中国所有市县统计
- 格式:doc
- 大小:152.55 KB
- 文档页数:12
1、山东烟台栖霞市1986年姓氏排名栖霞县1986年171748户,651584人,姓氏234个。
100户以上(含100户)的姓氏93个,按户数多少排序如下:王、林、刘、李、孙、张、于、牟、衣、柳、徐、范、崔、马、史、姜、陈、杨、郝、高、隋、韩、潘、胡、吕、吴、周、栾、宋、丁、阎、赵、曲、蒋、慕、冯、邹、谢、蔡、杜、常、郭、贾、宫、董、朱、鲁、梁、尹、路、祝、程、车、黄、迟、乔、苏、邢、孔、毛、唐、盛、苗、侯、罗、郑、娄、战、谭、许、翟、卢、曹、夏、米、邴、左、孟、刁、连、肖、傅、袁、桑、祁、万、尚、邱、段、荆、任、鞠、纪10户以上(含10户)100户以内的姓氏61个:按户数多少排序如下:齐、遇、臧、田、柯、姚、卫、钟、石、江、解、辛、房、逄、仲、倪、施、蒙、修、秦、葛、龚、滕、由、梅、曾、共、康、鲍、甄、符、魏、殷、包、初、茹、巩、汤、毕、芦、邓、佟、牛、仇、欧阳、骆、申、季、顾、门、郎、蓝、邵、丛、台、节、莫、褚、韦、莒、戚10户以下的姓氏共80个:按户数多少排序如下:宁、籍、方、沈、贺、薛、庞、单、管、陆、严、邰、时、和、耿、陶、矫、尤、步、汪、岳、明、温、盖、艾、安、华、鹿、岑、扈、卞、庄、岭、冷、何、金、原、楚、戴、司、全、欧、姬、钱、柴、恭、敖、尉、绪、彭、靳、慈、禚、綦、卜、乜、龙、白、边、匡、西、佘、谷、别、法、武、封、赴、宣、郗、麻、惠、羡、宿、赫、熊、颜、燕2、山东济宁泗水县1988年姓氏人口泗水县1988年统计,共有453个姓氏,张63607,王59192,李36545,刘33920,陈19460,孔18955,杨12744,宋11458,徐11147,孙10365。
千人以上有冯、马、赵等59姓,韩姓有6000人。
3、四川南充仪陇县1985年姓氏人口统计1-10人的姓氏120个,11-100人的姓氏54个,101-500人的姓氏49个。
1万人以上的姓氏19个:李、王、刘、陈、张、何、杨、吴、唐、邓、周、罗、许、胡、黄、林、彭、袁、郑,共537240人,李姓63794人为最多。
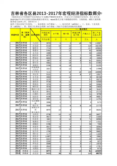
吉林省各区县2013-2017年宏观经济指标数据分析对(根据国家公开的数据中国县域统计年鉴2014-2018收集整理,并进行多年度数据并表处理,便于各区县
2013-2017年多年宏观经济指标数据分析对比,excel格式方便下载数据再利用。
方便快捷,减轻大量的数
据查找与处理工作,省时省力!)
提供了各区县每个年度的:一、基本情况(8个指标),二、综合经济(10指标),三、农业、工业及投
资(10指标),四、教育卫生和社会保障(6个指标)共34个宏观经济指标对比数据
分析对比表
各种社会福利收养性单位床
床
3700
4521
3248
2188
2131
2250
1824
1925
3356
1956
1826
6187
1651
1880
1743
942
1043
573
2644
709
758
465
287
306
443
1320
659
498
920
1864
1186
1408
1132
4300
919
2365
1234
1834
1302
1140
1439
3700
3899。
中国所有市县统计桐庐县淳安县宁波市:余姚市慈溪县奉化县鄞县县宁海县象山县海曙县江东县江北县镇海县北仑县温州市:鹿城区龙湾区瓯海区瑞安市乐清市永嘉县洞头县平阳县苍南县文成县泰顺县嘉兴市:秀城区秀洲区海宁市平湖市桐乡市嘉善县海盐县湖州市:湖州城区、南浔区、菱湖区、德清县、长兴县、安吉县绍兴市:越城区诸暨市上虞市嵊州市绍兴县新昌县金华市:婺城区兰溪市义乌市东阳市永康市金华县武义县浦江县磐安县衢州市:市本级柯城区龙游县常山县江山市衢县开化县舟山市:定海区普陀区岱山县嵊泗县台州市:椒江区黄岩区路桥区临海市温岭市玉环县天台县仙居县三门县丽水市:莲都区龙泉市青田县缙云县遂昌县松阳县云和县庆元县景宁畲族自治县江苏省南京市玄武区鼓楼区建邺区白下区秦淮区下关区雨花台区浦口区栖霞区江宁区六合区溧水县高淳县无锡市崇安区北塘区南长区锡山区惠山区滨湖区江阴市宜兴市徐州市云龙区鼓楼区九里区贾汪区泉山区邳州市新沂市铜山县睢宁县沛县丰县常州市钟楼区天宁区戚墅堰区新北区武进区金坛市溧阳市苏州市金阊区沧浪区平江区虎丘区吴中区相城区常熟市张家港市太仓市昆山市吴江市南通市崇川区港闸区如皋市通州市海门市启东市海安县如东县连云港市新浦区连云区海州区东海县灌云县赣榆县灌南县淮安市清河区清浦区楚州区淮阴区涟水县洪泽县金湖县盱眙县盐城市亭湖区盐都区东台市大丰市建湖县响水县阜宁县射阳县滨海县扬州市维扬区广陵区邗江区高邮市江都市仪征市宝应县镇江市京口区润州区丹徒区丹阳市扬中市句容市泰州市海陵区高港区泰兴市姜堰市靖江市兴化市宿迁市宿城区宿豫区沭阳县泗阳县泗洪县广东省广州市:越秀区荔湾区海珠区天河区白云区黄埔区番禺区花都区南沙区萝岗区增城市从化市深圳市:福田区罗湖区南山区宝安区龙岗区盐田区珠海市:香洲区斗门区金湾区汕头市:金平区龙湖区濠江区潮阳区潮南区澄海区南澳县韶关市:浈江区武江区曲江区乐昌市南雄市始兴县仁化县翁源县新丰县乳源瑶族自治县佛山市:禅城区南海区顺德区三水区高明区江门市:江海区蓬江区新会区台山市开平市鹤山市恩平市湛江市:赤坎区霞山区坡头区麻章区廉江市雷州市吴川市遂溪县徐闻县茂名市:茂南区茂港区高州市化州市信宜市电白县肇庆市:端州区鼎湖区高要市四会市广宁县怀集县封开县德庆县惠州市:惠城区惠阳区博罗县惠东县龙门县梅州市:梅江区兴宁市梅县大埔县丰顺县五华县平远县蕉岭县汕尾市:城区陆丰市海丰县陆河县河源市:源城区紫金县龙川县连平县和平县东源县阳江市:江城区阳春市阳西县阳东县清远市:清城区英德市连州市佛冈县阳山县清新县连山壮族瑶族自治县连南瑶族自治县东莞市中山市潮州市:湘桥区潮安县饶平县揭阳市:榕城区普宁市惠来县葵潭县揭东县揭西县云浮市:云城区罗定市新兴县郁南县云安县福建省福州市鼓楼区台江区仓山区马尾区晋安区福清市长乐市闽侯县闽清县永泰县连江县罗源县平潭县厦门市思明区海沧区湖里区集美区同安区翔安区三明市梅列区三元区永安市明溪县将乐县大田县宁化县建宁县沙县尤溪县清流县泰宁县泉州市丰泽区鲤城区洛江区泉港区石狮市晋江市南安市惠安县永春县安溪县德化县金门县漳州市芗城区龙文区龙海市平和县南靖县诏安县漳浦县华安县东山县长泰县云霄县南平市延平区建瓯市邵武市武夷山市建阳市松溪县光泽县顺昌县浦城县政和县龙岩市新罗区漳平市长汀县武平县上杭县永定县连城县宁德市蕉城区福安市福鼎市寿宁县霞浦县柘荣县屏南县古田县周宁县莆田市城厢区涵江区荔城区秀屿区仙游县湖南省长沙市:岳麓区、芙蓉区、天心区、开福区、雨花区、浏阳市、长沙县、望城县、宁乡县。
山东省各区县2013-2017年宏观经济指标数据分析对(根据国家公开的数据中国县域统计年鉴2014-2018收集整理,并进行多年度数据并表处理,便于各区县
2013-2017年多年宏观经济指标数据分析对比,excel格式方便下载数据再利用。
方便快捷,减轻大量的数
据查找与处理工作,省时省力!)
