线性函数极小值点fmins 单纯形法求多变量函数极小值点(旧版)fminunc 拟牛顿法求多变量函数极小值点fminsearch 单纯形法求多变量函数极小值点fnder 对样条函数求导fnint 利用样条函数求积分fnval 计算样条函数区间内任意一点的值fnplt 绘制样条函数图形fopen 打开外部文件for 构成for环用format 设置输出格式fourier Fourier 变换fplot 返函绘图指令fprintf 设置显示格式fread 从文件读二进制数据fsolve 求多元函数的零点full 把稀疏矩阵转换为非稀疏阵funm 计算一般矩阵函数funtool 函数计算器图形用户界面fzero 求单变量非线性函数的零点G ggamma 函数gammainc 不完全函数gammaln 函数的对数gca 获得当前轴句柄gcbo 获得正执行"回调"的对象句柄gcf 获得当前图对象句柄gco 获得当前对象句柄geomean 几何平均值get 获知对象属性getfield 获知构架数组的域getframe 获取影片的帧画面ginput 从图形窗获取数据global 定义全局变量gplot 依图论法则画图gradient 近似梯度gray 黑白灰度grid 画分格线griddata 规则化数据和曲面拟合gtext 由鼠标放置注释文字guide 启动图形用户界面交互设计工具H hharmmean 调和平均值help 在线帮助helpwin 交互式在线帮助helpdesk 打开超文本形式用户指南hex2dec 十六进制转换为十进制hex2num 十六进制转换为浮点数hidden 透视和消隐开关hilb Hilbert矩阵hist 频数计算或频数直方图histc 端点定位频数直方图histfit 带正态拟合的频数直方图hold 当前图上重画的切换开关horner 分解成嵌套形式hot 黑红黄白色图hsv 饱和色图I iif-else-elseif 条件分支结构ifft 离散Fourier反变换ifft2 二维离散Fourier反变换ifftn 高维离散Fourier反变换ifftshift 直流分量对中的谱的反操作ifourier Fourier反变换i, j 缺省的"虚单元"变量ilaplace Laplace反变换imag 复数虚部image 显示图象imagesc 显示亮度图象imfinfo 获取图形文件信息imread 从文件读取图象imwrite 把imwrite 把图象写成文件ind2sub 单下标转变为多下标inf 无穷大info MathWorks公司网点地址inline 构造内联函数对象inmem 列出内存中的函数名input 提示用户输入inputname 输入宗量名int 符号积分int2str 把整数数组转换为串数组interp1 一维插值interp2 二维插值interp3 三维插值interpn N维插值interpft 利用FFT插值intro Matlab自带的入门引导inv 求矩阵逆invhilb Hilbert矩阵的准确逆ipermute 广义反转置isa 检测是否给定类的对象ischar 若是字符串则为真isequal 若两数组相同则为真isempty 若是空阵则为真isfinite 若全部元素都有限则为真isfield 若是构架域则为真isglobal 若是全局变量则为真ishandle 若是图形句柄则为真ishold 若当前图形处于保留状态则为真isieee 若计算机执行IEEE规则则为真isinf 若是无穷数据则为真isletter 若是英文字母则为真islogical 若是逻辑数组则为真ismember 检查是否属于指定集isnan 若是非数则为真isnumeric 若是数值数组则为真isobject 若是对象则为真isprime 若是质数则为真isreal 若是实数则为真isspace 若是空格则为真issparse 若是稀疏矩阵则为真isstruct 若是构架则为真isstudent 若是Matlab学生版则为真iztrans 符号计算Z反变换J j , K kjacobian 符号计算中求Jacobian 矩阵jet 蓝头红尾饱和色jordan 符号计算中获得Jordan标准型keyboard 键盘获得控制权kron Kronecker乘法规则产生的数组L llaplace Laplace变换lasterr 显示最新出错信息lastwarn 显示最新警告信息leastsq 解非线性最小二乘问题(旧版)legend 图形图例lighting 照明模式line 创建线对象lines 采用plot 画线色linmod 获连续系统的线性化模型linmod2 获连续系统的线性化精良模型linspace 线性等分向量ln 矩阵自然对数load 从MAT文件读取变量log 自然对数log10 常用对数log2 底为2的对数loglog 双对数刻度图形logm 矩阵对数logspace 对数分度向量lookfor 按关键字搜索M文件lower 转换为小写字母lsqnonlin 解非线性最小二乘问题lu LU分解M mmad 平均绝对值偏差magic 魔方阵maple &nb, sp; 运作Maple格式指令mat2str 把数值数组转换成输入形态串数组material 材料反射模式max 找向量中最大元素mbuild 产生EXE文件编译环境的预设置指令mcc 创建MEX或EXE文件的编译指令mean 求向量元素的平均值median 求中位数menuedit 启动设计用户菜单的交互式编辑工具mesh 网线图meshz 垂帘网线图meshgrid 产生"格点"矩阵methods 获知对指定类定义的所有方法函数mex 产生MEX文件编译环境的预设置指令mfunlis 能被mfun计算的MAPLE经典函数列表mhelp 引出Maple的在线帮助min 找向量中最小元素mkdir 创建目录mkpp 逐段多项式数据的明晰化mod 模运算more 指令窗中内容的分页显示movie 放映影片动画moviein 影片帧画面的内存预置mtaylor 符号计算多变量Taylor级数展开N nndims 求数组维数NaN 非数(预定义)变量nargchk 输入宗量数验证nargin 函数输入宗量数nargout 函数输出宗量数ndgrid 产生高维格点矩阵newplot 准备新的缺省图、轴nextpow2 取最接近的较大2次幂nnz 矩阵的非零元素总数nonzeros 矩阵的非零元素norm 矩阵或向量范数normcdf 正态分布累计概率密度函数normest 估计矩阵2范数norminv 正态分布逆累计概率密度函数normpdf 正态分布概率密度函数normrnd 正态随机数发生器notebook 启动Matlab和Word的集成环境null 零空间num2str 把非整数数组转换为串numden 获取最小公分母和相应的分子表达式nzmax 指定存放非零元素所需内存O oode1 非Stiff 微分方程变步长解算器ode15s Stiff 微分方程变步长解算器ode23t 适度Stiff 微分方程解算器ode23tb Stiff 微分方程解算器ode45 非Stiff 微分方程变步长解算器odefile ODE 文件模板odeget 获知ODE 选项设置参数odephas2 ODE 输出函数的二维相平面图odephas3 ODE 输出函数的三维相空间图odeplot ODE 输出函数的时间轨迹图odeprint 在Matlab指令窗显示结果odeset 创建或改写ODE选项构架参数值ones 全1数组optimset 创建或改写优化泛函指令的选项参数值orient 设定图形的排放方式orth 值空间正交化P ppack 收集Matlab内存碎块扩大内存pagedlg 调出图形排版对话框patch 创建块对象path 设置Matlab搜索路径的指令pathtool 搜索路径管理器pause 暂停pcode 创建预解译P码文件pcolor 伪彩图peaks Matlab提供的典型三维曲面permute 广义转置pi (预定义变量)圆周率pie 二维饼图pie3 三维饼图pink 粉红色图矩阵pinv 伪逆plot 平面线图plot3 三维线图plotmatrix 矩阵的散点图plotyy 双纵坐标图poissinv 泊松分布逆累计概率分布函数poissrnd 泊松分布随机数发生器pol2cart 极或柱坐标变为直角坐标polar 极坐标图poly 矩阵的特征多项式、根集对应的多项式poly2str 以习惯方式显示多项式poly2sym 双精度多项式系数转变为向量符号多项式polyder 多项式导数polyfit 数据的多项式拟合polyval 计算多项式的值polyvalm 计算矩阵多项式pow2 2的幂ppval 计算分段多项式pretty 以习惯方式显示符号表达式print 打印图形或SIMULINK模型printsys 以习惯方式显示有理分式prism 光谱色图矩阵procread 向MAPLE输送计算程序profile 函数文件性能评估器propedit 图形对象属性编辑器pwd 显示当前工作目录Q qquad 低阶法计算数值积分quad8 高阶法计算数值积分(QUADL)quit 推出Matlab 环境quiver 二维方向箭头图quiver3 三维方向箭头图R rrand 产生均匀分布随机数randn 产生正态分布随机数randperm 随机置换向量range 样本极差rank 矩阵的秩rats 有理输出rcond 矩阵倒条件数估计real 复数的实部reallog 在实数域内计算自然对数realpow 在实数域内计算乘方realsqrt 在实数域内计算平方根realmax 最大正浮点数realmin 最小正浮点数rectangle 画"长方框"rem 求余数repmat 铺放模块数组reshape 改变数组维数、大小residue 部分分式展开return 返回ribbon 把二维曲线画成三维彩带图rmfield 删去构架的域roots 求多项式的根rose 数扇形图rot90 矩阵旋转90度rotate 指定的原点和方向旋转rotate3d 启动三维图形视角的交互设置功能round 向最近整数圆整rref 简化矩阵为梯形形式rsf2csf 实数块对角阵转为复数特征值对角阵rsums Riemann和S ssave 把内存变量保存为文件scatter3 三维散点图sec 正割sech 双曲正割semilogx X轴对数刻度坐标图semilogy Y轴对数刻度坐标图series 串联连接set 设置图形对象属性setfield 设置构架数组的域setstr 将ASCII码转换为字符的旧版指令sign 根据符号取值函数signum 符号计算中的符号取值函数sim 运行SIMULINK模型simget 获取SIMULINK模型设置的仿真参数simple 寻找最短形式的符号解simplify 符号计算中进行简化操作simset 