2015年山东投档分数线排序
- 格式:xls
- 大小:41.00 KB
- 文档页数:6
2015年山东高考分数线公布,本科一批,文科568分,理科562分;本科二批:文科510分,理科490分。
山东省2015年高考成绩分段表公布平行志愿录取位次优先(组图)6月24日下午,山东省教育招生考试院公布了2015年夏季高考成绩分段表,考生可以查到自己的分数在全省中所处的位次,而平行志愿的投档原则是“分数(位次)优先、遵循志愿”,所以一分一段表可以为考生报考学校提供参考。
记者发现,今年山东省高考理科最高分为708分,共有29人;文科最高分为671 分,共有10人。
根据分段表显示,文科568分及以上的考生人数为15411人,理科562分及以上的考生人数为69877人,那今年高考达到一本线的考生人数总共为85288人。
考生要善于利用分段表与往年历史资料进行对比分析。
分段表、招生计划、历年高校录取投档线、各批次录取最低控制分数线等资料,对进行综合分析都是非常有用的。
谣言:吃太咸了会得病?导语:“人体每日摄入食盐不应过多,否则易患多种疾病。
”这是真的吗?吃太咸了会得病?一、网友评论:1、网友:冰冰23 岁行政助理我就是一个”重口味“的人,但身体很健康啊!我就是一个特别爱吃咸的人,什么咸菜、咸烧饼都是我的最爱。
大家都说吃太咸对身体不好,可我一点没这么觉得。
前几天我还到医院去体检,各项指标都很正常。
吃咸不会得病的!2、网友:小帅34岁销售邻居家大爷常年吃太咸,结果得了心血管病。
邻居家有个大爷经常吃咸的东西,大家都劝他不要吃这么咸,可他就是不听。
后来他被检查出了心血管疾病,我想这和常年吃咸有很到关系。
世界卫生组织建议每人每天钠盐摄入量不超过5克二、专家解答:1、世界卫生组织建议每人每天钠盐摄入量不超过5克。
世界卫生组织(WHO)建议每人每天钠盐摄入量不超过5克,而我国现在每人每日食盐约12克、美国提倡的人均2.3克/天宽松了许多。
2、高盐饮食会导致高血压。
营养专家原表示,高盐饮食是高血压的三大原因之一,高盐饮食是我国高血压的最重要的危险因素。
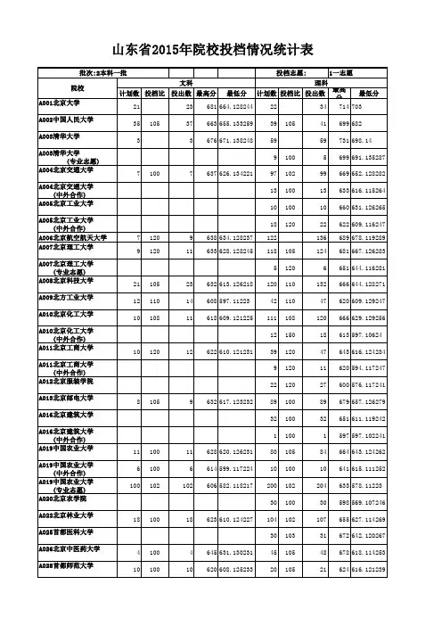
山东省2015年本科一批投档情况统计表批次:本科一批投档志愿: 1一志愿院校文科理科计划数投档比例投出数最高分最低分最低位次计划数投档比例投出数最高分最低分最低位次A001北京大学21 23 681 664 30 22 34 714 703 66A002中国人民大学35 105 37 663 655 104 39 105 41 699 682 664A003清华大学 3 3 676 671 9 59 59 731 698 126A003清华大学(专业志愿) 9 100 5 699 691 293A004北京交通大学7 100 7 637 626 1124 97 102 99 669 652 5063A004北京交通大学(中外合作) 13 100 13 633 616 20856A005北京工业大学10 100 10 660 631 12548A005北京工业大学(中外合作) 18 120 22 622 609 25416A006北京航空航天大学7 120 9 638 634 662 122 136 689 678 1025A007北京理工大学9 120 11 633 628 1012 118 105 124 681 667 2168A007北京理工大学(专业志愿) 5 120 6 651 644 7631A008北京科技大学21 105 23 632 613 2572 120 110 132 666 644 7437A009北方工业大学12 110 14 608 597 5682 42 110 47 620 609 25050A010北京化工大学10 108 11 618 609 3193 111 108 120 666 629 13471A010北京化工大学(中外合作) 12 150 18 613 597 34914A011北京工商大学10 120 12 622 610 3031 39 120 47 643 616 20549A011北京工商大学(中外合作) 9 120 11 620 594 37003A012北京服装学院22 120 27 600 576 54047A013北京邮电大学8 105 9 632 617 2094 89 100 89 679 657 3981A016北京建筑大学32 100 32 651 611 23905A016北京建筑大学(中外合作) 1 100 1 597 597 39361A019中国农业大学11 100 11 628 620 1716 80 105 84 664 643 7829A019中国农业大学(中外合作) 6 100 6 614 599 5165 10 100 10 641 615 21613A019中国农业大学(专业志愿) 100 102 102 606 582 9991 200 102 204 633 578 52297 A020北京农学院30 100 30 598 569 61850A022北京林业大学18 100 18 623 610 2993 104 102 107 655 627 14829A025首都医科大学30 103 31 672 642 8232A026北京中医药大学 4 100 4 645 631 824 45 105 48 678 618 19674A028首都师范大学10 100 10 620 608 3302 20 105 21 624 616 