提供了各区县每个年度的:一、基本情况(8个指标),二、综合经济(10指标),三、农业、工业及投
资(10指标),四、教育卫生和社会保障(6个指标)共34个宏观经济指标对比数据
分析对比表
各种社会福利收养性单位床
床
967
2006
1226
1339
997
3408
2499
2505
2901
2542
856
369
3795
1536
1489
1618
80
2452
2390
4866
833
3444
986
4925
1365
1921
6930
7863
6955
1366
5899
2132
3569
1826
1347
1250
2566
3356
2041
2467
1842
6710
2899
2450。
最新的统计是中国的城市有656座:直辖市:北京市、天津市、上海市、重庆市。
特别行政区:香港、澳门。
1、北京行政区划市辖区:东城区、西城区、宣武区、崇文区、丰台区、海淀区、朝阳区、石景山区,房山,平谷,密云,怀柔,延庆,大兴,门头沟,顺义,昌平2、上海的行政区划市辖区:黄浦区(包括原黄浦区和原南市区,两者於2000年合并成为新的黄浦区),卢湾区,徐汇区,长宁区,静安区,普陀区,闸北区,虹口区,杨浦区,浦东新区(1992年前大部为川沙县),宝山区(1988年前称宝山县),闵行区(1992年前大部为上海县),嘉定区(1992年前称嘉定县),金山区(1997年前称金山县),松江区(1998年前称松江县),青浦区(1999年前称青浦县),奉贤区(2001年前称奉贤县),南汇区(2001年前称南汇县),县:崇明县;3、天津的行政区划市辖区:和平区、河东区、河西区、南开区、河北区、红桥区、塘沽区、汉沽区、大港区、东丽区、西青区、津南区、北辰区、武清区和宝坻区。
市辖县有宁河县、静海县、蓟县。
4、重庆的行政区划市辖区:渝中区沙坪坝区北碚区渝北区涪陵区江北区南岸区双桥区万洲区长寿区大渡口区九龙坡区万盛区巴南区黔江区。
5、河北省(11个地级市、22个县级市):33个市11个地级市:石家庄市、唐山市、秦皇岛市、邯郸市、邢台市、保定市、张家口市、承德市、沧州市、廊坊市、衡水市。
22个县级市:辛集市、藁城市、晋州市、新乐市、鹿泉市、遵化市、迁安市、武安市、南宫市、沙河市、涿州市、。
定州市、安国市、高碑店市、泊头市、任丘市、黄骅市、河间市、霸州市、三河市、冀州市、深州市6、内蒙古自治区(9个地级市、3个盟、11个县级市):20个市9个地级市:呼和浩特市、包头市、乌海市、赤峰市、通辽市、鄂尔多斯市、呼伦贝尔市、巴彦淖尔市、乌兰察布市。
3个盟:锡林郭勒盟、兴安盟、阿拉善盟11个县级市:霍林郭勒市、满洲里市、牙克石市、扎兰屯市、根河市、额尔古纳市、丰镇市、锡林浩特市、二连浩特市、乌兰浩特市、阿尔山市。
全国“同字”的省市县有多少?地名互相颠倒地方核心提示:中华文化博大精深,中国文字千变万化。
在这么多城市名字中,小编粗略统计,不同名,同字的省、市、县达58个。
据统计,全国有23个省、5个自治区、4个直辖市、2个特别行政区; 50个地区(州、盟),661个市;其中:直辖市4个;地级市283个;县级市374个;1636个县(自治县、旗、自治旗、特区和林区);852个市辖区。
总计:省级34个,地级333个,县级2862个。
中华文化博大精深,中国文字千变万化。
在这么多城市名字中,小编粗略统计,不同名,同字的省、市、县达58个。
1、山东省——福建省东山县2、海南省——广东省南海县3、福建省——广东省建福县(今翁源县)4、河南省开封市——广东省封开县5、安徽省安庆市——黑龙江庆安县6、西藏区昌都市——江西省都昌县7、陕西省西安市——甘肃省安西县(2006年,更名为瓜州县)8、江西省吉安市——浙江省安吉县9、云南省安宁市——黑龙江宁安市10、贵州省仁怀市——山西省怀仁县11、山西省原平市——河北省平原市12、浙江省宁海市——浙江省海宁市13、福建省南平市——广西平南县14、安徽省明光市——广东省深圳市光明区15、广东省珠海市——广州市海珠区16、广西南宁市——四川省凉山宁南县17,广东省和平县——福建省平和县18、广东省澄海县——福建省海澄县19、湖北省远安县——江西省安远县20、湖南省东安县——辽宁省安东县21、河北省高阳县——陕西省阳高县22、江西省武宁县——山西省宁武县23、山西省保德县——广西德保县24、山西省乡宁县——湖南省宁乡县25、山西省山阳县——广东省阳山县26、山西省阳高县——河北省高阳县27、山西省阳曲县——河北省曲阳县28、山西省平顺县——河北省顺平县29、甘肃省和政县——福建省政和县30、河南省新安县——河北省安新县31、河北省康保县——湖北省保康县32、青海省平安县——河北省安平县33、青海省兴海县——河北省海兴县34、河北省宁晋县——云南省晋宁县35、河南省安阳市——阳安县(今驻马店)36、河南省原阳县——河北省阳原县37、河南省西平县——山东省平西县(今西海区)38、江西省乐平县——广西平乐县39、江西德安县——山东安德县(今德州)40、江西省安福县——福建省福安县41、江西省乐安县——北京市安乐县(今顺义)42、浙江省东阳市——广东省阳东县43、福建省南安县——湖南省安南县(今华容县)44、福建省龙海县——吉林省海龙县(今梅河口)45、福建省武平县——四川省平武县46、福建省屏南县——云南省南屏县(今广南县)47、广东省乐昌市——山东省昌乐县48、广东省阳山县——陕西省山阳县49、广西兴安县——湖北安兴县(今江陵县)50、广西北海市——青海省海北州51、广西桂平县——广西平桂县52、广西西林县——内蒙古林西县53、云南省昌宁县——河北省宁昌县(今宁晋县)54、福建省仙游县——四川省游仙县55、四川省隆昌县——四川省昌隆县(今江油市)56、四川省平昌县——北京市昌平县57、青海省海东县——江苏省东海县58、内蒙古化德县——福建省德化县山西忻州有个宁武县,江西九江有个武宁县山西长治有着长子县,陕西延安有个子长县山西临汾有个乡宁县,湖南长沙有个宁乡市山西朔州有个怀仁市,贵州遵义有个仁怀市山西忻州有个原平县,山东德州有个平原县山西忻州有个保德县,广西百色有个德保县山西大同有个阳高县,河北保定有个高阳县山西太原有个阳曲县,河北保定有个曲阳县山西长治有个平顺县,河北保定有个顺平县河北承德有个隆化县,青海海东有个化隆县河北沧州有个海兴县,青海省海南州有个兴海县河北张家口有个康保县,湖北襄阳有个保康县河北承德有个隆化县,青海海东有个化隆县河北邢台有个宁晋县,云南昆明有个晋宁县河北保定有个安新县,河南洛阳有个新安县河北张家口有个阳原县,河南新乡有个原阳县河北唐山有个丰南县,江西抚州有个南丰县河北张家口有个康保县,湖北襄阳有个保康县浙江金华有个东阳县,广东阳江有个阳东县浙江宁波有个宁海县,浙江嘉兴有个海宁市浙江湖州有个安吉县,江西吉安有个吉安县江西赣州有个安远县,湖北宜昌有个远安县江西吉安有个安福县,福建宁德有个福安县江西景德镇有个乐平市,广西桂林有个平乐县福建龙岩有个武平县,四川绵阳有个平武县福建泉州有个德化县,内蒙乌兰察布有个化德县福建南平有个政和县,甘肃临夏有个和政县广东清远有个阳山县,陕西商洛有个山阳县广东韶关有个乐昌市,山东潍坊有个昌乐县宁夏石嘴山有个平罗县,云南曲靖有个罗平县广东河源有个和平县,福建漳州有个平和县云南曲靖有个罗平县,宁夏石嘴山有个平罗县云南昆明有个安宁县,黑龙江牡丹江有个宁安市内蒙古赤峰有个林西县,广西百色有个西林县青海有个海东市,江苏连云港有东海县安徽有个安庆市,黑龙江绥化有个庆安县河南有个信阳市,山东滨州有个阳信县河南有个开封市,广东肇庆有个封开县台湾有个台东市,江苏盐城有个东台市台湾有个花莲县,江西萍乡有个莲花县北京有个昌平区,四川巴中有个平昌县北京有个宣武区,江西来宾有个武宣县,西藏有个昌都市,江西九江有个都昌县江西有个南宁市,四川凉山有个宁南县福建有个南平市,广西贵港有个平南县广西有个北海市,青海有个海北州此番搜罗,发现青海的地名很有意思。
中国所有城市面积排名最权威中国城市面积排行榜,(包括总面积与市区面积排行) 一.中国城市、副省级城市、特别行政区辖区,总面积排行榜。
zw234作文网 小编精心为大家整理了中国城市面积排名2022,希望对你有帮助。
(1)中国城市面积排名20221 重庆: 82300.00平方公里2 哈尔滨:53775.00平方公里3 大庆: 22161.00平方公里4 长春: 20222.00平方公里5 丽水: 17300.00平方公里6 北京: 16800.00平方公里7 杭州: 16596.00平方公里8 盐城: 14983.00平方公里9 大连: 13237.00平方公里10 沈阳: 12942.00平方公里11 成都: 11939.00平方公里12 温州: 11784.00平方公里13 徐州: 11258.00平方公里14 青岛: 11026.00平方公里15 天津: 11000.00平方公里16 金华: 10918.00平方公里17 淮安: 10072.00平方公里18 西安: 9983.00平方公里19 台州: 9411.00平方公里20 宁波: 9365.00平方公里21 衢州: 8836.50平方公里22 宿迁: 8555.00平方公里23 苏州: 8488.00平方公里24 武汉: 8406.00平方公里25 绍兴: 8332.35平方公里26 济南: 8177.00平方公里27 南通: 8001.00平方公里28 连云港: 7444.00平方公里29 合肥: 7266.00平方公里30 广州: 7263.00平方公里31 扬州: 6638.00平方公里32 南京: 6421.00平方公里33 上海:5800.00平方公里34 深圳: 2022.00平方公里35 厦门: 1638.00平方公里36 香港: 1101.00平方公里37 澳门:25.80平方公里二.中国省级城市、副省级城市、特别行政区辖区版图面积排行榜位次城市名称级别隶属关系面积(平方千米)1 重庆市省级中央 823002 哈尔滨市副省级黑龙江 537753 长春市副省级吉林 202224 北京市省级中央 168005 杭州市副省级浙江 165966 大连市副省级辽宁 132377 沈阳市副省级辽宁 129428 成都市副省级四川 119399 青岛市副省级山东 1102610 天津市省级中央 1100011 西安市副省级陕西 998312 宁波市副省级浙江 936513 武汉市副省级湖北 840614 济南市副省级山东 817715 广州市副省级广东 726316 南京市副省级江苏 642117 上海市省级中央 580018 深圳市副省级广东 202219 厦门市副省级福建 163820 香港特别行政区中央 110121 澳门特别行政区中央 25.8三.市区建成区面积意义:该指标测量的是城市的实际开发程度。
