菏泽市初中数学分式分类汇编及答案
- 格式:doc
- 大小:356.50 KB
- 文档页数:9
一、选择题1.无论a 取何值,下列分式总有意义的是( )A .21a a +B .211a a -+C .211a -D .11a + 2.计算1÷11m m+-(m 2-1)的结果是( ) A .-m 2-2m -1B .-m 2+2m -1C .m 2-2m -1D .m 2-1 3.下列运算正确的是( ) A .(2a 2)3=6a 6B .-a 2b 2•3ab 3=-3a 2b 5C .D .4.下列各式从左到右的变形正确的是 ( )A .220.220.33a a a a a a--=-- B .11x x x y x y +--=-- C .116321623a a a a --=++D .22b a a b a b -=-+ 5.若分式23x x --有意义,则x 满足的条件是( ) A .x ≠0 B .x ≠2 C .x ≠3 D .x ≥36.若分式211x x -+的值为零,则x 的值为( ) A .0B .1C .1-D .±1 7.化简21(1)211x x x x ÷-+++的结果是( ) A .11x + B .1x x + C .x +1 D .x ﹣18.函数中自变量x 的取值范围是( ) A .x≠2 B .x≥2 C .x≤2 D .x >29.PM 2.5是指大气中直径小于或等于2.5μm (1μm =0.000001m )的颗粒物,也称为可入肺颗粒物,它们还有一定量的有毒、有害物质,对人体健康和大气环境质量有很大影响.2.3μm 用科学记数法可表示为( )A .23×10﹣5mB .2.3×10﹣5mC .2.3×10﹣6mD .0.23×10﹣7m10.下列代数式y2、x、13π、11a-中,是分式的是A.y2B.11a-C.x D.13π11.在式子31x-、2xyπ、2334a b c、2xx中,分式的个数是()A.1个B.2个C.3个D.4个12.在2x,1()3x y+,3ππ-,5a x-,24x y-中,分式的个数为()A.1 B.2 C.3 D.413.若分式的值为0,则x的值为A.B.C.D.不存在14.雾霾已经成为现在生活中不得不面对的重要问题,PM2.5是大气中直径小于或等于0.000 002 5米的颗粒物,将0.000 002 5用科学记数法表示为()A.2.5×10﹣6B.0.25×10﹣6C.2.5×10﹣5D.0.25×10﹣515.若式子21 2x x m-+不论x取任何数总有意义,则m的取值范围是() A.m≥1B.m>1C.m≤1D.m<116.已知115aba b=+,117bcb c=+,116cac a=+,则abcab bc ca++的值是()A.121B.122C.123D.12417.(2015秋•郴州校级期中)当x=3,y=2时,代数式的值是()A.﹣8 B.8 C. D.18.在代数式,,+,,中,分式有()A.1个 B.2个 C.3个 D.4个19.下列4个数:9,227,π,(3)0,其中无理数是( )A.9B.227C.πD.(3)020.式子①,②,③,④中,是分式的是()A.①② B.③④ C.①③ D.①②③④21.若已知分式22169x x x ---+的值为0,则x ﹣2的值为( ). A .19或﹣1 B .19或1 C .﹣1 D .1 22.在标准大气压下氢气的密度为0.00009g/cm 3 ,用科学记数法表示0.00009正确的是( )A .5910⨯B .5910-⨯C .4910-⨯D .40.910⨯23.在函数中,自变量的取值范围是( ) A .>3 B .≥3且≠4 C .>4 D .≥324.用科学记数方法表示0.00000601,得( )A .0.601×10-6B .6.01×10-6C .60.1×10-7D .60.1×10-625.分式中,最简分式个数为( )个. A .1 B .2 C .3 D .4【参考答案】***试卷处理标记,请不要删除一、选择题1.B解析:B【解析】分式有意义的条件是:“分母的值不为0”,在A 中,当0a =时,分式无意义;在C 中当1a =±时,分式无意义;在D 中当1a =-时分式无意义;只有B 中,无论a 为何值,分式都有意义;故选B.2.B解析:B【解析】1÷11m m +-·(m 2-1)=1×11m m-+(m +1)·(m -1)=-(m -1)2=-m 2+2m -1. 3.D解析:D【解析】试题解析:A 、原式=8a 6,错误;B 、原式=-3a 3b 5,错误;C 、原式=,错误;D 、原式=,正确;故选D . 考点:1.分式的乘除法;2.幂的乘方与积的乘方;.3.单项式乘单项式;4.分式的加减法. 4.C解析:C【详解】解:A.220.21020.3103a a a a a a --=--,故原选项错误; B. 11x x x y x y+--=--,故原选项错误; C. 116321623a a a a --=++ ,故此选项正确; D.22b a b a a b-=-+,故原选项错误, 故选C .5.C解析:C【解析】试题分析:根据分式有意义的条件,分母不等于0,可得x-3≠0,解得x≠3. 故选:C.6.B解析:B【解析】由题意得:101x x -=⇒= ,故选B.7.A解析:A【分析】根据分式混合运算法则计算即可.【详解】解:原式=2211(1)1(1)1x x x x x x x x x +÷=⋅=++++ . 故选:A .【点睛】本题考查的是分式的混合运算,熟知分式混和运算的法则是解答本题的关键.8.A解析:A【解析】试题解析:根据题意得:2﹣x≠0,解得:x≠2. 故函数中自变量x 的取值范围是x≠2.故选A .考点:函数自变量的取值范围. 9.C解析:C【详解】解:2.3μm=2.3×0.000001m=2.3×10﹣6m ,故选C .【点睛】本题考查科学记数法—表示较小的数.10.B解析:B【解析】 试题解析:由于11a -中,分母含有字母, 故选B. 11.B解析:B【解析】2xy π 、2334a b c 的分母中均不含有字母,因此它们是整式,而不是分式. 31x -,2x x 的分母中含有字母,因此是分式. 故选B .12.B解析:B【解析】 试题分析:根据分式的概念,分母中含有未知数的是分式,所以在2x ,1()3x y +,3ππ-,5a x -,24x y -中分式有2x ,5a x -;特别注意3ππ-不是分式,它是分数 考点:分式 点评:本题考查分式,解答本题的关键是掌握分式的概念,利用分式的概念来判断是否是分式 13.B解析:B【解析】∵分式的值为0,∴,解得:,故选B.点睛:求使分式值为0的字母的取值时,要注意需同时满足两点:(1)分子的值为0;(2)分母的值不为0.14.A解析:A【解析】由科学记数法知0.0000025=2.5×10−6,故选A.15.B解析:B【解析】试题解析:分式21 2x x m-+不论x取何值总有意义,则其分母必不等于0,即把分母整理成(a+b)2+k(k>0)的形式为(x2-2x+1)+m-1=(x-1)2+(m-1),因为论x取何值(x2-2x+1)+m-1=(x-1)2+(m-1)都不等于0,所以m-1>0,即m>1.故选B.16.D解析:D【解析】试题解析:由已知得:1115a b+=,1117b c+=,1116c a+=,∴11124 a b c++=,∴原式=11 11124a b c=++,故选D.考点:分式的运算.17.C解析:C【解析】试题分析:先根据分式混合运算的法则把原式进行化简,再把x=3,y=2代入进行计算即可.解:原式=•=﹣,当x=3,y=2时,原式=﹣=﹣.故选C.考点:分式的化简求值.18.B解析:B【解析】试题分析:依据分式的定义进行判断即可.解:分母中不含字母,故不是分式;分母中含有字母是分式;+分母不含字母,故不是分式;分母中含有字母是分式;中π是数字,不是字母,故不是分式.故选B19.C解析:C【解析】9=3,227是无限循环小数,π是无限不循环小数,()031=,所以π是无理数,故选C.20.C解析:C【解析】试题分析:判断分式的依据是看分母中是否含有字母,如果含有字母则是分式,如果不含有字母则不是分式.解:①,③是分式,②,④是整式,故选:C.【点评】本题主要考查分式的定义,注意π不是字母,是常数,所以不是分式,是整式.21.D解析:D .【解析】试题分析:根据分式值为零的条件可得:|x ﹣2|﹣1=0,且269x x -+≠0,再解即可.由题意得:|x ﹣2|﹣1=0,且269x x -+≠0,解得:x=1.故选:D .考点:分式的值为零的条件;负整数指数幂.22.B解析:B【解析】根据科学记数法的书写规则,易得B.23.B解析:B【解析】试题分析:根据分式的意义,可知x-4≠0,解得x≠4,根据二次根式有意义的条件可知x-3≥0,解得x≥3,因此x 的取值范围为x≥3,且x≠4.故选:B.点睛:此题主要考查了复合算式有意义的条件,解题关键是根据复合算式的特点,逐步确定条件即可.主要有:分式有意义的条件是分母不等于0,二次根式有意义的条件是被开方数为非负数.24.B解析:B【解析】试题分析:根据科学记数法表示较小的数,可知a=6.01,n=-6,所以用科学记数法表示为6.01×10-6. 故选:B点睛:科学记数法的表示形式为a×10n 的形式,其中1≤|a|<10,n 为整数.确定n 的值时,要看把原数变成a 时,小数点移动了多少位,n 的绝对值与小数点移动的位数相同.当原数绝对值>1时,n 是正数;当原数的绝对值<1时,n 是负数.25.C解析:C【解析】根据最简分式的定义——分子和分母没有公因式的分式.易得共3个是最简分式:,, 故选C.。
一、选择题1.已知11(1,2)a x x x =-≠≠,23121111,,,111n n a a a a a a -==⋯⋯=---,则2017a =( ) A .21xx-- B .12x- C .1x -D .无法确定2.化简a b a b b a+--22的结果是( ) A .1 B .+a bC .-a bD .22a b -3.设2222x 18n x 33x x 9+=+++--,若n 的值为整数,则x 可以取的值得个数是( ) A .5B .4C .3D .24.若222110.2,2,(),.()25a b c d --=-=-=-=-,则( ) A .a b c d <<< B .b a d c <<<C .a b d c <<<D .c a d b <<<5.把分式中的、的值同时缩小到原来的,则分式的值( )A .扩大为原来的2倍B .不变C .扩大为原来的4倍D .缩小为原来的一半6.若把分式x yxy+中的x 和y 都扩大2倍,那么分式的值( ) A .扩大2倍B .不变C .缩小2倍D .缩小4倍7.若x 2-6xy +9y 2=0,那么x yx y-+的值为( ) A .12yB .12y-C .12D .12-8.蜜蜂建造的蜂巢坚固省料,其厚度约为0.000073米,0.000073用科学计数法表示为 A .40.7310-⨯B .47.310-⨯C .57.310-⨯D .67.310-⨯ 9.下列四种说法(1)分式的分子、分母都乘以(或除以),分式的值不变;(2)分式的值能等于零;(3)的最小值为零;其中正确的说法有( )A .1个B .2 个C .3 个D .0个10.与分式11a a -+--相等的式子是( ) A .11a a +- B .11a a -+ C .11a a +-- D .11a a --+ 11.把0.0813写成科学计教法8.13×10n (n 为整数)的形式,则n 为( ) A .2B .-2C .3D .-312.目前,世界上能制造出的小晶体管的长度只有0.00000004m 将0.00000004用科学记数法表示为( ) A .3410-⨯B .80.4 10⨯C .8410⨯D .8410-⨯13.下列运算正确的是( )A .623x x x=B .221x a ax b b++=++ C .1122x xx x ---=-- D .0.71070.20.323a b a ba b a b--=++14.下列各式中,正确的是( )A .22x y x y -++=-B .()222x y x y x y x y --=++ C .1a b b ab b++= D .23193x x x -=--15.函数 y =21x x --的自变量 x 的取值范围是( ) A .x > -1且x ≠ 1 B .x ≠ 1且x ≠ 2C .x ≥ -1且x ≠ 1D .x ≥ -116.将分式2a bab+中的a 、b 都扩大为原来的2倍,则分式的值( ) A .缩小到原来的12倍 B .扩大为原来的2倍 C .扩大为原来的4倍 D .不变17.下列命题中:①已知两实数a 、b ,如果a >b ,那么a 2>b 2;②同位角相等,两直线平行;③如果两个角是直角,那么这两个角相等;④如果分式332x x -+无意义,那么x =﹣23;这些命题及其逆命题都是真命题的是( ) A .①② B .③④ C .①③ D .②④ 18.用小数表示45.610-⨯为( ) A .5.6000B .0.00056C .0.0056D .0.05619.下列变形正确的是( ) A .()23524a a -=- B .22220x y xy -=C .23322b ab a a-÷=- D .()()222222x y x y x y +-=-20.下列计算错误的是( ) A .()326327xx -=-B .()()325y y y --=-C .326-=-D .()03.141π-=21.小明家到学校m 千米,若步行从家到学校,需要t 小时;若骑自行车,所用时间比步行少用20分钟,则骑自行车的比步行的速度快了( )A .3(1)m t t -千米/时B .(31)m t t - 千米/时 C .(31)mt t-+ 千米/时 D .13mt - 千米/时 22.222142x x x÷--的计算结果为( ) A .2x x +B .22x x +C .22x x -D .2(2)x x +23.若代数式21a 4-在实数范围内有意义,则实数a 的取值范围为( ) A .a 4≠B .a 2>-C .2a 2-<<D .a 2≠±24.化简21211a aa a----的结果为( ) A .11a a +- B .a ﹣1 C .a D .125.下列各分式的值可能为零的是( ).A .2211m m +-B .11m +C .211m m +-D .211m m -+【参考答案】***试卷处理标记,请不要删除一、选择题 1.C 解析:C 【分析】按照规定的运算方法,计算出前几个数的值,进一步找出数字循环的规律,利用规律得出答案即可. 【详解】解:∵11(1,2)a x x x =-≠≠,∴2111111(1)2a a x x ===----,321121111()2x a a xx -===----,34111211()1a x x a x ===-----… ∴以x−1,12x -,21xx --为一组,依次循环,∵2017÷3=672…1,∴2017a 的值与a 1的值相同, ∴20171a x =-, 故选:C . 【点睛】此题考查数字的变化规律以及分式的运算,找出数字之间的运算规律,利用规律解决问题是解答此题的关键.2.B解析:B 【解析】 【分析】原式变形后,利用同分母分式的减法法则计算,约分即可得到结果. 【详解】解:原式=22a b a b --=()()a b a b a b+--=a+b , 故选B . 【点睛】此题考查了分式的加减法,熟练掌握运算法则是解本题的关键.3.B解析:B 【解析】 【分析】先通分,再加减,最后化简.根据化简结果为整数,确定x 的取值个数. 【详解】 n=222218339x x x x ++++-- =()()()()()()()()2323218333333x x x x x x x x x -++-++-+-+-=()()262621833x x x x x ---+++-=()()()2333x x x ++-=23x - 当x-3=±1、±2,即x=4、2、1、5时 分式23x -的值为整数. 故选B . 【点睛】本题考查了异分母分式的加减法及分式为整数的相关知识.解决本题的关键是根据化简结果得到分式值为整数的x 的值.4.B解析:B 【解析】 【分析】分别计算出a 、b 、c 、d 的值,再进行比较即可. 【详解】因为20.2a =-=-0.04,b=22--=-14,c=212-⎛⎫- ⎪⎝⎭=4,d=015⎛⎫- ⎪⎝⎭=1, 所以b a d c <<<. 故选B. 【点睛】本题考查比较有理数的大小,涉及知识有负整数指数幂、0次幂,解题关键是熟记法则.5.A解析:A 【解析】 【分析】根据题意可知原来的x 变成,原来的y 变成,在根据分式基本性质可以求得答案.【详解】由题意可知:分式的值扩大为原来的2倍. 故选:A 【点睛】本题考查了分式的基本性质:分式的分子与分母同乘(或除以)一个不等于0的整式,分式的值不变.6.C解析:C 【解析】 【分析】根据题意,分式中的x 和y 都扩大2倍,则222()2242x y x y x yx y xy xy+++==⋅;【详解】解:由题意,分式x yyx +中的x 和y 都扩大2倍,∴222()2242x y x y x yx y xy xy+++==⋅;分式的值是原式的12,即缩小2倍;故选C.【点睛】本题考查了分式的基本性质,分式的分子与分母同乘(或除以)一个不等于0的整式,分式的值不变,分子、分母、分式本身同时改变两处的符号,分式的值不变.7.C解析:C【解析】【分析】根据完全平方公式求出x与y的关系,代入计算即可.【详解】x2-6xy+9y2=0,(x-3y)2=0,∴x=3y,则x yx y-+=3132y yy y-=+,故选:C.【点睛】本题考查的是求分式的值,掌握完全平方公式、分式的计算是解题的关键.8.C解析:C【解析】【分析】数学术语,a×10的n次幂的形式.将一个数字表示成(a×10的n次幂的形式),其中1≤|a|<10,n表示整数,这种记数方法叫科学记数法。
一、选择题1.若0x y y z z xabc a b c---===<,则点P(ab ,bc)不可能在第( )象限 A .一 B .二 C .三 D .四 2.下列各式中,正确的是( )A .a m a b m b +=+B .a b 0a b +=+C .ab 1b 1ac 1c 1--=-- D .22x y 1x y x y -=-+3.分式x 22x 6-- 的值等于0,则x 的取值是 A .x 2=B .x ?2=-C .x 3=D .x ?3=-4.计算: ()332xy ?-一 的结果是A .398x y --B .398x y ---C .391x y 2---D .361x y 2---5.在式子:2x、5x y + 、12a - 、1x π-、21x x +中,分式的个数是( )A .2B .3C .4D .56.若a = (-0.4)2,b = -4-2,c =214-⎛⎫- ⎪⎝⎭,d =014⎛⎫- ⎪⎝⎭, 则 a 、b 、c 、d 的大小关系为( ) A .a <b <c <d B .b <a <d <cC .a <d <c <bD .c <a <d <b7.分式a x ,22x y x y +-,2121a a a --+,+-x y x y中,最简分式有( ). A .1个B .2个C .3个D .4个8.已知a <b 的结果是( )A B C .D .9.人体中红细胞的直径约为0.000 007 7 m ,用科学记数法表示该数据为 ( ) A .7.7×106 B .7.7×107 C .7.7×10-6 D .7.7×10-7 10.如果把分式2xx y-中的x 与y 都扩大2倍,那么分式的值( ) A .不变B .扩大2倍C .缩小2倍D .扩大4倍11.把分式 2x-y2xy中的x 、y 都扩大到原来的4倍,则分式的值( )A .扩大到原来的16倍B .扩大到原来的4倍C .缩小到原来的14D .不变12.下列关于分式的判断,正确的是( ) A .当x=2时,12x x +-的值为零 B .当x≠3时,3x x-有意义 C .无论x 为何值,31x +不可能得整数值 D .无论x 为何值,231x +的值总为正数 13.将分式2x x y+中的x 、y 的值同时扩大3倍,则 扩大后分式的值( )A .扩大3倍B .缩小3倍C .保持不变D .无法确定14.使分式224x x +-有意义的取值范围是( ) A .2x =-B .2x ≠-C .2x =D .2x ≠15.()()2323x y z x y z +++-的结果为( ) A .1B .33-+m m C .33m m +- D .33mm + 16.每到四月,许多地方杨絮、柳絮如雪花般漫天飞舞,人们不堪其扰,据测定,杨絮纤维的直径约为0.0000105m ,该数值用科学记数法表示为( ) A .51.0510⨯ B .51.0510-⨯C .50.10510-⨯D .410.510-⨯17.若,则用u 、v 表示f 的式子应该是( )A .B .C .D .18.氢原子的半径约为0.000 000 000 05m ,用科学记数法表示为( ) A .5×10﹣10m B .5×10﹣11m C .0.5×10﹣10m D .﹣5×10﹣11m 19.纳米是一种长度单位,1米=109纳米,已知某种植物花粉的直径约为35000纳米,那么用科学记数法表示这种花粉的直径为( ) A .3.5×10﹣6米 B .3.5×10﹣5米 C .35×1013米 D .3.5×1013米 20.下列说法:①在一个装有2白球和3个红球的袋中摸3个球,摸到红球是必然事2(21)12a a +=--,则12a ≥-; 181822a ba b -+是最简分式;其中正确的有()个.A .1个B .2个C .3个D .4个 21.若(x -2016)x =1,则x 的值是( )A .2017B .2015C .0D .2017或022.函数3x y +=的取值范围是( ) A .x >2 B .x ≥3C .x ≥3,且x ≠2D .x ≥-3,且x ≠223.若()3231tt --=,则t 可以取的值有( )A .1个B .2个C .3个D .4个24.下列关于分式的判断正确的是 ( ) A .无论x 为何值,231x +的值总为正数 B .无论x 为何值,31x +不可能是整数值 C .当x =2时,12x x +-的值为零 D .当x ≠3时3x x-,有意义 25.下列各式:2116,,4,,235x y xx y x π++-中,分式有( ) A .1个B .2个C .3个D .4个【参考答案】***试卷处理标记,请不要删除一、选择题 1.A 解析:A 【解析】 【分析】根据有理数的乘法判断出a ,b ,c 中至少有一个是负数,另两个同号,然后求出三个数都是负数时x 、y 、z 的大小关系,得出矛盾,从而判断出a 、b 、c 不能同时是负数,确定出点P 不可能在第一象限. 【详解】 解:∵abc <0,∴a ,b ,c 中至少有一个是负数,另两个同号, 可知三个都是负数或两正数,一个是负数, 当三个都是负数时:若x yabc a-=, 则20x y a bc -=>,即x >y ,同理可得:y >z ,z >x 这三个式子不能同时成立, 即a ,b ,c 不能同时是负数, 所以,P (ab ,bc )不可能在第一象限. 故选:A. 【点睛】本题主要考查分式的基本性质和点的坐标的知识,熟悉点的坐标的基本知识是本题的解题关键,确定一个点所在象限,就是确定点的坐标的符号.2.D解析:D 【解析】A.在分式的分子、分母上同时加上或减去同一个非0的数或式子分式的值要改变,故A 错误;B.a ba b++=1,故B 错误; C.a 不是分子、分母的因式,故C 错误; D.22x y x y --=()()x y x y x y -+-=1x y+;故D 正确.故选D.3.A解析:A 【解析】 由题意得:20260x x -=⎧⎨-≠⎩ ,解得:2x =.故选A.点睛:分式值为0需同时满足两个条件:(1)分子的值为0;(2)分母的值不为0.4.B解析:B 【解析】3333939(2)=(-2)8xy x y x y -------=-.故选B.5.B解析:B 【解析】 解:分式有2x 、12a-、21x x +共3个.故选B .点睛:此题主要考查了分式的定义,正确把握分式的定义是解题关键.6.B解析:B 【解析】∵a=0.16;b=-214=-116;c =(211()4-)=16;d =1;故:b<a<d<c7.B解析:B 【解析】 试题解析:a x,+-x y x y 是最简分式,221()()x y x y x y x y x y x y ++==-+--,2211121(1)1a a a a a a --==-+--.故选B.8.D解析:D 【解析】因为a-ba a b-=-故选D.,0,0a a a a a ≥⎧==⎨-<⎩,推广此时a 可以看做是一个式子,式子整体大于等于0,把绝对值变为括号;式子整体小于0,把绝对值变为括号,前面再加负号.最后去括号,化简.9.C解析:C【解析】绝对值小于1的数也可以利用科学记数法表示,一般形式为a×10-n,与较大数的科学记数法不同的是其所使用的是负指数幂,指数由原数左边起第一个不为零的数字前面的0的个数所决定, 0.000 007 7=7.7×10-6, 故选C.10.A解析:A 【解析】分析:解答此题时,可将分式中的x ,y 用2x ,2y 代替,然后计算即可得出结论.详解:依题意得:2222x x y ⨯-=222xx y ⋅⋅-()=原式.故选A . 点睛:本题考查的是对分式的性质的理解和运用,扩大或缩小n 倍,就将原来的数乘以n 或除以n .11.C解析:C 【解析】分析:把原分式中的x .y 都扩大到原来的4倍后,再约分化简.详解:因为()422441224416242x y x y x y x y xy xy ---⨯⨯==,所以分式的值缩小到原来的14.故选C .点睛:分数可以约分,分式与分数类似,也可以约分,根据分式的基本性质把一个分式的分子与分母的公因式或公因数约去,这种变形称为分式的约分.12.D解析:D【解析】A选项:当x=2时,该分式的分母x-2=0,该分式无意义,故A选项错误.B选项:当x=0时,该分式的分母为零,该分式无意义. 显然,x=0满足x≠3. 由此可见,当x≠3时,该分式不一定有意义. 故B选项错误.C选项:当x=0时,该分式的值为3,即当x=0时该分式的值为整数,故C选项错误.D选项:无论x为何值,该分式的分母x2+1>0;该分式的分子3>0. 由此可知,无论x为何值,该分式的值总为正数. 故D选项正确.故本题应选D.点睛:本题考查了与分式概念相关的知识. 分式有意义的条件是分式的分母不等于零,并不是分母中的x的值不等于零. 分式的值为零的条件是分式的分母不等于零且分式的分子等于零. 在分式整体的符号为正的情况下,分式值的符号由分子与分母的符号共同确定:若分子与分母同号,则分式值为正数;若分子与分母异号,则分式值为负数.13.A解析:A【解析】试题分析:==;故选A.考点:分式的基本性质.14.D解析:D【解析】【分析】根据分式有意义分母不为零可得2x-4≠0,再解即可.【详解】解:由题意得:2x-4≠0,解得:x≠2,故选:D.【点睛】此题主要考查了分式有意义的条件,关键是掌握分式有意义的条件是分母不等于零.15.A解析:A【分析】先计算除法运算,然后进行减法运算即可得出答案.【详解】原式=3m m +-6(3)(33)m -+× 32m -= 3m m ++ 33m += 33m m ++=1 故答案选A. 【点睛】本题考查的知识点是分式的混合运算,解题的关键是熟练的掌握分式的混合运算.16.B解析:B 【解析】 【分析】绝对值小于1的正数也可以利用科学记数法表示,一般形式为a×10-n ,与较大数的科学记数法不同的是其所使用的是负指数幂,指数由原数左边起第一个不为零的数字前面的0的个数所决定. 【详解】0.0000105=1.05×10-5, 故选B . 【点睛】本题考查用科学记数法表示较小的数,一般形式为a×10-n ,其中1≤|a|<10,n 为由原数左边起第一个不为零的数字前面的0的个数所决定.17.B解析:B 【解析】 【分析】已知等式左边通分并利用同分母分式的加法法则计算,表示出f 即可. 【详解】,变形得:f=.故选B . 【点睛】此题考查了分式的加减法,熟练掌握运算法则是解本题的关键.18.B解析:B 【解析】 【分析】绝对值小于1的正数也可以利用科学记数法表示,一般形式为a ×10﹣n ,与较大数的科学记数法不同的是其所使用的是负指数幂,指数由原数左边起第一个不为零的数字前面的0的个数所决定. 【详解】0.00000000005=5×10﹣11. 故选B . 【点睛】本题考查了用科学记数法表示较小的数,一般形式为a ×10﹣n ,其中1≤|a |<10,n 为由原数左边起第一个不为零的数字前面的0的个数所决定.19.B解析:B 【解析】 【分析】绝对值小于1的正数也可以利用科学记数法表示,一般形式为a ×10﹣n ,与较大数的科学记数法不同的是其所使用的是负指数幂,指数由原数左边起第一个不为零的数字前面的0的个数所决定. 【详解】∵1米=109纳米,某种植物花粉的直径约为35000纳米,∴35000纳米=35000×10﹣9m =3.5×10﹣5m .故选B . 【点睛】本题考查了用科学记数法表示较小的数,一般形式为a ×10﹣n ,其中1≤|a |<10,n 为由原数左边起第一个不为零的数字前面的0的个数所决定.20.C解析:C 【解析】 【分析】根据必然事件的定义,二次根式的性质,最简分式的定义以及同类二次根式的定义进行判断. 【详解】①在一个装有2白球和3个红球的袋中摸3个球,摸到红球是必然事件,正确.②12a =--,则12a ≤-,错误;4== ④分式22a ba b -+是最简分式,正确;故选:C . 【点睛】本题主要考查了随机事件、二次根式以及命题的真假判断,正确的命题叫真命题,错误的命题叫做假命题.把几个二次根式化为最简二次根式后,如果它们的被开方数相同,就把这几个二次根式叫做同类二次根式.21.D解析:D【解析】【分析】根据零指数幂:a0=1(a≠0)和1的任何次幂都是1可得x=0或x-2016=1,再解即可.【详解】由题意得:x=0或x-2016=1,解得:x=0或2017.故选:D.【点睛】此题主要考查了零次幂和乘方,关键是掌握零指数幂:a0=1(a≠0).22.D解析:D【解析】【分析】根据二次根式的性质和分式有意义的条件,被开方数大于或等于0,分母不等于0,可以求出x的范围.【详解】根据题意得:3020xx+≥⎧⎨-≠⎩,解得:x≥﹣3且x≠2.故选D.【点睛】函数自变量的范围一般从三个方面考虑:(1)当函数表达式是整式时,自变量可取全体实数;(2)当函数表达式是分式时,考虑分式的分母不能为0;(3)当函数表达式是二次根式时,被开方数非负.23.B解析:B【解析】【分析】根据任何非0数的零次幂等于1,1的任何次幂等于1,-1的偶数次幂等于1解答.【详解】当3-2t=0时,t=32,此时t-3=32-3=-32,(-32)0=1,当t-3=1时,t=4,此时3-2t=2-3×4=-6,1-6=1,当t-3=-1时,t=2,此时3-2t=3-2×2=-1,(-1)-1=-1,不符合题意,综上所述,t可以取的值有32、4共2个.故选:B . 【点睛】本题考查了零指数幂,有理数的乘方,要穷举所有乘方等于1的数的情况.24.A解析:A 【解析】 【分析】根据分式有意义的条件、分式值为0的条件、分式值是正负等逐一进行分析即可得. 【详解】A 、分母中x 2+1≥1,因而23x 1+的值总为正数,故A 选项正确; B 、当x+1=1或-1时,3x 1+的值是整数,故B 选项错误; C 、当x=2时,分母x-2=0,分式无意义,故C 选项错误; D 、当x=0时,分母x=0,分式无意义,故D 选项错误, 故选A . 【点睛】本题考查了分式的值为零的条件,分式的定义,分式有意义的条件,注意分式的值是正数的条件是分子、分母同号,值是负数的条件是分子、分母异号.25.A解析:A 【解析】分析:判断分式的依据是看分母中是否含有字母,如果含有字母则是分式,如果不含有字母则不是分式. 详解:216,,4,,23x y xx y π++的分母中均不含有字母,因此它们是整式,而不是分式.15x -的分母中含有字母,因此是分式. 故选A .点睛:本题主要考查分式的定义,注意π不是字母,6xπ是常数,所以不是分式,是整式.。