20639A030北京外国语大学15 105 16 649 638 510 13 105 14 678 657 4026A031北京第二外国语学院11 100 11 626 613 2609 17 100 17 651 628 14114A032北京语言大学12 100 12 629 616 2143 17 100 17 649 627 14623A033中国传媒大学15 105 16 647 630 877 25 105 27 674 642 8297A033中国传媒大学(中外合作) 13 100 13 616 598 5406 7 100 7 638 621 17685A034中央财经大学19 110 21 656 637 539 51 107 55 688 670 1785A034中央财经大学(中外合作) 10 100 10 671 660 3240A036对外经济贸易大学28 100 28 654 636 560 39 100 39 682 669 1830A038首都经济贸易大学 6 100 6 630 614 2495 20 105 21 657 636 10242A043北京体育大学14 105 15 616 603 4140 25 105 27 633 605 28151A052中央民族大学21 100 21 628 617 2116 37 100 37 648 635 11063A053中国政法大学43 100 43 652 634 643 40 100 40 680 656 4280A054华北电力大学(北京) 13 110 15 625 610 2970 76 110 84 675 638 9602A055南开大学36 100 36 657 638 498 86 110 95 686 670 1709A056天津大学11 105 12 634 629 997 153 110 169 682 660 3378A058天津工业大学173 105 182 618 581 49497A059中国民航大学9 105 10 607 596 5821 220 105 231 650 604 28966 A060天津理工大学86 105 91 618 605 28438A062天津医科大学36 105 38 667 639 9388A063天津中医药大学24 100 24 639 615 21432A068天津外国语大学33 105 35 629 602 4504 23 100 23 628 614 22079A070天津财经大学27 100 27 627 607 3523 39 105 41 654 631 12468A078华北水利水电大学25 100 25 597 576 54721A079华北电力大学(保定) 7 100 7 607 601 4709 75 110 83 663 628 13997A080河北工业大学10 100 10 600 595 5937 72 100 72 634 620 18173A080河北工业大学(专业志愿) 6 100 6 622 611 23658A089河北医科大学16 100 16 645 630 13238A107石家庄铁道大学11 100 11 581 576 12297 94 105 99 625 595 36012 A107石家庄铁道大学(专业志愿) 10 200 20 601 564 67375 A108山西大学14 110 16 596 581 10285 45 105 48 622 590 41070 A110中北大学13 105 14 579 573 13336 201 102 206 620 589 41734 A112太原理工大学18 105 19 602 590 7354 143 101 145 647 609 25097 A114山西医科大学 5 100 5 632 626 15211A125山西财经大学61 100 61 595 572 13551 50 100 50 612 584 46765 A126内蒙古大学51 105 54 603 582 10044 105 105 111 618 596 35661 A140辽宁大学23 100 23 618 603 4153 22 100 22 629 617 20414A140辽宁大学(专业志愿) 6 100 6 596 582 10062A141大连理工大学18 100 18 624 608 3252 188 110 207 672 648 6267 A141大连理工大学(专业志愿) 10 100 10 623 611 24026 A142沈阳工业大学42 100 42 610 589 42034A143沈阳航空航天大学86 100 86 645 591 39425A144沈阳理工大学40 110 44 597 580 50721A145东北大学19 110 21 618 609 3153 159 110 175 663 635 11078 A145东北大学(中外合作) 15 105 16 615 591 39758 A146辽宁科技大学30 105 32 593 579 51389A148辽宁石油化工大学58 100 58 598 576 54659A150大连交通大学52 100 52 610 583 47236A151大连海事大学29 105 31 630 587 8176 187 105 197 649 617 20053 A153沈阳建筑大学46 100 46 614 575 55222A157沈阳农业大学75 100 