2018年全国硕士研究生入学统一考试《数学》真题及详解
- 格式:doc
- 大小:1.39 MB
- 文档页数:12
2018年全国硕士研究生入学统一考试数学(一)试卷及答案解析一、选择题:1~8小题,每小题4分,共32分,下列每题给出的四个选项中,只有一个选项是符合题目要求的(1)下列函数中,在0x =处不可导的是()(A)()sin f x x x =(B)()f x x =(C)()cos f x x =(D)()f x =【答案】(D)【解析】根据导数的定义:(A)sin limlim0,x x x x x x x x→→== 可导;(B)0,x x →→==可导;(C)1cos 12limlim0,x x xx xx→→--==可导;(D)000122lim lim,x x x xx x→→→-==极限不存在,故选D。
(2)过点()()1,0,0,0,1,0,且与曲面22z x y =+相切的平面为()(A)01z x y z =+-=与(B)022z x y z =+-=与2(C)1x y x y z =+-=与(D)22x y x y z =+-=与2【答案】(B)【解析】()()221,0,0,0,1,0=0z z x y =+过的已知曲面的切平面只有两个,显然与曲面相切,排除C 、D22z x y =+曲面的法向量为(2x,2y,-1),111(1,1,1),,22x y z x y +-=-==对于A选项,的法向量为可得221.z x y x y z z A B =++-=代入和中不相等,排除,故选(3)()()23121!nn n n ∞=+-=+∑()(A)sin1cos1+(B)2sin1cos1+(C)2sin12cos1+(D)2sin13cos1+【答案】(B)【解析】00023212(1)(1)(1)(21)!(21)!(21)!nn nn n n n n n n n ∞∞∞===++-=-+-+++∑∑∑0012=(1)(1)cos 2sin1(2)!(21)!nn n n l n n ∞∞==-+-=++∑∑故选B.(4)设()(2222222211,,1,1x x xM dx N dx K dx x e ππππππ---++===++⎰⎰⎰则()(A)M N K >>(B)M K N >>(C)K M N >>(D)K N M>>【答案】(C)【解析】22222222222(1)122=(1).111x x x x M dx dx dx x x x πππππππ---+++==+=+++⎰⎰⎰22222111(0)11xx xxx e x N dx dx Meeπππππ--+++<≠⇒<⇒=<=<⎰⎰2222=11K dx dx M πππππ--+>==⎰⎰(,K M N >>故应选C 。
2018年全国硕士研究生入学统一考试数学一试题及答案解析一、选择题(4分×8)1.下列函数在x = 0处不可导的是 ( )A 、 ()sin f x x x = B、()f x x = C 、()cos f x x = D、()f x = 解 选D 。
由导数定义或左右导数与导数的关系可知:00sin lim lim 0,x x x x x x x x→→==故A 选项不正确;000x x →→==,故B 选项不正确;2002sin cos 12lim lim 0x x x x x x →→-==,故C 选项不正确;20002sin 12lim lim 2x x x x x x→→→-==-,极限不存在,故D 选项正确。
2. 过点(1,0,0),(0,1,0),且与曲面22z x y =+相切的平面为 ( )A 、 01z x y z =+-=与B 、022z x y z =+-=与2C 、1x y x y z =+-=与D 、22x y x y z =+-=与2解 选B 。
由已知,点(1,0,0),(0,1,0)在切平面上,而选项C ,D 显然不满足,故排除C ,D 。
又曲面22z x y =+上任一点(,,)x y z 处的法向量为(2,2,1)x y -,如选项A 正确,1x y z +-=的法向量为(1,1,1)-,可得切点的11,22x y ==,代入曲面方程得12z =,而代入1x y z +-=得0z =,矛盾,故排除A 选项。
3. 023(1)(21)!nn n n +∞=+-=+∑( ) A 、 sin1cos1+ B 、2sin1cos1+C 、2sin12cos1+D 、2sin13cos1+解 选B 。
因00023212(1)(1)(1)(21)!(21)!(21)!nn n n n n n n n n n +∞+∞+∞===++-=-+-+++∑∑∑ 0011(1)2(1)cos12sin1(2)!(21)!n n n n n n +∞+∞===-+-=++∑∑。
( )2018 年全国硕士研究生入学统一考试数学(一)试卷及答案解析一、选择题:1~8 小题,每小题 4 分,共 32 分,下列每题给出的四个选项中,只有一个选项是符合题目要求的 (1)下列函数中,在 x = 0 处不可导的是( )(A) f ( x ) = x sin x(B) f ( x ) = x sin(C) f ( x ) = cos x(D) f ( x ) = cos【答案】(D )【解析】根据导数的定义:lim(A )x →0x= limx →0x xx = 0, 可导lim(B ) x →0x= limx →0x- 1 x= 0, 可导lim = lim 2 = 0, 可导(C ) x →0 xlim(D )x →0 x x →0 x- 1 x 2 = lim 2 x →0 x- 1x = lim 2 x →0 x, 极限不存在故选 D 。
