二次根式化简习题汇编
- 格式:doc
- 大小:276.50 KB
- 文档页数:5
八年级二次根式化简题100题1. 二次根式化简题在八年级数学学习中,二次根式化简是一个重要的知识点。
通过化简二次根式,我们可以简化计算过程,更好地理解和应用根式的性质。
本文将为大家提供100道八年级二次根式化简题,帮助大家巩固和提高相关知识。
1. $\sqrt{16} = 4$2. $\sqrt{25} = 5$3. $\sqrt{36} = 6$4. $\sqrt{49} = 7$5. $\sqrt{64} = 8$6. $\sqrt{81} = 9$7. $\sqrt{100} = 10$8. $\sqrt{121} = 11$9. $\sqrt{144} = 12$10. $\sqrt{169} = 13$11. $\sqrt{196} = 14$12. $\sqrt{225} = 15$13. $\sqrt{256} = 16$15. $\sqrt{324} = 18$16. $\sqrt{361} = 19$17. $\sqrt{400} = 20$18. $\sqrt{441} = 21$19. $\sqrt{484} = 22$20. $\sqrt{529} = 23$21. $\sqrt{576} = 24$22. $\sqrt{625} = 25$23. $\sqrt{676} = 26$24. $\sqrt{729} = 27$25. $\sqrt{784} = 28$26. $\sqrt{841} = 29$27. $\sqrt{900} = 30$28. $\sqrt{961} = 31$29. $\sqrt{1024} = 32$30. $\sqrt{1089} = 33$31. $\sqrt{1156} = 34$32. $\sqrt{1225} = 35$34. $\sqrt{1369} = 37$35. $\sqrt{1444} = 38$36. $\sqrt{1521} = 39$37. $\sqrt{1600} = 40$38. $\sqrt{1681} = 41$39. $\sqrt{1764} = 42$40. $\sqrt{1849} = 43$41. $\sqrt{1936} = 44$42. $\sqrt{2025} = 45$43. $\sqrt{2116} = 46$44. $\sqrt{2209} = 47$45. $\sqrt{2304} = 48$46. $\sqrt{2401} = 49$47. $\sqrt{2500} = 50$48. $\sqrt{2601} = 51$49. $\sqrt{2704} = 52$50. $\sqrt{2809} = 53$51. $\sqrt{2916} = 54$53. $\sqrt{3136} = 56$54. $\sqrt{3249} = 57$55. $\sqrt{3364} = 58$56. $\sqrt{3481} = 59$57. $\sqrt{3600} = 60$58. $\sqrt{3721} = 61$59. $\sqrt{3844} = 62$60. $\sqrt{3969} = 63$61. $\sqrt{4096} = 64$62. $\sqrt{4225} = 65$63. $\sqrt{4356} = 66$64. $\sqrt{4489} = 67$65. $\sqrt{4624} = 68$66. $\sqrt{4761} = 69$67. $\sqrt{4900} = 70$68. $\sqrt{5041} = 71$69. $\sqrt{5184} = 72$70. $\sqrt{5329} = 73$72. $\sqrt{5625} = 75$73. $\sqrt{5776} = 76$74. $\sqrt{5929} = 77$75. $\sqrt{6084} = 78$76. $\sqrt{6241} = 79$77. $\sqrt{6400} = 80$78. $\sqrt{6561} = 81$79. $\sqrt{6724} = 82$80. $\sqrt{6889} = 83$81. $\sqrt{7056} = 84$82. $\sqrt{7225} = 85$83. $\sqrt{7396} = 86$84. $\sqrt{7569} = 87$85. $\sqrt{7744} = 88$86. $\sqrt{7921} = 89$87. $\sqrt{8100} = 90$88. $\sqrt{8281} = 91$89. $\sqrt{8464} = 92$91. $\sqrt{8836} = 94$92. $\sqrt{9025} = 95$93. $\sqrt{9216} = 96$94. $\sqrt{9409} = 97$95. $\sqrt{9604} = 98$96. $\sqrt{9801} = 99$97. $\sqrt{10000} = 100$98. $\sqrt{10201} = 101$99. $\sqrt{10404} = 102$100. $\sqrt{10609} = 103$通过以上100道二次根式化简题的练习,相信大家对二次根式的化简有了更深入的理解。