一、选择题1.已知11(1,2)a x x x =-≠≠,23121111,,,111n n a a a a a a -==⋯⋯=---,则2017a =( ) A .21xx-- B .12x- C .1x -D .无法确定2.化简a b a b b a+--22的结果是( ) A .1B .+a bC .-a bD .22a b -3.若a =﹣0.22,b =﹣2-2,c =(﹣12)-2,d =(﹣12)0,则它们的大小关系是( ) A .a <b <c <d B .b <a <d <c C .a <d <c <b D .c <a <d <b4.如果把5xy x y+中的x 和y 都扩大为原来的10倍,那么这个分式的值( )A .不变B .扩大为原来的50倍C .扩大为原来的10倍D .缩小为原来的1105.若2220110.2,2,(),.()25a b c d --=-=-=-=-,则( ) A .a b c d <<<B .b a d c <<<C .a b d c <<<D .c a d b <<<6.小张在课外阅读中看到这样一条信息:“肥皂泡的厚度约为0.0000007m ”,请你用科学记数法表示肥皂泡的厚度,下列选项正确的是( ) A .0.7 ⨯10-6 mB .0.7 ⨯10-7mC .7 ⨯10-7mD .7 ⨯10-6m7.PM2.5是指大气中直径小于或等于2.5微米的颗粒物,也称为可入肺颗粒物。
2.5微米等于0.0000025米,把0.0000025用科学记数法表示为( ) A .0.25×10–5米B .2.5×10–7米C .2.5×10–6米D .25×10–7米8.已知:a ,b ,c 三个数满足,则的值为( ) A .B .C .D .9.已知x 2-4xy +4y 2=0,则分式x yx y-+的值为( ) A .13- B .13C .13yD .y 31-10.与分式11a a -+--相等的式子是( )A .11a a +- B .11a a -+ C .11a a +-- D .11a a --+ 11.若02018a =,2201720192018b =⨯- , 2017201845()()54c =-⨯ ,则a ,b ,c 的大小关系式( ) A .a b c << B .b c a <<C .c b a <<D .a c b <<12.目前,世界上能制造出的小晶体管的长度只有0.00000004m 将0.00000004用科学记数法表示为( ) A .3410-⨯B .80.4 10⨯C .8410⨯D .8410-⨯13.下列分式运算中,正确的是( )A .111x y x y+=+B .x a ax b b+=+ C .22x y x y x y -=+- D ..a c adb d bc= 14.若式子01(1)k k -+-有意义,则一次函数()11y k x k =-+-的图象可能是( )A .B .C .D .15.下列等式从左到右的变形正确的是( )A .22b byx xy= B .2ab b a a =C .22b b a a=D .11b b a a +=+ 16.老师设计了一个接力游戏,用小组合作的方式完成分式的运算,规则是:每人只能看见前一个人给的式子,并进行一步计算,再将结果传递给下一个人,最后完成计算.其中一个组的过程是:老师给甲,甲一步计算后写出结果给乙,乙一步计算后写出结果给丙,丙一步计算后写出结果给丁,丁最后算出结果.接力中,自己负责的一步出现错误的是( )A .甲B .乙C .丙D .丁17.1372x x-+-x 的取值范围是( ) A .3<x <72B .3≤x <72C .3≤x ≤72D .x ≥318.下列运算正确的是( ) A .2x -2 =212xB .a 6÷a 3 =a 2C .(a 2)3 =a 5D .a 3·a =a 4 19.2019年底,我国爆发了新一轮的冠状病毒疫情,冠状病毒直径约80-120纳米,1纳米=1.0×10-9米,用科学记数法表示120纳米,其结果是( ) A .1.2×10-9米 B .1.2×10-8米 C .1.2×10-7米 D .1.2×10-6米 20.222142x x x÷--的计算结果为( ) A .2x x + B .22xx + C .22xx - D .2(2)x x +21.若代数式21a 4-在实数范围内有意义,则实数a 的取值范围为( ) A .a 4≠ B .a 2>-C .2a 2-<<D .a 2≠±22.若115a b =,则a b a b-+的值是( ) A .25B .38C .35D .11523.下列各式中,正确的是( )A .22x y x y -++=-B .()222x y x y x y x y --=++ C .1a b b ab b++= D .23193x x x -=-- 24.下列分式中,属于最简分式的是( ) A .42xB .11xx -- C .211x x +- D .224xx - 25.下列各式:351,,,,12a b x y a b x a b xπ-+++--中,是分式的共有( ) A .1个B .2个C .3个D .4个【参考答案】***试卷处理标记,请不要删除一、选择题 1.C 解析:C 【分析】按照规定的运算方法,计算出前几个数的值,进一步找出数字循环的规律,利用规律得出答案即可. 【详解】解:∵11(1,2)a x x x =-≠≠,∴2111111(1)2a a x x ===----,321121111()2x a a xx-===----,34111211()1a x x a x ===-----… ∴以x−1,12x -,21x x--为一组,依次循环,∵2017÷3=672…1, ∴2017a 的值与a 1的值相同, ∴20171a x =-, 故选:C . 【点睛】此题考查数字的变化规律以及分式的运算,找出数字之间的运算规律,利用规律解决问题是解答此题的关键.2.B解析:B 【解析】 【分析】原式变形后,利用同分母分式的减法法则计算,约分即可得到结果. 【详解】解:原式=22a b a b --=()()a b a b a b+--=a+b , 故选B . 【点睛】此题考查了分式的加减法,熟练掌握运算法则是解本题的关键.3.B解析:B 【解析】 【分析】根据负整数指数幂与正整数指数幂互为倒数,非零的零次幂等于1,可得答案. 【详解】∵a =﹣0.22=﹣0.04;b =﹣2﹣2=﹣14=﹣0.25,c =(﹣12)﹣2=4,d =(﹣12)0=1, ∴﹣0.25<﹣0.04<1<4, ∴b <a <d <c , 故选B . 【点睛】本题考查了负整数指数幂,熟练掌握负整数指数幂与正整数指数幂互为倒数,非零的零次幂等于1是解题关键.4.C解析:C 【解析】 【分析】首先分别判断出x 与y 都扩大为原来的10倍后,分式的分子、分母的变化情况,然后判断出这个代数式的值和原来代数式的值的关系即可. 【详解】解:∵x 与y 都扩大为原来的10倍,∴5xy 扩大为原来的100倍,x+y 扩大为原来的10倍, ∴5xyx y+的值扩大为原来的10倍, 即这个代数式的值扩大为原来的10倍. 故选:C . 【点睛】本题考查分式的基本性质:分式的分子与分母同乘(或除以)一个不等于0的整式,分式的值不变,要熟练掌握,解答此题的关键是分别判断出分式的分子、分母的变化情况.5.B解析:B 【解析】 【分析】分别计算出a 、b 、c 、d 的值,再进行比较即可. 【详解】因为20.2a =-=-0.04,b=22--=-14,c=212-⎛⎫- ⎪⎝⎭=4,d=015⎛⎫- ⎪⎝⎭=1, 所以b a d c <<<. 故选B. 【点睛】本题考查比较有理数的大小,涉及知识有负整数指数幂、0次幂,解题关键是熟记法则.6.C解析:C 【解析】 【分析】绝对值小于1的正数也可以利用科学记数法表示,一般形式为a×10-n ,与较大数的科学记数法不同的是其所使用的是负指数幂,指数由原数左边起第一个不为零的数字前面的0的个数所决定. 【详解】解:0.000 000 7=7×10-7. 故选C . 【点睛】本题考查用科学记数法表示较小的数,一般形式为a×10-n,其中1≤|a|<10,n为由原数左边起第一个不为零的数字前面的0的个数所决定.7.C解析:C【解析】【分析】绝对值小于1的正数也可以利用科学记数法表示,一般形式为a×10﹣n,与较大数的科学记数法不同的是其所使用的是负指数幂,指数由原数左边起第一个不为零的数字前面的0的个数所决定.由此即可解答.【详解】0.0000025=2.5×10﹣6,故选C.【点睛】本题考查用科学记数法表示较小的数,一般形式为a×10﹣n,其中1≤|a|<10,n为由原数左边起第一个不为零的数字前面的0的个数所决定.8.A解析:A【解析】【分析】由已知可得,,,,则ac+bc=3abc,ab+ac=4abc,bc+ab=5abc,把三式相加,可得2(ab+bc+ca)=12abc,即可求解.【详解】解:由已知可得,,,,则ac+bc=3abc①,ab+ac=4abc②,bc+ab=5abc③,①+②+③得,2(ab+bc+ca)=12abc,即=.故选:A.【点睛】此题考查了分式的化简求值,要特别注意观察已知条件和所求代数式的关系,再进行化简.9.B解析:B【解析】试题解析:∵x2-4xy+4y2=0,∴(x-2y)2=0,∴x=2y,∴133x y y x y y -==+. 故选B .10.B解析:B 【分析】根据分式的基本性质即可得出:分式的分子、分母、分式本身的符号,改变其中的任意两个,分式的值不变,据此即可解答. 【详解】 解:原式= 1)(1)a a --+-( =11a a -+故选:B . 【点睛】本题考查分式的基本性质,解题关键是熟练掌握分式的基本性质.11.C解析:C 【分析】根据零次幂的性质,平方差公式以及积的乘方法则求出a ,b ,c ,再根据有理数的比较法则判断即可. 【详解】解:020118a ==,2222201720192018(20181)(20181)20182018120181b =⨯-=-+-=--=-,201720182017454555()()()545444c =-⨯=-⨯⨯=-,∵54-<-1<1, ∴c <b <a . 故选:C . 【点睛】本题主要考查了零次幂的性质,平方差公式以及积的乘方,熟练掌握相关运算法则是解题关键.12.D解析:D 【解析】 【分析】科学记数法的表示形式为a×10n 的形式,其中1≤|a|<10,n 为整数.确定n 的值时,要看把原数变成a 时,小数点移动了多少位,n 的绝对值与小数点移动的位数相同.当原数绝对值>1时,n 是正数;当原数的绝对值<1时,n 是负数.【详解】解:0.000 000 04=4×10-8, 故选:D . 【点睛】此题考查科学记数法的表示方法.科学记数法的表示形式为a×10n 的形式,其中1≤|a|<10,n 为整数,表示时关键要正确确定a 的值以及n 的值.13.C解析:C 【分析】根据分式的运算法则计算各个选项中的式子,从而可以解答本题. 【详解】 解:∵11,x yx y xy++= 故A 错误; (0)x a ax x b b+≠≠+,故B 错误;. 22()()x y x y x y x y x y x y -+-==+--,故C 正确; ∵.a c ac b d bd =,故D 错误. 故选:C 【点睛】本题考查分式的混合运算,解答本题的关键是明确分式的混合运算的计算方法.14.C解析:C 【分析】先求出k 的取值范围,再判断出1k -及1k -的符号,进而可得出结论. 【详解】0(1)k -有意义,则1k >. ∴10k -<,10k ->,∴一次函数()11y k x k =-+-的图象经过第一、二、四象限. 故选:C . 【点睛】本题考查的是一次函数的图象,熟知一次函数的图象与系数的关系是解答此题的关键.15.B解析:B 【分析】根据分式的基本性质,无论是把分式的分子和分母扩大还是缩小相同的倍数,都不要漏乘(除)分子、分母中的任何一项,且扩大(缩小)的倍数不能为0,并且分式的值不变,由此即可判定选择项. 【详解】 A 、22b by x xy=,其中y≠0,故选项错误; B 、2ab baa =,其中左边隐含a≠0,故选项正确; C 、2b ab a a =,故选项错误. D 、根据分式基本性质知道11b b aa ++≠,故选项错误; 故选B . 【点睛】此题考查分式的基本性质,解题的关键是熟练掌握分式的基本性质.16.B解析:B 【分析】找出题中出错的地方即可. 【详解】乙同学的过程有误,应为()()22a ab ab b a b a b +-++-,故选B . 【点睛】此题考查了分式的混合运算,熟练掌握运算法则是解本题的关键.17.B解析:B 【分析】根据二次根式的性质,被开方数大于等于0;分母中有字母,分母不为0. 【详解】由题意,得:x ﹣3≥0且7﹣2x >0,解得:3≤x 72<. 故选B . 【点睛】本题考查了二次根式有意义的条件,正确解不等式是解题的关键.18.D解析:D 【分析】根据负指数幂、同底数幂的乘法和除法以及幂的乘方的运算法则逐项排除即可. 【详解】解:A. 2x -2 =22x ,故选项A 错误; B. a 6÷a 3 =a 3,故选项B 错误; C. (a 2)3 =a 6,故选项C 错误;D. a 3·a =a 4 ,D 正确; 故答案为D . 【点睛】本题考查了负指数幂、同底数幂的乘法和除法以及幂的乘方的运算法则,掌握相关运算法则是解答本题的关键.19.C解析:C 【分析】绝对值小于1的正数利用科学记数法表示,一般形式为a ×10-n ,n 由原数左边起第一个不为零的数字前面的0的个数所决定. 【详解】解:120纳米=120×10-9米=1.2×10-7米, 故选:C . 【点睛】本题考查用科学记数法表示较小的数(绝对值小于1的正数利用科学记数法表示,一般形式为a ×10-n ,n 由原数左边起第一个不为零的数字前面的0的个数所决定),明确科学记数法的表示方法是解题的关键.20.B解析:B 【分析】先把分母因式分解,再把除法转换为乘法,约分化简得到结果. 【详解】222142x x x÷-- =21(2)(2)(2)x x x x ÷+--=()()()2·222x x x x -+-=22xx +. 故选:B . 【点睛】本题主要考查了分式的除法,约分是解答的关键.21.D解析:D分式有意义时,分母a 2-4≠0.【详解】依题意得:a 2-4≠0,解得a≠±2.故选D .【点睛】本题考查了分式有意义的条件.分式有意义的条件是分母不等于零22.B解析:B【分析】直接根据已知用含x 的式子表示出两数,进而代入化简得出答案.【详解】 解:∵115a b = ∴设11a x =,5b x = ∴11531158a b x x a b x x --==++ 故选:B【点睛】 此类化简求值题目,涉及到的字母a 、b 利用第三个未知数x 设出,代入后得到关于x 的式子进行约分化简即可.将两个字母转化为一个字母是解题的关键.23.B解析:B【分析】根据分式的性质,对每个选项的式子一一判断正误即可.【详解】22x y x y -+-=-,故A 选项错误; ()222()()()()x y x y x y x y x y x y x y x y --+-==++++,故B 选项正确; 1b a b a ab b++=,故C 选项错误;23319(3)(3)3x x x x x x --==-+-+,故D 选项错误. 故选:B .【点睛】本题主要考查分式的化简,熟记分式的性质是解题关键.解析:D【分析】根据最简分式的定义即可判断.【详解】 解:42=2x x,故A 选项错误; ()11=111x x x x ---=---,故B 选项错误; ()()2111==1111x x x x x x ++-+--,故C 选项错误; 224x x -,故D 选项正确. 故选:D【点睛】本题主要考查的是最简分式的定义,正确的掌握最简分式的定义是解题的关键.25.C解析:C【解析】【分析】根据分式的定义逐一进行判断即可.【详解】31,,1x a b x a b x++--是分式 故选:C.【点睛】本题考查分式的定义,熟练掌握定义是关键.。
一、选择题1.分式293x x --等于0的条件是( ) A .3x =B .3x =-C .3x =±D .以上均不对B解析:B【分析】根据分式等于0的条件:分子为0,分母不为0解答.【详解】由题意得:290,30x x -=-≠,解得x=-3,故选:B .【点睛】此题考查分式的值等于0的条件,熟记计算方法是解题的关键. 2.若关于x 的一元一次不等式组()()1112232321x x x a x ⎧-≤-⎪⎨⎪-≥-⎩恰有3个整数解,且使关于y 的分式方程3133y ay y y ++=--有正整数解,则所有满足条件的整数a 的值之和是( ) A .4B .5C .6D .3A解析:A【分析】不等式组整理后,根据已知解集确定出a 的范围,分式方程去分母转化为整式方程,由分式方程有正整数解,确定出a 的值,求出之和即可.【详解】 关于x 的一元一次不等式组整理得:325x a x ≤⎧⎪+⎨≥⎪⎩, ∵325x a x ≤⎧⎪+⎨≥⎪⎩恰有3个整数解, ∴2015a +<≤,即:23a -<≤, 关于y 的分式方程3133y ay y y ++=--,整理得:6y a =, ∵3133y ay y y ++=--有正整数解且63a≠,∴满足条件的整数a 的值为:1,3∴所有满足条件的整数a 的值之和是4,故选A .【点睛】此题考查了分式方程的解,以及解一元一次不等式组,熟练掌握求一元一次不等式组的解以及解分式方程的步骤,是解题的关键.3.已知2,1x y xy +==,则y x x y +的值是( ) A .0B .1C .-1D .2D 解析:D【分析】 将y x x y+进行通分化简,整理出含已知条件形式的分式,即可得出答案. 【详解】 解:2222()2221=21y x y x x y xy x y xy xy ++--⨯+=== 故选D .【点睛】本题考查了分式的混合运算,熟练运用完全平方公式是解题的关键.4.张明与李强共同清点一批图书,已知张明清点完200本图书所用的时间与李强清点完300本图书所用的时间相同,且李强平均每分钟比张明多清点10本,则张明平均每分钟清点图书( )A .20本B .25本C .30本D .35本A 解析:A【分析】设张明平均每分钟清点图书的数量为x ,则李强平均每分钟清点图书的数量为x +10,由张明清点完200本图书所用的时间与李强清点完300本图书所用的时间相等这个条件可列分式方程,求解即可.【详解】设张明平均每分钟清点图书x 本,则李强平均每分钟清点(10)x +本, 依题意,得:20030010x x =+,解得:20x , 经检验,20x是原方程的解, 所以张明平均每分钟清点图书20本.故选:A .【点睛】本题考查了分式方程的应用.找到题中的等量关系,列出分式方程,注意分式方程一定要验根.5.小红用15元买售价相同的软面笔记本,小丽用24元买售价相同的硬面笔记本(两人的钱恰好用完)已知每本硬面笔记本比软面笔记本贵3元,且小红和小丽买到相同数量的笔记本.设硬面笔记本每本售价为x 元,根据题意可列出的方程为( )A .1524x x 3=+B .1524x x 3=-C .1524x 3x =+D .1524x 3x =- D 解析:D【分析】由设硬面笔记本每本售价为x 元,可得软面笔记本每本售价为()x 3-元,根据小红和小丽买到相同数量的笔记本列得方程.【详解】解:设硬面笔记本每本售价为x 元,则软面笔记本每本售价为()x 3-元,根据题意可列出的方程为:1524x 3x =-. 故选:D .【点睛】此题考查分式方程的实际应用,正确理解题意找到题中的等量关系,由此列得方程是解题的关键.6.如图,若a 为负整数,则表示2a 111a a 1⎛⎫÷- ⎪-+⎝⎭的值的点落在( )A .段①B .段②C .段③D .段④C 解析:C【分析】将所给式子化简,根据a 为负整数,确定化简结果的范围,再从所给图中可得正确答案.【详解】解:2a 111a a 1⎛⎫÷- ⎪-+⎝⎭=()()a a 111a 1a a 1a 1+⎛⎫÷- ⎪+-++⎝⎭=()()aa 1a 1a a 1÷+-+ =()()a a 11a 1a a+⋅+-=11a -;∵a为负整数,且a1≠-,∴1a-是大于1的正整数,则111a2 <<-.故选C.【点睛】本题考查了分式的化简及分式加减运算,同时考查了分式值的估算,总体难度中等.7.将0.50.0110.20.03x x+-=的分母化为整数,得()A.0.50.01123x x+-=B.5051003xx+-=C.0.50.01100203x x+-=D.50513xx+-= D解析:D【分析】根据分式的基本性质求解.【详解】解:将0.50.0110.20.03x x+-=的分母化为整数,可得50513xx+-=.故选:D.【点睛】本题考查一元一次方程的化简,熟练掌握分式的基本性质解题关键.8.下列式子的变形正确的是()A.22b ba a=B.22+++a ba ba b=C.2422x y x yx x--=D.22m nnm-=- C解析:C【分析】根据分式的性质逐一判断即可.【详解】解:A.22b ba a=不一定正确;B.22+++a ba ba b=不正确;C. 2422x y x yx x--=分子分母同时除以2,变形正确;D. 22m n n m-=-不正确; 故选:C .【点睛】本题考查分式的基本性质,掌握分式的基本性质是解题的关键.9.若分式2132x x x --+的值为0,则x 的值为( ) A .1-B .0C .1D .±1A 解析:A【分析】根据分式值为零的条件列出方程和不等式,解方程和不等式得到答案.【详解】由题意得:|x|−1=0,x 2−3x+2≠0,解得,x =-1,故选:A .【点睛】本题考查的是分式为零的条件,掌握分式值为零的条件是分子等于零且分母不等于零是解题的关键.10.若220.3,3a b --=-=-,213c -⎛⎫=- ⎪⎝⎭,013d ⎛⎫=- ⎪⎝⎭,则( ) A .a b c d <<<B .b a c d <<<C .b a d c <<<D .a b d c <<< D解析:D【分析】 直接利用负整数指数幂的性质以及零指数幂的性质分别化简得出答案.【详解】 解:21000.39a -=-=-,2193b -==--,2913c -⎛⎫=- ⎪⎭=⎝,0113d ⎛⎫=-= ⎪⎝⎭, ∵10011999-<-<<, ∴a b d c <<<, 故选D .【点睛】此题主要考查了负整数指数幂的性质以及零指数幂的性质,正确化简各数是解题关键.二、填空题11.计算:(﹣2a ﹣2b )2÷2a ﹣8b ﹣3=_____.2a4b5【分析】直接利用积的乘方运算法则化简再利用整式的除法运算法则计算得出答案【详解】解:(﹣2a ﹣2b )2÷2a ﹣8b ﹣3=4a ﹣4b2÷2a ﹣8b ﹣3=2a-4-(-8)b2-(-3)=2a解析:2a 4b 5.【分析】直接利用积的乘方运算法则化简,再利用整式的除法运算法则计算得出答案.【详解】解:(﹣2a ﹣2b )2÷2a ﹣8b ﹣3=4a ﹣4b 2÷2a ﹣8b ﹣3=2a -4-(-8)b 2-(-3),=2a 4b 5.故答案为:2a 4b 5.【点睛】本题考查了整数指数幂的运算,熟练应用法则是解题关键.12.规定一种新的运算“ JX x A B →+∞”,其中A 和B 是关于x 的多项式,当A 的次数小于B 的次数时. 0JX x A B →+∞=;当A 的次数等于B 的次数时, JX x A B→+∞的值为A 、B 的最高次项的系数的商,当A 的次数大于B 的次数时, JX x A B →+∞不存在,例如: 201JX x x →+∞=-,2 2212312JX x x x x →+∞+=+-,若223410211A x x B x x -⎛⎫=-÷ ⎪--⎝⎭,则 JX x A B →+∞的值为__________.【分析】根据已知条件化简分式即可求出答案【详解】解:∵的次数等于的次数故答案为:【点睛】本题考查了分式的混合运算熟练分解因式是解题的关键 解析:12【分析】根据已知条件,化简分式即可求出答案.【详解】 解:223410(2)11A x xB x x -=-÷-- ()()()225223111x x x x x x ---⎛⎫=÷ ⎪-+-⎝⎭ ()()()1125112252x x x x x x x x +--+⎛⎫=⨯= ⎪--⎝⎭ 12x x+=, ∵A 的次数等于B 的次数, ∴12x A JXB →+∞=, 故答案为:12. 【点睛】本题考查了分式的混合运算,熟练分解因式是解题的关键.13.我们可以将一些只含有一个字母且分子、分母的次数都为一次的分式变形,转化为整数与新的分式的和的形式,其中新的分式的分子中不含字母,如:3(1)441111a a a a a +-+==+---,212(1)332111a a a a a -+-==-+++.参考上面的方法,解决下列问题:(1)将1a a +变形为满足以上结果要求的形式:1a a =+_________; (2)①将321a a +-变形为满足以上结果要求的形式:321a a +=-_________;②若321a a +-为正整数,且a 也为正整数,则a 的值为__________.2或6【分析】(1)根据材料中分式转化变形的方法即可把变形为满足要求的形式;(2)①根据材料中分式转化变形的方法即可把变形为满足要求的形式;②令可先求出a 与x 是整数时的对应值再从所得结果中找出符合条 解析:111a -+ 531a +- 2或6 【分析】(1)根据材料中分式转化变形的方法,即可把1a a +变形为满足要求的形式; (2)①根据材料中分式转化变形的方法,即可把321a a +-变形为满足要求的形式;②令325311a x a a +==+--,可先求出a 与x 是整数时的对应值,再从所得结果中找出符合条件的a ,x 的值,即可得出结论.