(2)过点(1, 0, 0), (0,1, 0) ,且与曲面 z = x 2 + y 2 相切的平面为( )(A) z = 0与x + y - z = 1(B) z = 0与2x + 2 y - z = 2(C) x = y 与x + y - z = 1(D) x = y 与2x + 2 y - z = 2【答案】(B )过(1, 0, 0), (0,1, 0 )的已知曲面的切平面只有两个,显然z =0 与曲面z = x 2 + y 2相切,排除C 、D【解析】曲面z = x 2 + y 2的法向量为(2x,2y,-1),对于A选项,x + y - z = 1的法向量为(1,1, -1), 可得x = 1 , y = 1,2 2 代入z = x 2 + y 2和x + y - z = 1中z 不相等,排除A ,故选B .∞-n 2n +3(3) ∑( n =0 1) = ( ) 2n +1 ! cos x -1cos x -1 x x x sin x x sin x xx⎝ ⎭n =0 n =0 ⎰ π2⎰ ⎰ π n =0 π⎰π ⎰ π ⎰ π ⎪ ⎝ ⎭ ⎪ ⎝ ⎭ ⎪ ⎝ ⎭ ⎪ ⎝ ⎭⎪ (A) sin1 + cos1(B) 2sin1+ cos1(C) 2 sin1+ 2 cos1(D) 2sin1+ 3cos1【答案】(B )∞n2n + 3∞n2n +1∞n2∑(-1)【解析】 n =0(2n +1)! =∑(-1) (2n +1)! +∑(-1)(2n +1)!∞n1∞n2故选 B.=∑(-1)n =0(2n )! + ∑(-1) =cos l + 2 sin1 (2n +1)!π(1+ x )2π 1+ x π(4) 设 M =2 dx , N =2dx , K = 2(1cos x )dx , 则( )⎰-π 1+ x2⎰-πex⎰-π222(A) M > N > K(B) M > K > N(C) K > M > N(D) K > N > M【答案】(C )π(1+ x )2π 1+ x 2+ 2xπ2xM = 【解析】2 -1+ x dx = 2-1+ x 2dx = 2(1 + -1+ x 2 )dx = π.2221+ x π1+ x π1+ x < e x (x ≠ 0) ⇒ < 1 ⇒ N = e 2 2 -π e x dx < 2 1dx = π< M - 2 2π πK = 2(1 -dx > 21dx = π= M - 22故K > M > N , 应选C 。
2018年全国硕士研究生入学统一考试数学一试题解析一、选择题:1~8小题,每小题4分,共32分,下列每小题给出的四个选项中,只有一项符合题目要求的,请将所选项前的字母填在答题纸...指定位置上.(1)下列函数中,在0x =处不可导是( )()()()()sin ()()()cos ()A f x x x B f x x xC f x xD f x x====【答案】D(2)过点(1,0,0)与(0,1,0)且与22z x y =+相切的平面方程为(A )01z x y z =+-=与(B )022z x y z =+-=与2(C )1y x x y z =+-=与 (D )22y x x y z =+-=与2【答案】B (3)23(1)(21)!nn n n ∞=+-=+∑(A )sin1cos1+(B )2sin1cos1+(C )2sin12cos1+ (D )3sin12cos1+ 【答案】B(4)设2222(1)1x M dx x ππ-+=+⎰,221x xN dx e ππ-+=⎰,22(1cos )K x dx ππ-=+⎰,则,,M N K 的大小关系为 (A )M N K >> (B )M K N >> (C )K M N >> (D )K N M >>【答案】C 【解析】(5)下列矩阵中,与矩阵110011001⎛⎫ ⎪ ⎪ ⎪⎝⎭相似的为 111()011001A -⎛⎫ ⎪ ⎪ ⎪⎝⎭101()011001B -⎛⎫ ⎪ ⎪ ⎪⎝⎭111()010001C -⎛⎫ ⎪ ⎪ ⎪⎝⎭101()010001D -⎛⎫⎪ ⎪⎪⎝⎭【答案】A全国统一服务热线:400—668—2155 精勤求学 自强不息(6) 设,A B 为n 阶矩阵,记()r X 为矩阵X 的秩,()X Y 表示分块矩阵,则(A )()()r A AB r A = (B )()()r A BA r A = (C )()max{(),()}r A B r A r B = (D )()()T T r A B r A B =【答案】A(7)设随机变量X 的概率密度函数()f x 满足(1)(1)f x f x +=- ,且2()0.6,f x dx =⎰则{0}P X <=( )(A )0.2 (B )0.3 (C )0.4 (D )0.5【答案】 A 【解析】(8)设总体X 服从正态分布2(,)N μσ,12,,,n X X X 是来自总体X 的简单随机样本,据样本检测:假设:0010:,:H H μμμμ=≠则( )(A)如果在检验水平0.05α=下拒绝0,H 那么在检验水平0.01α=下必拒绝0,H (B) 如果在检验水平0.05α=下拒绝0,H 那么在检验水平0.01α=下必接受0,H (C) 如果在检验水平0.05α=下接受0,H 那么在检验水平0.01α=下必拒绝0,H (D) 如果在检验水平0.05α=下接受0,H 那么在检验水平0.01α=下必接受0,H 【答案】A二、填空题:9-14小题,每小题4分,共24分,请将答案写在答题纸...指定位置上. (9) 1sin 01tan lim 1tan kxx x e x →-⎛⎫=⎪+⎝⎭则k=___-2____(10) 设函数()f x 具有2阶连续导数,若曲线()f x 过点(0,0)且与曲线2xy =在点(1,2)处相切,则1()xf x dx ''=⎰_____【答案】2ln22-(11) 设(,,)F x y z xyi yzj zxk =-+则(1,1,0)rotF =_____【答案】(1,0,1)-(12)曲线S 由2221x y z ++=与0x y z ++=相交而成,求Sxyds ⎰【答案】0(13)设2阶矩阵A 有两个不同特征值,12,αα是A 的线性无关的特征向量,且满足21212()A αααα+=+则A =【答案】-1.(14)设随机事件A 与B 相互独立,A 与C 相互独立,BC =∅,若11()(),()24P A P B P AC AB C ==⋃=,则()P C = .【答案】1/4三、解答题:15—23小题,共94分.请将解答写在答题纸...指定位置上.解答应写出文字说明、证明过程或演算步骤.(15)(本题满分10分)求不定积分21x xe e dx -⎰(16)(本题满分10分)将长为2m 的铁丝分成三段,依次围成圆、正方形与正三角形,三个图形的面积之和是否存在最小值?若存在,求出最小值。