75 597 567 63458A159中国医科大学36 100 36 655 633 11598A161大连医科大学30 100 30 637 623 16598A162辽宁中医药大学10 100 10 597 583 47676A163沈阳药科大学50 105 53 632 607 27025A172大连外国语大学40 100 40 611 592 6754 20 100 20 627 606 27859A173东北财经大学17 105 18 626 610 2997 18 110 20 661 634 11180A173东北财经大学(专业志愿) 18 105 19 596 581 10373 17 105 18 609 588 42460 A183吉林大学54 100 54 633 614 2473 444 100 444 665 632 12155A183吉林大学(专业志愿) 27 100 27 647 602 30815A183吉林大学35 100 22 614 562 69822A184延边大学29 105 31 596 582 9918 58 110 64 617 603 29918A186长春理工大学8 100 8 580 574 12971 180 100 180 622 584 46188A186长春理工大学(民族预科) 2 100 2 100 1 564 564 67874A186长春理工大学(专业志愿) 2 100 2 580 573 57122A188东北电力大学32 107 35 581 573 13261 156 102 160 637 595 36546A188东北电力大学(中外合作) 30 100 30 616 591 39729A200东北师范大学16 105 17 619 605 3741 40 100 40 635 617 20259A200东北师范大学(专业志愿) 6 105 7 583 574 12832 25 105 27 612 584 45944 A212黑龙江大学20 100 20 589 578 11256 33 100 33 594 579 51489A213哈尔滨工业大学 6 100 6 620 612 2667 69 101 70 683 661 3205A214哈尔滨理工大学113 100 113 616 597 34881A216燕山大学26 100 26 605 587 8377 139 100 139 635 611 24235A217哈尔滨工程大学20 105 21 602 587 8288 217 105 228 650 622 17171A224东北农业大学23 100 23 599 585 8813 188 105 198 615 596 35065A225东北林业大学44 102 45 606 579 11064 345 102 352 621 602 30143A226哈尔滨医科大学 3 100 3 580 579 11148 41 105 44 652 613 22979A240哈尔滨商业大学40 100 40 601 578 11514 51 100 51 612 575 55347A246复旦大学12 13 662 656 98 8 8 699 692 249A247同济大学11 100 11 649 635 614 102 120 123 692 672 1514A248上海交通大学 6 100 6 655 649 194 43 47 699 691 291A251华东理工大学27 105 29 630 603 4268 152 110 168 663 638 9611A252上海理工大学19 105 20 609 597 5617 59 102 61 634 615 21531A252上海理工大学(中外合作) 4 100 4 598 590 7409 8 100 8 622 609 25528A254上海海事大学13 105 14 615 602 4442 14 105 15 637 617 20231A254上海海事大学(中外合作) 15 110 17 619 590 41048A255东华大学12 105 13 622 608 3373 82 105 87 644 631 12824A256上海电力学院8 100 8 589 582 10013 58 101 59 636 607 26724A264上海海洋大学40 105 42 614 593 38385A268上海中医药大学12 105 13 643 620 18315A268上海中医药大学(中外合作) 2 100 2 607 591 39605A269华东师范大学31 110 35 641 630 902 62 110 69 671 655 4515A269华东师范大学 2 100 2 588 586 44317A270上海师范大学43 102 44 609 597 5598 69 101 70 627 603 30009A271上海外国语大学8 110 9 637 631 833 14 110 16 670 650 5748A272上海财经大学8 110 9 651 643 314 40 120 48 687 672 1484A273上海对外经贸大学10 100 10 627 615 2331 20 100 20 656 629 13856A276华东政法大学26 102 27 636 619 1794 28 102 29 660 635 11077A280上海大学(中外合作) 38 105 40 637 