高铁动车时刻表模板
- 格式:xlsx
- 大小:10.09 KB
- 文档页数:1
广深动车组时刻表广州——深圳车次, 始发站, 终点站, 车辆类型, 发站, 发时, 到站, 到时, 停站, 历时, 硬座, 软座D7001 广州深圳动车组广州 06:08 深圳 07:26 5 01:18 46 55D7027 广州东深圳动车组广州东 06:32 深圳 07:38 4 01:06 43 52D7053 广州东深圳动车组广州东 06:46 深圳 07:52 4 01:06 43 52D7079 广州东深圳动车组广州东 07:00 深圳 08:06 4 01:06 43 52D7105 广州深圳动车组广州 07:00 深圳 08:18 5 01:18 46 55D7131 广州东深圳动车组广州东 07:22 深圳 08:28 4 01:06 43 52D7143 广州东深圳动车组广州东 07:32 深圳 08:38 4 01:06 43 52D7155 广州东深圳动车组广州东 07:42 深圳 08:48 4 01:06 43 52D7015 广州深圳动车组广州 07:45 深圳 09:06 5 01:21 46 55D7041 广州东深圳动车组广州东 07:52 深圳 08:58 4 01:06 43 52D7067 广州深圳动车组广州 08:12 深圳 09:30 5 01:18 46 55D7119 广州东深圳动车组广州东 08:16 深圳 09:22 4 01:06 43 52D7177 广州东深圳动车组广州东 08:32 深圳 09:38 4 01:06 43 52D7093 广州东深圳动车组广州东 08:40 深圳 09:46 4 01:06 43 52D7167 广州东深圳动车组广州东 08:50 深圳 09:56 4 01:06 43 52D7189 广州东深圳动车组广州东 08:58 深圳 10:04 4 01:06 43 52D7003 广州深圳动车组广州 09:08 深圳 10:26 5 01:18 46 55D7029 广州东深圳动车组广州东 09:10 深圳 10:16 4 01:06 43 52D7055 广州东深圳动车组广州东 09:28 深圳 10:34 4 01:06 43 52D7081 广州东深圳动车组广州东 09:38 深圳 10:44 4 01:06 43 52D7107 广州东深圳动车组广州东 09:48 深圳 10:54 4 01:06 43 52D7133 广州东深圳动车组广州东 09:58 深圳 11:04 4 01:06 43 52D7145 广州东深圳动车组广州东 10:16 深圳 11:22 4 01:06 43 52D7043 广州东深圳动车组广州东 10:28 深圳 11:34 4 01:06 43 52D7157 广州深圳动车组广州 10:30 深圳 11:50 5 01:20 46 55D7121 广州东深圳动车组广州东 10:52 深圳 11:58 4 01:06 43 52 D7179 广州东深圳动车组广州东 11:08 深圳 12:14 4 01:06 43 52 D7069 广州深圳动车组广州 11:12 深圳 12:32 5 01:20 46 55D7095 广州东深圳动车组广州东 11:16 深圳 12:22 4 01:06 43 52 D7169 广州东深圳动车组广州东 11:34 深圳 12:40 4 01:06 43 52 D7031 广州东深圳动车组广州东 11:46 深圳 12:52 4 01:06 43 52 D7191 广州深圳动车组广州 11:46 深圳 13:04 5 01:18 46 55D7057 广州东深圳动车组广州东 12:06 深圳 13:12 4 01:06 43 52 D7005 广州深圳动车组广州 12:12 深圳 13:31 5 01:19 46 55D7083 广州东深圳动车组广州东 12:16 深圳 13:24 4 01:08 43 52 D7109 广州东深圳动车组广州东 12:35 深圳 13:41 4 01:06 43 52 D7135 广州深圳动车组广州 12:50 深圳 14:10 5 01:20 46 55D7147 广州东深圳动车组广州东 12:54 深圳 14:00 4 01:06 43 52 D7019 广州东深圳动车组广州东 13:14 深圳 14:20 4 01:06 43 52 D7159 广州东深圳动车组广州东 13:22 深圳 14:28 4 01:06 43 52 D7045 广州深圳动车组广州 13:28 深圳 14:46 5 01:18 46 55D7123 广州东深圳动车组广州东 13:32 深圳 14:38 4 01:06 43 52 D7097 广州东深圳动车组广州东 13:58 深圳 15:04 4 01:06 43 52 D7181 广州深圳动车组广州 14:00 深圳 15:20 5 01:20 46 55D7071 广州东深圳动车组广州东 14:06 深圳 15:12 4 01:06 43 52 D7033 广州东深圳动车组广州东 14:22 深圳 15:28 4 01:06 43 52 D7171 广州深圳动车组广州 14:26 深圳 15:48 5 01:22 46 55D7193 广州东深圳动车组广州东 14:34 深圳 15:40 4 01:06 43 52 D7059 广州东深圳动车组广州东 14:52 深圳 15:58 4 01:06 43 52 D7085 广州东深圳动车组广州东 15:00 深圳 16:06 4 01:06 43 52 D7111 广州东深圳动车组广州东 15:11 深圳 16:17 4 01:06 43 52 D7007 广州深圳动车组广州 15:16 深圳 16:35 5 01:19 46 55D7215 广州东深圳动车组广州东 15:21 深圳 16:27 4 01:06 43 52 D7149 广州东深圳动车组广州东 15:38 深圳 16:44 4 01:06 43 52 D7137 广州东深圳动车组广州东 15:46 深圳 16:52 4 01:06 43 52 D7161 广州东深圳动车组广州东 15:58 深圳 17:04 4 01:06 43 52 D7021 广州深圳动车组广州 16:04 深圳 17:22 5 01:18 46 55D7125 广州东深圳动车组广州东 16:08 深圳 17:14 4 01:06 43 52 D7047 广州东深圳动车组广州东 16:24 深圳 17:30 4 01:06 43 52 D7073 广州东深圳动车组广州东 16:42 深圳 17:48 4 01:06 43 52 D7099 广州深圳动车组广州 16:46 深圳 17:52 2 01:06 46 55D7183 广州东深圳动车组广州东 16:50 深圳 18:02 4 01:12 43 52D7173 广州东深圳动车组广州东 17:20 深圳 18:26 4 01:06 43 52 D7061 广州东深圳动车组广州东 17:28 深圳 18:34 4 01:06 43 52 D7087 广州东深圳动车组广州东 17:36 深圳 18:42 4 01:06 43 52 D7195 广州深圳动车组广州 17:40 深圳 19:01 5 01:21 46 55D7113 广州东深圳动车组广州东 17:47 深圳 18:53 4 01:06 43 52 D7151 广州东深圳动车组广州东 18:04 深圳 19:10 4 01:06 43 52 D7009 广州东深圳动车组广州东 18:14 深圳 19:20 4 01:06 43 52 D7217 广州深圳动车组广州 18:18 深圳 19:41 5 01:23 46 55D7139 广州东深圳动车组广州东 18:24 深圳 19:30 4 01:06 43 52 D7127 广州东深圳动车组广州东 18:44 深圳 19:50 4 01:06 43 52 D7163 广州深圳动车组广州 18:48 深圳 20:06 5 01:18 46 55D7023 广州东深圳动车组广州东 18:52 深圳 19:58 4 01:06 43 52 D7049 广州东深圳动车组广州东 19:08 深圳 20:14 4 01:06 43 52 D7075 广州东深圳动车组广州东 19:18 深圳 20:24 4 01:06 43 52 D7101 广州东深圳动车组广州东 19:26 深圳 20:32 4 01:06 43 52 D7185 广州东深圳动车组广州东 19:36 深圳 20:42 4 01:06 43 52 D7175 广州东深圳动车组广州东 19:56 深圳 21:02 4 01:06 43 52 D7037 广州深圳动车组广州 19:56 深圳 21:18 5 01:22 46 55D7063 广州东深圳动车组广州东 20:04 深圳 21:10 4 01:06 43 52 D7089 广州东深圳动车组广州东 20:20 深圳 21:26 4 01:06 43 52 D7115 广州东深圳动车组广州东 20:30 深圳 21:36 4 01:06 43 52 D7197 广州东深圳动车组广州东 20:40 深圳 21:46 4 01:06 43 52 D7011 广州东深圳动车组广州东 20:50 深圳 21:56 4 01:06 43 52 D7153 广州深圳动车组广州 20:52 深圳 22:14 5 01:22 46 55D7141 广州东深圳动车组广州东 21:00 深圳 22:06 4 01:06 43 52 D7219 广州东深圳动车组广州东 21:16 深圳 22:23 4 