2018年全国硕士研究生入学统一考试数学(三)真题及解析(江南博哥)1[单选题]下列函数中,在x=0处不可导的是( ).A.f(x)=|x|sin |x|B.f(x)=|x|sinC.f(x)=cos|x|D.f(x)=cos正确答案:D参考解析:2[单选题]设函数f(x)在[0,1]上二阶可导,且,则( ).A.当f’(x)<0时,f()<0B.当f’’(x)<0时,f()<0C.当f'(x)>0时,f()<0D.当f”(x)>0时,f()<0正确答案:D参考解析:3[单选题]( ).A.M>N>KB.M>K>NC.K>M>ND.K>N>M正确答案:C参考解析:4[单选题]设某产品的成本函数C(Q)可导,其中Q为产量,若产量为Q0时平均成本最小,则( ).A.C '(Q0)=0B.C’(Q0)=C(Q0)C.C’(Q0)=Q0c(Q0)D.Q0C'(Q0)=C(Q0)正确答案:D参考解析:5[单选题]( ).A.B.C.D.正确答案:A参考解析:本题考查矩阵相似的定义及相似矩阵的性质(相似矩阵的秩相等).若存在可逆矩阵P,使得P-1AP=B,则A~B.从而可知E—A~E-B,且r(E—A)=r(E—B).设题中所给矩阵为A,各项中的矩阵分别为B1,B2,B3,B4.经验证知r(E—B1)=2,r(E-B2)=r(E—B3)=r(E-B4)=1.因此A~B1,即A相似于A项下的矩阵.6[单选题]设A,B为n阶矩阵,记r(X)为矩阵X的秩,(X,Y)表示分块矩阵,则( ).A.r(A,AB)=r(A)B.r(A,BA)=r(A)C.r(A,B)=max{r(A),r(B)}D.r(A,B)=r(A T,B T)正确答案:A参考解析:解这道题的关键,要熟悉以下两个不等关系:①r(AB)≤min{r(A),r(B)};②r(A,B)≥max{r(A),r(B)}.由r(E,B)=n,可知r(A,AB)=r(A(E,B))≤min{r(A),r(E,B)}=r(A).又r(A,AB)≥max{r(A),r(AB)},r(AB)≤r(A),可知r(A,AB)≥r(A).从而可得r(A,AB)=r(A).7[单选题]设f(x)为某随机变量X的概率密度函数,f(1+x)=f(1-x),,则P{X<0}=( ).A.0.2B.0.3C.0.4D.0.6正确答案:A参考解析:由于f(1+x)=f(1-x),可知f(x)图形关于x=1对称.8[单选题]A.B.C.D.正确答案:B参考解析:解这道题,首先知道t—分布的定义.9[填空题]曲线y=x2+2 lnx在其拐点处的切线方程是______.参考解析:y=4x-3首先求得函数f(x)=x2+2lnx的定义域为(0,+∞).10[填空题]______.参考解析:11[填空题]差分方程△2y x-y x=5的解为______.参考解析:yx=C·2x-512[填空题]设函数f(x)满足f(x+△x)-f(x)=2xf(x)△x+o(△x)(△x→0),f(0)=2,则f(1)=______.参考解析:2e由题意知f’(x)=2xf(x),解该一阶齐次线性微分方程可得f(x)=Ce x2.又f(0)=2,得C=2.因此f(x)=2e x2,从而f(1)=2e.13[填空题]设A为三阶矩阵,α1,α2,α3为线性无关的向量组,若Aα1=α1+α2,Aα2=α2+α3,Aα3=α1+α3,则|A|=______.参考解析:2由于α1,α2,α3线性无关,则P=(α1,α2,α3)为可逆矩阵.因此14[填空题]随机事件A,B,C相互独立,且P(A)=P(B)=P(C)=,则P(AC|A∪B)=______.参考解析:15[简答题]参考解析:解:16[简答题]参考解析:17[简答题]将长为2 m的铁丝分成三段,依次围成圆、正方形与正三角形.三个图形的面积之和是否存在最小值?若存在,求出最小值.参考解析:18[简答题]参考解析:19[简答题]参考解析:20[简答题](本题满分ll分)设实二次型f(x1,x2,x3)=(x1-x2+x3)2+(x2+x3)2+(x1+ax3)2,其中a是参数.(I)求f(x1,x2,x3)=0的解;(II)求f(x1,x2,x3)的规范形.参考解析:解:(I)由f(x1,x2,x3)=0,得21[简答题](本题满分ll分)(I)求a;(Ⅱ)求满足AP=B的可逆矩阵P.参考解析:22[简答题]设随机变量X与Y相互独立,X的概率分布为P(X=1)=P(X=-1)=,Y服从参数为A的泊松分布,令Z=XY.(I)求Coy(X,Z);(Ⅱ)求Z的概率分布.参考解析:23[简答题]设总体X的概率密度为其中σ∈(0,+∞)为未知参数,X1,X2,…,x n为来自总体X的简单随机样本,σ的最大似然估计量为.(I)求;(Ⅱ)求E(),D().参考解析:。
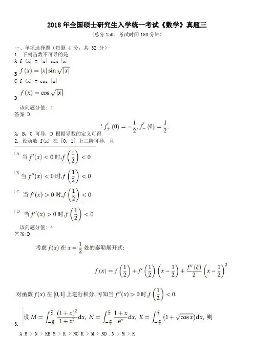
2018年全国硕士研究生入学统一考试《数学》真题三(总分150, 考试时间180分钟)一、单项选择题(每题 4 分,共 32 分)1. 下列函数不可导的是A f (x) = |x| sin |x|BC f (x) = cos |x|D该问题分值: 4答案:DA, B, C 可导, D 根据导数的定义可得2. 设函数 f(x) 在 [0, 1] 上二阶可导, 且该问题分值: 4答案:D3.A M > N > KB M > K > NC K > M > ND .N > M > K该问题分值: 4答案:C4. 设某产品的成本函数 C(Q) 可导, 其中 Q 为产量, 若产量为 Q0 时平均成本最小, 则A C ′ (Q0) = 0B C ′ (Q0) = C(Q0)C C ′ (Q0) = Q0C(Q0)D Q0C ′ (Q0) = C(Q0)该问题分值: 4答案:D5. 下列矩阵中, 与矩阵相似的为D该问题分值: 4答案:A易知题中矩阵均为 3 重特征值 1. 若矩阵相似, 则不同特征值对应矩阵λ E ? A 的秩相等, 即 E ?A 秩相等. 显然为 A6. 设 A, B 为 n 阶矩阵, 记 r(X) 为矩阵 X 的秩, (X Y) 表示分块矩阵, 则A r(A AB) = r(A)B r(A BA) = r(A)C r(A B) = max{r(A), r(B)}D r(A B) = r(A T B T )该问题分值: 4答案:A7. 设随机变量X 的概率密度f(x) 满足f(1 + x) = f(1 ? x), 且A 0.2B 0.3C 0.4D 0.6该问题分值: 4答案:A8. 设 X1, X2, ··· , Xn (n ? 2) 为来自总体 X ~ N ( μ, σ 2 ) (σ > 0) 的简单随机样本, 令则。