对SIMULINK模型的仿真参数进行设置simulink 启动SIMULINK模块库浏览器sin 正弦sinh 双曲正弦size 矩阵的大小slice 立体切片图solve 求代数方程的符号解spalloc 为非零元素配置内存sparse 创建稀疏矩阵spconvert 把外部数据转换为稀疏矩阵spdiags 稀疏对角阵spfun 求非零元素的函数值sph2cart 球坐标变为直角坐标sphere 产生球面spinmap 色图彩色的周期变化spline 样条插值spones 用1置换非零元素sprandsym 稀疏随机对称阵sprank 结构秩spring 紫黄调春色图sprintf 把格式数据写成串spy 画稀疏结构图sqrt 平方根sqrtm 方根矩阵squeeze 删去大小为1的"孤维"sscanf 按指定格式读串stairs 阶梯图std 标准差step 阶跃响应指令str2double 串转换为双精度值str2mat 创建多行串数组str2num 串转换为数strcat 接成长串strcmp 串比较strjust 串对齐strmatch 搜索指定串strncmp 串中前若干字符比较strrep 串替换strtok 寻找第一间隔符前的内容struct 创建构架数组struct2cell 把构架转换为元胞数组strvcat 创建多行串数组sub2ind 多下标转换为单下标subexpr 通过子表达式重写符号对象subplot 创建子图subs 符号计算中的符号变量置换subspace 两子空间夹角sum 元素和summer 绿黄调夏色图superiorto 设定优先级surf 三维着色表面图surface 创建面对象surfc 带等位线的表面图surfl 带光照的三维表面图surfnorm 空间表面的法线svd 奇异值分解svds 求指定的若干奇异值switch-case-otherwise 多分支结构sym2poly 符号多项式转变为双精度多项式系数向量symmmd 对称最小度排序symrcm 反向Cuthill-McKee排序syms 创建多个符号对象T ttan 正切tanh 双曲正切taylortool 进行Taylor逼近分析的交互界面text 文字注释tf 创建传递函数对象tic 启动计时器title 图名toc 关闭计时器trapz 梯形法数值积分treelayout 展开树、林treeplot 画树图tril 下三角阵trim 求系统平衡点trimesh 不规则格点网线图trisurf 不规则格点表面图triu 上三角阵try-catch 控制流中的Try-catch结构type 显示M 文件U uuicontextmenu 创建现场菜单uicontrol 创建用户控件uimenu 创建用户菜单unmkpp 逐段多项式数据的反明晰化unwrap 自然态相角upper 转换为大写字母V vvar 方差varargin 变长度输入宗量varargout 变长度输出宗量vectorize 使串表达式或内联函数适于数组运算ver 版本信息的获取view 三维图形的视角控制voronoi Voronoi多边形vpa 任意精度(符号类)数值W wwarning 显示警告信息what 列出当前目录上的文件whatsnew 显示Matlab中Readme文件的内容which 确定函数、文件的位置while 控制流中的While环结构white 全白色图矩阵whitebg 指定轴的背景色who 列出内存中的变量名whos 列出内存中变量的详细信息winter 蓝绿调冬色图workspace 启动内存浏览器X x , Y y , Z zxlabel X轴名xor 或非逻辑yesinput 智能输入指令ylabel Y轴名zeros 全零数组zlabel Z轴名zoom 图形的变焦放大和缩小ztrans 符号计算Z变换MATLAB命令大全Prod 计算数组元素的连乘积。
matlab命令⼤全(全⾯)Matlab命令⼤全A aabs 绝对值、模、字符的ASCII码值acos 反余弦acosh 反双曲余弦acot 反余切acoth 反双曲余切acsc 反余割acsch 反双曲余割align 启动图形对象⼏何位置排列⼯具all 所有元素⾮零为真angle 相⾓ans 表达式计算结果的缺省变量名any 所有元素⾮全零为真area ⾯域图argnames 函数M⽂件宗量名asec 反正割asech 反双曲正割asin 反正弦asinh 反双曲正弦assignin 向变量赋值atan 反正切atan2 四象限反正切atanh 反双曲正切autumn 红黄调秋⾊图阵axes 创建轴对象的低层指令axis 控制轴刻度和风格的⾼层指令B bbar ⼆维直⽅图bar3 三维直⽅图bar3h 三维⽔平直⽅图barh ⼆维⽔平直⽅图base2dec X进制转换为⼗进制bone 蓝⾊调⿊⽩⾊图阵box 框状坐标轴break while 或for 环中断指令brighten 亮度控制C ccapture (3版以前)捕获当前图形cart2pol 直⾓坐标变为极或柱坐标cart2sph 直⾓坐标变为球坐标cat 串接成⾼维数组caxis ⾊标尺刻度cd 指定当前⽬录cdedit 启动⽤户菜单、控件回调函数设计⼯具cdf2rdf 复数特征值对⾓阵转为实数块对⾓阵ceil 向正⽆穷取整cell 创建元胞数组cell2struct 元胞数组转换为构架数组celldisp 显⽰元胞数组内容cellplot 元胞数组内部结构图⽰char 把数值、符号、内联类转换为字符对象chi2cdf 分布累计概率函数chi2inv 分布逆累计概率函数chi2pdf 分布概率密度函数chi2rnd 分布随机数发⽣器chol Cholesky分解clabel 等位线标识cla 清除当前轴class 获知对象类别或创建对象clc 清除指令窗clear 清除内存变量和函数clf 清除图对象clock 时钟colorcube 三浓淡多彩交叉⾊图矩阵colordef 设置⾊彩缺省值colormap ⾊图colspace 列空间的基close 关闭指定窗⼝colperm 列排序置换向量comet3 三维彗星轨迹图compass 射线图compose 求复合函数cond (逆)条件数condeig 计算特征值、特征向量同时给出条件数condest 范-1条件数估计conj 复数共轭contour 等位线contourf 填⾊等位线contour3 三维等位线contourslice 四维切⽚等位线图conv 多项式乘、卷积cool 青紫调冷⾊图copper 古铜调⾊图cos 余弦cosh 双曲余弦cot 余切coth 双曲余切cplxpair 复数共轭成对排列csc 余割csch 双曲余割cumsum 元素累计和cumtrapz 累计梯形积分cylinder 创建圆柱D ddblquad ⼆重数值积分deal 分配宗量deblank 删去串尾部的空格符dec2base ⼗进制转换为X进制dec2bin ⼗进制转换为⼆进制dec2hex ⼗进制转换为⼗六进制deconv 多项式除、解卷delaunay Delaunay 三⾓剖分del2 离散Laplacian差分demo Matlab演⽰diag 矩阵对⾓元素提取、创建对⾓阵diary Matlab指令窗⽂本内容记录diff 数值差分、符号微分digits 符号计算中设置符号数值的精度dir ⽬录列表disp 显⽰数组display 显⽰对象内容的重载函数dlinmod 离散系统的线性化模型dmperm 矩阵Dulmage-Mendelsohn 分解dos 执⾏DOS 指令并返回结果double 把其他类型对象转换为双精度数值drawnow 更新事件队列强迫Matlab刷新屏幕dsolve 符号计算解微分⽅程E eecho M⽂件被执⾏指令的显⽰edit 启动M⽂件编辑器eig 求特征值和特征向量eigs 求指定的⼏个特征值end 控制流FOR等结构体的结尾元素下标eps 浮点相对精度error 显⽰出错信息并中断执⾏errortrap 错误发⽣后程序是否继续执⾏的控制erf 误差函数erfc 误差补函数erfcx 刻度误差补函数erfinv 逆误差函数errorbar 带误差限的曲线图etreeplot 画消去树eval 串演算指令evalin 跨空间串演算指令exist 检查变量或函数是否已定义exit 退出Matlab环境exp 指数函数expand 符号计算中的展开操作expint 指数积分函数expm 常⽤矩阵指数函数expm1 Pade法求矩阵指数expm2 Taylor法求矩阵指数expm3 特征值分解法求矩阵指数ezcontour 画等位线的简捷指令ezcontourf 画填⾊等位线的简捷指令ezgraph3 画表⾯图的通⽤简捷指令ezmesh 画⽹线图的简捷指令ezmeshc 画带等位线的⽹线图的简捷指令ezplot 画⼆维曲线的简捷指令ezplot3 画三维曲线的简捷指令ezpolar 画极坐标图的简捷指令ezsurf 画表⾯图的简捷指令ezsurfc 画带等位线的表⾯图的简捷指令F ffactor 符号计算的因式分解feather ⽻⽑图feedback 反馈连接feval 执⾏由串指定的函数fft 离散Fourier变换fft2 ⼆维离散Fourier变换fftn ⾼维离散Fourier变换fftshift 直流分量对中的谱fieldnames 构架域名figure 创建图形窗fill3 三维多边形填⾊图find 寻找⾮零元素下标findobj 寻找具有指定属性的对象图柄findstr 寻找短串的起始字符下标findsym 机器确定内存中的符号变量finverse 符号计算中求反函数fix 向零取整flag 红⽩蓝⿊交错⾊图阵fliplr 矩阵的左右翻转flipud 矩阵的上下翻转flipdim 矩阵沿指定维翻转floor 向负⽆穷取整flops 浮点运算次数flow Matlab提供的演⽰数据fmin 求单变量⾮线性函数极⼩值点(旧版)fminbnd 求单变量⾮线性函数极⼩值点fnint 利⽤样条函数求积分fnval 计算样条函数区间内任意⼀点的值fnplt 绘制样条函数图形fopen 打开外部⽂件for 构成for环⽤format 设置输出格式fourier Fourier 变换fplot 返函绘图指令fprintf 设置显⽰格式fread 从⽂件读⼆进制数据fsolve 求多元函数的零点full 把稀疏矩阵转换为⾮稀疏阵funm 计算⼀般矩阵函数funtool 函数计算器图形⽤户界⾯fzero 求单变量⾮线性函数的零点G ggamma 函数gammainc 不完全函数gammaln 函数的对数gca 获得当前轴句柄gcbo 获得正执⾏"回调"的对象句柄gcf 获得当前图对象句柄gco 获得当前对象句柄geomean ⼏何平均值get 获知对象属性getfield 获知构架数组的域getframe 获取影⽚的帧画⾯ginput 从图形窗获取数据global 