钢结构习题一
- 格式:doc
- 大小:1.11 MB
- 文档页数:42
钢结构习题(附答案)钢结构习题(附答案)钢结构的材料1. 在构件发⽣断裂破坏前,有明显先兆的情况是______的典型特征。
脆性破坏塑性破坏强度破坏失稳破坏2. 建筑钢材的伸长率与______标准拉伸试件标距间长度的伸长值有关。
到达屈服应⼒时到达极限应⼒时试件断裂瞬间试件断裂后3. 钢材的设计强度是根据______确定的。
⽐例极限弹性极限屈服点极限强度4. 结构⼯程中使⽤钢材的塑性指标,⽬前最主要⽤______表⽰。
流幅冲击韧性可焊性伸长率5. 在钢结构房屋中,选择结构⽤钢材时,下列因素中的______不是主要考虑的因素。
建造地点的⽓温荷载性质钢材造价建筑的防⽕等级6. 热轧型钢冷却后产⽣的残余应⼒______。
以拉应⼒为主以压应⼒为主包括拉、压应⼒拉、压应⼒都很⼩7. 型钢中的钢和⼯字钢相⽐,______。
两者所⽤的钢材不同前者的翼缘相对较宽前者的强度相对较⾼两者的翼缘都有较⼤的斜度8. 钢材内部除含有Fe、C外,还含有害元素______。
N,O,S,P N,O,Si Mn,O,P Mn,Ti9. 有⼆个材料分别为3号钢和16Mn钢的构件需焊接,采⽤⼿⼯电弧焊,焊条应选⽤______型。
E43E50 E55 T5010. 在低温⼯作的钢结构选择钢材除强度、塑性、冷弯性能指标外,还需______指标。
低温屈服强度低温抗拉强度低温冲击韧性疲劳强度11. 钢材脆性破坏同构件______⽆关。
应⼒集中低温影响残余应⼒弹性模量12.普通碳素钢标号C3表⽰______。
甲类平炉3号沸腾钢⼄类氧⽓顶吹3号沸腾钢特类平炉3号沸腾钢丙类平炉3号镇静钢13. 3号镇静钢设计强度可以提⾼5%,是因为镇静钢⽐沸腾钢______好。
脱氧炉种屈服强度浇注质量14. 钢材的理想σ-ε曲线(包括考虑焊接应⼒和不考虑焊接应⼒)是______。
A B C D15. 普通碳素钢强化阶段的变形是______。
完全弹性变形完全塑性变形弹性成分为主的弹塑性变形塑性成分为主的弹塑性变形16. 下列因素中,______与钢构件发⽣脆性破坏⽆直接关系。
钢结构练习题+答案一、单选题(共46题,每题1分,共46分)1.钢结构楼面主梁采用静荷载试验检验其性能时,其构件抗弯承载力的可靠性指标βR 应大于()A、2.46B、3.25C、2.21D、3.08正确答案:A2.摩擦型高强度螺栓连接的抗剪承载力随着摩擦面抗滑移系数的增大而 ( )。
A、不变B、减小C、两者之间无确定变化规律D、增大正确答案:D3.二级焊缝内部缺陷超声波探伤抽检比例为()。
A、25%B、30%C、10%D、20%正确答案:D4.下例直探头,在钢中指向性最好的是 ( )A、5P14ZB、3P14ZC、2.5P20ZD、4P20Z正确答案:D5.金属材料弯曲试验当产品宽度 25mm 时,产品的厚度 2mm,试样宽度为 ( )。
A、25±5mmB、30mmC、20±5mmD、35mm正确答案:C6.依据 GB/T 229-2020《金属材料夏比摆锤冲击试验方法》规定:试样 U 型缺口深度为可以为 2mm 或 ( ) mm。
A、3B、4C、5D、8正确答案:C7.高强度螺栓进行扭矩系数试验时,应同时记录环境温度,试验所用的机具.仪表和连接副均应放置在该环境内至少 ( ) 小时以上。
A、48B、2C、24D、4正确答案:B8.扩散衰减是指在声波的传播过程中,随着传播距离的增大,声速截面积也不断扩展增大,单位面积上的声能或声压 ( )。
A、随距离的增大而减弱B、随距离的减小而增强C、随距离的增大而增强D、随距离的减小而减弱正确答案:A9.厚度为 2mm ,宽度 b0 为 20mm 的钢板,该构件非比例带头试样平行长度为 ( )。
A、130mmB、100mmC、120mmD、110mm正确答案:C10.根据《钢结构工程施工质量验收标准》GB 50205-2020 规定,厚涂型防火涂层厚度检测时,最薄处厚度不应低于设计要求的 ( )。
A、85%B、95%C、90%D、100%正确答案:A11.高强度螺栓连接副扭矩系数试验测试的扭矩系数计算平均值应为( ),标准偏差小于或等于 0.010。
《钢结构》综合练习题一、单选题1.钢材的三项主要力学性能指标为(A )。
A. 抗拉强度、屈服点、伸长率B. 抗拉强度、屈服点、冷弯性能C. 抗拉强度、冷弯性能、伸长串D.冷弯性能、屈服点、伸长率2.钢材的伸长率与(D)标准拉伸试件标距间长度的伸长值有关。
A. 达到屈服应力时B.达到极限应力时C. 试件塑性变形后D.试件断裂后3.钢材的伸长率用来反映材料的(C )。
A. 承载能力B.弹性变形能力C. 塑性变形能力D.抗冲击荷载能力4.钢材的塑性指标,主要用(D )表示。
A.流幅B.冲击韧性C. 可焊性D.伸长率5.在构件发生断裂破坏前,具有明显先兆的情况是(B )的典型特征。