2018年考研数学一真题及答案解析选择题(斗分)1.T^L^数中在忑=0处不可导的星()A./(z) = |z|am |z|乩f(x) = \x\siny/\^C、f(x) —cos |刎D、f(x)- cos y/\x\【答案】D2.过点(1』,0)T (O:l,0) T且与曲面二=分+诃相切的平面为()A、務=0与£十抄一二=1B、z = 0-^2^ + 2# —左=2JC= y 与JT+ y — w = 1D、迟=眇与2® -\-2y - z —2【答案】BA.sin 1 + coslB. 2 sm 1 -H cos 1C.2sliil + 2<OM1D* 2sinl 十3 cos 1【菩案】B,0'J()A, M>N>K 艮M>K>NC、K>M>ND、K>N > M【答案】C1105 •下列矩阵中f与矩阵0 1 1相似的为()0 0 1111A.011.001K-10-1B.0110■0111-1U010乂0110-1A010.001【答案】A6•设扎助胡介矩阵,记叫X)为矩阵屋的秩「(X,F)表示分块矩阵,311()A、r(A, AB) = r(A)氐r(A,BA) = r(A)J r(X,B) = max{r(4)T r(2;)}D、r(A,B)= r(A T, B T)【答案】A 了.设随机变量X的概率密席子⑵满足和+ x) = /(I -x)t且盘f (工伽=0+6 ,则P{X< 0}=()A、0.2B.03U 0.4D、0.5【答棄】A8.设总体爼駅正态分布N(比a2)「疋,星,…,耳是来自总体筍单随机样本「据此样本检验假设:臥:此=唏圧:“*如」!I ()A.如果在检验水平a = 0.05T拒绝局(那么在检验水平《= 0.01T必拒绝凤匕如果在检验水电-005下垣绝巧.那么在检验水平“ -0.01下必按旻U 如果在检验水平a = 03下接豆顷,那么在检验水平o = 03下必拒绝风D.如果苻椅嘟水平a = 0.05下捋誓比「那么7F检骗水辰=0.0L下必挎爭尿【無】D二頃空题(4分)虫叭⑷(冶拎)血=s贝壮= _____________【答案】k = -2m设函数托工)具有2阶连续导数t若曲线妙=几工)过点© 0)且与曲线® =旷在昌⑴2) 处相切,则人‘工严佃)必- ____________【答案】2(h2-l)11,设F@ 曲z) = xyl - yzj十zxk t则戸(1,1, (I) =__________【答秦】i-k12.1SL为球面护+ j/2+ z2 = 1与平面工十# + 了= 0的交统,则比xyds匸________ 【答案】-£"•设2阶矩阵A有两个不同特征值f a u a2是占的红性无关的特征向量,且:鬲足+ d?) = di + a3,则|且—____________【答案】-114■设随机事件卫与石相互独立‘ &与幅互独立,BC = 0 ,若F(A) = P(B)= 4 ,P(AC\ 4BuC) = ] f则P(C) = ______________【答棄】1三"聲答题(10分)15.求不走积分J 宀arctaiL y/e1—ldx【答案】令疔F = * ,则雷=In(庐+ 1),血二磊也「由第二换元去和分部积分公式可得原式=/ (Q + 1)" - arc tan t -丄令血=J 2t(i2+ 1) ■ arctan tdtR-jHt=+ J arctan + l)2] = *(产十l)X arctani —壬丁 (产 + l)dt=号(产+ 1) ' arctan t —+土' —t + (J=^e22arctan (e1- lp - 1(^ - 1)5 -F C止.将长为2m 的铁丝分成三段「依次围成區、正方形与正三角形’三个图形的面积之«] 是否存在最小值?若荐在「求岀最小值.【答案】设分成的三段分别为x^z, JW 有⑦+甘+芯=2及, IB 的面积为 ® 「正方形的面积为鸟=岂/ ,正三角形09面积为扬=鲁宀总S®S = 士护十善护十生以』则问题转化为在条件雷+y + z = 2,x,y,z >。
2018年硕士研究生入学考试数学一 试题一、选择题:1~8小题,每小题4分,共32分,下列每小题给出的四个选项中,只有一项符合题目要求的,请将所选项前的字母填在答题纸...指定位置上.(1) 下列函数不可导的是:()()()()sin sin cos cosA y x xB y xC y xD y====(2)22过点(1,0,0)与(0,1,0)且与z=x 相切的平面方程为y + ()()()()0与10与222与x+y-z=1与222A zx y z B z x y z C y x D yx c y z =+-==+-===+-=(3)023(1)(2n 1)!nn n ∞=+-=+∑()()()()sin 1cos 12sin 1cos 1sin 1cos 13sin 12cos 1A B C D ++++(4)22222222(1x)1xN= K=(11xM dx dx x e ππππππ---++=++⎰⎰⎰),则M,N,K的大小关系为()()()()A M N K B M K N C K M N D NM K>>>>>>>>(5)下列矩阵中,与矩阵110011001⎛⎫⎪ ⎪⎪⎝⎭相似的为______. A.111011001-⎛⎫ ⎪ ⎪ ⎪⎝⎭ B.101011001-⎛⎫⎪ ⎪⎪⎝⎭ C.111010001-⎛⎫ ⎪ ⎪ ⎪⎝⎭ D.101010001-⎛⎫⎪ ⎪⎪⎝⎭(6).设A ,B 为n 阶矩阵,记()r X 为矩阵X 的秩,(X Y ) 表示分块矩阵,则A.()()r A AB r A =B.()()r A BA r A =C.()max{(),()}r A B r A r B =D.()()TT r A B r A B =(7)设()f x 为某分部的概率密度函数,(1)(1)f x f x +=-,20()d 0.6f x x =⎰,则{0}p X = .A. 0.2B. 0.3C. 0.4D. 0.6 (8)给定总体2(,)XN μσ,2σ已知,给定样本12,,,n X X X ,对总体均值μ进行检验,令0010:,:H H μμμμ=≠,则A . 若显著性水平0.05α=时拒绝0H ,则0.01α=时也拒绝0H . B. 若显著性水平0.05α=时接受0H ,则0.01α=时拒绝0H . C. 若显著性水平0.05α=时拒绝0H ,则0.01α=时接受0H . D. 若显著性水平0.05α=时接受0H ,则0.01α=时也接受0H .二、填空题:9-14小题,每小题4分,共24分,请将答案写在答题纸...指定位置上.(9)1sin 01tan lim ,1tan kxx x e x →-⎛⎫= ⎪+⎝⎭则k =(10)()y f x =的图像过(0,0),且与x y a =相切与(1,2),求1'()xf x dx =⎰(11)(,,),(1,1,0)F x y z xy yz xzk rot F εη=-+=求(12)曲线S 由22210x y z x y z ++=++=与相交而成,求xydS =⎰ (13)二阶矩阵A 有两个不同特征值,12,αα是A 的线性无关的特征向量,21212()(),=A A αααα+=+则(14)A,B 独立,A,C 独立,11,()()(),()24BC P A P B P AC ABC P C φ≠===,则=三、解答题:15—23小题,共94分.请将解答写在答题纸...指定位置上.解答应写出文字说明、证明过程或演算步骤.(15).求不定积分2x e ⎰(16).一根绳长2m ,截成三段,分别折成圆、三角形、正方形,这三段分别为多长是所得的面积总和最小,并求该最小值。