定义全局变量gplot 依图论法则画图gradient 近似梯度gray ⿊⽩灰度grid 画分格线griddata 规则化数据和曲⾯拟合gtext 由⿏标放置注释⽂字guide 启动图形⽤户界⾯交互设计⼯具harmmean 调和平均值help 在线帮助helpwin 交互式在线帮助helpdesk 打开超⽂本形式⽤户指南hex2dec ⼗六进制转换为⼗进制hex2num ⼗六进制转换为浮点数hidden 透视和消隐开关hilb Hilbert矩阵hist 频数计算或频数直⽅图histc 端点定位频数直⽅图histfit 带正态拟合的频数直⽅图hold 当前图上重画的切换开关horner 分解成嵌套形式hot ⿊红黄⽩⾊图hsv 饱和⾊图I iif-else-elseif 条件分⽀结构ifft 离散Fourier反变换ifft2 ⼆维离散Fourier反变换ifftn ⾼维离散Fourier反变换ifftshift 直流分量对中的谱的反操作ifourier Fourier反变换i, j 缺省的"虚单元"变量ilaplace Laplace反变换imag 复数虚部image 显⽰图象imagesc 显⽰亮度图象imfinfo 获取图形⽂件信息imread 从⽂件读取图象imwrite 把imwrite 把图象写成⽂件ind2sub 单下标转变为多下标inf ⽆穷⼤info MathWorks公司⽹点地址inline 构造内联函数对象inmem 列出内存中的函数名input 提⽰⽤户输⼊inputname 输⼊宗量名int 符号积分int2str 把整数数组转换为串数组interp1 ⼀维插值interp3 三维插值interpn N维插值interpft 利⽤FFT插值intro Matlab⾃带的⼊门引导inv 求矩阵逆invhilb Hilbert矩阵的准确逆ipermute ⼴义反转置isa 检测是否给定类的对象ischar 若是字符串则为真isequal 若两数组相同则为真isempty 若是空阵则为真isfinite 若全部元素都有限则为真isfield 若是构架域则为真isglobal 若是全局变量则为真ishandle 若是图形句柄则为真ishold 若当前图形处于保留状态则为真isieee 若计算机执⾏IEEE规则则为真isinf 若是⽆穷数据则为真isletter 若是英⽂字母则为真islogical 若是逻辑数组则为真ismember 检查是否属于指定集isnan 若是⾮数则为真isnumeric 若是数值数组则为真isobject 若是对象则为真isprime 若是质数则为真isreal 若是实数则为真isspace 若是空格则为真issparse 若是稀疏矩阵则为真isstruct 若是构架则为真isstudent 若是Matlab学⽣版则为真iztrans 符号计算Z反变换J j , K kjacobian 符号计算中求Jacobian 矩阵jet 蓝头红尾饱和⾊jordan 符号计算中获得Jordan标准型keyboard 键盘获得控制权kron Kronecker乘法规则产⽣的数组L llaplace Laplace变换lasterr 显⽰最新出错信息lastwarn 显⽰最新警告信息leastsq 解⾮线性最⼩⼆乘问题(旧版)legend 图形图例lighting 照明模式line 创建线对象lines 采⽤plot 画线⾊ln 矩阵⾃然对数load 从MAT⽂件读取变量log ⾃然对数log10 常⽤对数log2 底为2的对数loglog 双对数刻度图形logm 矩阵对数logspace 对数分度向量lookfor 按关键字搜索M⽂件lower 转换为⼩写字母lsqnonlin 解⾮线性最⼩⼆乘问题lu LU分解M mmad 平均绝对值偏差magic 魔⽅阵maple &nb, sp; 运作Maple格式指令mat2str 把数值数组转换成输⼊形态串数组material 材料反射模式max 找向量中最⼤元素mbuild 产⽣EXE⽂件编译环境的预设置指令mcc 创建MEX或EXE⽂件的编译指令mean 求向量元素的平均值median 求中位数menuedit 启动设计⽤户菜单的交互式编辑⼯具mesh ⽹线图meshz 垂帘⽹线图meshgrid 产⽣"格点"矩阵methods 获知对指定类定义的所有⽅法函数mex 产⽣MEX⽂件编译环境的预设置指令mfunlis 能被mfun计算的MAPLE经典函数列表mhelp 引出Maple的在线帮助min 找向量中最⼩元素mkdir 创建⽬录mkpp 逐段多项式数据的明晰化mod 模运算more 指令窗中内容的分页显⽰movie 放映影⽚动画moviein 影⽚帧画⾯的内存预置mtaylor 符号计算多变量Taylor级数展开NaN ⾮数(预定义)变量nargchk 输⼊宗量数验证nargin 函数输⼊宗量数nargout 函数输出宗量数ndgrid 产⽣⾼维格点矩阵newplot 准备新的缺省图、轴nextpow2 取最接近的较⼤2次幂nnz 矩阵的⾮零元素总数nonzeros 矩阵的⾮零元素norm 矩阵或向量范数normcdf 正态分布累计概率密度函数normest 估计矩阵2范数norminv 正态分布逆累计概率密度函数normpdf 正态分布概率密度函数normrnd 正态随机数发⽣器notebook 启动Matlab和Word的集成环境null 零空间num2str 把⾮整数数组转换为串numden 获取最⼩公分母和相应的分⼦表达式nzmax 指定存放⾮零元素所需内存O oode1 ⾮Stiff 微分⽅程变步长解算器ode15s Stiff 微分⽅程变步长解算器ode23t 适度Stiff 微分⽅程解算器ode23tb Stiff 微分⽅程解算器ode45 ⾮Stiff 微分⽅程变步长解算器odefile ODE ⽂件模板odeget 获知ODE 选项设置参数odephas2 ODE 输出函数的⼆维相平⾯图odephas3 ODE 输出函数的三维相空间图odeplot ODE 输出函数的时间轨迹图odeprint 在Matlab指令窗显⽰结果odeset 创建或改写ODE选项构架参数值ones 全1数组optimset 创建或改写优化泛函指令的选项参数值orient 设定图形的排放⽅式orth 值空间正交化P ppack 收集Matlab内存碎块扩⼤内存patch 创建块对象path 设置Matlab搜索路径的指令pathtool 搜索路径管理器pause 暂停pcode 创建预解译P码⽂件pcolor 伪彩图peaks Matlab提供的典型三维曲⾯permute ⼴义转置pi (预定义变量)圆周率pie ⼆维饼图pie3 三维饼图pink 粉红⾊图矩阵pinv 伪逆plot 平⾯线图plot3 三维线图plotmatrix 矩阵的散点图plotyy 双纵坐标图poissinv 泊松分布逆累计概率分布函数poissrnd 泊松分布随机数发⽣器pol2cart 极或柱坐标变为直⾓坐标polar 极坐标图poly 矩阵的特征多项式、根集对应的多项式poly2str 以习惯⽅式显⽰多项式poly2sym 双精度多项式系数转变为向量符号多项式polyder 多项式导数polyfit 数据的多项式拟合polyval 计算多项式的值polyvalm 计算矩阵多项式pow2 2的幂ppval 计算分段多项式pretty 以习惯⽅式显⽰符号表达式print 打印图形或SIMULINK模型printsys 以习惯⽅式显⽰有理分式prism 光谱⾊图矩阵procread 向MAPLE输送计算程序profile 函数⽂件性能评估器propedit 图形对象属性编辑器pwd 显⽰当前⼯作⽬录Q qquad 低阶法计算数值积分quad8 ⾼阶法计算数值积分(QUADL)quit 推出Matlab 环境quiver ⼆维⽅向箭头图quiver3 三维⽅向箭头图R rrand 产⽣均匀分布随机数randn 产⽣正态分布随机数randperm 随机置换向量range 样本极差rank 矩阵的秩rats 有理输出rcond 矩阵倒条件数估计real 复数的实部reallog 在实数域内计算⾃然对数realpow 在实数域内计算乘⽅realsqrt 在实数域内计算平⽅根realmax 最⼤正浮点数realmin 最⼩正浮点数rectangle 画"长⽅框"rem 求余数repmat 铺放模块数组reshape 改变数组维数、⼤⼩residue 部分分式展开return 返回ribbon 把⼆维曲线画成三维彩带图rmfield 删去构架的域roots 求多项式的根rose 数扇形图rot90 矩阵旋转90度rotate 指定的原点和⽅向旋转rotate3d 启动三维图形视⾓的交互设置功能round 向最近整数圆整rref 简化矩阵为梯形形式rsf2csf 实数块对⾓阵转为复数特征值对⾓阵rsums Riemann和S ssave 把内存变量保存为⽂件scatter3 三维散点图sec 正割sech 双曲正割semilogx X轴对数刻度坐标图semilogy Y轴对数刻度坐标图series 串联连接set 设置图形对象属性setfield 设置构架数组的域setstr 将ASCII码转换为字符的旧版指令sign 根据符号取值函数signum 符号计算中的符号取值函数sim 运⾏SIMULINK模型simget 获取SIMULINK模型设置的仿真参数simple 寻找最短形式的符号解simplify 符号计算中进⾏简化操作simset 对SIMULINK模型的仿真参数进⾏设置simulink 启动SIMULINK模块库浏览器sin 正弦sinh 双曲正弦size 矩阵的⼤⼩slice ⽴体切⽚图solve 求代数⽅程的符号解spalloc 为⾮零元素配置内存sparse 创建稀疏矩阵spconvert 把外部数据转换为稀疏矩阵spdiags 稀疏对⾓阵spfun 求⾮零元素的函数值sph2cart 球坐标变为直⾓坐标sphere 产⽣球⾯spinmap ⾊图彩⾊的周期变化spline 样条插值spones ⽤1置换⾮零元素sprandsym 稀疏随机对称阵sprank 结构秩spring 紫黄调春⾊图sprintf 把格式数据写成串spy 画稀疏结构图sqrt 平⽅根sqrtm ⽅根矩阵squeeze 删去⼤⼩为1的"孤维" sscanf 按指定格式读串stairs 阶梯图std 标准差step 阶跃响应指令str2double 串转换为双精度值str2mat 创建多⾏串数组str2num 串转换为数strcat 接成长串strcmp 串⽐较strjust 串对齐strmatch 搜索指定串strncmp 串中前若⼲字符⽐较strrep 串替换strtok 寻找第⼀间隔符前的内容struct 创建构架数组struct2cell 把构架转换为元胞数组strvcat 创建多⾏串数组sub2ind 