A. 脆性破坏B.塑性破坏C. 强度破坏D.失稳破坏6. 对钢材的分组是根据钢材的(D )确定的。
A.钢种B.钢号C. 横截面积的大小D.厚度与直径7.部分焊透的对接焊缝的计算应按(B )计算。
A. 对接焊缝B.角焊缝C. 断续焊缝D. 斜焊缝8.一个承受剪力作用的普通螺栓在抗剪连接中的承载力是(D )。
A. 栓杆的抗剪承载力B. 被连接构件(板)的承压承载力C. A、B中的较大值D.A、B中的较小值9.承压型高强度螺栓可用于(D )。
A. 直接承受动力荷载B ,承受反复荷载作用的结构的连接C. 冷弯薄壁钢结构的连接D .承受静力荷载或间接承受动力荷载结构的连接10.为提高轴心受压构件的整体稳定,在构件截面面积不变的情况下,构件截面的形式应使其面积分布(B)。
A .尽可能集中于截面的形心处 B. 尽可能远离形心C. 任意分布,无影响 D .尽可能集中于截面的剪切中心11.轴心受压构件柱脚底板的面积主要取决于( C )。
A. 底板的抗弯刚度 B .柱子的截面积C .基础材料的强度等级D .底板的厚度12.当无集中荷载作用时,焊接工字形截面粱翼缘与腹板的焊缝主要承受(C )。
A. 竖向剪力 B .竖向剪力及水平剪力联合作用C. 水平剪力 D .压力13.在焊接组合粱的设计中,腹板厚度应(C )。
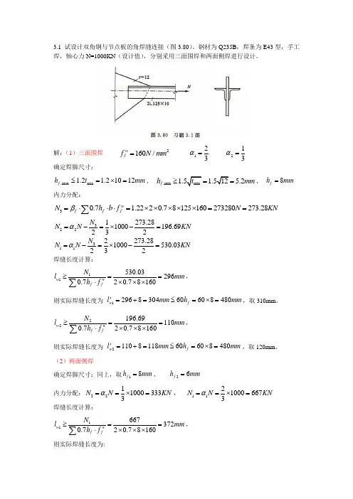
3.1 试设计双角钢与节点板的角焊缝连接(图3.80)。
钢材为Q235B ,焊条为E43型,手工焊,轴心力N=1000KN (设计值),分别采用三面围焊和两面侧焊进行设计。
解:(1)三面围焊 2160/w f f N mm = 123α= 213α= 确定焊脚尺寸:,max min 1.2 1.21012f h t mm ≤=⨯=, ,min min 1.5 1.512 5.2f h t mm ≥==, 8f h mm =内力分配:30.7 1.2220.78125160273280273.28w f f f N h b f N KN β=⋅⋅⋅=⨯⨯⨯⨯⨯==∑3221273.281000196.69232N N N KN α=-=⨯-= 3112273.281000530.03232N N N KN α=-=⨯-=焊缝长度计算:11530.032960.720.78160w wf f N l mm h f ≥==⋅⨯⨯⨯∑, 则实际焊缝长度为 1296830460608480w f l mm h mm '=+=≤=⨯=,取310mm 。
22196.691100.720.78160w wf fN l mm h f ≥==⋅⨯⨯⨯∑, 则实际焊缝长度为 2110811860608480wf l mm h mm '=+=≤=⨯=,取120mm 。
(2)两面侧焊确定焊脚尺寸:同上,取18f h mm =, 26f h m m = 内力分配:22110003333N N KN α==⨯=, 11210006673N N KN α==⨯= 焊缝长度计算:116673720.720.78160w wf fN l mm h f ≥==⋅⨯⨯⨯∑, 则实际焊缝长度为:mm h mm l f w 48086060388283721=⨯=<=⨯+=',390mm 。
223332480.720.76160w wf fN l mm h f ≥==⋅⨯⨯⨯∑, 则实际焊缝长度为:mm h mm l f w48086060260262481=⨯=<=⨯+=',取260mm 。
钢结构习题集和答案一、名词解释1承载力极限状态:结构或构件达到不适合连续承载的最大承载力或变形时的相应极限状态。
2、钢材的韧性:钢材抵抗冲击荷载的能力,用冲击韧性值指标来衡量。
简单的理解:容易被敲断,韧性差;不容易被敲断,韧性好3.时效硬化:P29钢材放置一段时间后,其力学性能会发生变化,强度会增加,塑性会降低4、梁的整体失稳:p1275.钢的冷脆性p34处于负温度范围。
随着温度的降低,钢的屈服强度和抗拉强度增加,但塑性变形能力降低,冲击韧性降低。
这种现象被称为钢的冷脆性。
6.正常工作极限状态P77、冷作硬化:p29钢材受荷超过弹性范围以后,若重复地卸载、加载,将使钢材弹性极限提高,塑性降低,这种现象称为冷作硬化8.应力集中:由于构件截面的突然变化,应力线弯曲且密集,因此位于空腔边缘或缺口尖端处,将局部出现应力高峰,其余部分则应力较低,这种现象称为应力集中9.塑性失效:p23失效前变形显著,吸收大量能量,持续时间长,塑性变形明显。
骨折时,骨折呈纤维状,颜色较深。
10、脆性破坏p23破坏前无明显变形,破坏突然发生,断裂时断口平齐,呈有光泽的晶粒状。
脆性破坏危险性大11、侧面角焊缝p6612、正面角焊缝p6613.轴压杆的临界载荷14、蓝脆:钢材在250oc度附近有强度提高,塑性、韧性降低现象,称之为蓝脆现象15.疲劳失效现象p3516、轴压构件的局部稳定:p20617、梁的局部稳定18.轴压杆的临界应力19。