2018年全国硕士研究生入学统一考试数学(一)参考答案一、选择题:1~8小题,每小题4分,共32分. (1)【答案】D.【解答】选项A 和C ,函数sin sin x x x x =,cos cos x x =,可导;B 选项,00()(0)(0)lim 0x x f x f f x →→−'==−0x →=320lim 0x x x →==,可导; 对于D选项,由定义得0112(0)lim lim 2x x xf x +++→→−'===−;112(0)lim lim 2x x xf x −−−→→−'===. 因为(0)(0)f f +−''≠,所以不可导. 故选D. (2)【答案】B.【解答】设切点的坐标为220000(,,)x y x y +. 由题设可知切平面的法向量为00{2,2,1}x y =−n ,则切平面的方程为220000002()2()[()]0x x x y y y z x y −+−−−+=, 即 22000022()0x x y y z x y +−−+=.将点(1,0,0)与(0,1,0)代入上式22000220002()0,2()0,x x y y x y ⎧−+=⎪⎨−+=⎪⎩解得000x y ==或001x y ==,将00,x y 代入方程,得0z =或222x y z +−=. 故选B. (3)【答案】B.【解答】因为,00023212(1)(1)(1)(21)!(21)!(21)!nn n n n n n n n n n ∞∞∞===++−=−+−+++∑∑∑00(1)(1)2(2)!(21)!n nn n n n ∞∞==−−=++∑∑,而,21200(1)(1)sin ,cos (),(21)!(2)!n n n nn n x x x x x n n +∞∞==−−==−∞<<+∞+∑∑ 所以,23(1)cos12sin1(21)!nn n n ∞=+−=++∑,故选B.(4)【答案】C. 【解答】因为,πππ2222πππ22222122d (1)d 1d 11x x x M x x x x x −−−++==+=++⎰⎰⎰,11cos x + 所以,K M >. 设()e 1xf x x =−−,则()e 1xf x '=−,所以当0x <时,()0f x '<,()f x 单调递减;当0x 时,()0f x ',()f x 单调递增,故(0)0f =是其最小值,即11exx +. 所以M N >,即N M K <<,故选C. (5)【答案】A.【解答】记矩阵110011,001⎛⎫⎪= ⎪ ⎪⎝⎭M 则3110011(1)0001λλλλλ−−−=−−=−=−E M , 所以特征值为1231λλλ===,且()()2r r λ−=−=E M E M ;对于A 选项:记矩阵为A ,解得特征值均为1,且()()2r r λ−=−=E A E A ; 同理对于B 、C 、D 选项:分别记矩阵为,,B C D ,计算可得其特征值均为1,而()()()1r r r −=−=−=E B E C E D .若矩阵,T N 相似,则对应的矩阵λ−E T 和λ−E N 也相似,故秩相等. 由此可以排除选项B ,C ,D ,故选A. (6)【答案】A.【解答】选项A ,易知()()r r A AB A .由分块矩阵的乘法,可知()()=A AB A E B ,因此()min{(),()}r r r A AB A E B ,从而 ()()r r A AB A ,所以 ()()r r =A AB A , 则选项A 正确. B 选项,令1001,0010⎛⎫⎛⎫==⎪ ⎪⎝⎭⎝⎭A B ,则()1,()2r r ==A A BA ; C 选项,令1000,0001⎛⎫⎛⎫==⎪ ⎪⎝⎭⎝⎭A B ,则()()1,()2r r r ===A B A B ;D 选项,令1001,0000⎛⎫⎛⎫== ⎪ ⎪⎝⎭⎝⎭A B ,则T T()1,()2r r ==A B A B ;故选A. (7)【答案】A.【解答】因为(1)(1)f x f x +=−,所以()f x 的图像关于1x =对称,因此{0}{2}P X P X =.因为2()d 0.6f x x =⎰,所以{0}{2}2{0}10.60.4P X P X P X +==−=,从而{0}0.2P X =,故选A. (8)【答案】D.【解答】如右图所示,/2Z α表示标准正态分布的 上2α分位数,即图中阴影部分的面积为2α.区间/2/2(,)Z Z αα−是在显著性水平α下的接受域.若显著性水平0.05α=时接受0H ,即表示检验统计量0/X Z nμσ−=的观察值落在接受域0.0250.025(,)Z Z −内. 区间0.0050.005(,)Z Z −包含0.0250.025(,)Z Z −,因此其观察值也落在区间0.0050.005(,)Z Z −内,即落在接受域内,所以选项D 正确,B 错误;0.05α=时拒绝0H ,即Z 的观察值落在拒绝域0.0250.025(,][,)Z Z −∞−+∞内;但区间0.0050.005(,][,)Z Z −∞−+∞包含于0.0250.025(,][,)Z Z −∞−+∞,因此无法判断观察值是否落在区间0.0050.005(,][,)Z Z −∞−+∞内,选项A ,C 无法确定;故选D.二、填空题:9~14小题,每小题4分,共24分. (9)【答案】2−.【解答】2tan 11tan sin (1tan )sin 2tan 001tan 2tan lim()lim{[1()}1tan 1tan xx kx x kx x x x x x x x−++−→→−−=+++022lim 1=e e x x kx k →−−⋅=, 所以21k−=,解得2k =−. (10)【答案】2ln 22−.【解答】由题意可知,(0)0,(1)2,(1)2ln 2f f f '===,因此111100()d d ()()()d xf x x x f x xf x f x x '''''==−⎰⎰⎰10[()()]2ln 22xf x f x '=−=−.(11)【答案】(1,0,1)−.