八年级分式基础训练
- 格式:doc
- 大小:79.50 KB
- 文档页数:4
初二分式练习题及答案在初二阶段,分式是一个重要的数学概念。
掌握分式的运算方法对学生的数学学习至关重要。
下面是几道初二分式练习题及其答案,希望能帮助同学们巩固和加深对分式的理解和运用能力。
练习题一:计算下列分式的值,并将结果化简到最简形式:1. $\frac{3}{4} + \frac{5}{8}$2. $\frac{2}{3} - \frac{1}{6}$3. $\frac{3}{2} + \frac{1}{4} - \frac{1}{8}$4. $\frac{a}{2} - \frac{2a}{3}$5. $\frac{x-1}{5} - \frac{x+2}{3}$练习题二:将下列分数改写为带分数,并化简到最简形式:1. $\frac{11}{4}$2. $\frac{8}{3}$3. $\frac{12}{5}$4. $\frac{25}{6}$5. $\frac{10a}{3}$练习题三:将下列带分数改写为分数,并化简到最简形式:1. $1\frac{1}{2}$2. $2\frac{2}{3}$3. $5\frac{1}{4}$4. $3\frac{5}{6}$5. $4\frac{2a}{3}$练习题四:计算下列表达式的值,并将结果化简到最简形式:1. $\frac{2}{3} \times \frac{6}{5}$2. $\frac{3}{4} \div \frac{2}{5}$3. $\frac{1}{2} \times \frac{4}{7} \div \frac{2}{5}$4. $\frac{a}{2} \times \frac{3a}{4}$5. $\frac{x-1}{5} \times \left(\frac{x+2}{3}+\frac{3}{2}\right)$练习题五:解下列方程:1. $\frac{2x-1}{3} = \frac{x+4}{2}$2. $\frac{1}{x} + \frac{1}{2x} = \frac{3}{4}$3. $\frac{1}{2a} - \frac{1}{3a} = \frac{1}{6}$4. $\frac{3}{x-1} - \frac{1}{3} = \frac{2}{x}$5. $\frac{1}{x+2} + \frac{1}{2} = \frac{x}{2} - \frac{1}{x+2}$答案如下:练习题一:1. $\frac{13}{8}$2. $\frac{1}{2}$3. $\frac{21}{8}$4. $\frac{a}{6}$5. $\frac{-3x-3}{15}$练习题二:1. $2\frac{3}{4}$2. $2\frac{2}{3}$3. $2\frac{2}{5}$4. $4\frac{1}{6}$5. $\frac{10a}{3}$练习题三:1. $\frac{3}{2}$2. $\frac{8}{3}$3. $\frac{21}{4}$4. $\frac{23}{6}$5. $\frac{10a+8}{3}$练习题四:1. $\frac{4}{5}$2. $\frac{15}{8}$3. $\frac{2}{7}$4. $\frac{3a^2}{8}$5. $\frac{x^2+x-3}{10}$练习题五:1. $x = \frac{5}{2}$2. $x = \frac{2}{3}$3. $a = \frac{1}{4}$4. $x = \frac{5 \pm \sqrt{37}}{2}$5. 方程无解以上是初二分式练习题及答案,通过做题的过程,希望同学们能够熟练掌握分式的运算规则,提高数学解题能力。
北师大版八年级(下)数学期末备考基础训练——分式(原创)学校:___________姓名:___________班级:___________考号:___________一、单选题1.下列式子是分式的是() A .x 3B .x x 1+C .y x 2+D .32x 2.若把分式x yy x +中的x 、y 都扩大2倍,那么分式的值( ) A .扩大2倍B .不变C .缩小一半D .缩小4倍 3.分式26c a b 与2c 3ab 的最简公分母是( ) A .ab B .3ab C .223a b D .263a b 4x 取值范围是( ) A .2x >B .2x ≥C .0x >D .0x ≥ 5.分式21x x +-有意义的条件是( ) A .x=-2B .x≠-2C .x =1D .x≠1 6.下列分式中,不是最简分式是( )A .22x yB .2222x y x y +-C .21a a ++D .222x y xy y ++ 7.关于x 的分式方程2503x x -=-的解为( ) A .3- B .2- C .2 D .38.若分式211x x -+的值为0,则x 的值为( ) A .0B .1C .﹣1D .±1 9.计算2211a a a +++的结果是( ) A .2 B .2a +2 C .1 D .41a a + 10.甲、乙二人做某种机械零件,已知每小时甲比乙少做8个,甲做120个所用的时间与乙做150个所用的时间相等,设甲每小时做x 个零件,下列方程正确的是( ) A .1201508x x =- B .1201508x x =+ C .1201508x x =- D .1201508x x =+二、填空题11.当x =____时,分式225x x -+的值为0. 12.分式34a ,13ab ,256a-的最简公分母是_____. 13.分式方程321x -=1的解是______. 14.方程2111x x x x-=--的解为x=____. 15.化简226993x x x x x ++---的结果是______. 16.若231-+x x = A -51x +,则 A= (___________) 17.若关于x 的方程2233x m x x -=+--有增根,则m 的值为__.三、解答题 18.先化简,再求值:22214244⎛⎫-÷ ⎪--++⎝⎭a a a a a a ,其中3a =-. 19.先化简,再求值:211)224x x x x x --÷---(,其中3x =. 20.先化简,再求值:221x 4x 41x 1x 1-+⎛⎫-÷ ⎪--⎝⎭,其中x=3.21.先化简,再求值:24224a a a a a a ⎛⎫÷- ⎪---⎝⎭,其中2a =. 22.解分式方程:211x x x -=+. 23.解方程:11x =-233x x - +1. 24.我市某校为了创建书香校园,去年购进一批图书.经了解,科普书的单价比文学书的单价多4元,用12000元购进的科普书与用8000元购进的文学书本数相等.(1)文学书和科普书的单价各多少钱?(2)今年文学书和科普书的单价和去年相比保持不变,该校打算用10000元再购进一批文学书和科普书,问购进文学书550本后至多还能购进多少本科普书?参考答案1.B【解析】【分析】判断分式的依据是看分母中是否含有字母,如果含有字母则是分式,如果不含有字母则不是分式.【详解】A 、x 3的分母中均不含有字母,因此它们是整式,而不是分式.故本选项错误; B 、x x 1+分母中含有字母,因此是分式.故本选项正确; C 、y x 2+分母没有字母,故C 错误; D 、32x 分母中没有字母是整式,故D 错误;故选:B .