【详解】 解:(1)1111111a a a a a +-==-+++; 故答案为:111a -+; (2)①323(1)553111a a a a a +-+==+---; 故答案为:531a +-; ②∵323(1)553111a a a a a +-+==+--- 令531x a =+-, 当x , a 都为整数时,11a -=±或15a -=±,解得a =2或a =0或a =6或a =-4,当a =2时,x =8;当a =0时,x =-2;当a =6时,x =4;当a =-4时,x =2;∵x , a 都为正整数,∴符合条件的a 的值为2或6.故答案为:2或6.【点睛】此题考查了分式的加减及求分式的值等知识,理解题意并熟练掌握分式的基本性质及运算法则是解本题的关键.14.如果实数x 、y 满足方程组30233x y x y +=⎧⎨+=⎩,求代数式(xy x y ++2)÷1x y =+_____.1【分析】先进行分式计算再解方程组代入即可求解【详解】解:原式==xy+2x+2y 解方程组得:当x=3y=﹣1时原式=﹣3+6﹣2=1故答案为:1【点睛】此题考查了分式的化简求值熟练进行分式化简解出解析:1【分析】先进行分式计算,再解方程组,代入即可求解.【详解】解:原式=()22xy x y x y x y++⋅++=xy +2x +2y , 解方程组30233x y x y +=⎧⎨+=⎩得:31x y =⎧⎨=-⎩, 当x =3,y =﹣1时,原式=﹣3+6﹣2=1.故答案为:1.【点睛】此题考查了分式的化简求值,熟练进行分式化简,解出二元一次方程组是解本题的关键. 15.符号“a bc d ”称为二阶行列式,规定它的运算法则为:a bc d =ad ﹣bc ,请你根据上述规定求出下列等式中x 的值.若2111111xx =--,那么x =__.4【分析】首先根据题意由二阶行列式得到一个分式方程解分式方程即得问题答案【详解】解:∵=1∴方程两边都乘以x ﹣1得:2+1=x ﹣1解得:x =4检验:当x =4时x ﹣1≠01﹣x≠0即x =4是分式方程的解析:4【分析】首先根据题意由二阶行列式得到一个分式方程,解分式方程即得问题答案 .【详解】解:∵211111xx --=1, ∴21111x x-=--, 方程两边都乘以x ﹣1得:2+1=x ﹣1,解得:x =4,检验:当x =4时,x ﹣1≠0,1﹣x≠0,即x =4是分式方程的解,故答案为:4.【点睛】本题考查分式方程与新定义实数运算的综合运用,通过观察所给运算式子归纳出运算规律并得到分式方程再求解是解题关键.16.H 7N 9病毒直径为30纳米(1纳米=10-9米),用科学记数法表示这个病毒直径的大小为________米.【分析】根据题意列得这个病毒直径为计算并用科学记数法表示即可【详解】故答案为:【点睛】此题考查实数的乘法计算科学记数法正确理解题意列式并会用科学记数法表示结果是解题的关键解析:8310-⨯【分析】根据题意列得这个病毒直径为93010-⨯,计算并用科学记数法表示即可.【详解】983010310--⨯=⨯,故答案为:8310-⨯ .【点睛】此题考查实数的乘法计算,科学记数法,正确理解题意列式并会用科学记数法表示结果是解题的关键.17.化简:(﹣2y x)3÷(223⋅y x x y )=_______________.﹣【分析】按照先乘方再乘除的运算顺序进行计算即可得到结论;【详解】解:原式=﹣÷=﹣•=﹣故答案为:﹣【点睛】本题考查分式的混合运算按照正确的运算顺序进行运算并及时化简是解题的关键解析:﹣25y x【分析】按照先乘方再乘除的运算顺序进行计算即可得到结论;【详解】 解:原式=﹣36y x ÷y x=﹣36y x •x y=﹣25y x, 故答案为:﹣25y x. 【点睛】本题考查分式的混合运算,按照正确的运算顺序进行运算并及时化简是解题的关键. 18.对于两个不相等的实数a ,b ,我们规定符号Min{,}a b 表示a ,b 中的较小的值,如Min{3,4}3=,按照这个规定,方程135Min ,2222x x x x -⎧⎫=-⎨⎬---⎩⎭的解为_____________.【分析】根据题中的新定义化简求出分式方程的解检验即可【详解】当<时>2方程变形得:=−2去分母得:1=解得:(不符合题意舍去);当>即<2方程变形得:=−2去分母得:3=解得:经检验是分式方程的解综 解析:4x =-【分析】根据题中的新定义化简,求出分式方程的解,检验即可.【详解】 当12x -<32x -时,x >2,方程变形得:12x -=52x x --−2, 去分母得:1=()522x x ---,解得:=2x -(不符合题意,舍去); 当12x ->32x -,即x <2,方程变形得:32x -=52x x --−2, 去分母得:3=()522x x ---,解得:4x =-,经检验4x =-是分式方程的解,综上,所求方程的解为4x =-.故填:4x =-.【点睛】此题考查了解分式方程,以及实数的运算,弄清题中的新定义是解本题的关键.19.计算:201(1)2|2π-⎛⎫++-= ⎪⎝⎭_____.【分析】先利用零次幂绝对值负整数次幂化简然后再计算即可【详解】解:故答案为:【点睛】本题主要考查了零次幂绝对值负整数次幂以及实数的运算灵活应用相关知识点成为解答本题的关键解析:1--【分析】先利用零次幂、绝对值、负整数次幂化简,然后再计算即可.【详解】解:201(1)|2|2π-⎛⎫++- ⎪⎝⎭124=+1=-.故答案为:1-【点睛】本题主要考查了零次幂、绝对值、负整数次幂以及实数的运算,灵活应用相关知识点成为解答本题的关键.20.计算:()222333a b a b --⋅=_______________.【分析】根据单项式乘单项式计算法则以及幂的乘方与积的乘方负整数指数幂计算即可【详解】原式=故答案为:【点睛】本题主要考查了单项式乘单项式幂的乘方与积的乘方负整数指数幂属于基础计算题 解析:3a b【分析】根据单项式乘单项式计算法则以及幂的乘方与积的乘方,负整数指数幂,计算即可.【详解】原式=44334343113333a a b a b a b a b b ----+-===故答案为:3a b . 【点睛】本题主要考查了单项式乘单项式,幂的乘方与积的乘方,负整数指数幂,属于基础计算题.三、解答题21.先化简,再求值:214111x x x -⎛⎫+÷ ⎪++⎝⎭,其中5x = 解析:12x -;13【分析】分式的混合运算,注意先算乘除,然后算加减,有小括号先算小括号里面的,然后代入求值即可【详解】 解:214111x x x -⎛⎫+÷ ⎪++⎝⎭ 2111114x x x x x ++⎛⎫=+⋅ ⎪++-⎝⎭ ()()21122x x x x x ++=⋅++- 12x =- 把5x =代入上式,得:1112523x ==-- 【点睛】本题考查分式的混合运算,掌握运算法则和运算顺序正确计算是解题关键.22.为做好新冠肺炎疫情防控,某学校购入了一批洗手液与消毒液.购买洗手液花费3200元,购买消毒液花费3000元,购买的洗手液瓶数是消毒液瓶数的2倍,每瓶消毒液的价格比每瓶洗手液的价格高7元.(1)求一瓶洗手液的价格与一瓶消毒液的价格分别是多少元?(2)入冬以后,常见呼吸道传染病进入高发期,加剧了疫情防控的复杂性,学校决定第二次购入一批洗手液与消毒液,洗手液和消毒液的瓶数分别都比第一次的购入量多100瓶.适逢经销商进行价格调整,每瓶洗手液的价格比第一次的价格降低5%4a ,每瓶消毒液的价格比第一次的价格降低%a ,最终第二次购买洗手液与消毒液的总费用只比第一次购买洗手液 与消毒液的总费用多400元,求a 的值.解析:(1)一瓶洗手液的价格为8元,一瓶消毒液的价格为15元;(2)20a =.【分析】(1)设一瓶洗手液的价格为x 元,则一瓶消毒液的价格为(x +7)元.根据题意可列出关于x 的分式方程,求出x 即可.(2)先求出第二次购入洗手液和消毒液各多少瓶,再结合题意列出关于a 的一元一次方程,解出a 即可.【详解】(1)设一瓶洗手液的价格为x 元,则一瓶消毒液的价格为(x +7)元. 根据题意可列方程:3200300027x x =⨯+, 解得:8x =,经检验8x =是原方程得解.故一瓶洗手液的价格为8元,一瓶消毒液的价格为8+7=15元.(2)第二次购入洗手液32001005008+=瓶,购入消毒液300010030015+=瓶. 根据题意可列等式:55008(1%)30015(1%)320030004004a a ⨯⨯-+⨯⨯-=++. 解得:20a =.【点睛】本题考查一元一次方程和分式方程的实际应用.根据题意找准等量关系,列出相应方程是解答本题的关键.23.先化简,再求值:2246221121x x x x x x ++⎛⎫-÷⎪---+⎝⎭,其中x 取-1、+1、-2、-3中你认为合理的数. 解析:22(1)x x -+;3x =-;4 【分析】先算分式的减法运算,再把除法化为乘法,进行约分化简,再代入求值,即可.【详解】 原式2462(1)2(1)(1)(1)(1)(1)x x x x x x x x ⎡⎤+++=-÷⎢⎥+-+--⎣⎦ 224(1)(1)(1)(2)x x x x x +-=⋅+-+ ()211x x -=+221x x -=+ 当3x =-时,原式2(3)2431⨯--==-+. 【点睛】 本题主要考查分式的化简求值,掌握分式的混合运算法则,是解题的关键.24.解答下列各题:(1)计算:()()()2233221x x x x x -⋅++--+(2)计算:()()()33323452232183a b cac a b a c -⋅÷-÷ (3)解分式方程:11222x x x++=-- 解析:(1)5x -;(2)19b ;(3)23x =【分析】(1)首先利用同底数幂的乘法法则、平方差公式、完全平方公式计算,然后合并同类项求出答案;(2)先算积的乘方、幂的乘方,再从左到右计算同底数幂的乘法除法求出答案;(3)分式方程去分母转化为整式方程,求出整式方程的解得到x 的值,经检验即可得到分式方程的解.【详解】解:(1)()()()2233221x x x x x -⋅++--+=223421x x x x +----=5x -;(2)()()()33323452232183a b cac a b a c -⋅÷-÷ =()()963345662721827a b c ac a b a c -⋅÷-÷=()()10664566541827a b c a b a c -÷-÷=()6666327a bc a c ÷ =19b ; (3)解分式方程:11222x x x++=-- 去分母得:1+2(x-2)=-(1+x ),去括号合并得,2x-3=-1-x ,移项合并得,3x=2, 解得:23x =, 经检验23x =是分式方程的解. 【点睛】此题主要考查了整式的混合运算,正确掌握运算法则是解题关键.也考查了解分式方程,去分母转化为整式方程是关键.25.随着智能分拣设备在快递业务中的普及,快件分拣效率大幅提高.使用某品牌智能分拣设备,每人每小时分拣的快件量是传统分拣方式的25倍,经过测试,由5人用此设备分拣8000件快件的时间,比20人用传统方式分拣同样数量的快件节省4小时.(1)使用智能分拣设备后,每人每小时可分拣快件多少件?(2)已知某快递中转站平均每天需要分拣10万件快件,每天工作时间为8小时,如果使用此智能分拣设备,每天只需要安排多少名工人就可以完成分拣工作?解析:(1)使用智能分拣设备后每人每小时可分拣快件2100件;(2)每天只需要安排6名工人就可以完成分拣工作【分析】(1)设用传统方式每人每小时可分拣x 件,则用智能分拣设备后每人每小时可分拣25x件,利用时间差为4小时列方程80008000452520x x=-⨯,再解方程,检验即可得到答案; (2)利用每天工作总量(10万件)除以工作效率(每人每天分拣82584⨯⨯件),结果取符合题意的正整数即可得到答案.【详解】(1)解:设用传统方式每人每小时可分拣x 件,则用智能分拣设备后每人每小时可分拣25x 件, 由题意,得80008000452520x x=-⨯. 解得84x =.经检验,84x =是原方程的解,∴252100x =,∴使用智能分拣设备后每人每小时可分拣快件2100件;(2)∵1000002058425821=⨯⨯, ∵2055621<<, ∴每天只需要安排6名工人就可以完成分拣工作.【点睛】本题考查的是分式方程的应用,掌握工作量等于工作时间乘以工作效率是解题的关键. 26.(1)不改变分式的值,把下列分子和分母的最高次的系数都化为正数2342n n -=-+________. (2)不改变分式的值,把下列分子和分母的中各项系数都化为整数0.20.50.3x y x y-=-_______. (3)若分式231x x +-的值是整数,求整数x 的值. (4)已知12x x +=,求2421x x x ++的值. 解析:(1)2324n n --;(2)10253x y x y --;(3)0,2,6,-4;(4)13 【分析】(1)利用分式的基本性质,分子、分母都乘以-1即可;(2)利用分式的基本性质,分子、分母都乘以10 即可;(3)将分式变形得521x +-,要使结果是整数,x-1=±1,或x-1=±5,进而求出x 的整数值即可;(4)倒数法,先求出要求的代数式的倒数,利用整体代入的方法进行计算即可.解:(1)根据分式基本性质,分子、分母都乘以-1得,2342n n -=-+2324n n --; (2)根据分式基本性质,分子、分母都乘以10得,0.20.50.3x y x y -=-10253x y x y--; (3)231x x +-=2251x x -+-=22511x x x -+--=521x +-, 要使分式的值为整数,∴x-1=±1,或x-1=±5,解得,x 1=0,x 2=2,x 3=6,x 4=-4,答:整数x 的值为0,2,6,-4. (4)∵12x x +=, ∴221422x x+=-=, ∵422221113x x x x x ++=++=, ∴242113x x x =++. 【点睛】本题考查分式的基本性质、分式的加减运算,掌握分式的基本性质和计算法则是正确解答的前提.27.计算(1)2152224-⨯+÷; (2)()()30201821 3.14413π-⎛⎫-⨯---+- ⎪⎝⎭; (3)()2222322xy x y x y xy ⎡⎤---⎣⎦; (4)()()()3323231333x x x x ⎛⎫-+--⋅ ⎪⎝⎭. 解析:(1)5;(2)-42;(3)222xy x y +;(4)67x .【分析】(1)根据有理数混合运算法则计算即可;(2)根据负指数整数幂、零指数幂、绝对值的意义及乘方,计算即可;(3)去括号,然后合并同类项即可;(4)根据积的乘方、幂的乘方运算法则计算即可.解:(1)2152224-⨯+÷ =115522-+=; (2)()()30201821 3.14413π-⎛⎫-⨯---+- ⎪⎝⎭=271161-⨯-+=2716142--+=-;(3)()2222322xy x y x y xy ⎡⎤---⎣⎦ =22223242xy x y x y xy +--=222xy x y +;(4)()()()3323231333xx x x ⎛⎫-+--⋅ ⎪⎝⎭ =6633192727x x x x -+-⋅=67x .【点睛】 本题主要考查有理数的混合运算、整式的混合运算,解题的关键是熟练运用运算法则. 28.先化简,再求值:2222631121x x x x x x x ++-÷+--+,其中2x =-. 解析:21x +,-2 【分析】 先将分式的分子分母因式分解,同时将除法转化为乘法,再计算分式的乘法,最后计算分式的减法即可.【详解】 解:2222631121x x x x x x x ++-÷+--+ 222(3)(1)1(1)(1)3x x x x x x x +-=-⋅++-+ 22(1)11x x x x -=-++ 21x =+, 当2x =-时,原式222211===--+-.本题主要考查分式的化简求值,熟练掌握分式混合运算顺序和运算法则是解题的关键.。
最新初中数学分式分类汇编及答案解析一、选择题1.056用科学记数法表示为:0.056=-25.610⨯,故选B.2.已知24111P Q x x x =+-+-是恒等式,则( ) A . 2, 2P Q ==- B .2, 2P Q =-= C .2P Q == D .2P Q ==- 【答案】B【解析】【分析】 首先利用分式的加减运算法则,求得()()2111Q x x x P Q x Q P P ++-=-++-,可得方程组04P Q Q P +=⎧⎨-=⎩,解此方程组即可求得答案. 【详解】 解:∵()()()()()()22111411111P x Q x P Q x Q P P Q x x x x x x -++++-=+==+-+---, ∴()()4P Q x Q P ++-=,∴04P Q Q P +=⎧⎨-=⎩,解之得:22P Q =-⎧⎨=⎩, 故选:B .【点睛】此题考查了分式的加减运算、二元一次方程的解法以及整式相等的性质,解题的关键是掌握分式的加减运算法则.3.在下列四个实数中,最大的数是( )A .B .0C .12-D .13【答案】C【解析】【分析】根据实数的大小比较法则即可得.【详解】 1122-=则四个实数的大小关系为11023-<<< 因此,最大的数是12-故选:C .【点睛】本题考查了实数的大小比较法则,掌握大小比较法则是解题关键.4.化简2442x x x x ---得结果是( ) A .26x x -+B .2x x +C .2x x -+D .2x x - 【答案】C【解析】【分析】 先通分,再按照分式的减法法则化简出最简结果即可得答案.【详解】2442x x x x --- =4(2)(2)(2)(2)(2)x x x x x x x +-+-+- =242(2)(2)x x x x x --+- =(2)(2)(2)x x x x --+- =2x x -+. 故选:C .【点睛】 本题考查分式的减法,同分母分式相加减,只把分子相加减,分母不变;异分母分式相加减,先通分变为同分母分式,再按同分母分式相加减的法则运算.5.若化简22121b a b b a a a -⎛⎫-÷ ⎪+++⎝⎭W 的结果为1a a -,则“W ”是( ) A .a - B .b - C .a D .b【答案】D【解析】【分析】根据题意列出算式,然后利用分式的混合运算法则进行计算.【详解】解:由题意得:()()()()222111=1211111111b a a b a b a b b a b a b ab b a a a a a a a a a a W +-+--⋅=-⋅=+==+++-+-++++,故选:D .【点睛】本题考查了分式的混合运算,熟练掌握运算法则是解题的关键.6.计算(a 2)3+a 2·a 3-a 2÷a -3的结果是( )A .2a 5-aB .2a 5-1aC .a 5D .a 6 【答案】D【解析】【分析】先分别进行幂的乘方、同底数幂的乘法、同底数幂的除法运算,然后再进行合并同类项即可.【详解】原式=a 2×3+a 2+3-a 2-(-3)=a 6+a 5-a 5=a 6,故选D.【点睛】本题考查了有关幂的运算,熟练掌握“幂的乘方,底数不变,指数相乘”、“同底数幂的乘法,底数不变,指数相加”、“同底数幂的除法,底数不变,指数相减”是解题的关键.7.若分式12x x +-在实数范围内有意义,则x 的取值范围是( ) A .2x >B .2x <C .1x ≠-D .2x ≠【答案】D【解析】【分析】根据分式有意义的条件即可求出答案.【详解】由题意可知:x-2≠0,x≠2,故选:D .【点睛】本题考查分式的有意义的条件,解题的关键是熟练运用分式有意义的条件,本题属于基础题型.8.下列运算错误的是( )A .235a a a ⋅=B .()()422ab ab ab ÷-=C .()222424ab a b -=D .3322a a -= 【答案】B【解析】【分析】 直接运用同底数幂的乘法运算法则、单项式除以单项式运算法则、积的乘方与幂的乘方运算法则以及负整数指数幂的意义分别计算得出答案再进行判断即可.【详解】 A . 235a a a ⋅=,计算正确,不符合题意;B . ()()4222ab ab a b ÷-=,原选项计算错误,符合题意;C . ()222424ab a b -=,计算正确,不符合题意; D . 3322a a-=,计算正确,不符合题意. 故选:B .【点睛】此题主要考查了幂的运算,熟练掌握运算法则是解题的关键.9.如果a 2+3a ﹣2=0,那么代数式() 的值为( ) A .1B .C .D .【答案】B【解析】【分析】原式括号中两项通分并利用同分母分式的加法法则计算,约分得到最简结果,把已知等式代入计算即可求出值.【详解】原式=, 由a 2+3a ﹣2=0,得到a 2+3a =2,则原式=,故选B .【点睛】此题考查了分式的化简求值,熟练掌握运算法则是解本题的关键.10.斑叶兰被列为国家二级保护植物,它的一粒种子重约0.0000005克.将0.0000005用科学记数法表示为( )A .5×107B .5×10﹣7C .0.5×10﹣6D .5×10﹣6【答案】B【解析】【分析】科学记数法的表示形式为a×10n 的形式,其中1≤|a|<10,n 为整数.确定n 的值时,要看把原数变成a 时,小数点移动了多少位,n 的绝对值与小数点移动的位数相同.当原数绝对值>1时,n 是正数;当原数的绝对值<1时,n 是负数.【详解】11.已知112x y+=,则23xy x y xy +-的值为( ) A .12 B .2 C .12- D .2-【答案】D【解析】【分析】先将已知条件变形为2x y xy +=,再将其整体代入所求式子求值即可得解.【详解】 解:∵112x y+= ∴2x y xy+= ∴2x y xy += ∴2222323xy xy xy x y xy xy xy xy===-+---. 故选:D【点睛】本题考查了分式的化简求值,此题涉及到的是整体代入法,能将已知式子整理变形为2x y xy +=的形式是解题的关键.12.若代数式y =有意义,则实数x 的取值范围是( ) A .0x ≥B .0x ≥且1x ≠C .0x >D .0x >且1x ≠【答案】B【解析】【分析】根据二次根式的性质和分式的意义,被开方数大于或等于0,分母不等于0,可以求出x 的范围.【详解】根据题意得:010x x ≥⎧⎨-≠⎩, 解得:x≥0且x≠1.故选:B .【点睛】此题考查分式有意义的条件,二次根式有意义的条件,解题关键在于掌握分母不为0;二次根式的被开方数是非负数.13.计算211a a a -+-的正确结果是( ) A .211a a -- B .211a a --- C .11a - D .11a -- 【答案】A【解析】【分析】 先将后两项结合起来,然后再化成同分母分式,按同分母分式加减的法则计算就可以了.【详解】 211a a a -+-, =2(1)1a a a --- =222111a a a a a -+--- =211a a --. 故选:A.【点睛】 本题考查了数学整体思想的运用,分式的通分和约分的运用,解答的过程中注意符号的运用以及完全平方公式的运用.14.计算211a a a ---的正确结果是( ) A .11a -- B .11a - C .211a a --- D .211a a -- 【答案】B【解析】【分析】 先将后两项结合起来,然后再化成同分母分式,按照同分母分式加减的法则计算就可以了.原式()211a a a =-+- 22111a a a a -=--- 11a =-. 故选B .【点睛】 本题考查分式的通分和分式的约分的运用,解题关键在于在解答的过程中注意符号的运用及平方差公式的运用.15.计算2111x x x x -+-+的结果为( ) A .-1B .1C .11x +D .11x - 【答案】B【解析】【分析】先通分再计算加法,最后化简.【详解】2111x x x x -+-+ =221(1)11x x x x x --+-- =2211x x -- =1,故选:B.【点睛】此题考查分式的加法运算,正确掌握分式的通分,加法法则是解题的关键.16.分式可变形为( ) A . B . C . D .【答案】B【解析】【分析】根据分式的基本性质进行变形即可.=. 故选B.【点睛】此题主要考查了分式的基本性质,正确利用分式的基本性质求出是解题关键.17.下列运算,错误的是( ).A .236()a a =B .222()x y x y +=+C .0(51)1=D .61200 = 6.12×10 4 【答案】B【解析】【分析】【详解】A. ()326a a =正确,故此选项不合题意;B.()222 x y x 2y xy +=++,故此选项符合题意;C. )0511=正确,故此选项不合题意; D. 61200 = 6.12×104正确,故此选项不合题意;故选B.18.化简2x xy y x y x---=( ) A .﹣xB .y ﹣xC .x ﹣yD .﹣x ﹣y【答案】A【解析】【分析】根据分式的运算法则即可求出答案.【详解】 原式=()2x x y x xy x y x y x--==---, 故选A .【点睛】本题考查分式的运算法则,解题的关键是熟练运用分式的运算法则,本题属于基础题型.19.把分式a ab +中的,a b 的值同时扩大为原来的10倍,则分式的值( ) A .不变 B .缩小为原来的110C .扩大为原来的10倍D .扩大为原来的100倍 【答案】A【解析】【分析】 根据分式的基本性质,把分式a a b+中的x 、y 的值同时扩大为原来的10倍得:1010=101010()a a a a b a b a b=+++,即可得到答案. 【详解】 把分式a a b+中的x 、y 的值同时扩大为原来的10倍得: 1010=101010()a a a a b a b a b=+++, 即分式a a b+的值不变, 故选:A .【点睛】 本题考查了分式的基本性质,正确掌握分式的基本性质是解题的关键.20.0000005=5×10-7故答案为:B.【点睛】本题考查的知识点是科学计数法,解题的关键是熟练的掌握科学计数法.。
一、选择题1.老师设计了一个接力游戏,用小组合作的方式完成分式的运算,规则是:每人只能看见前一个人给的式子,并进行一步计算,再将结果传递给下一个人,最后完成计算.其中一个组的过程是:老师给甲,甲一步计算后写出结果给乙,乙一步计算后写出结果给丙,丙一步计算后写出结果给丁,丁最后算出结果.接力中,自己负责的一步出现错误的是( )A .甲B .乙C .丙D .丁2.0.000002019用科学记数法可表示为( )A .0.2019×10﹣5B .2.019×10﹣6C .20.19×10﹣7 D .2019×10﹣9 3.小张在课外阅读中看到这样一条信息:“肥皂泡的厚度约为0.0000007m ”,请你用科学记数法表示肥皂泡的厚度,下列选项正确的是( ) A .0.7 ⨯10-6 m B .0.7 ⨯10-7mC .7 ⨯10-7mD .7 ⨯10-6m4.把分式2aa b+中a 、b 都扩大2倍,则分式的值( ) A .扩大4倍 B .扩大2倍C .缩小2倍D .不变5.把分式a2a b+中的a 、b 都扩大2倍,则分式的值( ) A .缩小14 B .缩小12C .扩大2倍D .不变6.PM2.5是指大气中直径小于或等于2.5微米的颗粒物,也称为可入肺颗粒物。