多下标转换为单下标subexpr 通过⼦表达式重写符号对象subplot 创建⼦图subs 符号计算中的符号变量置换subspace 两⼦空间夹⾓sum 元素和summer 绿黄调夏⾊图superiorto 设定优先级surf 三维着⾊表⾯图surface 创建⾯对象surfc 带等位线的表⾯图surfl 带光照的三维表⾯图surfnorm 空间表⾯的法线svd 奇异值分解svds 求指定的若⼲奇异值switch-case-otherwise 多分⽀结构sym2poly 符号多项式转变为双精度多项式系数向量symmmd 对称最⼩度排序symrcm 反向Cuthill-McKee排序syms 创建多个符号对象T ttan 正切tanh 双曲正切taylortool 进⾏Taylor逼近分析的交互界⾯text ⽂字注释tf 创建传递函数对象tic 启动计时器title 图名toc 关闭计时器trapz 梯形法数值积分treelayout 展开树、林treeplot 画树图tril 下三⾓阵trim 求系统平衡点trimesh 不规则格点⽹线图trisurf 不规则格点表⾯图triu 上三⾓阵try-catch 控制流中的Try-catch结构type 显⽰M ⽂件U uuicontextmenu 创建现场菜单uicontrol 创建⽤户控件uimenu 创建⽤户菜单unmkpp 逐段多项式数据的反明晰化unwrap ⾃然态相⾓upper 转换为⼤写字母V vvar ⽅差varargin 变长度输⼊宗量varargout 变长度输出宗量vectorize 使串表达式或内联函数适于数组运算ver 版本信息的获取view 三维图形的视⾓控制voronoi Voronoi多边形vpa 任意精度(符号类)数值W wwarning 显⽰警告信息what 列出当前⽬录上的⽂件whatsnew 显⽰Matlab中Readme⽂件的内容which 确定函数、⽂件的位置while 控制流中的While环结构white 全⽩⾊图矩阵whitebg 指定轴的背景⾊who 列出内存中的变量名whos 列出内存中变量的详细信息winter 蓝绿调冬⾊图workspace 启动内存浏览器X x , Y y , Z zxlabel X轴名xor 或⾮逻辑yesinput 智能输⼊指令ylabel Y轴名zeros 全零数组zlabel Z轴名zoom 图形的变焦放⼤和缩⼩ztrans 符号计算Z变换MATLAB命令⼤全。
matlab常用函数与常用指令大全matlab, 函数, 指令, 大全matlab常用函数与常用指令大全matlab常用函数- -1、特殊变量与常数ans 计算结果的变量名computer 确定运行的计算机eps 浮点相对精度Inf 无穷大I 虚数单位inputname 输入参数名NaN 非数nargin 输入参数个数nargout 输出参数的数目pi 圆周率nargoutchk 有效的输出参数数目realmax 最大正浮点数realmin 最小正浮点数varargin 实际输入的参量varargout 实际返回的参量操作符与特殊字符+ 加- 减* 矩阵乘法.* 数组乘(对应元素相乘)^ 矩阵幂 .^ 数组幂(各个元素求幂)\ 左除或反斜杠/ 右除或斜面杠./ 数组除(对应元素除)kron Kronecker张量积: 冒号() 圆括[] 方括 . 小数点.. 父目录 ... 继续, 逗号(分割多条命令); 分号(禁止结果显示)% 注释! 感叹号' 转置或引用= 赋值== 相等<> 不等于& 逻辑与| 逻辑或~ 逻辑非xor 逻辑异或2、基本数学函数abs 绝对值和复数模长acos,acodh 反余弦,反双曲余弦acot,acoth 反余切,反双曲余切acsc,acsch 反余割,反双曲余割angle 相角asec,asech 反正割,反双曲正割secant 正切asin,asinh 反正弦,反双曲正弦atan,atanh 反正切,双曲正切tangent 正切atan2 四象限反正切ceil 向着无穷大舍入complex 建立一个复数conj 复数配对cos,cosh 余弦,双曲余弦csc,csch 余切,双曲余切cot,coth 余切,双曲余切exp 指数fix 朝0方向取整floor 朝负无穷取整*** 最大公因数imag 复数值的虚部lcm 最小公倍数log 自然对数log2 以2为底的对数log10 常用对数mod 有符号的求余nchoosek 二项式系数和全部组合数real 复数的实部rem 相除后求余round 取整为最近的整数sec,sech 正割,双曲正割sign 符号数sin,sinh 正弦,双曲正弦sqrt 平方根tan,tanh 正切,双曲正切3、基本矩阵和矩阵操作blkding 从输入参量建立块对角矩阵eye 单位矩阵linespace 产生线性间隔的向量logspace 产生对数间隔的向量numel 元素个数ones 产生全为1的数组rand 均匀颁随机数和数组randn 正态分布随机数和数组zeros 建立一个全0矩阵colon) 等间隔向量cat 连接数组diag 对角矩阵和矩阵对角线fliplr 从左自右翻转矩阵flipud 从上到下翻转矩阵repmat 复制一个数组reshape 改造矩阵roy90 矩阵翻转90度tril 矩阵的下三角triu 矩阵的上三角dot 向量点集cross 向量叉集ismember 检测一个集合的元素intersect 向量的交集setxor 向量异或集setdiff 向是的差集union 向量的并集数值分析和傅立叶变换cumprod 累积cumsum 累加cumtrapz 累计梯形法计算数值微分factor 质因子inpolygon 删除多边形区域内的点max 最大值mean 数组的均值mediam 中值min 最小值perms 所有可能的转换polyarea 多边形区域primes 生成质数列表prod 数组元素的乘积rectint 矩形交集区域sort 按升序排列矩阵元素sortrows 按升序排列行std 标准偏差sum 求和trapz 梯形数值积分var 方差del2 离散拉普拉斯diff 差值和微分估计gradient 数值梯度cov 协方差矩阵corrcoef 相关系数conv2 二维卷积conv 卷积和多项式乘法filter IIR或FIR滤波器deconv 反卷积和多项式除法filter2 二维数字滤波器cplxpair 将复数值分类为共轭对fft 一维的快速傅立叶变换fft2 二维快速傅立叶变换fftshift 将FFT的DC分量移到频谱中心ifft 一维快速反傅立叶变换ifft2 二维傅立叶反变换ifftn 多维快速傅立叶变换ifftshift 反FFT偏移nextpow2 最靠近的2的幂次unwrap 校正相位角多项式与插值conv 卷积和多项式乘法roots 多项式的根poly 具有设定根的多项式polyder 多项式微分polyeig 多项式的特征根polyfit 多项式拟合polyint 解析多项式积分polyval 多项式求值polyvalm 矩阵变量多项式求值residue 部分分式展开interp1 一维插值interp2 二维插值interp3 三维插值interpft 使用FFT的一维插值interpn 多维插值meshgrid 为3维点生成x和y的网格ndgrid 生成多维函数和插值的数组pchip 分段3次Hermite插值多项式ppval 分段多项式的值spline 3次样条数据插值绘图函数bar 竖直条图barh 水平条图hist 直方图histc 直方图计数hold 保持当前图形loglog x,y对数坐标图pie 饼状图plot 绘二维图polar 极坐标图semilogy y轴对数坐标图semilogx x轴对数坐标subplot 绘制子图bar3 数值3D竖条图bar3h 水平3D条形图comet3 3D慧星图cylinder 圆柱体fill3 填充的3D多边形plot3 3维空间绘图quiver3 3D震动(速度)图slice 体积薄片图sphere 球stem3 绘制离散表面数据wate***ll 绘制瀑布trisurf 三角表面clabel 增加轮廓标签到等高线图中datetick 数据格式标记grid 加网格线gtext 用鼠标将文本放在2D图中legend 图注plotyy 左右边都绘Y轴title 标题xlabel X轴标签ylabel Y轴标签zlabel Z轴标签contour 等高线图contourc 等高线计算contourf 填充的等高线图hidden 网格线消影meshc 连接网格/等高线mesh 具有参考轴的3D网格peaks 具有两个变量的采样函数surf 3D阴影表面图su***ce 建立表面低层对象surfc 海浪和等高线的结合surfl 具有光照的3D阴影表面trimesh 三角网格图1 常用指令(General Purpose Commands) 1.1 通用信息查询(General information) demo 演示程序help 在线帮助指令helpbrowser 超文本文档帮助信息helpdesk 超文本文档帮助信息helpwin 打开在线帮助窗info MA TLAB 和MathWorks 公司的信息subscribe MA TLAB 用户注册ver MA TLAB 和TOOLBOX 的版本信息version MA TLAB 版本whatsnew 显示版本新特征1.2 工作空间管理(Managing the workspace)clear 从内存中清除变量和函数exit 关闭MA TLABload 从磁盘中调入数据变量pack 合并工作内存中的碎块quit 退出MA TLABsave 把内存变量存入磁盘who 列出工作内存中的变量名whos 列出工作内存中的变量细节workspace 工作内存浏览器1.3 管理指令和函数(Managing commands and functions) edit 矩阵编辑器edit 打开M 文件inmem 查看内存中的P 码文件mex 创建MEX 文件open 打开文件pcode 生成P 码文件type 显示文件内容what 列出当前目录上的M、MA T、MEX 文件which 确定指定函数和文件的位置1.4 搜索路径的管理(Managing the seach patli) addpath 添加搜索路径rmpath 从搜索路径中删除目录path 控制MA TLAB 的搜索路径pathtool 修改搜索路径1.5 指令窗控制(Controlling the command window) beep 产生beep 声echo 显示命令文件指令的切换开关diary 储存MA TLAB 指令窗操作内容format 设置数据输出格式more 命令窗口分页输出的控制开关1.6 操作系统指令(Operating system commands) cd 改变当前工作目录computer 计算机类型copyfile 文件拷贝delete 删除文件dir 列出的文件dos 执行dos 指令并返还结果getenv 给出环境值ispc MA TLAB 为PC(Windows)版本则为真isunix MA TLAB 为Unix 版本则为真mkdir 创建目录pwd 改变当前工作目录unix 执行unix 指令并返还结果vms 执行vms dcl 指令并返还结果web 打开web 浏览器! 