二次根式化简练习一、 化简下列二次根式=12 =8 =1820=60= =72=80=90=108 125= =128=135二、 比较下列二次根式的大小182_____123 2421____2731 12554 ___16932 403_____602三、 化简=38x212x =x 232532⨯⨯= 292ab =ac b 16332 =2312acb = =-22513=+22158211-=二选择题 1.若-1<x <0,则()221+-x x 等于 +12.下列等式成立的是 A.2)2(2-=- B.4x =x 2122++b b =-1D.36x x =3.若1)3()2(22=-+-a a ,则a 的取值范围是≤a ≤3 ≥3或a ≤2 ≤2 ≥34.化简a +2)1(a -等于 或-1 或15.计算22)21()12(a a -+-的值是或4a -26.当3323+-=+x x x x 时,x 的取值范围是≤0 ≤-3 ≥-3 ≤x ≤07当a >0时,化简3ax -的结果是ax ax - ax - ax8.实数a ,b 在数轴上对应点的位置如图所示,则化简2222ab ab a -+-的结果为9.计算22)53()52(-+-等于5 5 510.下列二次根式中,是同类二次根式的是A.b c a bc a 3与B.23b a 与abC.a 2与34aD.b a 与23b a三.填空题1.代数式xx x -+++213有意义的条件是 ; x x 263-+-有意义的条件是2.函数xx x y -++-=2132的自变量x 的取值范围是 3化简12=____. .2)23(-= .4.|)1(1|,22a a +--<化简时当得 . 5.若三角形的三边a ?b ?c 满足a2-4a +4+3-b =0,则笫三边c 的取值范围是_____________.6.若m <0,则|m |+______332=+m m .已知:42<<x ,化简()|5|12-+-x x =_________.三解答题 1.计算221--22+0)101(+1)21(- 2)52(80182445-+-++ 3.小明和小芳解答题目:"先化简下式,再求值:a +221aa +-,其中a =9"时,得出了不同的答案.小明的解答是:原式=a +2)1(a -=a +(1-a )=1;小芳的解答是:原式=a +2)1(a -=a +(a -1)=2a -1=2×9-1=17.(1)_________的解答是错误的.(2)错误的解答错在未能正确运用二次根式的性质:________.4.若│1995-a │=a ,求a-19952的值.(提示:先由a-2000≥0,判断1995-a•的值是正数还是负数,去掉绝对值5已知,化简求值6、已知,先化简,再求值。
二次根式化简习题大全 Document number【AA80KGB-AA98YT-AAT8CB-2A6UT-A18GG】二次根式化简练习一、 化简下列二次根式 =12 =8 =18 20=60= =72 =80 =90=108 125= =128 =135二、 比较下列二次根式的大小182_____123 2421 ____2731 12554 ___16932 403_____602三、 化简=38x 212x =x 232532⨯⨯=292ab = a c b 16332 = 2312a c b ==-22513 =+22158211-= 二选择题1.若-1<x <0,则()221+-x x 等于 +12.下列等式成立的是 A.2)2(2-=- B.4x =x 2 122++b b =-1 D.36x x = 3.若1)3()2(22=-+-a a ,则a 的取值范围是≤a ≤3 ≥3或a ≤2 ≤2 ≥34.化简a +2)1(a -等于 或-1 或1 5.计算22)21()12(a a -+-的值是 或4a -26.当3323+-=+x x x x 时,x 的取值范围是≤0 ≤-3 ≥-3 ≤x ≤07当a >0时,化简3ax -的结果是ax ax - ax - ax8.实数a ,b 在数轴上对应点的位置如图所示,则化简2222a b ab a -+-的结果为9.计算22)53()52(-+-等于5 5 510.下列二次根式中,是同类二次根式的是 A.b c a bc a 3与 B.23b a 与ab C.a 2与34a D.b a 与23b a 三.填空题1.代数式xx x -+++213有意义的条件是 ; x x 263-+-有意义的条件是2.函数xx x y -++-=2132的自变量x 的取值范围是 3化简12=____. .2)23(-= . 4.|)1(1|,22a a +--<化简时当得 . 5.若三角形的三边a ?b ?c 满足a 2-4a +4+3-b =0,则笫三边c 的取值范围是_____________.6.若m <0,则|m |+______332=+m m .