【点睛】本题考查的是分式的定义,在解答此题时要注意分式是形式定义,只要是分母中含有未知数的式子即为分式.2.C【解析】【分析】可将式中的x ,y 都用2x ,2y 来表示,再将后来的式子与原式对比,即可得出答案.【详解】 解:由题意,分式x yy x +中的x 和y 都扩大2倍, ∴2222x y x y +⋅=2x yy x +, 分式的值是原式的12,即缩小一半, 故选:C .【点睛】本题考查了分式的基本性质,分式的分子与分母同乘(或除以)一个不等于0的整式,分式的值不变,分子、分母、分式本身同时改变两处的符号,分式的值不变,掌握知识点是解题关键.3.C【解析】【分析】确定最简公分母的方法是:①取各分母系数的最小公倍数;②凡单独出现的字母连同它的指数作为最简公分母的一个因式;③同底数幂取次数最高的,得到的因式的积就是最简公分母.【详解】∵分式26c a b 与23c ab的分母分别是a 2b 、3ab 2, ∴最简公分母是3a 2b 2.故选C.【点睛】本题考查了最简公分母的定义,熟练掌握最简公分母的定义是解答本题的关键.通常取各分母系数的最小公倍数与所有字母因式的最高次幂的积作为公分母,这样的公分母叫做最简公分母.4.A【解析】【分析】根据分数有意义的条件和二次根式有意义的条件,得出不等式,求解即可.【详解】由题意得020x ≠-≥⎪⎩, 解得x>2,故选:A .【点睛】本题考查了分数有意义的条件和二次根式有意义的条件,掌握知识点是解题关键. 5.D【解析】【分析】根据分式有意义的条件即可判断.【详解】解:由题意得x −1≠0,解得x ≠1.故选:B.【点睛】此题主要考查分式有意义的条件,若分式有意义,则分母不等于0.6.D【解析】【分析】最简分式的标准是分子,分母中不含有公因式,不能再约分.判断的方法是把分子、分母分解因式,并且观察有无互为相反数的因式,这样的因式可以通过符号变化化为相同的因式从而进行约分.【详解】解:A. 22x y的分子、分母都不能再分解,且不能约分,是最简分式; B. 2222x y x y+-的分子、分母都不能再分解,且不能约分,是最简分式; C. 21a a ++的分子、分母都不能再分解,且不能约分,是最简分式; D. 222x y xy y++=()21=2x y y x y y ++,故不是最简分式. 故选D.【点睛】本题考查了最简分式的定义:一个分式的分子与分母没有公因式时,叫最简分式.掌握定义是解题的关键.7.B【解析】【分析】分式方程去分母转化为整式方程,求出整式方程的解得到x 的值,经检验即可得到分式方程的解.【详解】解:去分母得:2650x x --=,解得:2x =-,经检验2x =-是分式方程的解,故选:B .【点睛】此题考查了解分式方程,利用了转化的思想,解分式方程注意要检验.8.B【解析】【分析】根据分式值为0的条件,分子为0分母不为0列式进行计算即可得. 【详解】∵分式2x 1x 1-+的值为零, ∴21010x x -=⎧⎨+≠⎩, 解得:x=1,故选B .【点睛】本题考查了分式值为0的条件,熟知分式值为0的条件是分子为0分母不为0是解题的关键.9.A【解析】【分析】先算加法,然后再约分可得.【详解】 原式=221a a ++ =()211a a ++ =2.故选:A .【点睛】本题考查分式的加法运算,同分母分式相加、减,分母不变,分子相加减,注意结果能约分的要约分.10.D【解析】【分析】首先用x 表示甲和乙每小时做的零件个数,再根据甲做120个所用的时间与乙做150个所用的时间相等即可列出一元一次方程.【详解】解:∵甲每小时做x 个零件,∴乙每小时做(x+8)个零件,∵甲做120个所用的时间与乙做150个所用的时间相等,∴1201508x x =+, 故选D.【点睛】本题考查了分式方程的实际应用,熟练掌握是解题的关键.11.2【解析】由题意得 20250x x -=⎧⎨+≠⎩, 解之得2x = .12.212a b【解析】【分析】根据确定最简公分母的方法:(1)取各分母系数的最小公倍数;(2)凡单独出现的字母连同它的指数作为最简公分母的一个因式;(3)同底数幂取次数最高的,得到的因式的积就是最简公分母,即可得出答案.【详解】解:∵三个分式的分母分别是:4a ,3ab ,26a∴34a ,13ab ,256a-的最简公分母是212a b . 故答案为:212a b .【点睛】此题考查了最简公分母的应用,关键是把各个分式中分母因式分解,确定最简公分母的方法一定要掌握.13.x=2.【解析】【分析】本题考查解分式方程的能力,观察可得方程最简公分母为(x+1)方程去分母后化为整式方程求解.【详解】 解:321x -=1 3=21x -x=2经检验x=2是原方程的解故答案为:x=2.【点睛】本题考查解分式方程,掌握解方程的步骤正确计算是解题关键,注意分式方程结果要检验.14.12- 【解析】【分析】把分式方程化为整式方程,解整式方程并检验可得答案.【详解】 解:2111x x x x-=-- 21,11x x x x ∴+=-- 21,x x x ∴+=-1.2x ∴=- 经检验:12x =-是原方程的根, ∴ 原方程的根是:1.2x =- 故答案为:12-【点睛】本题考查的是分式方程的解法,掌握分式方程的解法是解题的关键.15.33x - 【解析】【分析】先对第一个分式的分子分母因式分解,然后再和第二个分式进行加减运算即可.【详解】 解:原式2(3)(3)(3)3+=-+--x x x x x 333+=---x x x x 33x =-. 故答案为:33x -. 【点睛】 本题考查了分式的四则运算,熟练掌握运算法则是解决此类题的关键.16.2【解析】【分析】 由231x x -+= A -51x +,得A=231x x -+ +51x +,计算可得. 【详解】 由231x x -+= A -51x +,得A=231x x -+ +51x +=2. 故答案为2【点睛】本题考核知识点:分式的加法.解题关键点:掌握分式的加法法则.17.1【解析】【分析】先解分式方程,分式两边同时乘以x-3化为整式方程,再去括号、移项合并同类项、系数化为1,得到方程的解,已知关于x 的方程2233x m x x -=+--有增根,所得方程的解即为3,由此可求出m 的值.【详解】分式两边同乘以x-3,得22(3)x m x -=+-去括号,得226x m x -=+-移项合并同类项,得4x m -=-系数化为1,得4x m =-∵关于x 的方程2233x m x x -=+--有增根 ∴43m -=∴m=1故答案为:1【点睛】本题考查了分式方程的解法,及增根的定义,分式方程的增根是使最简公分母的值为0的根. 18.2a a +,13【解析】【分析】根据分式运算法则先算括号内的减法,然后将除法转化为乘法,最后代入求值.【详解】22214244⎛⎫-÷ ⎪--++⎝⎭a a a a a a ()()()222(2)22a a a a a a -++=⋅+-2222a a a a a--+=⋅- 222a a a a -+=⋅- 2a a+=, 当3a =-时,原式32133-+==-. 【点睛】本题考查了分式的化简求值,熟练掌握分式的运算顺序和运算法则是解题关键. 19.2x +,5.【解析】【分析】先把括号内的分式通分,再把各分子和分母因式分解,然后进行约分化简,最后把x 的值代入即可.