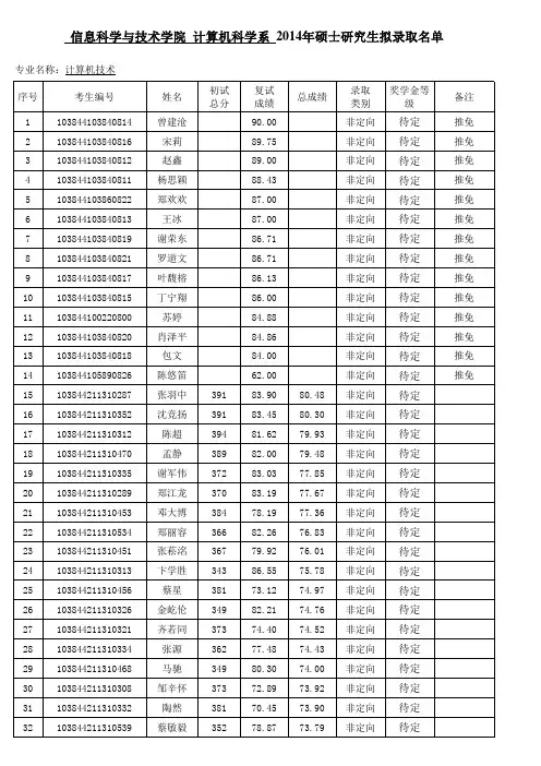
计算机科学与技术——复试拟录取名单
- 格式:xls
- 大小:40.50 KB
- 文档页数:2
南京航空航天大学2016年计算机科学与技术拟录取硕士研究生名单公示1378102876211602035周杨淏全国统考计算机科学与技术学院计算机科学与技术372.00226.1474.89 1379102876211601976高雅全国统考计算机科学与技术学院计算机科学与技术323.00243.7172.92 1380102876211602020颜逸凡全国统考计算机科学与技术学院计算机科学与技术359.00221.8272.87 1381102876211602009王如燕全国统考计算机科学与技术学院计算机科学与技术349.00227.0672.74 1382102876211602001苏明明全国统考计算机科学与技术学院计算机科学与技术341.00230.0472.44 1383102876211605916赵尧全国统考计算机科学与技术学院计算机科学与技术364.00214.2572.11 1384102876211602032张昭全国统考计算机科学与技术学院计算机科学与技术366.00212.4072.00 1385102876211602003陶晓力全国统考计算机科学与技术学院计算机科学与技术340.00227.0471.84 1386102876211604570杨丹全国统考计算机科学与技术学院计算机科学与技术344.00222.6671.51 1387102876211603685高莎莎全国统考计算机科学与技术学院计算机科学与技术356.00215.3371.49 1388102876211601980韩苏东全国统考计算机科学与技术学院计算机科学与技术322.00232.6470.97 1389102876211606340左良利全国统考计算机科学与技术学院计算机科学与技术356.00211.9870.93 1390102876211602013吴新泉全国统考计算机科学与技术学院计算机科学与技术321.00230.6670.54 1391102876211605157张振华全国统考计算机科学与技术学院计算机科学与技术357.00208.7770.501392102876211602018许金淼全国统考计算机科学与技术学院计算机科学与技术332.00223.0270.37 1393102876211601997马振威全国统考计算机科学与技术学院计算机科学与技术335.00218.9569.99 1394102876211601973董长春全国统考计算机科学与技术学院计算机科学与技术318.00227.5069.72 1395102876211605452陈苗芳全国统考计算机科学与技术学院计算机科学与技术351.00207.1169.62 1396102876211601974杜婧涵全国统考计算机科学与技术学院计算机科学与技术329.00216.6769.01 1397102876211602021杨阳全国统考计算机科学与技术学院计算机科学与技术330.00215.8068.97 1398102876211601998毛宇薇全国统考计算机科学与技术学院计算机科学与技术318.00221.5168.72第35页,共45页1399102876211603686李振宇全国统考计算机科学与技术学院计算机科学与技术356.00195.7068.22 1400102876211605914魏力全国统考计算机科学与技术学院计算机科学与技术339.00205.3568.12文章来源:文彦考研旗下南京航空航天大学考研网。
附:计算机学院2017年全日制硕士复试名单
2017年计算机学院全日制硕士研究生复试名单
一、各专业招生人数及推免生人数
注:软件工程(083500)专业17个招生指标中包含1个退役大学生士兵专项计划。
二、初试合格最低分数线
按照我校复试录取方案的规定,经各专业指导组讨论,确定我院相关专业第一志愿考生初试合格最低分数线为:
三、复试名单
按照差额比例,确定第一志愿考生复试名单如下(按初试成绩由高到低排列):
一、计算机科学与技术(081200)
二、软件工程(083500)
注:带*考生为退役大学生士兵专项计划,复试分数线按学校划线执行。
