对数的换底公式及其推论(含答案)
- 格式:doc
- 大小:222.50 KB
- 文档页数:4
对数的换底公式推导过程对数是数学中的一种运算,它有着广泛的应用。
在实际问题中,我们常常需要计算不同底数的对数之间的关系,这就需要用到换底公式。
下面我们将从推导过程的角度,详细介绍对数的换底公式。
我们先来看一下对数的定义。
设a是一个大于0且不等于1的数,b是一个大于0的数,那么对数的定义可以表示为:logₐ b = x ⇔ a^x = b其中,logₐb表示以a为底b的对数,x表示满足等式a^x = b的一个实数。
接下来,我们要推导对数的换底公式。
假设我们要计算logₐc的值,但是我们只知道logₐ b和logₐ a的值,那么怎么办呢?我们可以利用指数的基本运算法则来推导换底公式。
首先,我们将logₐ c表示为logₐ b,再将logₐ b表示为logₐ a,然后将其代入到对数的定义中,得到以下等式:logₐ c = logₐ b = logₐ a接下来,我们将对数的定义展开,得到以下等式:a^logₐ c = a^logₐ b = a^logₐ a根据指数和对数的定义,我们知道a^logₐa = a,因此上述等式可以简化为:c = b = a接着,我们将上述等式进行对数运算,得到以下等式:logₐ c = logₐ b = logₐ a其中,logₐc表示以a为底c的对数,logₐb表示以a为底b的对数,logₐ a表示以a为底a的对数。
我们通过对数的定义和指数的基本运算法则,推导出了对数的换底公式:logₐ c = logₐ b / logₐ a换底公式告诉我们,如果我们只知道以同一个底数a为底的两个对数,而想要计算以a为底的另一个数的对数,可以通过这个公式进行计算。
其中,底数a可以是任意正数,只要不等于1即可。
需要注意的是,当底数a为10时,换底公式可以进一步简化为常用对数和自然对数之间的关系:log c = log b / log a该公式是计算以10为底的对数的常用形式。
总结一下,对数的换底公式是通过对数的定义和指数的基本运算法则推导得出的。
对数的换底公式及其推论一、复习引入:对数的运算法则如果 a > 0,a 丰 1,M > 0, N > 0 有:log a (MN) Jog a M gN ⑴ 蛰lo (2)log.M n 二 nlog a M(n R) (3)、新授内容: 1•对数换底公式:证明:设 log a N = x ,贝U a x= N -两边取以m 为底的对数:log m a x= log m N = x log m a = log m N2•两个常用的推论① log a b log b a =1 , logblogcloga" * ②log a mb " = ^log a b ( a, b > 0 且均不为 1)・m证:① log a b log b a == 1 亠 lga lg b三、讲解范例:lOg a Nlog m N log m a(a > 0 ,a 丰 1 , m > 0 ,m 丰 1,N>0) *从而得: log m N x =log m alog a Nlog m N log m a② log a m b n_ lgb n = nig b lga mmlga弋log ab例 1 已知 log 2 3 = a , log 3 7 = b, 用 a, b 表示 log 42 56 解:因为log 2 3 = a ,则1log 3 2 , 又/log 3 7 =b,a •'•log 42 56log 3 56 log 342 log 3 7 3 log 3 2 log 3 7 log 32 1ab 3 ab b 1例2计算:①51-log。