【详解】解:原式=()()2+2121x x x x x ----g =2x +当3x =时,原式=5【点睛】此题考查分式的化简求值,解题关键在于先通过通分计算括号内的分式加减,再把各分子和分母因式分解,然后进行约分得到最简分式,最后把满足条件的字母的值代入计算得到原分式的值.20.4【解析】【分析】原式括号中两项通分并利用同分母分式的减法法则计算,同时利用除以一个数等于乘以这个数的倒数将除法运算化为乘法运算,约分得到最简结果,将x 的值代入计算即可求出值.【详解】解:原式=()()()2x 2x 11x 1x 1x 1---÷-+- ()()()2x 1x 1x 2x 1x 2+--=⋅-- x 1x 2+=-. 当x=3时,原式=31432+=-.21.22a a +-;1+【解析】【分析】原式括号中两项通分并利用同分母分式的减法法则计算,同时利用除法法则变形,约分得到最简结果,将a 的值代入计算即可求出值.【详解】24224a a a a a a ⎛⎫÷- ⎪---⎝⎭ ()()()24222a a a a a a a +-=÷-+- ()()()2222a a a a a a +-=--g 22a a +=-,当2a =时,原式1===+ 【点睛】此题考查了分式的化简求值,熟练掌握运算法则是争本题的关键.22.原方程的解为2x =-【解析】【分析】根据解分式方程的步骤:去分母、解整式方程、验根、写结论解答即可.【详解】211x x x -=+ 去分母得:()()2121x x x x +-+=去括号得:2222x x x x +--=解得:2x =-经检验2x =-是原方程的解所以原方程的解为2x =-.【点睛】本题考查解分式方程,掌握解分式方程的步骤是基础,去分母时确定最简公分母是关键,注意不要漏乘.23.x =1.2【解析】【分析】根据分式方程的解法去分母、移项、合并同类项、化系数为1,检验即可解答.【详解】解:去分母得:3=2x +3x ﹣3,移项合并得:5x =6,解得:x =1.2经检验x =1.2是分式方程的解.【点睛】本题考查了分式方程的解法,解出后要检验是否是增根.24.(1)文学书和科普书的单价分别是8元和12元.(2)至多还能购进466本科普书.【解析】【详解】(1)设文学书的单价为每本x 元,则科普书的单价为每本(x+4)元,依题意得: 8000120004x x =+ , 解得:x=8,经检验x=8是方程的解,并且符合题意.∴x+4=12.∴购进的文学书和科普书的单价分别是8元和12元.②设购进文学书550本后至多还能购进y本科普书.依题意得550×8+12y≤10000,解得24663y ,∵y为整数,∴y的最大值为466∴至多还能购进466本科普书.。
初二数学分式练习题及答案分式是数学中的重要概念,也是初中数学的基础知识之一。
在初中数学学习中,分式的运算是一个关键的内容。
为了帮助同学们更好地掌握分式的运算,以下将提供一些初二数学分式练习题及答案。
一、基础练习题1. 计算下列分式的值:(1) $\frac{2}{3}+\frac{1}{6}$(2) $\frac{5}{7}-\frac{2}{7}$(3) $\frac{3}{4}\times\frac{2}{5}$(4) $\frac{6}{13}\div\frac{2}{3}$2. 按照要求变换下列分式:(1) 化简:$\frac{4x^2-2x}{2x}$(2) 分解:$\frac{5}{xy}-\frac{7}{yx}$(3) 合并:$\frac{a}{b}\times\frac{b}{c}$(4) 变形:$\frac{1}{x}+\frac{1}{y}=\frac{x+y}{xy}$3. 求解方程:(1) $\frac{7}{10}x=\frac{35}{4}$(2) $\frac{5}{6}+\frac{x}{4}=\frac{7}{8}$(3) $\frac{3}{x}-\frac{2}{x-1}=\frac{5}{x(x-1)}$二、提高练习题1. 小明在旅行中用一辆摩托车以每小时40千米的速度行驶,计划经过$\frac{2}{5}$小时后休息10分钟,然后以每小时50千米的速度行驶到终点。
求小明旅行一段的总时间。
2. 甲,乙两个工程队共同进行一项工程,甲队完成全工程的$\frac{2}{5}$,乙队完成剩下的部分。
如果两队同时施工,还需6天可以完成全工程;如果只由甲队自行施工,需要10天完成全工程。
请问乙队自行施工需要多少天才能完成全工程?3. 甲、乙两人一起做一件工作,甲独立完成全工作需要8小时,乙独立完成全工作需要12小时。
他们两人合作完成全工作,需要多少小时?三、答案基础练习题答案:1.(1) $\frac{2}{3}+\frac{1}{6}=\frac{4}{6}+\frac{1}{6}=\frac{5}{6}$(2) $\frac{5}{7}-\frac{2}{7}=\frac{3}{7}$(3)$\frac{3}{4}\times\frac{2}{5}=\frac{3\times2}{4\times5}=\frac{3}{10}$(4)$\frac{6}{13}\div\frac{2}{3}=\frac{6}{13}\times\frac{3}{2}=\frac{6}{13 }\times\frac{3}{2}=\frac{9}{13}$2.(1) 化简:$\frac{4x^2-2x}{2x} = \frac{2x(2x-1)}{2x}=2x-1$(2) 分解:$\frac{5}{xy}-\frac{7}{yx}=\frac{5}{xy}-\frac{7}{xy}=\frac{5-7}{xy}=-\frac{2}{xy}$(3) 合并:$\frac{a}{b}\times\frac{b}{c}=\frac{a\times b}{b\timesc}=\frac{a}{c}$(4) 变形:$\frac{1}{x}+\frac{1}{y}=\frac{x+y}{xy}$ 通过分数的通分,两边同乘以$xy$得到等式$\frac{xy}{x}+\frac{xy}{y}=x+y$,化简得到$x+y=x+y$3.(1) $\frac{7}{10}x=\frac{35}{4}$,两边同乘以$\frac{10}{7}$得到等式$x=\frac{35}{4}\times\frac{10}{7}=\frac{25}{2}$(2) $\frac{5}{6}+\frac{x}{4}=\frac{7}{8}$,先通分得到等式$\frac{10}{12}+\frac{3x}{12}=\frac{7}{8}$,化简得到$\frac{10+3x}{12}=\frac{7}{8}$,两边同乘以12得到$10+3x=12\times\frac{7}{8}$,解方程得到$x=\frac{63}{8}$(3) $\frac{3}{x}-\frac{2}{x-1}=\frac{5}{x(x-1)}$,先通分得到等式$\frac{3(x-1)-2x}{x(x-1)}=\frac{5}{x(x-1)}$,化简得到$\frac{3x-3-2x}{x(x-1)}=\frac{5}{x(x-1)}$,整理得到$\frac{x-3}{x(x-1)}=\frac{5}{x(x-1)}$,可以得到方程$x-3=5$,解方程得到$x=8$。