钢的热脆性。
轴向应力构件21、q345b的具体含义①由q+数字+质量等级符号+脱氧方法符号组成。
它的钢号冠以“q”,代表钢材的屈服点,后面的数字表示屈服点数值,单位是mpa例如q235表示屈服点(σs)为235mpa的碳素结构钢。
Q345B② 如有必要,可在钢号后标记表示质量等级和脱氧方法的符号。
质量等级符号分别为a、B、C、D和e。
脱氧方法符号:F代表沸腾钢;B代表半镇静钢:Z代表镇静钢;TZ代表特殊镇静钢。
钢结构练习题库含参考答案一、单选题(共46题,每题1分,共46分)1.梁.柱构件的防火涂层厚度检测,在构件长度内每隔 3m 取一个截面,且每个构件不应少于 ( ) 个截面。
A、5B、3C、4D、2正确答案:D2.超声波探伤中广泛应用的是 ( )。
A、爬波B、方波C、电磁波D、脉冲波正确答案:D3.高强度螺栓拧入螺栓球内的螺纹长度不应小于( ),d 为螺栓直径。
A、1.1 dB、1.0 dC、1.5 dD、1.2 d正确答案:B4.高强度大六角头螺栓连接副施拧可采用 ( )。
A :转矩法 b :扭矩法c :扭角法d :转角法A、a ,cB、a ,dC、b ,cD、b ,d正确答案:D5.钢结构楼面主梁采用静荷载法进行抗弯性能检验,如需了解其挠度曲线时,其挠度测点布置不应少于()个。
A、3B、9C、7D、5正确答案:D6.铸件常常不能进行超声波探伤,这是因为:( )A、晶粒组织极细B、晶粒组织粗大C、流线均匀D、声束均匀正确答案:B7.对厚型防火涂料涂层厚度,可以采用 ( ) 检测。
A、漆膜测厚仪B、涂层厚度测定仪C、超声波测厚仪D、测针和钢尺正确答案:D8.终拧检查采用颜色标记,并应用 ( ) 重小锤敲击螺母,对高强度螺栓进行逐个检查。
A、0.8kgB、0.3kgC、0.1kgD、0.5kg正确答案:B9.探头中压电晶片的基频取决于 ( )。
A、发射电路阻尼电阻的大小B、激励电脉冲的宽度C、晶片材料和厚度D、晶片的机电耦合系数正确答案:C10.依据《建筑结构检测技术标准》GB/T 50344 规定,采用适用性检验时,检验荷载应包括未作用在结构上的自重荷载,并宜考虑 ( ) 超载系数。
A、1.1~1.2B、1.2~1.3C、1.2~1.4D、1.1~1.3正确答案:A11.钢结构焊缝外观质量检查数量,应符合下列()。
A、承受静荷载的二级焊缝每批同类抽查 15%B、被抽查构件中,每一类型焊缝应按条数抽查 10%,且不应少于 1 条C、承受静荷载的一级焊缝和承受动荷载的焊缝每批同类抽查 15%,且不应少于 3 件D、每条应抽查 1 处,总抽查数不应少于 5 处正确答案:C12.波源和弹性介质是 ( ) 的条件。
钢结构练习题库+答案一、单选题(共52题,每题1分,共52分)1.通常材料屈服强度由拉伸试验P-AL曲线上的()决定。
A、载荷首次下降的最低点B、上屈服点C、下屈服点D、屈服阶段的平均值正确答案:C2.对于小型钢结构构件进行现场荷载试验时,可根据自平衡原理, 设计专门的()。
A、挠度测试装置B、反力装置C、测力装置D、加载装置正确答案:B3.检测高强度螺栓连接副力学性能时,垫圈()应朝向螺母支撑面。
试验时,垫圈不得转动,否则试验无效。
A、无导角的一侧B、任意一侧C、平整的一侧D、有导角的一侧正确答案:D4.在钢结构设计中,认为钢材屈服点是构件可以达到的()。
A、稳定临界应力B、疲劳应力C、设计应力D、最大应力正确答案:D5.进行普通螺栓实物最小拉力载荷试验时,承受拉力载荷的旋合的螺纹长度应为()倍以上螺距。
A、8B、6C、4D、2正确答案:B6.根据国家现行标准规定:用冷剪法取样坯时,所留的加工余量与试样的()有关。
A、长度B、宽度C、厚度和宽度D、厚度正确答案:D7.焊缝探伤时,焊缝中与表面成一定角度的缺陷,其表面状态对回波高度的影响是()。
A、粗糙表面回波幅度高B、光滑表面回波幅度高C、无影响D、粗糙、光滑表面回波幅度相同正确答案:A8.依据GB/T228.1-2010《金属材料拉伸试验第1部分:室温试验方法》附录B厚度为2mm厚,宽度b0为10mm的钢板,取比例系数k=5.65,试样仲裁试验平行长度至少为多少。
()A、25mmB、35mmC、45mmD、55mm正确答案:C9.梁、柱构件的防火涂层厚度检测,在构件长度内每隔3m取一个截面,且每个构件不应少于()个截面。
A、5B、2C、3D、4正确答案:B10.在高强度螺栓连接工程施工前,钢结构制作和安装单位应分别对高强度螺栓的()进行检验和复验。
A、扭矩系数B、连接摩擦面抗滑移系数C、抗压强度D、紧固轴力正确答案:B11.A型超声波探伤仪扫描显示,盲区是指:()A、近场区B、声束扩散以外区域C、始脉冲宽度和仪器阻塞恢复时间D、超声波传播时间正确答案:C12.超声波通过两种材料的界面时,如果第一种材料的声阻抗较大, 但其声速与第二材料相同,则在第二种材料中的折射角()。
