不等式证明方法与技巧
- 格式:ppt
- 大小:487.00 KB
- 文档页数:33
高考数学中常规的不等式证明思路及技巧数学是高考中必不可少的一门科目,而数学中的不等式证明题目更是高考难点之一。
不等式证明题目考察的是学生的推理能力、逻辑思维能力和精准计算能力。
本文将介绍常见的不等式证明思路及技巧,以帮助高中生更好地应对高考数学中的不等式证明题目。
一、利用已知条件推出结论在不等式证明题目中,往往会给出一些已知条件,利用这些条件我们可以推出某个结论,从而间接证明不等式的正确性。
在做题时,我们应该把题目中的已知条件先作出标注,理清思路后再进行推导。
例如:给定实数 $x$,$y$,$z$,满足 $x^2+y^2+z^2=1$,求证:$x+y+z\leq \sqrt{3}$。
解析:首先,我们可以根据均值不等式得出 $x+y+z\leq\sqrt{3(x^2+y^2+z^2)}$。
接下来,根据题目中的条件$x^2+y^2+z^2=1$,我们可以将被开方量化简为 $\sqrt{3}$,从而得到 $x+y+z\leq \sqrt{3}$。
因此,我们成功地证明了该不等式的正确性。
二、借助已知不等式证明目标不等式借助已知不等式间接证明目标不等式的正确性是不等式证明中最常用的方法之一。
这种方法需要对不等式理解深入,需要对不等式的性质有全面认知。
可以通过加、减、乘、除等运算方式进行变形,或者通过引理证明的方式来证明目标不等式的正确性。
例如:已知 $ab+bc+ca=1$,证明$\dfrac{a}{1+b^2}+\dfrac{b}{1+c^2}+\dfrac{c}{1+a^2}\geq\dfrac{3\sqrt{3}}{4}$。
解析:首先,我们可以通过柯西不等式将原不等式中的多项式化成分数进行求解。
具体而言,我们有:$$\begin{aligned}&\dfrac{a}{1+b^2}+\dfrac{b}{1+c^2}+\dfrac{c}{1+a^2}\\ &\geq\dfrac{(a+b+c)^2}{a+ab^2+b+b^2c+c+c^2a+a^2}\\ &\geq\dfrac{3}{\dfrac{a}{c}+\dfrac{b}{a}+\dfrac{c}{b}+1}\\ &\geq\dfrac{3}{\sqrt[4]{\dfrac{abc}{abc}}+1}\\ &=\dfrac{3}{2}\end{aligned}$$由此,我们可以通过制定合适的策略,借助已知不等式成功证明了目标不等式的正确性。
不等式的证明技巧不等式是数学中常见的一种重要的数学关系。
证明一个不等式一般有以下几种常用的技巧:1.分析前提条件:首先,我们需要对不等式中的前提条件进行仔细的分析,了解这些条件约束下的数学性质。
在证明过程中,有时可以通过对前提条件的适当利用来简化证明过程,或者削弱不等式的限制,使得问题更容易处理。
2.求导和函数分析:对于一些关于函数的不等式,我们可以通过函数的导数来进行分析。
在求导的过程中,我们可以得到函数的最大值、最小值以及增减性质等重要的信息。
根据这些信息,我们可以判断函数的取值范围和不等式的成立条件。
3.数学归纳法:对于一些具有递推性质的不等式,可以使用数学归纳法进行证明。
首先,我们可以验证当n=1时不等式的成立,然后假设对于一些n成立,即不等式成立,再通过证明当n+1时也成立来得出结论。
4.分割法:对于一些含有多个变量的不等式,我们可以通过分割法将问题转化为多个单变量的不等式进行分析。
通过分析这些单变量的不等式,可以帮助我们更好地理解原始不等式的性质和结论。
5.套用已知不等式:在证明过程中,我们可以尝试将一些已知的不等式进行变形运用。
通过套用已知的不等式,可以简化证明过程,加快解题速度。
尤其是一些经典的不等式如均值不等式、柯西-施瓦茨不等式等,它们已经被广泛研究和应用,具有较强的普适性。
6.代入与化简:有时我们可以通过代入一些特殊的数值或者特定的变量取值,使得不等式变得更简单。
这样可以进一步分析不等式的性质,加深对问题本质的理解,从而得出证明结论。
7.反证法:给定一个不等式,我们假设其不成立,然后通过一系列逻辑推导和推理来推导出矛盾的结论。
这时我们可以得出原不等式的成立。
总之,证明不等式需要深入理解数学性质和灵活的数学思维。
结合前述的证明技巧,可以帮助我们更好地解决不等式问题。
最重要的是,需要积极锻炼数学证明的能力,通过练习和实践才能够提高。
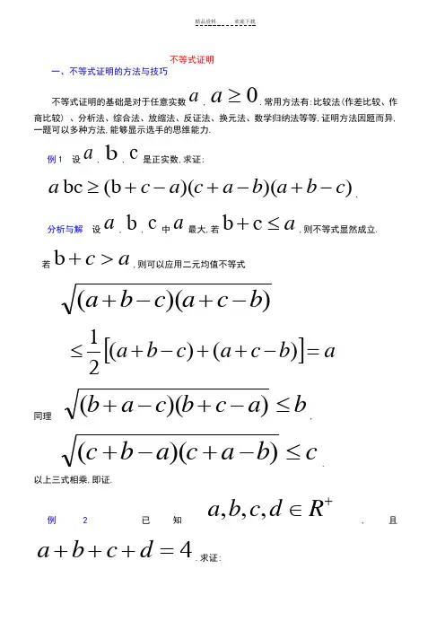
不等式证明一、不等式证明的方法与技巧 不等式证明的基础是对于任意实数a ,0≥a .常用方法有:比较法(作差比较、作商比较) 、分析法、综合法、放缩法、反证法、换元法、数学归纳法等等,证明方法因题而异,一题可以多种方法,能够显示选手的思维能力.例1 设a ,b ,c 是正实数,求证:))()(b (bc c b a b a c a c a -+-+-+≥.分析与解 设a ,b ,c 中a 最大,若a ≤+c b ,则不等式显然成立.若a c >+b ,则可以应用二元均值不等式))((b c a c b a -+-+[]ab c a c b a =-++-+≤)()(21同理ba cbc a b ≤-+-+))((,cb ac a b c ≤-+-+))((.以上三式相乘,即证.例2已知+∈Rd c b a ,,,,且4=+++d c b a .求证:42222≤+++bc d da c da b bc a .证明bc d da c da b bc a 2222+++)()(bd ac cd bd ac ab +++=))((bd ac cd ab ++=2)2(bd ac cd ab +++≤[]4))((2c bd a ++=4)2(41d c b a +++≤4=.例3 设a ,b ,c 为正实数,且1=++c b a ,证明:cabc ab bb ca a a bc c c ab ++≥++++++++1221221221222.证明 因1=++c b a 及abb a 222≥+,所以2)(ca bc ab ++abc ca b bc a a c c b b a 222222222222+++++=)(2)(22222c b a abc b a c b a +++++=abcb a abc 22222++≥.因此22)(221ca bc ab abc c ab ++≥++,同理 22)(221ca bc ab bca a bc ++≥++,22)(221ca bc ab cab b ca ++≥++,以上三式相加即证. 例4 若,0,0>>>z y x ,且1=xyz ,求证:21111111<+++++<zy x . 证明 任取0>a ,令by c ax b ==,,由1=xyz 得,,,caz b c y a b x ===从而有 z y x +++++111111ca cc b b b a a +++++=c b a c c b a b c b a a ++++++++>1=,又 c a c c b b b a a +++++2a =+++++++++++<cb c b c b a b a c b a c a ,所以 21111111<+++++<zy x . 