01:07 43 52 D7129 广州东深圳动车组广州东 21:24 深圳 22:30 4 01:06 43 52 D7025 广州东深圳动车组广州东 21:36 深圳 22:42 4 01:06 43 52 D7165 广州深圳动车组广州 21:48 深圳 23:08 5 01:20 46 55 D7187 广州东深圳动车组广州东 22:20 深圳 23:26 4 01:06 43 52 D7065 广州东深圳动车组广州东 22:42 深圳 23:48 4 01:06 43 52 D7039 广州东深圳动车组广州东 22:52 深圳 23:58 4 01:06 43 52 D7091 广州东深圳动车组广州东 23:02 深圳 00:08 4 01:06 43 52深圳——广州车次, 始发站, 终点站, 车辆类型, 发站, 发时, 到站, 到时, 停站, 历时, 硬座, 软座D7014 深圳广州动车组深圳 06:15 广州 07:33 5 01:18 46 55D7040 深圳广州东动车组深圳 06:30 广州东 07:38 4 01:08 43 52D7066 深圳广州动车组深圳 06:42 广州 08:00 5 01:18 46 55D7118 深圳广州东动车组深圳 06:57 广州东 08:04 4 01:07 43 52D7092 深圳广州东动车组深圳 07:10 广州东 08:16 4 01:06 43 52D7166 深圳广州东动车组深圳 07:20 广州东 08:26 4 01:06 43 52D7188 深圳广州东动车组深圳 07:30 广州东 08:36 4 01:06 43 52D7002 深圳广州动车组深圳 07:38 广州 08:56 5 01:18 46 55D7028 深圳广州东动车组深圳 07:50 广州东 08:56 4 01:06 43 52D7054 深圳广州东动车组深圳 08:08 广州东 09:14 4 01:06 43 52D7080 深圳广州东动车组深圳 08:20 广州东 09:26 4 01:06 43 52D7106 深圳广州东动车组深圳 08:30 广州东 09:36 4 01:06 43 52D7132 深圳广州东动车组深圳 08:40 广州东 09:46 4 01:06 43 52D7144 深圳广州东动车组深圳 08:50 广州东 09:56 4 01:06 43 52D7156 深圳广州动车组深圳 09:00 广州 10:18 5 01:18 46 55D7042 深圳广州东动车组深圳 09:10 广州东 10:16 4 01:06 43 52D7016 深圳广州东动车组深圳 09:18 广州东 10:24 4 01:06 43 52D7120 深圳广州东动车组深圳 09:34 广州东 10:40 4 01:06 43 52D7068 深圳广州动车组深圳 09:42 广州 11:00 5 01:18 46 55D7178 深圳广州东动车组深圳 09:50 广州东 10:56 4 01:06 43 52D7094 深圳广州东动车组深圳 09:58 广州东 11:04 4 01:06 43 52D7168 深圳广州东动车组深圳 10:08 广州东 11:14 4 01:06 43 52D7190 深圳广州动车组深圳 10:16 广州 11:34 5 01:18 46 55D7030 深圳广州东动车组深圳 10:28 广州东 11:34 4 01:06 43 52D7004 深圳广州动车组深圳 10:38 广州 11:59 5 01:21 46 55D7056 深圳广州东动车组深圳 10:46 广州东 11:52 4 01:06 43 52D7108 深圳广州东动车组深圳 11:06 广州东 12:12 4 01:06 43 52 D7134 深圳广州动车组深圳 11:16 广州 12:34 5 01:18 46 55D7146 深圳广州东动车组深圳 11:34 广州东 12:42 4 01:08 43 52 D7044 深圳广州动车组深圳 11:46 广州 13:12 5 01:26 46 55D7018 深圳广州东动车组深圳 11:54 广州东 13:00 4 01:06 43 52 D7158 深圳广州东动车组深圳 12:02 广州东 13:08 4 01:06 43 52 D7122 深圳广州东动车组深圳 12:10 广州东 13:16 4 01:06 43 52 D7180 深圳广州动车组深圳 12:26 广州 13:46 5 01:20 46 55D7096 深圳广州东动车组深圳 12:34 广州东 13:40 4 01:06 43 52 D7070 深圳广州东动车组深圳 12:44 广州东 13:50 4 01:06 43 52 D7170 深圳广州动车组深圳 12:52 广州 14:13 5 01:21 46 55D7032 深圳广州东动车组深圳 13:04 广州东 14:10 4 01:06 43 52 D7192 深圳广州东动车组深圳 13:16 广州东 14:22 4 01:06 43 52 D7058 深圳广州东动车组深圳 13:26 广州东 14:32 4 01:06 43 52 D7084 深圳广州东动车组深圳 13:36 广州东 14:42 4 01:06 43 52 D7006 深圳广州动车组深圳 13:43 广州 15:02 5 01:19 46 55D7110 深圳广州东动车组深圳 13:53 广州东 14:59 4 01:06 43 52 D7148 深圳广州东动车组深圳 14:12 广州东 15:18 4 01:06 43 52 D7136 深圳广州东动车组深圳 14:22 广州东 15:28 4 01:06 43 52 D7020 深圳广州动车组深圳 14:32 广州 15:50 5 01:18 46 55D7160 深圳广州东动车组深圳 14:40 广州东 15:46 4 01:06 43 52 D7124 深圳广州东动车组深圳 14:50 广州东 15:56 4 01:06 43 52 D7046 深圳广州东动车组深圳 14:58 广州东 16:04 4 01:06 43 52 D7098 深圳广州动车组深圳 15:16 广州 16:34 5 01:18 46 55D7072 深圳广州东动车组深圳 15:24 广州东 16:30 4 01:06 43 52 D7182 深圳广州东动车组深圳 15:32 广州东 16:38 4 01:06 43 52 D7034 深圳广州东动车组深圳 15:42 广州东 16:48 4 01:06 43 52 D7194 深圳广州动车组深圳 15:52 广州 17:21 5 01:29 46 55D7172 深圳广州东动车组深圳 16:00 广州东 17:06 4 01:06 43 52 D7060 深圳广州东动车组深圳 16:10 广州东 17:16 4 01:06 43 52 D7086 深圳广州东动车组深圳 16:18 广州东 17:24 4 01:06 43 52 D7112 深圳广州东动车组深圳 16:29 广州东 17:35 4 01:06 43 52 D7216 深圳广州动车组深圳 16:39 广州 18:05 5 01:26 46 55D7008 深圳广州东动车组深圳 16:50 广州东 18:02 4 01:12 43 52 D7150 深圳广州东动车组深圳 17:00 广州东 17:52 1 00:52 43 52 D7138 深圳广州东动车组深圳 17:06 广州东 18:12 4 01:06 43 52 D7162 深圳广州动车组深圳 17:16 广州 18:36 5 01:20 46 55D7126 深圳广州东动车组深圳 17:26 广州东 18:32 4 01:06 43 52D7048 深圳广州东动车组深圳 17:42 广州东 18:48 4 01:06 43 52 D7074 深圳广州东动车组深圳 18:00 广州东 19:06 4 01:06 43 52 D7100 深圳广州东动车组深圳 18:08 广州东 19:14 4 01:06 43 52 D7184 深圳广州东动车组深圳 18:16 广州东 19:22 4 01:06 43 52 D7036 深圳广州动车组深圳 18:26 广州 19:44 5 01:18 46 55D7174 深圳广州东动车组深圳 18:38 广州东 19:44 4 01:06 43 52 D7062 深圳广州东动车组深圳 18:46 广州东 19:52 4 01:06 43 52 D7088 深圳广州东动车组深圳 18:55 广州东 20:01 4 01:06 43 52 D7114 深圳广州东动车组深圳 19:05 广州东 20:11 4 01:06 43 52 D7196 深圳广州东动车组深圳 19:13 广州东 20:19 4 01:06 43 52 D7152 深圳广州动车组深圳 19:22 广州 20:40 5 01:18 46 55D7010 深圳广州东动车组深圳 19:32 广州东 20:38 4 01:06 43 52 D7140 深圳广州东动车组深圳 19:42 广州东 20:48 4 01:06 43 52 D7218 深圳广州东动车组深圳 19:53 广州东 21:00 4 01:07 43 52 D7128 深圳广州东动车组深圳 20:02 广州东 21:08 4 01:06 43 52 D7024 深圳广州东动车组深圳 20:10 广州东 21:16 4 01:06 43 52 D7164 深圳广州动车组深圳 20:18 广州 21:36 5 01:18 46 55D7050 深圳广州东动车组深圳 20:26 广州东 21:32 