《分式方程的应用》基础训练知识点分式方程的应用1.(2019·苏州)小明用15元买售价相同的软面笔记本,小丽用24元买售价相同的硬面笔记本(两人的钱恰好用完),已知每本硬面笔记本比软面笔记本贵3元,且小明和小丽买到相同数量的笔记本,设软面笔记本每本售价为x元,根据题意可列出的方程为()A.15243 x x=+B.15243 x x=-C.15243x x=+D.15243x x=-2.(2019·济宁)世界文化遗产“三孔”景区已经完成5G基站布设,“孔夫子家”自此有了5G网络.5G网络峰值速率为4G网络峰值速率的10倍,在峰值速率下传输500兆数据,5G网络比4G网络快45秒,求这两种网络的峰值速率.设4G 网络的峰值速率为每秒传输x兆数据,依题意,可列方程是()A.5005004510x x-=B.50050045 10x x-=C.500050045 x x-=D.500500045 x x-=3.(2019·辽阳)某施工队承接了60千米的修路任务,为了提前完成任务,实际每天的工作效率比原计划提高了25%,结果提前60天完成了这项任务.设原计划每天修路x千米,根据题意列出的方程正确的是()A.60(125%)6060x x⨯+-=B.6060(125%)60 x x⨯+-=C.606060 (125%)x x-=+D.606060 (125%)x x-=+4.(2019·江西)斑马线前“车让人”,不仅体现着一座城市对生命的尊重,也直接反映着城市的文明程度.如图,某路口的斑马线路段A B C--横穿双向行驶车道,其中6AB BC==米,在绿灯亮时,小明共用11秒通过AC,其中通过BC 的速度是通过AB速度的1.2倍,求小明通过AB时的速度.设小明通过AB时的速度是x米/秒,根据题意列方程得:_________.5.(2019·绵阳)一艘轮船在静水中的最大航速为30km/h,它以最大航速沿江顺流航行120km所用的时间与以最大航速逆流航行60km所用的时间相同,则江水的流速为________km/h.6.(2019·扬州)“绿水青山就是金山银山”为了更进一步优化环境,甲、乙两队承担河道整治任务.甲、乙两个工程队每天共整治河道1500米,且甲整治3600米河道用的时间与乙工程队整治2400米所用的时间相等.求甲工程队每天整治河道多少米?7.(2018·菏泽)为顺利通过国家义务教育均衡发展验收,我市某中学配备了两个多媒体教室,购买了笔记本电脑和台式电脑共120台,购买笔记本电脑用了7.2万元,购买台式电脑用了24万元,已知笔记本电脑单价是台式电脑单价的1.5倍,那么笔记本电脑和台式电脑的单价各是多少?参考答案1.A2.A3.D4.66111.2x x+= 5.106.解:甲工程队每天整治河道900米.7.解:台式电脑的单价为0.24万元/台,笔记本电脑的单价为0.36万元/台.。
初二分式练习题及答案初二分式练习题及答案初二是学生们学习生涯中的一个重要阶段,也是他们逐渐进入高中阶段的过渡期。
为了帮助初二学生提高数学能力,下面将提供一些分式练习题及答案。
练习题一:1. 计算:$\frac{2}{3} + \frac{3}{4}$。
2. 计算:$\frac{5}{6} - \frac{1}{3}$。
3. 计算:$\frac{2}{5} \times \frac{3}{4}$。
4. 计算:$\frac{7}{8} \div \frac{2}{3}$。
5. 计算:$\frac{2}{3} + \frac{4}{5} - \frac{1}{2}$。
答案一:1. $\frac{17}{12}$2. $\frac{1}{2}$3. $\frac{3}{10}$4. $\frac{21}{16}$5. $\frac{11}{30}$练习题二:1. 计算:$\frac{3}{5} + \frac{2}{7}$。
2. 计算:$\frac{1}{2} - \frac{1}{4}$。
3. 计算:$\frac{2}{3} \times \frac{3}{4}$。
4. 计算:$\frac{5}{6} \div \frac{2}{3}$。
5. 计算:$\frac{1}{2} + \frac{3}{4} - \frac{1}{3}$。
答案二:1. $\frac{29}{35}$2. $\frac{1}{4}$3. $\frac{1}{2}$4. $\frac{5}{4}$5. $\frac{7}{12}$练习题三:1. 计算:$\frac{4}{5} + \frac{3}{8}$。
2. 计算:$\frac{2}{3} - \frac{1}{6}$。
3. 计算:$\frac{1}{4} \times \frac{3}{5}$。
4. 计算:$\frac{5}{6} \div \frac{1}{2}$。
5. 计算:$\frac{2}{3} + \frac{1}{4} - \frac{1}{6}$。
分式的基本性质一、选择题1、下列说法正确的是( )A.2y x 与23x y x+的最简公分母是5x 2B. 313a b 与316ab 的最简公分母是3ab C. 313a b 与316ab的最简公分母是3a 3b 3 D. 2y x 与23x y x +的最简公分母是6x 2【答案】D【解析】试题分析:根据最简公分母的定义求出结果.解:A 选项:2y x 与23x y x+的最简公分母是6x 2,故A 选项错误;B 选项:313a b 与316ab的最简公分母是6a 3b 3,故B 选项错误;C 选项:313a b 与316ab的最简公分母是6a 3b 3,故C 选项错误;D 选项:2y x 与23x y x +的最简公分母是6x 2,故D 选项正确.故应选D.考点:最简公分母2、下列分式是最简分式的( )A.223a a b B.23a a a - C.22a b a b ++ D. 222a ab a b --【答案】C【解析】试题分析:根据最简分式的定义进行判断.解:A 选项:223a a b 的分子、分母中有公因式a ,故A 选项不符合题意;B 选项:23a a a-的分子、分母中有公因式a ,故B 选项不符合题意;C 选项:22a b a b++的分子、分母没有公因式,所以是最简分式,故C 选项符合题意;D 选项:222a ab a b--的分子、分母中有公因式a-b ,故D 选项不符合题意.故应选C.考点:最简分式3、分式221x y -与1x y+的最简公分母为( )A. x-yB. x+yC. x 2-y 2D. (x 2-y 2)(x+y)【答案】C【解析】试题分析:先对可以分解因式的分母分解因式,再根据求最简公分母的方法求解即可.解:∵()()22x y x y x y -=+-∴分式221x y -与1x y+的最简公分母为x 2-y 2故应选C.考点:最简公分母4、如果把分式3x y x y+中的x 和y 都扩大为2倍,则分式的值( )A. 扩大为4倍 B. 扩大为8倍 C. 不变 D. 缩小为2倍【答案】B【解析】试题分析:根据分式的基本性质对分式进行变形,根据变形结果进行判断.解:如果x 和y 都扩大为2倍,则有()()()()333322821682222x y x y x y x y x y x y x y x y ⋅⋅===++++,所以分式的值扩大为原来的8倍.故应选B.考点:分式的基本性质5、已知2334b a b =-,则a b=( )A. 6 B. 119 C. 215 D. 27-【答案】B【解析】试题分析:根据比例的性质,可得8b=9a﹣3b,根据等式的性质,可得答案.解:由比例的性质,得8b=9a﹣3b.