代码名称110000 北京市110100 市辖区110101 东城区110102 西城区110103 崇文区110104 宣武区110105 朝阳区110106 丰台区110107 石景山区110108 海淀区110109 门头沟区110111 房山区110112 通州区110113 顺义区110114 昌平区110115 大兴区110116 怀柔区110117 平谷区110200 县110228 密云县110229 延庆县120000 天津市120100 市辖区120101 和平区120102 河东区120103 河西区120104 南开区120105 河北区120106 红桥区120110 东丽区120111 西青区120112 津南区120113 北辰区120114 武清区120115 宝坻区120116 滨海新区 (*) 120200 县120221 宁河县120223 静海县120225 蓟县130000 河北省130100 石家庄市130101 市辖区130102 长安区130103 桥东区130104 桥西区130105 新华区130107 井陉矿区130108 裕华区130121 井陉县130123 正定县130124 栾城县130125 行唐县130126 灵寿县130127 高邑县130128 深泽县130129 赞皇县130130 无极县130131 平山县130132 元氏县130133 赵县130181 辛集市130182 藁城市130183 晋州市130184 新乐市130185 鹿泉市130200 唐山市130201 市辖区130202 路南区130203 路北区130204 古冶区130205 开平区130207 丰南区130208 丰润区130223 滦县130224 滦南县130225 乐亭县130227 迁西县130229 玉田县130230 唐海县130281 遵化市130283 迁安市130300 秦皇岛市130301 市辖区130303 山海关区130304 北戴河区130321 青龙满族自治县130322 昌黎县130323 抚宁县130324 卢龙县130400 邯郸市130401 市辖区130402 邯山区130403 丛台区130404 复兴区130406 峰峰矿区130421 邯郸县130423 临漳县130424 成安县130425 大名县130426 涉县130427 磁县130428 肥乡县130429 永年县130430 邱县130431 鸡泽县130432 广平县130433 馆陶县130434 魏县130435 曲周县130481 武安市130500 邢台市130501 市辖区130502 桥东区130503 桥西区130521 邢台县130522 临城县130523 内丘县130524 柏乡县130525 隆尧县130526 任县130527 南和县130528 宁晋县130529 巨鹿县130530 新河县130531 广宗县130532 平乡县130534 清河县130535 临西县130581 南宫市130582 沙河市130600 保定市130601 市辖区130602 新市区130603 北市区130604 南市区130621 满城县130622 清苑县130623 涞水县130624 阜平县130625 徐水县130626 定兴县130627 唐县130628 高阳县130629 容城县130630 涞源县130631 望都县130632 安新县130633 易县130634 曲阳县130635 蠡县130636 顺平县130637 博野县130638 雄县130681 涿州市130682 定州市130683 安国市130684 高碑店市130700 张家口市130701 市辖区130702 桥东区130703 桥西区130705 宣化区130706 下花园区130721 宣化县130722 张北县130723 康保县130724 沽源县130725 尚义县130726 蔚县130728 怀安县130729 万全县130730 怀来县130731 涿鹿县130732 赤城县130733 崇礼县130800 承德市130801 市辖区130802 双桥区130803 双滦区130804 鹰手营子矿区130821 承德县130822 兴隆县130823 平泉县130824 滦平县130825 隆化县130826 丰宁满族自治县130827 宽城满族自治县130828 围场满族蒙古族自治县130900 沧州市130901 市辖区130902 新华区130903 运河区130921 沧县130922 青县130923 东光县130924 海兴县130925 盐山县130926 肃宁县130927 南皮县130928 吴桥县130929 献县130930 孟村回族自治县130981 泊头市130982 任丘市130983 黄骅市130984 河间市131000 廊坊市131001 市辖区131002 安次区131003 广阳区131022 固安县131023 永清县131025 大城县131026 文安县131028 大厂回族自治县131081 霸州市131082 三河市131100 衡水市131101 市辖区131102 桃城区131121 枣强县131122 武邑县131123 武强县131124 饶阳县131125 安平县131126 故城县131127 景县131128 阜城县131181 冀州市131182 深州市140000 山西省140100 太原市140101 市辖区140105 小店区140106 迎泽区140107 杏花岭区140108 尖草坪区140109 万柏林区140110 晋源区140121 清徐县140122 阳曲县140123 娄烦县140181 古交市140200 大同市140201 市辖区140202 城区140203 矿区140211 南郊区140212 新荣区140221 阳高县140222 天镇县140223 广灵县140224 灵丘县140225 浑源县140227 大同县140300 阳泉市140301 市辖区140302 城区140303 矿区140311 郊区140321 平定县140322 盂县140400 长治市140401 市辖区140402 城区140411 郊区140421 长治县140423 襄垣县140424 屯留县140425 平顺县140426 黎城县140427 壶关县140428 长子县140429 武乡县140430 沁县140431 沁源县140481 潞城市140500 晋城市140501 市辖区140502 城区140521 沁水县140522 阳城县140524 陵川县140525 泽州县140581 高平市140600 朔州市140601 市辖区140602 朔城区140603 平鲁区140621 山阴县140622 应县140623 右玉县140624 怀仁县140700 晋中市140701 市辖区140702 榆次区140721 榆社县140723 和顺县140724 昔阳县140725 寿阳县140726 太谷县140727 祁县140728 平遥县140729 灵石县140781 介休市140800 运城市140801 市辖区140802 盐湖区140821 临猗县140822 万荣县140823 闻喜县140824 稷山县140825 新绛县140826 绛县140827 垣曲县140828 夏县140829 平陆县140830 芮城县140881 永济市140882 河津市140900 忻州市140901 市辖区140902 忻府区140921 定襄县140922 五台县140923 代县140924 繁峙县140925 宁武县140926 静乐县140927 神池县140928 五寨县140929 岢岚县140930 河曲县140931 保德县140932 偏关县140981 原平市141000 临汾市141001 市辖区141002 尧都区141021 曲沃县141023 襄汾县141024 洪洞县141025 古县141026 安泽县141027 浮山县141028 吉县141029 乡宁县141030 大宁县141031 隰县141032 永和县141033 蒲县141034 汾西县141081 侯马市141082 霍州市141100 吕梁市141101 市辖区141102 离石区141121 文水县141122 交城县141123 兴县141124 临县141125 柳林县141126 石楼县141127 岚县141128 方山县141129 中阳县141130 交口县141181 孝义市141182 汾阳市150000 内蒙古自治区150100 呼和浩特市150101 市辖区150102 新城区150103 回民区150104 玉泉区150105 赛罕区150121 土默特左旗150122 托克托县150123 和林格尔县150124 清水河县150125 武川县150200 包头市150201 市辖区150202 东河区150203 昆都仑区150204 青山区150205 石拐区150206 白云鄂博矿区150207 九原区150221 土默特右旗150222 固阳县150223 达尔罕茂明安联合旗150300 乌海市150301 市辖区150302 海勃湾区150303 海南区150304 乌达区150400 赤峰市150401 市辖区150402 红山区150403 元宝山区150404 松山区150421 阿鲁科尔沁旗150422 巴林左旗150423 巴林右旗150424 林西县150425 克什克腾旗150426 翁牛特旗150428 喀喇沁旗150429 宁城县150430 敖汉旗150500 通辽市150501 市辖区150502 科尔沁区150521 科尔沁左翼中旗150522 科尔沁左翼后旗150523 开鲁县150524 库伦旗150525 奈曼旗150526 扎鲁特旗150581 霍林郭勒市150600 鄂尔多斯市150601 市辖区150602 东胜区150621 达拉特旗150622 准格尔旗150623 鄂托克前旗150624 鄂托克旗150625 杭锦旗150626 乌审旗150627 伊金霍洛旗150700 呼伦贝尔市150701 市辖区150702 海拉尔区150721 阿荣旗150722 莫力达瓦达斡尔族自治旗150723 鄂伦春自治旗150724 鄂温克族自治旗150725 陈巴尔虎旗150726 新巴尔虎左旗150727 新巴尔虎右旗150781 满洲里市150782 牙克石市150783 扎兰屯市150784 额尔古纳市150785 根河市150800 巴彦淖尔市150801 市辖区150802 临河区150821 五原县150822 磴口县150823 乌拉特前旗150824 乌拉特中旗150825 乌拉特后旗150826 杭锦后旗150900 乌兰察布市150901 市辖区150902 集宁区150921 卓资县150922 化德县150923 商都县150924 兴和县150925 凉城县150926 察哈尔右翼前旗150927 察哈尔右翼中旗150928 察哈尔右翼后旗150929 四子王旗150981 丰镇市152200 兴安盟152201 乌兰浩特市152202 阿尔山市152221 科尔沁右翼前旗152222 科尔沁右翼中旗152223 扎赉特旗152224 突泉县152500 锡林郭勒盟152501 二连浩特市152502 锡林浩特市152522 阿巴嘎旗152523 苏尼特左旗152524 苏尼特右旗152525 东乌珠穆沁旗152526 西乌珠穆沁旗152527 太仆寺旗152528 镶黄旗152529 正镶白旗152530 正蓝旗152531 多伦县152900 阿拉善盟152921 阿拉善左旗152922 阿拉善右旗152923 额济纳旗210000 辽宁省210100 沈阳市210101 市辖区210102 和平区210103 沈河区210104 大东区210105 皇姑区210106 铁西区210111 苏家屯区210112 东陵区210113 沈北新区210114 于洪区210122 辽中县210123 康平县210124 法库县210181 