4 01:06 43 52 D7076 深圳广州东动车组深圳 20:36 广州东 21:42 4 01:06 43 52 D7102 深圳广州东动车组深圳 20:44 广州东 21:50 4 01:06 43 52 D7186 深圳广州东动车组深圳 20:54 广州东 22:00 4 01:06 43 52 D7176 深圳广州东动车组深圳 21:14 广州东 22:20 4 01:06 43 52 D7064 深圳广州东动车组深圳 21:22 广州东 22:29 4 01:07 43 52 D7038 深圳广州东动车组深圳 21:30 广州东 22:36 4 01:06 43 52 D7090 深圳广州东动车组深圳 21:38 广州东 22:44 4 01:06 43 52 D7198 深圳广州东动车组深圳 21:58 广州东 23:04 4 01:06 43 52 D7142 深圳广州东动车组深圳 22:18 广州东 23:24 4 01:06 43 52 D7154 深圳广州东动车组深圳 22:26 广州东 23:32 4 01:06 43 52 D7220 深圳广州东动车组深圳 22:35 广州东 23:42 4 01:07 43 52 D7130 深圳广州东动车组深圳 22:44 广州东 23:50 4 01:06 43 52 D7026 深圳广州东动车组深圳 22:54 广州东 00:00 4 01:06 43 52。
车次起始车站到达车站发车时间到站时间行车时间硬座软座硬卧下软卧下始发站-终点站类型K552杭州南京20:44 01:57 5小时13分钟116 - 215 326 温州-哈尔滨快速K102杭州南京19:55 01:23 5小时28分钟116 - 215 326 温州-北京快速T178杭州南京18:44 00:37 5小时53分钟70 - 131 195 杭州-济南特快G7390杭州南京17:23 20:08 2小时45分钟- - - - 杭州-南京高速T282杭州南京17:10 23:03 5小时53分钟70 - 131 195 杭州-包头特快G7388杭州南京16:09 18:54 2小时45分钟- - - - 杭州-南京高速1342杭州南京14:11 21:55 7小时44分钟62 - 123 187杭州-齐齐哈尔普快T34杭州南京14:05 20:21 6小时16分钟70 - 131 195 杭州-天津特快K906杭州南京12:32 19:37 7小时5分钟 63 - 118 175 杭州-太原快速G7386杭州南京11:38 14:47 3小时9分钟 - - - - 杭州-南京高速T112杭州南京10:29 15:40 5小时11分钟63 - 118 175 杭州-兰州特快G7384杭州南京10:09 13:07 2小时58分钟- - - - 杭州-南京高速T7786杭州南京08:43 14:04 5小时21分钟- - - - 义乌-泰州特快G7382杭州南京08:14 11:21 3小时7分钟 - - - - 杭州-南京高速1034杭州南京02:00 07:30 5小时30分钟76 - 151 234金华西-沈阳北普快K8458杭州南南京19:42 03:03 7小时21分钟106 - 197 298 江山-徐州快速K76杭州南南京19:12 01:49 6小时37分钟92 - 170 254宁波东-吉林西快速2582杭州南南京19:02 02:24 7小时22分钟83 - 164 253 金华西-烟台普快K8372杭州南南京18:47 02:17 7小时30分钟106 - 197 298 江山-淮北快速K8402杭州南南京17:33 01:43钟120 - 222 338 温州-亳州速D5590杭州南南京16:37 20:44 4小时7分钟 - - - - 温州南-南京动车K528杭州南南京02:13 08:14 6小时1分钟 238 - 430 658 广州-南京西快速K528杭州南南京西02:13 08:38 6小时25分钟238 - 430 658 广州-南京西快速2002杭州南南京01:49 08:20 6小时31分钟145 - 281 438 福州-南京西普快2002杭州南南京西01:49 08:48 6小时59分钟145 - 281 438 福州-南京西普快K75南京杭州南21:08 02:54 5小时46分钟281 - 509 783吉林西-宁波东快速1033南京杭州20:52 04:29 7小时37分钟216 - 417 657沈阳北-金华西普快K551南京杭州20:22 01:32 5小时10分钟288 - 519 799 哈尔滨-温州快速G7389南京杭州19:25 22:13 2小时48分钟- - - - 南京-杭州高速K8401南京杭州南17:23 01:53 8小时30分钟130 - 239 365 亳州-温州快速G7387南京杭州15:22 18:18 2小时56分钟- - - - 南京-杭州高速K101南京杭州14:15 21:14 6小时59分钟191 - 345 529 北京-温州快速G7385南京杭州13:52 16:40 2小时48分钟- - - - 南京-杭州高速T7785南京杭州13:45 20:38 6小时53分钟- - - - 泰州-杭州特快2001南京杭州南12:42 20:23 7小时41分钟64 - 128 196 南京西-福州普快G7383南京杭州11:43 14:40 2小时57分钟- - - - 南京-杭州高速T111南京杭州11:06 17:01 5小时55分钟253 - 458 705 兰州-杭州特快T281南京杭州09:33 15:35 6小时2分钟 266 - 480 738 包头-杭州特快D5589南京杭州南08:58 13:09 4小时11分钟- - - - 南京-温州南动车G7381南京杭州07:52 10:40钟- - - - 南京-杭州速2593南京杭州06:58 13:28 6小时30分钟- - 246 383 郑州-杭州普快T33南京杭州02:54 09:59 7小时5分钟 182 - 333 511 天津-杭州特快2581南京杭州南02:39 10:07 7小时28分钟176 - 339 530 烟台-金华西普快K905南京杭州02:36 09:14 6小时38分钟200 - 363 554 太原-杭州快速K8457南京杭州南02:04 09:45 7小时41分钟113 - 209 316 徐州-江山快速1341南京杭州01:52 09:32 7小时40分钟261 - 501 790齐齐哈尔-杭州普快K8371南京杭州南00:59 08:24 7小时25分钟113 - 209 316 淮北-江山快速K527南京杭州南00:14 06:28 6小时14分钟73 - 137 205 南京西-广州快速K527南京西杭州南23:50 06:28 6小时38分钟73 - 137 205 南京西-广州快速2001南京西杭州南12:10 20:23 8小时13分钟64 - 128 196 南京西-福州普快往返义乌与杭州共有114列列车车次起始车站到达车站发车时间到站时间行车时间硬座软座硬卧下软卧下始发站-终点站类型K551杭州义乌01:38 02:54 1小时16分钟296 - 536 825 哈尔滨-温州快速1033杭州义乌04:37 06:22 1小时45分钟227 - 437 690 沈阳北-金华西普快K8491杭州义乌05:57 07:32 1小时35分钟106 166 197 298 阜阳-温州快速K8555杭州义乌06:16 07:42 1小时26分钟116 - 215 326 徐州-温州快速D5691杭州义乌07:20 08:15 55分钟- - - - 杭州-江山动车D5651杭州义乌08:40 09:37 57分钟- - - - 上海虹桥-义乌动D5689杭州义乌09:02 09:58 56分钟- - - - 上海虹桥-衢州动车2249杭州义乌09:22 11:23 2小时1分钟 19 - - - 杭州-厦门普快K425杭州义乌09:51 11:32 1小时41分钟22 - - - 杭州-重庆北快速K539杭州义乌14:24 16:03 1小时39分钟22 - - - 杭州-贵阳快速K8383杭州义乌14:45 16:30 1小时45分钟22 34 - - 杭州-温州快速D5663杭州义乌15:20 16:12 52分钟- - - - 上海虹桥-金华西动车K209杭州义乌15:25 16:52 1小时27分钟47 - - - 宁波东-广州快速1245杭州义乌15:51 18:08 2小时17分钟24 - - - 宁波东-重庆普快D5653杭州义乌16:58 17:55 57分钟- - - - 上海虹桥-义乌动车1533杭州义乌18:58 20:42 1小时44分钟19 - - - 杭州-武昌普快2185杭州义乌19:13 21:31 2小时18分钟19 - - - 杭州-南昌普快D95杭州义乌19:40 20:31 51分钟- - - - 杭州-南昌动车K8537杭州义乌20:37 22:07 1小时30分钟79 124 149 224 池州-温州快速K101杭州义乌21:21 22:44 1小时23分钟203 - 369 568 北京-温州快速K529杭州义乌22:20 23:43 1小时23分钟22 - - - 杭州-成都快速K8401杭州南义乌02:01 03:05 1小时4分钟 143 - 263 400 亳州-温州快速K527杭州南义乌06:33 07:50 1小时17分钟87 - 162 245 南京西-广州快速K8371杭州南义乌08:27 09:48 1小时21分钟125 - 231 352 