例5 设cb a ,,是正实数,并且1=abc ,证明:1555555≤++++++++caa c cabc c b bc ab b a ab .分析与解 注意条件不等式的证明,充分利用abc=1,观察不等式左边各式特征,找到一个放缩式,由)(2255b a b a b a +-+))((3322≥--=b a b a有)(2255b a b a b a +≥+,所以cb a b a cb a ab b a ab 22552255++=++cb a b a b a cb a 222222)(++≤cb a c++=.以下略.例6 设c b a ,,是三角形三边,求证:)()()(222222b ac a c b c b a +++++abcc b a 2333+++>.证法一 作差变形,因式分解,注意到0>-+c b a ,>-+a c b ,>-+b c a .证法二 欲证不等式等价于acbc a bc c a b 22222222-++-+12222>-++abc b a⇔1cos cos cos >++C B A .这里C B A ,,分别为题设三角形三边 c b a ,,所对应的内角,应用三角变换,则可证.证法三 由B cC b a cos cos ⋅+⋅=,A c C a b cos cos ⋅+⋅=,于是)cos (cos cos )(B A c C b a b a +⋅++=+,即有 b a B A c C +++=)cos (cos cos 1,ba BA c C ++=-cos cos cos 1,1cos 1cos cos >+=-+cba C B A ,也即1cos cos cos >++C B A ,化归为解法二的最后不等式.C B A cos cos cos ++)cos(cos cos B A B A +-+=12cos 22cos 2cos 22++--+=B A B A B A)2cos 2(cos 2cos 21BA B A B A +--++= ⎥⎦⎤⎢⎣⎡--+=)2sin(2sin 22sin 21B A C12sin 2sin 2sin 41>+=CB A .例7 △ABC 的三边c b a ,,满足条件1=++c b a ,证明:3718)(5222≥+++abc c b a .证明 因为)(2)(2222ca bc ab c b a c b a ++-++=++)(21ca bc ab ++-=,所以,欲证的不等式等价于 274)(95≤-++abc ca bc ab .构造一个辅助函数)(c x b x a x x f ---=))(()(.一方面xca bc ab x c b a x x f )()()(23+++++-= abc-,所以)(95)95()95()95(23ca bc ab f +++-=abc-;另一方面 因c b a ,,是三角形的三条边长,所以21,,0<<c b a ,cb a ---95,95,95 均为正数,利用平均不等式, 有)95)(95)(95()95(c b a f ---=7298)95()95()95(2713=⎥⎦⎤⎢⎣⎡-+-+-≤c b a ,所以23)95)(()95(c b a ++-729895)(≤-+++abc ca bc ab ,即274)(95<-++abc ca bc ab .本题我们巧妙地构造了一个辅助函数)(x f ,通过从两个方面来考察)95(f ,使问题得到了证明.构造辅助函数是数学中经常使用的方法,主要是通过构造函数,把问题转化、进而对所作函数的性质进行研究,从而达到目的. 二、平均值不等式n i a i ,,2,1,0 =>, na a a A nn +++=21,n nn a a a G 21=,nn a a a n H 11121+++=,na a a Q nn 22221+++=,则nn n n Q A G H ≤≤≤.不等式中等号成立成立的条件是na a a === 21.例8 以知,,>c b a ,且1=++c b a ,求证:34113113113=+++++c b a .证明 应用 33222cb ac b a ++≤++.略. 例9 已知0,,>c b a ,且1111=+++++cc b b a a ,求证:12111222≥++cb a .证明 由已知,得 1111111111=+++++c b a ,令cz by ax 111,111,111+=+=+=,则1=++z y x ,由111-=x a ,111-=y b ,111-=zc ,得zz y y x x abc -⋅-⋅-=1111zyx y z x x z y +⋅+⋅+=32222=⋅⋅≥zxy y xz x yz ,从而32-≤abc ,得1231113222222≥≥++cb a cb a .例10 已知0,,>c b a ,且1=++c b a ,求证:427)1(1)1(1)1(1≥+++++a c c b b a .分析与解31===c b a 时,不等式中等号成立.此时49)311(311)1(1=+=+b a ,由二元均值不等式可得2916)1(81)1(1≥+++b a b a , 2916)1(81)1(1≥+++c b c b ,2916)1(81)1(1≥+++a c a c ,以上三式相加,整理可得)(1681227ab ca bc c b a +++++-≥左)1(1681227ab ca bc +++-=,而 31)(312=++≥++c b a ab ca bc ,所以427)311(1681227=+-≥左.例11 已知)2,0(πα∈N n ∈,求证: ααα12sin1)sin 1(sin )12(+-<-+n n n .分析与解 只须证αααnn n sin )12(sin 1sin 112+>--+.αααn22sin sin sin 1++++= 左,应用均值不等式即可证.例121>n ,Nn ∈,证明:nn n nn n n C C C 1212-⋅≥+++ .分析与解 由二项式定理知1221-=+++nn nn n C C C ,又12121222221210-=--=++++-n nn ,应用Gn A n ≥即可证.例13 若n S n 1211+++= ,证明:(1)n nS n n n +<+1)1(;(2)nn S n nn -<---11)1(.分析与解nn n n n n n S n n 1342321211++++=+++=+n n n 134232+⋅⋅⋅⋅>nnn n 111)(+=+=,以下略.三、柯西不等式 设n i R b R a i i ,,2,1,, =∈∈,则22211)(n n b a b a b a +++))((2222122221n n b b b a a a ++++++≤ ,等号当且仅当i i b a λ=,(λ为常数,n i ,,2,1 =)时成立.例14 设0,,>c b a 且 1=abc ,试证:23)(1)(1)(1333≥+++++b a c c a b c b a .证法一 应用柯西不等式推论由1=abc ,得 ac ab cb c b a +=+223)(1,从而原不等式等价于23222222≥+++++ab ca b a ba bc a c ac ab c b , )()()()(左cb ca ba bc ac ab ab ca bc +++++++≥2232)(3)(2132=⋅≥++=abc ab ca bc .