新民市210200 大连市210201 市辖区210202 中山区210203 西岗区210204 沙河口区210211 甘井子区210212 旅顺口区210213 金州区210224 长海县210281 瓦房店市210282 普兰店市210283 庄河市210300 鞍山市210301 市辖区210302 铁东区210303 铁西区210304 立山区210311 千山区210321 台安县210323 岫岩满族自治县210381 海城市210400 抚顺市210401 市辖区210402 新抚区210403 东洲区210404 望花区210411 顺城区210421 抚顺县210422 新宾满族自治县210423 清原满族自治县210500 本溪市210501 市辖区210502 平山区210503 溪湖区210504 明山区210505 南芬区210521 本溪满族自治县210522 桓仁满族自治县210600 丹东市210601 市辖区210602 元宝区210603 振兴区210604 振安区210624 宽甸满族自治县210681 东港市210682 凤城市210700 锦州市210701 市辖区210702 古塔区210703 凌河区210711 太和区210726 黑山县210727 义县210781 凌海市210782 北镇市210800 营口市210801 市辖区210802 站前区210803 西市区210804 鲅鱼圈区210811 老边区210881 盖州市210882 大石桥市210900 阜新市210901 市辖区210902 海州区210903 新邱区210904 太平区210905 清河门区210911 细河区210921 阜新蒙古族自治县210922 彰武县211000 辽阳市211001 市辖区211002 白塔区211003 文圣区211004 宏伟区211005 弓长岭区211011 太子河区211021 辽阳县211081 灯塔市211100 盘锦市211101 市辖区211102 双台子区211103 兴隆台区211121 大洼县211122 盘山县211200 铁岭市211201 市辖区211202 银州区211204 清河区211221 铁岭县211223 西丰县211224 昌图县211281 调兵山市211282 开原市211300 朝阳市211301 市辖区211302 双塔区211303 龙城区211321 朝阳县211322 建平县211324 喀喇沁左翼蒙古族自治县211381 北票市211382 凌源市211400 葫芦岛市211401 市辖区211402 连山区211403 龙港区211404 南票区211421 绥中县211422 建昌县211481 兴城市220000 吉林省220100 长春市220101 市辖区220102 南关区220103 宽城区220104 朝阳区220105 二道区220106 绿园区220112 双阳区220122 农安县220181 九台市220182 榆树市220183 德惠市220200 吉林市220201 市辖区220202 昌邑区220203 龙潭区220204 船营区220211 丰满区220221 永吉县220281 蛟河市220282 桦甸市220283 舒兰市220300 四平市220301 市辖区220302 铁西区220303 铁东区220322 梨树县220323 伊通满族自治县220381 公主岭市220382 双辽市220400 辽源市220401 市辖区220402 龙山区220403 西安区220421 东丰县220422 东辽县220500 通化市220501 市辖区220502 东昌区220503 二道江区220521 通化县220523 辉南县220524 柳河县220581 梅河口市220582 集安市220600 白山市220601 市辖区220602 八道江区220605 江源区220621 抚松县220622 靖宇县220623 长白朝鲜族自治县220681 临江市220700 松原市220701 市辖区220702 宁江区220721 前郭尔罗斯蒙古族自治县220722 长岭县220723 乾安县220724 扶余县220800 白城市220801 市辖区220802 洮北区220821 镇赉县220822 通榆县220882 大安市222400 延边朝鲜族自治州222401 延吉市222402 图们市222403 敦化市222404 珲春市222405 龙井市222406 和龙市222424 汪清县222426 安图县230000 黑龙江省230100 哈尔滨市230101 市辖区230102 道里区230103 南岗区230104 道外区230108 平房区230109 松北区230110 香坊区230111 呼兰区230112 阿城区230123 依兰县230124 方正县230125 宾县230126 巴彦县230127 木兰县230128 通河县230129 延寿县230182 双城市230183 尚志市230184 五常市230200 齐齐哈尔市230201 市辖区230202 龙沙区230203 建华区230204 铁锋区230205 昂昂溪区230206 富拉尔基区230207 碾子山区230208 梅里斯达斡尔族区230221 龙江县230223 依安县230224 泰来县230225 甘南县230227 富裕县230229 克山县230230 克东县230231 拜泉县230281 讷河市230300 鸡西市230301 市辖区230302 鸡冠区230303 恒山区230304 滴道区230305 梨树区230306 城子河区230307 麻山区230321 鸡东县230381 虎林市230382 密山市230400 鹤岗市230401 市辖区230402 向阳区230403 工农区230404 南山区230405 兴安区230406 东山区230407 兴山区230421 萝北县230422 绥滨县230500 双鸭山市230501 市辖区230502 尖山区230503 岭东区230505 四方台区230506 宝山区230521 集贤县230522 友谊县230523 宝清县230524 饶河县230600 大庆市230601 市辖区230602 萨尔图区230603 龙凤区230604 让胡路区230605 红岗区230621 肇州县230622 肇源县230623 林甸县230624 杜尔伯特蒙古族自治县230700 伊春市230701 市辖区230702 伊春区230703 南岔区230704 友好区230705 西林区230706 翠峦区230707 新青区230708 美溪区230709 金山屯区230710 五营区230711 乌马河区230712 汤旺河区230713 带岭区230714 乌伊岭区230715 红星区230716 上甘岭区230722 嘉荫县230781 铁力市230800 佳木斯市230801 市辖区230803 向阳区230804 前进区230805 东风区230811 郊区230822 桦南县230826 桦川县230828 汤原县230833 抚远县230881 同江市230882 富锦市230900 七台河市230901 市辖区230902 新兴区230903 桃山区230904 茄子河区230921 勃利县231000 牡丹江市231001 市辖区231003 阳明区231004 爱民区231005 西安区231024 东宁县231025 林口县231081 绥芬河市231083 海林市231084 宁安市231085 穆棱市231100 黑河市231101 市辖区231102 爱辉区231121 嫩江县231123 逊克县231124 孙吴县231181 北安市231182 五大连池市231200 绥化市231201 市辖区231202 北林区231221 望奎县231222 兰西县231223 青冈县231224 庆安县231225 明水县231226 绥棱县231281 安达市231282 肇东市231283 海伦市232700 大兴安岭地区232721 呼玛县232722 塔河县232723 漠河县310000 上海市310100 市辖区310101 黄浦区310103 卢湾区310104 徐汇区310105 长宁区310106 静安区310107 普陀区310108 闸北区310110 杨浦区310112 闵行区310113 宝山区310114 嘉定区310115 浦东新区 (*) 310116 金山区310117 松江区310118 青浦区310120 奉贤区310200 县310230 崇明县320000 江苏省320100 南京市320101 市辖区320102 玄武区320103 白下区320104 秦淮区320105 建邺区320106 鼓楼区320107 下关区320111 浦口区320113 栖霞区320114 雨花台区320115 江宁区320116 六合区320124 溧水县320125 高淳县320200 无锡市320201 市辖区320202 崇安区320203 南长区320204 北塘区320205 锡山区320206 惠山区320211 滨湖区320281 江阴市320282 宜兴市320300 徐州市320301 市辖区320302 鼓楼区320303 云龙区320304 九里区320311 泉山区320321 丰县320322 沛县320323 铜山县320324 睢宁县320381 新沂市320382 邳州市320400 常州市320401 市辖区320402 天宁区320404 钟楼区320405 戚墅堰区320411 新北区320412 武进区320481 溧阳市320482 金坛市320500 苏州市320501 市辖区320502 沧浪区320503 平江区320504 金阊区320505 虎丘区320506 吴中区320507 相城区320581 常熟市320582 张家港市320583 昆山市320584 吴江市320585 太仓市320600 南通市320601 市辖区320602 崇川区320611 港闸区320612 通州区 (*) 320621 海安县320623 如东县320681 启东市320682 如皋市320684 海门市320700 连云港市320701 市辖区320703 连云区320705 新浦区320721 赣榆县320722 东海县320723 灌云县320724 灌南县320800 淮安市320801 市辖区320802 清河区320803 楚州区320804 淮阴区320811 清浦区320826 涟水县320829 洪泽县320830 盱眙县320831 金湖县320900 盐城市320901 市辖区320902 亭湖区320903 盐都区320921 响水县320922 滨海县320923 阜宁县320924 射阳县320925 建湖县320981 东台市320982 大丰市321000 扬州市321001 市辖区321002 广陵区321003 邗江区321011 维扬区321023 宝应县321081 仪征市321084 高邮市321088 江都市321100 镇江市321101 市辖区321102 京口区321111 润州区321112 丹徒区321181 丹阳市321182 扬中市321183 句容市321200 