三、软件工程(085212)
计算机学院2017年3 月18日。
2025考研|华北电力大学(保定)计算机科学与技术综合考情分析:招生目录、录取情况、拟录名单、复试流程计算机科学与技术是一个计算机系统与网络兼顾的计算机学科宽口径专业,旨在培养具有良好的科学素养,具有自主学习意识和创新意识,科学型和工程型相结合的计算机专业高水平工程技术人才。
随着互联网的不断发展,计算机行业也变得越来越火热,计算机科学与技术专业成为了考研的热门专业。
对于准备报考计算机科学与技术专业研究生的学生来说,了解计算机科学与技术专业考研院校是十分必要的。
研晟考研将为大家整理了华北电力大学(保定)计算机科学与技术专业考情分析,一起来看一下吧!01.院校综合情况华北电力大学自1976年成立计算机专业,是国内较早开展计算机教学与科研的院校。
我校于1996年取得计算机应用技术硕士点。
自取得硕士学位授权点以来,特别是2000年成立计算机系以后,我校计算机学科发展较快。
2000年取得了计算机技术工程硕士点;2002年计算机应用技术取得了原国家电力公司批准的部级重点学科(2005年转评为河北省重点学科); 2003年取得了计算机软件与理论的硕士授权点;2006年取得了计算机科学与技术的一级学科硕士学位授予权。
02.招生目录03.录取情况汇总04.拟录取名单05.复试流程各个高校考研复试流程大同小异,一般包括笔试、面试、机试,笔试和面试涉及到英语。
具体以各院校的复试通知而定。
复试时间一般为两天,不同高校的复试比重有所不同,通常考研复试成绩占40%-50%。
根据我国教育部发布的《全国硕士研究生招生工作管理规定》可知,每年我国国内高校考研复试工作通常在录取当年3-4月底前完成。
每年考研复试的时间预计不会有太大变化,考研的复试流程各大高校也大同小异,时间一般为两天左右。
具体复试步骤如下1、笔试环节:笔试部分包括英语和专业课的考查。
其中英语笔试部分把包括英语听力和口语测试;关于专业课考试,有的学校规定了考试范围,考生可以在初试结束后尽快开始复习;对于没有给出具体考试范围的学校,同学们可以向同专业的师哥师姐询问,抓住考试重点。
2025考研|湘潭大学计算机科学与技术综合考情分析:招生目录、录取情况、拟录名单、复试流程计算机科学与技术是一个计算机系统与网络兼顾的计算机学科宽口径专业,旨在培养具有良好的科学素养,具有自主学习意识和创新意识,科学型和工程型相结合的计算机专业高水平工程技术人才。
随着互联网的不断发展,计算机行业也变得越来越火热,计算机科学与技术专业成为了考研的热门专业。
对于准备报考计算机科学与技术专业研究生的学生来说,了解计算机科学与技术专业考研院校是十分必要的。
研晟考研将为大家整理了湘潭大学计算机科学与技术专业考情分析,一起来看一下吧!01.院校综合情况湘潭大学计算机学院•网络空间安全学院的建设与发展可追溯到上世纪七十年代。
早在1976年,数学系开始招收计算机软件方向本科生,1979年开始招收“计算机科学的数学理论”方向研究生。
1982年设置计算机软件专业,1985年成立计算机系,1990年获批计算机软件与理论硕士学位授权点,1993年获批“计算机科学与应用”湖南省重点学科,1995年获批计算机应用技术硕士学位授权点。
2000年,学校合并计算机系和自电系成立信息工程学院。
2001年,获批“计算机软件与理论”湖南省“十五”重点学科。
2006年,获批“计算机科学与技术”湖南省“十一五”重点学科及计算机科学与技术一级学科硕士学位授权点。
2008年,与数学学院合建获批“智能计算与信息处理”教育部重点实验室。
2011年,获批“计算机科学与技术”和“信息与通信工程”两个湖南省“十二五”重点学科。
2016年,与衡阳师院共建获批“传统村镇文化数字化保护与创意”国家地方联合工程实验室。
2018年,获批“物联网与信息安全”湖南省重点实验室。
2019年,获批“智慧网络”湖南省国际科技合作基地。
02.招生目录03.录取情况汇总05.复试流程各个高校考研复试流程大同小异,一般包括笔试、面试、机试,笔试和面试涉及到英语。
具体以各院校的复试通知而定。