已知:42<<x ,化简()|5|12-+-x x =_________.三解答题1.计算 221--22+0)101(+1)21(- 2)52(80182445-+-++ 3.小明和小芳解答题目:"先化简下式,再求值:a +221a a +-,其中a =9"时,得出了不同的答案.小明的解答是:原式=a +2)1(a -=a +(1-a )=1; 小芳的解答是:原式=a +2)1(a -=a +(a -1)=2a -1=2×9-1=17.(1)_________的解答是错误的.(2)错误的解答错在未能正确运用二次根式的性质:________.4.若│1995-a │+2000a -=a ,求a-19952的值.(提示:先由a-2000≥0,判断1995-a•的值是正数还是负数,去掉绝对值5已知,化简求值 6、已知,先化简,再求值。
完美WORD 格式二次根式的化简1. 若-1<x<0,则 斥-Qa+h 等于2. 下列等式成立的是3. 若叮冷-n 「,则a 的取值范围是4.化简a+ 等于5.计算(匸―的值是6.当 ■ • '•时,x 的取值范围是7.当 2m+7<0 时,'7、 二 — 1化简为8. 当a>0时,化简的结果是10.计算 &2-® 十-送亍 等于、填空题A.2X+1B.1C.-1-2XD.1-2XA. |B. • =/C.b-嘤$ 衣必 7 =-1D.—A.2 < a w 3B.a > 3 或 a w 2C.a w 2D.a > 3A.2a-1B.1C.1 或-1D.2a-1 或 1A.2-4 a 或 4a-2B.0C.2-4aD.4a-2A.x w 0B.x < -3C.x 》-3D.-3 w x < 0A.-5 mB. mC.- m-2D.5 mA.xB.-xC.xD.-x9.实数a,b 在数轴上对应点的位置如图所示,则化简 一门'厂\…的结果为A.-bB.2a-bC.b-2aD.bA.5-2B.1C.2 -5D.2 -111.下列二次根式中 ,是同类二次根式的是A.B J 出'冉三与屮页 c 迈匚与寸D2. J"® 二3. 当 X-謝.俺 |l-V (l + ^):得 4.若三角形的三边a?b?c 满足a 2-4a+4+ •=0,则笫三边c 的取值范围是5. 判断题⑴若•=玄则a - -定是 正数.()⑵若• =-a,则a 一定是负数.()(3)= n -3.14.()⑷•••(-5)2=52」:—— 一―1()乍、Qw ,■ -(V5 - \■ \''7 - <5.(5) ( )⑹当 a>1 时,|a-1|+ ' =2a-2.()(7)若 x=1,则 2x- ‘ " 一1 °' =2x-(x-2)=x+2=1+2=3.((10)'' ' =x+1.()⑴)=0.()(12)当 m>3 时,’ ''"-m=-3.( )6. 如果等式-=-x 成立,则x 的取值范围是7. 当 x _____ 时,W-h x' =x-1.8. 若 (兀 + 2〕=x+2,则 x __________ 9. 若 m<0,则 |m|+ '---------<A <2时,干--6A +1)10.当211. 若 x 与它的绝对值之和为零,则 二12. 当 a时,1、" -3a|=-4a.(8)若JOT)=冈工0,则x y 异号.((9)m<1 时,13.化简14. 若a<0,则化简' 的结果为15. ______________________________________ 化简-弭©7"的结果是16. ___________ 当 a 时,2M 2.f~217. _______________________________________ 若a<-3时,则[2-JU十心I等于18.计算19.已知: 2<x<4,化简寸+丨玄-、= ______________________21.比较大小:•-7 + 2宓22. 化简:* 1亠[=.[5+1的整数部分a,小数部分为b,则a=23. 设24. 先化简再求值:当a=9时,求a+一;一丄"从的值,甲乙两人的解答如下甲的解答为:原式=a+ '•■'=a+(1-a)=1;乙的解答为:原式=a+WU「" =a+(a-1)=2a-1=17.两种解答中,_______ 的解答是错误的,错误的原因是未能正确地运用二次根次的性质:_______________25.把根号外的因式移动到根号内:27. 当-1<x<0 时,化简A+V1+2A' + A = ________________ .28. 小明和小芳解答题目:”先化简下式,再求值:a+ I ',其中a=9"时,得出了不同的答案.小明的解答是:原式:=a+ ■' =a+(1- a)=1;小芳的解答是:原式=a+ =a+(a-1)=2a-1=2 x 9-1=17.(1) _______ 的解答是错误的.(2) 错误的解答错在未能正确运用二次根式的性质:___________三、解答题(共26题,题分合计205分)1.已知a为实数,化简1.a = -J一b2.已知^ ', 爲+ 2,求盘十占十-的值.茁'+ 2血+护3.化简求值::'、-'汀.其中a*:;+1,b= :•-'-1.4.