由等式的性质,得11b=9a ,119a b =故应选:B .考点:分式的基本性质.6、不改变分式的值,将分式20.020.23x x a b-+中各项系数均化为整数,结果为 ( )A. 2223x x a b -+ B.25010150x x a b -+ C. 2502103x x a b -+ D. 2210150x x a b-+【答案】B【解析】试题分析:利用分式的基本性质把分式的分子、分母都乘以100即可得到结果.解:()()2220.021000.02500.230.2310010150x x x x x x a b a b a b-⨯--==++⨯+,故应应选B.考点:分式的基本性质7、不改变分式的值,将下列各分式中的分子、分母的系数化为整数,其结果不正确的为( )A. 113223113223a b a b a ba b ++=-- B. 1.30.813820.7207x y x y x y x y --=-- C. 134624172748x y x y x yx y --=++ D. 135320.55x y x y x x --=【答案】D【解析】试题分析:根据分式的基本性质进行变形得到结果,根据得到的结果判断正误.解:A 选项,分子、分母同乘以6,正确;B 选项,分子、分母同乘以10,正确;C 选项,分子、分母同乘以8,正确;D 选项,分子、分母同乘以2,即得13620.5x y x y x x--=,错误.故应选D.考点:分式的基本性质8、根据分式的基本性质,分式a a b--可变形为( )A. a a b -- B. a a b + C. a a b -- D. a a b -+ 【答案】C【解析】试题分析:分式的符号法则:分式的分子、分母与分式本身的符号,改变其中任何两个,分式的值不变.依次分析各选项即可作出判断.解:.故应选C.考点:分式的基本性质二、填空题9、分式312x ;()216x x y -的最简公分母是_ .【答案】6x 3(x-y)【解析】试题分析:根据确定最简公分母的方法求出结果.解:分式312x ;()216x x y -的最简公分母是6x 3(x-y)考点:最简公分母10、不改变分式的值,使分式的分子与分母都不含负号.(1)5x y-=-_____________;(2)2a b--=-_____________.【答案】(1) 5x y ;(2) 2a b-【解析】试题分析:分式的符号法则:分式的分子、分母与分式本身的符号,改变其中任何两个,分式的值不变.依次分析各选项即可作出判断.解:(1)55x x y y-=-;(2) 22a a b b--=--.故答案是(1) 5x y ;(2) 2a b-.考点:分式的基本性质11、把分式32223a b a b -+的分子、分母中的各项系数都化为整数,且保持分式的值不变,则结果为_________________.【答案】12946a ba b-+【解析】试题分析:根据分式的基本性质把分子、分母同时乘以6,可得结果.解:33262129222246633a b a b a b a b a b a b ⎛⎫-⨯- ⎪-⎝⎭==+⎛⎫++⨯ ⎪⎝⎭.故答案是12946a b a b-+.考点:分式的基本性质. 12、若23b a =,则a b a b -=+ .【答案】15【解析】试题分析:根据23b a =,可设a=3k ,b=2k ,然后再利用代入法求出分式的值.解:因为23b a =,设a=3k ,b=2k ,3213255a b k k k a b k k k --===++.故答案是15.考点:分式的基本性质三、解答题13、化简:2223712a a a a ---+.【答案】14a a +-【解析】试题分析:首先把分式的分子、分母分别分解因式,然后再约去公因式.解:2223712a a a a ---+()()()()3134a a a a -+=--14a a +=-.考点:约分14、约分:22211m m m-+-.【答案】11mm -+【解析】试题分析:首先把分式的分子、分母分别分解因式,然后再约去公因式.解:22211m m m -+-()()()2111m m m -=-+11m m -=+.考点:约分15、先化简,再求值.(1)22969m m m -++,其中m=5.【答案】14【解析】试题分析:首先根据分式的基本性质把分式化简,然后再把字母的值代入化简后的分式中求值.解:22969m m m -++()()()2333m m m +-=+33m m -=+,当m=5时,原式33m m -=+5353-=+14=考点:分式的化简求值.。
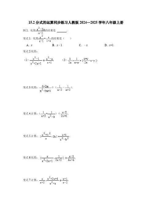
15.2分式的运算同步练习人教版2024—2025学年八年级上册例1.化简的结果是.变式1.化简+的结果是()A.x B.x﹣1C.﹣x D.x+1变式2.化简:(1);(2).变式3.化简:÷(﹣).变式4.计算:(+)÷.变式5.计算:.变式6.化简:.变式7.计算:.例2.先化简,再求值:,其中x=3.变式1.先化简,再求值:,其中x=4.变式2.先化简,再求值:,其中x=3.变式3.先化简,再求值:,其中m=3.变式4.先化简,再求值:,其中x=2.例3.已知,则=.变式1.已知﹣=3,则分式的值为.变式2.若+=3,则的值为.变式3.已知+=3,则代数式的值为.变式4.已知,则代数式的值为.变式5.已知,且x+y≠0,则的值为.变式6.若,则的值是()A.B.C.D.变式7.已知x﹣y﹣3=0,求代数式的值.变式8.已知a﹣b﹣1=0,求代数式的值.例4.先化简,再求值:﹣,然后在0,1,2,3中选一个你认为合适的x值,代入求值.变式1.先化简,再求值:,再从﹣2,﹣1,0,1,2中取一个数代入求值其中.变式2.先化简,再求值:,其中x从不等式﹣3<x<2中选一个整数.例5.先化简,再求值:,其中x满足x2﹣2x﹣1=0.变式1.若a2+2a﹣15=0,则代数式()•的值为.变式2.先化简,后求值:,其中m满足m2﹣m﹣3=0.例6.已知m2﹣8m+1=0,则2m2﹣8m+=.变式1.已知a2﹣2024ab+b2=0(ab≠0),则代数式+的值等于.变式2.已知a2﹣2b+1=0,则的值是.变式3.已知abc≠0且a+b+c=0,则a()+b()+c()的值为()A.0B.1C.﹣1D.﹣3变式4.已知a2﹣3a+1=0,则分式的值是()A.3B.C.7D.变式5.设m>n>0,m2+n2=4mn,则=()A.2B.C.D.3变式6.已知,则的值是()A.B.8C.D.6变式7.若x2+4x+1=0,求=.。
初二分式所有练习题在初二数学学习中,分式是一个重要的知识点,也是学生们比较容易犯错的地方。
为了帮助同学们巩固分式的知识,下面我将提供一些初二分式的练习题,供大家练习。
题目1:简化分式将分式$\frac{12x^3y^2}{4x^2y^3}$进行简化。
解答:首先,我们可以进行分子和分母的因式分解。
分子可以写成$2^2 \times 3 \times x^3 \times y^2$,分母可以写成$2^2 \times x^2 \times y^3$。
然后,我们可以将相同的因式约掉,得到简化后的结果:$\frac{3x}{y}$。
题目2:分式加法计算$\frac{3}{4} + \frac{2}{5}$。
解答:首先,我们需要找到两个分式的公共分母。