【解答】旋度(,,)(,,)x y z y z x x y z x y z PQ R xy yz xz∂∂∂∂∂∂===−−∂∂∂∂∂∂−rot ij k i jk F , 所以(1,1,0)(1,1,0)(,,)(1,0,1)y z x =−−=−rot F .(12)【答案】3π−. 【解答】由曲线2221:0x y z l x y z ⎧++=⎨++=⎩的表达式可知,,,x y z 有轮换对称性,所以1d ()d 3llxy s xy yz zx s =++⎰⎰.又222211[()()]22xy yz zx x y z x y z ++=++−++=−,交线l 是半径为1的圆弧, 所以111d ()d 23263ll xy s s π=−=−⋅π=−⎰⎰. (13)【答案】1−.【解答】由21212()()+=+A αααα可知212()()−+=0A E αα.12,αα线性无关,因此方程2()−=0A E x 有非零解,从而20−=A E ,所以特征值λ满足方程210λ−=,即1λ=或1λ=−.又A 有两个不同的特征值,所以1(1)1=⋅−=−A . (14)【答案】14. 【解答】由条件可知,()()(),()()(),()0P AB P A P B P AC P A P C P BC ===. 由条件概率的定义可得,(()())()(())()()()()P AC AB C P ACAB ACC P AC AB C P AB C P AB P C P ABC ==+− 1()()1211()()()4()22P C P AC P A P B P C P C ===+⋅+,解得1()4P C =. 三、解答题:15~23小题,共94分.(15)【解】利用分部积分,2e arctan x x ⎰21arctan 2x =⎰2211e e 22xx x x =−⎰2211e arctan 24x x x =211e 24x x x =11222e 1[(e 1)(e 1)]d(e 1)24x x x x −=−−+−−⎰31222e 12[(e 1)2(e 1)]243x x xC =−−+−+ 31222e 11(e 1)(e 1)262x x xC =−−−−+. (16)【解】设圆的周长为x ,正三角周长为y ,正方形的周长z ,由题设2x y z ++=.则目标函数2222221π2π22344π3616x y z x z S y ⎛⎫⎛⎫⎛⎫=+⋅+=++ ⎪ ⎪ ⎪⎝⎭⎝⎭⎝⎭,构造拉格朗日函数222(,,;)(2)4π3616x zL x y z y x y z λλ=+++++−,对参数求导并令导函数为零,则0,20,3620,1620.x yzx L L z L L x y z λλπλλ⎧'=+=⎪⎪⎪'=+=⎪⎨⎪'=+=⎪⎪⎪'=++−=⎩解得x =y =,z =此时面积和有最小值为2)S =.(17)【解】记33,,P x Q y z R z ==+=;构造平面22331,:0,y z x ∑⎧+'⎨=⎩取后侧,∑'与∑所围区域2{(,,)|013x y z x y Ω=−.由高斯公式可得,+d d d d d d d d d d d d d d d d d d P y z Q z x R x y P y z Q z x R x y P y z Q z x R x y ∑∑∑∑''++=++−++⎰⎰⎰⎰⎰⎰ 22()d d d 0(133)d d d x y z P Q R x y z yz x y z ΩΩ'''=++−=++⎰⎰⎰⎰⎰⎰22220331d d 33)dy z y z y z x +=++⎰⎰222233133)d d y z yz y z +=++⎰⎰220d 3)dr r r θπ=+⋅⎰2212)3)d(13)6r r =π(−+−2232)d(13)3r r π=−−−31222223)2(13)]d(13)3r r rπ=−−−−51222224[(13)(13)353r rπ=−−−1445π=.(18)(Ⅰ)【解】由题可知方程为一阶线性微分方程.当()f x x=时,由公式可得通解为,1d1d()e(e d)x xy x x x C−⎰⎰=+⎰=e(e d)x xx x C−+⎰=e[(1)e]x xx C−−+=(1)e xx C−−+,(C为任意常数).(Ⅱ)【证】由条件课得通解为,1d1d()e[()e d]x xy x f x x C−⎰⎰=+⎰()e()e dx xf x x C−=+⎰,(C为任意常数).因为()f x为周期函数,不妨设周期为T,则()()f x T f x+=.而()()()e()e d ex T x T x Ty x T f x T x C−++−++=++⎰()e e()e e dT x x Tf x x C−−=⋅⋅+⎰()1e e e()e dT x T xf x x C−−=⋅⋅+⎰()1e()e dx xf x x C−=+⎰.欲使()y x为周期函数,即()()y x y x T=+,只需1e TC C−=⋅,再由e0T−>,故0C=.从而()e()e dx xy x f x x−=⎰为方程对应的解,且为周期函数.(19)【证】设()e1,0xf x x x=−−>,则有e1()e10,()(0)0,1xxf x f x fx−'=−>>=>,从而1221e1e1,0xx xx−=>>.猜想0n x >,现用数学归纳法证明:1n =时,10x >,成立;假设(1,2,)n k k ==时,有0k x >,则1n k =+时有11e 1e1,0k k x x k kx x ++−=>>;因此0n x >,有下界. 再证单调性,1e 1e 1ln ln e lne n n nnx x x n n x n n x x x x +−−−=−=. 设()e 1e xxg x x =−−,0x >时,()e e e e 0x x x xg x x x '=−−=−<,所以()g x 单调递减,()(0)0g x g <=,即有e 1e xxx −<,因此1e 1ln ln10e n nx n n x n x x x +−−=<=,即数列{}n x 单调递减. 故由单调有界准则可知极限lim n n x →∞存在.不妨设lim n n x A →∞=,则e e 1A AA =−.因为()e 1e x xg x x =−−只有唯一的零点0x =,所以0A =,即lim 0n n x →∞=.(20)【解】(Ⅰ)由123(,,)0f x x x =得12323130,0,0,x x x x x x ax −+=⎧⎪+=⎨⎪+=⎩ 系数矩阵 11110210101110002r a a −⎛⎫⎛⎫ ⎪ ⎪=⎯⎯→ ⎪ ⎪⎪ ⎪−⎝⎭⎝⎭A ,所以,当2a ≠时,()3r =A ,方程组有唯一解,1230x x x ===.