玄亠定一占时,求代数式:…「一/ ■■■■ ■ 3的值.5. 计算:」一I + •+:6.<45 + + <78-^/80 4- J(&_為丄计算:-7.8.)【x _ 4先化简再求值-■- ■ ■,其中x=2+1_化简求值:(角煌川暮T,其中a=-Q)询9. 计算:宀10. 先化简后求值:x2- 2x - 3 宀9- -------- * ~;----7斗2 ; -r 一I •亠-其中x=11. 计算:12. 若」14.先化简后求值_V + J " — 1 -X一 J — 115.计算假设有一对亲兄弟,哥哥 26岁,弟弟25岁,现在哥哥乘以 0.6倍光速飞行的宇宙飞船作星际航行 .如果宇宙飞船作了五年的星际航行后回来(这五年指地球上的五年),即当弟弟13.已知,苗十应 ⑶ X+ •'(x<「)(4)--(0<x<y)16.化简⑴乂历-春2厲-計⑵尺叩(x<0)17.化简:(1):-肚(-2<x<4)18.化简:(1);」 几"-t 订-- ' (-1<a<2)(1<a<8)19.化简:(1) ;(0<x<1)(a<2b)-4X + 1 4-2|X -2|(-20.化简:(1)'-<x<2) + 4x + I + <4x 2 -12x + 9(^丄 -2 < x w 】)21.已知 3 - *+(a+b+6)2=0,求 a 2 2 的值.22.当,■-时,化简下式并求值:-x^jx 2 + a 223 Si .r - 5 - 2^, j - 5 + 2 H 求;- 2xy +23.24.若一—…■-,+ _「一 '■ 一八,求代数式一—'+「-超•一 :s -点的值. 25.根据大科学家爱因斯坦的相对论原理,当地球上的时间经过1秒钟时,在作星际飞行的宇宙飞船内经过了秒.(c 为光速,r 为飞船速度)30岁时,哥哥在宇宙飞船内度过了多少先化简后求值•,把年,年龄是多大?J 片-1 + J1 - JT + —26.若x、y为实数且y< 匚,化简|2y-1|二次根式的化简答案一、选择题(共11题,合计44分)1.16817 答案: C2.16818 答案: B3.16819 答案: A4.16820 答案: D5.16821 答案: A6.16822 答案: D7.16823 答案: A8.16824 答案: B9.16825 答案: D10.16826 答案::B11.8763 答案: C二、填空题(共28题,合计112 分)1.6297 答案:2占2.8765 答案:2-Va3.8772 答案:-a-24.8773 答案:1<c<55.16804 答案:(1)X ⑵X⑶V ⑷X6.16805 答案:x W 07.16806 答案:x > 18.16807 答案:x=-29.16808 答案:-m10.16809 答案::-3X2+7X-211.1681答案:-X12.16811 答案:aw 013.16812 答案:10= fl3114.16813 答案:1—a --------a(5) V (6)V (7)X (8) V (9) X (10) X ⑴)X(12) V15.16814 答案:(5 - -5 16.16815 答案:av 017.16816 答案:-3-a18.6298 答案:V2-119.6317 答案: 420.6318 答案:-x21.6330 答案:<22.6331 答案:v,(6 +123.6400 答案:R K亦-1a - 2rb =-----224.8774 答案:甲;打汀 _ ”严25.6328 答案:J3a(b+ <026.6332 答案:—2 —27.8769 答案: 128.16835 答案:⑴小明(2),=|a|=--a (a v0)三、解答题(共26题,合计205分)1.8781 答案:(1-a厂2.6352 答案: 43.6355 答案:4.6359 答案:1 + V2-V35.6360 答案: 46.6369 答案:4>/217.6371 答案:132 +V28.6372 答案:29.6374 答案:60 + >^2完美WORD 格式10.6376 答案:少-12rz 11.6377 答案:V2 ~T12.6386 答案: 613.6399 答案: 原式盘丄-书-近-羽-A /2 = -2^/2 < 0「.原式■ ° +丄--aa=2V3-2J2也可这样运算:原式= |2^|-|-2V2|= 2^3 -厶伍5 + 2^521.16834 答案:12、、14.6401 答案: 15.16827 答案: 4(1)4-x (2)2 a-5⑶16.16828 答案: (1)1⑵-517.16829 答案: (1)2-2x(2)2x-118.16830 答案:(1)3 (2)7-a⑴:+ -V3⑵-19.16831 答案:1 -X20.16832 答案:(1)3 (2)4(4)y 2-x 2完美WORD格式22.6381答案:原式23.8782 答案:' ' 124.6333 答案:1525.6373 答案:解:根据题意得,,所以地球上的1秒钟,宇宙飞船内度过了Ji-(—)2 nTTTBT7脑"2丫U 秒,计算得5秒,所以地球上5年,相当于这个宇宙飞船内的4年.因此,弟弟30岁时,即地球上过了5年,而宇宙飞船内度过了4年,所以哥哥回来后是30岁.26.8783 答案:|2y-1|=1-2y。