证法二 (平均值不等式)由xy y x 4422≥+,有42y x y x -≥ )0(>y ,得)(13c b a +))(12ac ab a +=b c a bc a 11(41111)1(2+-≥+=. 同理)11(411)(13ca b a c b +-≥+,)11(411)(13ba cb ac +-≥+,三式相加得23123)111(213=≥++≥abc c b a 左.例15 已知N n ∈,且2≥n ,求证:22n 211-n 21413121174<-++-+-< .证明 先变形n 211-n 214131211-++-+-⎪⎭⎫ ⎝⎛+++-+++=n 2141212)n 21211( )n 1211()n 2131211(+++-+++= n 212111++++= n n ,所以不等式等价于22n 21211174<++++< n n .由柯西不等式推论有nn n n n n 2)2()1(n 2121112+++++>++++ 74132≥+=n,又由柯西不等式有2)n 212111(+++++ n n⎥⎦⎤⎢⎣⎡++++++++<222222)2(1)2(1)1(1)111(n n n ⎥⎦⎤⎢⎣⎡⋅-++++++<n n n n n n n 2)12(1)2)(1(1)1(121)211(=-=n n n ,22212111<+++++∴n n n ,故原不等式成立.例16 设n 是大于1的自然数,求证:3121221nC n C C n n nn n -<⋅++⋅+⋅ .证明 当n=2时,有22<, 当n=3时,有31<,所以下面证明中可设n ≥4. 联想到柯西不等式n nnnCn C C ⋅++⋅+⋅ 2121212121222)(21n nnn C C C n ++++++≤ )(2121)12(6)12)(1(-⋅⎥⎦⎤⎢⎣⎡++=n n n n .于是若能证得312)12(6)12)(1(nn n n n n ⋅<-⋅++- ①即可,而①式等价于nn n n n 23)12)(132(22⋅<-++ ②,因为n ≥4,故1323,13,32222++>+≥>n n n n n n n ,所以②成立,n=2,3时已检验原不等式成立. 所以对1>n 的自然数有3121221nC n C C n n nnn⋅<⋅++⋅+⋅- .例17 设n x x x ,,2 为正实数,证明:n x x x x x x x x nn <+++++++++22122212211111 .证明 由柯西不等式知∑∑==+++≤+++ni i ini iix x x n x x x 12221221221)1()1( ,而对+∈Nk ,均有22212)1(k kx x x +++)1)(1(2212121212k k k kx x x x x x +++++++≤--2212121211111kk k x x x x x ++++-+++=-- .于是∑∑=-=+++-+++≤+++n i ii ni i i x x x x n x x x 1221212121221)1111()1( 1111221<+++-=nx x . 所以,由①知nx x x ni ii∑=<+++12211 .例18 已知正实数c b a ,,满足1=++ca bc ab ,证明:2143131211222<+++++c b a .证明 设2tan ,2tan ,2tan Cc B b A a === ),,0(π<<C B A .由条件式1=++ca bc ab ,有12tan 2tan 2tan 2tan 2tan 2tan =⋅+⋅+⋅A C C B B Aπ=++C B A ,于是23cos cos cos ≤++C B A .利用柯西不等式有2cos32cos 22cos 131211222CB A c b a ++=+++++)2cos 2cos 2)(cos 321(222222C B A ++++≤)2cos cos cos 3(14CB A +++=2143)2233(14=+≤.因为第一个不等式等号成立的条件是32cos22cos 12cos C B A ==,第二个不等式等号成立的条件是3π===C B A ,所以两个等号不可能同时成立,故2143131211222<+++++c b a .例19 设+∈Rd c b a ,,,,证明:3232323232≥+++++++++++c b a d b a d c a d c b d c b a .证明∑∑∑∑++≥++=++=)32()()32(3222d c b a a d c b a ad c b a 左32424)(22=+==∑∑∑∑∑ababa aba ,所以,原不等式成立. 此题推广 设+∈R x i),,2,1(n i =,且i i n x x =+)1(i n i -≤≤),则12)(20121-≥-+++∑=-+++n x i n x x x n i n i i i i .说明:柯西不等式的灵活应用,不仅在于如何找出两组符合条件的数组,它们能符合公式中的项数、次数、系数和元素等对应的特征,更重要的是对于它的几种常见的变形的理解,以及它与其他不等式的结论的联合应用.四、综合例子例20 设+∈R z y x ,,,且1=++z y x ,证明:∑≥-81)1(24y y x .证明)1()1()1(242424x x zz z y y y x -+-+-=左 )1()1()1()(2222222x x z z y y z y x -+-+-++≥)()()3(33322z y x z y x z y x ++-++⎥⎦⎤⎢⎣⎡++≥)(191333z y x ++-=.又 zzy y x x z y x 444333++=++22222222)()(z y x zy x z y x ++=++++≥ 913)(22=⎥⎦⎤⎢⎣⎡++≥z y x .所以 8191191=-≥左边.原不等式得证. 例21 已知c b a ,,是正实数,求证:cb a b ac b a a c c b b a ++-+++≥++2222)(4.证明 由2222)(bab a b a +-=-,则b b a b a b a 22)(2-+-=, c c b c b c b 22)(2-+-=, aa c a c a c 22)(2-+-=, 原不等式等价于cb a b a a ac c c b b b a ++-≥-+-+-2222)(4)()()( ①.为证明不等式①,应用柯西不等式推论cb a b ac b a c cb a b ac b a c ++-+-+-≥++-+-+-≥22)()(左cb a b ac b a b a ++-=++-=22)(4)2(.例22 设0,,>c b a 且 8=abc ,证明:34)1)(1()1)(1()1)(1(332332332≥++++++++a c cc b bb a a①.证明 注意到22211)1)(1(12223+=+++-≤++-=+t t t t t t t t ,如果能证明不等式31)2)(2()2)(2()2)(2(222222222≥++++++++a c c c b b b a a ②成立,就可得到待证的不等式. 