淮北-江山快速K833杭州南义乌08:51 10:16 1小时25分钟47 - - - 上海南-贵阳快速K8457杭州南义乌09:51 10:55 1小时4分钟 125 - 231 352 徐州-江山快2581杭州南义乌10:16 11:39 1小时23分钟184 - 355 560 烟台-金华西普快K149杭州南义乌11:05 12:17 1小时12分钟47 - - - 上海南-湛江快速2135杭州南义乌11:44 12:53 1小时9分钟 41 - - - 上海南-南昌普快D97杭州南义乌12:24 12:59 35分钟- - - - 上海虹桥-南昌动车T169杭州南义乌13:20 14:14 54分钟47 - - - 上海南-广州特快K533杭州南义乌13:53 15:20 1小时27分钟47 - - - 上海南-怀化快速T211杭州南义乌14:07 14:57 50分钟47 - - - 上海南-深圳特快K163杭州南义乌14:58 16:36 1小时38分钟47 - - - 上海南-福州快速K1209杭州南义乌15:08 17:50 2小时42分钟47 - - - 上海南-广州快速K751杭州南义乌15:20 17:16 1小时56分钟47 - - - 上海南-麻城快速D93杭州南义乌15:44 16:19 35分钟- - - - 上海虹桥-南昌动车K71杭州南义乌16:00 17:22 1小时22分钟47 - - - 上海南-重庆北快速K123杭州南义乌16:11 17:29 1小时18分钟47 - - - 上海南-襄樊快速K575杭州南义乌16:40 18:17 1小时37分钟47 - - - 上海南-邵阳快速D109杭州南义乌16:56 17:35 39分钟- - - - 上海虹桥-长沙动车K807杭州南义乌17:31 19:02 1小时31分钟47 - - - 上海南-怀化快速K253杭州南义乌18:03 19:09 1小时6分钟 47 - - - 上海南-宜昌快速K111杭州南义乌18:15 19:14 59分钟47 - - - 上海南-贵阳快速K181杭州南义乌18:24 19:27 1小时3分钟 47 - - - 上海南-昆明快速K759杭州南义乌18:41 19:57 1小时16分47 - - - 上海南-衡阳快钟速K859杭州南义乌19:00 20:11 1小时11分钟47 - - - 上海南-桂林快速K537杭州南义乌19:06 20:05 59分钟47 - - - 上海南-南宁快速1373杭州南义乌19:28 20:48 1小时20分钟41 - - - 上海南-怀化普快K469杭州南义乌19:38 21:07 1小时29分钟63 - 118 175 苏州-赣州快速K351杭州南义乌20:18 21:23 1小时5分钟 47 - - - 上海南-成都快速2001杭州南义乌20:31 21:42 1小时11分钟76 - 151 234 南京西-福州普快K271杭州南义乌20:52 21:51 59分钟47 - - - 上海南-井冈山快速K79杭州南义乌21:00 22:14 1小时14分钟47 - - - 上海南-昆明快速K11杭州南义乌21:48 22:58 1小时10分钟47 - - - 上海南-武昌快速K739杭州南义乌22:09 23:23 1小时14分钟47 - - - 上海南-昆明快速K197杭州南义乌23:04 00:37 1小时33分钟47 - - - 上海南-龙岩快速1034义乌杭州00:07 01:45 1小时38分钟27 - - - 金华西-沈阳北普快2002义乌杭州南00:14 01:46 1小时32分钟94 - 185 286 福州-南京西普快1246义乌杭州00:36 02:07 1小时31分钟124 - 428 - 重庆-宁波东普快K8538义乌杭州00:57 02:33 1小时36分钟65 101 123 183 温州-池州快速K528义乌杭州南01:03 02:07 1小时4分钟 191 - 345 529 广州-南京西快速2136义乌杭州南01:17 02:19 1小时2分钟 76 - 151 234 南昌-上海南普快K80义乌杭州南01:34 02:37 1小时3分钟 266 - 480 738 昆明-上海南快速K150义乌杭州南02:44 03:51 1小时7分钟 219 - 399 613 湛江-上海南快速K12义乌杭州南03:31 04:38 1小时7分钟 130 - 239 365 武昌-上海南快K8492义乌杭州03:39 05:05 1小时26分钟65 101 123 183 温州-阜阳快速1534义乌杭州03:45 05:19 1小时34分钟115 - 224 350 武昌-杭州普快1252义乌杭州南03:51 05:01 1小时10分钟223 - 428 675 重庆-上海南普快K164义乌杭州南03:58 05:22 1小时24分钟106 - 197 298 福州-上海南快速T212义乌杭州南04:14 05:12 58分钟179 - 327 499 深圳-上海南特快2186义乌杭州05:08 07:00 1小时52分钟81 - 159 243 南昌-杭州普快Z48义乌杭州05:19 06:21 1小时2分钟 130 - 239 365 武昌-杭州直特K470义乌杭州南05:29 06:37 1小时8分钟 130 - 239 365 赣州-苏州快速K760义乌杭州南05:36 06:46 1小时10分钟140 - 257 390 衡阳-上海南快速T170义乌杭州南05:52 06:55 1小时3分钟 191 - 345 529 广州-上海南特快2250义乌杭州06:12 08:20 2小时8分钟 132 - 256 399 厦门-杭州普快K752义乌杭州南06:18 07:31 1小时13分钟140 - 257 390 汉口-上海南快速K534义乌杭州南06:30 07:38 1小时8分钟 194 - 353 539 怀化-上海南快速K1210义乌杭州南06:55 08:39 1小时44分钟203 - 369 568 深圳-上海南快速K426义乌杭州07:05 09:01 1小时56分钟226 - 409 627 重庆北-杭州快速T7786义乌杭州07:26 08:36 1小时10分钟- - - - 义乌-泰州特快K576义乌杭州南07:43 09:01 1小时18分钟150 - 274 417 邵阳-上海南快速K124义乌杭州南07:58 09:07 1小时9分钟 179 - 327 499 十堰-上海南快速K182义乌杭州南08:10 09:21 1小时11分钟288 - 519 799 昆明-上海南快速K72义乌杭州南08:25 09:30 1小时5分钟 226 - 409 627 重庆北-上海南快K210义乌杭州08:36 10:27 1小时51分钟194 - 353 539 广州-宁波东快速K112义乌杭州南08:46 09:55 1小时9分钟 208 - 379 584 贵阳-上海南快速K808义乌杭州南08:56 10:04 1小时8分钟 170 - 309 472 怀化-上海南快速K254义乌杭州南09:24 10:32 1小时8分钟 200 - 363 554 宜昌-上海南快速K352义乌杭州南09:41 10:58 1小时17分钟257 - 467 720 成都-上海南快速K530义乌杭州09:49 12:24 2小时35分钟281 - 509 783 成都-杭州快速D5652义乌杭州10:00 11:01 1小时1分钟 - - - - 义乌-上海虹桥动车K740义乌杭州南10:55 12:27 1小时32分钟271 - 490 754 昆明-上海南快速K540义乌杭州11:13 13:01 1小时48分钟215 - 390 600 贵阳-杭州快速D92义乌杭州南11:31 12:12 41分钟- - - - 南昌-上海虹桥动车K538义乌杭州南11:48 12:56 1小时8分钟 215 - 390 600 南宁-上海南快速1374义乌杭州南11:59 13:28 1小时29分钟171 - 330 516 怀化-上海南普快D5690义乌杭州12:32 13:30 58分钟- - - - 衢州-上海虹桥动车K860义乌杭州南12:37 13:39 1小时2分钟 175 - 319 486 桂林-上海南快速K8384义乌杭州12:43 14:12 1小时29分钟65 101 123 - 温州-杭州快速K198义乌杭州南12:49 13:57 1小时8分钟 125 - 231 352 龙岩-上海南快速K8402义乌杭州南16:25 17:26 1小时1分钟 65 - 123 183 温州-亳州快速D5664义乌杭州17:26 18:28 1小时2分钟 - - - - 金华西-上海虹桥动车K8372义乌杭州南17:30 18:43 1小时13分钟44 - - - 江山-淮北快速2582义乌杭州南17:36 18:56 1小时20分26 - - - 金华西-烟台普钟快K102义乌杭州17:43 19:46 2小时3分钟 65 - 123 183 温州-北京快速D5692义乌杭州17:54 18:57 1小时3分钟 - - - - 江山-杭州动车D5654义乌杭州18:15 19:16 1小时1分钟 - - - - 义乌-上海虹桥动车D96义乌杭州18:25 19:22 57分钟- - - - 南昌-杭州动车K8458义乌杭州南18:31 19:36 1小时5分钟 44 - - - 江山-徐州快速K552义乌杭州19:06 20:36 1小时30分钟65 - 123 183 温州-哈尔滨快速D98义乌杭州南19:58 20:37 39分钟- - - - 