二次根式化简练习题含答案二次根式化简练题含答案(培优)一)判断题:(每小题1分,共5分)1.(−2)2ab=-2ab.(正确)2.3-2的倒数是3+2.(错误)3.(x-1)2=(x-1).(错误)4.ab、xb、1/3a3b、-2a/xb是同类二次根式.(正确)5.8x、1/9+ x2都不是最简二次根式.(正确)二)填空题:(每小题2分,共20分)6.当x=0时,式子1/(x-3)有意义.7.化简-15/8÷1025/2712a3= -3a3/205.8.a-a2-1的有理化因式是a/(a+1).9.当1<x<4时,|x-4|+x2-2x+1= (x-3)2.10.方程2(x-1)=x+1的解是x=3.11.已知a、b、c为正数,d为负数,化简(ab-c2d2)/(ab+cd2)2= (ab-cd2)/(ab+cd2)2.12.比较大小:-1/27-1/43<0<-1/27+1/43.13.化简:(7-5√2)2000·(-7-5√2)2001= 1/5.14.若x+1+y-3=0,则(x-1)2+(y+3)2=26.15.x,y分别为8-11的整数部分和小数部分,则2xy-y2=-0.15.三)选择题:(每小题3分,共15分)16.已知x3+3x2=-xx+3,则x≤-3.17.若x<y<√2,则x-2xy+y+x+2xy+y=2y.18.若0<x<1,则(x-√2)2+4-(x+√2)2-4=-2x.19.化简a/(a3-b3)=-1/b.20.当a<1/2,b<1/2时,-a+2ab-b可变形为-(a-b)2.四)计算题:(每小题6分,共24分)21.(5-3+2)(5-3-2)=0.22.5/(4-11)-24/(11-7)=-1/3.23.(a2-1)/(a-1)+(a-1)/(a2-1)=2a/(a-1).24.(a+5)/(4-11)-(11-7)/(24-7)=-a/3b.第一段没有明显的格式错误,但需要改写:给定一个分式 $\frac{m^2n}{a^2b^2}$,将其化简得到$\frac{n}{a+b} \cdot \frac{m}{a-b}$(当 $a \neq b$ 时)或者$\frac{2m}{a+b}$(当 $a=b$ 时)。
二次根式的化简练习题熟练进行二次根式的化简计算在高中数学的学习过程中,二次根式是一个重要的概念。
它由一个常数和一个含有未知数的一次根式组成。
化简二次根式是利用特定的方法将其转化为简化形式,以便更方便地进行计算和分析。
下面将通过一些练习题来帮助我们熟练进行二次根式的化简计算。
1. 化简下列二次根式:(a) √8(b) √20(c) √27解答:(a) √8 = √(4 × 2) = 2√2(b) √20 = √(4 × 5) = 2√5(c) √27 = √(9 × 3) = 3√32. 化简下列二次根式:(a) √72(b) √98(c) √180解答:(a) √72 = √(36 × 2) = 6√2(b) √98 = √(49 × 2) = 7√2(c) √180 = √(36 × 5) = 6√5通过以上题目的练习,我们可以总结出一些化简二次根式的基本规律:1. 如果根号下面的数是一个完全平方数,则可以将其化简为这个完全平方数的平方根,并将其它项提取出来。
2. 如果根号下面的数是一个质数,则不能进行完全化简,但可以简化为最简形式。
接下来,我们来解答一些更复杂的练习题。
3. 化简下列二次根式:(a) √(8/3)(b) √(18/5)(c) √(32/7)解答:(a) √(8/3) = √(8/3) × √(3/3) = √24/√9 = 2√6/3(b) √(18/5) = √(18/5) × √(5/5) = √90/√25 = 3√10/5(c) √(32/7) = √(32/7) × √(7/7) = √224/√49 = 4√14/74. 化简下列二次根式:(a) √(3/8)(b) √(5/6)(c) √(9/10)解答:(a) √(3/8) = √(3/8) × √(2/2) = √6/√16 = √6/4 = √6/2(b) √(5/6) = √(5/6) × √(6/6) = √30/√36 = √30/6 = √30/3(c) √(9/10) = √(9/10) × √(10/10) = √90/√100 = √90/10 = 3√10/10通过以上的练习题,我们可以发现,化简二次根式的关键在于寻找合适的因式分解,将根号下面的数化简为最简形式。
二次根式的化简与计算(含答案)
一.解答题(共27小题)
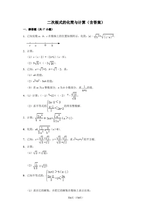
1.已知实数a,b,c在数轴上的位置如图所示,化简:|a|﹣+.
2.计算:
(1)x(x﹣2)+(2x+1)(x﹣3);
(2)3×(﹣2).
3.已知:a=+2,b=﹣2,求:
(1)ab的值;
(2)a2+b2﹣3ab的值;
(3)若m为a整数部分,n为b小数部分,求的值.