620 18175A284南京大学26 105 28 657 649 197 54 100 54 690 682 699A285苏州大学19 100 19 625 616 2200 52 100 52 660 635 10773A285苏州大学(专业志愿) 7 120 9 606 587 43439A286东南大学13 120 16 636 626 1182 129 120 155 684 659 3445A287南京航空航天大学15 105 16 625 609 3114 137 103 142 670 642 8143A287南京航空航天大学(中外合作) 8 100 8 625 612 23074A288南京理工大学21 110 24 611 601 4634 142 110 157 655 636 10523A288南京理工大学(中外合作) 10 100 10 630 613 22990A289江苏科技大学11 100 11 607 584 9401 80 100 80 617 596 35651A289江苏科技大学(中外合作) 3 100 3 588 569 61546A290中国矿业大学43 102 44 612 601 4645 416 102 425 639 613 22791A290中国矿业大学(中外合作) 32 100 32 612 596 35062A291南京工业大学25 100 25 600 587 8398 90 100 90 632 610 24492A292常州大学9 100 9 586 580 10777 27 100 27 600 588 42797A293南京邮电大学24 100 24 609 595 6077 79 100 79 646 617 20127A294河海大学25 105 27 621 599 5143 156 183 663 622 17498A295江南大学55 101 56 621 600 4858 266 102 272 648 621 17990A295江南大学(中外合作) 2 100 2 610 604 4022 2 100 2 615 612 23388 A298南京林业大学10 110 11 594 586 8794 96 110 106 630 597 34150A298南京林业大学(中外合作) 4 250 10 590 576 54361A299江苏大学16 100 16 605 596 5905 115 105 121 627 607 26454A300南京信息工程大学18 105 19 598 584 9354 55 105 58 633 609 25697A300南京信息工程大学(中外合作) 2 100 2 580 579 10887 6 100 6 607 593 38422 A307南京农业大学43 102 44 620 605 3848 159 101 161 646 615 21587A312南京医科大学 3 100 3 648 647 6502A316中国药科大学 2 100 2 614 608 3273 85 102 87 651 631 12803A316中国药科大学(中外合作) 5 100 5 627 618 19713A319南京师范大学26 120 32 627 616 2236 58 120 70 646 620 18480A327南京财经大学28 100 28 614 602 4501 47 103 49 633 612 23353A332苏州科技学院32 100 32 600 582 48671A332苏州科技学院(中外合作) 2 100 2 591 576 53879A335浙江大学14 100 14 656 653 129 69 100 69 695 683 601A336杭州电子科技大学16 105 17 607 591 7047 98 105 103 628 613 22881A336杭州电子科技大学(中外合作) 2 100 2 603 603 30013A337浙江工业大学10 100 10 593 584 9213 41 100 41 626 612 23375A338浙江理工大学20 120 24 599 584 9327 80 120 96 618 606 27288A341浙江农林大学17 100 17 584 565 65710A343温州医科大学 5 100 5 628 624 16248A345浙江师范大学21 105 23 601 586 8498 28 105 30 605 589 41382A353浙江工商大学27 100 27 614 596 5714 57 100 57 636 612 23320A356中国计量学院15 100 15 592 580 10709 88 100 88 617 595 35876A357安徽大学45 100 45 621 601 4728 70 100 70 636 616 21007A358中国科学技术大学37 100 37 693 684 576A359合肥工业大学23 100 23 603 590 7317 216 105 227 640 617 19912A359合肥工业大学(中外合作) 6 100 6 613 599 33032A360安徽工业大学32 120 39 597 580 49932A361安徽理工大学10 100 10 590 579 50928A366安徽医科大学16 100 16 646 621 18089A378安徽财经大学31 100 31 605 586 8602 