南昌-上海虹桥动车K8556义乌杭州20:55 22:24 1小时29分钟65 - 123 183 温州-徐州快速车次起始车站到达车站发车时间到站时间行车时间硬座软座硬卧下软卧下始发站-终点站类型K75南京上海南21:08 00:40 3小时32分钟266 - 480 738吉林西-宁波东快速G7031南京上海21:00 22:15 1小时15分钟- - - - 南京-上海高速D3067南京上海虹桥20:40 22:532小时13分钟- - - -武昌-上海虹桥动车D3001南京上海虹桥20:35 22:40 2小时5分钟 - - - -汉口-上海虹桥动车G7087南京上海20:20 22:10 1小时50分钟- - - - 南京-上海高速D3059南京上海虹桥20:06 22:242小时18分钟- - - -汉口-上海虹桥动车D3017南京上海虹桥20:01 22:05 2小时4分钟 - - - -武昌-上海虹桥动车G7029南京上海20:00 21:15 1小时15分钟- - - - 南京-上海高速G7161南京上海虹桥19:45 21:401小时55分钟- - - -南京-上海虹桥高速G7389南京上海虹19:25 21:10 1小时45分- - - - 南京-杭州高桥钟速D181南京上海19:22 21:56 2小时34分钟- - - - 郑州-上海动车G7085南京上海西19:20 21:01 1小时41分钟- - - - 南京-上海高速G7085南京上海19:20 21:09 1小时49分钟- - - - 南京-上海高速D31南京上海19:14 21:23 2小时9分钟 - - - - 北京南-上海动车D81南京上海19:09 21:43 2小时34分钟- - - - 郑州-上海动车G7159南京上海虹桥19:05 20:571小时52分钟- - - -南京-上海虹桥高速D5485南京上海虹桥19:04 21:542小时50分钟- - - -六安-上海虹桥动车G7107南京上海虹桥19:00 20:131小时13分钟- - - -南京-上海虹桥高速D195南京上海18:47 21:11 2小时24分钟- - - - 沈阳北-上海动车G7157南京上海虹桥18:40 20:381小时58分钟- - - -南京-上海虹桥高速D75南京上海18:30 20:44 2小时14分钟- - - - 青岛-上海动车G7083南京上海18:24 20:21 1小时57分钟- - - - 南京-上海高速G7027南京上海18:00 19:15 1小时15分钟- - - - 南京-上海高速G7155南京上海虹桥17:51 19:501小时59分钟- - - -南京-上海虹桥高速G7081南京上海17:28 19:21 1小时53分钟- - - - 南京-上海高速K8401南京上海南17:23 23:49 6小时26分钟106 - 197 298 亳州-温州快速G7153南京上海虹桥17:16 18:591小时43分钟- - - -南京-上海虹桥高速G7079南京上海17:08 18:51 1小时43分钟- - - - 南京-上海高速K8365南京上海17:03 22:16 5小时13分钟94 - 175 - 阜阳-上海快速G7105南京上海虹17:00 18:13 1小时13分- - - - 南京-上海虹高D5473南京上海16:47 19:10 2小时23分钟- - - - 徐州-上海动车G7151南京上海虹桥16:35 18:341小时59分钟- - - -南京-上海虹桥高速G7025南京上海16:30 17:45 1小时15分钟- - - - 南京-上海高速D29南京上海16:28 18:52 2小时24分钟- - - - 北京南-上海动车K8433南京上海16:16 21:02 4小时46分钟92 - 170 254 安庆-上海快速D3021南京上海虹桥16:09 18:252小时16分钟- - - -武汉-上海虹桥动车G7149南京上海虹桥16:05 18:041小时59分钟- - - -南京-上海虹桥高速G7023南京上海16:00 17:23 1小时23分钟- - - - 南京-上海高速G7077南京上海15:52 17:51 1小时59分钟- - - - 南京-上海高速G7021南京上海15:30 16:45 1小时15分钟- - - - 南京-上海高速G7387南京上海虹桥15:22 17:161小时54分钟- - - - 南京-杭州高速K8361南京上海15:11 20:12 5小时1分钟 94 - 175 264 阜阳-上海快速G7075南京上海15:08 16:59 1小时51分钟- - - - 南京-上海高速G7103南京上海虹桥15:00 16:131小时13分钟- - - -南京-上海虹桥高速K8431南京上海14:51 19:23 4小时32分钟87 - 162 - 淮北-上海快速G7073南京上海14:45 16:38 1小时53分钟- - - - 南京-上海高速K8377南京上海14:44 22:03 7小时19分钟79 - 149 - 淮南-上海快速0000南京上海14:37 18:37 4小时0分钟 213 - 409 642 通辽-上海普快1227南京上海14:37 18:37 4小时0分钟 193 - 373 587 阜新-上海普快G7147南京上海虹14:35 16:33 1小时58分- - - - 南京-上海虹高G7019南京上海14:30 15:45 1小时15分钟- - - - 南京-上海高速D5481南京上海虹桥14:17 16:542小时37分钟- - - -六安-上海虹桥动车G7017南京上海14:00 15:15 1小时15分钟- - - - 南京-上海高速K515南京上海13:57 17:43 3小时46分钟253 - 458 705 长春-上海快速G7385南京上海虹桥13:52 15:511小时59分钟- - - - 南京-杭州高速K55南京上海13:51 17:25 3小时34分钟276 - 499 770 哈尔滨-上海快速T7785南京上海南13:45 17:33 3小时48分钟- - - - 泰州-杭州特快G7071南京上海西13:43 15:30 1小时47分钟- - - - 南京-上海高速G7071南京上海13:43 15:38 1小时55分钟- - - - 南京-上海高速G7145南京上海虹桥13:38 15:271小时49分钟- - - -南京-上海虹桥高速G7143南京上海虹桥13:26 15:081小时42分钟- - - -南京-上海虹桥高速G7141南京上海虹桥13:16 14:581小时42分钟- - - -南京-上海虹桥高速G7069南京上海西13:08 14:49 1小时41分钟- - - - 南京-上海高速G7069南京上海13:08 14:57 1小时49分钟- - - - 南京-上海高速G7015南京上海13:00 14:15 1小时15分钟- - - - 南京-上海高速G7139南京上海虹桥12:52 14:471小时55分钟- - - -南京-上海虹桥高速2001南京上海南12:42 17:00 4小时18分钟45 - - - 南京西-福州普快G7137南京上海虹桥12:40 14:341小时54分钟- - - -南京-上海虹桥高速D85南京上海12:32 14:45 2小时13分钟- - - - 郑州-上海动车D3031南京上海虹12:24 14:07 1小时43分- - - - 汉口-上海虹动D3009南京上海虹桥12:19 14:292小时10分钟- - - -武昌-上海虹桥动车G7135南京上海虹桥12:05 13:471小时42分钟- - - -南京-上海虹桥高速G7013南京上海12:00 13:23 1小时23分钟- - - - 南京-上海高速K187南京上海11:52 16:07 4小时15分钟257 - 467 720 丹东-上海快速G7383南京上海虹桥11:43 13:421小时59分钟- - - - 南京-杭州高速K371南京上海11:30 15:21 3小时51分钟179 - 327 499 太原-上海快速G7067南京上海11:25 13:15 1小时50分钟- - - - 南京-上海高速D3005南京上海虹桥11:16 13:372小时21分钟- - - -汉口-上海虹桥动车G7133南京上海虹桥11:08 12:551小时47分钟- - - -南京-上海虹桥高速G7011南京上海11:00 12:15 1小时15分钟- - - - 南京-上海高速T51南京上海10:43 13:49 3小时6分钟 389 - 699 1079 乌鲁木齐-上海特快G7065南京上海10:40 12:36 1小时56分钟- - - - 南京-上海高速G7063南京上海西10:16 11:59 1小时43分钟- - - - 南京-上海高速G7063南京上海10:16 12:07 1小时51分钟- - - - 南京-上海高速K559南京上海10:13 14:35 4小时22分钟215 - 390 600 延安-上海快速D5477南京上海虹桥10:08 12:001小时52分钟- - - -合肥-上海虹桥动车G7131南京上海虹桥10:05 11:531小时48分钟- - - -南京-上海虹桥高速G7009南京上海10:00 11:25 1小时25分钟- - - - 南京-上海高速T115南京上海09:46 12:49 3小时3分钟 242 - 438 671 兰州-上海特快G7129南京上海虹09:46 11:36 1小时50分- - - - 南京-上海虹高G7061南京上海西09:35 11:12 1小时37分钟- - - - 南京-上海高速G7061南京上海09:35 