/log 4 3 log 9 2 - log 1 4322解: ①原式55叫.23 5r log5-5 34=153 ②原式=~log 232log 32x, y,z (0,::)且3x=4y=111求证+ :;2x 2y z例3设 1 =6z =k =4y 1 :设 3x 6z十彳log 2 2比较3x,4y,6z 的大小-证明 •/x, y, z (0, ::) /.k 1 取对数得:yJ gkz=3 lg4lg6••丄丄 x 2y _ lg3 . lg4 _lgk 2lgk 2lg3 lg4 2lgk 2lg3 2lg22lgklg6 lgk3 23—(浜—)lgk 二 lg4 lg6^lg81lgk lg3lg464 lg klg -81::: 0 lg3lg4•'•3x :: 4y又:4y-6z=(二lg4 lg6 lg k lg -96、「 lg36 -lg64 16小)lg klg k16:: 0lg2lg6lg2lg6•'4y ::: 6z•'•3x ::: 4y ::: 6z .例 4 已知 log a x= log a C+b ,求 x.分析:由于x 作为真数,故可直接利用对数定义求解;另外,由于等式右端为两实数和的形式,b 的存在使变形产生困难,故可考虑将 log a C 移到等式左端,或者将b 变为对数形式• 解法由对数定义可知: 乂二才叫小口吋a b=c a b. 解法二:x由已知移项可得log a x-log a c =b ,即log a b cx b b由对数定义知:a • x 二c a •c解法三:b=log a a b log a x = log a c Tog a a b = log a c a b . x=ca b四、课堂练习:①已知 log 18 9 = a , 18 = 5 ,用 a, b 表小 log 36 45解:••• 18 log 18 9 = a /.log 18 —1 -log 18 •log 182 = 1 _a••• 18b= 5 • log 185 = bl o g 8 9 l o g 8 5 a b 1 l o g 8 2 2 - a②若 log 8 3 = p , log 3 5 = q ,求 lg 5log 36 45log i8 45 log i8 36三、小结 本节课学习了以下内容:换底公式及其推论 四、课后作业:1 .证明:log ax =1 log ablog ab x证法 1:设 log a X 二 p , log ab X 二 q , log a b 二 r贝U : x=a px=(ab)q=a q b qb=a r•a P= (ab)q = aq(1 r)从而 p = q(1 ■ r)•••q=0 •- =1 r 即:log a x= 1 log a b (获证) q log ab xlog a x log x ab 证法2:由换底公式 左边=- - log a ab = 1 log a b =右边 log ab x log x a2•已知 lo g a ! b 1 = lo g a 2 b2 = = log a n bn ='求证:Sg a^ a n (b 1b2bn)二,证明:由换底公式 业二眶二•…二皿二■由等比定理得:lg a 1 lg a 2lg a .lg d +lg b 2 + …+lgb n _ ? . lg(db2…b n )lga 1 lga 2 lg a nlg(a£2 a n )•log a 1a 2 a n 隔b n )巒解:T log 8 3 = p•」og 23 3= P =■ log 2 3 = 3 p =• log 3 21 3p又 v log 3 5 二 qlog 3 5 log 3 5log 310 log 3 2 log 353pq 1 3pqlg(a1a2 a n)THANKS !!! 致力为企业和个人提供合同协议,策划案计划书,学习打造全网一站式需求欢迎您的下载,资料仅供参考。
对数换底公式(一)
对数换底公式
什么是对数换底公式?