74 100 74 624 592 38678A384厦门大学25 100 25 653 639 471 114 100 114 682 658 3686A384厦门大学(中外合作) 10 100 10 617 607 3518 16 100 16 646 636 10544 A385华侨大学52 105 55 602 589 7655 106 103 110 632 603 29951A386福州大学9 100 9 617 604 4051 30 110 33 641 612 23232A386福州大学(专业志愿) 3 100 3 596 578 52124A389福建农林大学 3 100 3 581 579 10949 32 100 32 600 577 53783A390集美大学14 100 14 603 587 8380 21 100 21 605 593 37779A394福建师范大学10 100 10 591 580 10780 14 100 14 593 584 46384A395闽江学院 2 100 2 598 595 6140 8 100 8 604 596 35121A403南昌大学49 105 52 616 600 4835 146 105 154 638 617 20141A403南昌大学(中外合作) 60 120 72 618 590 41032A403南昌大学(民族预科) 2 100 2 100 2 589 588 42445A404华东交通大学 3 100 3 582 582 10056 20 110 22 607 595 35947A406南昌航空大学23 120 28 610 589 41477A407江西理工大学28 120 34 587 578 52433A414江西师范大学11 105 12 613 576 54769A421江西财经大学25 105 27 622 599 5172 41 105 44 637 608 26175A422山东大学400 101 404 652 619 1861 1460 101 1475 679 644 7628A423中国海洋大学167 105 176 637 618 1910 723 105 760 675 637 10067A423中国海洋大学(专业志愿) 24 100 24 611 586 8645 42 103 44 627 601 31491 A424山东科技大学560 105 589 611 578 11484 3507 105 3688 623 582 47862A424山东科技大学(农村专项) 163 105 169 590 562 69982A425中国石油大学(华东) 127 101 129 626 607 3530 985 101 995 655 619 18789A426青岛科技大学43 105 46 595 579 11180 2274 105 2395 621 581 49433A426青岛科技大学(中外合作) 161 105 171 616 570 60264A426青岛科技大学(农村专项) 92 105 81 594 562 69984A427济南大学267 105 282 599 575 12451 2460 105 2589 624 572 59031A427济南大学(农村专项) 10 105 11 586 569 14834 40 105 43 569 563 68814 A429青岛理工大学175 105 185 595 575 12521 1452 105 1525 630 580 49942A429青岛理工大学(农村专项) 64 105 49 591 562 69980A430山东建筑大学30 105 32 599 583 9703 1014 105 1065 660 573 57598A430山东建筑大学(农村专项) 26 105 26 576 562 69827A433山东理工大学2023 105 2131 614 569 61531A433山东理工大学(农村专项) 83 105 39 570 562 69739A434山东农业大学438 105 461 599 575 12683 3511 105 3697 631 567 63622A434山东农业大学(农村专项) 10 105 11 570 569 15142 122 105 21 566 562 69901 A438潍坊医学院80 105 84 602 573 57174A441山东中医药大学320 105 338 619 572 13701 825 105 867 637 577 53800A441山东中医药大学(农村专项) 23 105 25 582 566 65502A445山东师范大学1700 105 1787 617 582 10005 2785 105 2927 648 585 45858 A445山东师范大学(农村专项) 75 105 4 573 569 14912 25 105 27 588 563 68368 A446曲阜师范大学949 105 1000 597 572 13658 1382 105 1456 603 568 62515 A446曲阜师范大学(农村专项) 50 105 50 105 13 567 562 69903A451鲁东大学332 105 352 589 570 14318 253 105 268 592 567 64359A456山东财经大学1132 105 1189 624 580 10711 2726 105 2865 646 