当2a =时,()2r =A ,方程组有无穷解,21,1k k −⎛⎫ ⎪=− ⎪ ⎪⎝⎭x 为任意常数. (Ⅱ)当2a ≠时,令1123223313,,,y x x x y x x y x ax =−+⎧⎪=+⎨⎪=+⎩为可逆变换,此时规范形为222123y y y ++. 当2a =时,2221231232313(,,)()()(2)f x x x x x x x x x x =−+++++222123121322626x x x x x x x =++−+222323133()2()22x x x x x −+=−+, 此时规范形为2212y y +.(21)【解】(Ⅰ)由题设条件可知矩阵A 与B 等价,则秩()()r r =A B .因为 131212130130027390a ar r a +==−A ,所以 31121201101120111013a a r r a a +==−=−+B ,因此 2a =.(Ⅱ)设矩阵111213212223313233x x x x x x x x x ⎛⎫ ⎪= ⎪ ⎪⎝⎭P ,对增广矩阵作初等变换可得, 122122106344(,)130011012111272111000000⎛⎫⎛⎫⎪ ⎪=→−−−− ⎪ ⎪ ⎪ ⎪−−⎝⎭⎝⎭A B ,解得,11112213321122223331132233363646421,21,21x k x k x k x k x k x k x k x k x k −+−+−+⎛⎫⎛⎫⎛⎫⎛⎫⎛⎫⎛⎫⎪ ⎪ ⎪ ⎪ ⎪ ⎪=−=−=− ⎪ ⎪ ⎪ ⎪ ⎪ ⎪ ⎪ ⎪⎪ ⎪⎪ ⎪⎝⎭⎝⎭⎝⎭⎝⎭⎝⎭⎝⎭, 所以123123123636464212121k k k k k k k k k −+−+−+⎛⎫ ⎪=−−− ⎪ ⎪⎝⎭P .又P 可逆,因此1231223123231231236364640113,22121211110k k k r r r r k k k k k k k k k k k −+−+−++−=−−−−−=−≠P , 即23k k ≠.故123123123636464212121k k k k k k k k k −+−+−+⎛⎫ ⎪=−−− ⎪⎪⎝⎭P ,其中123,,k k k 为任意常数,且23k k ≠.(22)【解】(Ⅰ)因为随机变量X 的概率分布为1{1}{1}2P X P X ===−=, 所以,2()0,()1,()1E X E X D X ===. 因为,Y 的分布律为e {},0,1,!k P Y k k k λλ−===,所以,()E Y λ=.因为,2(,)(,)()()()Cov X Z Cov X XY E X Y E X E XY ==−,且X 与Y 相互独立, 所以,(,)Cov X Z 22()()()()()()E X E Y E X E Y D X E Y λ=−==. (Ⅱ)利用全概率公式有,{}{}P Z k P XY k ==={1}{|1}{1}{|1}P X P XY k X P X P XY k X ====+=−==−,再由X 与Y 相互独立可得{}P Z k ={1}{}{1}{}P X P Y k P X P Y k ===+=−=−1[{}{}]2P Y k P Y k ==+=−. 当0k =时,{0}{0}e P Z P Y λ−====;当k 为正整数时,1e {}{}22!kP Z k P Y k k λλ−====⋅;当k 为负整数时,1e {}{}22()!kP Z k P Y k k λλ−−===−=⋅−.综上所述,有e ,0,{}e ,1,2.2!k k P Z k k k λλλ−−⎧=⎪==⎨=±±⎪⋅⎩(23)【解】(Ⅰ)似然函数 11111()e e22niii x nx n n i L σσσσσ=−−=∑==∏, 取对数: 11ln ()ln 2ln nii L n n xσσσ==−−−∑,求导: 21d ln ()10d nii L n xσσσσ==−+=∑,解得 1nii xnσ==∑,所以σ的最大似然估计量 1ˆnii Xnσ==∑.(Ⅱ) 111ˆ()()()e d 2xn i i E E X E X x x n σσσ−+∞−∞====∑⎰e d dexxxx x σσσ−−+∞+∞==−⎰⎰e|e d xxx x σσσ−−+∞+∞=−+=⎰;2221()()()1ˆ()()ni i D X E X E X D D X n n nσ=−===∑22220111(e d )(e d )2xx x xx x n n σσσσσσ−−+∞+∞−∞=−=−⎰⎰ 22220111(e d )(de )2xx xx x n n σσσσσ−−+∞+∞−∞=−=−−⎰⎰ 222011(2e d )(2)xx x n nσσσσ−+∞=−=−⎰2nσ=.。
2018年全国硕士研究生入学统一考试数学(一)真题及解析(江南博哥)1 [单选题]下列函数在x=0处不可导的是().A.f(x)=|x|sin|x|B.f(x)=|x|sinC.f(x)=cos|x|D.f(x)=cos正确答案:D参考解析:2 [单选题]过点(1,0,0)与(0,1,0)且与曲面z=x2+y2相切的平面方程为().A.z=0与x+y-z=1B.z=0与2x+2y-z=2C.y=x与x+y-z=1D.y=x与2x+2y-z=2正确答案:B参考解析:已知平面过A(1,0,0),B(0,1,0)两点,则x≠y是存在的,故排除C、D项,可得平面内一向量n1==(1,-1,0),曲面z=x2+y2的切平面的法向量为n2=(2x,2y,-1),由n1n2=2x-2y=0,即切点处x=y.3 [单选题]A.sin1+cos1B.2sin1+cos1C.2sin1+2cos1D.2sin1+3cos1正确答案:B参考解析:4 [单选题],则M,N,K的大小关系为().A.M>N>KB.M>K>NC.K>M>ND.K>N>M正确答案:C参考解析:5 [单选题] A.B.C.D.正确答案:A 参考解析:6 [单选题]设A,B为n阶矩阵,记r(X)为矩阵X的秩,(X,Y)表示分块矩阵,则().A.r(A,AB)=r(A)B.r(A,BA)=r(A)C.r(A,B)=max{r(A),r(B)}D.r(A,B)=r(A T,B T)正确答案:A参考解析:使用反证法.7 [单选题]设f(x)为某随机变量X的概率密度函数,则P{X<0}=().A.0.2B.0.3C.0.4D.0.5正确答案:A参考解析:8 [单选题]设总体X~N(μ,σ2),σ2已知,给定样本X1,X2,…,X n,对总体均值μ进行检验,令H0:μ=μ0,H1:μ≠μ0,则().A.