对数换底公式是指将一个对数的底换成另一个底的公式,用于简化和计算对数运算。
对数换底公式的基本形式
若a>0且a≠1,b>0且b≠1,c>0,且c≠1,则对数换底公式的基本形式为: logab = logcb / logca
对数换底公式的推导
对数换底公式的推导基于对数的定义和指数法则。
对数的定义
对数的定义是:如果ax=b,则称x为以a为底b的对数,记为logab. 这里的a被称为对数的底,b为对数的真数。
指数法则
指数法则是一组用于简化指数运算的公式。
- ax * ay = ax+y (乘法法则) - (ax)y = axy (幂法则) - a0 = 1 (零指数法则)等等
对数换底公式的例子
下面是一些对数换底公式的实际例子。
•log28 = log108 / log102:将底换成10,可以使用常用的对数计算。
•log39 = loge9 / loge3:将底换成自然对数e,适用于计算自然对数的场景。
•log525 = log725 / log75:将底换成任意不同的数值,适用于任意对数计算。
通过对数换底公式,我们可以轻松地将一个对数的底换成另一个底,简化对数运算,并根据不同的场景选择合适的底数进行计算。
希望以上对数换底公式的介绍能对你有所帮助!。
log的换底公式的推导好的,以下是为您生成的关于“log 的换底公式的推导”的文章:在咱们数学的奇妙世界里,log(对数)可是个让人又爱又恨的家伙。
今天咱们就来好好唠唠 log 的换底公式,这玩意儿看似复杂,其实只要咱一步步拆解,那也是小菜一碟!咱们先来说说为啥要整出个换底公式。
就拿咱平时做题来说吧,有时候题目给的底数和咱想要的底数不一样,这可咋整?这时候换底公式就派上用场啦,能让咱们把不同底数的对数换成相同底数的,方便计算和比较。
比如说,咱有个对数logₐb,想把底数换成 c,那换底公式就是logₐb = logₐc / logₐc。
那这公式咋来的呢?咱们来推导推导。
假设logₐb = x,那根据对数的定义,就有 a^x = b。
接下来,咱两边同时取以 c 为底的对数,就得到logₐc(a^x) = logₐc b。
因为logₐc(a^x) = x logₐc a,所以x logₐc a = logₐc b。
最后把 x 解出来,x = logₐc b / logₐc a,这不就是咱们要的换底公式嘛!我记得之前有一次给学生们讲这个知识点的时候,有个学生就特别迷糊,一直问我为啥要这么换来换去的。
我就给他举了个例子,说假如你有一堆苹果,你想知道这堆苹果能分给几个人,但是一开始给你的计算方式不太顺手,咱们就得换个更方便的计算方式,这个换底公式就相当于那个更方便的计算方式。
咱们再深入瞅瞅这个公式的应用。
比如说,要计算 log₂5,直接算不太好弄,那咱们就可以换成以 10 为底,也就是 log₂5 = log₁₀5 / log₁₀2。
然后通过查对数表或者用计算器,就能算出结果啦。
在实际解题中,换底公式还能帮助咱们证明一些等式或者不等式。
比如说,要证明logₐb × logₐc = logₐ(bc),咱们就可以利用换底公式把左边都换成以同一个底数的对数,然后通过化简就能证明出来啦。
总之,log 的换底公式就像是一把万能钥匙,能帮咱们打开很多数学难题的大门。
对数的运算学习目标 1.掌握积、商、幂的对数运算性质,理解其推导过程和成立条件.2.掌握换底公式及其推论.3.能熟练运用对数的运算性质进行化简求值.知识点一 对数运算性质如果a >0,且a ≠1,M >0,N >0,那么: (1)log a (M ·N )=log a M +log a N ; (2)log a MN =log a M -log a N ;(3)log a M n =n log a M (n ∈R ). 知识点二 换底公式1.log a b =log c blog c a (a >0,且a ≠1;c >0,且c ≠1;b >0).2.对数换底公式的重要推论:(1)log a N =1log N a (N >0,且N ≠1;a >0,且a ≠1);(2)log n ma b =m nlog a b (a >0,且a ≠1,b >0);(3)log a b ·log b c ·log c d =log a d (a >0,b >0,c >0,d >0,且a ≠1,b ≠1,c ≠1). 预习小测 自我检验1.计算log 84+log 82=________. 答案 12.计算log 510-log 52________. 答案 13.