11:20 1小时45分钟- - - - 南京-上海高速T281南京上海南09:33 12:58 3小时25分钟253 - 458 705 包头-杭州特快G7007南京上海09:30 10:45 1小时15分钟- - - - 南京-上海高速T131南京上海09:17 12:27 3小时10分钟245 - 446 686 大连-上海特快G7101南京上海虹桥09:00 10:231小时23分钟- - - -南京-上海虹桥高速D5589南京上海虹桥08:58 11:442小时46分钟- - - - 南京-温州南动车G7059南京上海08:40 10:35 1小时55分钟- - - - 南京-上海高速T163南京上海08:33 11:15 2小时42分钟406 - 731 1131 拉萨-上海特快G7005南京上海08:30 09:53 1小时23分钟- - - - 南京-上海高速T137南京上海08:14 11:47 3小时33分钟182 - 333 511 西安-上海特快G7127南京上海虹桥08:10 10:051小时55分钟- - - -南京-上海虹桥高速G7125南京上海虹桥08:05 09:591小时54分钟- - - -南京-上海虹桥高速G7003南京上海08:00 09:15 1小时15分钟- - - - 南京-上海高速K737南京上海07:59 12:59 5小时0分钟 143 - 263 400 洛阳-上海快速G7381南京上海虹桥07:52 09:471小时55分钟- - - - 南京-杭州高速G7057南京上海07:32 09:27 1小时55分钟- - - - 南京-上海高速G7055南京上海07:10 09:07 1小时57分钟- - - - 南京-上海高速G7001南京上海07:00 08:15 1小时15分钟- - - - 南京-上海高速G7123南京上海虹06:52 08:48 1小时56分- - - - 南京-上海虹高Z95南京上海06:44 09:10 2小时26分钟179 - 327 499 太原-上海直特G7053南京上海06:40 08:39 1小时59分钟- - - - 南京-上海高速G7121南京上海虹桥06:25 08:211小时56分钟- - - -南京-上海虹桥高速1461南京上海06:17 10:09 3小时52分钟158 - 306 - 北京-上海普快G7051南京上海06:15 08:07 1小时52分钟- - - - 南京-上海高速K781南京上海05:58 09:54 3小时56分钟130 - 239 365 鹰潭-上海快速D305南京上海虹桥05:58 07:351小时37分钟- - - 499北京南-上海虹桥动车K293南京上海04:20 09:28 5小时8分钟 170 - 309 472 青岛-上海快速K463南京上海03:56 09:02 5小时6分钟 150 - 274 417 平顶山-上海快速K281南京上海03:50 07:49 3小时59分钟281 - 509 783 成都-上海快速K233南京上海03:18 08:52 5小时34分钟175 - 319 486 石家庄-上海快速K695南京上海03:12 08:13 5小时1分钟 257 - 467 720 成都-上海快速K8417南京上海03:00 07:35 4小时35分钟94 147 175 264 黄山-上海快速T33南京上海南02:54 06:32 3小时38分钟165 - 301 458 天津-杭州特快K151南京上海02:47 07:15 4小时28分钟130 - 239 365 郑州-上海快速2581南京上海南02:39 07:03 4小时24分钟161 - 312 490 烟台-金华西普快K359南京上海02:18 05:50 3小时32分钟253 - 458 705 银川-上海快速K8457南京上海南02:04 06:23 4小时19分钟92 - 170 254 徐州-江山快速1341南京上海南01:52 05:56 4小时4分钟 253 - 484 764 齐齐哈尔-杭州普快K375南京上海01:44 05:38 3小时54分257 - 467 720 西宁-上海快K289南京上海01:31 05:08 3小时37分钟257 - 467 720 成都-上海快速K8481南京上海01:20 05:22 4小时2分钟 103 - 191 286 阜阳-上海快速K8371南京上海南00:59 05:51 4小时52分钟92 - 170 254 淮北-江山快速K8355南京上海00:51 04:51 4小时0分钟 113 - 209 316 连云港东-上海快速K527南京上海南00:14 03:58 3小时44分钟51 - - - 南京西-广州快速K527南京西上海南23:50 03:58 4小时8分钟 51 - - - 南京西-广州快速2001南京西上海南12:10 17:00 4小时50分钟45 - - - 南京西-福州普快K8434上海南京23:52 03:25 3小时33分钟47 - - - 上海-安庆快速K8432上海南京23:46 03:19 3小时33分钟47 - - - 上海-淮北快速K8366上海南京23:13 02:57 3小时44分钟47 - - - 上海-阜阳快速K8378上海南京23:05 02:47 3小时42分钟47 - - - 上海-淮南快速K8482上海南京22:21 02:03 3小时42分钟47 - - - 上海-阜阳快速K282上海南京21:04 01:35 4小时31分钟47 - - - 上海-成都快速G7032上海南京21:00 22:15 1小时15分钟- - - - 上海-南京高速1228上海南京20:58 01:29 4小时31分钟41 - - - 上海-阜新普快K372上海南京20:52 01:17 4小时25分钟47 - - - 上海-太原快速K8362上海南京20:25 02:11 5小时46分钟47 - - - 上海-阜阳快速G7088上海南京20:23 22:10 1小时47分钟- - - - 上海-南京高速G7086上海南京20:05 21:43 1小时38分钟- - - - 上海-南京高速G7030上海南京20:00 21:15 1小时15分- - - - 上海-南京高T164上海南京19:52 22:19 2小时27分钟47 - - - 上海-拉萨特快Z96上海南京19:22 21:45 2小时23分钟47 - - - 上海-太原直特G7084上海南京19:08 21:05 1小时57分钟- - - - 上海-南京高速K8356上海南京18:57 00:13 5小时16分钟47 - - -上海-连云港东快速K188上海南京18:51 00:06 5小时15分钟47 - - - 上海-丹东快速T52上海南京18:45 22:41 3小时56分钟47 - - -上海-乌鲁木齐特快G7082上海南京18:10 20:00 1小时50分钟- - - - 上海-南京高速G7028上海南京18:00 19:15 1小时15分钟- - - - 上海-南京高速K560上海南京17:51 22:47 4小时56分钟47 - - - 上海-延安快速K8418上海南京17:45 22:04 4小时19分钟47 72 - - 上海-黄山快速G7080上海南京17:15 19:07 1小时52分钟- - - - 上海-南京高速G7078上海南京17:05 18:59 1小时54分钟- - - - 上海-南京高速K738上海南京17:05 21:22 4小时17分钟47 - - - 上海-洛阳快速K152上海南京16:59 21:03 4小时4分钟 47 - - - 上海-郑州快速G7026上海南京16:30 17:45 1小时15分钟- - - - 上海-南京高速G7076上海南京16:09 18:08 1小时59分钟- - - - 上海-南京高速G7024上海南京16:00 17:15 1小时15分钟- - - - 上海-南京高速T116上海南京15:59 18:59 3小时0分钟 47 - - - 上海-兰州特快T138上海南京15:53 18:53 3小时0分钟 47 - - - 上海-西安特快T132上海南京15:47 18:47 3小时0分钟 47 - - - 上海-大连特快G7022上海南京15:30 16:53 1小时23分钟- - - - 上海-南京高速G7074上海南京15:19 17:07 1小时48分钟- - - - 上海-南京高速D82上海南京15:10 17:18 2小时8分钟 - - - - 上海-郑州动车G7072上海南京15:06 16:59 1小时53分钟- - - - 上海-南京高速G7070上海南京14:47 16:38 1小时51分钟- - - - 上海-南京高速G7020上海南京14:30 15:45 1小时15分钟- - - - 上海-南京高速K696上海南京14:18 18:35 4小时17分钟47 - - - 上海-成都快速K464上海南京14:10 18:26 4小时16分钟47 - - - 上海-信阳快速G7018上海南京14:00 15:15 1小时15分钟- - - - 上海-南京高速G7068上海南京13:32 15:29 1小时57分钟- - - - 上海-南京高速G7016上海南京13:00 14:15 1小时15分钟- - - - 上海-南京高速G7066上海南京12:42 14:37 1小时55分钟- - - - 上海-南京高速K294上海南京12:37 17:27 4小时50分钟47 - - - 上海-青岛快速G7064上海南京12:29 14:23 1小时54分钟- - - - 