钢结构设计原理习题集及答案第一章绪论练习题一、简答题1.简述钢结构的特点和应用范围。
答:特点:(1)承载能力大;(2)稳妥可靠;(3)便于工业化生产,施工周期短;(4)密闭性好;耐热但不耐火;(5)耐腐蚀性差;(6)容易产生噪音应用范围:(1)承受荷载很大或跨度大,高度大的结构;(2)承受动力荷载作用或经常移动的结构;(3)经常拆装的拼装式结构;(4)对密闭性要求高的结构;(5)高温车间或需承受一定高温的结构;(6)轻型结构2.试举例说明钢结构的主要发展趋势。
答:(1)高性能钢材的研制;(2)设计方法和计算理论的改进;(3)结构形式的革新第二章钢结构的材料练习题一、单项选择题1、在构件发生断裂破坏前,有明显先兆的情况是__ B___的典型特征。
(A) 脆性破坏(B)塑性破坏(C) 强度破坏(D) 失稳破坏2、钢材的设计强度是根据_ C__确定的。
(A) 比例极限(B)弹性极限(C) 屈服点(D) 极限强度3、结构工程中使用钢材的塑性指标,目前最主要用_ D__表示。
(A) 流幅(B)冲击韧性(C) 可焊性(D) 伸长率4、钢材经历了应变硬化(应变强化)之后?__ A___。
(A) 强度提高(B)塑性提高(C) 冷弯性能提高(D) 可焊性提高5、下列因素中_ A__与钢构件发生脆性破坏无直接关系。
(A) 钢材屈服点的大小(B) 钢材含碳量(C) 负温环境(D) 应力集中6、当温度从常温下降为低温时,钢材的塑性和冲击韧性_ B__。
(A) 升高(B) 下降(C) 不变(D) 升高不多7、钢材的力学性能指标,最基本、最主要的是_ C _时的力学性能指标。
(A) 承受剪切(B) 承受弯曲(C) 单向拉伸(D) 两向和三向受力二、名词解释1.应力集中和残余应力答:(1)应力集中:实际结构中不可避免的存在孔洞、槽口、截面突然改变以及钢材内部缺陷等,此时截面中的应力分布不再保持均匀,不仅在孔口边缘处会产生沿力作用方向的应力高峰,而且会在孔口附近产生垂直于力的作用方向的横向应力,甚至会产生三向拉应力;(2)残余应力:在浇注、轧制和焊接加工过程中,因不同部位钢材的冷却速度不同,或因不均匀加热和冷却而产生。
钢结构设计原理习题及参考答案1单项选择题1.焊接组合梁截面高度h是根据多方面因素确定的,下面哪一项不属于主要影响因素?()A、最大高度B、最小高度C、等强高度D、经济高度答案:C2.焊接的优点不包括()。
A、直接连接方便简单B、节省材料C、结构刚度大,提高焊接质量D、最大化体现钢材料性能答案:D3.轴心压杆计算时满足()的要求。
A、强度,刚度B、强度,刚度,整体稳定C、强度,整体稳定,局部稳定D、强度,整体稳定,局部稳定,刚度答案:D4.对关于钢结构的特点叙述错误的是()。
A、建筑钢材的塑形和韧性好B、钢材的耐腐蚀性很差C、钢材具有良好的耐热性和防火性D、钢结构更适合于高层建筑和大跨结构答案:C5.轴心受压构件整体稳定的计算公式的物理意义是()。
A、截面平均应力不超过钢材强度设计值B、截面最大应力不超过钢材强度设计值C、截面平均应力不超过构件欧拉临界应力设计值D、构件轴力设计值不超过构件稳定极限承载力设计值答案:D6.对有孔眼等削弱的轴心拉杆承载力,《钢结构设计规范》采用的准则为净截面()。
A、最大应力达到钢材屈服点B、平均应力达到钢材屈服点C、最大应力达到钢材抗拉强度D、平均应力达到钢材抗拉强度答案:B7.下面哪一项不属于钢材的机械性能指标?()A、屈服点B、抗拉强度C、伸长率D、线胀系数答案:D18.Q235与Q345两种不同强度的钢材进行手工焊接时,焊条应采用()。
A.E55型B.E50型C.E43型D.E60型答案:C9.梁受固定集中荷载作用,当局部承压强度不能满足要求时,采用()是比较合理的措施。
A、加厚翼缘B、在集中荷载作用处设置支承加劲肋C、增加横向加劲肋的数量D、加厚腹板答案:B10.最大弯矩和其他条件均相同的简支梁,当()时整体稳定最差。
A、均匀弯矩作用B、满跨均布荷载作用C、跨中集中荷载作用D、满跨均布荷载与跨中集中荷载共同作用答案:A11.不考虑腹板屈曲后强度,为保证主梁腹板的局部稳定,()。
钢结构习题库(含答案)一、单选题(共46题,每题1分,共46分)1.超声波探伤仪“抑制”控制按键的功能是 ( )。
A、可以提高仪器的动态范围B、只抑制杂波而对缺陷波无影响C、限制检波后的信号输出幅度,同时抑制杂波和缺陷波D、可以改善仪器的垂直线性正确答案:C2.高强度螺栓芯部硬度试验在距螺杆末端等于螺纹直径 d 的截面上进行,对该截面距离中心的四分之一的螺纹直径处,任测四点,取 ( )平均值。
A、四点B、前三点C、后三点D、中间两点正确答案:C3.在直径一定的情况下,探头晶片频率提高时,声束扩散将 ( )A、增大B、通过每个波长变化C、不变D、减小正确答案:D4.关于钢结构的特点叙述错误的是 ( )。