对于$\frac{3}{4}$和$\frac{2}{5}$,其最小公倍数为20。
然后,我们将两个分式的分子乘以相应的公倍数得到同分母的分式,即$\frac{15}{20} + \frac{8}{20}$。
最后,我们将分子相加,保持分母不变,得到$\frac{23}{20}$。
如果需要,我们可以将其化简为$\frac{23}{20}$。
题目3:分式乘法计算$\frac{2}{3} \times \frac{4}{5}$。
解答:将$\frac{2}{3}$和$\frac{4}{5}$的分子相乘,分母相乘,得到$\frac{8}{15}$。
题目4:分式除法计算$\frac{5}{8} \div \frac{2}{3}$。
解答:将$\frac{5}{8}$乘以$\frac{3}{2}$的倒数,即$\frac{5}{8} \times \frac{3}{2}$。
然后,进行分子相乘,分母相乘,得到$\frac{15}{16}$。
题目5:分式的整体倍数计算$2 \times \left(\frac{1}{3} + \frac{2}{5}\right)$。
解答:首先,我们需要将两个分式相加,得到$\frac{5}{15} +\frac{6}{15}$。
人教版八年级数学上册第十五章 分式《15.1.1 从分数到分式》基础训练1. 下列各式中,是分式的是( )A. 23xB.32xπ- C. 2x xD.32348x y - 2.在式子1a ,2xy π,2334a b c ,56x +,78x y +,109x y +中,分式有_____个.3. 若分式有意义,则实数33xx -的取值范围是( )A. 0x =B. 3x =C. 0x ≠D. 3x ≠4. 若分式无意义,则2131x y +-的值等于_____. 5. 当取何值时,下列分式有意义以及无意义?(1)21(2)(3)x x x +--(2)22||2x x +-(3)231xx +(4)222xx -6. 若212x x -+分式的值为0,则的值为( )A.-1B.0C.1D.±17. 当_____时,分式293x x --的值为零.8. 当_____时,分式26||3x x x ---的值为0.9. 分式31x ax +-中,当x a =-时,下列结论正确的有_______(填序号) ①分式的值为零;②分式无意义:③若13a ≠-,分式的值为零;④若13a ≠,分式的值为零.10. 若,为实数,且22(2)1604a b b -+-=+,求3a b -的值.11.有一捆粗细均匀的电线,现要确定它的长度.从中先取出1m 长的电线,称出它的质量为a ,再称出其余电线的总质量为b ,则这捆电线的总长是( ) A. (1)m ab +B. 1m b a⎛⎫- ⎪⎝⎭C. 1m b a⎛⎫+ ⎪⎝⎭D. 1m b a a+⎛⎫+⎪⎝⎭12.小李要打一份20000字的文件,第一天她打字用了100min ,打字速度为字a 字/min ,第二天她打字的速度比第一天快了10字/min ,两天打完全部文件,第二天她打字用了_______min.13.若分式||2|2|x x -+的值为零,求的值. 莉莉的解法如下: 解:∵分式||2|2|x x -+的值为零, ∴||20x -=,∴2x =±.请问莉莉的解法正确吗?如果不正确,请写出正确的解法.参考答案 1.答案:C解析:根据分式的定义,可知选项C 分母中含字母.故选C.2.答案:3 解析:式子1a,56x+,109x y +的分母中含有字母,是分式. 其他的式子分母中不含字母,不是分式. 3.答案:D解析:若分式33xx -有意义,则30x -≠,∴3x ≠.故选D.4.答案:19解析:∵分式2131x y +-无意义,则310y -=,解得13y =,所以219y =. 5.解析:(1)当(2)(3)0x x --≠时,分式有意义,解得2x ≠且3x ≠;当(2)(3)0x x --=时,分式无意义,解得2x =或3x =.(2)当||20x -≠时,分式有意义,解得2x ≠±;当||20x -=时,分式无意义,解得2x =±. (3)∵x 为任意实数时,210x +≠,∴x 为任意实数时,分式231xx +有意义. (4)当220x -≠时,分式有意义,解得x ≠当220x -=时,分式无意义,解得x =6.答案:D解析:分式212x x -+的值为0,∴210x -=且20x +≠,解得1x =±.故选D.7.答案:-3解析:由分子290x -=,解得3x =±.当3x =-时,分母360x -=-≠;当3x =时,分母30x -=,分式没有意义,所以x 的值为-3. 8.答案:-2解析:∵分式260||3x x x --=-,∴260x x --=且||3x ≠,解得2x =-,∴当2x =-时,分式的值为0.9.答案:③解析:由310x -≠,得13x ≠,把x a =-代入分式31x a x +-中,当x a =-且13a -≠,即13a ≠-时,分式的值为零. 10.解析:∵22(2)1604a b b -+-=+,∴22(2)160a b -+-=且40b +≠,解得2a =,4b =,∴32a b -=. 11.答案:C解析:∵ 1m 长的电线质量为a ,其余电线的总质量为b ,∴其余电线的长度为m ba,∴这捆电线的总长度为1m ba⎛⎫+ ⎪⎝⎭. 12.答案:2000010010aa -+解析:设第二天小李打字的时间为x min.由题意可得100(10)20000a a x ++=,解得2000010010ax a -=+.13.解析:莉莉的解法不正确,正确的解法如下分式: ∵分式||2|2|x x -+的值为零, ∴||20x -=且|2|0x +≠,解得2x =.。
最新人教版八年级数学上册基础训练题第十五章 分式 15.1 分式1.式子①2x ;①5x y +;①12a-;①π1x -中,是分式的有( )A .①①B .①①C .①①D .①①①① 2.若分式23x-有意义,则x 的取值范围是( ) A .x ≠3 B .x =3 C .x <3 D .x >3 3.下列各式中,正确的是( ) A .a m ab m b +=+ B .0a b a b +=+ C .1111ab b ac c --=-- D .221x y x y x y-=-+ 4.若分式293a a -+的值为0,则a 的值为__________.5.约分:(1)22699x x x ++-; (2)2221m m m m-+-.6.通分: (1)26x ab ,29y a bc ; (2)2121a a a -++,261a -.7.下列各式中,取值可以为零的是( )A .2211m m +-B .211m m -+C .211m m +-D .211m m ++8.使分式||1xx -无意义的x 的取值是( ) A .0 B .1 C .-1 D .±19.不改变分式的值,使分式115101139x yx y-+的各项系数化为整数,分子、分母应乘以()A.10 B.9 C.45 D.9010.不改变分式2323523x xx x-+-+-的值,使分子、分母最高次项的系数为正数,正确的是()A.2332523x xx x+++-B.2332523x xx x-++-C.2332523x xx x+--+D.2332523x xx x---+11.