(1)lg 10=________;(2)已知ln a =0.2,则ln ea =________.答案 (1)12 (2)0.84.log 29log 23=________. 答案 2一、对数运算性质的应用 例1 计算下列各式: (1)log 53625;(2)log 2(32×42); (3)log 535-2log 573+log 57-log 595.解 (1)原式=13log 5625=13log 554=43.(2)原式=log 232+log 242=5+4=9.(3)原式=log 5(5×7)-2(log 57-log 53)+log 57-log 595=log 55+log 57-2log 57+2log 53+log 57-2log 53+log 55=2log 55=2. 反思感悟 对数式化简与求值的基本原则和方法 (1)基本原则对数式的化简求值一般是正用或逆用公式,对真数进行处理,选哪种策略化简,取决于问题的实际情况,一般本着便于真数化简的原则进行. (2)两种常用的方法①“收”,将同底的两对数的和(差)收成积(商)的对数; ②“拆”,将积(商)的对数拆成同底的两对数的和(差). 跟踪训练1 计算下列各式的值: (1)(lg 5)2+2lg 2-(lg 2)2; (2)lg 3+25lg 9-35lg 27lg 81-lg 27.解 (1)原式=(lg 5+lg 2)(lg 5-lg 2)+2lg 2 =lg 10(lg 5-lg 2)+2lg 2 =lg 5-lg 2+2lg 2 =lg 5+lg 2=1.(2)原式=lg 3+45lg 3-910lg 34lg 3-3lg 3=⎝⎛⎭⎫1+45-910lg 3(4-3)lg 3=910. 二、对数换底公式的应用例2 (1)计算:(log 43+log 83)log 32=________. 答案 56解析 原式=⎝⎛⎭⎫1log 34+1log 38log 32 =⎝⎛⎭⎫12log 32+13log 32log 32 =12+13=56. (2)已知log 189=a ,18b =5,求log 3645.(用a ,b 表示) 解 因为18b =5,所以b =log 185. 所以log 3645=log 1845log 1836=log 18(5×9)log 18(2×18)=log 185+log 189log 182+log 1818=a +b 1+log 182=a +b 1+log 18189=a +b 2-log 189=a +b 2-a .延伸探究若本例(2)条件不变,求log 915.(用a ,b 表示) 解 因为18b =5,所以log 185=b . 所以log 915=log 1815log 189=log 18(3×5)log 189=log 183+log 185a =log 189+ba=1218log 9b a+=12log 189+b a=12a +b a =a +2b 2a.反思感悟 利用换底公式化简与求值的思路跟踪训练2 (1)log 89log 23的值是( )A.23B.32 C .1 D .2 答案 A解析 方法一 将分子、分母利用换底公式转化为常用对数, 即log 89log 23=lg 9lg 8lg 3lg 2=2lg 33lg 2·lg 2lg 3=23. 方法二 将分子利用换底公式转化为以2为底的对数, 即log 89log 23=log 29log 28log 23=2log 233log 23=23. (2)计算:log 52·log 79log 513·log 734.解 原式=log 52log513·log 79log 734212211233log 9log 23log 3==⋅=-12·log 32·3log 23=-32.三、对数的综合应用例32018年我国国民生产总值为a 亿元,如果平均每年增长8%,估计约经过多少年后国民生产总值是2018年的2倍?(lg 2≈0.301 0,lg 1.08≈0.033 4,精确到1年)解 设经过x 年后国民生产总值为2018年的2倍. 经过1年,国民生产总值为a (1+8%), 经过2年,国民生产总值为a (1+8%)2, …,经过x 年,国民生产总值为a (1+8%)x =2a , 所以1.08x =2,所以x =log 1.082=lg 2lg 1.08=0.301 00.033 4≈9,故约经过9年后国民生产总值是2018年的2倍. 