令2ax =,2by =,2cz =,且使64=xyz ,则不等式②变为31)2)(2()2)(2()2)(2(≥++++++++x z z z y y y x x ③,去分母,展开并化简,得72)()(2≥+++++zx yz xy z y x ④,应用A-G 不等式即可证④.例23 设c b a ,,为三角形的三边长,证明:cabc ab b c a c a c b a c b b c b a c b a a b c a ++≥-+-++-+-++-+-+)()()()()()(444.证明 设x b c a =-+,y c b a =-+,z a c b =-+,则2y x a +=,2z y b +=,2x z c +=,z y x c b a ++=++,于是,所求证的不等式左边等价于)(2)(2)(2444x z x z z y z y y x y x K +++++=,由柯西不等式推论得)(2)(22222222z y x z y x K ++++≥, cabc ab c b a z y x z y x K ++≥++=++≥++≥3)(3)(22222.例24 已知正实数dc b a ,,,满足1=+++d c b a ,证明:81)()(622223333++++≥+++d c b a d c b a .证法一 结论不等式等价于))((8)(4822223333d c b a d c b a d c b a ++++++≥+++3)(d c b a ++++.整理, 得)(393333d c b a +++)(dab cda bcd abc +++≥6[])()(1122222222da cd bc ab a d d c c b b a ++++++++)(2222b d a c d b c a ++++.由均值不等式,得abc c b a ≥++3333, bcddc b ≥++3333,acd d c a ≥++3333, abddb a ≥++3333.以上四式相加,得)(dab cda bcd abc d c b a +++≥+++6)(63333.于是, 只须证明)(333333d c b a +++[])()(1122222222da cd bc ab a d d c c b b a +++++++≥)(2222b d a c d b c a ++++,不妨设d c b a ≥≥≥,则由排序不等式即可证出,其中等号成立,当且仅当41====d c b a .证法二 根据幂平均不等式得6414433333=+++≥+++)()(d c b a d c b a则81)(23333≥+++d c b a ①由均值不等式得41)(4122222=+++≥+++d c b a d c b a ②由柯西不等式 得3333dc b a +++))((3333d c b a d c b a ++++++=22222)(d c b a +++≥.结合②)(412222d c b a +++≥ ③结合①,③,即得所证不等式. 证法三 显然)1,0(,,,∈d c b a ,下面证明8156)(23-≥-=x x x x f )10(<<x .经整理,知上式等价于01584823≥+--x x x )10(<<x .精品资料 欢迎下载而 0)13()14(15848223≥+-=+--x x x x x , 所以上式成立.于是81848)(5)()()()(=-+++≥+++d c b a d f c f b f a f . 结论得证.例25 m 个互不相同的正偶数和n 个互不相同的正奇数的总和为1987,对于所有的这样的m 与n,问3m+4n 的最大值是多少?证明你的结论.分析 先根据题设条件求得3m+4n 的一个上界,然后举例说明此上界可以达到,从而得到3m+4n 的最大值.解 设m a a a ,,2,1 是m 个互不相同的正偶数,n b b b ,,2,1 是互不相同的正奇数,使得 19872121=+++++++n m b b b a a a ① 这时分别有)1(24221+=+++≥+++m m m a a a m ② 221)12(31nn b b b n =-+++≥+++ ③ 由①,②,③得198722≤++n m m , 因而有 4119875)21(434)21(32222+≤++⋅+≤++n m n m , 即 7949254233≤++n m 由于n m 43+为整数,所以 22143≤+n m .另一方面,当m=27,n=35时198122=++n m m ,且22143=+n m ,故3m+4n 的最大值为221.。
不等式证明使用技巧不等式证明是高中数学中的一个重要内容,掌握不等式证明的技巧对于解题和提升数学水平都有很大的帮助。
下面我将介绍一些常用的不等式证明技巧。
一、代入法代入法是一种常用的证明不等式的方法。
我们可以先假设不等式成立,然后进行推导得出结论。
如果得到的结论与原不等式一致,就证明了不等式的成立。
例如,我们要证明对于任意正实数a、b和c,有$(a^2+b^2+c^2)(\frac{1}{a^2}+\frac{1}{b^2}+\frac{1}{c^2})\ge q 9$。
我们可以假设$a\leq b\leq c$,然后代入得到:$a^2+b^2+c^2=2a^2+(b^2-a^2+c^2)\geq 2a^2=2(a\cdot a)\geq2(ab)$,$\frac{1}{a^2}+\frac{1}{b^2}+\frac{1}{c^2}=\frac{1}{a^2}+\fra c{1}{b^2}+\frac{1}{c^2}\geq 3(\frac{1}{ab})=\frac{3}{ab}$。
然后,将两个不等式代入原不等式得到:$(2ab)(\frac{3}{ab})=6\geq 9$。
由此可见,原不等式成立。
二、放缩法放缩法是另一种常用的证明不等式的方法。
我们可以通过放缩不等式的各个部分来改变不等式的形式,从而得到更容易证明的形式。
例如,我们要证明对于任意正实数a、b和c,有$\frac{a}{b}+\frac{b}{c}+\frac{c}{a}\geq 3$。
我们可以通过放缩的方法,将不等式的各个部分放缩至一个更容易证明的形式。
我们注意到,$\frac{a}{b}+\frac{b}{c}+\frac{c}{a}=\frac{a^2}{ab}+\frac{b^2}{bc}+\frac{c^2}{ca}\geq \frac{(a+b+c)^2}{ab+bc+ca}$。
然后,我们可以通过平方展开和放缩的方法,得到:$\frac{(a+b+c)^2}{ab+bc+ca}\geq 3$。
不等式证明的基本方法与策略总结不等式证明在数学研究、数学建模以及各种工程问题中都有重要的应用价值。
同时,不等式证明也是各种数学竞赛中的重头戏。
本文将总结不等式证明的基本方法与策略,以便读者更好地理解不等式证明的思路和套路。
一、基本方法1. 套路化:对于一些经典不等式如柯西不等式等,可以先了解它的证明方法,将其归纳总结出来,然后通过类比去证明其他不等式。