执行外部应用程序2 运算符和特殊算符(Operators and special characters)2.1 算术运算符(Arithmetic operators)+ 加- 减* 矩阵乘.* 数组乘^ 矩阵乘方.^ 数组乘方\ 反斜杠或左除/ 斜杠或右除./或.\ 数组除张量积[注]本表第三栏括号中的字符供在线救助时help 指令引述用2.2 关系运算符(Relational operators)= = 等号~= 不等号< 小于> 大于<= 小于或等于>= 大于或等于2.3 逻辑操作(Logical operators) & 逻辑与| 逻辑或~ 逻辑非xor 异或any 有非零元则为真all 所有元素均非零则为真2.4 特殊算符(Special characters) :冒号( ) 圆括号[ ] 方括号{ } 花括号@ 创建函数句柄. 小数点. 构架域的关节点.. 父目录续行号, 逗号; 分号% 注释号! 调用操作系统命令= 赋值符号ˊ引号ˊ复数转置号.ˊ转置号[,] 水平串接[;] 垂直串接( ),{ },. 下标赋值( ),{ },. 下标标识subsindex 下标标识3 编程语言结构(Programming language constructs) 3.1 控制语句(Control flow)break 终止最内循环case 同switch 一起使用catch 同try 一起使用continue 将控制转交给外层的for 或while 循环else 同if 一起使用elseif 同if 一起使用end 结束for,while,if 语句for 按规定次数重复执行语句if 条件执行语句otherwise 可同switch 一起使用return 返回switch 多个条件分支try try-cathch 结构while 不确定次数重复执行语句3.2 计算运行(Evaluation and execution)assignin 跨空间赋值builtin 执行内建的函数eval 字符串宏指令evalc 执行MA TLAB 字符串evalin 跨空间计算串表达式的值feval 函数宏指令run 执行脚本文件3.3 脚本文件、函数及变量(Scripts,function,and variables) exist 检查变量或函数是否被定义function 函数文件头global 定义全局变量isglobal 若是全局变量则为真iskeyword 若是关键字则为真mfilename 正在执行的M 文件的名字persistent 定义永久变量script MA TLAB 命令文件3.4 宗量处理(Augument handling) inputname 实际调用变量名nargchk 输入变量个数检查nargin 函数输入宗量的个数nargout 函数输出宗量的个数nargoutchk 输出变量个数检查varagin 输入宗量varagout 输出宗量3.5 信息显示(Message display)disp 显示矩阵和文字内容display 显示矩阵和文字内容的重载函数error 显示错误信息fprintf 把格式化数据写到文件或屏幕lasterr 最后一个错误信息lastwarn 最后一个警告信息sprintf 按格式把数字转换为串warning 显示警告信息3.6 交互式输入(Interactive input)input 提示键盘输入keyboard 激活键盘做为命令文件pause 暂停uicontrol 创建用户界面控制uimenu 创建用户界面菜单4 基本矩阵函数和操作(Elementary matrices and matrix manipulation)4.1 基本矩阵(Elementary matrices)eye 单位阵linspace 线性等分向量logspace 对数等分向量meshgrid 用于三维曲面的分格线坐标ones 全1 矩阵rand 均匀分布随机阵randn 正态分布随机阵repmat 铺放模块数组zeros 全零矩阵: 矩阵的援引和重排4.2 矩阵基本信息(Basic array information)disp 显示矩阵和文字内容isempty 若是空矩阵则为真isequal 若对应元素相等则为1islogical 尤其是逻辑数则为真isnumeric 若是数值则为真length 确定向量的长度logical 将数值转化为逻辑值ndims 数组A 的维数size 确定矩阵的维数4.3 矩阵操作(Matrix manipulateion)blkdiag 块对角阵串接diag 创建对角阵,抽取对角向量end 数组的长度,即最大下标find 找出非零元素1 的下标fliplr 矩阵的左右翻转flipud 矩阵的上下翻转flipdim 交换对称位置上的元素ind2sub 据单下标换算出全下标reshape 矩阵变维rot90 矩阵逆时针90°旋转sub2idn 据全下标换算出单下标tril 抽取下三角阵triu 抽取上三角阵4.4 特殊变量和常数(Special variables and constants) ans 最新表达式的运算结果eps 浮点相对误差i,j 虚数单位inf 或Inf 无穷大isfinite 若是有限数则为真isinf 若是无穷大则为真isnan 若为非数则为真NaN 或nan 非数pi 3.1415926535897?.realmax 最大浮点数realmin 最小正浮点数why 一般问题的简明答案4.5 特殊矩阵(Specialized matrices) compan 伴随矩阵gallery 一些小测试矩阵hadamard Hadamard 矩阵hankel Hankel 矩阵hilb Hilbert 矩阵invhilb 逆Hilbert 矩阵magic 魔方阵pascal Pascal 矩阵rosser 典型对称特征值实验问题toeplitz T oeplitz 矩阵vander V andermonde 矩阵wilkinson Wilkinson’s 对称特征值实验矩阵5 基本数学函数(Elementary math functions)5.1 三角函数(T rigonometric) acos 反余弦acosh 反双曲余弦acot 反余切acoth 反双曲余切acsc 反余割acsch 反双曲余割asec 反正割asech 反双曲正割asin 反正弦asinh 反双曲正弦atan 反正切atanh 反双曲正切atan2 四象限反正切cos 余弦cosh 双曲余弦cot 余切coth 双曲余切csc 余割csch 双曲余割sec 正割sech 双曲正割sin 正弦sinh 双曲正弦tan 正切tanh 双曲正切5.2 指数函数(Exponential)exp 指数log 自然对数log10 常用对数log2 以2 为底的对数nestpow2 最近邻的2 的幂pow2 2 的幂sqrt 平方根5.3 复数函数(Complex)abs 绝对值angle 相角complex 将实部和虚部构成复数conj 复数共轭cplxpair 复数阵成共轭对形式排列imag 复数虚部isreal 若是实数矩阵则为真real 复数实部unwrap 相位角360°线调整5.4 圆整和求余函数(Rounding and remainder)ceil 朝正无穷大方向取整fix 朝零方向取整floor 朝负无穷大方向取整mod 模数求余rem 求余数round 四舍五入取整sign 符号函数6 特殊函数(Specialized math functions)cart2pol 直角坐标变为柱(或极)坐标cart2sph 直角坐标变为球坐标cross 向量叉积dot 向量内积isprime 若是质数则为真pol2cart 柱(或极)坐标变为直角坐标sph2cart 球坐标变为直角坐标7 矩阵函数和数值线性代数(Matrix functions-numerical linear algebra) 7.1 矩阵分析(Matrix analysis)det 行列式的值norm 矩阵或向量范数normest 估计2 范数null 零空间orth 值空间rank 秩rref 转换为行阶梯形trace 迹subspace 子空间的角度7.2 线性方程(Linear equations)chol Cholesky 分解cholinc 不完全Cholesky 分解cond 矩阵条件数condest 估计1-范数条件数inv 矩阵的逆lu LU 分解luinc 不完全LU 分解lscov 已知协方差的最小二乘积nnls 非负二乘解pinv 伪逆qr QR 分解rcond LINPACK 逆条件数\、/ 解线性方程7.3 特性值与奇异值(Eigenvalues and singular values) condeig 矩阵各特征值的条件数eig 矩阵特征值和特征向量eigs 多个特征值gsvd 归一化奇异值分解hess Hessenberg 矩阵poly 特征多项式polyeig 多项式特征值问题qz 广义特征值schur Schur 分解svd 奇异值分解svds 多个奇异值7.4 矩阵函数(Matrix functions)expm 矩阵指数expm1 矩阵指数的Pade 逼近expm2 用泰勒级数求矩阵指数expm3 通过特征值和特征向量求矩阵指数funm 计算一般矩阵函数logm 矩阵对数sqrtm 矩阵平方根7.5 因式分解(Factorization utility)cdf2rdf 复数对角型转换到实块对角型balance 改善特征值精度的平衡刻度rsf2csf 实块对角型转换到复数对角型8 数据分析和傅里叶变换(Date analysis and Fourier transforms)8.1 基本运算(Basic operations) cumprod 元素累计积cumsum 元素累计和cumtrapz 累计积分hist 统计频数直方图histc 直方图统计max 最大值mean 平均值median 中值min 最小值prod 元素积sort 由小到大排序sortrows 由小到大按行排序std 标准差sum 元素和trapz 梯形数值积分var 求方差8.2 有限差分(Finite differentces) del2 五点离散Laplaciandiff 差分和近似微分gradient 梯度8.3 相关(Correlation)corrcoef 相关系数cov 协方差矩阵subspace 子空间之间的角度8.4 滤波和卷积(Filtering and