当x=-2时,分式x nx m-+无意义,当x=4时,分式的值为0,求m+n的值.参考答案:1.C 2.A 3.D 4.35.解:(1)22269(3)39(3)(3)3x x x x x x x x ++++==-+--; (2)22221(1)1(1)m m m m m m m m m -+--==--. 6.解:(1)22223366318x x ac acxab ab ac a b c⋅==⋅, 22222299218y y b by a bc a bc b a b c⋅==⋅; (2)222211(1)21(1)(1)(1)a a a a a a a a ---==++++-, 2266(1)6(1)1(1)(1)(1)(1)(1)a a a a a a a a ++==-+-++-. 7-10 BDDD11.解:当分母x +m =0,即x =-m 时,分式x nx m-+无意义,解得m =2 当x -n =0,即x =n 时,分式x nx m-+的值为0,即n =4 故m +n =2+4=6.第十五章 分式 15.2 分式的运算1.用科学记数法表示0.000 006 5为( )A .6.5×10-5B .6.5×10-6C .6.5×10-7D .65×10-62.化简2221121a a a a a a +-÷--+的结果是( ) A .1aB .aC .11a a +-D .11a a -+3.化简:2332x y xz yz z y x ⎛⎫⎛⎫⎛⎫⋅⋅ ⎪⎪ ⎪⎝⎭⎝⎭⎝⎭等于( ) A .232y z xB .xy 4z 2C .xy 4z 4D .y 5z4.计算37444x x y yx y y x x y++----得( ) A .264x y x y +-- B .264x yx y+- C .-2 D .2 5.化简211121a a a a ⎛⎫+÷ ⎪--+⎝⎭的结果是( ) A .a +1 B .11a - C .1a a- D .a -1 6.若m 等于它自身的倒数,则分式22244242m m m mm m +++÷--的值为__________. 7.化简22221221121x x x x x x x x x +--+-÷--++的结果是__________. 8.已知a +b =3,ab =1,则a bb a+的值等于__________.9.先化简,再求值:35222x x x x -⎛⎫÷+- ⎪--⎝⎭,其中x =-4.10.特殊的问题中往往蕴含有一些规律与技巧,当一个问题出现时,不妨先观察一下问题的特征,探究出规律再应用于解题,这是数学中常用的“特殊——一般——应用”方法.请先阅读材料,再解题.计算1111(1)x x x x -=++, 即有111(1)1x x x x =-++. 试用上式计算:111112233420132014++++⨯⨯⨯⨯.11已知两个分式:244A x =-,1122B x x=++-,其中x ≠±2,下面有三个结论:①A =B ;①A ·B =1;①A +B =0.请问哪个正确?为什么?参考答案:1-5 BABDD 6.±1 7.11x - 8.79.解:2345222x x x x x ⎛⎫--=÷- ⎪---⎝⎭原式 3212(3)(3)3x x x x x x --=⋅=--++. 当x =-4时,原式=143-+=-1. 10.解:111112233420132014++++⨯⨯⨯⨯1111111112233420132014=-+-+-++- 12013120142014=-=. 11.解:①正确. 理由: 因为2112(2)422(2)(2)4x x B x x x x x --+=-==-+-+--. 所以2244044A B x x +=-=--第十五章 分式 15.3 分式方程1.下列关于x 的方程是分式方程的为( )A .23356x x ++-=B .137x x a +=-+C .x a b x a b a b -=-D .2(1)11x x -=- 2.解分式方程2236111x x x +=+--,下列四步中,错误的一步是( ) A .方程两边分式的最简公分母是x 2-1B .方程两边同乘(x 2-1),得整式方程2(x -1)+3(x +1)=6C .解这个整式方程得x =1D .原方程的解为x =1 3.当x =__________时,25x x --与1x x+互为相反数. 4.把分式方程1222x x x+=--化为整式方程为__________. 5.解下列分式方程: (1)32322x x x +=+-; (2)81877x x x--=--.6.甲、乙两个火车站相距1 280 km ,采用“和谐”号动车组提速后,列车行驶速度是原来速度的3.2倍,从甲站到乙站的时间缩短了11 h ,求列车提速后的速度.7.若分式方程22axx =+的解是2,则a 的值是( ) A .1 B .2 C .3 D .4 8.已知关于x 的分式方程211a x +=+的解是非正数,则a 的取值范围是( ) A .a ≤-1 B .a ≤-2 C .a ≤1且a ≠-2 D .a ≤-1且a ≠-2 9.方程24410x x -+=,则2x的值为( ) A .-2 B .-1 C .1 D .210.某工地调72人挖土和运土,已知3人挖出的土1人恰好能全部运走,调配劳动力使挖出来的土能及时运走且不窝工,解决此问题可设派x 人挖土,其他人运土,列方程①7213x x -=;①723x x -=;①x +3x =72;①372xx=-,上述方程中,正确的有( ) A .1个 B .2个 C .3个 D .4个 11.定义一种运算11a b a b =+☆,根据这个规定,则322x =☆的解为__________. 12.某校九年级两个班各为灾区捐款1 800元.已知2班比1班人均捐款多4元,2班的人数比1班的人数少10%.请你根据上述信息,就这两个班级的“人数”或“人均捐款”提出一个用分式方程....解决的问题,并写出解题过程.参考答案:1.D2.D3.5 64.x+2(x-2)=-15.解:(1)去分母,得3x(x-2)+2(x+2)=3(x+2)(x-2),去括号,得3x2-6x+2x+4=3x2-12,整理,得-4x=-16,解得x=4.经检验x=4是原方程的解,所以原方程的解为x=4.(2)方程两边同乘x-7,得x-8+1=8(x-7),解这个方程,得x=7.检验,当x=7时,x-7=0.所以x=7不是原方程的解,所以原方程无解.6.解:设列车提速前的速度为x km/h,则提速后的速度为3.2x km/h.根据题意,得12801280113.2x x-=.解得,x=80.经检验,x=80是所列方程的解,也符合实际意义.所以80×3.2=256(km/h).答:列车提速后的速度为256 km/h.7.D8.D9.C10.C11.112.解:求两个班人均捐款各多少元?设1班人均捐款x元,则2班人均捐款(x+4)元根据题意得,1800180090%4x x⋅=+,解得x=36,经检验x=36是原方程的根,①x+4=40答:1班人均捐36元,2班人均捐40元.求两个班人数各多少人?设1班有x人,则根据题意得,18001800+=,解得x=50,40.9x x经检验x=50是原方程的根,①0.9x=45.答:1班有50人,2班有45人.。