2. 变形:对于一个不等式,可以通过一些代数变形,将其转换为其他形式,更容易被证明出来。
如将两个不等式的左侧相乘,右侧相乘,再相减,得到新的不等式。
或者将一个不等式的左右两侧都平方,再相减,也可以得到新的不等式。
3. 等价转换:将不等式转化为等价形式,然后再利用已有的定理进行证明。
如将一个不等式的等号两侧同时加上一个数,就可以转化为另一个不等式,然后再进行证明。
4. 递推:递推是一种常用的证明方法,它可以将一个复杂的不等式转化为一个比较简单的不等式,然后通过多次递推证明出原不等式。
递推的关键在于找到一个递推式和一个初始条件。
二、基本策略1. 二分法:二分法是一种常用的证明策略,它将一个不等式的左右两侧分别处理,然后比较两侧的大小关系得到证明的结论。
2. 置换对称法:置换对称法指的是将一组变量按照一定的置换方式进行对称化,然后证明得到不等式后,再通过恢复变量之间的关系,得到原始不等式。
3. 大杀器策略:大杀器策略指的是使用一些已知的定理和公式来证明不等式。
如柯西不等式、阿贝尔不等式、托肯不等式等,这些定理都是不等式证明中比较重要的工具。
4. 分段讨论法:分段讨论法是一种常用的证明策略,适用于证明一些具有特定性质的不等式。
它将不等式的变量进行合理的分段,然后分别证明每个分段中的不等式。
三、小结总的来说,不等式证明的基本方法和策略都比较常用和灵活,在实际应用中需要根据具体问题进行灵活运用。
同时,在证明不等式之前,需要对不等式的基本定义和定理进行系统化的学习和掌握,才能更好地利用这些理论工具进行证明。
不等式的证明最新考纲 通过一些简单问题了解证明不等式的基本方法:比较法、综合法、分析法.知 识 梳 理1.基本不等式定理1:如果a ,b ∈R,那么a 2+b 2≥2ab ,当且仅当a =b 时,等号成立. 定理2:如果a ,b >0,那么a +b 2≥a =b 时,等号成立,即两个正数的算术平均不小于(即大于或等于)它们的几何平均.定理3:如果a ,b ,c ∈R +,那么a +b +c 3≥a =b =c 时,等号成立.2.不等式的证明方法(1)比较法①作差法(a ,b ∈R):a -b >0⇔a >b ;a -b <0⇔a <b ;a -b =0⇔a =b . ②作商法(a >0,b >0):a b >1⇔a >b ;a b <1⇔a <b ;a b=1⇔a =b .(2)综合法与分析法①综合法:从已知条件出发,利用定义、公理、定理、性质等,经过一系列的推理、论证而得出命题成立.综合法又叫顺推证法或由因导果法.②分析法:从要证的结论出发,逐步寻求使它成立的充分条件,所需条件为已知条件或一个明显成立的事实(定义、公理或已证明的定理、性质等),从而得出要证的命题成立,这种证法称为分析法,即“执果索因”的证明方法.[微点提醒]1.作差比较法的实质是把两个数或式子的大小判断问题转化为一个数(或式子)与0的大小关系.2.用分析法证明数学问题时,要注意书写格式的规范性,常常用“要证(欲证)……”“即要证……”“就要证……”等分析到一个明显成立的结论,再说明所要证明的数学问题成立.3.利用基本不等式证明不等式或求最值时,要注意变形配凑常数.基础自测1.判断下列结论正误(在括号内打“√”或“×”)(1)比较法最终要判断式子的符号得出结论.( )(2)综合法是从原因推导到结果的思维方法,它是从已知条件出发,经过逐步推理,最后达到待证的结论.( )(3)分析法又叫逆推证法或执果索因法,是从待证结论出发,一步一步地寻求结论成立的必要条件,最后达到题设的已知条件或已被证明的事实.( )(4)使用反证法时,“反设”不能作为推理的条件应用.( )解析(1)作商比较法是商与1的大小比较.(3)分析法是从结论出发,寻找结论成立的充分条件.(4)应用反证法时,“反设”可以作为推理的条件应用.答案(1)×(2)√(3)×(4)×2.(选修4-5P23习题2.1T1改编)已知a≥b>0,M=2a3-b3,N=2ab2-a2b,则M,N的大小关系为________.解析2a3-b3-(2ab2-a2b)=2a(a2-b2)+b(a2-b2)=(a2-b2)(2a+b)=(a-b)(a+b)(2a+b).因为a≥b>0,所以a-b≥0,a+b>0,2a+b>0,从而(a-b)(a+b)(2a+b)≥0,故2a3-b3≥2ab2-a2b.答案M≥N3.(选修4-5P25T3改编)已知a,b,c∈(0,+∞),且a+b+c=1,则1a +1b+1c的最小值为________.解析把a+b+c=1代入1a +1b+1c得a+b+ca+a+b+cb+a+b+cc=3+⎝⎛⎭⎪⎫ba+ab+⎝ ⎛⎭⎪⎫c a +a c +⎝ ⎛⎭⎪⎫c b +b c ≥3+2+2+2=9, 当且仅当a =b =c =13时等号成立. 答案 94.(2019·聊城模拟)下列四个不等式:①log x 10+lg x ≥2(x >1);②|a -b |<|a |+|b |;③⎪⎪⎪⎪⎪⎪b a +a b ≥2(ab ≠0);④|x -1|+|x -2|≥1,其中恒成立的个数是( )A.1B.2C.3D.4解析 log x 10+lg x =1lg x+lg x ≥2(x >1),①正确; ab ≤0时,|a -b |=|a |+|b |,②不正确;因为ab ≠0,b a 与a b同号,所以⎪⎪⎪⎪⎪⎪b a +a b =⎪⎪⎪⎪⎪⎪b a +⎪⎪⎪⎪⎪⎪a b ≥2,③正确; 由|x -1|+|x -2|的几何意义知,|x -1|+|x -2|≥1恒成立,④也正确,综上①③④正确.答案 C5.(2017·全国Ⅱ卷)已知a >0,b >0,且a 3+b 3=2.证明:(1)(a +b )(a 5+b 5)≥4;(2)a +b ≤2.证明 (1)(a +b )(a 5+b 5)=a 6+ab 5+a 5b +b 6=(a 3+b 3)2-2a 3b 3+ab (a 4+b 4)=4+ab (a 4+b 4-2a 2b 2)=4+ab (a 2-b 2)2≥4.(2)(a+b)3=a3+3a2b+3ab2+b3=2+3ab(a+b)≤2+3(a+b)24(a+b)=2+3(a+b)34,所以(a+b)3≤8,因此a+b≤2.考点一比较法证明不等式【例1】设a,b是非负实数,求证:a2+b2≥ab(a+b). 证明因为a2+b2-ab(a+b)=(a2-a ab)+(b2-b ab)=a a(a-b)+b b(b-a)=(a-b)(a a-b b)=(a 12-b12)(a32-b32).因为a≥0,b≥0,所以不论a≥b≥0,还是0≤a≤b,都有a 12-b12与a32-b32同号,所以(a 12-b12)(a32-b32)≥0,所以a2+b2≥ab(a+b).规律方法比较法证明不等式的方法与步骤1.作差比较法:作差、变形、判号、下结论.2.作商比较法:作商、变形、判断、下结论.提醒(1)当被证的不等式两端是多项式、分式或对数式时,一般使用作差比较法.(2)当被证的不等式两边含有幂式或指数式或乘积式时,一般使用作商比较法.【训练1】(1)(2019·锦州模拟)设不等式|2x-1|<1的解集为M.①求集合M;②若a,b∈M,试比较ab+1与a+b的大小.(2)若a >b >1,证明:a +1a >b +1b. (1)解 ①由|2x -1|<1得-1<2x -1<1,解得0<x <1.