convoluteion) conv 卷积和多项式相乘conv2 二维卷积convn N 维卷积detrend 去除线性分量deconv 解卷和多项式相除filter 一维数字滤波器fliter2 二维数字滤波器8.5 傅里叶变换(Fourier transforms)fft 快速离散傅里叶变换fft2 二维离散傅里叶变换fftn N 维离散傅里叶变换fftshift 重排fft 和fft2 的输出ifft 离散傅里叶反变换ifft2 二维离散傅城叶反变换ifftn N 维离散傅里叶反变换ifftshift 反fftshift9 音频支持(Audio support)9.1 音频硬件驱动(Audio hardware drivers)sound 播放向量soundsc 自动标刻并播放waveplay 利用系统音频输出设配播放waverecor 利用系统音频输入设配录音9.2 音频文件输入输出(Audio file import and export) auread 读取音频文件(.au)auwrite 创建音频文件(.au)wavread 读取音频文件(.wav)wavwrite 创建音频文件(.wav)9.3 工具(Utilities)lin2mu 将线性信号转换为μ 一律编码的信号mu2lin 将μ 一律编码信号转换为线性信号10 插补多项式函数(Interpolation and polynomials) 10.1 数据插补(Data Interpolation)griddata 分格点数据griddata3 三维分格点数据griddatan 多维分格点数据interpft 利用FFT 方法一维插补interp1 一维插补interp1q 快速一维插补interp2 二维插补interp3 三维插补intern N 维插补pchip hermite 插补10.2 样条插补(Spline Interpolation)ppval 计算分段多项式spline 三次样条插补10.3 多项式(Polynomials)conv 多项式相乘deconv 多项式相除poly 由根创建多项式polyder 多项式微分polyfit 多项式拟合polyint 积分多项式分析polyval 求多项式的值polyvalm 求矩阵多项式的值residue 求部分分式表达roots 求多项式的根1#caidaoyiba11 数值泛函函数和ODE 解算器(Function functions and ODE solvers) 11.1 优化和寻根(Optimization and root finding)fminbnd 非线性函数在某区间中极小值fminsearch 单纯形法求多元函数极值点指令fzero 单变量函数的零点11.2 优化选项处理(Optimization Option handling)optimget 从OPTIONS 构架中取得优化参数optimset 创建或修改OPTIONS 构架11.3 数值积分(Numerical intergration)dblquad 二重(闭型)数值积分指令quad 低阶法数值积分quadl 高阶法数值积分11.4 绘图(Plotting)ezcontour 画等位线ezcontourf 画填色等位线ezmesh 绘制网格图ezmeshc 绘制含等高线的网格图ezplot 绘制曲线ezplot3 绘制3 维曲线ezpolar 采用极坐标绘图ezsurf 画曲面图ezsurfc 画带等位线的曲面图fplot 画函数曲线图11.5 内联函数对象(Inline function object) argnames 给出函数的输入宗量char 创建字符传输组或者将其他类型变量转化为字符串数组formula 函数公式inline 创建内联函数11.6 差微分函数解算器(Differential equation solvers) ode113 变阶法解方程ode15s 变阶法解刚性方程ode23 低阶法解微分方程ode23s 低阶法解刚性微分方程ode23t 解适度刚性微分方程odet23tb 低阶法解刚性微分方程ode45 高阶法解微分方程12 二维图形函数(Two dimensional graphs)12.1 基本平面图形(Elementary X-Y graphs) loglog 双对数刻度曲线plot 直角坐标下线性刻度曲线plotyy 双纵坐标图polar 极坐标曲线图semilogx X 轴半对数刻度曲线semilogy Y 轴半对数刻度曲线12.2 轴控制(Axis control)axes 创建轴axis 轴的刻度和表现box 坐标形式在封闭式和开启词式之间切换grid 画坐标网格线hold 图形的保持subplot 创建子图zoom 二维图形的变焦放大12.3 图形注释(Graph annotation)gtext 用鼠标在图上标注文字legend 图例说明plotedit 图形编辑工具text 在图上标注文字texlabel 将字符串转换为T ex 格式title 图形标题xlabel X 轴名标注ylabel Y 轴名标注12.4 硬拷贝(Hardcopy and printing)orient 设置走纸方向print 打印图形或把图存入文件printopt 打印机设置13 三维图形函数(Three dimensional graphs) 13.1 基本三维图形(Elementary 3-D plots) fill3 三维曲面多边形填色mesh 三维网线图plot3 三维直角坐标曲线图surf 三维表面图13.2 色彩控制(Color control)alpha 透明色控制brighten 控制色彩的明暗caxis (伪)颜色轴刻度colordef 用色风格colormap 设置色图graymon 设置缺省图形窗口为单色显示屏hidden 消隐shading 图形渲染模式whitebg 设置图形窗口为白底13.3 光照模式(Lighting)diffuse 漫反射表面系数light 灯光控制lighting 设置照明模式material 使用预定义反射模式specular 漫反射surfnorm 表面图的法线surfl 带光照的三维表面图13.4 色图(Color maps)autumn 红、黄浓淡色bone 蓝色调灰度图colorcube 三浓淡多彩交错色cool 青和品红浓淡色图copper 线性变化纯铜色调图flag 红-白-蓝黑交错色图gray 线性灰度hot 黑-红-黄-白交错色图hsv 饱和色彩图jet 变异HSV 色图lines 采用plot 绘线色pink 淡粉红色图prism 光谱色图spring 青、黄浓淡色summer 绿、黄浓淡色vga 16 色white 全白色winter 蓝、绿浓淡色13.5 轴的控制(Axis control)axes 创建轴axis 轴的刻度和表现box 坐标形式在封闭式和开启式之间切换daspect 轴的DataAspectRatio 属性grid 画坐标网格线hold 图形的保持pbaspect 画坐标框的PlotBoxAspectRatio 属性subplot 创建子图xlim X 轴范围ylim Y 轴范围zlim Z 轴范围zoom 二维图形的变焦放大13.6 视角控制(V iewpoint control)rotate3d 旋动三维图形view 设定3-D 图形观测点viewmtx 观测点转换矩阵13.7 图形注释(Graph annotation)colorbar 显示色条gtext 用鼠标在图上标注文字plotedit 图形编辑工具text 在图上标注文字title 图形标题xlabel X 轴名标注ylabel Y 轴名标注zlabel Z 轴名标注13.8 硬拷贝(Hardcopy and printing)orient 设置走纸方向print 打印图形或把图存入文件printopt 打印机设置verml 将图形保存为VRML2.0 文件14 特殊图形(Specialized graphs)14.1 特殊平面图形(Specialized 2-D graphs) area 面域图bar 直方图barh 水平直方图comet 彗星状轨迹图compass 从原点出发的复数向量图errorbar 误差棒棒图ezplot 画二维曲线ezpolar 画极坐标曲线feather 从X 轴出发的复数向量图fill 多边填色图fplot 函数曲线图hist 统计频数直方图pareto Pareto 图pie 饼形统计图plotmatrix 散点图阵列scatter 散点图stairs 阶梯形曲线图stem 火柴杆图14.2 等高线及二维半图形(Contour and 2-1/2D graphs) clabel 给等高线加标注contour 等高线图contourf 等高线图contour3 三维等高线ezcontour 画等位线ezcontourf 画填色等位线pcolor 用颜色反映数据的伪色图voronoi V oronoi 图14.3 特殊三维图形(Specialized 3-D graphs)bar3 三维直方图bar3h 三维水平直方图comet3 三维彗星动态轨迹线图ezgraph3 通用指令ezmesh 画网线图ezmeshc 画等位线的网线图ezplot3 画三维曲线ezsurf 画曲面图ezsurfc 画带等位线的曲面图meshc 带等高线的三维网线图meshz 带零基准面的三维网线图pie3 三维饼图ribbon 以三维形式绘制二维曲线scatter3 三维散点图stem3 三维离散杆图surfc 带等高线的三维表面图trimesh 三角剖分网线图trisurf 三角剖分曲面图waterfall 瀑布水线图14.4 内剖及向量视图(V olume and vector visualization) coneplot 锥体图contourslice 切片等位线图quiver 矢量场图quiver3 三维方向箭头图slice 切片图14.5 图像显示及文件处理(Image display and file I/O) brighten 控制色彩的明暗colorbar 色彩条状图colormap 设置色图contrast 提高图像对比度的灰色图gray 线性灰度image 显示图像imagesc 显示亮度图像imfinfo 获取图像文件的特征数据imread 从文件读取图像的数据阵(和伴随色图))imwrite 把强度图像或真彩图像写入文件14.6 影片和动画(Movies and animation)capture 当前图的屏捕捉frame2im 将影片动画转换为编址图像getframe 获得影片动画图像的帧im2frame 将编址图像转换为影片动画movie 播放影片动画moviein 影片动画内存初始化rotate 旋转指令14.7 颜色相关函数(Color related function)spinmap 颜色周期性变化操纵14.8 三维模型函数(Solid