4.(1)计算:(﹣1)3+12×(﹣2)﹣4﹣;
(2)求不等式组的所有整数解.
5.计算:.
6.化简:ab(a>0).
7.已知:x=,y=,求x2+xy+y2的平方根.
8.计算:
(1);
(2).
9.已知不等式组:
(1)求出它的解集,并把它的解集在数轴上表示出来;
(2)在(1)的条件下,化简:.
10.计算:3•÷(﹣).
11.计算:2x÷3•
12.计算:2×÷.
13.计算:3÷(•).
14.计算:.
15.已知,;
(1)求x2+y2﹣3xy的值;
(2)若x的小数部分为a,y的小数部分为b,求的值.16.化简:.
17.计算:×()÷()(m>0).
18.计算.
19.计算:﹣2a+2ab2(b<0).
20.计算:x.
21.计算:•+.
22.化简:+(其中x>0).
23.计算下列各题
(1);
(2).
24.计算:.
25.化简:•÷.
26.实数a、b对应的点如图所示,化简.27.若a=2,b=3,c=﹣6,求代数式的值.。
二次根式的化简与运算练习题1. 化简以下的二次根式,并求出其近似值:a) $\sqrt{12}$b) $\sqrt{27}$c) $\sqrt[3]{64}$d) $\sqrt{50}$e) $\sqrt[4]{81}$f) $\sqrt{72}$2. 将下列各式化简并求值:a) $\sqrt{5^2+12}$b) $\sqrt{(2\sqrt{3})^2+5}$c) $\sqrt{9+\sqrt{64}}$d) $\sqrt{25-\sqrt{144}}$3. 完全展开下列各式,并按照降幂排列:a) $(\sqrt{3}+1)^2$b) $(\sqrt{2}-1)(\sqrt{2}+1)$c) $(\sqrt{5}+2)(\sqrt{5}-2)$4. 运用公式 $a^2-b^2=(a+b)(a-b)$ 简化下列各式,并求值:a) $9-4\sqrt{5}+5$b) $7+\sqrt{3}-2\sqrt{12}$c) $9-3\sqrt{7}+6\sqrt{7}-4$5. 将下列各式进行有理化:a) $\frac{4}{\sqrt{5}+1}$b) $\frac{5}{\sqrt{2}-1}$c) $\frac{3}{\sqrt{7}-\sqrt{3}}$d) $\frac{2}{\sqrt{3}+\sqrt{5}}$6. 计算以下各式的值:a) $(\sqrt{6}+\sqrt{2})^2$b) $(\sqrt{5}-\sqrt{3})^2$c) $(\sqrt{7}+\sqrt{8})^2$7. 分解以下各式:a) $5\sqrt{2}+3\sqrt{8}$b) $16\sqrt{3}-12\sqrt{12}$c) $10\sqrt{5}+\sqrt{80}$8. 将下列各式进行合并:a) $3\sqrt{2}+4\sqrt{2}$b) $6\sqrt{5}-3\sqrt{5}$c) $2\sqrt{7}+5\sqrt{3}-\sqrt{12}+3\sqrt{7}$9. 将下列各式进行整理并合并同类项:a) $\sqrt{2}+4\sqrt{3}-2\sqrt{2}+5\sqrt{3}$b) $2\sqrt{5}-3\sqrt{2}+\sqrt{3}-\sqrt{5}-\sqrt{2}$c) $4\sqrt{6}+3\sqrt{7}-7\sqrt{6}-2\sqrt{7}$10. 计算以下各式的结果:a) $(\sqrt{2}+\sqrt{3})^2-(\sqrt{2}-\sqrt{3})^2$b) $(\sqrt{5}+\sqrt{2})(\sqrt{5}-\sqrt{2})$c) $(\sqrt{7}+\sqrt{3})(\sqrt{7}-\sqrt{3})$答案:1.a) $\sqrt{12} = 2\sqrt{3}$b) $\sqrt{27} = 3\sqrt{3}$c) $\sqrt[3]{64} = 4$d) $\sqrt{50} = 5\sqrt{2}$e) $\sqrt[4]{81} = 3$f) $\sqrt{72} = 6\sqrt{2}$2.a) $\sqrt{5^2+12} = \sqrt{25+12} = \sqrt{37}$b) $\sqrt{(2\sqrt{3})^2+5} = \sqrt{4\cdot3+5} = \sqrt{17}$c) $\sqrt{9+\sqrt{64}} = \sqrt{9+8} = \sqrt{17}$d) $\sqrt{25-\sqrt{144}} = \sqrt{25-12} = \sqrt{13}$3.a) $(\sqrt{3}+1)^2 = 3+2\sqrt{3}+1 = 4+2\sqrt{3}$b) $(\sqrt{2}-1)(\sqrt{2}+1) = 2-1 = 