反思感悟 解决对数应用题的一般步骤跟踪训练3 在不考虑空气阻力的情况下,火箭的最大速度v (单位:m/s)和燃料的质量M (单位:kg),火箭(除燃料外)的质量m (单位:kg)满足e v =⎝⎛⎭⎫1+Mm 2 000(e 为自然对数的底数,ln 3≈1.099).当燃料质量M 为火箭(除燃料外)质量m 的两倍时,求火箭的最大速度(单位:m/s). 解 因为v =ln ⎝⎛⎭⎫1+Mm 2 000 =2 000·ln ⎝⎛⎭⎫1+M m , 所以v =2 000·ln 3≈2 000×1.099=2 198(m/s).故当燃料质量M 为火箭质量m 的两倍时,火箭的最大速度为2 198 m/s.1.计算:log 123+log 124等于( ) A .1 B .2 C .3 D .4 答案 A2.若lg 2=m ,则lg 5等于( ) A .m B.1m C .1-m D.10m答案 C 解析 lg 5=lg102=lg 10-lg 2=1-m . 3.化简12log 612-2log 62的结果为( )A .6 2B .12 2C .log 6 3 D.12答案 C解析 原式=log 612-log 62=log 6122=log 6 3. 4.下列各等式正确的为( ) A .log 23·log 25=log 2(3×5) B .lg 3+lg 4=lg(3+4) C .log 2xy=log 2x -log 2yD .lg nm =1n lg m (m >0,n >1,n ∈N *)答案 D解析 A ,B 显然错误,C 中,当x ,y 均为负数时,等式右边无意义. 5.计算:log 513·log 36·log 6125=________.答案 2解析 原式=lg 13lg 5·lg 6lg 3·lg 125lg 6=-lg 3lg 5·lg 6lg 3·-2lg 5lg 6=2.1.知识清单: (1)对数的运算性质. (2)换底公式. (3)对数的实际应用. 2.方法归纳:(1)利用对数的运算性质,可以把乘、除、乘方运算转化为加、减、乘的运算,加快计算速度.(2)利用结论log a b ·log b a =1,log n ma b =m n log a b 化简求值更方便.3.常见误区:要注意对数的运算性质(1)(2)的结构形式,易混淆.1.lg 8+3lg 5的值为( ) A .-3 B .-1 C .1 D .3 答案 D解析 lg 8+3lg 5=3lg 2+3lg 5=3(lg 2+lg 5)=3. 2.如果lg x =lg a +3lg b -5lg c ,那么( ) A .x =ab 3c 5B .x =3ab5cC .x =a +3b -5cD .x =a +b 3-c 3答案 A 解析lg a +3lg b -5lg c =lg a +lg b 3-lg c 5=lgab 3c 5, 由lg x =lg ab 3c 5,可得x =ab 3c5.3.设a =log 32,则log 38-2log 36用a 表示的形式是( ) A .a -2 B .3a -(1+a )2 C .5a -2 D .-a 2+3a -1答案 A解析 ∵a =log 32,∴log 38-2log 36=3log 32-2(log 32+1)=3a -2(a +1)=a -2. 4.计算log 225·log 322·log 59的结果为( ) A .3 B .4 C .5 D .6 答案 D解析 原式=lg 25lg 2·lg 22lg 3·lg 9lg 5=2lg 5lg 2·32lg 2lg 3·2lg 3lg 5=6. 5.若lg x -lg y =t ,则lg ⎝⎛⎭⎫x 23-lg ⎝⎛⎭⎫y23等于( )A .3t B.32t C .t D.t2答案 A解析 lg ⎝⎛⎭⎫x 23-lg ⎝⎛⎭⎫y 23=3lg x 2-3lg y 2 =3lg xy=3(lg x -lg y )=3t .6.lg 5+lg 20的值是________. 答案 1解析 lg 5+lg 20=lg 100=lg 10=1. 7.(lg 5)2+lg 2·lg 50=________. 利用lg 2+lg 5=1化简求解对数值 答案 1解析 (lg 5)2+lg 2·lg 50=(lg 5)2+lg 2(lg 5+lg 10) =(lg 5)2+lg 2·lg 5+lg 2 =lg 5(lg 5+lg 2)+lg 2 =lg 5+lg 2=1.8.若lg x +lg y =2lg(x -2y ),则xy =________.答案 4解析 因为lg x +lg y =2lg(x -2y ), 所以⎩⎪⎨⎪⎧x >0,y >0,x -2y >0,xy =(x -2y )2.