modeling)cylinder 圆柱面patch 创建块sphere 球面Surf2patch 将曲面数据转换为块数据15 句柄图形(Handle Graphics)15.1 图形窗的产生和控制(Figure window creation and control) clf 清除当前图close 关闭图形figure 打开或创建图形窗口gcf 获得当前图的柄openfig 打开图形refresh 刷新图形shg 显示图形窗15.2 轴的产生和控制(Axis creation and control) axes 在任意位置创建轴axis 轴的控制box 坐标形式在封闭式和开启式之间切换caxis 控制色轴的刻度cla 清除当前轴gca 获得当前轴的柄hold 图形的保持ishold 若图形处保持状态则为真subplot 创建子图15.3 句柄图形对象(Handle Graphics objects) axex 在任意位置创建轴figure 创建图形窗口image 创建图像light 创建光line 创建线patch 创建块rectangle 创建方surface 创建面text 创建图形中文本uicontextmenu 创建现场菜单对象uicontrol 用户使用界面控制uimenu 用户使用菜单控制15.4 句柄图形处理(Handle Graphics operations) copyobj 拷贝图形对象及其子对象delete 删除对象及文件drawnow 屏幕刷新findobj 用规定的特性找寻对象gcbf “正执行回调操作”的图形的柄gcbo “正执行回调操作”的控件图柄指令gco 获得当前对象的柄get 获得对象特性getappdat 获得应用程序定义数据isappdata 检验是否应用程序定义数据reset 重设对象特性rmappdata 删除应用程序定义数据set 建立对象特性setappdata 建立应用程序定义数据15.5 工具函数(Utilities)closereq 关闭图形窗请求函数ishandle 若是图柄代号侧为真newplot 下一个新图16 图形用户界面工具(Graphical user interface tools) align 对齐用户控件和轴cbedit 编辑回调函数ginput 从鼠标得到图形点坐标guide 设计GUImenu 创建菜单menuedit 菜单编辑propedit 属性编辑uicontrol 创建用户界面控制uimenu 创建用户界面菜单2#caidaoyiba17 字符串(Character string)17.1 通用字符串函数(General)blanks 空格符号cellstr 通过字符串数组构建字符串的元胞数组char 创建字符传输组或者将其他类型变量转化为字符串数组deblank 删除最后的空格double 把字符串变成ASCII 码值eval 执行串形式的MATLAB 表达式17.2 字符串查询(String tests)iscellstr 若是字符串组成的元胞数组则为真ischar 若是字符串则为真isletter 串中是字母则为真isspace 串中是空格则为真isstr 若是字符串则为真17.3 字符串操作(String operations)base2dec X-进制串转换为十进制整数bin2dec 二进制串转换为十进制整数dec2base 十进制整数转换为X 进制串dec2bin 十进制整数转换为二进制串dec2hex 十进制整数转换为16 进制串findstr 在一个串中寻找一个子串hex2dec 16-进制串转换为十进制整数hex2num 16-进制串转换为浮点数int2str 将整数转换为字符串lower 把字符串变成小写mat2str 将数组转换为字符串num2str 把数值转换为字符串strcat 把多个串连接成长串strcmp 比较字符串strcmpi 比较字符串(忽略大小写)strings MA TLAB 中的字符串strjust 字符串的对齐方式strmatch 逐行搜索串strnomp 比较字符串的前N 个字符strncmpi 比较字符串的前N 个字符(忽略大小写)strrep 用另一个串代替一个串中的子串strtok 删除串中的指定子串strvcat 创建字符串数组str2mat 将字符串转换为含有空格的数组str2num 将字符串转换为数值upper 把字符串变成大写18 文件输入/输出(File input/output)clc 清除指令窗口disp 显示矩阵和文字内容fprintf 把格式化数据写到文件或屏幕home 光标返回行首input 提示键盘输入load 从磁盘中调入数据变量pause 暂停sprintf 写格式数据到串sscanf 在格式控制下读串19 时间和日期(T ime and dates)clock 时钟cputme MA TLAB 战用CPU 时间date 日期etime 用CLOCK 计算的时间now 当前时钟和日期pause 暂停tic 秒表启动toc 秒表终止和显示20 数据类型(Data types and structures)20.1 数据类型(Data types)cell 创建元胞变量char 创建字符传输组或者将其他类型变量转化为字符串数组double 转化为16 位相对精度的浮点数值对象function handle 函数句柄inline 创建内联函数JavaArray 构建Java 数组JavaMethod 调用某个Java 方法JavaObject 调用Java 对象的构造函数single 转变为单精度数值sparse 创建稀疏矩阵struct 创建构架变量uint8(unit16、unit32) 转换为8(16、32)位无符号整型数int8(nit16、nit32) 转换为8(16、32)位符号整型数20.2 多维数组函数(Multi-dimensional array functions) cat 把若干数组串接成高维数组ndims 数组A 的维数ndgrid 为N-D 函数和插补创建数组ipermute 广义反转置permute 广义非共轭转置shiftdim 维数转换squeeze 使数组降维20.3 元胞数组函数(Cell array functions)cell 创建元胞变量celldisp 显示元胞数组内容cellfun 元胞数组函数cellplot 图示元胞数组的内容cell2struct 把元胞数组转换为构架数组deal 把输入分配给输出is cell 若是元胞则为真num2 cell 把数值数组转换为元胞数组struct2 cell 把构架数组转换为元胞数组20.4 构架函数(Structure functions)fieldnames 获取构架的域名getfield 获取域的内容isfield 若为给定构架的域名则为真isstruct 若是构架则为真rmfield 删除构架的域setfield 指定构架域的内容struct 创建构架变量20.5 函数句柄函数(Function handle functions)@ 创建函数句柄functions 列举函数句柄对应的函数func2str 将函数句柄数组转换为字符串str2func 将字符串转换为函数句柄20.6 面向对象编程(Object oriented programming functions) dlass 查明变量的类型isa 若是指定的数据类型则为真inferiorto 级别较低isjava 若是java 对象则为真isobject 若是对象则为真methods 显示类的方法名substruct 创建构架总量superiorto 级别较高21 示例(E xamples and demonstrations)demo 演示程序flow 无限大水体中水下射流速度数据intro 幻灯演示指令peaks 产生peaks 图形数据22 符号工具包(Symbolic Math T oolbox) 22.1 微积分(Calculus)diff 求导数limit 求极限int 计算积分jacobian Jacobian 矩阵symsum 符号序列的求和trylor T rylor 级数22.2 线性代数(Linear Algebra)det 行列式的值diag 创建对角阵,抽取对角向量eig 矩阵特征值和特征向量expm 矩阵指数inv 矩阵的逆jordan Jordan 分解null 零空间poly 特征多项式rank 秩rref 转换为行阶梯形svd 奇异值分解。
matlab风速概率拟合Matlab是一种强大的数学软件,它提供了丰富的工具和函数库,用于数据分析和建模。
在气象学中,风速是一个重要的变量,它对天气预测和风能利用等方面具有重要意义。
对风速进行概率拟合是一项常见的任务。
概率拟合是指通过统计方法将实际观测数据与某个理论分布进行比较,并找到最佳的参数估计值来描述观测数据的分布特征。
在Matlab中,可以使用统计工具箱中的函数来进行风速概率拟合。
下面将详细介绍如何使用Matlab进行风速概率拟合,并给出一些实际案例。
## 1. 数据准备首先需要收集所需的风速观测数据。
通常情况下,可以从气象站或其他可靠来源获取这些数据。
确保数据包含足够数量的样本点,并且覆盖了感兴趣的时间范围。
## 2. 数据导入将收集到的数据导入Matlab环境中。
可以使用`readtable`函数读取Excel文件或`load`函数加载.mat文件等方式导入数据。
## 3. 数据预处理在进行概率拟合之前,需要对数据进行预处理。
这包括去除异常值、缺失值处理和数据标准化等步骤。
### 3.1 异常值处理使用`isoutlier`函数可以检测并去除数据中的异常值。
该函数基于数据的均值和标准差进行判断,并返回一个逻辑向量,指示哪些数据点被认为是异常值。
```matlabdata = data(~isoutlier(data));```### 3.2 缺失值处理如果数据中存在缺失值,可以使用`fillmissing`函数对其进行填充。
该函数提供了多种填充方法,如线性插值、均值填充和中位数填充等。
```matlabdata = fillmissing(data, 'linear');```### 3.3 数据标准化为了方便后续的概率拟合,可以对数据进行标准化处理。
使用`zscore`函数可以将数据转换为均值为0,标准差为1的正态分布。
```matlabdata = zscore(data);```## 4. 概率分布选择在进行概率拟合之前,需要选择适合观测数据的概率分布模型。
脉动风的计算机模拟
王吉民;李琳
【期刊名称】《浙江科技学院学报》
【年(卷),期】2005(17)1
【摘要】采用线性滤波器法中的自回归模型,模拟节点随机脉动风速时程,运用Matlab编程有效地模拟具有时间相关性、空间相关性的脉动风速时程.通过对模拟所得的双坡屋面节点风速时程的统计分析,显示了该算法具有较好的模拟精度和计算速度,可满足工程应用的要求.