A、钢材的耐腐蚀性很差B、钢材具有良好的耐热性和防火性C、建筑钢材的塑性和韧性好D、钢结构更适合于建造高层和大跨结构正确答案:B5.依据 GB/T 11345-2013 标准规定:检测过程中至少每 ( ) 小时或检测 ( ) 时,应对时基线和灵敏度进行校验。
A、2 ,结束B、2 ,开始C、4 ,结束D、4 ,开始正确答案:C6.在低温环境下的钢结构选择钢材除强度.塑性.冷弯性能指标外,还需考虑 ( ) 指标。
A、低温抗拉强度B、低温屈服强度C、疲劳强度D、低温冲击韧性正确答案:D7.用超声波在远场区探测,长横孔直径一定,距离增加一倍,其回波下降 ( )。
A、3dBB、9dBC、12dBD、6dB正确答案:B8.厚度为 2mm ,宽度 b0 为 10mm 的钢板,取比例系数 k=5.65 的带头试样,试样常规试验平行长度至少为 ( )。
A、15mmB、20mmC、25mmD、30mm正确答案:D9.超声波在介质中的传播速度主要取决于( )。
A、探头直径B、频率C、脉冲宽度D、超声波通过的材质和波型正确答案:D10.超声波波形上的某一点到相邻的同位点之间的距离叫做 ( )。
A、波长B、远场区C、声场D、近场区正确答案:A11.建筑钢结构连接用高强度螺栓连接面抗滑移系数试验时,通常情况下主要采用 ( ) 摩擦面的 ( ) 栓拼接的拉力试件。
钢结构习题库含答案一、单选题(共46题,每题1分,共46分)1.热轧型钢可采用直口全熔透焊接拼接,其拼接长度不应小于()截面高度且不应小于()。
()A、1 倍,600mmB、1 倍,500mmC、2 倍,600mmD、2 倍,500mm正确答案:C2.在结构静载荷试验中,达到使用性能或承载力检验的最大荷载后,应持荷至少 ( ) 小时。
A、1.5B、1C、2D、0.5正确答案:B3.根据GB/T 228.1-2021《金属材料拉伸试验第 1 部分:室温试验方法》要求:除非另有规定,金属材料室温拉伸试验温度应为( )。
A、18~28℃B、20~30℃C、15~25℃D、10~35℃正确答案:D4.请为下列检测过程选择合适的仪表组合:量测挠度 ( ),建筑物倾斜观测 ( ),建筑物沉降观测 ( ) ,检测裂纹长度 ( )。
A、水准仪,经纬仪,水准仪,直尺B、百分表,经纬仪,水准仪,无损探伤C、位移计,水准仪,经纬仪,钢卷尺D、百分表,水准仪,经纬仪,游标卡尺正确答案:B5.采用高强度螺栓连接时,为防止紧固扭距或预拉力不够,应定期校正电动或手动扳手的扭距值,使其偏差在 ( ) 以内。
A、3%B、2%C、4%D、5%正确答案:D6.检测机构应当建立档案管理制度,根据工程档案管理的有关规定建立档案台账,原始记录和报告的保存期限不少于 ( ) 年。
A、3B、5C、6D、1正确答案:C7.焊缝质量包括内部缺陷.外观缺陷.( )。
A、焊缝高度B、表面缺陷C、焊缝尺寸D、焊缝宽度正确答案:C8.夏比摆锤冲击试验中,试验不在室温进行时,试样从高温或低温装置中移出至打断的时间不大于 ( )。
A、6sB、8sC、5sD、7s正确答案:C9.CSK- Ⅰ试块不能用于 ( )A、测定斜探头入射点B、测定 K 值C、测定斜探头分辩率D、制作斜探头 DAC 曲线正确答案:D10.在钢结构设计中,认为钢材屈服点是构件可以达到的 ( )。
钢结构习题及答案一、单选题(共46题,每题1分,共46分)1.超声检测中,选用晶片尺寸大的探头的优点是 ( )。
A、减少材质衰减损失B、曲面探伤时减少耦合损失C、辐射声能大且能量集中D、有利于提高曲面探伤效率正确答案:C2.普通螺栓孔成孔的方法是 ( )。
A、钻孔成型B、气割扩孔C、气割成型D、气焊成型正确答案:A3.钢结构防腐涂料.涂装遍数.涂层厚度均应符合设计要求。
当设计对涂层厚度无要求时,涂层干漆膜总厚度:室外应为( ) μm 。
A、120B、100C、125D、150正确答案:D4.使用电阻应变仪测量应变时,在完成接线 (组桥) 后通常都要对应变仪进行“灵敏系数设置”和 ( )。
A、初读数B、调零C、校准D、通道切换正确答案:B5.两端固支的钢框架梁采用静荷载试验检验其抗弯性能时,其应变测点宜按以下()布置。
A、跨中翼缘不少于 2 个B、支座翼缘不少于 2 个C、跨中腹板不少于 2 个D、跨中及支座翼缘均不少于 2 个6.直接目视检测时,眼睛与被检工件表面的距离不得大于(),视线与被检工件表面所成夹角不得小于( ),并宜从多个角度对工件进行观察。
()A、800mm,30°B、600mm,45°C、800mm,30°D、600mm,30°正确答案:D7.一般常用规格的大六角头高强度螺栓的初拧扭距应为( )N ·m。
A、300-400B、200-400C、300-500D、200-300正确答案:D8.钢材剩余厚度应为未锈蚀的厚度减去锈蚀的代表值,钢材未锈蚀的厚度为 ( )。
A、设计值B、理论尺寸C、可在该构件未锈蚀区量测D、名义尺寸正确答案:C9.高强度大六角头螺栓连接副施拧可采用 ( )。