所以M ={x |0<x <1}.②由①和a ,b ∈M 可知0<a <1,0<b <1,所以(ab +1)-(a +b )=(a -1)(b -1)>0.故ab +1>a +b .(2)证明 a +1a -⎝ ⎛⎭⎪⎫b +1b =a -b +b -a ab =(a -b )(ab -1)ab . 由a >b >1得ab >1,a -b >0,所以(a -b )(ab -1)ab>0. 即a +1a -⎝ ⎛⎭⎪⎫b +1b >0, 所以a +1a >b +1b. 考点二 综合法证明不等式【例2】 (1)已知a ,b ,c ∈R,且它们互不相等,求证a 4+b 4+c 4>a 2b 2+b 2c 2+c 2a 2;(2)已知x ,y ,z 均为正数,求证:x yz +y zx +z xy ≥1x +1y +1z. 证明 (1)∵a 4+b 4≥2a 2b 2,b 4+c 4≥2b 2c 2,a 4+c 4≥2a 2c 2,∴2(a 4+b 4+c 4)≥2(a 2b 2+b 2c 2+c 2a 2),即a 4+b 4+c 4≥a 2b 2+b 2c 2+c 2a 2.又∵a ,b ,c 互不相等,∴a 4+b 4+c 4>a 2b 2+b 2c 2+c 2a 2.(2)因为x ,y ,z 都为正数,所以x yz +y zx =1z ⎝ ⎛⎭⎪⎫x y +y x ≥2z①,同理可得yxz+zyx≥2x②,z xy +xyz≥2y③,当且仅当x=y=z时,以上三式等号都成立. 将上述三个不等式两边分别相加,并除以2,得xyz +yzx+zxy≥1x+1y+1z.规律方法 1.综合法证明不等式,要着力分析已知与求证之间,不等式的左右两端之间的差异与联系.合理进行转换,恰当选择已知不等式,这是证明的关键.2.在用综合法证明不等式时,不等式的性质和基本不等式是最常用的.在运用这些性质时,要注意性质成立的前提条件.【训练2】已知实数a,b,c满足a>0,b>0,c>0,且abc=1.(1)证明:(1+a)(1+b)(1+c)≥8;(2)证明:a+b+c≤1a+1b+1c.证明(1)1+a≥2a,1+b≥2b,1+c≥2c,相乘得:(1+a)(1+b)(1+c)≥8abc=8.(2)1a +1b+1c=ab+bc+ac,ab+bc≥2ab2c=2b,ab+ac≥2a2bc=2a,bc+ac≥2abc2=2c,相加得a+b+c≤1a +1b+1c.考点三分析法证明不等式【例3】已知函数f(x)=|x-1|.(1)解不等式f (x -1)+f (x +3)≥6;(2)若|a |<1,|b |<1,且a ≠0,求证:f (ab )>|a |f ⎝ ⎛⎭⎪⎫b a . (1)解 由题意,知原不等式等价为|x -2|+|x +2|≥6,令g (x )=|x -2|+|x +2|,则g (x )=⎩⎨⎧-2x ,x ≤-2,4,-2<x <2,2x ,x ≥2.当x ≤-2时,由-2x ≥6,得x ≤-3;当-2<x <2时,4≥6不成立,此时无解;当x ≥2时,由2x ≥6,得x ≥3.综上,不等式的解集是(-∞,-3]∪[3,+∞).(2)证明 要证f (ab )>|a |f ⎝ ⎛⎭⎪⎫b a , 只需证|ab -1|>|b -a |,只需证(ab -1)2>(b -a )2.而(ab -1)2-(b -a )2=a 2b 2-a 2-b 2+1=(a 2-1)(b 2-1)>0,从而原不等式成立. 规律方法 1.当要证的不等式较难发现条件和结论之间的关系时,可用分析法来寻找证明途径,使用分析法证明的关键是推理的每一步必须可逆.2.分析法证明的思路是“执果索因”,其框图表示为: Q ⇐P 1→P 1⇐P 2→P 2⇐P 3→…→得到一个明显成立的条件【训练3】 已知a >b >c ,且a +b +c =0,求证:b 2-ac <3a .证明 由a >b >c 且a +b +c =0,知a >0,c <0. 要证b 2-ac <3a ,只需证b 2-ac <3a 2.∵a +b +c =0,只需证b 2+a (a +b )<3a 2,只需证2a 2-ab -b 2>0,只需证(a -b )(2a +b )>0,只需证(a -b )(a -c )>0.∵a >b >c ,∴a -b >0,a -c >0,∴(a -b )(a -c )>0显然成立,故原不等式成立.[思维升华]证明不等式的方法和技巧:(1)如果已知条件与待证明的结论直接联系不明显,可考虑用分析法;如果待证的命题以“至少”“至多”等方式给出或否定性命题、唯一性命题,则考虑用反证法;如果待证不等式与自然数有关,则考虑用数学归纳法等.(2)在必要的情况下,可能还需要使用换元法、构造法等技巧简化对问题的表述和证明.尤其是对含绝对值不等式的解法或证明,其简化的根本思路是去绝对值号,转化为常见的不等式(组)求解.多以绝对值的几何意义或“找零点、分区间、逐个解、并起来”为简化策略,而绝对值三角不等式,往往作为不等式放缩的依据.[易错防范]在使用基本不等式时,等号成立的条件是一直要注意的事情,特别是连续使用时,要求分析每次使用时等号是否成立.基础巩固题组(建议用时:60分钟)1.设a ,b >0且a +b =1,求证:⎝⎛⎭⎪⎫a +1a 2+⎝ ⎛⎭⎪⎫b +1b 2≥252. 证明 因为(12+12)⎣⎢⎡⎦⎥⎤⎝⎛⎭⎪⎫a +1a 2+⎝ ⎛⎭⎪⎫b +1b 2≥⎣⎢⎡⎦⎥⎤⎝ ⎛⎭⎪⎫a +1a +⎝ ⎛⎭⎪⎫b +1b 2=⎣⎢⎡⎦⎥⎤1+⎝ ⎛⎭⎪⎫1a +1b 2=⎝ ⎛⎭⎪⎫1+1ab 2≥25⎝⎛⎭⎪⎫因为ab ≤14. 所以⎝ ⎛⎭⎪⎫a +1a 2+⎝ ⎛⎭⎪⎫b +1b 2≥252.2.设a >0,b >0,a +b =1,求证1a +1b +1ab≥8. 证明 ∵a >0,b >0,a +b =1,∴1=a +b ≥2ab , 即ab ≤12,∴1ab≥4, ∴1a +1b +1ab =(a +b )⎝ ⎛⎭⎪⎫1a +1b +1ab ≥2ab ·21ab +1ab ≥4+4=8. 当且仅当a =b =12时等号成立, ∴1a +1b +1ab≥8. 3.(2019·大理一模)已知函数f (x )=|x |+|x -3|.(1)解关于x 的不等式f (x )-5≥x .(2)设m ,n ∈{y |y =f (x )},试比较mn +4与2(m +n )的大小.解 (1)f (x )=|x |+|x -3|=⎩⎨⎧3-2x ,x <0,3,0≤x ≤3,2x -3,x >3.f (x )-5≥x ,即⎩⎨⎧x <0,3-2x ≥x +5或⎩⎨⎧0≤x ≤3,3≥x +5或⎩⎨⎧x >3,2x -3≥x +5,解得x ≤-23或x ∈∅或x ≥8. 所以不等式的解集为⎝⎛⎦⎥⎤-∞,-23∪[8,+∞). (2)由(1)易知f (x )≥3,所以m ≥3,n ≥3.由于2(m +n )-(mn +4)=2m -mn +2n -4=(m -2)(2-n ).且m ≥3,n ≥3,所以m -2>0,2-n <0,即(m -2)(2-n )<0,所以2(m +n )<mn +4.4.(2019·郴州质量检测)已知a ,b ,c 为正数,函数f (x )=|x +1|+|x -5|.