587 43510 A456山东财经大学(农村专项) 32 105 34 593 569 14775 78 105 82 597 565 66633 A459郑州大学58 105 61 626 601 4570 201 104 210 644 616 20865A463河南工业大学17 105 18 575 567 63934A475河南大学56 105 59 599 581 10406 59 105 62 618 594 37039A486武汉大学27 100 27 656 640 435 134 101 136 682 664 2654A486武汉大学(专业志愿) 2 4 604 570 14634 4 175 7 610 604 29256A486武汉大学 2 100 2 606 596 35481A487华中科技大学22 110 25 634 621 1584 132 110 146 684 655 4302A488武汉科技大学24 105 26 597 583 9548 65 120 78 620 604 28608A489长江大学19 120 23 610 582 48302A490武汉工程大学11 120 14 590 579 51021A491中国地质大学(武汉) 14 120 17 612 602 4397 145 110 160 646 612 23044A497武汉理工大学30 100 30 623 603 4292 334 102 341 653 624 16377A497武汉理工大学(专业志愿) 1 100 1 605 605 3801 8 120 10 619 611 23904A500湖北工业大学9 100 9 580 573 57951A504华中农业大学53 105 56 607 595 6125 202 120 243 637 609 25335A511华中师范大学34 120 41 632 612 2738 60 120 72 650 623 16524A512湖北大学 5 100 5 593 589 7804 20 100 20 610 601 31672A520中南财经政法大学63 100 63 642 618 1947 66 100 66 671 641 8625A530湘潭大学77 100 77 607 587 8169 88 100 88 616 601 31459A532湖南大学20 105 21 635 620 1753 172 105 181 660 635 12933A533中南大学28 105 30 631 617 2103 244 105 257 678 642 8137A534湖南科技大学9 110 10 583 575 12437 32 110 36 597 580 50547A536长沙理工大学13 105 14 583 576 12252 77 105 81 619 597 34641A537湖南农业大学9 100 9 580 576 12285 9 100 9 582 571 59583A538中南林业科技大学15 105 16 587 577 11677 53 102 55 600 580 50393A541湖南中医药大学23 110 26 618 598 34124A542湖南师范大学36 105 38 616 602 4426 44 105 47 624 613 22526A555南华大学10 100 10 615 598 33803A558中山大学42 100 42 648 633 704 122 100 122 683 658 3667A559暨南大学17 100 17 626 607 3512 32 100 32 656 633 11930A560汕头大学9 100 9 614 599 4992 12 100 12 639 608 26330A561华南理工大学10 105 11 633 615 2274 55 105 58 677 654 4649A564华南农业大学 1 100 1 586 586 8746 37 100 37 614 587 43693A566广东海洋大学11 120 14 583 564 67061A572广州中医药大学10 100 10 608 573 13213 15 100 15 640 613 22728A589海南大学59 107 64 608 588 8104 150 107 161 620 601 31566A590深圳大学9 100 9 616 603 4267 18 105 19 651 621 17571A593广西大学39 100 39 604 587 8342 85 100 85 616 602 30235A593广西大学(专业志愿) 2 100 2 585 581 10362 2 100 2 586 583 47543 A598广西医科大学 2 100 2 625 625 15737A610四川大学28 105 30 636 623 1455 166 105 175 682 644 7503A610四川大学(中外合作) 8 100 8 634 616 20501A611重庆大学17 100 17 622 616 2254 133 100 133 673 639 9056A613西南交通大学29 120 35 611 599 5069 268 112 301 668 623 16438A614电子科技大学10 105 11 608 603 4312 108 104 113 678 649 5928A615西南石油大学12 105 