1$c) $(\sqrt{5}+2)(\sqrt{5}-2) = 5-2 \cdot 2 = 1$4.a) $9-4\sqrt{5}+5 = 14-4\sqrt{5}$b) $7+\sqrt{3}-2\sqrt{12} = 7+\sqrt{3}-2\sqrt{4\cdot3} = 7+\sqrt{3}-4\sqrt{3} = 7-3\sqrt{3}$c) $9-3\sqrt{7}+6\sqrt{7}-4 = 5+3\sqrt{7}$5.a) $\frac{4}{\sqrt{5}+1} = \frac{4(\sqrt{5}-1)}{5-1} = \sqrt{5}-1$b) $\frac{5}{\sqrt{2}-1} = \frac{5(\sqrt{2}+1)}{2-1} = 5(\sqrt{2}+1) = 5\sqrt{2}+5$c) $\frac{3}{\sqrt{7}-\sqrt{3}} = \frac{3(\sqrt{7}+\sqrt{3})}{7-3} = \frac{3(\sqrt{7}+\sqrt{3})}{4} = \frac{3\sqrt{7}+3\sqrt{3}}{4}$d) $\frac{2}{\sqrt{3}+\sqrt{5}} = \frac{2(\sqrt{3}-\sqrt{5})}{3-5} = \frac{2(\sqrt{3}-\sqrt{5})}{-2} = \sqrt{5}-\sqrt{3}$6.a) $(\sqrt{6}+\sqrt{2})^2 = (6+2\sqrt{12}+2) = 8+2\sqrt{12}$b) $(\sqrt{5}-\sqrt{3})^2 = (5-2\sqrt{5}\sqrt{3}+3) = 8-2\sqrt{15}$c) $(\sqrt{7}+\sqrt{8})^2 = (7+2\sqrt{7}\sqrt{8}+8) = 15+4\sqrt{14}$7.a) $5\sqrt{2}+3\sqrt{8} = 5\sqrt{2}+3\cdot2\sqrt{2} =5\sqrt{2}+6\sqrt{2} = 11\sqrt{2}$b) $16\sqrt{3}-12\sqrt{12} = 16\sqrt{3}-12\cdot2\sqrt{3} = 16\sqrt{3}-24\sqrt{3} = -8\sqrt{3}$c) $10\sqrt{5}+\sqrt{80} = 10\sqrt{5}+\sqrt{2\cdot2\cdot2\cdot2\cdot5} = 10\sqrt{5}+4\sqrt{5} = 14\sqrt{5}$8.a) $3\sqrt{2}+4\sqrt{2} = 7\sqrt{2}$b) $6\sqrt{5}-3\sqrt{5} = 3\sqrt{5}$c) $2\sqrt{7}+5\sqrt{3}-\sqrt{12}+3\sqrt{7} = 5\sqrt{7}+5\sqrt{3}-2\sqrt{3} = 5\sqrt{7}+3\sqrt{3}$9.a) $\sqrt{2}+4\sqrt{3}-2\sqrt{2}+5\sqrt{3} = 2\sqrt{3}-\sqrt{2}$b) $2\sqrt{5}-3\sqrt{2}+\sqrt{3}-\sqrt{5}-\sqrt{2} = \sqrt{5}-4\sqrt{2}+\sqrt{3}$c) $4\sqrt{6}+3\sqrt{7}-7\sqrt{6}-2\sqrt{7} = -3\sqrt{6}+\sqrt{7}$10.a) $(\sqrt{2}+\sqrt{3})^2-(\sqrt{2}-\sqrt{3})^2 = (2\sqrt{6}+2)-(2-2\sqrt{6}) = 4\sqrt{6}$b) $(\sqrt{5}+\sqrt{2})(\sqrt{5}-\sqrt{2}) = 5-\sqrt{10}+\sqrt{10}-2 = 3$c) $(\sqrt{7}+\sqrt{3})(\sqrt{7}-\sqrt{3}) = 7-\sqrt{21}+\sqrt{21}-3 = 4$。
二次根式化简题50道一、基础化简题(1 - 20)1. √(12)- 解析:将12分解因数,12 = 4×3,而√(4)=2,所以√(12)=√(4×3)=2√(3)。
2. √(18)- 解析:18 = 9×2,√(9) = 3,则√(18)=√(9×2)=3√(2)。
3. √(20)- 解析:20=4×5,√(4)=2,所以√(20)=√(4×5)=2√(5)。
4. √(24)- 解析:24 = 4×6,√(4)=2,故√(24)=√(4×6)=2√(6)。
5. √(27)- 解析:27 = 9×3,√(9)=3,因此√(27)=√(9×3)=3√(3)。
6. √(32)- 解析:32 = 16×2,√(16)=4,所以√(32)=√(16×2)=4√(2)。