(1)求不等式f (x )≤10的解集;(2)若f (x )的最小值为m ,且a +b +c =m ,求证:a 2+b 2+c 2≥12.(1)解 f (x )=|x +1|+|x -5|≤10等价于⎩⎨⎧x ≤-1,-(x +1)-(x -5)≤10或⎩⎨⎧-1<x <5,(x +1)-(x -5)≤10或⎩⎨⎧x ≥5,(x +1)+(x -5)≤10,解得-3≤x ≤-1或-1<x <5或5≤x ≤7,∴不等式f (x )≤10的解集为{x |-3≤x ≤7}.(2)证明 ∵f (x )=|x +1|+|x -5|≥|(x +1)-(x -5)|=6,∴m =6,即a +b +c =6.∵a 2+b 2≥2ab ,a 2+c 2≥2ac ,c 2+b 2≥2cb ,∴2(a 2+b 2+c 2)≥2(ab +ac +bc ),∴3(a 2+b 2+c 2)≥a 2+b 2+c 2+2ab +2ac +2bc =(a +b +c )2,∴a 2+b 2+c 2≥12.当且仅当a =b =c =2时等号成立.5.(2019·沈阳模拟)设a ,b ,c >0,且ab +bc +ca =1.求证:(1)a +b +c ≥3; (2)a bc +b ac +c ab ≥3(a +b +c ). 证明 (1)要证a +b +c ≥3,由于a ,b ,c >0,因此只需证明(a +b +c )2≥3.即证a 2+b 2+c 2+2(ab +bc +ca )≥3.而ab +bc +ca =1,故只需证明a 2+b 2+c 2+2(ab +bc +ca )≥3(ab +bc +ca ),即证a 2+b 2+c 2≥ab +bc +ca .而这可以由ab +bc +ca ≤a 2+b 22+b 2+c 22+c 2+a 22=a 2+b 2+c 2(当且仅当a =b =c时等号成立)证得.所以原不等式成立. (2)a bc +b ac +c ab =a +b +c abc. 在(1)中已证a +b +c ≥ 3.因此要证原不等式成立,只需证明1abc ≥a +b +c , 即证a bc +b ac +c ab ≤1,即证a bc +b ac +c ab ≤ab +bc +ca .而a bc =ab ·ac ≤ab +ac2, b ac ≤ab +bc2,c ab ≤bc +ac2,所以a bc +b ac +c ab ≤ab +bc +ca⎝ ⎛⎭⎪⎫当且仅当a =b =c =33时等号成立. 所以原不等式成立.6.(2019·百校联盟联考)已知函数f (x )=|2x -3|+|2x -1|的最小值为M .(1)若m ,n ∈[-M ,M ],求证:2|m +n |≤|4+mn |;(2)若a ,b ∈(0,+∞),a +2b =M ,求2a +1b的最小值. (1)证明 ∵f (x )=|2x -3|+|2x -1|≥|2x -3-(2x -1)|=2,∴M =2. 要证明2|m +n |≤|4+mn |,只需证明4(m +n )2≤(4+mn )2,∵4(m +n )2-(4+mn )2=4(m 2+2mn +n 2)-(16+8mn +m 2n 2)=(m 2-4)(4-n 2), ∵m ,n ∈[-2,2],∴m 2,n 2∈[0,4],∴(m 2-4)(4-n 2)≤0,∴4(m +n )2-(4+mn )2≤0,∴4(m +n )2≤(4+mn )2,可得2|m +n |≤|4+mn |.(2)解 由(1)得,a +2b =2,因为a ,b ∈(0,+∞),所以2a +1b =12⎝ ⎛⎭⎪⎫2a +1b (a +2b ) =12⎝ ⎛⎭⎪⎫2+2+a b +4b a ≥12⎝ ⎛⎭⎪⎫4+2a b ·4b a =4, 当且仅当a =1,b =12时,等号成立. 所以2a +1b的最小值为4. 能力提升题组(建议用时:20分钟)7.已知函数f (x )=x +1+|3-x |,x ≥-1.(1)求不等式f (x )≤6的解集;(2)若f (x )的最小值为n ,正数a ,b 满足2nab =a +2b ,求证:2a +b ≥98. (1)解 根据题意,若f (x )≤6,则有⎩⎨⎧x +1+3-x ≤6,-1≤x <3或⎩⎨⎧x +1+(x -3)≤6,x ≥3, 解得-1≤x ≤4,故原不等式的解集为{x |-1≤x ≤4}.(2)证明 函数f (x )=x +1+|3-x |=⎩⎨⎧4,-1≤x <3,2x -2,x ≥3,分析可得f (x )的最小值为4,即n =4, 则正数a ,b 满足8ab =a +2b ,即1b +2a=8, 又a >0,b >0,∴2a +b =18⎝ ⎛⎭⎪⎫1b +2a (2a +b )=18⎝ ⎛⎭⎪⎫2a b +2b a +5≥18⎝ ⎛⎭⎪⎫5+22a b ·2b a =98,当且仅当a =b =38时取等号. 原不等式得证.8.(2015·全国Ⅱ卷)设a ,b ,c ,d 均为正数,且a +b =c +d ,证明:(1)若ab >cd ,则a +b >c +d ;(2)a +b >c +d 是|a -b |<|c -d |的充要条件.证明 (1)∵a ,b ,c ,d 为正数,且a +b =c +d ,欲证a +b >c +d ,只需证明(a +b )2>(c +d )2, 也就是证明a +b +2ab >c +d +2cd ,只需证明ab >cd ,即证ab >cd .由于ab >cd ,因此a +b >c +d .(2)①若|a -b |<|c -d |,则(a -b )2<(c -d )2,即(a +b )2-4ab <(c +d )2-4cd .∵a +b =c +d ,所以ab >cd . 由(1)得a +b >c +d .②若a +b >c +d ,则(a +b )2>(c +d )2, ∴a +b +2ab >c +d +2cd .∵a +b =c +d ,所以ab >cd .于是(a -b )2=(a +b )2-4ab <(c +d )2-4cd =(c -d )2. 因此|a -b |<|c -d |.综上,a +b >c +d 是|a -b |<|c -d |的充要条件.。
不等式的证明方法与技巧东北育才学校 张雷 彭玲我们除了要熟悉平均值不等式、柯西不等式及排序不等式等基本不等式外,常用的不等式证明技巧更要熟练掌握.不等式的证明技巧很多,证明方法常常因题而异,其中不乏高难题目. 我们这里以常见题型和技巧为主,希望对大家学习不等式有所帮助.【范例选讲】一、取等匹配法对于一些非严格的对称(或轮换对称)不等式,我们可以根据待证不等式取等号的条件和结构特征,进行配项与凑项,造成利用平均值不等式之态势,应用这一技巧,我们可以证明很多甚至很难的不等式. 例1 若x 、y 、z +∈R 且x+y+z=1,求证:81)1()1()1(242424≥-+-+-x x zz z yy y x.分析 注意到:当31===z y x 时不等式取等号,此时:241)1()1()1(242424=-=-=-x x zz z yy y x.证明 因为:)1(321)1(16181)1(24y y y y y x++-++-x y y y y y x21)1(321)1(16181)1(4424=+⋅-⋅⋅-≥即:32332321)1(24--≥-y x y y x.