泰州市321202 海陵区321203 高港区321281 兴化市321282 靖江市321283 泰兴市321284 姜堰市321300 宿迁市321301 市辖区321302 宿城区321311 宿豫区321322 沭阳县321323 泗阳县321324 泗洪县330000 浙江省330100 杭州市330101 市辖区330102 上城区330103 下城区330104 江干区330105 拱墅区330106 西湖区330108 滨江区330109 萧山区330110 余杭区330122 桐庐县330127 淳安县330182 建德市330183 富阳市330185 临安市330200 宁波市330201 市辖区330203 海曙区330204 江东区330205 江北区330206 北仑区330211 镇海区330212 鄞州区330225 象山县330226 宁海县330281 余姚市330282 慈溪市330283 奉化市330301 市辖区330302 鹿城区330303 龙湾区330304 瓯海区330322 洞头县330324 永嘉县330326 平阳县330327 苍南县330328 文成县330329 泰顺县330381 瑞安市330382 乐清市330400 嘉兴市330401 市辖区330402 南湖区330411 秀洲区330421 嘉善县330424 海盐县330481 海宁市330482 平湖市330483 桐乡市330500 湖州市330501 市辖区330502 吴兴区330503 南浔区330521 德清县330522 长兴县330523 安吉县330600 绍兴市330601 市辖区330602 越城区330621 绍兴县330624 新昌县330681 诸暨市330682 上虞市330683 嵊州市330700 金华市330701 市辖区330702 婺城区330703 金东区330723 武义县330726 浦江县330727 磐安县330782 义乌市330783 东阳市330784 永康市330800 衢州市330801 市辖区330802 柯城区330803 衢江区330822 常山县330824 开化县330825 龙游县330881 江山市330900 舟山市330901 市辖区330902 定海区330903 普陀区330921 岱山县330922 嵊泗县331000 台州市331001 市辖区331002 椒江区331003 黄岩区331004 路桥区331021 玉环县331022 三门县331023 天台县331024 仙居县331081 温岭市331082 临海市331100 丽水市331101 市辖区331102 莲都区331121 青田县331122 缙云县331123 遂昌县331124 松阳县331125 云和县331126 庆元县331127 景宁畲族自治县331181 龙泉市340000 安徽省340100 合肥市340101 市辖区340102 瑶海区340103 庐阳区340104 蜀山区340111 包河区340121 长丰县340122 肥东县340123 肥西县340200 芜湖市340201 市辖区340202 镜湖区340203 弋江区340207 鸠江区340208 三山区340221 芜湖县340222 繁昌县340223 南陵县340300 蚌埠市340301 市辖区340302 龙子湖区340303 蚌山区340304 禹会区340311 淮上区340321 怀远县340322 五河县340323 固镇县340400 淮南市340401 市辖区340402 大通区340403 田家庵区340404 谢家集区340405 八公山区340406 潘集区340421 凤台县340500 马鞍山市340501 市辖区340502 金家庄区340503 花山区340504 雨山区340521 当涂县340600 淮北市340601 市辖区340602 杜集区340603 相山区340604 烈山区340700 铜陵市340701 市辖区340702 铜官山区340703 狮子山区340711 郊区340721 铜陵县340800 安庆市340801 市辖区340802 迎江区340803 大观区340811 宜秀区340822 怀宁县340823 枞阳县340824 潜山县340825 太湖县340826 宿松县340827 望江县340828 岳西县340881 桐城市341000 黄山市341001 市辖区341002 屯溪区341003 黄山区341004 徽州区341021 歙县341022 休宁县341023 黟县341024 祁门县341100 滁州市341101 市辖区341102 琅琊区341103 南谯区341122 来安县341124 全椒县341125 定远县341126 凤阳县341181 天长市341182 明光市341200 阜阳市341201 市辖区341202 颍州区341203 颍东区341204 颍泉区341222 太和县341225 阜南县341226 颍上县341282 界首市341300 宿州市341301 市辖区341302 埇桥区341321 砀山县341322 萧县341323 灵璧县341324 泗县341400 巢湖市341401 市辖区341402 居巢区341421 庐江县341422 无为县341423 含山县341424 和县341500 六安市341501 市辖区341502 金安区341503 裕安区341521 寿县341522 霍邱县341523 舒城县341524 金寨县341525 霍山县341600 亳州市341601 市辖区341602 谯城区341621 涡阳县341622 蒙城县341623 利辛县341700 池州市341701 市辖区341702 贵池区341721 东至县341722 石台县341723 青阳县341800 宣城市341801 市辖区341802 宣州区341821 郎溪县341823 泾县341824 绩溪县341825 旌德县341881 宁国市350000 福建省350100 福州市350101 市辖区350102 鼓楼区350103 台江区350104 仓山区350105 马尾区350111 晋安区350121 闽侯县350122 连江县350123 罗源县350124 闽清县350125 永泰县350128 平潭县350181 福清市350182 长乐市350200 厦门市350201 市辖区350203 思明区350205 海沧区350206 湖里区350211 集美区350212 同安区350213 翔安区350300 莆田市350301 市辖区350302 城厢区350303 涵江区350304 荔城区350305 秀屿区350322 仙游县350400 三明市350401 市辖区350402 梅列区350403 三元区350421 明溪县350423 清流县350424 宁化县350426 尤溪县350427 沙县350428 将乐县350429 泰宁县350430 建宁县350481 永安市350500 泉州市350501 市辖区350502 鲤城区350503 丰泽区350504 洛江区350505 泉港区350521 惠安县350524 安溪县350525 永春县350526 德化县350527 金门县350581 石狮市350582 晋江市350583 南安市350600 漳州市350601 市辖区350602 芗城区350603 龙文区350622 云霄县350623 漳浦县350624 诏安县350625 长泰县350626 东山县350627 南靖县350628 平和县350629 华安县350681 龙海市350700 南平市350701 市辖区350702 延平区350721 顺昌县350722 浦城县350723 光泽县350724 松溪县350725 政和县350781 邵武市350782 武夷山市350784 建阳市350800 龙岩市350801 市辖区350802 新罗区350821 长汀县350822 永定县350823 上杭县350824 武平县350825 连城县350881 漳平市350900 宁德市350901 市辖区350902 蕉城区350921 霞浦县350922 古田县350923 屏南县350924 寿宁县350925 周宁县350926 柘荣县350981 福安市350982 福鼎市360000 江西省360100 南昌市360101 市辖区360102 东湖区360103 西湖区360104 青云谱区360105 湾里区360111 青山湖区360121 南昌县360122 新建县360123 安义县360124 进贤县360200 景德镇市360201 市辖区360202 昌江区360203 珠山区360222 浮梁县360281 乐平市360300 萍乡市360301 市辖区360302 安源区360313 湘东区360321 莲花县360322 上栗县360323 芦溪县360400 九江市360401 市辖区360402 庐山区360403 浔阳区360421 九江县360423 武宁县360424 修水县360425 永修县360426 德安县360427 星子县360428 都昌县360429 湖口县360430 彭泽县360481 瑞昌市360500 新余市360501 市辖区360502 渝水区360521 分宜县360600 鹰潭市360601 市辖区360602 月湖区360622 余江县360681 贵溪市360700 赣州市360701 市辖区360702 章贡区360721 赣县360722 信丰县360723 大余县360724 上犹县360725 崇义县360726 安远县360727 龙南县360728 定南县360729 全南县360730 宁都县360731 于都县360732 兴国县360733 会昌县360734 寻乌县360735 石城县360781 瑞金市360782 南康市360800 吉安市360801 市辖区360802 吉州区360803 青原区360821 吉安县360822 吉水县360823 峡江县360824 新干县360825 永丰县360826 泰和县360827 遂川县360828 万安县360829 安福县360830 永新县360881 井冈山市360900 宜春市360901 市辖区360902 袁州区360921 奉新县360922 万载县360923 上高县360924 宜丰县360925 靖安县360926 铜鼓县360981 丰城市360982 樟树市360983 高安市361000 抚州市361001 市辖区361002 临川区361021 南城县361022 黎川县361023 南丰县361024 崇仁县361025 乐安县361026 宜黄县361027 金溪县361028 资溪县361029 东乡县361030 广昌县361100 上饶市361102 信州区361121 上饶县361122 广丰县361123 玉山县361124 铅山县361125 横峰县361126 弋阳县361127 余干县361128 鄱阳县361129 万年县361130 婺源县361181 德兴市370000 山东省370100 济南市370101 市辖区370102 历下区370103 市中区370104 槐荫区370105 