上海-南京高速K782上海南京12:28 16:33 4小时5分钟 47 - - - 上海-鹰潭快速K782上海南京南12:28 17:17 4小时49分钟51 - - - 上海-鹰潭快速K360上海南京12:22 16:01 3小时39分钟47 - - - 上海-银川快速1462上海南京12:10 15:55 3小时45分钟41 - - - 上海-北京普快G7014上海南京12:00 13:25 1小时25分钟- - - - 上海-南京高速K234上海南京11:40 15:29 3小时49分47 - - - 上海-石家庄快K516上海南京11:23 15:18 3小时55分钟47 - - - 上海-长春快速G7062上海南京11:10 12:59 1小时49分钟- - - - 上海-南京高速G7012上海南京11:00 12:15 1小时15分钟- - - - 上海-南京高速D32上海南京10:31 12:40 2小时9分钟 - - - - 上海-北京南动车K56上海南京10:02 14:34 4小时32分钟47 - - - 上海-哈尔滨快速G7010上海南京10:00 11:15 1小时15分钟- - - - 上海-南京高速G7060上海南京09:35 11:34 1小时59分钟- - - - 上海-南京高速G7008上海南京09:30 10:53 1小时23分钟- - - - 上海-南京高速G7058上海南京08:52 10:48 1小时56分钟- - - - 上海-南京高速K376上海南京08:51 13:22 4小时31分钟47 - - - 上海-西宁快速K290上海南京08:45 12:34 3小时49分钟47 - - - 上海-成都快速G7056上海南京08:40 10:36 1小时56分钟- - - - 上海-南京高速G7054上海南京08:35 10:30 1小时55分钟- - - - 上海-南京高速D5474上海南京08:35 10:59 2小时24分钟- - - - 上海-徐州动车G7006上海南京08:30 09:45 1小时15分钟- - - - 上海-南京高速G7004上海南京08:00 09:15 1小时15分钟- - - - 上海-南京高速D196上海南京07:56 10:20 2小时24分钟- - - - 上海-沈阳北动车D76上海南京07:28 09:50 2小时22分钟- - - - 上海-青岛动车D30上海南京07:19 09:40 2小时21分钟- - - - 上海-北京南动车D86上海南京07:14 09:35 2小时21分- - - - 上海-郑州动G7002上海南京07:00 08:15 1小时15分钟- - - - 上海-南京高速D182上海南京06:52 09:21 2小时29分钟- - - - 上海-郑州动车G7052上海南京06:12 07:59 1小时47分钟- - - - 上海-南京高速D308上海虹桥南京21:25 23:191小时54分钟- - - -上海虹桥-北京南动车G7162上海虹桥南京20:10 21:591小时49分钟- - - -上海虹桥-南京高速G7160上海虹桥南京19:46 21:341小时48分钟- - - -上海虹桥-南京高速G7158上海虹桥南京19:19 21:101小时51分钟- - - -上海虹桥-南京高速G7108上海虹桥南京19:00 20:131小时13分钟- - - -上海虹桥-南京高速D5492上海虹桥南京18:41 20:391小时58分钟- - - -上海虹桥-合肥动车G7390上海虹桥南京18:18 20:081小时50分钟- - - - 杭州-南京高速G7156上海虹桥南京18:05 19:541小时49分钟- - - -上海虹桥-南京高速D5590上海虹桥南京17:58 20:442小时46分钟- - - - 温州南-南京动车D5486上海虹桥南京17:24 19:29 2小时5分钟 - - - -上海虹桥-合肥动车G7388上海虹桥南京17:05 18:541小时49分钟- - - - 杭州-南京高速G7106上海虹桥南京17:00 18:231小时23分钟- - - -上海虹桥-南京高速G7154上海虹桥南京16:47 18:331小时46分钟- - - -上海虹桥-南京高速D3014上海虹桥南京16:39 19:242小时45分钟- - - -上海虹桥-汉口动车G7152上海虹桥南京16:04 17:581小时54分钟- - - -上海虹桥-南京高速G7150上海虹桥南京15:52 17:401小时48分钟- - - -上海虹桥-南京高速G7148上海虹南京15:34 17:23 1小时49分- - - - 上海虹桥-南高D3010上海虹桥南京15:05 17:332小时28分钟- - - -上海虹桥-汉口动车G7104上海虹桥南京15:00 16:131小时13分钟- - - -上海虹桥-南京高速D3032上海虹桥南京14:34 16:271小时53分钟- - - -上海虹桥-汉口动车G7146上海虹桥南京14:09 15:581小时49分钟- - - -上海虹桥-南京高速G7144上海虹桥南京13:11 15:071小时56分钟- - - -上海虹桥-南京高速G7386上海虹桥南京12:48 14:471小时59分钟- - - - 杭州-南京高速D5482上海虹桥南京12:34 15:012小时27分钟- - - -上海虹桥-六安动车G7142上海虹桥南京12:10 14:071小时57分钟- - - -上海虹桥-南京高速G7140上海虹桥南京12:05 13:501小时45分钟- - - -上海虹桥-南京高速G7138上海虹桥南京11:24 13:151小时51分钟- - - -上海虹桥-南京高速G7384上海虹桥南京11:15 13:071小时52分钟- - - - 杭州-南京高速G7136上海虹桥南京10:43 12:391小时56分钟- - - -上海虹桥-南京高速G7134上海虹桥南京10:31 12:281小时57分钟- - - -上海虹桥-南京高速G7132上海虹桥南京10:23 12:221小时59分钟- - - -上海虹桥-南京高速D3068上海虹桥南京10:16 12:542小时38分钟- - - -上海虹桥-武昌动车D3060上海虹桥南京10:04 12:09 2小时5分钟 - - - -上海虹桥-汉口动车D3018上海虹桥南京09:50 12:022小时12分钟- - - -上海虹桥-武昌动车G7382上海虹桥南京09:22 11:211小时59分钟- - - - 杭州-南京高速G7130上海虹桥南京09:10 11:071小时57分钟- - - -上海虹桥-南京高速G7102上海虹南京09:00 10:23 1小时23分- - - - 上海虹桥-南高G7128上海虹桥南京07:49 09:401小时51分钟- - - -上海虹桥-南京高速D5478上海虹桥南京07:35 09:562小时21分钟- - - -上海虹桥-六安动车G7126上海虹桥南京07:26 09:101小时44分钟- - - -上海虹桥-南京高速D3002上海虹桥南京06:48 09:012小时13分钟- - - -上海虹桥-武汉动车G7124上海虹桥南京06:43 08:391小时56分钟- - - -上海虹桥-南京高速G7122上海虹桥南京06:31 08:291小时58分钟- - - -上海虹桥-南京高速K8458上海南南京22:32 03:03 4小时31分钟106 - 197 298 江山-徐州快速2582上海南南京22:12 02:24 4小时12分钟83 - 164 253 金华西-烟台普快K8372上海南南京21:57 02:17 4小时20分钟106 - 197 298 江山-淮北快速K76上海南南京21:33 01:49 4小时16分钟92 - 170 254宁波东-吉林西快速K8402上海南南京20:31 01:43 5小时12分钟120 - 222 338 温州-亳州快速T178上海南南京20:23 00:37 4小时14分钟70 - 131 195 杭州-济南特快T282上海南南京19:15 23:03 3小时48分钟70 - 131 195 杭州-包头特快1342上海南南京16:33 21:55 5小时22分钟62 - 123 187杭州-齐齐哈尔普快T34上海南南京16:20 20:21 4小时1分钟 70 - 131 195 杭州-天津特快T7786上海南南京10:37 14:04 3小时27分钟- - - - 义乌-泰州特快2002上海南南京04:38 08:20 3小时42分钟145 - 281 438 福州-南京西普快2002上海南南京西04:38 08:48 4小时10分钟145 - 281 438 福州-南京西普快K528上海南南京04:26 08:14 3小时48分钟238 - 430 658 广州-南京西快速K528上海南南京西04:26 08:38 4小时12分238 - 430 658 广州-南京西快。
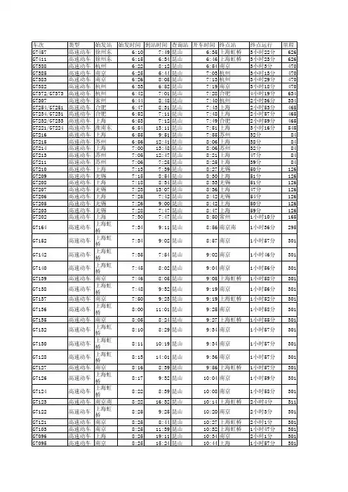