13 582 573 13522 118 100 99 627 562 69996A616成都理工大学 2 100 2 582 580 10700 91 102 93 615 590 40893A617重庆邮电大学 2 100 2 584 583 9754 19 105 20 615 610 24759A617重庆邮电大学(专业志愿) 10 100 10 603 589 41747A618重庆交通大学10 100 10 584 576 12307 39 105 41 609 592 38731A618重庆交通大学(中外合作) 8 100 8 587 582 48193A624中国民用航空飞行学院4 100 3 588 578 11216 57 100 57 615 587 43077A626四川农业大学100 108 108 614 592 38573A631重庆医科大学25 105 27 643 628 13944A633成都中医药大学 5 100 5 612 601 4729 3 100 3 621 609 25206A635西南大学13 105 14 611 603 4314 54 105 57 630 616 20780A635西南大学(中外合作) 2 105 3 605 601 4574A635西南大学(专业志愿) 27 105 29 620 597 34613A636四川师范大学10 100 10 582 578 11516 9 100 9 587 579 51358A650四川外国语大学11 110 13 603 595 6087 9 120 11 612 601 31262A651西南财经大学29 100 29 644 613 2539 46 102 47 673 654 4689A652西南政法大学48 105 51 625 605 3761 32 105 34 642 620 18589A652西南政法大学(中外合作) 6 100 6 613 601 4681 4 100 4 623 612 23476 A657贵州大学14 105 15 602 584 9208 22 105 24 617 609 25203A673云南大学45 100 45 618 596 5717 95 100 95 628 611 23931A674昆明理工大学 2 200 4 581 572 13540 70 105 74 608 578 52506A697西北大学24 105 26 633 608 3381 45 105 48 633 621 18092A698西安交通大学 4 100 4 634 623 1408 121 100 121 683 667 2190A699西北工业大学8 100 8 616 607 3553 136 102 139 671 645 7268A700西安理工大学 4 120 5 578 575 12517 71 120 86 616 603 30028A701西安电子科技大学15 105 16 604 595 5955 185 103 191 665 635 11016A701西安电子科技大学(中外合作) 40 100 40 626 603 29529A703西安建筑科技大学11 120 14 600 582 10039 44 125 55 666 583 47537A704西安科技大学8 110 9 580 575 12473 35 110 39 609 591 39671A704西安科技大学(专业志愿) 3 110 4 582 575 55736A705西安石油大学12 100 12 618 591 39969A708陕西科技大学8 100 8 583 577 11948 42 104 44 596 580 50147A710长安大学21 104 22 610 596 5908 207 103 214 637 618 19467A712西北农林科技大学23 100 23 606 599 5046 289 103 298 637 613 22784A712西北农林科技大学(中外合作) 8 105 9 602 590 41092A712西北农林科技大学 6 100 1 568 568 62348A726西北政法大学48 100 48 616 599 4987 19 105 20 624 611 24268A730兰州大学44 105 47 625 608 3348 116 105 122 651 630 13285A743青海大学30 100 30 601 575 12385 190 115 219 618 582 48553A749宁夏大学20 100 20 595 580 10742 36 100 36 612 596 35801A752宁夏医科大学20 100 20 616 600 32338A755新疆大学145 120 174 605 569 62189A759石河子大学43 110 48 591 571 14247 120 130 156 617 576 54044A760新疆医科大学 2 100 2 615 613 22551A792天津城建大学10 100 10 608 595 36109A856上海工程技术大学7 105 8 609 589 41340B047上海立信会计学院26 100 26 614 594 6454 44 100 44 627 610 24616B065青岛大学499 105 527 617 589 7666 2759 105 2903 653 598 33375B065青岛大学(农村专项) 