天桥区370112 历城区370113 长清区370124 平阴县370125 济阳县370126 商河县370181 章丘市370200 青岛市370201 市辖区370202 市南区370203 市北区370205 四方区370211 黄岛区370212 崂山区370213 李沧区370214 城阳区370281 胶州市370282 即墨市370283 平度市370284 胶南市370285 莱西市370300 淄博市370301 市辖区370302 淄川区370304 博山区370305 临淄区370306 周村区370321 桓台县370322 高青县370323 沂源县370400 枣庄市370401 市辖区370402 市中区370403 薛城区370404 峄城区370405 台儿庄区370406 山亭区370481 滕州市370500 东营市370501 市辖区370502 东营区370503 河口区370521 垦利县370522 利津县370523 广饶县370600 烟台市370601 市辖区370602 芝罘区370611 福山区370612 牟平区370613 莱山区370634 长岛县370681 龙口市370682 莱阳市370683 莱州市370684 蓬莱市370685 招远市370686 栖霞市370687 海阳市370700 潍坊市370701 市辖区370702 潍城区370703 寒亭区370704 坊子区370705 奎文区370724 临朐县370725 昌乐县370781 青州市370782 诸城市370783 寿光市370784 安丘市370785 高密市370786 昌邑市370800 济宁市370801 市辖区370802 市中区370811 任城区370826 微山县370827 鱼台县370828 金乡县370829 嘉祥县370830 汶上县370831 泗水县370832 梁山县370881 曲阜市370882 兖州市370883 邹城市370900 泰安市370901 市辖区370902 泰山区370911 岱岳区370921 宁阳县370923 东平县370982 新泰市370983 肥城市371000 威海市371001 市辖区371002 环翠区371081 文登市371082 荣成市371083 乳山市371100 日照市371101 市辖区371102 东港区371103 岚山区371121 五莲县371122 莒县371200 莱芜市371201 市辖区371202 莱城区371203 钢城区371300 临沂市371301 市辖区371302 兰山区371311 罗庄区371312 河东区371321 沂南县371322 郯城县371323 沂水县371324 苍山县371325 费县371326 平邑县371327 莒南县371328 蒙阴县371329 临沭县371400 德州市371401 市辖区371402 德城区371421 陵县371422 宁津县371423 庆云县371424 临邑县371425 齐河县371426 平原县371427 夏津县371428 武城县371481 乐陵市371482 禹城市371500 聊城市371501 市辖区371502 东昌府区371521 阳谷县371522 莘县371523 茌平县371524 东阿县371525 冠县371526 高唐县371581 临清市371600 滨州市371601 市辖区371602 滨城区371621 惠民县371622 阳信县371623 无棣县371624 沾化县371625 博兴县371626 邹平县371700 菏泽市371701 市辖区371702 牡丹区371721 曹县371722 单县371723 成武县371724 巨野县371725 郓城县371726 鄄城县371727 定陶县371728 东明县410000 河南省410100 郑州市410101 市辖区410102 中原区410103 二七区410104 管城回族区410105 金水区410106 上街区410108 惠济区410122 中牟县410181 巩义市410182 荥阳市410183 新密市410184 新郑市410185 登封市410200 开封市410201 市辖区410202 龙亭区410203 顺河回族区410204 鼓楼区410205 禹王台区410211 金明区410221 杞县410222 通许县410223 尉氏县410224 开封县410225 兰考县410300 洛阳市410301 市辖区410302 老城区410303 西工区410304 瀍河回族区410305 涧西区410306 吉利区410311 洛龙区410322 孟津县410323 新安县410324 栾川县410325 嵩县410326 汝阳县410327 宜阳县410328 洛宁县410329 伊川县410381 偃师市410400 平顶山市410401 市辖区410402 新华区410403 卫东区410404 石龙区410411 湛河区410421 宝丰县410422 叶县410423 鲁山县410425 郏县410481 舞钢市410482 汝州市410500 安阳市410501 市辖区410502 文峰区410503 北关区410505 殷都区410506 龙安区410522 安阳县410523 汤阴县410526 滑县410527 内黄县410581 林州市410600 鹤壁市410601 市辖区410602 鹤山区410603 山城区410611 淇滨区410621 浚县410622 淇县410700 新乡市410701 市辖区410702 红旗区410703 卫滨区410704 凤泉区410711 牧野区410721 新乡县410724 获嘉县410725 原阳县410726 延津县410727 封丘县410728 长垣县410781 卫辉市410782 辉县市410800 焦作市410801 市辖区410802 解放区410803 中站区410804 马村区410811 山阳区410821 修武县410822 博爱县410823 武陟县410825 温县410882 沁阳市410883 孟州市410900 濮阳市410901 市辖区410902 华龙区410922 清丰县410923 南乐县410926 范县410927 台前县410928 濮阳县411000 许昌市411001 市辖区411002 魏都区411023 许昌县411024 鄢陵县411025 襄城县411081 禹州市411082 长葛市411100 漯河市411101 市辖区411102 源汇区411103 郾城区411104 召陵区411121 舞阳县411122 临颍县411200 三门峡市411201 市辖区411202 湖滨区411221 渑池县411222 陕县411224 卢氏县411281 义马市411282 灵宝市411300 南阳市411301 市辖区411302 宛城区411303 卧龙区411321 南召县411322 方城县411323 西峡县411324 镇平县411325 内乡县411326 淅川县411327 社旗县411328 唐河县411329 新野县411330 桐柏县411381 邓州市411400 商丘市411401 市辖区411402 梁园区411403 睢阳区411421 民权县411422 睢县411423 宁陵县411424 柘城县411425 虞城县411426 夏邑县411481 永城市411500 信阳市411501 市辖区411502 浉河区411503 平桥区411521 罗山县411522 光山县411523 新县411524 商城县411525 固始县411526 潢川县411527 淮滨县411528 息县411600 周口市411601 市辖区411602 川汇区411621 扶沟县411622 西华县411623 商水县411624 沈丘县411625 郸城县411626 淮阳县411627 太康县411628 鹿邑县411681 项城市411700 驻马店市411701 市辖区411702 驿城区411721 西平县411722 上蔡县411723 平舆县411724 正阳县411725 确山县411726 泌阳县411727 汝南县411728 遂平县411729 新蔡县419000 省直辖县级行政区划419001 济源市420000 湖北省420100 武汉市420101 市辖区420102 江岸区420103 江汉区420104 硚口区420105 汉阳区420106 武昌区420107 青山区420111 洪山区420112 东西湖区420113 汉南区420114 蔡甸区420115 江夏区420116 黄陂区420117 新洲区420200 黄石市420201 市辖区420202 黄石港区420203 西塞山区420204 下陆区420205 铁山区420222 阳新县420281 大冶市420300 十堰市420301 市辖区420302 茅箭区420303 张湾区420321 郧县420322 郧西县420323 竹山县420324 竹溪县420325 房县420381 丹江口市420500 宜昌市420501 市辖区420502 西陵区420503 伍家岗区420504 点军区420505 猇亭区420506 夷陵区420525 远安县420526 兴山县420527 秭归县420528 长阳土家族自治县420529 五峰土家族自治县420581 宜都市420582 当阳市420583 枝江市420600 襄樊市420601 市辖区420602 襄城区420606 樊城区420607 襄阳区420625 谷城县420626 保康县420682 老河口市420683 枣阳市420684 宜城市420700 鄂州市420701 市辖区420702 梁子湖区420703 华容区420704 鄂城区420800 荆门市420801 市辖区420802 东宝区420804 掇刀区420821 京山县420822 沙洋县420881 钟祥市420900 孝感市420901 市辖区420902 孝南区420921 孝昌县420922 大悟县420923 云梦县420981 应城市420982 安陆市420984 汉川市421000 荆州市421001 市辖区421002 沙市区421003 荆州区421022 公安县421023 监利县421024 江陵县421081 石首市421083 洪湖市421087 松滋市421100 黄冈市421101 市辖区421102 黄州区421121 团风县421122 红安县421123 罗田县421124 英山县421126 蕲春县421127 黄梅县421181 麻城市421182 武穴市421200 咸宁市421201 市辖区421202 咸安区421221 嘉鱼县421222 通城县421223 崇阳县421224 通山县421281 赤壁市421300 随州市421301 市辖区421303 曾都区 (*) 421321 随县 (*) 421381 广水市422800 恩施土家族苗族自治州422801 恩施市422802 利川市422822 建始县422823 巴东县422825 宣恩县422826 咸丰县422827 来凤县422828 鹤峰县429000 省直辖县级行政区划429004 