2.5微米等于0.0000025米,把0.0000025用科学记数法表示为( ) A .0.25×10–5米 B .2.5×10–7米C .2.5×10–6米D .25×10–7米7.若代数式1xx +有意义,则实数x 的取值范围是( ) A .0x =B .1x =-C .1x ≠D .1x ≠-8.当x =_____ 时,分式11xx-+无意义.( ) A .0B .1C .-1D .29.若02018a =,2201720192018b =⨯- , 2017201845()()54c =-⨯ ,则a ,b ,c 的大小关系式( ) A .a b c <<B .b c a <<C .c b a <<D .a c b <<10.如果把分式2x y zxyz-+中的正数x ,y ,z 都扩大2倍,则分式的值( ) A .不变 B .扩大为原来的两倍 C .缩小为原来的14D .缩小为原来的1811.下列各式:351,,,,12a b x y a b x a b xπ-+++--中,是分式的共有( ) A .1个B .2个C .3个D .4个12.目前,世界上能制造出的小晶体管的长度只有0.00000004m 将0.00000004用科学记数法表示为( ) A .3410-⨯ B .80.4 10⨯C .8410⨯D .8410-⨯13.若a +b =0, 则ba的值为( ) A .-1 B .0C .1D .-1或无意义14.若把分式32aba b +中的a 、b 都缩小为原来的13 ,则分式的值( ) A .缩小为原来的13 B .扩大为原来的6倍 C .缩小为原来的19D .不变15.计算33x yx y x y---的结果是( ) A .1B .0C .3D .616.若23a b =≠0,则代数式(2244b aba-+1)2b a a -÷的值为( ) A .2B .1C .﹣1D .﹣217.若a=20180,b=2016×2018-20172,c=(23-)2016×(32)2017,则a ,b ,c 的大小关系正确的是( ) A .a<b<c B .a<c<bC .b<a<cD .c<b<a18.若把分式x xy2中的x 和y 同时扩大为原来的3倍,则分式的值( ) A .扩大3倍B .缩小6倍C .缩小3倍D .保持不变19.下列运算正确的是( ) A .2x -2 =212xB .a 6÷a 3 =a 2 C .(a 2)3 =a 5D .a 3·a =a 4 20.若222110.2,2,(),()22a b c d --=-=-=-=-,则它们的大小关系是( ) A .a b d c <<< B .b a d c <<< C .a d c b <<<D .c a d b <<<21.世界上最小的开花结果植物的果实像一个微小的无花果,质量只有0.000000076克,将0.000000076用科学记数法表示为( ) A .87.610⨯ B .77.610-⨯C .87.610-⨯D .97.610-⨯22.若115a b =,则a b a b-+的值是( ) A .25B .38C .35D .11523.(2017河北)如图是国际数学日当天淇淇和嘉嘉的微信对话,根据对话内容,下列选项错误的是( )A .4+446=B .004+4+4=6C .34+4=6D .14446-=24.已知1112a b -=,则ab a b-的值是( ) A .12B .12-C .2D .-225.已知11(1,2)a x x x =-≠≠,23121111,,,111n n a a a a a a -==⋯⋯=---,则2017a =( )A .21xx-- B .12x- C .1x - D .无法确定【参考答案】***试卷处理标记,请不要删除一、选择题 1.B 解析:B【分析】找出题中出错的地方即可. 【详解】乙同学的过程有误,应为()()22a ab ab b a b a b +-++-,故选B . 【点睛】此题考查了分式的混合运算,熟练掌握运算法则是解本题的关键.2.B解析:B 【解析】 【分析】绝对值小于1的正数也可以利用科学记数法表示,一般形式为a ×10﹣n ,与较大数的科学记数法不同的是其所使用的是负指数幂,指数由原数左边起第一个不为零的数字前面的0的个数所决定. 【详解】0.000002019=2.019×10﹣6, 故选B . 【点睛】此题主要考查了用科学记数法表示较小的数,一般形式为a ×10﹣n ,其中1≤|a |<10,n 为由原数左边起第一个不为零的数字前面的0的个数所决定.3.C解析:C 【解析】 【分析】绝对值小于1的正数也可以利用科学记数法表示,一般形式为a×10-n ,与较大数的科学记数法不同的是其所使用的是负指数幂,指数由原数左边起第一个不为零的数字前面的0的个数所决定. 【详解】解:0.000 000 7=7×10-7. 故选C . 【点睛】本题考查用科学记数法表示较小的数,一般形式为a×10-n ,其中1≤|a|<10,n 为由原数左边起第一个不为零的数字前面的0的个数所决定.4.D解析:D 【解析】 【分析】根据题意进行变形,发现实质上是分子、分母同时扩大2倍,根据分式的基本性质即可判断.【详解】根据题意,得把分式2aa b+中的a、b都扩大2倍,得2222222()a aa b a b⋅⋅=++,根据分式的基本性质,则分式的值不变.故选D.【点睛】此题考查了分式的基本性质.5.D解析:D【解析】【分析】根据题意进行变形,发现实质上是分子、分母同时扩大2倍,根据分式的基本性质即可判断.【详解】根据题意,得把分式a2a b+中的a、b都扩大2倍,得2a2a a22a2b2(2a b)2a b==⨯+++,根据分式的基本性质,则分式的值不变.故选D.【点睛】此题考查了分式的基本性质.6.C解析:C【解析】【分析】绝对值小于1的正数也可以利用科学记数法表示,一般形式为a×10﹣n,与较大数的科学记数法不同的是其所使用的是负指数幂,指数由原数左边起第一个不为零的数字前面的0的个数所决定.由此即可解答.【详解】0.0000025=2.5×10﹣6,故选C.【点睛】本题考查用科学记数法表示较小的数,一般形式为a×10﹣n,其中1≤|a|<10,n为由原数左边起第一个不为零的数字前面的0的个数所决定.7.D解析:D【分析】根据分式有意义的条件即分母不等于零可得x+1≠0,从而得解. 【详解】解:由题意得:x+1≠0, 解得:x≠-1, 故选:D . 【点睛】本题考查分式有意义的条件,解题关键是掌握分式有意义的条件:分母不等于零.8.C解析:C 【分析】根据分式无意义的条件,分母等于0,列不等式求解即可. 【详解】因为分式11xx-+无意义, 所以1+x =0, 解得x =-1. 故选C. 【点睛】本题主要考查分式无意义的条件,解决本题的关键是要熟练掌握分式无意义的条件.9.C解析:C 【分析】根据零次幂的性质,平方差公式以及积的乘方法则求出a ,b ,c ,再根据有理数的比较法则判断即可. 【详解】解:020118a ==,2222201720192018(20181)(20181)20182018120181b =⨯-=-+-=--=-,201720182017454555()()()545444c =-⨯=-⨯⨯=-,∵54-<-1<1, ∴c <b <a . 故选:C . 【点睛】本题主要考查了零次幂的性质,平方差公式以及积的乘方,熟练掌握相关运算法则是解题关键.10.C【分析】用2x 、2y ,2z 去替换原分式中的x 、y 和z ,利用分式的基本性质化简,再与原分式进行比较即可得到答案. 【详解】 ∵把分式2x y zxyz-+中的正数x ,y ,z 都扩大2倍, ∴222221222244x y z x y z x y zx y z xyz xyz-⨯+-+-+==⨯⋅⋅.∴分式的值缩小为原来的14. 故选:C. 【点睛】考查了分式的基本性质,解题关键把字母变化后的值代入式子中,然后化简,再与原式比较,得出结论.11.C解析:C 【解析】 【分析】根据分式的定义逐一进行判断即可. 【详解】31,,1x a b x a b x++--是分式 故选:C. 【点睛】本题考查分式的定义,熟练掌握定义是关键.12.D解析:D 【解析】 【分析】科学记数法的表示形式为a×10n 的形式,其中1≤|a|<10,n 为整数.确定n 的值时,要看把原数变成a 时,小数点移动了多少位,n 的绝对值与小数点移动的位数相同.当原数绝对值>1时,n 是正数;当原数的绝对值<1时,n 是负数. 【详解】解:0.000 000 04=4×10-8, 故选:D . 【点睛】此题考查科学记数法的表示方法.科学记数法的表示形式为a×10n 的形式,其中1≤|a|<10,n 为整数,表示时关键要正确确定a 的值以及n 的值.解析:D【分析】互为相反数两个数的和为0,同时要考虑到0+0=0,从而进行判断.【详解】解:∵a+b=0∴a=-b或a=0,b=0∴ba的值为-1或无意义,故选:D.【点睛】掌握互为相反数的两个数的和为0和0+0=0,是本题的解题关键. 14.A解析:A【分析】把分式32aba b+中的a用13a、b用13b代换,利用分式的基本性质计算即可求解.【详解】把分式32aba b+中的a、b都缩小为原来的13,则分式变为1133311233a ba b ⨯⨯⨯+,则:1133311233a ba b⨯⨯⨯+=1332aba b⨯+,所以把分式32aba b+中的a、b都缩小为原来的13时分式的值也缩小为原来的13.故选:A.【点睛】本题考查了分式的基本性质:分式的分子与分母同乘(或除以)一个不等于0的整式,分式的值不变.15.C解析:C【分析】根据同分母的分式加减的法则进行计算即可.【详解】解:()333=3x y x y x y x y x y--=--- 故选C. 【点睛】本题考查了分式的加减法,掌握分式运算的法则是解题的关键.16.A解析:A 【分析】由23a b=≠0,得2b =3a ,把根据分式运算法则进行化简,再代入已知值计算即可. 【详解】解:(2244b ab a -+1)2b a a -÷222442b ab a a a b a -+=•- 22(2)2a b aa b a -=•- 2b a a-=, ∵23a b=≠0, ∴2b =3a ,∴原式32a a aa a-===2, 故选:A . 【点睛】本题考查分式的化简求值,解答本题的关键是明确分式化简求值的方法.17.C解析:C 【分析】首先计算a 、b 、c 的值,再进行比较即可. 【详解】 a=20180=1,b=2016×2018-20172=222(20171)(20171)20172017120171-+-=--=-,20162017201620162016232332333()()()()()323223222c =-⨯=⨯⨯=⨯⨯=,∵-1<1<32,∴b<a<c , 故选:C. 【点睛】此题考查零次幂定义,平方差公式,同底数幂乘法的逆运算,积的乘方的逆运算,掌握掌握各计算法则是解题的关键.18.D解析:D 【分析】 根据题意把分式x xy2中的x 和y 同时扩大为原来的3倍,将其化简后与原分式进行比价即可做出判断. 【详解】 解:∵分式x xy2中的x 和y 同时扩大为原来的3倍∴()23322333x x xx y x y x y⋅⋅==+++则分式的值保持不变. 故选:D 【点睛】本题考查了分式的基本性质,属于基础题型,能够熟练掌握分式的基本性质是解决问题的关键.19.D解析:D 【分析】根据负指数幂、同底数幂的乘法和除法以及幂的乘方的运算法则逐项排除即可. 【详解】解:A. 2x -2 =22x ,故选项A 错误; B. a 6÷a 3 =a 3,故选项B 错误; C. (a 2)3 =a 6,故选项C 错误; D. a 3·a =a 4 ,D 正确; 故答案为D . 【点睛】本题考查了负指数幂、同底数幂的乘法和除法以及幂的乘方的运算法则,掌握相关运算法则是解答本题的关键.20.B解析:B 【分析】根据负整数指数幂与正整数指数幂互为倒数,非零的零次幂等于1,可得答案.【详解】∵a=-0.22=-0.04;b=-2-2=-14=-0.25,c=(-12)-2=4,d=(-12)0=1, ∴-0.25<-0.04<1<4,∴b <a <d <c ,故选:B .【点睛】题考查了负整数指数幂,利用负整数指数幂与正整数指数幂互为倒数,非零的零次幂等于1是解题关键. 21.C解析:C【分析】绝对值小于1的正数也可以利用科学记数法表示,一般形式为a ×10-n ,与较大数的科学记数法不同的是其所使用的是负指数幂,指数由原数左边起第一个不为零的数字前面的0的个数所决定.【详解】0.000000076用科学记数法表示为7.6×10-8.故选:C .【点睛】本题考查用科学记数法表示较小的数,一般形式为a ×10-n ,其中1≤|a|<10,n 为由原数左边起第一个不为零的数字前面的0的个数所决定.22.B解析:B【分析】直接根据已知用含x 的式子表示出两数,进而代入化简得出答案.【详解】 解:∵115a b = ∴设11a x =,5b x = ∴11531158a b x x a b x x --==++ 故选:B【点睛】 此类化简求值题目,涉及到的字母a 、b 利用第三个未知数x 设出,代入后得到关于x 的式子进行约分化简即可.将两个字母转化为一个字母是解题的关键.23.D解析:D【详解】∵4+46=,∴选项A 不符合题意;∵4+40+40=6,∴选项B 不符合题意;∵,∴选项C 不符合题意;∵144-=1486≠,∴选项D 符合题意, 故选D . 24.D解析:D【分析】先把已知的式子变形为()2ab b a =-,然后整体代入所求式子约分即得答案.【详解】 解:∵1112a b -=, ∴()2ab b a =-, ∴()22b a ab a b a b-==---. 故选:D .【点睛】本题考查了分式的通分与约分,属于常考题目,掌握解答的方法是关键.25.C解析:C【分析】按照规定的运算方法,计算出前几个数的值,进一步找出数字循环的规律,利用规律得出答案即可.【详解】解:∵11(1,2)a x x x =-≠≠, ∴2111111(1)2a a x x ===----,321121111()2x a a xx-===----,34111211()1a x x a x===-----… ∴以x−1,12x -,21x x --为一组,依次循环, ∵2017÷3=672…1,∴2017a 的值与a 1的值相同,∴20171a x =-,故选:C.【点睛】此题考查数字的变化规律以及分式的运算,找出数字之间的运算规律,利用规律解决问题是解答此题的关键.。
一、选择题1.已知115ab a b =+,117bc b c =+,116ca c a =+,则abc ab bc ca ++的值是( ) A .121 B .122 C .123 D .1242.下列分式变形中,正确的是( ). A . b a b a b a +=++22 B .1-=++-y x y xC . ()()m n n m m n -=--23D .bm am b a = 3.已知:分式的值为零,分式无意义,则的值是( ) A .-5或-2B .-1或-4C .1或4D .5或2 4.若分式12+-x x 的值为0,则x 的值为( ) A .2或-1 B .0 C .-1 D . 2 5.计算4-(-4)0的结果是( )A .3B .0C .8D .4 6.若分式23x x --有意义,则x 满足的条件是( ) A .x ≠0 B .x ≠2 C .x ≠3 D .x ≥37.如果把分式22a b ab +中的a 和b 都扩大了2倍,那么分式的值( ) A .扩大2倍B .不变C .缩小2倍D .缩小4倍 8.把分式2n m n +中的m 与n 都扩大3倍,那么这个代数式的值 A .不变B .扩大3倍C .扩大6倍D .缩小到原来的139.无论x 取何值,总是有意义的分式是( ) A .21x x + B .221x x + C .331x x + D .21x x + 10.将分式3ab a b -中的a 、b 都扩大到3倍,则分式的值 ( ) A .不变 B .扩大3倍 C .扩大9倍 D .扩大6倍11.已知为整数,且分式的值为整数,则可取的值有( ) A .1个 B .2个 C .3个 D .4个12.一艘轮船在静水中的最大航速为30千米/时,它沿江以最大航速顺流航行100千米所用时间,与以最大航速逆流航行60千米所用时间相等,江水的流速为多少?设江水的流速为x 千米/时,则可列方程( )A .B .C .D .13.函数122y x x =+--的自变量x 的取值范围是( ) A .2x ≥ B .2x > C .2x ≠ D .2x ≤14.下列变形正确的是( )A .x y y x x y y x--=++ B .222()x y x y y x x y +-=-- C .2a a a ab b+= D .0.250.25a b a b a b a b ++=++ 15.已知实数a ,b ,c 均不为零,且满足a +b +c=0,则222222222111bc a c a b a b c+++-+-+-的值是( ) A .为正 B .为负 C .为0 D .与a ,b ,c 的取值有关16.在代数式,,+,,中,分式有( )A .1个B .2个C .3个D .4个17.在,,中,是分式的有( )A .0个B .1个C .2个D .3个18.下列4个数:9,227,π,(3)0,其中无理数是( ) A .9 B .227 C .π D .(3)0 19.若将分式(a ,b 均为正数)中a ,b 的值分别扩大为原来的3倍,则分式的值( ) A .扩大为原来的3倍 B .缩小为原来的C .不变D .缩小为原来的20.在同一段路上,某人上坡速度为a ,下坡速度为b ,则该人来回一趟的平均速度是( ).A .aB .bC .2a b +D .2ab a b+21.若已知分式22169x x x ---+的值为0,则x ﹣2的值为( ). A .19或﹣1 B .19或1 C .﹣1 D .1 22.下列4个分式:①;②;③;④中最简分式有( ) A .1个 B .2个 C .3个 D .4个23.若a >-1,则下列各式中错误..的是( ) A .6a >-6B .2a >-12C .a +1>0D .-5a <-5 24.下列语句:①任何数的零次方都等于1;②如果两条直线被第三条直线所截,那么同位角相等;③一个图形和它经过平移所得的图形中,两组对应点的连线平行且相等;④平行线间的距离处处相等.说法错误的有( )A .1个B .2个C .3个D .4个25.若式子212x x m -+不论x 取任何数总有意义,则m 的取值范围是( ) A .m≥1 B .m>1 C .m≤1 D .m<1【参考答案】***试卷处理标记,请不要删除一、选择题1.D解析:D【解析】试题解析:由已知得:1115a b +=,1117b c +=,1116c a +=, ∴11124a b c++=, ∴原式=1111124a b c=++, 故选D .考点:分式的运算. 2.C【解析】试题分析:分式的约分首先将分子和分母进行因式分解,然后约去公共的因式.A 、B 无法进行约分,C 正确;D 需要保证m 不能为零.考点:分式的约分3.A解析:A【分析】当分式的分子为零,且分母不为零时,则分式的值为零;当分式的分母为零时,则分式无意义.【详解】 根据题意可得:,=0,解得:x=-3,y=1或-2,则x+y=-2或-5.【点睛】考核知识点:分式的性质. 4.D解析:D【解析】试题分析:当分式的分子为零,分母不为零时,则分式的值为零,根据题意可得:x-2=0,解得:x=2.考点:分式的意义5.A解析:A【解析】试题分析:根据零指数幂的性质和有理数的加减法,可求解为:4-(-4)0=4-1=3. 故选A.6.C解析:C【解析】试题分析:根据分式有意义的条件,分母不等于0,可得x-3≠0,解得x≠3. 故选:C.7.C解析:C【解析】 分式22a b ab+中的a 和b 都扩大了2倍,得: 4212822a b a b ab ab++=⨯, 所以是缩小了2倍.8.A解析:A【解析】 试题解析:分式2n m n +中的m 与n 都扩大3倍,得 6233n n m n m n=++, 故选A .9.B解析:B【解析】A. 当2x+1≠0时,分式有意义,即x≠−12,所以A 选项错误; B. 当x 为任何实数,分式有意义,所以B 选项正确; C. 当3x +1≠0时,分式有意义,即x≠−1,所以C 选项错误;D. 当x²≠0时,分式有意义,即x≠0,所以D 选项错误.故选B.10.B解析:B【解析】将分式3ab a b -中的a 、b 都扩大到3倍,则为3333333a b ab a b a b⨯⨯=⨯--, 所以分式的值扩大3倍.故选B . 11.C解析:C【详解】==,由题意可知x-1=1,-1,-2,2为整数,且x≠±1,解得:x=2,0,3故选:C.12.A解析:A【解析】试题分析:因为轮船在静水中的最大航速为30千米/时,江水的流速为x 千米/时,所以轮船在顺流航行中的航速为(30+x )千米/时,轮船在逆流航行的航速为(30-x )千米/时,根据以最大航速顺流航行100千米所用时间,与以最大航速逆流航行60千米所用时间相等,可得:,故选A.考点:列分式方程.13.B解析:B【详解】解:根据题意得:x﹣2≥0且x﹣2≠0,解得:x>2.故选B.【点睛】本题考查函数自变量的取值范围.14.D解析:D【解析】A选项错误,x yx y-+=-y xy x-+;B选项错误,x yy x+-=x y y xy x y x+---()()()()=()222y xx y--;C选项错误,2a aab+=1a aab+()=1ab+;D选项正确.故选D.点睛:分式的性质:分式的分子分母乘以或者除以同一个不为零的整式,分式的值不变. 15.C解析:C.【解析】试题解析:∵a+b+c=0,∴a=-(b+c),∴a2=(b+c)2,同理b2=(a+c)2,c2=(a+b)2.∴原式=11111()0 22a b cbc ac ab abc++-++=-⨯=,故选C.考点:分式的运算.16.B解析:B【解析】试题分析:依据分式的定义进行判断即可.解:分母中不含字母,故不是分式;分母中含有字母是分式;+分母不含字母,故不是分式;分母中含有字母是分式;中π是数字,不是字母,故不是分式.故选B17.C解析:C 【解析】解:的分母中不含有字母,因此它们是整式,而不是分式.,的中分母中含有字母,因此是分式.故选:C . 18.C解析:C【解析】 9=3,227是无限循环小数,π是无限不循环小数,()031=,所以π是无理数,故选C . 19.B 解析:B 【解析】 由题意得==,缩小为原来的故选B 20.C解析:C .【解析】试题分析:直接表示出上下坡所用时间,进而利用总路程÷总时间=平均速度,进而得出答案.设总路程为x ,由题意可得:22211xab x x a ba b a b ==+++. 故选:C .考点:列代数式(分式).21.D解析:D .【解析】试题分析:根据分式值为零的条件可得:|x ﹣2|﹣1=0,且269x x -+≠0,再解即可.由题意得:|x ﹣2|﹣1=0,且269x x -+≠0,解得:x=1.故选:D .考点:分式的值为零的条件;负整数指数幂.22.B解析:B 【解析】①是最简分式; ②,不是最简分式; ③=,不是最简分式; ④是最简分式;最简分式有①④,共2个;故选:B.23.D解析:D【解析】根据不等式的基本性质可知,A. 6a >−6,正确;B. 2a >12- , 正确; C. a +1>0,正确;D. 根据性质3可知,a >−1两边同乘以−5时,不等式为−5a <5,故D 错误;故选D.24.C解析:C【解析】改正:①任何非0数的零次方都等于1;②如果两条平行的直线被第三条直线所截,那么同位角相等;③一个图形和它经过平移所得的图形中,两组对应点的连线平行(或共线)且相等;④正确.故选C.25.B解析:B【解析】 试题解析:分式212x x m-+不论x 取何值总有意义,则其分母必不等于0, 即把分母整理成(a+b )2+k (k >0)的形式为(x 2-2x+1)+m-1=(x-1)2+(m-1),因为论x 取何值(x 2-2x+1)+m-1=(x-1)2+(m-1)都不等于0,所以m-1>0,即m >1.故选B .。
一、选择题1.老师设计了一个接力游戏,用小组合作的方式完成分式的运算,规则是:每人只能看见前一个人给的式子,并进行一步计算,再将结果传递给下一个人,最后完成计算.其中一个组的过程是:老师给甲,甲一步计算后写出结果给乙,乙一步计算后写出结果给丙,丙一步计算后写出结果给丁,丁最后算出结果.接力中,自己负责的一步出现错误的是()A.甲B.乙C.丙D.丁2.如果把5xyx y+中的x和y都扩大为原来的10倍,那么这个分式的值()A.不变B.扩大为原来的50倍C.扩大为原来的10倍D.缩小为原来的1 103.若把分式x yxy+中的x和y都扩大2倍,那么分式的值()A.扩大2倍B.不变C.缩小2倍D.缩小4倍4.若x2-6xy+9y2=0,那么x yx y-+的值为()A.12yB.12y-C.12D.12-5.把分式a2a b+中的a、b都扩大2倍,则分式的值()A.缩小14B.缩小12C.扩大2倍D.不变6.下列变形正确的是()A.yx=22yxB.a acb bc=C.ac abc b=D.x m xy m y+=+7.把分式aba b+中的a、b都扩大为原来的3倍,则分式的值()A.扩大为原来的6倍B.不变C.缩小为原来的13D.扩大为原来的3倍8.若代数式1xx +有意义,则实数x 的取值范围是( ) A .0x =B .1x =-C .1x ≠D .1x ≠-9.若02018a =,2201720192018b =⨯- , 2017201845()()54c =-⨯ ,则a ,b ,c 的大小关系式( ) A .a b c << B .b c a <<C .c b a <<D .a c b <<10.如果把分式2++a ba b中的a 和b 都扩大为原来的10倍,那么分式的值( ) A .不变B .缩小10倍C .是原来的20倍D .扩大10倍11.化简22222a ab b a b++-的结果是( ) A .a ba b+- B .b a b- C .a a b+ D .b a b+ 12.化简a b a b b a+--22的结果是( ) A .1B .+a bC .-a bD .22a b -13.若a +b =0, 则ba的值为( ) A .-1B .0C .1D .-1或无意义14.下列运算正确的是( ) A .()32622x x -=-B .22133xx -=C .()2x x y x xy --=-+ D .()2222x y x xy y --=-+15.若把分式3xyx y-(,x y 均不为0)中的x 和y 都扩大3倍,则原分式的值是( ) A .扩大3倍B .缩小至原来的13C .不变D .缩小至原来的1616.若m+2n =0,则分式22221m n m m mn m m n+⎛⎫+÷ ⎪--⎝⎭的值为( )A .32B .﹣3nC .﹣32n D .9217.若分式21x -有意义,则( ) A .1x ≠ B .1x =C .0x ≠D .0x =18.计算33x yx y x y---的结果是( ) A .1B .0C .3D .619.若把分式x xy2中的x 和y 同时扩大为原来的3倍,则分式的值( ) A .扩大3倍B .缩小6倍C .缩小3倍D .保持不变20.若222110.2,2,(),()22a b c d --=-=-=-=-,则它们的大小关系是( ) A .a b d c <<< B .b a d c <<< C .a d c b <<< D .c a d b <<<21.222142x x x÷--的计算结果为( ) A .2x x +B .22x x +C .22x x -D .2(2)x x +22.(2017河北)如图是国际数学日当天淇淇和嘉嘉的微信对话,根据对话内容,下列选项错误的是( )A .4+446=B .004+4+4=6C .34+4=6D .14446-=23.化简21211a aa a----的结果为( ) A .11a a +- B .a ﹣1 C .a D .124.化简:x x y --yx y+,结果正确的是( )A .1B .2222x y x y+- C .x yx y-+ D .22xy +25.下列运算正确的是( )A .623x x x=B .221x a ax b b++=++ C .1122x xx x ---=-- D .0.71070.20.323a b a ba b a b--=++【参考答案】***试卷处理标记,请不要删除一、选择题 1.B 解析:B 【分析】找出题中出错的地方即可. 【详解】乙同学的过程有误,应为()()22a ab ab b a b a b +-++-,故选B . 【点睛】此题考查了分式的混合运算,熟练掌握运算法则是解本题的关键.2.C解析:C 【解析】 【分析】首先分别判断出x 与y 都扩大为原来的10倍后,分式的分子、分母的变化情况,然后判断出这个代数式的值和原来代数式的值的关系即可. 【详解】解:∵x 与y 都扩大为原来的10倍,∴5xy 扩大为原来的100倍,x+y 扩大为原来的10倍, ∴5xyx y+的值扩大为原来的10倍, 即这个代数式的值扩大为原来的10倍. 故选:C . 【点睛】本题考查分式的基本性质:分式的分子与分母同乘(或除以)一个不等于0的整式,分式的值不变,要熟练掌握,解答此题的关键是分别判断出分式的分子、分母的变化情况.3.C解析:C 【解析】 【分析】根据题意,分式中的x 和y 都扩大2倍,则222()2242x y x y x yx y xy xy+++==⋅;解:由题意,分式xyyx+中的x和y都扩大2倍,∴222()2242x y x y x yx y xy xy+++==⋅;分式的值是原式的12,即缩小2倍;故选C.【点睛】本题考查了分式的基本性质,分式的分子与分母同乘(或除以)一个不等于0的整式,分式的值不变,分子、分母、分式本身同时改变两处的符号,分式的值不变.4.C解析:C【解析】【分析】根据完全平方公式求出x与y的关系,代入计算即可.【详解】x2-6xy+9y2=0,(x-3y)2=0,∴x=3y,则x yx y-+=3132y yy y-=+,故选:C.【点睛】本题考查的是求分式的值,掌握完全平方公式、分式的计算是解题的关键.5.D解析:D【解析】【分析】根据题意进行变形,发现实质上是分子、分母同时扩大2倍,根据分式的基本性质即可判断.【详解】根据题意,得把分式a2a b+中的a、b都扩大2倍,得2a2a a22a2b2(2a b)2a b==⨯+++,根据分式的基本性质,则分式的值不变.故选D.【点睛】此题考查了分式的基本性质.