由xy =(x -2y )2,知x 2-5xy +4y 2=0, 所以x =y 或x =4y . 又x >0,y >0且x -2y >0, 所以舍去x =y ,故x =4y ,则x y =4.9.用lg x ,lg y ,lg z 表示下列各式: (1)lg(xyz );(2)lg xy 2z;(3)lg xy 3z;(4)lg x y 2z .解 (1)lg(xyz )=lg x +lg y +lg z .(2)lg xy 2z =lg(xy 2)-lg z =lg x +2lg y -lg z .(3)lg xy 3z =lg(xy 3)-lg z =lg x +3lg y -12lg z .(4)lgxy 2z =lgx -lg(y 2z )=12lg x -2lg y -lg z .10.计算下列各式的值:(1)log 535+212log log 5150-log 514;(2)[(1-log 63)2+log 62·log 618]÷log 64; (3)(log 43+log 83)(log 32+log 92).解 (1)原式=log 535+log 550-log 514+21212log 2=log 535×5014+12log 2=log 553-1=2.(2)原式=[(log 66-log 63)2+log 62·log 6(2×32)]÷log 64=⎣⎡⎦⎤⎝⎛⎭⎫log 6632+log 62·(log 62+log 632)÷log 622 =[(log 62)2+(log 62)2+2log 62·log 63]÷2log 62 =log 62+log 63=log 6(2×3)=1. (3)(log 43+log 83)(log 32+log 92) =⎝⎛⎭⎫lg 3lg 4+lg 3lg 8⎝⎛⎭⎫lg 2lg 3+lg 2lg 9 =⎝⎛⎭⎫lg 32lg 2+lg 33lg 2⎝⎛⎭⎫lg 2lg 3+lg 22lg 3 =5lg 36lg 2×3lg 22lg 3=54.11.方程log 3(x 2-10)=1+log 3x 的解是( ) A .-2 B .-2或5 C .5 D .3答案 C解析 原方程可化为log 3(x 2-10)=log 3(3x ), 所以x 2-10=3x ,解得x =-2,或x =5.经检验知x =5.12.若lg x -lg y =a ,则lg ⎝⎛⎭⎫x 23-lg ⎝⎛⎭⎫y 23等于( ) A .3a B.32a C .a D.a2答案 A解析 由对数的运算性质知,原式=3(lg x -lg 2)-3(lg y -lg 2)=3(lg x -lg y )=3a . 13.若3x =4y =36,则2x +1y =________.答案 1解析 3x =4y =36,两边取以6为底的对数,得 x log 63=y log 64=2,∴2x =log 63,2y =log 64,即1y =log 62, 故2x +1y=log 63+log 62=1. 14.若x log 32=1,则4x +4-x =________. 答案829解析 因为x =1log 32=log 23, 所以4x+4-x =22x +2-2x =22log 32+22log 32-=22log 32+22log 32-=9+19=829.15.若ab >0,给出下列四个等式: ①lg(ab )=lg a +lg b ; ②lg ab =lg a -lg b ;③12lg ⎝⎛⎭⎫a b 2=lg a b ; ④lg(ab )=1log ab 10.其中一定成立的等式的序号是( )A .①②③④B .①②C .③④D .③答案 D 解析 ∵ab >0,∴a >0,b >0或a <0,b <0, ∴①②中的等式不一定成立;∵ab >0,∴a b >0,12lg ⎝⎛⎭⎫a b 2=12×2lg a b =lg a b, ∴③中等式成立;当ab =1时,lg(ab )=0,但log ab 10无意义, ∴④中等式不成立.故选D.16.已知log 23=a ,log 37=b ,用a ,b 表示log 4256.解 ∵log 23=a ,则1a=log 32,又∵log 37=b , ∴log 4256=log 356log 342=log 37+3log 32log 37+log 32+1=ab +3ab +a +1.。