A :转矩法 b :扭矩法c :扭角法d :转角法A、a ,cB、a ,dC、b ,cD、b ,d正确答案:D10.钢结构防火涂料可按使用厚度分类, 涂层厚度大于 7mm 且小于或等于 45mm 属于哪类涂料 ( )。
钢结构复习题及答案一、选择题1. 钢结构的主要材料是什么?A. 钢筋混凝土B. 钢材C. 木材D. 玻璃答案:B2. 钢结构的优点之一是?A. 重量轻B. 抗腐蚀性差C. 耐火性差D. 易变形答案:A3. 以下哪种连接方式不属于钢结构的常用连接方式?A. 焊接B. 螺栓连接C. 铆接D. 粘接答案:D4. 钢结构设计中,通常采用哪种方法来确定构件的承载能力?A. 弹性设计法B. 塑性设计法C. 极限状态设计法D. 以上都是答案:D5. 钢结构的疲劳破坏通常发生在构件的哪个部位?A. 连接处B. 焊缝C. 构件的中间部分D. 构件的端部答案:A二、填空题1. 钢结构的_________是影响其稳定性的重要因素。
答案:几何尺寸2. 钢结构的_________设计是确保结构安全的重要环节。
答案:抗震3. 钢结构的_________性能是衡量其材料质量的重要指标。
答案:抗拉4. 钢结构的_________是影响其耐久性的关键因素。
答案:防腐5. 在钢结构施工中,_________是保证焊接质量的关键步骤。
答案:焊接工艺三、简答题1. 简述钢结构的施工特点。
答案:钢结构的施工特点包括施工速度快、施工精度高、材料可回收利用等。
2. 钢结构在高层建筑中应用的优势是什么?答案:钢结构在高层建筑中的优势包括重量轻、强度高、施工周期短、抗震性能好等。
3. 钢结构的维护和保养需要注意哪些方面?答案:钢结构的维护和保养需要注意定期检查、防腐蚀处理、防火措施等。
四、计算题1. 给定一个钢结构梁,其截面尺寸为200mm×300mm,材料为Q235,求其抗弯承载力。
答案:根据Q235材料的屈服强度和截面模量,计算得出抗弯承载力。
2. 设计一个钢结构柱,要求其能承受轴向压力为1000kN,材料为Q345,求其最小截面面积。
答案:根据Q345材料的屈服强度和轴向压力,计算得出最小截面面积。
五、论述题1. 论述钢结构在现代建筑工程中的应用及其发展趋势。
钢结构练习题(附参考答案)一、单选题(共46题,每题1分,共46分)1.描述( ) 中相对于平衡位置的位移随时间变化的规律,这样的方程称为波动方程。
A、耦合剂B、探头C、介质D、仪器正确答案:C2.直接目视检测时,眼睛与被检工件表面的距离不得大于(),视线与被检工件表面所成夹角不得小于( ),并宜从多个角度对工件进行观察。
()A、800mm,30°B、600mm,45°C、800mm,30°D、600mm,30°正确答案:D3.超声波倾斜入射到平界面时,将产生反射纵波,由于 ( ),又产生反射横波。
A、声束变窄B、声压减小C、波型转换D、声程增大正确答案:C4.金属材料弯曲试验,已知钢材牌号为 Q235,钢材厚度为 a=30mm,横向试样的弯芯直径 d 为()A、aB、2aC、2.5aD、1.5a正确答案:D5.静载试验梁板测点布置要求不合理的选项 ()A、测量悬臂构件的最大挠度时,选取自由端布置测点可满足试验要求。
B、测量单向板最大挠度时,除跨中布置沉降测点外,还应在支座处布置沉降点。
C、对于双向板,测点最大挠度时的沿任意方向的测点数目不应少于104.个。
D、挠度测量应考虑支座的影响正确答案:A6.检测机构应当按有关标准的规定留置已检测完毕试样,当相关标准未对试样留置时间做明确规定的,留置时间不少于 ( ) 小时。
A、72B、24C、12D、36正确答案:A7.网売是按一定规律布置的杆件通过节点连接而形成的 ( ) 状空间杆。
A、立体B、平板C、空间D、曲面正确答案:D8.关于高强度螺栓穿入螺栓和修孔 (扩孔) 的说法中,错误的是( )。
A、扩孔数量应经设计计算校核B、可采用气割扩孔C、可采用铰刀或锉刀修整螺栓孔D、高强度螺栓安装应能自由穿入螺栓孔,不得强行穿入正确答案:B9.用 AVG 方法进行定量评定时,不考虑材质衰减的缺陷定量结果比考虑材质衰减的缺陷定量结果 ( )。
钢结构习题一钢结构习题一习 题一一、选择题1. 结构承载力设计表达式γσσψσ012()Gd Q d iQid i n f ++=∑≤中,ψi 是荷载组合系数,它的取值( )A.ψi >1 B.01<<ψi C.ψi =1 D.ψi <02.按近似概率极限状态设计法设计的各种结构是( )A.绝对可靠的B.绝对不可靠C.存在一定风险的 D.具有相同可靠性指标的3. 钢材的强度设计值f 取为( )A.f yB. f uC.f u R /γD.f y R/γ4.防止钢材发生分层撕裂的性能指标为( )A.屈服点B.伸长率C.Z 向收缩率D.冷弯180︒5.引起钢材疲劳破坏的荷载为( )A.静力荷载B.产生拉应力的循环荷载C.