27 105 29 582 569 14936 130 105 137 610 565 66244B066烟台大学36 105 38 609 585 8835 895 105 943 603 568 63306B075三峡大学48 105 51 609 584 46167B117扬州大学10 100 10 602 595 5999 30 100 30 613 601 31171B149中华女子学院 2 100 2 589 577 11894B232北京信息科技大学10 100 10 594 584 9392 60 100 60 624 602 30852B287南京审计学院21 100 21 630 609 3222 25 100 25 646 629 13768B413中国矿业大学(北京) 10 105 11 616 606 3601 100 107 107 635 616 20474B414中国石油大学(北京) 5 100 5 627 616 2189 81 105 86 652 624 16221B415中国地质大学(北京) 3 100 3 612 607 3430 84 102 86 647 622 17428B417北京联合大学8 120 10 592 580 10538 14 120 17 603 590 40512B482浙江财经大学21 100 21 597 588 8099 62 100 62 634 599 33264B646宁波大学17 100 17 602 593 6473 36 100 36 623 603 29843B646宁波大学(中外合作) 2 100 2 584 583 9572 3 100 3 596 590 40345B647浙江传媒学院 4 100 4 596 595 6163 3 100 3 597 594 36865B664西安邮电大学 6 100 6 584 580 10675 51 100 51 613 602 30730B664西安邮电大学(边防子女) 3 100 3 100B664西安邮电大学(中外合作) 5 100 5 587 582 47956B799重庆工商大学10 100 10 599 588 8063 12 100 12 613 598 33460B835上海政法学院32 105 34 605 591 7283 33 110 37 620 593 38287B845广东工业大学21 100 21 612 598 33447C121南方医科大学10 105 11 602 588 8146 35 108 38 663 595 36679E430中国科学院大学22 100 22 698 689 332F301宁波诺丁汉大学21 100 21 622 598 5303 47 102 48 644 612 23554F302西交利物浦大学40 105 42 623 588 8061 110 100 110 649 601 31161F401北京师范大学-香港浸会大学联合国际学院21 105 23 588 572 13726 19 105 20 623 588 42837F405温州肯恩大学10 100 10 610 579 11077 25 100 25 602 590 40536H001北京大学医学部20 100 20 700 676 1159H002中国人民大学(苏州校区)(中外合作) 5 105 6 636 626 1153 5 105 6 671 659 3456H004北京交通大学(威海校区)(中外合作) 30 100 30 609 591 39548H013北京邮电大学(宏福校区)(中外合作) 26 120 32 641 621 17611H141大连理工大学(盘锦校区) 79 100 79 636 617 20300H145东北大学秦皇岛分校11 100 11 605 599 5074 134 103 139 631 616 20868H213哈尔滨工业大学(威海) 16 100 16 609 601 4538 634 101 641 654 627 14612H246复旦大学医学院 3 3 697 691 301H248上海交通大学医学院8 11 695 685 525H335浙江大学医学院17 100 17 684 658 3660H359合肥工业大学(宣城校区) 88 103 91 626 613 22701H422山东大学威海分校317 100 317 634 611 2939 733 100 733 653 624 16219H422山东大学威海分校(中外合作) 17 100 17 616 606 3653 123 100 123 629 613 22366 H614电子科技大学(沙河校区) 10 110 11 648 633 11976H614电子科技大学(沙河校区)(中外合作) 10 120 12 637 618 19487H635西南大学(荣昌校区) 8 100 8 578 572 13652 34 105 36 589 564 67175Y001山东大学10 100 10 610 591 40205Y060山东大学威海分校(走读) 30 100 30 614 598 5346 70 100 70 637 617 20133Y061济南大学(走读) 32 105 36 581 570 14471 287 105 303 584 564 67360Y063山东财经大学(走读) 92 105 98 599 572 13848 138 105 147 612 582 48374。