2015年北京理工大学计算机学院硕士学位研究生复试拟录取名单准考证号姓名录取专业100075000000422严西敏计算机科学与技术100075000004766李杨计算机科学与技术100075000000445张快计算机科学与技术100075000000369罗伟计算机科学与技术100075000000434韩学博计算机科学与技术100075000000417杨冰计算机科学与技术100075000000423钱钧计算机科学与技术100075000000375张露露计算机科学与技术100075000000399周盼计算机科学与技术100075000000398王旗林计算机科学与技术100075000000437果荣涛计算机科学与技术100075000004818杨亮计算机科学与技术100075000000387胡健计算机科学与技术100075000000364魏思杰计算机科学与技术100075000004846季鹏计算机科学与技术100075000000408王晶计算机科学与技术100075000004879陈帅计算机科学与技术100075000004890黄姗计算机科学与技术100075000004973罗佩计算机科学与技术100075000004877崔绿叶计算机科学与技术100075000000390覃黎飞计算机科学与技术100075000004786侯军计算机科学与技术100075000000450陈嘉玉计算机科学与技术100075000004873张铂计算机科学与技术100075000004888朱鹏飞计算机科学与技术100075000000428刘天计算机科学与技术100075000004975王晖计算机科学与技术100075000000435付升宇计算机科学与技术100075000004852郭媛计算机科学与技术100075000000453杨效淳计算机科学与技术100075000000433扶聪计算机科学与技术100075000004985欧阳童计算机科学与技术100075000004874刘琳计算机科学与技术100075000000412王子硕计算机科学与技术100075000004980张林计算机科学与技术100075000004938刘云洋计算机科学与技术100075000004747王丹计算机科学与技术100075000004920李超计算机科学与技术100075000000420潘能超计算机科学与技术100075000000426王恒怿计算机科学与技术100075000002453王东树计算机科学与技术100075000002455李凯霞计算机科学与技术100075000002446谌重喜计算机科学与技术100075000002451刘少儒计算机科学与技术100075000002457庞鹏飞计算机科学与技术100075000002454李卫计算机科学与技术100075000002447林仁俊计算机科学与技术100075000002456乔伟计算机科学与技术100075000002450张宇计算机科学与技术100075000001731张鹏计算机技术100075000001716刘通计算机技术100075000001750王璇计算机技术100075000008957孔德庆计算机技术100075000001752张辰蔚计算机技术100075000008851高海华计算机技术100075000008855周锐计算机技术100075000008963郝一静计算机技术100075000008924张朋帅计算机技术100075000001747王磊计算机技术100075000001749周星晨计算机技术100075000008912冯建计算机技术100075000001732张亚男计算机技术100075000001715王乐和计算机技术100075000001712马奥计算机技术100075000001740廖崇阳计算机技术100075000001756王策计算机技术100075000001744彭迪计算机技术100075000001736孙豪杰计算机技术100075000001719范晶计算机技术100075000001754成昱逸计算机技术100075000008934张敏华计算机技术100075000008838杨浩计算机技术100075000001707张祺旺计算机技术100075000008930代飞飞计算机技术100075000008840张星宇计算机技术100075000008852刘旭计算机技术100075000000456吴玥软件工程注意:邮件通知会在周一以后发至以上考生邮箱,请注意查收。