冲击荷载 D.产生全压应力的循环荷载6.不需要验算对接斜焊缝强度的条件是斜焊缝的轴线与轴力N 之间的夹角θ满足( )A.θ≥60︒B.θ<︒70C.tg θ≤15.D.tg θ>15.7.承压型高强度螺栓连接比摩擦型高强度螺栓连接( )A.承载力低,变形大B.承载力高,变形大C.承载力低,变形小 D.承载力高,变形小8.产生纵向焊接残余应力的主要原因之一是( )A.冷却速度太B.施焊时焊件上出现冷塑和热塑区C.焊缝刚度大D.焊件各纤维能够自由变形9.在计算工字形截面两端铰支轴心受压构件腹板的临界应力时,其支承条件为( )A.四边简支B.三边简支,一边自由C.两边简支,两边自由D.悬臂10.理想弹性轴心受压构件的临界力与截面惯性矩I和计算长度l的关系为( )A.与I成正比,与l0成正比B.与I成反比,与l成反比C.与I成反比,与l2成正比D.与I成正比,与l02成反比11.题11图所示的轴心受压构件I Ix y/≥4,其临界力N cr为( )A.π222EI ax/()B.π22EI ax/C.π224EI ay/()D.π22EI ay/12.设计焊接工字形截面梁时,腹板布置横向加劲肋的主要目的是提高梁的( )A.抗弯刚度B.抗弯强度C.整体稳定性D.局部稳定性13.按规范GBJ17-88中的公式σγ=M W f x x nx ≤计算直接承受动力荷载的工字形截面梁抗弯强度时,γx 取值为( )A.γx =10.B.γx =105.C.γx =115.D.γx =12. 14.对于题14图所示格构式压弯构件,弯矩作用平面内稳定性的计算公式是( ) A.N A M W N N f x mx xx x EXϕβγ+-(./)108≤ B.N A M W N N f x mx xx x x EX ϕβγϕ+-(/)1≤C.N A M W N N f x mx xx x EX ϕβϕ+-(/)1≤D.N x A mx M x W x N N EX f ϕβ+-(./)1125≤ 15.题15图所示压弯构件,截面无削弱,构件的弯矩图分别为图(a)、 图(b)。
图(a)的截面最大正应力σa 与图(b)的截面最大正应力σb 相比( )A.σσa b >B.σσa b <C.σσa b=D.大小无法确定16.下列屋架中,只能与柱做成铰接的钢屋架形式为( )A.梯形屋架B.平行弦屋架C.人字形屋架D.三角形屋架17.简支钢屋架上弦有节间荷载作用时,上弦杆为( )A.拉弯构件B.轴心受压构件C.压弯构件D.受弯构件18.普通热轧型钢檩条不必计算( )A.强度B.整体稳定性C.刚度D.局部稳定性19.为了保持钢屋架间距不变,在抽柱处需设置( )A.托架B.上弦水平支撑C.檩条D.下弦水平支撑20.钢桁架中间区域斜腹杆合理的截面形式为( )A.两等边角钢组合T形截面B.两等边角钢组合十字形截面C.两不等边角钢长边相连组合T形截面D.两不等边角钢短边相连组合T形截面二、填空题21.结构的可靠度是指在规定的时间内,规定的下,完成预定功能的概率。
22.型钢代号L100×80×8中,80表示。
23.Q235AF钢中的A表示。
24.钢材的抗拉和抗弯强度标准值为。
25.非焊接部位的疲劳计算公式中的∆σ= 。
26.选用焊条及焊丝型号的原则是使焊缝金属与主体金属 。
27.普通螺栓受拉力作用时,螺栓的设计强度取值较低,这是考虑到 对螺栓的不利影响。
28.对轴心受力构件,正常使用极限状态是控制构件的 。
29.影响梁局部稳定性的最主要因素是板件的 。
30.压弯构件弯矩作用平面外的失稳属于 屈曲。
三、计算题31.试计算题31图所示角焊缝连接的焊脚尺寸(h f =?)已知:连接承受静力荷载设计值P kN N kN ==300240,,钢材为Q235BF,焊条为E43型,f N mm f w =1602/。
32.试验算题32图所示摩擦型高强度螺栓连接的强度是否满足设计要求。
已知:被连接构件钢材为Q235BF ,8.8级M20的高强度螺栓,高强度螺栓的设计预拉力P=110kN,接触面喷砂后涂无机富锌漆,抗滑移系数μ为0.35。
33.题33图所示为一轴心受压实腹构件,轴力设计值N=2000kN,钢材为Q345B,f=315N/mm2,f y=345N/mm2,截面无削弱,I x=1.1345×108mm4,I y=3.126×107mm4,A=8000mm2,试验算该构件的整体稳定性和局部稳定性是否满足要求。
λ35 40 45 50 55 60ϕ0.889 0.8630.8350.8040.7710.73434.焊接工字形截面平台梁如题34图所示,计算跨度3m,两端简支,跨中所受集中荷载设计值为N=250kN,钢材为Q235BF,f=215N/mm2,f y=235N/mm2,采用-90×6支承加劲肋,忽略梁自重,试验算梁的局部稳定性和支座处支承加劲肋的稳定性。