对数的换底公式复习如果 a >0,a ≠1,M >0,N >0 有:log ()log log log log log log log ()a a a a a a n a a MN M NM M NNM n M n R =+=-=∈log log ()m n a a nM M n R m=∈ 新课试证明与理解: 1.对数换底公式:aNN m m a log log log =( a >0,a ≠1,m >0,m ≠ 1,N >0)2.两个常用的推论:①1log log =⋅a b b a , 1log log log =⋅⋅a c b c b a ② b mnb a na m log log =( a , b >0且均不为1) 例1、(1)27log 9,(2)81log 43,(3)625log 345,例2、已知2log 3 =a , 3log 7 =b,用a ,b 表示42log 56例3、计算:①0.21log 35 ② 4219432log 2log 3log -⋅例4、设),0(,,+∞∈z y x 且zyx643==,求证 zy x 1211=+练习①已知18log 9=a ,b18=5,用a ,b 表示36log 45②若8log 3=p,3log 5 =q, 求lg5作业1. 计算:421938432log )2log 2)(log 3log 3(log -++2.若 2log log 8log 4log 4843=⋅⋅m ,求m3.求值:12log 221033)2(lg 20log 5lg -++⋅4.求值:2lg 2)32(3log10)347(log 22++-++对数函数的图像与性质(第一课时)[互动过程1]复习:1.对数函数2y log x =的图像与性质,以及与指数函数xy 2=的图像与性质之间的关系2.练习:画出下列函数的图像x x 121(1)y 2;(2)y log x;(3)y ();(4)y lg x 3====填表:对数函数a y log x(a 0,a 1)=>≠分别就其底数a 1>和0a 1<<这两种情况的图像和性质:例1.求下列函数的定义域:2a a (1)y log x ;(2)y log (4x)==-练习1:求下列函数的定义域1(1)y lg(x 5);(2)y ln3x=-=-例2.比较下列各题中两个数的大小:22(1)log 5.3,log 4.7; 0.20.2(2)log 7,log 93(3)log ,log 3;ππ a a (4)log 3.1,log 5.2(a 0,a 1)>≠练习2:比较下列各组数中两个值的大小:(1)4.32log _____5.82log (2)8.13.0log _____7.23.0log (3)1.5log a_____9.5log a (a >0,且a ≠1)课堂补充练习:1.求下列函数的定义域:(1))1(log 3x y -= (2)x y 3log = (3)xy 311log 7-= (4)x y 2log 1=2.比较大小.4log 5log )3(01.0log 31log )2(log 3log )1(5321.05.05.0和和和π。
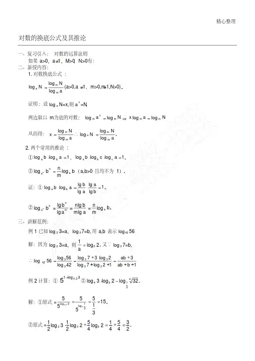
对数的换底公式及其推论
一、复习引入:对数的运算法则
如果 a > 0,a ≠ 1,M > 0, N > 0 有:
)
()()
(3R)M(n nlog M log 2N log M log N
M log 1N log M log (MN)log a n a a a a a a a ∈=-=+=
二、新授内容:
1.对数换底公式:
a
N
N m m a log log log =
( a > 0 ,a ≠ 1 ,m > 0 ,m ≠ 1,N>0)
证明:设 a log N = x , 则 x
a = N
两边取以m 为底的对数:N a x N a m m m x
m log log log log =⇒=
从而得:a N x m m log log =
∴ a
N m m a log log =
2.两个常用的推论:
①1log log =⋅a b b a , 1log log log =⋅⋅a c b c b a ② b m
n
b a n
a m log log =
( a, b > 0且均不为1) 证:①lg lg lg lg log log =⋅=
⋅b
a
a b a b b a ②b m n
a m
b n a
b b a m
n n
a m log lg lg lg lg log === 三、讲解范例:
例1 已知 2log 3 = a , 3log 7 = b, 用 a, b 表示42log 56 解:因为2log 3 = a ,则2log 1