【总页数】4页(P34-37)
【作者】王吉民;李琳
【作者单位】浙江科技学院,土木工程学系,浙江,杭州,310023;浙江大学,建筑工程学院,浙江,杭州,310027
【正文语种】中文
【中图分类】TU312.1
【相关文献】
1.基于FFT技术对脉动风的计算机模拟及其Matlab的实现 [J], 袁波;曾明会;李霞昭
2.大跨度桥梁三维脉动风场的计算机模拟 [J], 王灿辉;陈湘亮;李佳
3.后处理Purex流程洗锝工艺的计算机模拟Ⅰ.计算机模拟及工艺参数分析 [J], 陈延鑫;何辉;张春龙;常利;李瑞雪;唐洪彬;于婷
4.基于农业现代化发展的计算机模拟仿真技术应用研究——评《计算机模拟技术及
其在农业工程中的应用》 [J], 景妮
5.大跨度桥梁空间脉动风场的计算机模拟 [J], 丁泉顺;陈艾荣;项海帆
因版权原因,仅展示原文概要,查看原文内容请购买。
1. 概述风场在气象学和工程领域具有重要的应用价值,了解风场的速度和方向对于气象预报、风能利用以及风险评估具有重要意义。
在风场中,风速通常可以由u和v两个分量来表示,它们分别对应于风的南北和西东方向分量。
计算风速的角度对于分析风场的整体情况具有重要意义。
2. Matlab中风场u和v的计算角度在Matlab中,可以使用以下方式计算风场u和v的角度:- 通过气象台或者气象站获取所需要的风场数据。
通常这些数据包括了风速和风向两个参数。
- 在Matlab中导入这些风场数据。
- 可以使用以下公式来计算风场u和v的角度:u = wind_speed .* cosd(wind_direction)v = wind_speed .* sind(wind_direction)在上述公式中,wind_speed表示风速,wind_direction表示风向,cosd表示对角度进行余弦运算,sind表示对角度进行正弦运算。
通过这两个公式,可以计算出风场的u和v分量。
3. 风场u和v角度计算实例下面通过一个实例来演示如何在Matlab中计算风场u和v的角度。
假设有如下风场数据:风速:10 m/s风向:45°现在我们来计算风场的u和v分量:u = 10 .* cosd(45) = 7.07 m/sv = 10 .* sind(45) = 7.07 m/s通过以上计算,可以得到风场的u和v分量分别为7.07 m/s和7.07 m/s,方向分别对应于45°方向。
4. 结论通过以上分析可以看出,在Matlab中计算风场的u和v角度是比较简单直观的,只需要通过公式将风速和风向进行数学运算即可得到。
这对于气象学、工程以及其他领域的风场分析都具有重要意义。
希望本文的介绍可以对大家有所帮助。
5. 实际应用场景风场u和v的计算角度不仅在理论研究中有着重要意义,在实际应用中也有着广泛的应用。
下面将介绍一些实际应用场景以及如何使用Matlab进行风场u和v的角度计算。
MATLAB操作命令大全1.基本操作- help:查看函数的帮助文档。
- save:将变量保存到文件中。
- load:从文件中加载变量。
- clear:清除当前工作空间中的变量。
- who:列出当前工作空间中的变量。
- whos:显示当前工作空间中变量的详细信息。
- quit:退出MATLAB。
2.变量操作-=:赋值操作,将值赋给变量。
- disp:显示变量的值。
- length:返回数组的长度。
- size:返回数组的大小。
- max:返回数组的最大值。
- min:返回数组的最小值。
- sum:返回数组元素的和。
3.数学操作-+:加法操作,将两个数值相加。
--:减法操作,将两个数值相减。
-*:乘法操作,将两个数值相乘。
-/:除法操作,将两个数值相除。
-^:指数操作,将一个数值提高到指定次幂。
- sqrt:返回一个数值的平方根。
- abs:返回一个数值的绝对值。
4.矩阵操作- eye:创建一个单位矩阵。
- zeros:创建一个全0矩阵。
- ones:创建一个全1矩阵。
- rand:创建一个0到1之间的随机矩阵。
- diag:返回对角线元素。
- inv:返回矩阵的逆矩阵。
- det:返回矩阵的行列式。
5.图形操作- plot:绘制二维线图。
- scatter:绘制散点图。
- bar:绘制柱状图。
- hist:绘制直方图。
- surf:绘制三维曲面图。
- contour:绘制等高线图。
- imagesc:绘制矩阵的颜色图。
6.控制流程操作- if:用于条件判断。
- for:用于循环操作。
- while:用于循环操作。
- switch:用于多条件判断。
- break:跳出循环。
- continue:跳过当前循环,并继续执行下一次循环。
7.文件操作- fopen:打开文件。
- fclose:关闭文件。
- fprintf:将数据写入文件。
- fscanf:从文件中读取数据。
- fseek:设置文件指针的位置。
(整理)matlab命令.将excel数据导⼊直接将下⾯三句话导⼊[filename, pathname]= uigetfile('*.xls'); %寻找源⽂件file=[pathname filename]; %赋名x=xlsread(file); %格式转换为矩阵之后就⽤x来代表导⼊的这个矩阵。
如excel ⾥输⼊了 1 2 34 5 6如下命令x(1,:)ans =1 2 3Matlab提供了从磁盘⽂件或剪贴簿转载数据⾄⼯作区(数据导⼊)和将⼯作区变量存⼊磁盘⽂件(数据导出)的多种途径。
最简单的办法是使⽤界⾯导⼊向导,打开⽂件菜单中的导⼊数据⽽后按提⽰操作。
Matlab ⽀持的主要数据⽂件类型和对应函数如下:导⼊⽂本⽂件⽂本⽂件需要具备统⼀的⾏列模式,使⽤分隔符作为数据项间隔,这些分隔符包括空格、逗号、tab、分号或其它。
数据⽂件可能附带标题⾏和⾏列头标签。
数值数据对于数值数据可以直接使⽤load函数装载,例如my_data.txt中数据如下:1 2 3 4 56 7 8 9 10命令A = load('my_data.txt')装载该⽂本⽂件数据。
如果数值数据使⽤其它分隔符,可以使⽤dlmread读⼊,假设my_data.txt中数据如下:7.2;8.5;6.2;6.65.4;9.2;8.1;7.2命令A = dlmread('my_data.txt', ';')读⼊该数据。
包含⾏列标签的数值数据例如:Grade1 Grade2 Grade378.8 55.9 45.999.5 66.8 78.089.5 77.0 56.7grades = textscan(fid, '%f %f %f', 3, 'headerlines', 1);fclose(fid);包含字符和数值的混合数据使⽤textread函数读⼊。
%
clear all;
N=500; %采样点数
wu=4*2*pi; %截断频率
dm=wu/N; %频率步长
dt=3.2*pi/(2*wu); %时间步长0.2
k=0.00464; %地面粗糙度系数地面粗糙度等级A B C D:K= 0.00129 0.00215 0.00464 0.01291
d=0.001;
f=d:d:10; %时间从0.001到10s,步进值为0.001
v10=28.2 %设计风速28.2m/s——50年一遇十分钟平均风速最大值
x=1200*f/v10;
s=4*k*v10*v10.*x.^2./f./(1+x.^2).^(4/3);
z1=10; %取第一点为10米高度
z2=52.8; %取第二点为52.08米高度
r=0.2; %考虑地表粗糙度影响的无量纲幂指数,按中国规范取0.22-c类v5=33.33 %计算n米高处的平均风速——52.8m处平均风速期望值
C=10; %指数衰减系数(取经验值)
v1=zeros(2*N,1); %产生一个全零矩阵
v2=zeros(2*N,1);
thta1=rand(N,1);
thta2=rand(N,1); %随机矩阵
node=1;
for K=1:node
for j=1:2*N
sum1=0;
sum2=0;
for l=1:N
m1=l*dm-0.5*dm;
m2=l*dm;
x1=1200*m1/(2*pi*v10);
s11=2*pi*4*k*v10*v10*x1*x1./m1./(1+x1*x1).^(4/3);
x2=1200*m2/(2*pi*v10);
s22=2*pi*4*k*v5*v5*x2*x2./m2./(1+x2*x2).^(4/3);
s12=sqrt(s11*s22).*exp(-2*m2*C*abs(z1-z2)./(2*pi*(v10+v5)));
s21=sqrt(s11*s22).*exp(-2*m1*C*abs(z1-z2)./(2*pi*(v10+v5)));
S=[s11 s12;s21 s22];
H=chol(S); %丘拉斯基分解-因式分解
a1=abs(H(1,1));
H1=H';
a21=abs(H1(2,1));
a22=abs(H1(2,2));
b1=cos((m1*dt*(j-1))+2*pi*thta1(l,1));
b2=cos((m2*dt*(j-1))+2*pi*thta2(l,1));
c1=a1*b1;
c21=a21*b1;
c22=a22*b2;
d1=(dm).^0.5*c1;
d2=(dm).^0.5*(c21+c22);
sum1=sum1+d1;
sum2=sum2+d2;
end
sum1=0.8*sum1;
sum2=0.8*sum2;
v1(j,K)=sum1;
v2(j,K)=sum2;
end
end
u1=v1+ v5
u2=v2+ v5
t= (0:2*N-1)*dt;
subplot(2,2,1);
plot(t,v1,'b-');
xlabel('t(s)');
ylabel('v(t)');
axis([-1 180 -30 30]);
hold on
plot(t,v2,'r-');
xlabel('t(s)');
ylabel('v(t)');
axis([-1 180 -30 30]);
Y=fft(v1); %对数值解作傅立叶变换
Y(1)=[]; %去掉零频量
m=length(Y)/2; %计算频率个数;
power=150*abs(Y(1:m)).^2/(length(Y).^2); %计算功率谱
freq=5*(1:m)/length(Y); %计算频率,因为时间步长为0.125,而不是1,故乘以8 subplot(2,2,2);
loglog(freq,power,'r-',f,s,'g-'); %对数显示,比较plot(t,v2,'r-');
axis([-50 15 -10 1000]); %画出坐标轴比例axis([xmin xmax ymin ymax])
set(gca,'xtick',[0.1 1 10]); %自动定义刻度
set(gca,'ytick',[0.1 1 10]);
xlabel('频率');
ylabel('功率');。