解析:C 【解析】试题解析:A 、分式的乘方不等于原分式,故A 错误; B 、当c=0时,结果不成立,故B 错误;C 、分式的分子分母都乘或除以同一个不为零的整式,故C 正确;D 、分式的分子分母都加同一个不为零的数,结果发生变化,故D 错误. 故选C .7.D解析:D 【解析】 试题解析:把分式ab a b +中的a 、b 都扩大为原来的3倍,则33333a b aba b a b⨯=++,故分式的值扩大3倍. 故选D .8.D解析:D 【解析】 【分析】根据分式有意义的条件即分母不等于零可得x+1≠0,从而得解. 【详解】解:由题意得:x+1≠0, 解得:x≠-1, 故选:D . 【点睛】本题考查分式有意义的条件,解题关键是掌握分式有意义的条件:分母不等于零.9.C解析:C 【分析】根据零次幂的性质,平方差公式以及积的乘方法则求出a ,b ,c ,再根据有理数的比较法则判断即可. 【详解】解:020118a ==,2222201720192018(20181)(20181)20182018120181b =⨯-=-+-=--=-,201720182017454555()()()545444c =-⨯=-⨯⨯=-,∵54-<-1<1,∴c <b <a . 故选:C . 【点睛】本题主要考查了零次幂的性质,平方差公式以及积的乘方,熟练掌握相关运算法则是解题关键.10.A解析:A 【分析】根据分式的基本性质代入化简即可. 【详解】 扩大后为:102022=1010)a b a b a ba b a b a b+++=+++10()10(分式的值还是不变 故选:A. 【点睛】本题考查分式的基本性质,熟练掌握性质是关键.11.A解析:A 【分析】利用完全平方公式和平方差公式化简约分即可. 【详解】222222()=()()a ab b a b a b a b a b a b a b++++=-+--. 故选A. 【点睛】此题主要考查了分式的约分,解题的关键是正确地把分子、分母分解因式.12.B解析:B 【解析】 【分析】原式变形后,利用同分母分式的减法法则计算,约分即可得到结果. 【详解】解:原式=22a b a b --=()()a b a b a b+--=a+b , 故选B . 【点睛】此题考查了分式的加减法,熟练掌握运算法则是解本题的关键.13.D【分析】互为相反数两个数的和为0,同时要考虑到0+0=0,从而进行判断. 【详解】 解:∵a +b =0 ∴a=-b 或a=0,b=0∴ba的值为-1或无意义, 故选:D. 【点睛】掌握互为相反数的两个数的和为0和0+0=0,是本题的解题关键.14.C解析:C 【分析】根据积的乘方、负整数指数幂、整式的乘法、完全平方公式逐项判断即可得. 【详解】 A 、()32628x x -=-,此项错误;B 、2233xx -=,此项错误; C 、()2x x y x xy --=-+,此项正确;D 、()()22222x y x y x xy y --=+=++,此项错误; 故选:C . 【点睛】本题考查了积的乘方、负整数指数幂、整式的乘法、完全平方公式,熟练掌握各运算法则和公式是解题关键.15.A解析:A 【分析】将原式中x 变成3x ,将y 变成3y ,再进行化简,与原式相比较即可. 【详解】由题意得3332733333()x y xy xyx y x y x y⋅⋅==⋅---,所以原分式的值扩大了3倍故选择A. 【点睛】此题考察分式的化简,注意结果应化为最简分式后与原分式相比较.16.A解析:A直接利用分式的混合运算法则进行化简,进而把已知代入求出答案.【详解】解:原式=2()m n m nm m n++--•(+)()m n m nm-=3()mm m n-•(+)()m n m nm-=3() m nm+,∵m+2n=0,∴m=﹣2n,∴原式=32nn--=32.故选:A.【点睛】此题主要考查分式的运算,解题的关键是熟知分式的运算法则. 17.A解析:A【解析】【分析】根据分式有意义的条件是分母不等于零求解即可.【详解】解:∵要使分式21x-有意义∴10x-≠1x∴≠故选A.【点睛】本题考查了分式有意义的条件,熟练掌握分式有意义的条件是分母不等于零是解题的关键.18.C解析:C【分析】根据同分母的分式加减的法则进行计算即可.【详解】解:()333=3x yx yx y x y x y--= ---故选C.本题考查了分式的加减法,掌握分式运算的法则是解题的关键.19.D解析:D 【分析】 根据题意把分式x xy2中的x 和y 同时扩大为原来的3倍,将其化简后与原分式进行比价即可做出判断. 【详解】 解:∵分式x xy2中的x 和y 同时扩大为原来的3倍∴()23322333x x xx y x y x y⋅⋅==+++则分式的值保持不变. 故选:D 【点睛】本题考查了分式的基本性质,属于基础题型,能够熟练掌握分式的基本性质是解决问题的关键.20.B解析:B 【分析】根据负整数指数幂与正整数指数幂互为倒数,非零的零次幂等于1,可得答案. 【详解】∵a=-0.22=-0.04;b=-2-2=-14=-0.25,c=(-12)-2=4,d=(-12)0=1,∴-0.25<-0.04<1<4, ∴b <a <d <c , 故选:B . 【点睛】题考查了负整数指数幂,利用负整数指数幂与正整数指数幂互为倒数,非零的零次幂等于1是解题关键.21.B解析:B 【分析】先把分母因式分解,再把除法转换为乘法,约分化简得到结果. 【详解】222142x x x÷--=21(2)(2)(2)x x x x ÷+-- =()()()2·222x x x x -+- =22x x +. 故选:B .【点睛】本题主要考查了分式的除法,约分是解答的关键.22.D解析:D【详解】∵4+46=,∴选项A 不符合题意;∵4+40+40=6,∴选项B 不符合题意;∵,∴选项C 不符合题意;∵144-=1486≠,∴选项D 符合题意, 故选D . 23.B解析:B【解析】分析:根据同分母分式加减法的运算法则进行计算即可求出答案.详解:原式=21211a a a a -+--, =2(1)1a a --, =a ﹣1故选B .点睛:本题考查同分母分式加减法的运算法则,解题的关键是熟练运用分式的运算法则,本题属于基础题型.24.B解析:B【分析】先将分母进行通分,化为(x+y )(x-y )的形式,分子乘上相应的分式,进行化简.【详解】()()()()222222x y x +xy xy-y x +y -=-=x-y x+y x+y x-y x+y x-y x -y 【点睛】本题考查的是分式的混合运算,解题的关键就是熟练掌握运算规则.25.D解析:D【分析】根据分式的基本性质,将每一个分式的分子与分母的公因式约去,再比较即可.【详解】A.633xxx=,故该选项不符合题意;B. 221x a ax b b++≠++,故该选项不符合题意;C.1x122xx x---=--,故该选项不符合题意;D.0.71070.20.323a b a ba b a b--=++,故该选项符合题意;故选:D【点睛】此题考查约分,解题关键在于掌握运算法则.。
一、选择题1.将分式2x x y+中的x 、y 的值同时扩大3倍,则 扩大后分式的值( )A .扩大3倍B .缩小3倍C .保持不变D .无法确定2.若分式||11x x -+的值为0,则x 的值为( ) A .1B .﹣1C .±1 D .无解3.把分式2210x y xy+中的x y 、都扩大为原来的5倍,分式的值( )A .不变B .扩大5倍C .缩小为15D .扩大25倍4.下列运算正确的是( ) A .2-3=-6 B .(-2)3=-6C .(23)-2=49D .2-3=185.在式子:2x、5x y + 、12a - 、1x π-、21x x +中,分式的个数是( )A .2B .3C .4D .56.如果分式242x x --的值等于0,那么( )A .2x =±B .2x =C .2x =-D .2x ≠7.下列关于分式的判断,正确的是( ) A .当x =2时,12x x +-的值为零 B .无论x 为何值,231x +的值总为正数 C .无论x 为何值,31x +不可能得整数值 D .当x ≠3时,3x x-有意义 8.已知有理式:4x 、4a 、1x y -、34x 、12x 2、1a +4,其中分式有 ( )A .2个B .3个C .4个D .5个9.已知a <b 的结果是( )A B C .D .10.将分式()0,0xyx y x y≠≠-中的x .y 扩大为原来的3倍,则分式的值为:( )A .不变;B .扩大为原来的3倍C .扩大为原来的9倍;D .减小为原来的1311.计算正确的是( )A .(﹣5)0=0B .x 3+x 4=x 7C .(﹣a 2b 3)2=﹣a 4b 6D .2a 2•a ﹣1=2a12.若代数式2x -在实数范围内有意义,则x 的取值范围为( ) A .x<-3 B .x ≥-3C .x>2D .x ≥-3,且x ≠213.下列各式:2116,,4,,235x y xx y x π++-中,分式有( ) A .1个B .2个C .3个D .4个14.下列运算错误的是( )A 4=B .12100-=C 3=-D 2=15.函数y =x 的取值范围是( ) A .x ≥﹣2 B .x ≥﹣2且x ≠1C .x ≠1D .x ≥﹣2或x ≠116.若分式55x x -+的值为0,则x 的值为( ) A .0B .5C .-5D .±5 17.氢原子的半径约为0.000 000 000 05m ,用科学记数法表示为( ) A .5×10﹣10m B .5×10﹣11m C .0.5×10﹣10m D .﹣5×10﹣11m 18.甲、乙两人分两次在同一粮店内买粮食,两次的单价不同,甲每次购粮100千克,乙每次购粮100元.若规定:谁两次购粮的平均单价低,谁的购粮方式就合算.那么这两次购粮( ) A .甲合算 B .乙合算C .甲、乙一样D .要看两次的价格情况 19.若(1-x )1-3x =1,则x 的取值有( )个.A .1个B .2个C .3个D .4个20.在12 ,2x y x - ,212x + ,m +13 ,-2x y - 中分式的个数有( ) A .2个B .3个C .4个D .5个21.分式212xy 和214x y的最简公分母是( )A .2xyB .2x 2y 2C .4x 2y 2D .4x 3y 322.函数y =的取值范围是( ) A .x >2B .x ≥3C .x ≥3,且x ≠2D .x ≥-3,且x ≠223.如果把代数式x yxy+中的x与y都扩大到原来的8倍,那么这个代数式的值()A.不变B.扩大为原来的8倍C.缩小为原来的18D.扩大为原来的16倍24.3--2的倒数是()A.-9B.9C.19D.-1925.下列各式计算正确的是()A.a x ab x b+=+B.112a b a b+=+C.22()a ab b=D.11x y x y-=-+-【参考答案】***试卷处理标记,请不要删除一、选择题1.A解析:A【解析】试题分析:==;故选A.考点:分式的基本性质.2.A解析:A【解析】试题解析:∵分式||11xx-+的值为0,∴|x|﹣1=0,且x+1≠0,解得:x=1.故选A.3.A解析:A【详解】∵要把分式2210x yxy+中的x y、都扩大5倍,∴扩大后的分式为:()()()22222225551055251010x y x y xy x yxyxy+++==⨯⨯⨯,∴把分式2210x y xy+中的x y 、都扩大5倍,分式的值不变.故选A.点睛:解这类把分式中的所有字母都扩大n 倍后,判断分式的值的变化情况的题,通常是用分式中每个字母的n 倍去代替原来的字母,然后对新分式进行化简,再把化简结果和原来的分式进行对比就可判断新分式和原分式相比值发生了怎样的变化.4.D解析:D 【解析】选项A. 2-3=18,A 错. 选项B. (-2)3=-8,B 错.选项C. (23)-2=94 ,C 错误. 选项D. 2-3=18,正确 .所以选D. 5.B解析:B 【解析】 解:分式有2x 、12a -、21x x +共3个.故选B . 点睛:此题主要考查了分式的定义,正确把握分式的定义是解题关键.6.C解析:C 【解析】根据题意得:24020x x ⎧-=⎨-≠⎩,解得:x=−2. 故选C. 7.B解析:B 【解析】A 选项中,因为当2x =时,分式12x x +-无意义,所以本选项错误; B 选项中,因为无论x 取何值,21x +的值始终为正数,则分式231x +的值总为正数,所以本选项正确;C 选项中,因为当2x =时,分式311x =+,所以本选项说法错误; D 选项中,因为0x ≠时,分式3x x-才有意义,所以本选项说法错误; 故选B.8.B解析:B 【解析】4a 、、34x 、12x 2的分母中均不含有字母,因此它们是整式,而不是分式. 4x、、1x y -、1a +4的分母中含有字母,因此是分式.所以B 选项是正确的.点睛:本题主要考查分式的概念,分式与整式的区别主要在于:分母中是否含有未知数.9.D解析:D 【解析】因为a-ba a b-=-故选D.,0,0a a a a a ≥⎧==⎨-<⎩,推广此时a 可以看做是一个式子,式子整体大于等于0,把绝对值变为括号;式子整体小于0,把绝对值变为括号,前面再加负号.最后去括号,化简.10.B解析:B 【解析】 解:把分式xy x y +中的x 、y 扩大为原来的3倍后为3333x y x y ⋅+=3xyx y+,即将分式00xyx y x y≠≠-(,)中的x 、y 扩大为原来的3倍后分式的值为原来的分式的值的3倍.故选B .11.D解析:D【解析】解:A .原式=1,故A 错误;B .x 3与x 4不是同类项,不能进行合并,故B 错误;C .原式=a 4b 6,故C 错误;D .正确.故选D .12.D解析:D 【分析】根据二次根式有意义的条件和分式有意义的条件得到x+3≥0且x-2≠0,然后求出两个不等式的公共部分即可. 【详解】根据题意得x+3≥0且x−2≠0, 所以x 的取值范围为x ≥−3且x≠2. 故答案选D. 【点睛】本题考查的知识点是二次根式有意义的条件,分式有意义的条件,解题的关键是熟练的掌握二次根式有意义的条件,分式有意义的条件.13.A解析:A 【解析】分析:判断分式的依据是看分母中是否含有字母,如果含有字母则是分式,如果不含有字母则不是分式. 详解:216,,4,,23x y xx y π++的分母中均不含有字母,因此它们是整式,而不是分式.15x -的分母中含有字母,因此是分式. 故选A .点睛:本题主要考查分式的定义,注意π不是字母,6xπ是常数,所以不是分式,是整式.14.B解析:B 【解析】 【分析】分别根据立方根及算术平方根的定义对各选项进行逐一解答即可. 【详解】A 、∵42=16=4,故本选项正确;B 、12100-110,故本选项错误;C 、∵(-3)3=-273=-,故本选项正确;D =2,故本选项正确.故选B . 【点睛】本题考查的是立方根及算术平方根,熟知立方根及算术平方根的定义是解答此题的关键.15.B解析:B【分析】根据二次根式、分式有意义的条件可得关于x的不等式组,解不等式组即可得.【详解】解:由题意得:2010xx+≥⎧⎨-≠⎩,解得:x≥﹣2且x≠1,故选B.【点睛】本题考查的是函数自变量取值范围的求法.函数自变量的范围一般从三个方面考虑:(1)当函数表达式是整式时,自变量可取全体实数;(2)当函数表达式是分式时,考虑分式的分母不能为0;(3)当函数表达式是二次根式时,被开方数为非负数.16.B解析:B【分析】要使分式的值为0,必须分式分子的值为0并且分母的值不为0.【详解】由式子x-5=0,解得x5=±.而x=5时分母5x+≠0,x=-5时分母5x+=0,分式没有意,即x=5,故选B.【点睛】要注意分母的值一定不能为0,分母的值是0时分式没有意义.17.B解析:B【解析】【分析】绝对值小于1的正数也可以利用科学记数法表示,一般形式为a×10﹣n,与较大数的科学记数法不同的是其所使用的是负指数幂,指数由原数左边起第一个不为零的数字前面的0的个数所决定.【详解】0.00000000005=5×10﹣11.故选B.【点睛】本题考查了用科学记数法表示较小的数,一般形式为a×10﹣n,其中1≤|a|<10,n为由原数左边起第一个不为零的数字前面的0的个数所决定.18.B解析:B【解析】【分析】分别算出两次购粮的平均单价,用做差法比较即可.【详解】解:设第一次购粮时的单价是x元/千克,第二次购粮时的单价是y元/千克,甲两次购粮共花费:100x+100y,一共购买了粮食:100+100=200千克,甲购粮的平均单价是:1001002002x y x y++=;乙两次购粮共花费:100+100=200元,一共购买粮食:()100100100x yx y xy++=(千克),乙购粮的平均单价是:2xyx y+;甲乙购粮的平均单价的差是:()()()()22420 222x y xy x yx y xyx y x y x y>+--+-==+++,即22x y xyx y ++>,所以甲购粮的平均单价高于乙购粮的平均单价,乙的购粮方式更合算,故选B.【点睛】本题考查的知识点是做差法,解题关键是注意一个数的平方为非负数.19.B解析:B【分析】利用零指数幂,乘方的意义判断即可.【详解】解:∵(1-x)1-3x=1,∴1-x≠0,1-3x=0或1-x=1,解得:x=13或x=0,则x的取值有2个,故选B【点睛】本题考查了零指数幂,以及有理数的乘方,熟练掌握运算法则是解题的关键.20.A解析:A【解析】【分析】判断分式的依据是看分母中是否含有字母,如果含有字母则是分式,如果不含有字母则不是分式,找到分母中含有字母的式子的个数即可. 【详解】解:式子2x yx- ,-2x y -中都含有字母是分式.故选:A . 【点睛】本题考查分式的概念,分式与整式的区别主要在于:分母中是否含有未知数.21.C解析:C 【解析】 【分析】确定最简公分母的方法是: (1)取各分母系数的最小公倍数;(2)凡单独出现的字母连同它的指数作为最简公分母的一个因式; (3)同底数幂取次数最高的,得到的因式的积就是最简公分母. 【详解】 分式212xy 和214x y的最简公分母是4x 2y 2. 故选C. 【点睛】本题考查了最简公分母的知识,通分的关键是准确求出各个分式中分母的最简公分母,确定最简公分母的方法一定要掌握.22.D解析:D 【解析】 【分析】根据二次根式的性质和分式有意义的条件,被开方数大于或等于0,分母不等于0,可以求出x 的范围. 【详解】根据题意得:3020x x +≥⎧⎨-≠⎩,解得:x ≥﹣3且x ≠2.故选D . 【点睛】函数自变量的范围一般从三个方面考虑:(1)当函数表达式是整式时,自变量可取全体实数; (2)当函数表达式是分式时,考虑分式的分母不能为0;(3)当函数表达式是二次根式时,被开方数非负.23.C解析:C 【解析】 【分析】根据x 与y 都扩大到原来的8倍,分别判断出x+y 、xy 的变化情况,即可判断出这个代数式值的变化情况. 【详解】因为x 与y 都扩大到原来的8倍,所以x+y 扩大到原来的8倍,xy 扩大到原来的64倍,所以这个代数式的值缩小为原来的18.所以A 、B 、D 错误,C 正确. 【点睛】本题主要考察了分式的基本性质应用,要熟练掌握分式的基本性质;解答此题的关键在于分别判断出x+y 、xy 的变化情况.24.A解析:A 【解析】 【分析】 首先计算3--2=-19,再根据倒数的定义求解即可. 【详解】 ∵3--2=213-=-19,-19的倒数是-9, ∴3--2的倒数是-9, 故选A. 【点睛】此题考查了倒数和负整数指数幂,掌握倒数的定义是本题的关键.25.D解析:D 【解析】根据分式的基本性质,可知A 不正确;根据异分母的分式相加,可知11a b +=b a a b ab ab ab ++=,故不正确;根据分式的乘方,可知2a b ⎛⎫= ⎪⎝⎭22a b ,故不正确;根据分式的性质,可知11x y x y-=-+-,故正确. 故选:D.。
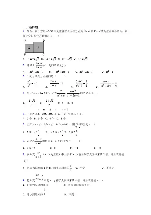
一、选择题1.如图,在长方形ABCD 中无重叠放入面积分别为16cm 2和12cm 2的两张正方形纸片,则图中空白部分的面积为( )A .﹣12+8B .16﹣8C .8﹣4D .4﹣2 2.计算1÷11m m +-(m 2-1)的结果是( ) A .-m 2-2m -1B .-m 2+2m -1C .m 2-2m -1D .m 2-1 3.下列分式约分正确的是( )A .236a a a =B .1-=-+y x y xC .316222=b a abD .m mn m n m 12=++4.当012=-+a a 时,分式2222-21a a a a a ++++的结果是( ) A .25-1- B .251-+ C .1 D .0 5.下列各式、、、+1、中分式有( ) A .2个 B .3个 C .4个 D .5个6.已知(x ﹣y )(2x ﹣y )=0(xy ≠0),则+的值是( )A .2B .﹣2C .﹣2或﹣2D .2或27.若分式12+-x x 的值为0,则x 的值为( ) A .2或-1 B .0 C .-1 D . 28.在分式ab a b +(a ,b 为正数)中,字母a ,b 值分别扩大为原来的2倍,则分式的值( )A .扩大为原来的2倍B .缩小为原来的12C .不变D .不确定9.把分式22x yx y -+中的x 、y 都扩大到原来的4倍,则分式的值( )A .扩大到原来的8倍B .扩大到原来的4倍C .缩小到原来的14 D .不变10.下列运算正确的是()A.(2a2)3=6a6B.-a2b2•3ab3=-3a2b5C.D.11.用科学记数方法表示0.0000907,得()A.49.0710-⨯B.59.0710-⨯C.690.710-⨯D.790.710-⨯12.在2x,1()3x y+,3ππ-,5a x-,24x y-中,分式的个数为()A.1 B.2 C.3 D.413.若分式23xx--有意义,则x满足的条件是()A.x≠0 B.x≠2 C.x≠3 D.x≥314.下列语句:①任何数的零次方都等于1;②如果两条直线被第三条直线所截,那么同位角相等;③一个图形和它经过平移所得的图形中,两组对应点的连线平行且相等;④平行线间的距离处处相等.说法错误的有()A.1个 B.2个 C.3个 D.4个15.若分式21 1x x -+的值为零,则x的值为()A.0B.1C.1-D.±116.7x-有意义的x的取值范围是( )A.x≠3B.x<7且x≠3C.x≤7且x≠2D.x≤7且x≠317.下列各式12x y+,52a ba b--,2235a b-,3m,37xy中,分式共有()个.A.2B.3C.4D.518.在式子31x-、2xyπ、2334a b c、2xx中,分式的个数是()A.1个B.2个C.3个D.4个19.下列计算正确的是().A.32b b bx x x+=B.0a aa b b a-=--C.2222bc aa b c ab⋅=D.22()1aa a aa-÷=-20.若式子212x x m -+不论x 取任何数总有意义,则m 的取值范围是( ) A .m≥1 B .m>1 C .m≤1 D .m<1 21.若04(2)(3)x x ----有意义,那么x 的取值范围是( )A .x >2B .x >3C .x ≠2或x ≠3D .x ≠2且x ≠322.已知115ab a b =+,117bc b c =+,116ca c a =+,则abc ab bc ca ++的值是( ) A .121 B .122 C .123 D .12423.在函数中,自变量的取值范围是( ) A .>3 B .≥3且≠4 C .>4 D .≥3 24.化简-的结果是( ) A . B . C . D .25.下列各式从左到右的变形正确的是 ( )A .220.220.33a a a a a a--=-- B .11x x x y x y +--=-- C .116321623a a a a --=++D .22b a a b a b -=-+【参考答案】***试卷处理标记,请不要删除一、选择题1.A解析:A【解析】面积分别为16cm 2和12cm 2的两张正方形的边长分别为4cm 、cm ,所以图中空白部分的面积为4(4+)-(12+16)=-12+8 (cm 2),故选A. 点睛:本题考查了二次根式的混合运算在实际中的应用,根据题意正确求得两个正方形的边长是解题的关键.2.B解析:B【解析】1÷11m m +-·(m 2-1)=1×11m m-+(m +1)·(m -1)=-(m -1)2=-m 2+2m -1. 3.D解析:D【解析】试题分析:A.约分的结果为a3;B.不能进行约分;C.约分的结果为ab 3。
(专题精选)初中数学分式分类汇编及答案解析一、选择题1.化简22a b b a +-的结果是( ) A .1a b - B .1b a - C .a ﹣b D .b ﹣a【答案】B【解析】【分析】原式分子分母提取公因式变形后,约分即可得到结果.【详解】原式= a+b )()b a b a +-(= 1b a- 故答案选B.【点睛】本题考查的知识点是约分,解题的关键是熟练的掌握约分.2.下列计算正确的是( ).A 2=-B .2(3)9--=C .0( 3.14)0x -=D .2019(1)|4|5---=- 【答案】D【解析】【分析】直接利用二次根式的性质以及负指数幂的性质、零指数幂的性质分别化简得出答案.【详解】A 2=,故此选项错误;B 、(-3)-2=19,故此选项错误; C 、(x-3.14)0=1,故此选项错误;D 、(-1)2019-|-4|=-5,正确.故选:D .【点睛】此题考查二次根式的性质以及负指数幂的性质、零指数幂的性质,正确化简各数是解题关键.3.下列运算中,正确的是( )A .2+=B .632x x x ÷=C .122-=-D .325a a a ⋅=【答案】D【解析】【分析】根据实数的加法对A 进行判断;根据同底数幂的乘法对B 进行判断;根据负整数指数幂的意义对C 进行判断;根据同底数幂的除法对D 进行判断.【详解】解:A 、2不能合并,所以A 选项错误;B 、x 6÷x 3=x 3,所以B 选项错误;C 、2-1=12,所以C 选项错误; D 、a 3•a 2=a 5,所以D 选项正确.故选:D .【点睛】此题考查实数的运算,负整数指数幂,同底数幂的乘法与除法,解题关键在于掌握先算乘方,再算乘除,然后进行加减运算;有括号先算括号.4.若2250(0)a ab b ab ++=≠,则b a a b +=( ) A .5B .-5C .5±D .2± 【答案】B【解析】【分析】根据题意,先得到225a b ab +=-,代入计算即可.【详解】解:∵2250(0)a ab b ab ++=≠,∴225a b ab +=-, ∴2255b a a b ab a b ab ab+-+===-; 故选:B.【点睛】本题考查了分式的化简求值,解题的关键是正确得到225a b ab +=-.5.如果分式||11x x -+的值为0,那么x 的值为( ) A .-1B .1C .-1或1D .1或0【答案】B【解析】【分析】根据分式的值为零的条件可以求出x 的值.【详解】根据题意,得|x|-1=0且x+1≠0,解得,x=1.故选B .【点睛】本题考查了分式的值为零的条件.若分式的值为零,需同时具备两个条件:(1)分子为0;(2)分母不为0.这两个条件缺一不可.6.若(x ﹣1)0=1成立,则x 的取值范围是( )A .x =﹣1B .x =1C .x≠0D .x≠1【答案】D【解析】试题解析:由题意可知:x-1≠0,x≠1故选D.7.若x 满足2220x x --=,则分式231211x x x ⎛⎫--÷ ⎪--⎝⎭的值是( ) A .1B .12C .1-D .32- 【答案】A【解析】【分析】 首先将式子231211x x x ⎛⎫--÷ ⎪--⎝⎭按照分式的运算法则进一步化简,然后通过2220x x --=得出222x x -=,最后将其代入之前化简所得的式子中进一步计算即可.【详解】 由题意得:2223132212211111x x x x x x x x x ⎛⎫---+--÷=⋅=-- ⎪---⎝⎭, 又∵2220x x --=,∴222x x -=,∴原式211=-=,故选:A .【点睛】本题主要考查了分式的化简求值,熟练掌握相关运算法则是解题关键.8.生物学家发现了一种病毒的长度约为0.00000432毫米.数据0.00000432用科学记数法表示为( )A .0.432×10-5B .4.32×10-6C .4.32×10-7D .43.2×10-7【答案】B【解析】【分析】绝对值小于1的正数也可以利用科学记数法表示,一般形式为10n a -⨯,这里1<a <10,指数n 是由原数左边起第一个不为零的数字前面的0的个数所决定.【详解】解: 0.00000432=4.32×10-6,故选B .【点睛】本题考查科学记数法.9.下列各式计算正确的是( )A .(﹣x ﹣2y )(x+2y )=224x y -B .13x -=13xC .236(2)6y y -=-D .32()(1)m m m m x x x -÷=- 【答案】D【解析】【分析】根据整式的相关运算法则计算可得.【详解】A .(﹣x ﹣2y )(x+2y )=﹣(x+2y )2=﹣x 2﹣4xy ﹣4y 2,此选项计算错误;B .3x ﹣1=3x,此选项计算错误; C .(﹣2y 2)3=﹣8y 6,此选项计算错误;D .(﹣x )3m ÷x m =(﹣1)m x 2m ,此选项计算正确;故选:D .【点睛】本题主要考查整式的运算,解题的关键是掌握整式的运算法则和负整数指数幂的规定.10.0000005=5×10-7故答案为:B.【点睛】本题考查的知识点是科学计数法,解题的关键是熟练的掌握科学计数法.11.若115a b =,则a b a b-+的值是( )A .25B .38C .35D .115【答案】B【解析】【分析】直接根据已知用含x 的式子表示出两数,进而代入化简得出答案.【详解】 解:∵115a b = ∴设11a x =,5b x = ∴11531158a b x x a b x x --==++ 故选:B【点睛】 此类化简求值题目,涉及到的字母a 、b 利用第三个未知数x 设出,代入后得到关于x 的式子进行约分化简即可.将两个字母转化为一个字母是解题的关键.12.若代数式22x x -有意义,则实数x 的取值范围是( ) A .x =0B .x =2C .x≠0D .x≠2【答案】D【解析】【分析】根据分式的分母不等于0即可解题.【详解】 解:∵代数式22x x -有意义, ∴x-2≠0,即x≠2,故选D.【点睛】本题考查了分式有意义的条件,属于简单题,熟悉分式有意义的条件是解题关键.13.计算11-+x x x 的结果是( ) A .2x x + B .2x C .12 D .1【答案】D【解析】原式=11xx-+=xx=1,故选D.【点睛】本题考查了同分母分式的加减法,熟记法则是解题的关键. 14.计算-12的结果为()A.2B.12C.-2D.1-2【答案】B【解析】【分析】利用幂次方计算公式即可解答.【详解】解:原式=1 2 .答案选B.【点睛】本题考查幂次方计算,较为简单.15.若x取整数,使分式6321xx+-的值为整数的x值有()A.2个B.4个C.6个D.8个【答案】B【解析】【分析】把分式转化为6321x+-,即可转化为讨论621x-的整数值有几个的问题.【详解】解:6363663212121 x xx x x+-+==+---,当2x−1=±6或±3或±2或±1时,621x-是整数,即原式是整数,当2x−1=±6或±2时,x的值不是整数,当2x−1=±3或±1时满足条件,故使分式6321xx+-的值为整数的x值有4个,故选:B.【点睛】本题主要考查了分式的性质,把原式化简为6321x+-的形式是解决本题的关键.16.化简(1)b b a a a ⎛⎫-÷ ⎪-⎝⎭的结果是() A .-a-1B .–a+1C .-ab+1D .-ab+b 【答案】B【解析】【分析】将除法转换为乘法,然后约分即可.【详解】 解:(1)(1)1(1)b b b a a a a a a a a b -⎛⎫⎛⎫-÷=-⨯=--=- ⎪ ⎪-⎝⎭⎝⎭, 故选B.【点睛】本题考查分式的化简,熟练掌握分式的运算法则是解题关键.17.一次抽奖活动特等奖的中奖率为150000,把150000用科学记数法表示为( ) A .4510⨯﹣B .5510⨯﹣C .4210⨯﹣D .5210⨯﹣【答案】D【解析】【分析】绝对值小于1的正数也可以利用科学记数法表示,一般形式为a ×10﹣n ,与较大数的科学记数法不同的是其所使用的是负指数幂,指数由原数左边起第一个不为零的数字前面的0的个数所决定.【详解】 150000=0.00002=2×10﹣5. 故选D .【点睛】本题考查了用科学记数法表示较小的数,一般形式为a ×10﹣n ,其中1≤|a |<10,n 为由原数左边起第一个不为零的数字前面的0的个数所决定.18.下面是一名学生所做的4道练习题:①224-=;②336a a a +=;③44144mm -=;④()3236xy x y =。