3=a
, 又∵3log 7 = b, ∴1
3
12log 7log 2log 37log 42log 56log 56 log 33333342+++=++⋅+==
b ab ab
例2计算:①
3log 12.05- ②
2
194log 2log 3log -⋅ 解:①原式 =
3
15
5
5
5
53
1log 3
log 5
2.0==
= ②原式 =
2
45412log 452log 213log 21232=+=+⋅ 例3设),0(,,+∞∈z y x 且z
y x 643==
1︒ 求证
z
y x 1211=+ ; 2︒ 比较z y x 6,4,3的大小 证明1︒:设k z
y x ===643 ∵),0(,,+∞∈z y x ∴1>k 取对数得:3lg lg k
x =
, 4lg lg k y =, 6
lg lg k z = ∴
z
k k k k k y x 1
lg 6lg lg 22lg 23lg 2lg 24lg 3lg 2lg 24lg lg 3lg 211==+=+=+=+ 2︒ k y x lg )4lg 43lg 3(
43-=-04
lg 3lg 8164
lg
lg lg 4lg 3lg 81lg 64lg <=-=k k ∴y x 43<
又:k z y lg )6lg 64lg 4(
64-=-06
lg 2lg 169
lg
lg lg 6lg 2lg 64lg 36lg <⋅=-=k k ∴z y 64< ∴z y x 643<<例4已知a log x=a log c+b ,求x
分析:由于x 作为真数,故可直接利用对数定义求解;另外,由于等式右端为两实数和的形式,b 的存在使变形产生困难,故可考虑将a log c 移到等式左端,或者将b 变为对数形式 解法一:
由对数定义可知:b c a a x +=log b c a a a
⋅=log a c ⋅=
解法二:
由已知移项可得b c x a a =-log log ,即c
x
a =log 由对数定义知:
b a c
x
= a c x ⋅=∴ 解法三:
b a a b log = b a a a a
c x log log log +=∴b a a c ⋅=log b a c x ⋅=∴
四、课堂练习:
①已知 18log 9 = a , b
18 = 5 , 用 a, b 表示36log 45 解:∵ 18log 9 = a ∴a =-=2log 12
18
log 1818
∴18log 2 = 1-a ∵ b
18 = 5 ∴ 18log 5 = b ∴ a
b
a -+=++==
22log 15log 9log 36log 45log 45log 181818181836
②若8log 3 = p , 3log 5 = q , 求 lg 5
解:∵ 8log 3 = p ∴3log 32 =p ⇒p 33log 2=⇒p
31
2log 3=
又∵q =5log 3 ∴ 5log 2log 5log 10log 5log 5lg 33333+==
pq
pq
313+=
三、小结 本节课学习了以下内容:换底公式及其推论
四、课后作业: 1.证明:
b x
x
a a
b a log 1log log +=
证法1: 设 p x a =log ,q x ab =log ,r b a =log
则:p
a x = q
q
q
b a ab x ==)( r a b =
∴)
1()(r q q
p
a a
b a +== 从而 )1(r q p +=
∵ 0≠q ∴
r q
p
+=1 即:
b x x a ab a log 1log log +=(获证) 证法2: 由换底公式 左边=
b ab a
ab x x a a x x ab a log 1log log log log log +====右边
2.已知λ====n a a a b b b n log log log 2121 求证:λ=)(log 2121n a a a b b b n 证明:由换底公式
λ====n
n a b a b a b lg lg lg lg lg lg 22
11 由等比定理得:
λ=++++++n n a a a b b b lg lg lg lg lg lg 2121 ∴λ=)
lg()
lg(2121n n a a a b b b
∴λ==)
lg()
lg()(log 21212121n n n a a a a a a b b b b b b n。