仙桃市429005 潜江市429006 天门市429021 神农架林区430000 湖南省430100 长沙市430101 市辖区430102 芙蓉区430103 天心区430104 岳麓区430105 开福区430111 雨花区430121 长沙县430122 望城县430124 宁乡县430200 株洲市430201 市辖区430202 荷塘区430203 芦淞区430204 石峰区430211 天元区430221 株洲县430223 攸县430224 茶陵县430225 炎陵县430281 醴陵市430300 湘潭市430301 市辖区430302 雨湖区430304 岳塘区430321 湘潭县430381 湘乡市430382 韶山市430400 衡阳市430401 市辖区430405 珠晖区430406 雁峰区430407 石鼓区430408 蒸湘区430412 南岳区430421 衡阳县430422 衡南县430423 衡山县430424 衡东县430426 祁东县430481 耒阳市430482 常宁市430500 邵阳市430501 市辖区430502 双清区430503 大祥区430511 北塔区430521 邵东县430522 新邵县430523 邵阳县430524 隆回县430525 洞口县430527 绥宁县430529 城步苗族自治县430581 武冈市430600 岳阳市430601 市辖区430602 岳阳楼区430603 云溪区430611 君山区430621 岳阳县430623 华容县430624 湘阴县430626 平江县430681 汨罗市430682 临湘市430700 常德市430701 市辖区430702 武陵区430703 鼎城区430721 安乡县430722 汉寿县430723 澧县430724 临澧县430725 桃源县430726 石门县430781 津市市430800 张家界市430801 市辖区430802 永定区430811 武陵源区430821 慈利县430822 桑植县430900 益阳市430901 市辖区430902 资阳区430903 赫山区430921 南县430922 桃江县430923 安化县430981 沅江市431000 郴州市431001 市辖区431002 北湖区431003 苏仙区431021 桂阳县431023 永兴县431024 嘉禾县431025 临武县431026 汝城县431027 桂东县431028 安仁县431081 资兴市431100 永州市431101 市辖区431102 零陵区431103 冷水滩区431121 祁阳县431122 东安县431123 双牌县431124 道县431125 江永县431126 宁远县431127 蓝山县431128 新田县431129 江华瑶族自治县431200 怀化市431201 市辖区431202 鹤城区431221 中方县431222 沅陵县431223 辰溪县431224 溆浦县431225 会同县431226 麻阳苗族自治县431227 新晃侗族自治县431228 芷江侗族自治县431229 靖州苗族侗族自治县431230 通道侗族自治县431281 洪江市431300 娄底市431301 市辖区431302 娄星区431321 双峰县431322 新化县431381 冷水江市431382 涟源市433100 湘西土家族苗族自治州433101 吉首市433123 凤凰县433124 花垣县433125 保靖县433126 古丈县433127 永顺县433130 龙山县440000 广东省440100 广州市440101 市辖区440103 荔湾区440104 越秀区440105 海珠区440106 天河区440111 白云区440112 黄埔区440113 番禺区440114 花都区440115 南沙区440116 萝岗区440183 增城市440184 从化市440200 韶关市440201 市辖区440203 武江区440204 浈江区440205 曲江区440222 始兴县440224 仁化县440229 翁源县440232 乳源瑶族自治县440233 新丰县440281 乐昌市440282 南雄市440300 深圳市440301 市辖区440303 罗湖区440304 福田区440305 南山区440306 宝安区440307 龙岗区440308 盐田区440400 珠海市。
全部浙江省杭州市:拱墅区西湖区上城区下城区江干区滨江区萧山市建德市富阳市余杭市临安市桐庐县淳安县宁波市:余姚市慈溪县奉化县鄞县县宁海县象山县海曙县江东县江北县镇海县北仑县温州市:鹿城区龙湾区瓯海区瑞安市乐清市永嘉县洞头县平阳县苍南县文成县泰顺县嘉兴市:秀城区秀洲区海宁市平湖市桐乡市嘉善县海盐县湖州市:湖州城区、南浔区、菱湖区、德清县、长兴县、安吉县绍兴市:越城区诸暨市上虞市嵊州市绍兴县新昌县金华市:婺城区兰溪市义乌市东阳市永康市金华县武义县浦江县磐安县衢州市:市本级柯城区龙游县常山县江山市衢县开化县舟山市:定海区普陀区岱山县嵊泗县台州市:椒江区黄岩区路桥区临海市温岭市玉环县天台县仙居县三门县丽水市:莲都区龙泉市青田县缙云县遂昌县松阳县云和县庆元县景宁畲族自治县江苏省南京市玄武区鼓楼区建邺区白下区秦淮区下关区雨花台区浦口区栖霞区江宁区六合区溧水县高淳县无锡市崇安区北塘区南长区锡山区惠山区滨湖区江阴市宜兴市徐州市云龙区鼓楼区九里区贾汪区泉山区邳州市新沂市铜山县睢宁县沛县丰县常州市钟楼区天宁区戚墅堰区新北区武进区金坛市溧阳市苏州市金阊区沧浪区平江区虎丘区吴中区相城区常熟市张家港市太仓市昆山市吴江市南通市崇川区港闸区如皋市通州市海门市启东市海安县如东县连云港市新浦区连云区海州区东海县灌云县赣榆县灌南县淮安市清河区清浦区楚州区淮阴区涟水县洪泽县金湖县盱眙县盐城市亭湖区盐都区东台市大丰市建湖县响水县阜宁县射阳县滨海县扬州市维扬区广陵区邗江区高邮市江都市仪征市宝应县镇江市京口区润州区丹徒区丹阳市扬中市句容市泰州市海陵区高港区泰兴市姜堰市靖江市兴化市宿迁市宿城区宿豫区沭阳县泗阳县泗洪县广东省广州市:越秀区荔湾区海珠区天河区白云区黄埔区番禺区花都区南沙区萝岗区增城市从化市深圳市:福田区罗湖区南山区宝安区龙岗区盐田区珠海市:香洲区斗门区金湾区汕头市:金平区龙湖区濠江区潮阳区潮南区澄海区南澳县韶关市:浈江区武江区曲江区乐昌市南雄市始兴县仁化县翁源县新丰县乳源瑶族自治县佛山市:禅城区南海区顺德区三水区高明区江门市:江海区蓬江区新会区台山市开平市鹤山市恩平市湛江市:赤坎区霞山区坡头区麻章区廉江市雷州市吴川市遂溪县徐闻县茂名市:茂南区茂港区高州市化州市信宜市电白县肇庆市:端州区鼎湖区高要市四会市广宁县怀集县封开县德庆县惠州市:惠城区惠阳区博罗县惠东县龙门县梅州市:梅江区兴宁市梅县大埔县丰顺县五华县平远县蕉岭县汕尾市:城区陆丰市海丰县陆河县河源市:源城区紫金县龙川县连平县和平县东源县阳江市:江城区阳春市阳西县阳东县清远市:清城区英德市连州市佛冈县阳山县清新县连山壮族瑶族自治县连南瑶族自治县东莞市中山市潮州市:湘桥区潮安县饶平县揭阳市:榕城区普宁市惠来县葵潭县揭东县揭西县云浮市:云城区罗定市新兴县郁南县云安县福建省福州市鼓楼区台江区仓山区马尾区晋安区福清市长乐市闽侯县闽清县永泰县连江县罗源县平潭县厦门市思明区海沧区湖里区集美区同安区翔安区三明市梅列区三元区永安市明溪县将乐县大田县宁化县建宁县沙县尤溪县清流县泰宁县泉州市丰泽区鲤城区洛江区泉港区石狮市晋江市南安市惠安县永春县安溪县德化县金门县漳州市芗城区龙文区龙海市平和县南靖县诏安县漳浦县华安县东山县长泰县云霄县南平市延平区建瓯市邵武市武夷山市建阳市松溪县光泽县顺昌县浦城县政和县龙岩市新罗区漳平市长汀县武平县上杭县永定县连城县宁德市蕉城区福安市福鼎市寿宁县霞浦县柘荣县屏南县古田县周宁县莆田市城厢区涵江区荔城区秀屿区仙游县湖南省长沙市:岳麓区、芙蓉区、天心区、开福区、雨花区、浏阳市、长沙县、望城县、宁乡县。
株洲市:天元区、荷塘区、芦淞区、石峰区、醴陵市、株洲县、炎陵县、茶陵县、攸县。
湘潭市:岳塘区、雨湖区、湘潭县、湘乡市、韶山市。
衡阳市:雁峰区、珠晖区、石鼓区、蒸湘区、南岳区、耒阳市、常宁市、衡阳县、衡东县、衡山县、衡南县、祁东县。
邵阳市:双清区、大祥区、北塔区、武冈市、邵东县、洞口县、新邵县、绥宁县、新宁县、邵阳县、隆回县、城步县。
岳阳市:岳阳楼区、君山区、云溪区、临湘市、汨罗市、岳阳县、湘阴县、平江县、华容县、常德市:武陵区、鼎城区、津市市、澧县、临澧县、桃源县、汉寿县、安乡县、石门县张家界市:永定区、武陵源区、慈利县、桑植县益阳市:赫山区、资阳区、沅江市、桃江县、南县、安化县郴州市:北湖区、苏仙区、资兴市、宜章县、汝城县、安仁县、嘉禾县、临武县、桂东县、永兴县、桂阳县永州市:冷水滩区、零陵区、祁阳县、蓝山县、宁远县、新田县、东安县、江永县、道县、双牌县、江华瑶族自治县怀化市:鹤城区、洪江市、会同县、沅陵县、辰溪县、溆浦县、中方县、新晃侗族自治县、芷江侗族自治县、通道侗族自治县、靖州苗族侗族自治县、麻阳苗族自治县娄底市:娄星区、冷水江市、涟源市、新化县、双峰县湘西土家族苗族自治州:吉首市、古丈县、龙山县、永顺县、凤凰县、泸溪县、保靖县、花垣县广西省南宁市兴宁区、青秀区、江南区、西乡塘区、良庆区、邕宁区、武鸣县、横县、宾阳县、上林县、隆安县、马山县柳州市城中区、鱼峰区、柳南区、柳北区、柳江县、柳城县、鹿寨县、融安县、三江侗族自治县、融水苗族自治县桂林市秀峰区、叠彩区、象山区、七星区、雁山区、阳朔县、临桂县、灵川县、全州县、兴安县、永福县、灌阳县、龙胜各族自治县、资源县、平乐县、荔浦县、恭城瑶族自治县梧州市万秀区、蝶山区、长洲区、苍梧县、藤县、蒙山县、岑溪市北海市海城区、银海区、铁山港区、合浦县防城港市港口区、防城区、上思县、东兴市钦州市钦南区、钦北区、灵山县、浦北县贵港市港北区、港南区、覃塘区、平南县、桂平市玉林市玉州区、容县、陆川县、博白县、兴业县、北流市百色市右江区、田阳县、田东县、平果县、德保县、靖西县、那坡县、凌云县、乐业县、田林县、隆林各族自治县、西林县贺州市八步区、昭平县、钟山县、富川瑶族自治县河池市金城江区、罗城仫佬族自治县、环江毛南族自治县、南丹县、天峨县、凤山县、东兰县、巴马瑶族自治县、都安瑶族自治县、大化瑶族自治县、宜州市来宾市兴宾区、象州县、武宣县、金秀瑶族自治县、忻城县、合山市崇左市江州区、扶绥县、大新县、天等县、宁明县、龙州县、凭祥市安徽省合肥市庐阳区瑶海区蜀山区包河区长丰县肥东县肥西县芜湖市镜湖区弋江区鸠江区三山区芜湖县南陵县繁昌县蚌埠市蚌山区龙子湖区禹会区淮上区怀远县固镇县五河县淮南市田家庵区大通区谢家集区八公山区潘集区凤台县马鞍山市雨山区花山区金家庄区当涂县淮北市相山区杜集区烈山区濉溪县铜陵市铜官山区狮子山区郊区铜陵县安庆市迎江区大观区宜秀区桐城市宿松县枞阳县太湖县怀宁县岳西县望江县潜山县黄山市屯溪区黄山区徽州区休宁县歙县祁门县黟县滁州市琅琊区南谯区天长市明光市全椒县来安县定远县凤阳县阜阳市颍州区颍东区颍泉区界首市临泉县颍上县阜南县太和县宿州市埇桥区萧县泗县砀山县灵璧县巢湖市居巢区含山县无为县庐江县和县六安市金安区裕安区寿县霍山县霍邱县舒城县金寨县亳州市谯城区利辛县涡阳县蒙城县池州市贵池区东至县石台县青阳县宣城市宣州区宁国市广德县郎溪县泾县旌德县绩溪县湖北省武汉市:江岸区江汉区硚口区汉阳区武昌区青山区洪山区东西湖汉南区蔡甸区江夏区黄陂区新洲区黄石市:黄石港西塞山下陆区铁山区大冶市阳新县襄樊市:襄城区樊城区襄阳区老河口枣阳市宜城市南漳县谷城县保康县十堰