《分式》基础训练一、选择题(本大题共5小题,共50.0分)1.(10分)若分式有意义,则x的取值范围是()A.x≠0B.x≠3C.x≠﹣3D.x≠﹣2.(10分)已知分式的值是0,则x的值是()A.﹣3B.±3C.0D.33.(10分)下列代数式是分式的是()A.B.C.m﹣n D.4.(10分)使分式有意义的x的取值范围是()A.x≠1B.x≠2C.x≠D.x≠05.(10分)下列各式:,,,,,其中分式的个数有()A.5个B.4个C.3个D.2个二、填空题(本大题共5小题,共50.0分)6.(10分)若分式的值为0,则x=.7.(10分)若分式在实数范围内有意义,则实数x的取值范围是.8.(10分)若分式的值为0,则x的值为.9.(10分)当x时,分式的值为0;若分式有意义,则x的取值范围是.10.(10分)如果分式的值为0,则x的值是.《分式》基础训练参考答案与试题解析一、选择题(本大题共5小题,共50.0分)1.(10分)若分式有意义,则x的取值范围是()A.x≠0B.x≠3C.x≠﹣3D.x≠﹣【分析】直接利用分式有意义的条件分析得出答案.【解答】解:∵分式有意义,∴x+3≠0.解得:x≠﹣3.故选:C.【点评】此题主要考查了分式有意义的条件,正确把握分式的定义是解题关键.2.(10分)已知分式的值是0,则x的值是()A.﹣3B.±3C.0D.3【分析】根据分式的值为0的条件列式求解即可.【解答】解:根据题意得,2x﹣6=0且x+1≠0,解得x=3.故选:D.【点评】本题考查了分式的值为0的条件,若分式的值为零,需同时具备两个条件:(1)分子为0;(2)分母不为0.这两个条件缺一不可.3.(10分)下列代数式是分式的是()A.B.C.m﹣n D.【分析】判断分式的依据是看分母中是否含有字母,如果含有字母则是分式,如果不含有字母则不是分式.【解答】解:A.是多项式,不符合题意;B.是单项式,不符合题意;C.m﹣n是多项式,不符合题意;D.是分式,符合题意;故选:D.【点评】本题考查的是分式的定义,在解答此题时要注意分式是形式定义,只要是分母中含有未知数的式子即为分式.4.(10分)使分式有意义的x的取值范围是()A.x≠1B.x≠2C.x≠D.x≠0【分析】根据分式有意义的条件是分母不为0;分析原分式可得关系式2x﹣1≠0,解可得自变量x的取值范围.【解答】解:根据题意,有2x﹣1≠0,解可得x≠.故自变量x的取值范围是x≠.故选:C.【点评】此题主要考查了分式有意义的条件,关键是掌握分式有意义的条件是分母不等于零.5.(10分)下列各式:,,,,,其中分式的个数有()A.5个B.4个C.3个D.2个【分析】判断分式的依据是看分母中是否含有字母,如果含有字母则是分式,如果不含有字母则不是分式.【解答】解:,,的分母中均不含有字母,因此它们是整式,而不是分式.,分母中含有字母,因此是分式.故选:D.【点评】本题主要考查分式的定义,注意π不是字母,是常数,所以不是分式,是整式.二、填空题(本大题共5小题,共50.0分)6.(10分)若分式的值为0,则x=﹣4.【分析】分式为零时:分子等于零且分母不等于零.【解答】解:依题意得:|x|﹣4=0且4﹣x≠0.解得x=﹣4.故答案是:﹣4.【点评】本题考查的是分式的值为0的条件,熟知分式值为零的条件是分子等于零且分母不等于零是解答此题的关键.7.(10分)若分式在实数范围内有意义,则实数x的取值范围是x≠﹣.【分析】先根据分式有意义的条件列出关于x的不等式,求出x的取值范围即可.【解答】解:由题意得2x+3≠0,解得x≠﹣,故答案为:x≠﹣.【点评】本题考查的是分式有意义的条件,熟知分式有意义的条件是分母不等于零是解答此题的关键.8.(10分)若分式的值为0,则x的值为2.【分析】分式值为零的条件是分子等于零且分母不等于零,据此求解即可.【解答】解:∵分式的值为0,∴,解得x=2.故答案为:2.【点评】此题主要考查了分式的值为零的条件,要熟练掌握,分式值为零的条件是分子等于零且分母不等于零.9.(10分)当x=1时,分式的值为0;若分式有意义,则x的取值范围是x ≠﹣5.【分析】分式的值为0的条件为分子等于0且分母不等于0;分式有意义的条件是分母不等于零.【解答】解:若分式的值为0,则x﹣1=0,且x+1≠0,解得x=1;若分式有意义,则x+5≠0,解得x≠﹣5,故答案为:﹣1;x≠﹣5.【点评】本题主要考查了分式有意义的条件:分母不等于零.解题时注意:分式的值为0的条件为:分子等于0且分母不等于0.10.(10分)如果分式的值为0,则x的值是0.【分析】根据分式值为零的条件列式计算即可.【解答】解:由题意得,x(x﹣2)=0,x﹣2≠0,解得,x=0,故答案为:0.【点评】本题考查的是分式值为零的条件,掌握分式值为零的条件是分子等于零且分母不等于零是解题的关键.。
启点教育八年级下分式基础训练题
命题:turbo22 一选择题(每小题3分,共15分)
1.代数式的家中来了四位客人①x 2 ②
5y x + ③a -21 ④1
-πx ,其中属于分式家族成员的有( )
A .①② B. ③④ C. ①③ D.①②③④
2.若分式1-x x 无意义,则x 的值是( ) A. 0 B. 1 C. -1 D.1±
3.小名把分式xy
y x -中的x 、y 的值都扩大2倍,却搞不清分式的值有什么变化,请帮他选出正确的答案( )
A .不变
B .扩大2倍
C .扩大4倍
D .缩小一半
4计算
1
111-++x x 的正确结果是( ) A .0 B .212x x - C .212x - D .122-x x
5.一件工作,甲单独做a 小时完成,乙单独做b 小时完成,则甲、乙两人合作完成需要( )小时。
A .b a 11
+ B .ab 1 C .b a +1 D .b
a ab
+
二填空题(每小题3分,共15分)
6. (-2)-2= 。
7. 当x 时,分式3
213+-x x 有意义 8. 在冬春季节是禽流感病的高发时期,禽流感病毒一般为球形,直
径大约为0.000000102米,用科学记数法表示为 。
9. 方程x
x 527=-的解是 。
10.我国是一个水资源贫乏的国家,每一个公民都应自觉养成节约用
水的意识和习惯,为提高水资源的利用率,某住宅小区安装了循环用水装置。
经测算,原来a 天用水m 吨,现在这些水可多用5天,现在每天比原来少用水 吨。
三化简(每小题5分,共20分) 11. 423
2234.23b a d c cd ab 12. xy
y x x xy -÷-)(2
13. x x x 26196312+---- 14. x x x x x x x x 4)4
4122(22-÷+---++
四解方程(每小题7分,共14分) 17.
22122=-+-x x x x 18. x
x x 38741836---=-
五先化简,后求值(每小题8分,共16分) 19.
22441y x y x y x +÷-+,其中8=x ,11=y
20.
a a a a a a 12222+-+-- ,其中100=a
六应用题(每小题10分,共20分)
21.A同学4小时清点完一批图示的一半,B同学加入清点另一半图书的清点工作,两人合作一小时清点完另一半图书。
如果B同学单独清点这批图书,需要多少个小时?
22.甲,乙两人分别从距离目的地6千米和10千米的两地同时出发,甲乙的速度比是3:4,结果甲比乙提前20分钟到达目的地,求甲乙的速度?
(注:文档可能无法思考全面,请浏览后下载,供参考。
可复制、编制,期待
你的好评与关注!)。