一、选择题1.下列分式中:xy x ,2y x -,+-x yx y ,22x y x y+-不能再约分化简的分式有( )A .1个B .2个C .3个D .4个2.分式:22x 4- ,x 42x- 中,最简公分母是 A .()()2x 4?42x --B .()()x 2x ?2+C .()()22x 2x 2-+-D .()()2x 2?x 2+-3.下列各式从左到右的变形正确的是( )A .221188a a a a ---=-++B .()()221a b a b -+=-C .22x y x y x y+=++ D .052520.11y yx x ++=-++4.下列各式中,正确的是( ). A .1122b a b a +=++B .22142a a a -=-- C .22111(1)a a a a +-=-- D .11b ba a ---=- 5.计算32-的结果是( ) A .-6B .-8C .18-D .186.下列选项中,使根式有意义的a 的取值范围为a <1的是( ) A .a 1- B .1a -C .()21a - D .11a- 7.将分式()0,0xyx y x y≠≠-中的x .y 扩大为原来的3倍,则分式的值为:( ) A .不变;B .扩大为原来的3倍C .扩大为原来的9倍;D .减小为原来的138.生物学家发现一种病毒的长度约为0.00 004mm ,0.00 004用科学记数法表示是( )A .40.410-⨯B .5410-⨯C .54010-⨯D .5410⨯9.把分式2x-y2xy中的x 、y 都扩大到原来的4倍,则分式的值( ) A .扩大到原来的16倍 B .扩大到原来的4倍 C .缩小到原来的14D .不变10.2018年3月3日,新浪综合网报道:“中科院发明首个抗癌DNA 纳米机器人,可精准阻断肿瘤血管饿死肿瘤!”.中国科学家团队研发出的这种可编程、基于 DNA 折纸技术的纳米机器人大小只有90×60×2nm ,nm 是长度计量单位,1nm=0.000000001米,则2nm 用科学记数法表示为( )A .2×109米B .20×10-8米C .2×10-9米D .2×10-8米 11.在实数范围内有意义,则a 的取值范围是( ) A .4a ≠- B .4a ≥-C .4a >-D .4a >-且0a ≠12.若分式||11x x -+的值为0,则x 的值为( ) A .1B .﹣1C .±1 D .无解13.纳米是一种长度单位,1纳米=10-9米,已知某种植物花粉的直径约为35000纳米,那么用科学记数法表示该种花粉的直径为( ) A .43.510⨯米 B .43.510-⨯米C .53.510-⨯米D .93.510-⨯米14.使分式224x x +-有意义的取值范围是( ) A .2x =-B .2x ≠-C .2x =D .2x ≠15.每到四月,许多地方杨絮、柳絮如雪花般漫天飞舞,人们不堪其扰,据测定,杨絮纤维的直径约为0.0000105m ,该数值用科学记数法表示为( ) A .51.0510⨯B .51.0510-⨯C .50.10510-⨯D .410.510-⨯16.氢原子的半径约为0.000 000 000 05m ,用科学记数法表示为( ) A .5×10﹣10m B .5×10﹣11m C .0.5×10﹣10m D .﹣5×10﹣11m 17.甲、乙两人分两次在同一粮店内买粮食,两次的单价不同,甲每次购粮100千克,乙每次购粮100元.若规定:谁两次购粮的平均单价低,谁的购粮方式就合算.那么这两次购粮( ) A .甲合算 B .乙合算C .甲、乙一样D .要看两次的价格情况18.已知m ﹣1m ,则1m+m 的值为( )A .BC .D .1119.计算(16)0×3﹣2的结果是( ) A .32 B .9C .19-D .1920.若(1-x )1-3x =1,则x 的取值有( )个. A .1个 B .2个 C .3个 D .4个 21.若(x -2016)x =1,则x 的值是( )A .2017B .2015C .0D .2017或022.在12 ,2x y x - ,212x + ,m +13 ,-2x y - 中分式的个数有( ) A .2个 B .3个C .4个D .5个23.如果把分式2+mm n中的m 和n 都扩大2倍,那么分式的值 ( ) A .扩大4倍 B .缩小2倍C .不变D .扩大2倍24.分式212xy 和214x y的最简公分母是( ) A .2xy B .2x 2y 2 C .4x 2y 2 D .4x 3y 3 25.一种花粉颗粒直径约为0.0000065米,数字0.0000065用科学记数法表示为( )A .0.65×10﹣5 B .65×10﹣7 C .6.5×10﹣6 D .6.5×10﹣5【参考答案】***试卷处理标记,请不要删除一、选择题 1.B 解析:B 【分析】找出各项中分式分子分母中有没有公因式,即可做出判断. 【详解】xyx=y, 22x y x y +-= ()()x y x y x y ++-= 1x y -所以,不能约分化简的有:- 22y x+-x yx y 共两个, 故答案选B. 【点睛】本题考查的知识点是分式的约分,解题的关键是熟练的掌握分式的基本性质.2.D解析:D 【解析】∵2224(2)(2)x x x =-+-,422(2)x xx x =---, ∴分式22 442xx x --、的最简公分母是:2(2)(2)x x +-. 故选D.3.B解析:B 【解析】 解:A .原式=22(1)1(8)8a a a a -++=--- ,错误;B .原式=1,正确;C .原式为最简结果,错误;D .原式=520110yx+-+,错误.故选B .点睛:此题考查了分式的基本性质,熟练掌握分式的基本性质是解本题的关键.4.C解析:C 【解析】解;A .分式的分子分母都乘或除以同一个不为零的整式,故A 错误; B .分子除以(a ﹣2),分母除以(a +2),故B 错误;C .分式的分子分母都乘或除以同一个不为零的整式,分式的值不变,故C 正确;D .分式的分子分母都乘或除以同一个不为零的整式,分式的值不变,故D 错误; 故选C .5.D解析:D 【解析】3311228-==. 故选D. 6.D解析:D 【解析】解:A .当a ≥1时,根式有意义. B .当a ≤1时,根式有意义. C .a 取任何值根式都有意义.D .要使根式有意义,则a ≤1,且分母不为零,故a <1. 故选D .点睛:判断一个式子是否有意义,应考虑分母上若有字母,字母的取值不能使分母为零,二次根号下字母的取值应使被开方数为非负数.易错易混点:学生易对二次根式的非负性和分母的不等于0混淆.7.B解析:B 【解析】解:把分式xy x y +中的x 、y 扩大为原来的3倍后为3333x y x y ⋅+=3xyx y+,即将分式00xyx y x y≠≠-(,)中的x 、y 扩大为原来的3倍后分式的值为原来的分式的值的3倍.故选B .8.B解析:B 【解析】解:0.00 004=5410-⨯.故选B .9.C解析:C 【解析】分析:把原分式中的x .y 都扩大到原来的4倍后,再约分化简.详解:因为()422441224416242x y x y x y x y xy xy ---⨯⨯==,所以分式的值缩小到原来的14.故选C .点睛:分数可以约分,分式与分数类似,也可以约分,根据分式的基本性质把一个分式的分子与分母的公因式或公因数约去,这种变形称为分式的约分.10.C解析:C【解析】分析:绝对值小于1的正数也可以利用科学记数法表示,一般形式为a ×10﹣n ,与较大数的科学记数法不同的是其所使用的是负指数幂,指数由原数左边起第一个不为零的数字前面的0的个数所决定. 详解:0.000000001×2=2×10﹣9. 故选C .点睛:本题考查了用科学记数法表示较小的数,一般形式为a ×10﹣n ,其中1≤|a |<10,n 为由原数左边起第一个不为零的数字前面的0的个数所决定.11.C解析:C 【解析】分析:根据二次根式与分式有意义的条件和分式有意义的条件即可求出a 的范围. 详解:由题意可知:a+4>0 ∴a >-4 故选C .点睛:解题的关键是正确理解二次根式有意义的条件和分式有意义的条件,本题属于基础题型.12.A解析:A试题解析:∵分式||11xx-+的值为0,∴|x|﹣1=0,且x+1≠0,解得:x=1.故选A.13.C解析:C【解析】【分析】绝对值小于1的正数也可以利用科学记数法表示,一般形式为a×10-n,与较大数的科学记数法不同的是其所使用的是负指数幂,指数由原数左边起第一个不为零的数字前面的0的个数所决定.【详解】35000纳米=35000×10-9米=3.5×10-5米.故选C.【点睛】此题主要考查了用科学记数法表示较小的数,一般形式为a×10-n,其中1≤|a|<10,n为由原数左边起第一个不为零的数字前面的0的个数所决定.14.D解析:D【解析】【分析】根据分式有意义分母不为零可得2x-4≠0,再解即可.【详解】解:由题意得:2x-4≠0,解得:x≠2,故选:D.【点睛】此题主要考查了分式有意义的条件,关键是掌握分式有意义的条件是分母不等于零.15.B解析:B【解析】【分析】绝对值小于1的正数也可以利用科学记数法表示,一般形式为a×10-n,与较大数的科学记数法不同的是其所使用的是负指数幂,指数由原数左边起第一个不为零的数字前面的0的个数所决定.【详解】0.0000105=1.05×10-5,【点睛】本题考查用科学记数法表示较小的数,一般形式为a×10-n,其中1≤|a|<10,n为由原数左边起第一个不为零的数字前面的0的个数所决定.16.B解析:B【解析】【分析】绝对值小于1的正数也可以利用科学记数法表示,一般形式为a×10﹣n,与较大数的科学记数法不同的是其所使用的是负指数幂,指数由原数左边起第一个不为零的数字前面的0的个数所决定.【详解】0.00000000005=5×10﹣11.故选B.【点睛】本题考查了用科学记数法表示较小的数,一般形式为a×10﹣n,其中1≤|a|<10,n为由原数左边起第一个不为零的数字前面的0的个数所决定.17.B解析:B【解析】【分析】分别算出两次购粮的平均单价,用做差法比较即可.【详解】解:设第一次购粮时的单价是x元/千克,第二次购粮时的单价是y元/千克,甲两次购粮共花费:100x+100y,一共购买了粮食:100+100=200千克,甲购粮的平均单价是:1001002002x y x y++=;乙两次购粮共花费:100+100=200元,一共购买粮食:()100100100x yx y xy++=(千克),乙购粮的平均单价是:2xyx y+;甲乙购粮的平均单价的差是:()()()()22420 222x y xy x yx y xyx y x y x y>+--+-==+++,即22x y xyx y ++>,所以甲购粮的平均单价高于乙购粮的平均单价,乙的购粮方式更合算,故选B.【点睛】本题考查的知识点是做差法,解题关键是注意一个数的平方为非负数.解析:A 【分析】根据完全平方公式即可得到结果. 【详解】1m-=m21m-=7m ⎛⎫∴ ⎪⎝⎭, 221m -2+=7m ∴, 221m +=9m∴,22211m+=m +2+=11m m ⎛⎫∴ ⎪⎝⎭,1m+m ∴=. 故选A. 【点睛】本题主要考查完全平方公式,熟悉掌握公式是关键.19.D解析:D 【解析】 【分析】根据零指数幂的性质以及负指数幂的性质先进行化简,然后再进行乘法运算即可. 【详解】(16)0×3﹣2=11199⨯=, 故选D . 【点睛】本题考查了实数的运算,涉及了零指数幂、负指数幂的运算,正确化简各数是解题关键.20.B解析:B 【分析】利用零指数幂,乘方的意义判断即可. 【详解】解:∵(1-x )1-3x =1, ∴1-x≠0,1-3x=0或1-x=1,解得:x=13或x=0,则x的取值有2个,故选B【点睛】本题考查了零指数幂,以及有理数的乘方,熟练掌握运算法则是解题的关键.21.D解析:D【解析】【分析】根据零指数幂:a0=1(a≠0)和1的任何次幂都是1可得x=0或x-2016=1,再解即可.【详解】由题意得:x=0或x-2016=1,解得:x=0或2017.故选:D.【点睛】此题主要考查了零次幂和乘方,关键是掌握零指数幂:a0=1(a≠0).22.A解析:A【解析】【分析】判断分式的依据是看分母中是否含有字母,如果含有字母则是分式,如果不含有字母则不是分式,找到分母中含有字母的式子的个数即可.【详解】解:式子2x yx-,-2x y-中都含有字母是分式.故选:A.【点睛】本题考查分式的概念,分式与整式的区别主要在于:分母中是否含有未知数.23.C解析:C【解析】【分析】根据分式的分子分母都乘以(或除以)同一个不为零的数(或整式),分式的值不变,可得答案.【详解】分式2+mm n中的m和n都扩大2倍,得4222m mm n m n=++,∴分式的值不变,故选A . 【点睛】本题考查了分式的基本性质,分式的分子分母都乘以(或除以)同一个不为零的数(或整式),分式的值不变.24.C解析:C 【解析】 【分析】确定最简公分母的方法是: (1)取各分母系数的最小公倍数;(2)凡单独出现的字母连同它的指数作为最简公分母的一个因式; (3)同底数幂取次数最高的,得到的因式的积就是最简公分母. 【详解】 分式212xy 和214x y的最简公分母是4x 2y 2. 故选C. 【点睛】本题考查了最简公分母的知识,通分的关键是准确求出各个分式中分母的最简公分母,确定最简公分母的方法一定要掌握.25.C解析:C 【解析】 【分析】科学记数法的表示形式为a×10n 的形式,其中1≤|a|<10,n 为整数.确定n 的值时,要看把原数变成a 时,小数点移动了多少位,n 的绝对值与小数点移动的位数相同.当原数绝对值>1时,n 是正数;当原数的绝对值<1时,n 是负数. 【详解】解:0.0000065的小数点向右移动6位得到6.5, 所以数字0.0000065用科学记数法表示为6.5×10﹣6, 故选C . 【点睛】本题考查科学记数法的表示方法.科学记数法的表示形式为a×10n 的形式,其中1≤|a|<10,n 为整数,表示时关键要正确确定a 的值以及n 的值.。
一、选择题1.若23a b =≠0,则代数式(2244b aba -+1)2b a a -÷的值为( ) A .2 B .1C .﹣1D .﹣22.设2222x 18n x 33x x 9+=+++--,若n 的值为整数,则x 可以取的值得个数是( ) A .5B .4C .3D .23.若x 2-6xy +9y 2=0,那么x yx y-+的值为( ) A .12yB .12y-C .12D .12-4.下列四种说法(1)分式的分子、分母都乘以(或除以),分式的值不变;(2)分式的值能等于零;(3)的最小值为零;其中正确的说法有( )A .1个B .2 个C .3 个D .0个5.把分式aba b+中的a 、b 都扩大为原来的3倍,则分式的值( ) A .扩大为原来的6倍 B .不变C .缩小为原来的13D .扩大为原来的3倍6.把0.0813写成科学计教法8.13×10n (n 为整数)的形式,则n 为( ) A .2 B .-2C .3D .-37.与分式()()a b a b ---+相等的是( ) A .a ba b +- B .a ba b-+ C .a ba b+-- D .a ba b--+ 8.当x =_____ 时,分式11xx-+无意义.( ) A .0B .1C .-1D .29.如果把分式2x y zxyz-+中的正数x ,y ,z 都扩大2倍,则分式的值( )A .不变B .扩大为原来的两倍C .缩小为原来的14D .缩小为原来的1810.下列各式:351,,,,12a b x y a b x a b xπ-+++--中,是分式的共有( ) A .1个B .2个C .3个D .4个11.下列分式运算中,正确的是( )A .111x y x y+=+B .x a ax b b+=+ C .22x y x y x y -=+- D ..a c adb d bc= 12.如果把5xy x y+中的x 和y 都扩大为原来的10倍,那么这个分式的值( )A .不变B .扩大为原来的50倍C .扩大为原来的10倍D .缩小为原来的11013.计算33x yx y x y---的结果是( ) A .1B .0C .3D .614.下列分式中,属于最简分式的是( ) A .42xB .11xx -- C .211x x +- D .224xx - 15.将0.00086用科学记数法表示为( ) A .8.6×104 B .8.60×104 C .8.6×10-4 D .8.6×10-6 16.新冠肺炎疫情爆发以来,口罩成为需求最为迫切的防护物资.在这个关键时刻,我国某企业利用自身优势转产口罩,这背后不仅体现出企业强烈的社会责任感,更是我国人民团结一心抗击疫情的决心.据悉该企业3月份的口罩日产能已达到500万只,预计今后数月内都将保持同样的产能,则3月份(按31天计算)该企业生产的口罩总数量用科学记数法表示为( ) A .71.5510⨯只B .81.5510⨯只C .90.15510⨯只D .6510⨯只17.小明家到学校m 千米,若步行从家到学校,需要t 小时;若骑自行车,所用时间比步行少用20分钟,则骑自行车的比步行的速度快了( )A .3(1)m t t -千米/时B .(31)m t t - 千米/时 C .(31)mt t-+ 千米/时 D .13m t - 千米/时 18.若222110.2,2,(),()22a b c d --=-=-=-=-,则它们的大小关系是( ) A .a b d c <<< B .b a d c <<< C .a d c b <<<D .c a d b <<<19.若分式242x x --的值为0,则x 等于( )A .±2B .±4 C .-2D .220.222142x x x÷--的计算结果为( ) A .2x x + B .22xx + C .22xx - D .2(2)x x +21.下列等式成立的是( )A .123a b a b +=+B .212a b a b =++ C .2ab aab b a b=--D .a aa b a b=--++ 22.计算下列各式①(a 3)2÷a 5=1;②(-x 4)2÷x 4=x 4;③(x -3)0=1(x ≠3);④(-a 3b )3÷5212a b =-2a 4b 正确的有( )题 A .4 B .3C .2D .123.若代数式21a 4-在实数范围内有意义,则实数a 的取值范围为( ) A .a 4≠B .a 2>-C .2a 2-<<D .a 2≠±24.若x 取整数,则使分式6321x x +-的值为整数的x 值有( ) A .3个B .4个C .6个D .8个25.如图是数学老师给玲玲留的习题,玲玲经过计算得出的正确结果为( )A .1B .2C .3D .4【参考答案】***试卷处理标记,请不要删除一、选择题 1.A 解析:A 【分析】由23a b=≠0,得2b =3a ,把根据分式运算法则进行化简,再代入已知值计算即可. 【详解】解:(2244b aba -+1)2b a a -÷ 222442b ab a a a b a-+=•-22(2)2a b aa b a -=•- 2b a a-=, ∵23a b=≠0, ∴2b =3a ,∴原式32a a aa a-===2, 故选:A . 【点睛】本题考查分式的化简求值,解答本题的关键是明确分式化简求值的方法.2.B解析:B 【解析】 【分析】先通分,再加减,最后化简.根据化简结果为整数,确定x 的取值个数. 【详解】 n=222218339x x x x ++++-- =()()()()()()()()2323218333333x x x x x x x x x -++-++-+-+-=()()262621833x x x x x ---+++-=()()()2333x x x ++-=23x - 当x-3=±1、±2,即x=4、2、1、5时 分式23x -的值为整数. 故选B . 【点睛】本题考查了异分母分式的加减法及分式为整数的相关知识.解决本题的关键是根据化简结果得到分式值为整数的x 的值.3.C解析:C 【解析】根据完全平方公式求出x与y的关系,代入计算即可.【详解】x2-6xy+9y2=0,(x-3y)2=0,∴x=3y,则x yx y-+=3132y yy y-=+,故选:C.【点睛】本题考查的是求分式的值,掌握完全平方公式、分式的计算是解题的关键.4.A解析:A【解析】(1)分式的分子、分母都乘以(或除以)不为零的整式,分式的值不变,故(1)错误;(2)分式的值不能等于零,故②错误;(3)的最小值为零,故(3)正确;故选A.5.D解析:D【解析】试题解析:把分式aba b+中的a、b都扩大为原来的3倍,则33333a b aba b a b⨯=++,故分式的值扩大3倍.故选D.6.B解析:B【分析】绝对值小于1的正数也可以利用科学记数法表示,一般形式为a×10-n,与较大数的科学记数法不同的是其所使用的是负整数指数幂,指数由原数左边起第一个不为零的数字前面的0的个数所决定.【详解】解:把0.0813写成a×10n(1≤a<10,n为整数)的形式为8.13×10-2,则n为-2.故选B.【点睛】本题考查用科学记数法表示较小的数,一般形式为a×10-n,其中1≤|a|<10,n为由原数左边起第一个不为零的数字前面的0的个数所决定.解析:B【分析】根据分式的基本性质,分式的分子和分母同时乘以和除以一个不为0的整式,分式的值不变.【详解】解:原分式()()()()()()1=1a b a b a ba b a b a b----⨯--=-+-+⨯-+,故选B.【点睛】本题主要考查分式的基本性质,解决本题的关键是要熟练掌握分式的基本的性质. 8.C解析:C【分析】根据分式无意义的条件,分母等于0,列不等式求解即可.【详解】因为分式11xx-+无意义,所以1+x=0,解得x=-1.故选C.【点睛】本题主要考查分式无意义的条件,解决本题的关键是要熟练掌握分式无意义的条件.9.C解析:C【分析】用2x、2y,2z去替换原分式中的x、y和z,利用分式的基本性质化简,再与原分式进行比较即可得到答案.【详解】∵把分式2x y zxyz-+中的正数x,y,z都扩大2倍,∴2222212 22244x y z x y z x y zx y z xyz xyz-⨯+-+-+==⨯⋅⋅.∴分式的值缩小为原来的1 4 .故选:C.【点睛】考查了分式的基本性质,解题关键把字母变化后的值代入式子中,然后化简,再与原式比较,得出结论.10.C【解析】 【分析】根据分式的定义逐一进行判断即可. 【详解】31,,1x a b x a b x ++--是分式 故选:C. 【点睛】本题考查分式的定义,熟练掌握定义是关键.11.C解析:C 【分析】根据分式的运算法则计算各个选项中的式子,从而可以解答本题. 【详解】 解:∵11,x y x y xy++= 故A 错误; (0)x a ax x b b+≠≠+,故B 错误;. 22()()x y x y x y x y x y x y -+-==+--,故C 正确; ∵.a c ac b d bd =,故D 错误. 故选:C 【点睛】本题考查分式的混合运算,解答本题的关键是明确分式的混合运算的计算方法.12.C解析:C 【解析】 【分析】首先分别判断出x 与y 都扩大为原来的10倍后,分式的分子、分母的变化情况,然后判断出这个代数式的值和原来代数式的值的关系即可. 【详解】解:∵x 与y 都扩大为原来的10倍,∴5xy 扩大为原来的100倍,x+y 扩大为原来的10倍,∴5xy x y+的值扩大为原来的10倍, 即这个代数式的值扩大为原来的10倍. 故选:C .本题考查分式的基本性质:分式的分子与分母同乘(或除以)一个不等于0的整式,分式的值不变,要熟练掌握,解答此题的关键是分别判断出分式的分子、分母的变化情况.13.C解析:C 【分析】根据同分母的分式加减的法则进行计算即可. 【详解】解:()333=3x y x y x y x y x y--=--- 故选C. 【点睛】本题考查了分式的加减法,掌握分式运算的法则是解题的关键.14.D解析:D 【分析】根据最简分式的定义即可判断. 【详解】 解:42=2x x,故A 选项错误; ()11=111x x x x ---=---,故B 选项错误; ()()2111==1111x x x x x x ++-+--,故C 选项错误; 224xx -,故D 选项正确. 故选:D 【点睛】本题主要考查的是最简分式的定义,正确的掌握最简分式的定义是解题的关键.15.C解析:C 【解析】 【分析】科学记数法的表示形式为a×10n 的形式,其中1≤|a|<10,n 为整数.确定n 的值时,要看把原数变成a 时,小数点移动了多少位,n 的绝对值与小数点移动的位数相同.当原数绝对值>1时,n 是正数;当原数的绝对值<1时,n 是负数. 【详解】将8600用科学记数法表示为:8.6×10-4.【点睛】此题考查科学记数法的表示方法.科学记数法的表示形式为a×10n的形式,其中1≤|a|<10,n为整数,表示时关键要正确确定a的值以及n的值.16.B解析:B【分析】科学记数法的表示形式为a×10n的形式,其中1≤|a|<10,n为整数.确定n的值时,要看把原数变成a时,小数点移动了多少位,n的绝对值与小数点移动的位数相同.当原数绝对值>1时,n是正数;当原数的绝对值<1时,n是负数.【详解】500万×31=5000000×31=155000000=1.55×108(只),故选:B.【点睛】此题考查科学记数法的表示方法.科学记数法的表示形式为a×10n的形式,其中1≤|a|<10,n为整数,表示时关键要正确确定a的值以及n的值.17.B解析:B【分析】利用速度=路程÷时间分别求得步行的速度和骑自行车的速度,从而利用分式的运算法则求得两者的速度差.【详解】解:步行的速度是:mt(km/h),骑自行车的速度是:31313m mtt=--(km/h),则骑自行车的速度与步行的速度差为:331(31)m m mt t t t-=--.故选:B.【点睛】本题考查了列代数式及分式的加减运用,正确表示出步行和骑自行车的速度是解题的关键.18.B解析:B【分析】根据负整数指数幂与正整数指数幂互为倒数,非零的零次幂等于1,可得答案.【详解】∵a=-0.22=-0.04;b=-2-2=-14=-0.25,c=(-12)-2=4,d=(-12)0=1,∴-0.25<-0.04<1<4,∴b <a <d <c , 故选:B . 【点睛】题考查了负整数指数幂,利用负整数指数幂与正整数指数幂互为倒数,非零的零次幂等于1是解题关键.19.C解析:C 【分析】根据分式为零的条件得到x 2-4=0且x-2≠0,然后分别解方程和不等式即可得到x 的值. 【详解】∵分式242x x --的值为0,∴x 2-4=0且x-2≠0, ∴x=-2. 故选:C . 【点睛】本题考查了分式为零的条件:当分式的分子为零且分母不为零时,分式的值为零.20.B解析:B 【分析】先把分母因式分解,再把除法转换为乘法,约分化简得到结果. 【详解】222142x x x÷-- =21(2)(2)(2)x x x x ÷+--=()()()2·222x x x x -+-=22xx +. 故选:B . 【点睛】本题主要考查了分式的除法,约分是解答的关键.21.C解析:C 【分析】根据分式的运算,分别对各选项进行运算得到结果,即可做出判断. 【详解】A 、221b b a ab a +=+,故A 错误; B 、22a b +,分子分母具有相同的因式才可以约分,故B 错误; C 、2()ab ab a ab b b a b a b ==---,故C 正确; D 、a a a b a b=--+-,故D 错误; 故选C .【点睛】本题主要考查了分式的运算,熟悉分式的通分以及约分的重要法则是解决本题的关键.22.B解析:B【分析】根据整数指数幂的运算法则解答即可.【详解】解:①(a 3)2÷a 5=a 6÷a 5=a ,故原式错误;②(-x 4)2÷x 4=x 8÷x 4=x 4,故原式正确;③因为x ≠3,所以x -3≠0,(x -3)0=1,故原式正确;④(-a 3b )3÷12a 5b 2=-a 9b 3÷12a 5b 2=-2a 4b ,故原式正确. 所以正确的有3个,故选:B .【点睛】本题主要考查了整数指数幂的运算,熟记法则是解决此题的关键.23.D解析:D【分析】分式有意义时,分母a 2-4≠0.【详解】依题意得:a 2-4≠0,解得a≠±2.故选D .【点睛】本题考查了分式有意义的条件.分式有意义的条件是分母不等于零24.B解析:B【分析】首先把分式转化为6321x +-,则原式的值是整数,即可转化为讨论621x -的整数值有几个的问题.【详解】 6363663212121x x x x x +-+==+---, 当216x -=±或3±或2±或1±时,621x -是整数,即原式是整数. 当216x -=±或2±时,x 的值不是整数,当等于3±或1±是满足条件. 故使分式6321x x +-的值为整数的x 值有4个,是2,0和1±. 故选B .【点睛】 本题主要考查了分式的值是整数的条件,把原式化简为6321x +-的形式是解决本题的关键. 25.C解析:C【分析】 先将原式通分,可以得到222b a ab ab++,再将分子用完全平方公式进行变形,即可得到()222a b ab ab+-+,最后代入数值计算即可. 【详解】 因为2b a a b++ ()2222222222323233b a ab abb a aba b ab ab=+++=++-=+-⨯=+= 所以选C.【点睛】本题考查的是分式的通分和完全平方公式的变形,能够熟练掌握完全平方公式的变形是解题的关键.。