市:茅箭区张湾区丹江口郧县郧西县竹山县竹溪县房县荆州市:沙市区荆州区石首市洪湖市松滋市公安县监利县江陵县宜昌市:西陵区伍家岗点军区猇亭区夷陵区宜都市当阳市枝江市远安县兴山县秭归县长阳自治县五峰自治县荆门市:东宝区掇刀区钟祥市京山县沙洋县鄂州市:鄂城区梁子湖华容区孝感市:孝南区应城市安陆市汉川市孝昌县大悟县云梦县黄冈市:黄州区麻城市武穴市团风县红安县罗田县英山县浠水县蕲春县黄梅县咸宁市:咸安区赤壁市嘉鱼县通城县崇阳县通山县随州市:曾都区广水市恩施州:恩施市利川市建始县巴东县宣恩县咸丰县来凤县鹤峰县省直辖:仙桃市潜江市天门市神农架林区江西省南昌市东湖区西湖区青云谱区湾里区青山湖区新建县南昌县进贤县安义县景德镇市珠山区昌江区乐平市浮梁县萍乡市安源区湘东区莲花县上栗县芦溪县九江市浔阳区庐山区瑞昌市九江县星子县武宁县彭泽县永修县修水县湖口县德安县都昌县新余市渝水区分宜县鹰潭市月湖区贵溪市余江县赣州市章贡区瑞金市南康市石城县安远县赣县宁都县寻乌县兴国县定南县上犹县于都县龙南县崇义县信丰县全南县大余县会昌县吉安市吉州区青原区井冈山市吉安县永丰县永新县新干县泰和县峡江县遂川县安福县吉水县万安县宜春市袁州区丰城市樟树市高安市铜鼓县靖安县宜丰县奉新县万载县上高县抚州市临川区南丰县乐安县金溪县南城县东乡县资溪县宜黄县广昌县黎川县崇仁县上饶市信州区德兴市上饶县广丰县鄱阳县婺源县铅山县余干县横峰县弋阳县玉山县万年县四川省成都市青羊区锦江区金牛区武侯区成华区龙泉驿区青白江区新都区温江区都江堰市彭州市邛崃市崇州市金堂县郫县新津县双流县蒲江县大邑县自贡市自流井区大安区贡井区沿滩区荣县富顺县攀枝花市东区西区仁和区米易县盐边县泸州市江阳区纳溪区龙马潭区泸县合江县叙永县古蔺县德阳市旌阳区广汉市什邡市绵竹市罗江县中江县绵阳市涪城区游仙区江油市盐亭县三台县平武县安县梓潼县北川羌族自治县广元市市中区元坝区朝天区青川县旺苍县剑阁县苍溪县遂宁市船山区安居区射洪县蓬溪县大英县内江市市中区东兴区资中县隆昌县威远县乐山市市中区五通桥区沙湾区金口河区峨眉山市夹江县井研县犍为县沐川县马边彝族自治县峨边彝族自治县南充市顺庆区高坪区嘉陵区阆中市营山县蓬安县仪陇县南部县西充县眉山市东坡区仁寿县彭山县洪雅县丹棱县青神县宜宾市翠屏区宜宾县兴文县南溪县珙县长宁县高县江安县筠连县屏山县达州市通川区万源市达县渠县宣汉县开江县大竹县雅安市雨城区芦山县石棉县名山县天全县荥经县宝兴县汉源县巴中市巴州区南江县平昌县通江县资阳市雁江区简阳市安岳县乐至县广安市广安区华蓥市岳池县邻水县武胜县重庆市万州区、涪陵区、渝中区、大渡口区、江北区、沙坪坝区、九龙坡区、南岸区、北碚区、万盛区、双桥区、渝北区、巴南区、黔江区、长寿区、江津区、合川区、永川区、南川区、綦江县、潼南县、铜梁县、大足县、荣昌县、璧山县、梁平县、城口县、丰都县、垫江县、武隆县、忠县、开县、云阳县、奉节县、巫山县、巫溪县、石柱土家族自治县、秀山土家族苗族自治县、酉阳土家族苗族自治县、彭水苗族土家族自治县河南省郑州市:中原区金水区二七区管城回族区上街区惠济区郑东新区郑州高新区郑州经济技术开发区新郑市(含航空港区)新密市登封市荥阳市巩义市中牟县开封市:鼓楼区龙亭区顺河回族区禹王台区金明区开封县尉氏县兰考县杞县通许县洛阳市:西工区老城区涧西区瀍河回族区洛龙区吉利区洛阳新区偃师市孟津县汝阳县伊川县洛宁县嵩县宜阳县新安县栾川县平顶山市:新华区卫东区湛河区石龙区汝州市舞钢市鲁山县宝丰县叶县郏县安阳市:北关区文峰区殷都区龙安区林州市安阳县汤阴县滑县内黄县鹤壁市:淇滨区山城区鹤山区浚县淇县新乡市:卫滨区红旗区凤泉区牧野区卫辉市辉县市新乡县获嘉县原阳县长垣县封丘县延津县焦作市:解放区中站区马村区山阳区沁阳市孟州市修武县温县武陟县博爱县濮阳市:华龙区濮阳县南乐县台前县清丰县范县许昌市:魏都区禹州市长葛市许昌县鄢陵县襄城县漯河市:源汇区郾城区召陵区临颍县舞阳县三门峡市:湖滨区义马市灵宝市渑池县卢氏县陕县南阳市:卧龙区宛城区桐柏县方城县浙川县镇平县唐河县南召县内乡县新野县社旗县西峡县邓州市商丘市:梁园区睢阳区宁陵县虞城县民权县夏邑县柘城县睢县永城市信阳市: 浉河区平桥区羊山新区上天梯管理区潢川县淮滨县息县新县商城县罗山县光山县固始县周口市:川汇区商水县淮阳县太康县鹿邑县西华县扶沟县沈丘县郸城县项城市驻马店市:驿城区确山县新蔡县上蔡县西平县泌阳县平舆县汝南县遂平县正阳县济源市:山东省济南市:市中区历下区天桥区槐荫区历城区长清区章丘市平阴县济阳县商河县青岛市:市南区市北区四方区李沧区崂山区城阳区黄岛区胶南市胶州市平度市莱西市即墨市淄博市:张店区临淄区淄川区博山区周村区桓台县沂源县高青县枣庄市:市中区山亭区峄城区台儿庄区薛城区滕州市东营市:东营区河口区广饶县垦利县利津县烟台市:芝罘区福山区牟平区莱山区龙口市莱阳市莱州市招远市蓬莱市栖霞市海阳市长岛县潍坊市:潍城区寒亭区坊子区奎文区青州市诸城市寿光市安丘市高密市昌邑市昌乐县临朐县峡山区济宁市:市中区任城区曲阜市兖州市邹城市鱼台县金乡县嘉祥县微山县汶上县泗水县梁山县泰安市:泰山区岱岳区新泰市肥城市宁阳县东平县河北省石家庄市:长安区桥东区桥西区新华区井陉矿区裕华区辛集市藁城市晋州市新乐市鹿泉市井陉县正定县栾城县行唐县灵寿县高邑县深泽县赞皇县无极县平山县元氏县赵县邯郸市: 丛台区邯山区复兴区峰峰矿区武安市邯郸县临漳县成安县大名县涉县磁县肥乡县永年县邱县鸡泽县广平县馆陶县魏县曲周县保定市: 新市区北市区南市区涿州市定州市安国市高碑店市满城县清苑县涞水县阜平县徐水县定兴县唐县高阳县容城县涞源县望都县安新县易县曲阳县蠡县顺平县博野县雄县承德市:双桥区双滦区鹰手营子矿区承德县兴隆县平泉县滦平县隆化县丰宁满族自治县宽城满族自治县围场满族蒙古族自治县唐山市:路北区路南区古冶区开平区丰南区丰润区遵化市迁安市滦县滦南县乐亭县迁西县玉田县唐海县廊坊市:安次区广阳区霸州市三河市固安县永清县香河县大城县文安县大厂回族自治县沧州市:运河区新华区泊头市任丘市黄骅市河间市沧县青县东光县海兴县盐山县肃宁县南皮县吴桥县献县孟村回族自治县衡水市:桃城区冀州市深州市枣强县武邑县武强县饶阳县安平县故城县景县阜城县邢台市:桥东区桥西区南宫市沙河市邢台县临城县内丘县柏乡县隆尧县任县南和县宁晋县巨鹿县新河县广宗县平乡县威县清河县临西县秦皇岛市:海港区山海关区北戴河区昌黎县抚宁县卢龙县青龙满族自治县张家口市:桥东区桥西区宣化区下花园区张北县康保县沽源县尚义县蔚县阳原县怀安县万全县怀来县赤城县崇礼县宣化县涿鹿县山西省太原市:杏花岭区小店区迎泽区尖草坪区万柏林区晋源区古交市:阳曲县清徐县娄烦县大同市:南郊区新荣区大同县灵丘县阳高县左云县广灵县浑源县阳泉市:平定县长治市:潞城市长治县长子县平顺县襄垣县沁源县屯留县黎城县武乡县沁县壶关县晋城市:泽州县陵川县阳城县沁水县朔州市:朔城区平鲁区山阴县右玉县应县怀仁县晋中市:榆次区介休市昔阳县灵石县祁县左权县寿阳县太谷县和顺县平遥县榆社县运城市:盐湖区河津市永济市闻喜县新绛县平陆县垣曲县绛县稷山县芮城县夏县万荣县临猗县忻州市:忻府区原平市代县神池县五寨县五台县偏关县宁武县静乐县繁峙县河曲县保德县定襄县岢岚县临汾市:尧都区侯马市霍州市汾西县吉县安泽县大宁县浮山县古县隰县襄汾县翼城县永和县乡宁县曲沃县洪洞县蒲县吕梁市:离石区孝义市汾阳市文水县中阳县兴县临县方山县柳林县岚县(交口县交城县石楼县云南省昆明市:五华区盘龙区官渡区西山区东川区安宁市呈贡县晋宁县富民县宜良县嵩明县石林县禄劝县寻甸县曲靖市:麒麟区宣威市马龙县陆良县师宗县罗平县富源县会泽县沾益县玉溪市:红塔区江川县澄江县通海县华宁县易门县峨山县新平县元江县保山市:隆阳区施甸县腾冲县龙陵县昌宁县昭通市:昭阳区鲁甸县巧家县盐津县大关县永善县绥江县镇雄县彝良县威信县水富县丽江市:古城区永胜县华坪县玉龙县宁蒗县思茅市:翠云区普洱县墨江县景东县景谷县镇沅县江城县孟连县澜沧县西盟县临沧市:临翔区凤庆县云县永德县镇康县双江县耿马县沧源县文山州:文山县砚山县西畴县麻栗坡马关县丘北县广南县富宁县红河州:蒙自县个旧市开远市绿春县建水县石屏县弥勒县泸西县元阳县红河县金平县河口县屏边县西双版纳州:景洪市勐海县勐腊县楚雄州:楚雄市双柏县牟定县南华县姚安县大姚县永仁县元谋县武定县禄丰县大理州:大理市祥云县宾川县弥渡县永平县云龙县洱源县剑川县鹤庆县漾濞县南涧县巍山县德宏州:潞西市瑞丽市梁河县盈江县陇川县怒江州:泸水县福贡县贡山县兰坪县迪庆州:香格里拉县德钦县维西县黑龙江哈尔滨市:松北区道里区南岗区道外区平房区香坊区呼兰区阿城区双城市尚志市五常市依兰县方正县宾县巴彦县木兰县通河县延寿县齐齐哈尔市:龙沙区建华区铁锋区昂昂溪富拉尔基碾子山梅里斯讷河龙江依安泰来甘南富裕克山克东拜泉鸡西市:鸡冠区恒山区滴道区梨树区城子河区麻山区虎林市密山市鸡东县鹤岗市:兴山区向阳区工农区南山区兴安区东山区萝北县绥滨县双鸭山市:尖山区岭东区四方台区宝山区集贤县友谊县宝清县饶河县大庆市:萨尔图区龙凤区让胡路区红岗区大同区肇州县肇源县林甸县杜尔伯特蒙古族自治县伊春市:伊春区南岔友好西林区翠峦区新青区美溪区金山屯五营乌马河汤旺河带岭区乌伊岭红星区上甘岭铁力市嘉荫县佳木斯市:前进区向阳区东风区郊区同江市富锦市桦南县桦川县汤原县抚远县七台河市:桃山区新兴区茄子河区勃利县牡丹江市:爱民区东安区阳明区西安区绥芬河市海林市宁安市穆棱市东宁县林口县黑河市:爱辉区北安市五大连池市嫩江县逊克县孙吴县绥化市:北林区安达市肇东市海伦市望奎县兰西县青冈县庆安县明水县绥棱县大兴安岭地区呼玛县塔河县漠河县加格达奇区松岭区新林区呼中区陕西省西安市:未央区新城区碑林区莲湖区灞桥区雁塔区阎良区临潼区长安区蓝县周至县户县高陵县铜川市:耀州区王益区印台区宜君县宝鸡市:渭滨区金台区陈仓区凤翔县岐山县扶风县眉县陇县千阳县麟游县凤县太白县咸阳市:秦都区渭城区兴平市三原县泾阳县乾县礼泉县永寿县彬县长武县旬邑县淳化县武功县渭南市:临渭区韩城市华阴市华县潼关县大荔县合阳县澄城县蒲城县白水县富平县延安市:宝塔区延长县延川县子长县安塞县志丹县吴起县甘泉县富县洛川县宜川县黄龙县黄陵县汉中市:汉台区南郑县城固县洋县西乡县勉县宁强县略阳县镇巴县留坝县佛坪县榆林市:榆阳区神木县府谷县横山县靖边县定边县绥德县米脂县佳县吴堡县清涧县子洲县安康市:汉滨区汉阴县石泉县宁陕县紫阳县岚皋县平利县镇坪县旬阳县白河县商洛市:商州区洛南县丹凤县商南县山阳县镇安县柞水县贵州省贵阳市:乌当区南明区云岩区花溪区白云区小河区清镇市开阳县息烽县文县六盘水市:钟山区六枝特区水城县盘县遵义市:红花岗区汇川区赤水市仁怀市遵义县桐梓县绥阳县正安县凤冈县湄潭县余庆县习水县道真仡佬族苗族自治县务川仡佬族苗族自治县安顺市:西秀区平坝县普定县镇宁布依族苗族自治县关岭布依族苗族自治县紫云苗族布依族自治县铜仁市:江口县石阡县思南县德江县玉屏侗族自治县印江土家族苗族自治县沿河土家族自治县松桃苗族自治县万山特区毕节市:大方县黔西县金沙县织金县纳雍县赫章县威宁彝族回族苗族自治县兴义市:兴仁县普安县晴隆县贞丰县望谟县册亨县安龙县凯里市:黄平县施秉县三穗县镇远县岑巩县天柱县锦屏县剑河县台江县黎平县榕江县从江县雷山县麻江县丹寨县都匀市:福泉市荔波县贵定县瓮安县独山县平塘县罗甸县长顺县龙里县惠水县三都水族自治县吉林省长春市:朝阳区南关区宽城区二道区双阳区绿圆区德惠市九台市榆树市农安县吉林市:船营区龙潭区昌邑区丰满区磐石市蛟河市桦甸市舒兰市永吉县四平市:铁西区铁东区双辽市公主岭市犁树市伊通满族自治县辽源市:龙山区西安区东丰县东辽县通化市:东昌区二道江区梅河口市集安市通化县辉南县柳河县白山市:八道江区临江市江源县抚松县靖宇县长白朝鲜族自治县松原市:宁江区扶余县长岭县乾安县前郭尔罗斯蒙古族自治县。