京沪高铁时刻表1、G32 杭州7:22--虹桥7:59--南京南9:31--枣庄11:08--济南西12:07--北京南13:41 CRH3 80BL2、G34 杭州9:36--虹桥10:28--南京南11:53--枣庄13:20--济南西14:12--北京南16:06 C RH380BL3、G101 北京南7:00--济南西8:32--枣庄9:31--南京南11:01--虹桥12:23 CRH380BL4、G107 北京南8:38--济南西10:10--枣庄11:02--南京南12:44--虹桥14:07 CRH380BL5、G115 北京南10:05--济南西11:37--枣庄12:29--南京南13:59--虹桥15:34 CRH380AL6、G120 虹桥9:45--南京南10:59--枣庄12:49--济南西13:41--北京南15:15 CRH380BL7、G134 虹桥12:10--南京南13:24--枣庄15:09--济南西16:00--北京南17:40 CRH380AL8、G145 北京南14:36--济南西16:15--枣庄17:07--南京南18:51--虹桥20:06 CRH380A单组9、G152 虹桥15:20--南京南16:39--枣庄18:16--济南西19:14--北京南20:48 CRH380AL10、G163 北京南17:39--济南西19:18--枣庄20:10--南京南21:39--虹桥23:01 CRH380BL11、G164 虹桥17:50--南京南19:04--枣庄20:41--济南西21:38--北京南23:20 CRH380A 单组12、G206 南京南7:50--枣庄9:32--济南西10:32--北京南12:12 CRH380AL(开行时间另行通知)13、G213 天津西14:26--济南西15:36--枣庄16:29--南京南18:06--虹桥19:28 CRH380A 单组14、G215 天津西17:07--济南西18:36--枣庄19:30--20:59--虹桥22:14 CRH380A15、G226/7 虹桥14:05--南京南15:25--枣庄17:09--济南18:08--青岛21:00 CRH380AL16、G232/29 青岛9:26--济南12:06--枣庄13:06--南京南14:51--虹桥16:12 CRH380AL17、D31 北京南8:22--济南西10:54--枣庄12:07--南京南14:38--虹桥17:16 CRH2E卧代座18、D32 虹桥7:25--南京南8:53--枣庄11:19--济南西12:31--北京南15:21 CRH2A19、D33 北京南9:38--济南西12:04--枣庄13:43--南京南16:31--虹桥18:27 CRH2E卧代座20、D34 虹桥8:22--南京南9:58--枣庄13:27--济南西15:14--北京南17:22 CRH2E卧代座21、D35 北京南11:53--济南西14:19--枣庄15:48--南京南18:37--虹桥20:44 CRH2A22、D41 天津西??:??--济南西8:55--枣庄10:03--南京南13:19--虹桥15:15 CRH380A 单组23、D42 虹桥14:13--南京南16:14--枣庄18:27--济南西20:36--天津西22:19 CRH380A 单组24、D211 北京南---徐州东25、D212 徐州东--北京南26、D215 北京南17:04--济南西18:58--枣庄21:00--南京南23:20 CRH2B27、D216 南京南7:05--枣庄9:18 --济南西10:55--北京南13:55 CRH2B28、D251 济南西7:05--枣庄8:20--南京南10:22--虹桥12:07 CRH2A29、D252 虹桥13:25--南京南14:57--枣庄17:55--济南西19:33 CRH380BL(开行时间另行通知)30、D253 济南西7:30--枣庄8:44--南京南11:06--虹桥12:50 CRH380AL(开行时间另行通知)31、D254 虹桥18:10--南京南19:49--枣庄22:15--济南西23:23 CRH2A32、D157 济南--郑州33、D158 郑州--济南--------------------------------------------------------------------------------------------------------------------- CRH2A 200级别8节编组坐车动车组CRH2B 200级别16节编组坐车动车组CRH2E 200级别16节编组卧铺动车组,可卧代座CRH380A 380级别8节编组坐车高速动车组CRH380AL 380级别16节编组坐车高速动车组CRH380BL 380级别16节编组(京津城际CRH3C的加长版)。
列车时刻表范本车次起始站终点站发车时间到达时间途径站点G1001 北京上海 08:00 14:30 天津、济南、南京、苏州G1002 上海北京 09:00 15:30 苏州、南京、济南、天津G1003 北京广州 08:30 19:00 石家庄、郑州、武汉、长沙、深圳G1004 广州北京 09:30 20:00 深圳、长沙、武汉、郑州、石家庄D2001 北京天津 07:00 08:00 无D2002 天津北京 07:30 08:30 无D2003 上海苏州 10:00 10:30 无D2004 苏州上海 10:30 11:00 无以上为列车时刻表范本,详细列出了不同车次的起始站、终点站、发车时间、到达时间以及途径的站点。
这份范本可以作为参考,方便旅客查询列车的运行信息。
在时刻表中,每个车次都有一个唯一的标识符,例如G1001和D2001,用于区分不同的列车。
起始站和终点站分别标注了列车的出发地和目的地,例如北京和上海。
发车时间和到达时间则表示了列车的具体运行时间,旅客可以根据这些时间来安排行程。
途径站点列出了列车在途中经过的城市,例如G1001列车从北京到上海会经过天津、济南、南京和苏州。
时刻表的设计目的是为了提供准确的列车运行信息,方便旅客查询和安排行程。
通过时刻表,旅客可以了解到不同车次的发车时间、到达时间和途径站点,从而选择合适的列车和行程安排。
时刻表的整洁美观、语句通顺以及准确的信息排版对于旅客的阅读体验至关重要。
需要注意的是,时刻表中不包含具体的票价信息和座位预订等功能。
旅客在查询时刻表后,可以根据需要进一步了解车票价格和购票方式。
此外,时刻表中的信息可能会有变动,旅客在查询时应该以最新的官方信息为准。
总之,列车时刻表范本是一份重要的参考资料,旅客可以通过查询时刻表来了解列车的运行信息。
时刻表的准确性和整洁美观对于提供良好的阅读体验至关重要。
希望这份范本能够为旅客提供方便,帮助他们更好地安排行程。
车次类型始发站 -到达站发时-到时运行时间参考票价高速动车清远-广州南D2101 动车组清远-广州南13:28-14:0037分硬座26软座31硬卧中0软卧下0硬座-软座-硬卧中-软卧下-D2103 动车组清远-广州南13:42-14:0524分20:13-20:5245分硬座40软座64硬卧中0软卧下0G1041 硬座-软座-硬卧中-软卧下-G1023 高速动车清远-广州南硬座26软座31硬卧中0软卧下0D7805 动车组清远-广州南16:05-16:4042分10:50-11:1324分13:01-13:2424分硬座40软座64硬卧中0软卧下0D7815 动车组清远-广州南09:11-09:4232分硬座40软座64硬卧中0软卧下0G1089 高速动车清远-广州南20:53-21:1624分硬座40软座64硬卧中0软卧下0G1037 高速动车清远-广州南硬座40软座64硬卧中0软卧下0G6029高速动车清远-广州南22:10-22:3325分硬座40软座64硬卧中0软卧下0G6011 高速动车清远-广州南G1065 高速动车清远-广州南14:13-14:3726分17:01-17:2424分G1055 高速动车清远-广州南硬座40软座64硬卧中0软卧下0D7809 动车组清远-广州南21:45-22:2137分硬座-软座-硬卧中-软卧下-24分16:55-17:2530分硬座40软座64硬卧中0软卧下0G6023 高速动车清远-广州南19:31-19:5424分硬座40软座64硬卧中0软卧下0硬座-软座-硬卧中-软卧下-G6012高速动车广州南-清远11:38-12:0123分硬座40软座64硬卧中0软卧下0D7808动车组广州南-清远硬座26软座31硬卧中0软卧下0D7804动车组广州南-清远10:42-11:1735分硬座-软座-硬卧中-软卧下-D2104动车组广州南-清远硬座-软座-硬卧中-软卧下-G1104高速动车广州南-清远19:00-19:2323分硬座40软座64硬卧中0软卧下0D7810动车组广州南-清远硬座40软座64硬卧中0软卧下0G6022高速动车广州南-清远16:00-16:2323分硬座40软座64硬卧中0软卧下0G1110广州南-清远高速动车广州南-清远19:59-20:2223分10:05-10:2823分14:40-15:1131分19:10-19:4636分高速动车广州南-清远硬座40软座64硬卧中0软卧下0D7802动车组广州南-清远08:33-09:0330分硬座-软座-硬卧中-软卧下-G104618:08-18:3123分硬座40软座64硬卧中0软卧下0G1064高速动车广州南-清远12:51-13:1423分硬座40软座64硬卧中0软卧下0G1040硬座40软座64硬卧中0软卧下0G6026高速动车广州南-清远17:20-17:4323分硬座40软座60硬卧中0软卧下0G1098高速动车广州南-清远硬座-软座-硬卧中-软卧下-D7814动车组广州南-清远动车组广州南-清远13:47-14:1730分09:32-09:5523分D780623分硬座40软座64硬卧中0软卧下0D2102动车组广州南-清远G1026高速动车广州南-清远07:30-07:53查询返程列车:广州南→清远车次从广州南 到 清远 的车次高铁时刻表08:12-08:4634分硬座26软座31硬卧中0软卧下007:06-07:3731分硬座-软座-硬卧中-软卧下-15:32-15:55。