7. √(40)- 解析:40 = 4×10,√(4)=2,于是√(40)=√(4×10)=2√(10)。
8. √(45)- 解析:45 = 9×5,√(9)=3,则√(45)=√(9×5)=3√(5)。
9. √(48)10. √(50)- 解析:50 = 25×2,√(25)=5,故√(50)=√(25×2)=5√(2)。
11. √(54)- 解析:54 = 9×6,√(9)=3,因此√(54)=√(9×6)=3√(6)。
12. √(60)- 解析:60 = 4×15,√(4)=2,于是√(60)=√(4×15)=2√(15)。
13. √(63)- 解析:63 = 9×7,√(9)=3,则√(63)=√(9×7)=3√(7)。
14. √(72)- 解析:72 = 36×2,√(36)=6,所以√(72)=√(36×2)=6√(2)。
二次根式化简练习
一、化简下列二次根式 =12 =8 =18 20= =24 =28 =32 =40
=45 =48 =50 =54 60= =72 =80 =90 =84
=88
=96
=98
=108 125= =128 =135 =82
=4532 =483 =325
2 =43
=3
2
=8
7
=6
12
=125
1
=2
5
=74 =5
13
=3232 =5421 =3
443 =21
465
二、比较下列二次根式的大小
182_____123
242
1
____2731 12554 ___16932 403_____602 三、化简
=38x 212x =
x 232532⨯⨯=
2
92
ab = a c b 1633
2 = 2
312a
c
b =
=-22513 =+22158
2
11-=
二选择题 1.若-1<x <0,则
()221+-
x x 等于 +1
2.下列等式成立的是 A.2
)2(2-=- B.4
x =x 2
122++b b =-1 D.36x x =
3.若
1
)3()2(22=-+-a a ,则a 的取值范围是
≤a ≤3 ≥3或a ≤2 ≤2 ≥3
4.化简a +2
)1(a -等于 或-1 或1
5.计算
2
2)21()12(a a -+-的值是
或4a -2
6.当332
3+-=+x x x x 时,x 的取值范围是
≤0 ≤-3 ≥-3 ≤x ≤0
7当a >0时,化简3ax -的结果是
ax ax - ax - ax
8.实数a ,b 在数轴上对应点的位置如图所示,则化简2
222a b ab a -+-的结果为
9.计算
2
2)53()52(-+-等于
5 5 5
10.下列二次根式中,是同类二次根式的是
A.b c a bc a 3与
B.23b a 与ab
C.a 2与34a
D.b a 与
2
3b a
三.填空题
1.代数式
x
x x -++
+213有意义的条件是 ; x x 263-+-有意义的条件是
2.函数x
x x y
-++
-=21
32的自变量x 的取值范围是 3化简12=____. .2)23(-= .
4.
|)1(1|,22
a a +--<化简时当得 . 5.若三角形的三边a 、
b 、
c 满足a 2-4a +4+3-b =0,则笫三边c 的取值范围是_____________.
6.若m <0,则|m |+______3
32=+m m .已知:42<<x ,化简
()|5|12-+-x x =_________.
三解答题 1.计算
32764.044.1412
--++- 335120004008
3
3169+⨯---
221
--22+0)101(+1
)21(- 2)52(80182445-+-++
3.小明和小芳解答题目:"先化简下式,再求值:a +2
21a a +-,其中a =9"时,得出了不同的答案.小明的解答
是:原式=a +
2
)1(a -=a +(1-a )=1;
小芳的解答是:原式=a +
2
)1(a -=a +(a -1)=2a -1=2×9-1=17.
(1)_________的解答是错误的.
(2)错误的解答错在未能正确运用二次根式的性质:________. 4.若│1995-a │2000a -,求a-19952的值.
(提示:先由a-2000≥0,判断1995-a•的值是正数还是负数,去掉绝对值
5已知,化简求值
6、已知,先化简,再求值。
7.已知直角三角形斜边长为AB=(26+3)cm,一直角边长为AC=(6+23)cm,
求这个直角三角形的面积.7分
3
8.如图所示的Rt△ABC中,∠B=90°,点P从点B开始沿BA边以1厘米/•秒的速度向点A移动;同时,点Q也从点B开始沿BC边以2厘米/秒的速度向点C移动.问:几秒后△PBQ的面积为35平方厘米?PQ的距离是多少厘米?(结果用最简二次根式表示)7分
C
Q。