若显著性水平α=0.05下拒绝H0,则α=0.01下必拒绝H0B.若显著性水平α=0.05下接受H0,则α=0.01下必拒绝H0C.若显著性水平α=0.05下拒绝H0,则α=0.01下接受H0D.若显著性水平α=0.05下接受H0,则α=0.01下也接受H0正确答案:D参考解析:9 [填空题]参考解析:-2【解析】10 [填空题]设函数f(x)具有二阶连续导函数,若y=f(x)过点(0,0),且与曲线y=2x相切于点 (1,2),则参考解析:【解析】11 [填空题]已知F(x,y,z)=xyi一yzj+xzk,则rotF(1,1,0)=_______.参考解析:【解析】12 [填空题]曲线L由x2+y2+z2=1与x+y+z=0相交而成,则参考解析:【解析】13 [填空题]二阶矩阵A有两个不同特征值,α1,α2是A的线性无关的特征向量,且A2(α1+α2)=α1+α2,则|A|=_______.参考解析:-1【解析】14 [填空题]随机事件A与B相互独立,A与C相互独立,BC=∅,P(A)=P(B)=,P(AC|AB∪c)=,则P(C)=_______.参考解析:【解析】15 [简答题]参考解析:16 [简答题]一根绳长2m,截成三段,分别折成圆、正三角形、正方形,这三段分别为多长时所得的面积总和最小?并求该最小值.参考解析:设圆的周长为x,正三角形的周长为y,正方形的周长为z,由题设知x+y+z=2.则目标函数为17 [简答题]参考解析:18 [简答题]已知微分方程y’+y=f(x),且f(x)是R上的连续函数.(I)当f(x)=x时,求微分方程的通解;(Ⅱ)当f(x)周期为T的函数时,证明:微分方程存在唯一以T为周期的解.参考解析:(I)(Ⅱ)设f(x+T)=f(x),即T是f(x)的周期.19 [简答题]参考解析:设f(x)=e x-1-x,x>0,则有20 [简答题]设实二次型f(x1,x2,x3)=(x1-x2+x3)2+(x2+x3)2+(x1+ax3)2,其中a是参数.(I)求f(x1,x2,x3)=0的解;(Ⅱ)求f(x1,x2,x3)的规范形.参考解析:解:(I)由f(x1,x2,x3)=0,得21 [简答题](Ⅰ)求a;(Ⅱ)求满足AP=B的可逆矩阵P.参考解析:(I)A与B等价,则r(a)=r(B).22 [简答题]随机变量X,Y相互独立,P{X=1}=,P{X=-1}=,Y服从参数为λ的泊松分布,令Z=XY.(I)求Cov(X,Z);(II)求Z的概率分布.参考解析:(I)23 [简答题](I)求σ的极大似然估计;(II)参考解析:解:(I)由条件可知,似然函数为(Ⅱ)。
2018年全国硕士研究生入学统一考试数学一试卷一、选择题:1~8小题,每小题4分,共32分,下列每题给出的四个选项中,只有一个选项符合题目要求的。
1、下列函数中,在0x =处不可导的是()(A )()||sin ||f x x x =(B)()||sin f x x =(C )()cos ||f x x =(D)()f x =【答案】:(D )【分析】因为对选项(A ),2200000()(0)||sin ||||lim lim lim lim lim 0(0)x x x x x f x f x x x x x f x x x x →→→→→-'======对选项(B ),000()(0)lim lim lim lim 0(0)x x x x f x f f x →→→→-'===(无穷小乘以有界量)对选项(C ),200001||()(0)cos ||112lim lim lim lim 0(0)2x x x x x f x f x x f x x x →→→→--'=====对选项(D ),0000()(0)1||2lim lim lim lim2x x x x f x f x x x x→→→→-===不存在因此选择(D )2、过点(1,0,0)与(0,1,0),且与22z x y =+相切的平面方程为()(A )0z =与1x y z +-=(B )0z =与222x y z +-=(C )y x =与1x y z +-=(D )y x =与222x y z +-=【答案】:(B )【分析】设切点坐标为(,,)x y z ,则法向量为{2,2,1}x y -,故切平面的方程为2()2()()0x X x y Y y Z z -+---=,因为平面过点(1,0,0)与(0,1,0),故法向量与向量{1,1,0}-垂直,因此有220x y -=,即y x =…………………………………………①将y x =带入22z x y =+中,有22z x =…………………………………………………②将点(1,0,0)带入平面方程有222220x x y z --+=……………………………………③由①②③可得0,0,0x y z ===或者1,1,2x y z ===带回2()2()()0x X x y Y y Z z -+---=中,可确定平面方程为0Z =或者222X Y Z +-=。
2018年全国硕士研究生入学统一考试《数学》真题
(总分150, 考试时间180分钟)
一、单项选择题:1-8小题,每小题4分,共32分.下列每题给出的四个选项中,只有一个选项符合题目要求的,请将所选项前的字母填在答题卡指定位置上
1. f(x)=sinx/x()
A 有界,奇
B 有界,偶
C 无界,奇
D 无界,偶
该问题分值: 4
答案:B
2.
A 单减少,凹
B 单减少,凸
C 单增加,凹
D 单增加,凸
该问题分值: 4
答案:D
3.
A 1/e
B 2/e
C 1+e/e2
D 2/e2
该问题分值: 4
答案:B
4. 已知Z=(x-y2)e1+xy,则|dz|(1,-1)=()
A dx+2dy
B -dx+2dy
C dx-2dy
D -dx-2dy
该问题分值: 4
答案:A
5. 设向量组α1,α2,α3与向量α1,α2等价,则()
A α1与α2线性相关
B α1与α2线性无关
C α1,α2,α3线性相关
D α1,α2,α3线性无关
该问题分值: 4
答案:C
6.
该问题分值: 4
由于矩阵形式比较简申只需要求解几个代数余子式带入验证即可,由于
7. 设随机变x,y相互独立,且x,y分别服从参数为1,2的泊松分布,则p{2x+y=2} = ()
该问题分值: 4
答案:C
8.
A Q统计量;服从分布t(10)
B Q统计量;服从分布t(9)
C Q不是统计量;服从分布t(10)
D Q统计量;服从分布t(9)
该问题分值: 4
答案:D。