一、选择题1.若分式21x -有意义,则( )A .1x ≠B .1x =C .0x ≠D .0x =2.小张在课外阅读中看到这样一条信息:“肥皂泡的厚度约为0.0000007m ”,请你用科学记数法表示肥皂泡的厚度,下列选项正确的是( ) A .0.7 ⨯10-6 mB .0.7 ⨯10-7mC .7 ⨯10-7mD .7 ⨯10-6m3.若代数式()11x --有意义,则x 应满足( ) A .x = 0B .x ≠ 0C .x ≠ 1D .x = 14.若x 2-6xy +9y 2=0,那么x yx y-+的值为( )A .12yB .12y-C .12D .12-5.PM2.5是指大气中直径小于或等于2.5微米的颗粒物,也称为可入肺颗粒物。
2.5微米等于0.0000025米,把0.0000025用科学记数法表示为( ) A .0.25×10–5米 B .2.5×10–7米C .2.5×10–6米D .25×10–7米6.与分式11a a -+--相等的式子是( ) A .11a a +- B .11a a -+ C .11a a +-- D .11a a --+ 7.把0.0813写成科学计教法8.13×10n (n 为整数)的形式,则n 为( ) A .2B .-2C .3D .-38.若02018a =,2201720192018b =⨯- , 2017201845()()54c =-⨯ ,则a ,b ,c 的大小关系式( ) A .a b c << B .b c a << C .c b a << D .a c b <<9.下列各式:351,,,,12a b x y a b x a b xπ-+++--中,是分式的共有( ) A .1个B .2个C .3个D .4个10.下列运算结果最大的是( )A .112-⎛⎫ ⎪⎝⎭B .02C .12-D .()12-11.化简22222a ab b a b++-的结果是( ) A .a ba b+- B .b a b- C .a a b+ D .b a b+ 12.0.000002019用科学记数法可表示为( )A .0.2019×10﹣5B .2.019×10﹣6C .20.19×10﹣7D .2019×10﹣9 13.将分式2a bab+中的a 、b 都扩大为原来的2倍,则分式的值( ) A .缩小到原来的12倍 B .扩大为原来的2倍 C .扩大为原来的4倍D .不变14.下列各式中,正确的是( )A .22x y x y -++=-B .()222x y x y x y x y --=++ C .1a b b ab b++= D .23193x x x -=-- 15.计算33x yx y x y---的结果是( ) A .1B .0C .3D .616.若a=20180,b=2016×2018-20172,c=(23-)2016×(32)2017,则a ,b ,c 的大小关系正确的是( ) A .a<b<cB .a<c<bC .b<a<cD .c<b<a17.下列计算错误的是( ) A .()326327x x -=-B .()()325y y y --=-C .326-=-D .()03.141π-=18.下列运算正确的是( ) A .1133a a﹣=B .2322a a a +=C .326()•a a a ﹣=﹣D .32()()a a a ÷﹣﹣=19.下列运算正确的是( ) A .2x -2 =212xB .a 6÷a 3 =a 2 C .(a 2)3 =a 5D .a 3·a =a 4 20.若222110.2,2,(),()22a b c d --=-=-=-=-,则它们的大小关系是( ) A .a b d c <<< B .b a d c <<< C .a d c b <<<D .c a d b <<<21.下列计算:①3362a a a ⋅=;②2352m m m +=;③()224-24a a =-;④()21048a a a a ⋅÷=;⑤()-21-510=;⑥22m a m n a n+=+,其中正确的个数为( ) A .4个B .3个C .2个D .1个22.计算下列各式①(a 3)2÷a 5=1;②(-x 4)2÷x 4=x 4;③(x -3)0=1(x ≠3);④(-a 3b )3÷5212a b =-2a 4b正确的有( )题 A .4 B .3C .2D .123.化简:x x y --yx y+,结果正确的是( )A .1B .2222x y x y +-C .x y x y-+D .22xy +24.下列运算正确的是( ) A .()32622x x -=-B .22133xx -=C .()2x x y x xy --=-+D .()2222x y x xy y --=-+25.下列等式从左到右的变形正确的是( )A .22b by x xy= B .2ab b a a =C .22b b a a=D .11b b a a +=+【参考答案】***试卷处理标记,请不要删除一、选择题 1.A 解析:A 【解析】 【分析】根据分式有意义的条件是分母不等于零求解即可. 【详解】 解:∵要使分式21x -有意义 ∴10x -≠1x ∴≠ 故选A.【点睛】本题考查了分式有意义的条件,熟练掌握分式有意义的条件是分母不等于零是解题的关键.2.C解析:C 【解析】 【分析】绝对值小于1的正数也可以利用科学记数法表示,一般形式为a×10-n ,与较大数的科学记数法不同的是其所使用的是负指数幂,指数由原数左边起第一个不为零的数字前面的0的个数所决定.【详解】解:0.000 000 7=7×10-7.故选C.【点睛】本题考查用科学记数法表示较小的数,一般形式为a×10-n,其中1≤|a|<10,n为由原数左边起第一个不为零的数字前面的0的个数所决定.3.C解析:C【解析】【分析】代数式中有0指数幂和负整数指数的底数不能为0,再求x的取值范围;【详解】解:根据题意可知,x-1≠0且解得x≠1.故选:C.【点睛】本题考查负整数指数幂和0指数幂的底数不能为0.4.C解析:C【解析】【分析】根据完全平方公式求出x与y的关系,代入计算即可.【详解】x2-6xy+9y2=0,(x-3y)2=0,∴x=3y,则x yx y-+=3132y yy y-=+,故选:C.【点睛】本题考查的是求分式的值,掌握完全平方公式、分式的计算是解题的关键.5.C解析:C【解析】【分析】绝对值小于1的正数也可以利用科学记数法表示,一般形式为a×10﹣n,与较大数的科学记数法不同的是其所使用的是负指数幂,指数由原数左边起第一个不为零的数字前面的0的个数所决定.由此即可解答.【详解】0.0000025=2.5×10﹣6, 故选C . 【点睛】本题考查用科学记数法表示较小的数,一般形式为a ×10﹣n ,其中1≤|a|<10,n 为由原数左边起第一个不为零的数字前面的0的个数所决定.6.B解析:B 【分析】根据分式的基本性质即可得出:分式的分子、分母、分式本身的符号,改变其中的任意两个,分式的值不变,据此即可解答. 【详解】解:原式= 1)(1)a a --+-( =11a a -+故选:B . 【点睛】本题考查分式的基本性质,解题关键是熟练掌握分式的基本性质.7.B解析:B 【分析】绝对值小于1的正数也可以利用科学记数法表示,一般形式为a ×10-n ,与较大数的科学记数法不同的是其所使用的是负整数指数幂,指数由原数左边起第一个不为零的数字前面的0的个数所决定. 【详解】解:把0.0813写成a ×10n (1≤a <10,n 为整数)的形式为8.13×10-2,则n 为-2. 故选B . 【点睛】本题考查用科学记数法表示较小的数,一般形式为a ×10-n ,其中1≤|a |<10,n 为由原数左边起第一个不为零的数字前面的0的个数所决定.8.C解析:C 【分析】根据零次幂的性质,平方差公式以及积的乘方法则求出a ,b ,c ,再根据有理数的比较法则判断即可. 【详解】解:020118a ==,2222201720192018(20181)(20181)20182018120181b =⨯-=-+-=--=-,201720182017454555()()()545444c =-⨯=-⨯⨯=-,∵54-<-1<1, ∴c <b <a . 故选:C . 【点睛】本题主要考查了零次幂的性质,平方差公式以及积的乘方,熟练掌握相关运算法则是解题关键.9.C解析:C 【解析】 【分析】根据分式的定义逐一进行判断即可. 【详解】31,,1x a b x a b x ++--是分式 故选:C. 【点睛】本题考查分式的定义,熟练掌握定义是关键.10.A解析:A 【解析】 【分析】直接利用负整数指数幂的性质和零指数幂的性质分别化简得出答案. 【详解】∵11=22-⎛⎫ ⎪⎝⎭;02=1;12-=12;()12=2--, 2>1>12>-2, ∴运算结果最大的是112-⎛⎫ ⎪⎝⎭, 故选A. 【点睛】本题主要考查了负整数指数幂的性质和零指数幂的性质,正确化简各数是解题关键.11.A解析:A 【分析】利用完全平方公式和平方差公式化简约分即可. 【详解】222222()=()()a ab b a b a ba b a b a b a b++++=-+--.故选A. 【点睛】此题主要考查了分式的约分,解题的关键是正确地把分子、分母分解因式.12.B解析:B 【解析】 【分析】绝对值小于1的正数也可以利用科学记数法表示,一般形式为a ×10﹣n ,与较大数的科学记数法不同的是其所使用的是负指数幂,指数由原数左边起第一个不为零的数字前面的0的个数所决定. 【详解】0.000002019=2.019×10﹣6, 故选B . 【点睛】此题主要考查了用科学记数法表示较小的数,一般形式为a ×10﹣n ,其中1≤|a |<10,n 为由原数左边起第一个不为零的数字前面的0的个数所决定.13.A解析:A 【分析】用2a ,2b 分别替换掉原分式中的a 、b ,进行计算后与原分式对比即可得出答案. 【详解】用2a ,2b 分别替换掉原分式中的a 、b ,可得:()2221=222822+++=⨯⨯⨯a b a ba b a b ab ab,所以分式缩小到原来的12倍, 故选A. 【点睛】本题考查了分式的基本性质,关键是根据条件正确的替换原式中的字母,然后化简计算.14.B解析:B 【分析】根据分式的性质,对每个选项的式子一一判断正误即可. 【详解】22x y x y-+-=-,故A 选项错误;()222()()()()x y x y x y x y x y x y x y x y --+-==++++,故B 选项正确; 1ba ba ab b ++=,故C 选项错误;23319(3)(3)3x x x x x x --==-+-+,故D 选项错误. 故选:B . 【点睛】本题主要考查分式的化简,熟记分式的性质是解题关键.15.C解析:C 【分析】根据同分母的分式加减的法则进行计算即可. 【详解】 解:()333=3x y x y x y x y x y--=--- 故选C. 【点睛】本题考查了分式的加减法,掌握分式运算的法则是解题的关键.16.C解析:C 【分析】首先计算a 、b 、c 的值,再进行比较即可. 【详解】 a=20180=1,b=2016×2018-20172=222(20171)(20171)20172017120171-+-=--=-,20162017201620162016232332333()()()()()323223222c =-⨯=⨯⨯=⨯⨯=,∵-1<1<32, ∴b<a<c , 故选:C. 【点睛】此题考查零次幂定义,平方差公式,同底数幂乘法的逆运算,积的乘方的逆运算,掌握掌握各计算法则是解题的关键.17.C解析:C根据同底数幂的乘法法则,积的乘方法则、零次幂、负指数幂进行计算 【详解】 A . ()326327x x -=-,不符合题意;B . ()()325y y y --=-,不符合题意;C . -312=8,原选项错误,符合题意; D . ()03.141π-=,不符合题意; 故选:C 【点睛】本题考查了同底数幂的乘法法则,积的乘方法则、零次幂、负指数幂,掌握同底数幂的乘法法则,积的乘方法则、零次幂、负指数幂是解题的关键.18.D解析:D 【分析】直接利用负指数幂的性质以及同底数幂的乘除运算法则计算得出答案. 【详解】 解:A 、133aa-=,故此选项错误; B 、22a a +,不是同类项无法合并;C 、()325aa a -⋅=-,故此选项错误; D 、()()32a a a -÷-=,正确;故选:D . 【点睛】此题考查负指数幂的性质以及同底数幂的乘除运算,正确掌握相关运算法则是解题关键.19.D解析:D 【分析】根据负指数幂、同底数幂的乘法和除法以及幂的乘方的运算法则逐项排除即可. 【详解】 解:A. 2x -2 =22x ,故选项A 错误; B. a 6÷a 3 =a 3,故选项B 错误; C. (a 2)3 =a 6,故选项C 错误; D. a 3·a =a 4 ,D 正确; 故答案为D .本题考查了负指数幂、同底数幂的乘法和除法以及幂的乘方的运算法则,掌握相关运算法则是解答本题的关键.20.B解析:B 【分析】根据负整数指数幂与正整数指数幂互为倒数,非零的零次幂等于1,可得答案. 【详解】∵a=-0.22=-0.04;b=-2-2=-14=-0.25,c=(-12)-2=4,d=(-12)0=1,∴-0.25<-0.04<1<4, ∴b <a <d <c , 故选:B . 【点睛】题考查了负整数指数幂,利用负整数指数幂与正整数指数幂互为倒数,非零的零次幂等于1是解题关键.21.D解析:D 【分析】利用同底数幂相乘、合并同类项、积的乘方、幂的乘方、负整数指数幂以及整式的除法逐个判断即可. 【详解】解:①336a a a ⋅=,故①错误;②2m 和3m 不是同类项,不能合并,故②错误;③()()()222224-2-24a a a ==,故③错误;④()2104268a a a a a a ⋅÷==⋅,故④正确;⑤()-21-525=,故⑤错误;⑥22m a m n a n+≠+,故⑥错误;只有1正确. 故答案为D . 【点睛】本题考查了同底数幂相乘、合并同类项、积的乘方、幂的乘方、负整数指数幂、整式的除法等知识点,掌握相关运算法则是解答本题的关键.22.B解析:B 【分析】根据整数指数幂的运算法则解答即可. 【详解】解:①(a 3)2÷a 5=a 6÷a 5=a ,故原式错误; ②(-x 4)2÷x 4=x 8÷x 4=x 4,故原式正确;③因为x ≠3,所以x -3≠0,(x -3)0=1,故原式正确;④(-a 3b )3÷12a 5b 2=-a 9b 3÷12a 5b 2=-2a 4b ,故原式正确. 所以正确的有3个,故选:B .【点睛】本题主要考查了整数指数幂的运算,熟记法则是解决此题的关键.23.B解析:B【分析】先将分母进行通分,化为(x+y )(x-y )的形式,分子乘上相应的分式,进行化简.【详解】()()()()222222x y x +xy xy-y x +y -=-=x-y x+y x+y x-y x+y x-y x -y 【点睛】本题考查的是分式的混合运算,解题的关键就是熟练掌握运算规则.24.C解析:C【分析】根据积的乘方、负整数指数幂、整式的乘法、完全平方公式逐项判断即可得.【详解】A 、()32628x x -=-,此项错误; B 、2233x x -=,此项错误; C 、()2x x y x xy --=-+,此项正确; D 、()()22222x y x y x xy y --=+=++,此项错误;故选:C .【点睛】本题考查了积的乘方、负整数指数幂、整式的乘法、完全平方公式,熟练掌握各运算法则和公式是解题关键.25.B解析:B【分析】根据分式的基本性质,无论是把分式的分子和分母扩大还是缩小相同的倍数,都不要漏乘(除)分子、分母中的任何一项,且扩大(缩小)的倍数不能为0,并且分式的值不变,由此即可判定选择项.【详解】A 、22b by x xy =,其中y≠0,故选项错误; B 、2ab b a a =,其中左边隐含a≠0,故选项正确; C 、2b ab a a =,故选项错误. D 、根据分式基本性质知道11bb a a ++≠,故选项错误; 故选B .【点睛】此题考查分式的基本性质,解题的关键是熟练掌握分式的基本性质.。
菏泽市初中数学有理数分类汇编及答案一、选择题1.如图所示,数轴上点P 所表示的数可能是( )A 30B 15C 10D 8【答案】B【解析】【分析】点P 在3与4之间,满足条件的为B 、C 两项,点P 与4比较靠近,进而选出正确答案.【详解】∵点P 在3与4之间,∴3<P <49P 16 ∴满足条件的为B 、C图中,点P 比较靠近4,∴P 应选B 、C 中较大的一个故选:B .【点睛】本题考查对数轴的理解,数轴上的点,从左到右依次增大,解题过程中需紧把握这点.2.若a 为有理数,且|a |=2,那么a 是( )A .2B .﹣2C .2或﹣2D .4【答案】C【解析】【分析】利用绝对值的代数意义求出a 的值即可.【详解】若a 为有理数,且|a|=2,那么a 是2或﹣2,故选C .【点睛】此题考查了绝对值,熟练掌握绝对值的代数意义是解本题的关键.3.已知a b >,下列结论正确的是( )A .22a b -<-B .a b >C .22a b -<-D .22a b >【答案】C【解析】【分析】直接利用不等式的性质分别判断得出答案.【详解】A. ∵a>b ,∴a −2>b −2,故此选项错误;B. ∵a>b ,∴|a|与|b|无法确定大小关系,故此选项错误;C.∵a>b ,∴−2a<−2b ,故此选项正确;D. ∵a>b,∴a 2与b 2无法确定大小关系,故此选项错误;故选:C.【点睛】此题考查绝对值,不等式的性质,解题关键在于掌握各性质定义.4.实效m ,n 在数轴上的对应点如图所示,则下列各式子正确的是( )A .m n >B .n m ->C .m n ->D .m n <【答案】C【解析】【分析】从数轴上可以看出m 、n 都是负数,且m <n ,由此逐项分析得出结论即可.【详解】解:因为m 、n 都是负数,且m <n ,|m|<|n|,A 、m >n 是错误的;B 、-n >|m|是错误的;C 、-m >|n|是正确的;D 、|m|<|n|是错误的.故选:C .【点睛】此题考查有理数的大小比较,关键是根据绝对值的意义等知识解答.5.和数轴上的点一一对应的是( )A .整数B .实数C .有理数D .无理数【答案】B【解析】∵实数与数轴上的点是一一对应的,∴和数轴上的点一一对应的是实数.故选B.6.-6的绝对值是( )A .-6B .6C .- 16D .16 【答案】B【解析】【分析】 在数轴上,表示一个数的点到原点的距离叫做这个数的绝对值.【详解】负数的绝对值等于它的相反数,所以-6的绝对值是6故选B【点睛】考点:绝对值.7.已知235280x y x y +-+-+=则xy 的值是( )A .19B .-6C .9D .1-6【答案】B【解析】【分析】根据非负数的应用,列出方程组,解方程组,即可求出x 、y 的值,然后得到答案.【详解】解:∵235280x y x y +-+-+=,∴2350280x y x y +-=⎧⎨-+=⎩, 解得:23x y =-⎧⎨=⎩, ∴236xy =-⨯=-;故选:B.【点睛】本题考查了非负数的应用,解二元一次方程组,解题的关键是正确求出x 、y 的值.8.如图,在数轴上,点A 表示1,现将点A 沿数轴做如下移动,第一次将点A 向左移动3个单位长度到达点A 1,第二次将点A 1向右移动6个单位长度到达点A 2,第三次将点A 2向左移动9个单位长度到达点A 3,…按照这种移动规律进行下去,第51次移动到点51A ,那么点A 51所表示的数为( )A .﹣74B .﹣77C .﹣80D .﹣83【答案】B【解析】【分析】序号为奇数的点在点A 的左边,各点所表示的数依次减少3 ,序号为偶数的点在点A 的右侧,各点所表示的数依次增加3,即可解答.【详解】解:第一次点A 向左移动3个单位长度至点1A ,则1A 表示的数,1−3=−2;第2次从点A 1向右移动6个单位长度至点2A ,则2A 表示的数为−2+6=4;第3次从点A 2向左移动9个单位长度至点3A ,则3A 表示的数为4−9=−5;第4次从点A 3向右移动12个单位长度至点4A ,则4A 表示的数为−5+12=7;第5次从点A 4向左移动15个单位长度至点5A ,则5A 表示的数为7−15=−8;…;则点51A 表示:()()511312631781772+⨯-+=⨯-+=-+=-, 故选B .9.若2(1)210x y -++=,则x +y 的值为( ).A .12B .12-C .32D .32- 【答案】A【解析】解:由题意得:x -1=0,2y +1=0,解得:x =1,y =12-,∴x +y =11122-=.故选A . 点睛:本题考查了非负数的性质.几个非负数的和为0,则每个非负数都为0.10.下列各数中,最大的数是( ) A .12- B .14 C .0 D .-2【答案】B【解析】【分析】将四个数进行排序,进而确定出最大的数即可.【详解】112024-<-<<, 则最大的数是14, 故选B .【点睛】此题考查了有理数大小比较,熟练掌握有理数大小比较的方法是解本题的关键.11.不论a 取什么值,下列代数式的值总是正数的是( )A .1a +B .1a +C .2aD .2(1)a + 【答案】B 【解析】【分析】直接利用绝对值的性质以及偶次方的性质分别分析得出答案.【详解】A 、|a+1|≥0,故此选项错误;B 、|a|+1>0,故此选项正确;C 、a 2≥0,故此选项错误;D 、(a+1)2≥0,故此选项错误;故选B .【点睛】此题主要考查了偶次方的性质以及绝对值的性质,正确把握相关定义是解题关键.12.如图数轴所示,下列结论正确的是( )A .a >0B .b >0C .b >aD .a >b【答案】A【解析】【分析】根据数轴,可判断出a 为正,b 为负,且a 距0点的位置较近,根据这些特点,判定求解【详解】∵a 在原点右侧,∴a >0,A 正确;∵b 在原点左侧,∴b <0,B 错误;∵a 在b 的右侧,∴a >b ,C 错误;∵b 距离0点的位置远,∴a <b ,D 错误【点睛】本题是对数轴的考查,需要注意3点:(1)在0点右侧的数为正数,0点左侧的数为负数;(2)数轴上的数,从左到右依次增大;(3)离0点越远,则绝对值越大13.下面说法正确的是( )A .1是最小的自然数;B .正分数、0、负分数统称分数C .绝对值最小的数是0;D .任何有理数都有倒数【解析】【分析】0是最小的自然数,属于整数,没有倒数,在解题过程中,需要关注【详解】最小的自然是为0,A 错误;0是整数,B 错误;任何一个数的绝对值都是非负的,故绝对值最小为0,C 正确;0无倒数,D 错误【点睛】本题是有理数概念的考查,主要需要注意0的特殊存在14.已知实数a 满足2006a a -=,那么22006a -的值是( ) A .2005B .2006C .2007D .2008【答案】C【解析】【分析】先根据二次根式有意义的条件求出a 的取值范围,然后去绝对值符号化简,再两边平方求出22006a -的值.【详解】∵a-2007≥0,∴a ≥2007,∴2006a a -=可化为a 2006a -+=,2006=,∴a-2007=20062,∴22006a -=2007.故选C .【点睛】本题考查了绝对值的意义、二次根式有意义的条件,求出a 的取值范围是解答本题的关键.15.下列各组数中,互为相反数的组是( )A .2-B .2-C .12-与2D .【答案】A【解析】【分析】根据相反数的概念及性质逐项分析得出答案即可.A 、-2与()22-=2,符合相反数的定义,故选项正确;B 、-2与38-=-2不互为相反数,故选项错误;C 、12-与2不互为相反数,故选项错误; D 、|-2|=2,2与2不互为相反数,故选项错误.故选:A .【点睛】此题考查相反数的定义,解题关键在于掌握只有符号不同的两个数互为相反数,在本题中要注意理解求|-2|的相反数就是求2的相反数,不要受绝对值中的符号的影响.16.数轴上A ,B ,C 三点所表示的数分别是a ,b ,c ,且满足||||||c b a b a c ---=-,则A ,B ,C 三点的位置可能是( )A .B .C .D .【答案】C【解析】【分析】由A 、B 、C 在数轴上的位置判断出a 、b 、c 的大小关系,根据绝对值性质去绝对值符号,判断左右两边是否相等即可.【详解】当a c b <<时,||||c b a b b c a b a c ---=-+-=-,180°-66?38=113?22′′,此选项错误;B 、当a <b <c 时,||||2c b a b c b a b c a b ---=-+-=+-,44A-mB=,此项错误;C 、当c <a <b 时,||||c b a b b c a b a c ---=-+-=-,||a c a c -=-,此项正确D 、当c <b <a 时,||||2c b a b b c a b c a b ---=--+=--+,||a c a c -=-,此选项错误;故选C.【点睛】本题主要考查绝对值性质:正数绝对值等于本身,0的绝对值是0,负数绝对值等于其相反数.17.下列运算正确的是()A =-2 B.|﹣3|=3 C=± 2 D【答案】B【解析】【分析】A、根据算术平方根的定义即可判定;B、根据绝对值的定义即可判定;C、根据算术平方根的定义即可判定;D、根据立方根的定义即可判定.【详解】解:A、C2=,故选项错误;B、|﹣3|=3,故选项正确;D、9开三次方不等于3,故选项错误.故选B.【点睛】此题主要考查了实数的运算,注意,正数的算术平方根是正数.18.在﹣6,0,﹣1,4这四个数中,最大的数是()A.4 B.﹣6 C.0 D.﹣1【答案】A【解析】【分析】根据正数大于0,负数小于0,负数绝对值大的其值反而小即可求解.【详解】∵4>0>﹣1>﹣6,∴最大的数是4.故选A.【点睛】此题主要考查了有理数的大小的比较,解题的关键利用正负数的性质可以解决问题.19.已知点P的坐标为(a,b)(a>0),点Q的坐标为(c,3),且|a﹣,将线段PQ向右平移a个单位长度,其扫过的面积为20,那么a+b+c的值为()A.12 B.15 C.17 D.20【答案】C【解析】【分析】由非负数的性质得到a=c,b=7,P(a,7),故有PQ∥y轴,PQ=7-3=4,由于其扫过的图形是矩形可求得a,代入即可求得结论.【详解】b =0,∵且|a-c|++7∴a=c,b=7,∴P(a,7),PQ∥y轴,∴PQ=7-3=4,∴将线段PQ向右平移a个单位长度,其扫过的图形是边长为a和4的矩形,∴4a=20,∴a=5,∴c=5,∴a+b+c=5+7+5=17,故选C.【点睛】本题主要考查了非负数的性质,坐标的平移,矩形的性质,能根据点的坐标判断出PQ∥y 轴,进而求得PQ是解题的关键.20.在有理数2,-1,0,-5中,最大的数是()A.2 B.C.0 D.【答案】A【解析】【分析】正数都大于0,负数都小于0,正数大于一切负数,两个负数绝对值大的反而小,据此判断即可.【详解】根据有理数比较大小的方法可得:-5<-1<0<2,所以最大数是2.故选A.【点睛】此题主要考查了实数大小比较的方法,要熟练掌握,解答此题的关键是要明确:正实数>0>负实数,两个负实数绝对值大的反而小.。