ϕ 5 10 15 20 25 30 35λ0.998 0.9920.9830.970.9530.9360.91835.题35图所示构件由2L200×125×12热轧角钢长肢相连组成,垫板厚度12mm,承受荷载设计值N=400kN,P=50kN,钢材为Q235BF,f=215N/mm2,试验算构件的强度是否满足要求。
γx1105=.,γx2120=.,2L200×125×12的几何参数:A=75.8cm2,I x=3142cm4。
四、分析题36.焊接箱形截面主梁跨度9m,集中和均布荷载设计值(包括自重)如题36图所示,钢材为Q345B ,f=315N/mm 2 ,f v =185N/mm 2,试验算梁的强度承载力是否满足设计要求。
取局部压应力σγc x x x I mm S mm ==⨯=⨯=077310154101058463,.,.,.。
五、综合题37.简述构件初弯曲、荷载初偏心、残余应力对轴心受压构件整体稳定承载力的影响,并说明实腹式轴心受压构件的设计计算项目。
习 题二一、简答题1.结构或构件的承载能力极限状态包括哪些计算内容?正常使用极限状态又包括哪些内容?2.为什么采用钢材的屈服点f y 作为设计强度标准值?无明显屈服点的钢材,其设计强度值如何确定?3.为了保证实腹式轴压杆件组成板件的局部稳定,有哪几种处理方法?4.何谓焊接板梁的最大高度hmax 和最小高度hmin?梁的经济高度he的范围?腹板太厚或太薄会出现什么问题?二、选择题1.下列各项,( )不属于结构的承载能力极限状态范畴。
A.静力强度计算B.动力强度计算C.稳定性计算D.梁的挠度计算2.在下列各化学元素中,( )的存在可提高钢材的强度和抗锈蚀能力,但却会严重地降低钢材的塑性、韧性和可焊性,特别是在温度较低时促使钢材变脆(冷脆)。
A.硅B.铝C.硫D.磷3.根据钢材的一次拉伸试验,可得到如下四个力学性能指标,其中( )是钢结构的强度储备。
A.屈服点fy B.抗拉强度fuC.伸长率δ D.弹性模量E4.普通轴心受压构件的承载力经常决定于( )。
A.扭转屈曲B.强度C.弯曲屈曲D.弯扭屈曲5.摩擦型高强度螺栓的抗剪连接以( )作为承载能力极限状态。
A.螺杆被拉断B.螺杆被剪断C.孔壁被压坏D.连接板件间的摩擦力刚被克服6.根据施焊时焊工所持焊条与焊件之间的相互位置的不同,焊缝可分为平焊、立焊、横焊和仰焊四种方位,其中( )施焊的质量最易保证。
A.平焊B.立焊C.横焊 D.仰焊7.为了保证焊接板梁腹板的局部稳定性,应根据腹板的高厚比wt h 的不同情况配置加颈肋。
当y f 23580<w 0t h ≤170y f 235时,应( )。
A.不需配置加劲肋B.配置横向加劲肋C.配置横向和纵向加颈肋D.配置横向、纵向和短加颈肋8.双轴对称焊接工字形单向压弯构件,若弯矩作用在强轴平面内而使构件绕弱轴弯曲,则此构件可能出现的整体失稳形式是( )。
A.平面内的弯曲屈曲B.扭转屈曲C.平面内的弯曲屈曲或平面外的弯扭屈曲D.平面外的弯扭屈曲9.屋架设计中,积灰荷载应与( )同时考虑。
A.屋面活荷载B.雪荷载C.屋面活荷载与雪荷载两者中的较大者D.屋面活荷载与雪荷载10.梯形屋架端斜杆最合理的截面形式是( )。
A.两不等边角钢长边相连的T形截面B.两不等边角钢短边相连的T形截面C.两等边角钢相连的T形截面D.两等边角钢相连的十字形截面三、填空题1.用结构钢材制成的拉伸试件进行拉伸试验时,得到的平均应力-应变关系曲线(σ-ε关系曲线)可分为_______、_______、________、_______和颈缩阶段。
2.计算直角角焊缝承载能力时是以_______方向的最小截面为危险截面,此危险截面称为角焊缝的计算截面或有效截面。
侧面角焊缝的强度要比正面角焊缝的强度_______。
3.侧面角焊缝的计算长度与其焊脚高度之比越大,侧面角焊缝的应力沿其长度的分布____。
4.轴心受拉构件的承载能力极限状态是_______。
5.实腹式拉弯构件的截面出现_______是构件承载能力的极限状态。
但对格构式拉弯构件或冷弯薄壁型钢截面拉弯杆,常把_______视为构件的极限状态。
这些都属于强度的破坏形式,对于轴心拉力很小而弯矩很大的拉弯杆也可能存在和梁类似的弯扭失稳的破坏形式。
四、计算题1.如图所示,钢牛腿与钢柱采用对接焊缝进行连接。
已知钢牛腿的截面尺寸为:翼缘板宽b=250mm,厚度为t=14mm;腹板高度h=300mm,厚度为tw=12mm。
作用于牛腿上的偏心荷载设计值为250KN(静力荷载),偏心距为e=170mm。
钢材为Q235,采用手工焊,焊条为E43型,采用引弧板,焊缝质量等级为二级,试对此连接进行验算。
(15分)(已知f wv=125N/mm2,f wt =f wc=215N/mm2)注意:为降低计算量,这里已给出构件截面的部分几何特性参数:对接焊缝截面形心轴距翼缘外边缘距离为y0=86.6mm,y1=y=86.6mm,y2=227.4mm,Ix =7074cm4,Aw=36cm2。