菏泽市初中数学命题与证明的分类汇编及答案一、选择题1.已知下列命题:①若a>b,则ac>bc;②若a=1;③内错角相等;④90°的圆周角所对的弦是直径.其中原命题与逆命题均为真命题的个数是()A.1个B.2个C.3个D.4个【答案】A【解析】【分析】先对原命题进行判断,再判断出逆命题的真假即可.【详解】解:①若a>b,则ac>bc是假命题,逆命题是假命题;②若a=1是真命题,逆命题是假命题;③内错角相等是假命题,逆命题是假命题;④90°的圆周角所对的弦是直径是真命题,逆命题是真命题;其中原命题与逆命题均为真命题的个数是1个;故选A.点评:主要考查命题与定理,用到的知识点是互逆命题的知识,两个命题中,如果第一个命题的条件是第二个命题的结论,而第一个命题的结论又是第二个命题的条件,那么这两个命题叫做互逆命题.其中一个命题称为另一个命题的逆命题,判断命题的真假关键是要熟悉课本中的性质定理.2.下列命题是真命题的是()A.如果一个数的相反数等于这个数本身,那么这个数一定是0B.如果一个数的倒数等于这个数本身,那么这个数一定是1C.如果一个数的平方等于这个数本身,那么这个数一定是0D.如果一个数的算术平方根等于这个数本身,那么这个数一定是0【答案】A【解析】【分析】根据相反数是它本身的数为0;倒数等于这个数本身是±1;平方等于它本身的数为1和0;算术平方根等于本身的数为1和0进行分析即可.【详解】A、如果一个数的相反数等于这个数本身,那么这个数一定是0,是真命题;B、如果一个数的倒数等于这个数本身,那么这个数一定是1,是假命题;C 、如果一个数的平方等于这个数本身,那么这个数一定是0,是假命题;D 、如果一个数的算术平方根等于这个数本身,那么这个数一定是0,是假命题; 故选A .【点睛】此题主要考查了命题与定理,关键是掌握正确的命题为真命题,错误的命题为假命题.3.下列命题是假命题的是( )A .四个角相等的四边形是矩形B .对角线相等的平行四边形是矩形C .对角线垂直的四边形是菱形D .对角线垂直的平行四边形是菱形【答案】C【解析】试题分析:A .四个角相等的四边形是矩形,为真命题,故A 选项不符合题意; B .对角线相等的平行四边形是矩形,为真命题,故B 选项不符合题意;C .对角线垂直的平行四边形是菱形,为假命题,故C 选项符合题意;D .对角线垂直的平行四边形是菱形,为真命题,故D 选项不符合题意.故选C .考点:命题与定理.4.已知:ABC ∆中,AB AC =,求证:90O B ∠<,下面写出可运用反证法证明这个命题的四个步骤:①∴180O A B C ∠+∠+∠>,这与三角形内角和为180O 矛盾,②因此假设不成立.∴90O B ∠<,③假设在ABC ∆中,90O B ∠≥,④由AB AC =,得90O B C ∠=∠≥,即180O B C ∠+∠≥.这四个步骤正确的顺序应是( )A .③④②①B .③④①②C .①②③④D .④③①②【答案】B【解析】【分析】根据反证法的证明步骤“假设、合情推理、导出矛盾、结论”进行分析判断即可.【详解】题目中“已知:△ABC 中,AB=AC ,求证:∠B <90°”,用反证法证明这个命题过程中的四个推理步骤:应该为:(1)假设∠B ≥90°,(2)那么,由AB=AC ,得∠B=∠C ≥90°,即∠B+∠C ≥180°,(3)所以∠A+∠B+∠C >180°,这与三角形内角和定理相矛盾,(4)因此假设不成立.∴∠B <90°,原题正确顺序为:③④①②,故选B .【点睛】本题考查反证法的证明步骤,弄清反证法的证明环节是解题的关键.5.下列命题中是真命题的是( )A .多边形的内角和为180°B .矩形的对角线平分每一组对角C .全等三角形的对应边相等D .两条直线被第三条直线所截,同位角相等【答案】C【解析】【分析】根据多边形内角和公式可对A 进行判定;根据矩形的性质可对B 进行判定;根据全等三角形的性质可对C 进行判定;根据平行线的性质可对D 进行判定.【详解】A.多边形的内角和为(n-2)·180°(n≥3),故该选项是假命题,B.矩形的对角线不一定平分每一组对角,故该选项是假命题,C.全等三角形的对应边相等,故该选项是真命题,D.两条平行线被第三条直线所截,同位角相等,故该选项是假命题,故选:C .【点睛】本题考查了命题与定理:判断一件事情的语句,叫做命题.许多命题都是由题设和结论两部分组成,题设是已知事项,结论是由已知事项推出的事项,一个命题可以写成“如果…那么…”形式.有些命题的正确性是用推理证实的,这样的真命题叫做定理.熟练掌握矩形的性质、平行线的性质、全等三角形的性质及多边形的内角和公式是解题关键.6.下列命题正确的是( )A .矩形的对角线互相垂直平分B .一组对角相等,一组对边平行的四边形一定是平行四边形C .正八边形每个内角都是145oD .三角形三边垂直平分线交点到三角形三边距离相等【答案】B【解析】【分析】根据矩形的性质、平行四边形的判定、多边形的内角和及三角形垂直平分线的性质,逐项判断即可.【详解】A.矩形的对角线相等且互相平分,故原命题错误;B.已知如图:A C ∠=∠,//AB CD ,求证:四边形ABCD 是平行四边形.证明:∵//AB CD ,∴180A D +=︒∠∠,∵A C ∠=∠,∴180C D ∠+∠=︒,∴//AD BC ,又∵//AB CD ,∴四边形ABCD 是平行四边形,∴一组对角相等,一组对边平行的四边形一定是平行四边形,故原命题正确;C.正八边形每个内角都是:()180821358︒⨯-=︒,故原命题错误; D.三角形三边垂直平分线交点到三角形三个顶点的距离相等,故原命题错误. 故选:B .【点睛】本题考查命题的判断,明确矩形性质、平行四边形的判定定理、多边形内角和公式及三角形垂直平分线的性质是解题关键.7.下列命题中,真命题的是( )A .两条直线被第三条直线,同位角相等B .若a ⊥b ,b ⊥c ,则a ⊥cC .点p (x ,y ),若y =0,则点P 在x 轴上D a a ,则a =﹣l【答案】C【解析】【分析】根据平行线的性质对A 进行判断;根据平行线的判定方法对B 进行判断;根据x 轴上点的坐标特征对C 进行判断;根据二次根式的性质对D 进行判断.【详解】A 、两条平行直线被第三条直线,同位角相等,所以A 选项为假命题;B 、在同一平面内,若a ⊥b ,b ⊥c ,则a ∥c ,所以B 选项为假命题;C 、点p (x ,y ),若y =0,则点P 在x 轴上,所以C 选项为真命题;D a a ,则a =0或a =1,所以D 选项为假命题.故选:C .【点睛】本题考查了命题与定理:命题的“真”“假”是就命题的内容而言.任何一个命题非真即假.要说明一个命题的正确性,一般需要推理、论证,而判断一个命题是假命题,只需举出一个反例即可.8.下列命题属于真命题的是()A.同旁内角相等,两直线平行B.相等的角是对顶角C.平行于同一条直线的两条直线平行D.同位角相等【答案】C【解析】【分析】要找出正确命题,可运用相关基础知识分析找出正确选项,也可以通过举反例排除不正确选项,从而得出正确选项.【详解】A、同旁内角互补,两直线平行,是假命题;B、相等的角不一定是对顶角,是假命题;C、平行于同一条直线的两条直线平行,是真命题;D、两直线平行,同位角相等,是假命题;故选C.【点睛】本题考查了命题与定理:判断一件事情的语句,叫做命题.许多命题都是由题设和结论两部分组成,题设是已知事项,结论是由已知事项推出的事项,一个命题可以写成“如果…那么…”形式. 2、有些命题的正确性是用推理证实的,这样的真命题叫做定理.9.下列命题是假命题的是()A.同角(或等角)的余角相等B.三角形的任意两边之和大于第三边C.三角形的内角和为180°D.两直线平行,同旁内角相等【答案】D【解析】【分析】利用余角的定义、三角形的三边关系、三角形的内角和及平行线的性质分别判断后即可确定正确的选项.【详解】A、同角(或等角)的余角相等,正确,是真命题;B、三角形的任意两边之和大于第三边,正确,是真命题;C、三角形的内角和为180°,正确,是真命题;D、两直线平行,同旁内角互补,故错误,是假命题,故选D.【点睛】考查了命题与定理的知识,解题的关键是了解余角的定义、三角形的三边关系、三角形的内角和及平行线的性质,难度不大.10.39.下列命题中,是假命题的是( )A .同旁内角互补B .对顶角相等C .直角的补角仍然是直角D .两点之间,线段最短【答案】A【解析】同旁内角不一定互补,同旁内角互补的条件是两直线平行,故选A.11.下列命题中哪一个是假命题( )A .8的立方根是2B .在函数y =3x 的图象中,y 随x 增大而增大C .菱形的对角线相等且平分D .在同圆中,相等的圆心角所对的弧相等【答案】C【解析】【分析】利用立方根的定义、一次函数的性质、菱形的性质及圆周角定理分别判断后即可确定正确的选项.【详解】A 、8的立方根是2,正确,是真命题;B 、在函数3y x =的图象中,y 随x 增大而增大,正确,是真命题;C 、菱形的对角线垂直且平分,故错误,是假命题;D 、在同圆中,相等的圆心角所对的弧相等,正确,是真命题,故选C .【点睛】考查了命题与定理的知识,能够了解立方根的定义、一次函数的性质、菱形的性质及圆周角定理等知识是解题关键.12.能说明命题“关于x 的方程240x x m -+=一定有实数根”是假命题的反例为( ) A .1m =-B .0m =C .4m =D .5m =【答案】D【解析】【分析】利用m=5使方程x 2-4x+m=0没有实数解,从而可把m=5作为说明命题“关于x 的方程x 2-4x+m=0一定有实数根”是假命题的反例.【详解】当m=5时,方程变形为x 2-4x+m=5=0,因为△=(-4)2-4×5<0,所以方程没有实数解,所以m=5可作为说明命题“关于x的方程x2-4x+m=0一定有实数根”是假命题的反例.故选D.【点睛】本题考查了命题与定理:命题的“真”“假”是就命题的内容而言.任何一个命题非真即假.要说明一个命题的正确性,一般需要推理、论证,而判断一个命题是假命题,只需举出一个反例即可.13.利用反证法证明命题“四边形中至少有一个角是钝角或直角”时,应假设( )A.四边形中至多有一个内角是钝角或直角B.四边形中所有内角都是锐角C.四边形的每一个内角都是钝角或直角D.四边形中所有内角都是直角【答案】B【解析】【分析】先假设命题中的结论不成立,然后由此经过推理,引出矛盾,判定所做的假设不正确,从而得到原命题成立,这种证明方法叫做反证法.【详解】假设命题中的结论不成立,即命题“四边形中至少有一个角是钝角或直角”不成立,即“四边形中的四个角都不是钝角或直角”,即“四边形中的四个角都是锐角”故选B.【点睛】本题考查反证法,要注意命题“至少有一个是”不成立,对应的命题应为“都不是”.14.下列命题是真命题的是()A.一组对边平行且有一组对角相等的四边形是平行四边形B.对角线相等的四边形是矩形C.一组对边平行且另一组对边相等的四边形是平行四边形D.对角线互相垂直且相等的四边形是正方形【答案】A【解析】【分析】根据平行四边形的判定定理以及矩形、正方形的判定即可逐一判断.【详解】解:如下图,若四边形ABCD,AD∥BC,∠A=∠C,∵AD∥BC,∴∠A+∠B=180°,∵∠A=∠C,∴∠C+∠B=180°,∴AB∥CD,∴四边形ABCD是平行四边形,故A正确;B、对角线相等的四边形也可能为等腰梯形,故B错误;C、一组对边平行且另一组对边相等的四边形也可能为等腰梯形,故C错误;D、对角线互相垂直平分且相等的四边形是正方形,故D错误.故选:A.【点睛】本题考查了平行四边形、矩形、正方形的判定定理,是基础知识要熟练掌握.15.下列命题的逆命题不正确...的是()A.相等的角是对顶角B.两直线平行,同旁内角互补C.矩形的对角线相等D.平行四边形的对角线互相平分【答案】C【解析】【分析】首先写出各个命题的逆命题,然后进行判断即可.【详解】A、逆命题是:对顶角相等.正确;B、逆命题是:同旁内角互补,两直线平行,正确;C、逆命题是:对角线相等的四边形是矩形,错误;D、逆命题是:对角线互相平分的四边形是平行四边形,正确.故选:C.【点睛】本题主要考查了写一个命题的逆命题的方法,首先要分清命题的条件与结论.16.下列五个命题:①如果两个数的绝对值相等,那么这两个数的平方相等;②内错角相等;③在同一平面内,垂直于同一条直线的两条直线互相平行;④两个无理数的和一定是无理数;⑤坐标平面内的点与有序数对是一一对应的.其中真命题的个数是()A.2个B.3个C.4个D.5个【答案】B【解析】【分析】根据平面直角坐标系的概念,在两直线平行的条件下,内错角相等,两个无理数的和可以是无理数也可以是有理数,进行判断即可.【详解】①正确;②在两直线平行的条件下,内错角相等,②错误;③正确;④反例:两个无理数π和-π,和是0,④错误;⑤坐标平面内的点与有序数对是一一对应的,正确;故选:B.【点睛】本题考查实数,平面内直线的位置;牢记概念和性质,能够灵活理解概念性质是解题的关键.17.交换下列命题的题设和结论,得到的新命题是假命题的是()A.两直线平行,同位角相等B.相等的角是对顶角C.所有的直角都是相等的D.若a=b,则a﹣3=b﹣3【答案】C【解析】【分析】写出原命题的逆命题,根据相关的性质、定义判断即可.【详解】解:交换命题A的题设和结论,得到的新命题是同位角相等,两直线平行是真命题;交换命题B的题设和结论,得到的新命题是对顶角相等是真命题;交换命题C的题设和结论,得到的新命题是所有的相等的角都是直角是假命题;交换命题D的题设和结论,得到的新命题是若a-3=b-3,则a=b是真命题,故选C.【点睛】本题考查的是命题的真假判断,正确的命题叫真命题,错误的命题叫做假命题.判断命题的真假关键是要熟悉课本中的性质定理.18.下面命题的逆命题正确的是()A.对顶角相等B.邻补角互补C.矩形的对角线互相平分D.等腰三角形两腰相等【答案】D【解析】【分析】先分别写出四个命题的逆命题,然后利用对顶角的定义、邻补角的定义、矩形的判断和等腰三角形的判定方法对各命题的真假进行判断.【详解】解:A.对顶角相等的逆命题为相等的角为对顶角,此逆命题为假命题;B.邻补角互补的逆命题为互补的角为邻补角,此逆命题为假命题;C.矩形的对角线互相平分的逆命题为对角线互相平分的四边形为矩形,此逆命题为假命题;D.等腰三角形两腰相等的逆命题为两边相等的三角形为等腰三角形,此逆命题为真命题. 故答案为D .【点睛】本题考查了命题与定理,掌握举出反例法是判断命题的真假的重要方法.19.下列四个命题:①对顶角相等;②内错角相等;③平行于同一条直线的两条直线互相平行;④如果一个角的两边分别平行于另一个角的两边,那么这两个角相等.其中真命题的个数是( )A .1个B .2个C .3个D .4个【答案】B【解析】解:①符合对顶角的性质,故本小题正确;②两直线平行,内错角相等,故本小题错误;③符合平行线的判定定理,故本小题正确;④如果一个角的两边分别平行于另一个角的两边,那么这两个角相等或互补,故本小题错误.故选B .20.下列命题的逆命题是真命题的是( )A .若a b =,则a b =B .ABC ∆中,若222AC BC AB +=,则ABC ∆是Rt ∆C .若0a =,则0ab =D .四边相等的四边形是菱形【答案】D【解析】【分析】先根据逆命题的定义分别写出各命题的逆命题,然后根据绝对值的意义和有理数的乘法、菱形的性质及勾股定理进行判断.【详解】解:A 、该命题的逆命题为:若|a|=|b|,则a=b ,此命题为假命题;B 、该命题的逆命题为:若△ABC 是Rt △,则AC 2+BC 2=AB 2,此命题为假命题;C 、该命题的逆命题为:若ab=0,则a=0,此命题为假命题;D 、该命题的逆命题为:菱形的四边相等,此命题为真命题;故选:D.【点睛】本题考查了命题与定理:判断事物的语句叫命题;正确的命题称为真命题,错误的命题称为假命题;经过推理论证的真命题称为定理.也考查了逆命题.。
菏泽市初中数学分式分类汇编及答案一、选择题1.下列运算正确的是( )A .325x x x +=B .2224(3)6xy x y =C .2(2)(2)4x x x +-=-D .1122x x -= 【答案】C【解析】【分析】根据同底数幂的乘除法,积的乘方,负整数指数幂,平方差公式,可得答案.【详解】解:A 、不是同底数幂的乘法指数不能相加,故A 不符合题意;B 、2224(3)9xy x y =,故B 不符合题意;C 、2(2)(2)4x x x +-=-,故C 符合题意;D 、122x x-=,故D 不符合题意; 故选:C .【点睛】此题考查同底数幂的乘除法,平方差公式,熟记法则并根据法则计算是解题关键.2.已知24111P Q x x x =+-+-是恒等式,则( ) A . 2, 2P Q ==- B .2, 2P Q =-= C .2P Q == D .2P Q ==- 【答案】B【解析】【分析】 首先利用分式的加减运算法则,求得()()2111Q x x x P Q x Q P P ++-=-++-,可得方程组04P Q Q P +=⎧⎨-=⎩,解此方程组即可求得答案. 【详解】 解:∵()()()()()()22111411111P x Q x P Q x Q P P Q x x x x x x -++++-=+==+-+---, ∴()()4P Q x Q P ++-=,∴04P Q Q P +=⎧⎨-=⎩,解之得:22P Q =-⎧⎨=⎩, 故选:B .【点睛】此题考查了分式的加减运算、二元一次方程的解法以及整式相等的性质,解题的关键是掌握分式的加减运算法则.3.若2310a a -+=,则12a a +-的值为( )A 1B .1C .-1D .-5 【答案】B【解析】【分析】先将2310a a -+=变形为130a a -+=,即13a a +=,再代入求解即可. 【详解】∵2310a a -+=,∴130a a -+=,即13a a +=, ∴12321a a+-=-=.故选B. 【点睛】本题考查分式的化简求值,解题的关键是将2310a a -+=变形为13a a+=.4.若2250(0)a ab b ab ++=≠,则b a a b +=( ) A .5B .-5C .5±D .2± 【答案】B【解析】【分析】根据题意,先得到225a b ab +=-,代入计算即可.【详解】解:∵2250(0)a ab b ab ++=≠,∴225a b ab +=-, ∴2255b a a b ab a b ab ab+-+===-; 故选:B.【点睛】本题考查了分式的化简求值,解题的关键是正确得到225a b ab +=-.5.若化简22121b a b b a a a -⎛⎫-÷ ⎪+++⎝⎭W 的结果为1a a -,则“W ”是( ) A .a - B .b - C .a D .b【答案】D【解析】【分析】根据题意列出算式,然后利用分式的混合运算法则进行计算.【详解】 解:由题意得:()()()()222111=1211111111b a a b a b a b b a b a b ab b a a a a a a a a a a W +-+--⋅=-⋅=+==+++-+-++++,故选:D .【点睛】本题考查了分式的混合运算,熟练掌握运算法则是解题的关键.6.x 的取值范围为( ). A .x≥2B .x≠2C .x≤2D .x <2 【答案】D【解析】【分析】根据被开方式大于且等于零,分母不等于零列式求解即可.【详解】∴2x 0x 20-≥⎧⎨-≠⎩ ∴x <2故选:D【点睛】本题考查了代数式有意义时字母的取值范围,代数式有意义时字母的取值范围一般从几个方面考虑:①当代数式是整式时,字母可取全体实数;②当代数式是分式时,考虑分式的分母不能为0;③当代数式是二次根式时,被开方数为非负数.7.把0.0813写成a ×10n (1≤a <10,n 为整数)的形式,则a 为( )A .1B .﹣2C .0.813D .8.13【答案】D【解析】把0.0813写成a ×10n (1≤a <10,n 为整数)的形式,则a 为8.13,故选D .8.要使分式81x -有意义,x 应满足的条件是( ) A .1x ≠-B .0x ≠C .1x ≠D .2x ≠ 【答案】C【解析】【分析】直接利用分式有意义的条件得出答案.【详解】 要使分式81x -有意义, 则x-1≠0,解得:x≠1.故选:C .【点睛】此题考查分式有意义的条件,正确把握分式的定义是解题关键.9.乐乐所在的四人小组做了下列运算,其中正确的是( )A .2193-⎛⎫-=- ⎪⎝⎭B .()23624a a -=C .623a a a ÷=D .236236a a a ? 【答案】B【解析】【分析】 根据负整数指数幂计算法则,积的乘方计算法则,同底数幂除法法则,单项式乘以单项式计算法则依次判断.【详解】A 、2913-⎛⎫- ⎪⎭=⎝,故错误; B 、()23624a a -=正确;C 、624a a a ÷=,故错误;D 、235236a a a =⋅,故选:B.【点睛】此题考查整式的计算,正确掌握负整数指数幂计算法则,积的乘方计算法则,同底数幂除法法则,单项式乘以单项式计算法则是解题的关键.10.0000036=3.6×10-6;故选:A .【点睛】本题考查用科学记数法表示较小的数,一般形式为a×10-n ,其中1≤|a|<10,n 为由原数左边起第一个不为零的数字前面的0的个数所决定.11.下列用科学记数法表示正确的是( )A .10.000567 5.6710-=-⨯B .40.0012312.310=⨯C .20.0808.010-=⨯D .5696000 6.9610--=⨯【答案】C【解析】分析: 绝对值小于1的正数也可以利用科学记数法表示,一般形式为a×10-n ,与较大数的科学记数法不同的是其所使用的是负指数幂,指数由原数左边起第一个不为零的数字前面的0的个数所决定.详解: A. 40.000567 5.6710--=-⨯,故错误;B. 30.0012312.310,-=⨯故错误;C. 20.0808.010-=⨯,正确;D. 5696000 6.9610-=⨯,故错误.故选:C.点睛: 本题考查用科学记数法表示较小的数,一般形式为a×10-n ,其中1≤|a|<10,n 为由原数左边起第一个不为零的数字前面的0的个数所决定.12.把实数36.1210-⨯用小数表示为()A .0.0612B .6120C .0.00612D .612000【答案】C【解析】【分析】绝对值小于1的正数也可以利用科学记数法表示,一般形式为a×10−n ,与较大数的科学记数法不同的是其所使用的是负指数幂,指数由原数左边起第一个不为零的数字前面的0的个数所决定.【详解】13.化简(a ﹣1)÷(1a ﹣1)•a 的结果是( ) A .﹣a 2 B .1 C .a 2 D .﹣1【解析】分析:根据分式的混合运算顺序和运算法则计算可得.详解:原式=(a ﹣1)÷1a a -•a =(a ﹣1)•()1a a --•a =﹣a 2,故选:A .点睛:本题主要考查分式的混合运算,解题的关键是掌握分式的混合运算顺序和运算法则.14.某种病毒变异后的直径为0.000000102米,将这个数写成科学记数法是( ) A .61.0210-⨯B .60.10210-⨯C .71.0210-⨯D .810210-⨯【答案】C【解析】【分析】用科学记数法表示比较小的数时,n 的值是第一个不是0的数字前0的个数,包括整数位上的0.【详解】解:0.000000102=71.0210-⨯.故选:C .【点睛】此题考查科学记数法表示较小的数,解题关键在于掌握一般形式为a×10-n ,其中1≤|a|<10,n 为由原数左边起第一个不为零的数字前面的0的个数所决定.15.下列各数中最小的是( )A .22-B .C .23-D 【答案】A【解析】【分析】先根据有理数的乘方、算术平方根、立方根、负整数指数幂进行计算,再比较数的大小,即可得出选项.【详解】解:224-=-,2139-=2=-, 14329-<-<-<Q , ∴最小的数是4-,【点睛】本题考查了实数的大小比较法则,能熟记实数的大小比较法则的内容是解此题的关键.16.计算211a a a ---的正确结果是( ) A .11a -- B .11a - C .211a a --- D .211a a -- 【答案】B【解析】【分析】 先将后两项结合起来,然后再化成同分母分式,按照同分母分式加减的法则计算就可以了.【详解】 原式()211a a a =-+- 22111a a a a -=--- 11a =-. 故选B .【点睛】 本题考查分式的通分和分式的约分的运用,解题关键在于在解答的过程中注意符号的运用及平方差公式的运用.17.213-⎛⎫ ⎪⎝⎭的相反数是( ) A .9B .-9C .19D .19- 【答案】B【解析】【分析】 先根据负指数幂的运算法则求出213-⎛⎫ ⎪⎝⎭的值,然后再根据相反数的定义进行求解即可. 【详解】2211113193-⎛⎫== ⎪⎝⎭⎛⎫ ⎪⎝⎭=9,9的相反数为-9, 故213-⎛⎫ ⎪⎝⎭的相反数是-9, 故选B .【点睛】本题考查了负整数指数幂、求一个数的相反数,熟练掌握负整数指数幂的运算法则是解题的关键.18.华为Mate20手机搭载了全球首款7纳米制程芯片,7纳米就是0.000000007米.数据0.000000007用科学记数法表示为( ).A .7710⨯﹣B .80.710⨯﹣C .8710⨯﹣D .9710⨯﹣ 【答案】D【解析】【分析】由科学记数法知90.000000007710-=⨯;【详解】解:90.000000007710-=⨯;故选:D .【点睛】本题考查科学记数法;熟练掌握科学记数法10n a ⨯中a 与n 的意义是解题的关键.19.把分式a a b+中的,a b 的值同时扩大为原来的10倍,则分式的值( ) A .不变 B .缩小为原来的110C .扩大为原来的10倍D .扩大为原来的100倍【答案】A【解析】【分析】 根据分式的基本性质,把分式a a b+中的x 、y 的值同时扩大为原来的10倍得:1010=101010()a a a a b a b a b=+++,即可得到答案. 【详解】 把分式a a b+中的x 、y 的值同时扩大为原来的10倍得: 1010=101010()a a a a b a b a b=+++,即分式aa b+的值不变,故选:A.【点睛】本题考查了分式的基本性质,正确掌握分式的基本性质是解题的关键.20.下列各式从左到右变形正确的是()A.13(1)223x yx y++=++B.0.20.03230.40.0545a b a dc d c d--=++C.a b b ab c c b--=--D.22a b a bc d c d--=++【答案】C【解析】【分析】依据分式的基本性质进行变化,分子分母上同时乘以或除以同一个非0的数或式子,分式的值不变.【详解】A、该式子不是方程,不能去分母,故A错误;B、分式中的分子、分母的各项没有同时扩大相同的倍数,故B错误;C、a-b b-a=d-c c-d故C正确;D、分式中的分子、分母的各项没有同时除以2,故D错误.故选C.【点睛】本题考查了分式的基本性质,解题的关键是熟练运用性质.。