同理:32332321)1(24--≥-z y z z y32332321)1(24--≥-x z x x z.相加得:)1()1()1(242424x x zz z yy y x-+-+-39)(323)(21-++-++≥x z y z y x .8132932321=--=原不等式得证二、发现局部不等式 例2.已知正实数,,a b c 满足1111a b c ++=,证明≥证明:先证明局部不等式1b≥+,因为222111)(11111(0bbbb a cb-+=--=+-=≥所以11a cb +成立,同理可得1a≥+,11b a ≥++111bac++≥++++左右两边乘以三、导数法例3、(2009年高中联赛二试)求证不等式:2111ln 12nk kn k=-<-≤+∑,n =1,2,….证明:首先证明一个不等式:⑴ln(1)1x x xx<+<+,0x >.事实上,令()ln(1)h x x x =-+,()ln(1)1x g x x x =+-+.则对0x >,1()101h x x'=->+,2211()01(1)(1)x g x xx x '=-=>+++.于是()(0)0h x h >=,()(0)0g x g >=.在⑴中取1x n=得⑵111ln 11n n n ⎛⎫<+< ⎪+⎝⎭.令21ln 1nn k k x nk ==-+∑,则112x =,121ln 111n n nx x n n -⎛⎫-=-+ ⎪+-⎝⎭211n n n<-+210(1)n n =-<+因此1112n n x x x -<<<= .又因为111l n (l n l n (1))(l n (1)l n (2))(l n 2l n 1)l n 1l n 1n k n nn n n k -=⎛⎫=--+---++-+=+⎪⎝⎭∑ . 从而12111ln 11nn n k k k x k k -==⎛⎫=-+ ⎪+⎝⎭∑∑12211ln 111n k k n k k n -=⎛⎫⎛⎫=-++ ⎪ ⎪++⎝⎭⎝⎭∑12111n k kk k -=⎛⎫>- ⎪+⎝⎭∑1211(1)n k k k -==-+∑111(1)n k k k -=-+∑≥111n=-+>-.四、换元法例4、(1998年韩国)已知,,x y z R +∈,且x y z x y ++=,求证:232+≤证明:令tan ,tan ,tan ,,,(0,)2x A y B z C A B C π===∈由条件x y z xyz ++=易得A B C π++= 问题转化成了3cos cos cos 2A B C ++≤,其中,,(0,)2A B C A B C ππ∈++=且有函数()cos f x x =在(0,)2π为凹函数可得cos cos cos 1cos332A B CA B C++++≤=所以3cos cos cos 2A B C ++≤,从而原不等式得证五、引进参数法 例5.(2001年IMO试题)已知,,a b c为正实数,证明:1++≥证明:引进参数λaa b cλλλλ≥++即2222()()(8)a b c a a a bcλλλλ++⋅≥⋅+,而22322424()()()()2()4()8()a b c ab c a b c abc a bc a bcλλλλλλλλλλλλλλλ++-=++++≥⋅=则3332224224()()8()(8())a b c a a bc a a bcλλλλλλλλλ++≥+=+取43λ=,则有4442223333()(8)a b c a a bc++≥+即43444333aa b c≥++43444333b ba b c≥++43444333c ca b c≥++三个式子相加即得六、构造对偶式例6.如果,,a b c R+∈,求证:3332222223a b c a b ca ab b b bc c c ca a++++≥++++++证明:记不等式左边为M,构造对偶式333222222b c aNa ab b b bc c c ca a=++++++++则0M N-=,即M N=又222222222222()()()a ab b b bc c c ca aM N a b b c c aa ab b b bc c c ca a-+-+-+ +=+++++++++++由基本不等式易得222213a ab ba ab b-+≥++,222213b bc cb bc c-+≥++,222213c ca ac ca a-+≥++所以2()3a b cM N+++≥,所以()3a b cM++≥七、和式的恒等变换例7.(1989年高中联赛二试)已知(1,2,,;2)i x R i n n ∈=≥ ,满足11||1,0nni ii i x x====∑∑求证:111||22ni i x in=≤-∑证明:令1(1,2,,)kk ii S x i n ===∑ ,,则0nS=有和式变换得1111111111()()11nn n i n k k i k k x S S S inkk kk --====⋅+-=-++∑∑∑对于11k n ≤≤-,由110nnik i i i k xS x ==+==+∑∑所以1n k i i k S x =+=-∑,所以1||||nk i i k S x =+=∑从而112||||||||1n nk k i i i k i S S x x =+==+≤=∑∑,所以1||2k S ≤所以1111111111111111|||()|||()()112122nn n n i k k i k k k x S S ikk kk kk n---=====-≤-≤-=-+++∑∑∑∑八、局部调整例8(40届IMO )设)2(≥n n 是一个固定的整数,确定最小的常数c ,使不等式41221)()(∑∑=≤<≤≤+ni i ji nj i j ix c x x x x对所有非负实数n x x x ,...,21都成立。
不等式证明方法大全
在数学研究中,证明不等式是一项重要的内容。
目前,关于证明不等式的方法可以分
为几类,下面将详细展开讨论:
一、绝对值的技巧:将不等式中的变量都化为绝对值,这样可以有效地转换原不等式。
二、代数变换法:通过恰当的代数变换,将不等式中变量交换,从而转化为更简单的
不等式。
三、数量不等式法:将相同的不等式进行变形,将其变换为数量不等式,然后继续解决,从而获得结论。
四、角度不等式法:如果不等式涉及到测量角度的变量,我们可以将其转换为角度不
等式,然后判断两个角度的大小关系,从而获得结论。
五、条件不等式法:将不等式的左右两侧都加上某个条件,将其变换为条件不等式,
然后根据条件判断两个式子大小关系。
六、单值不等式变形法:将不等式变为单值不等式,然后将单值不等式中的变量通过
某种方式改变,从而继续解决不等式本身,用这种方法可以得出不等式的正确性。
七、多元不等式的考虑:由于某些不等式涉及多个变量,因此需要考虑这些变量的关系,包括不等式的变换形式,和多个变量的联系在内的其他因素,这样才能正确地证明不
等式的正确性。
以上就是证明不等式的各种方法,正确运用上述方法,可以帮助我们轻松地证明定理,有助于提高科学研究的水平。
证明不等式的常用技巧证明方法有比较法、综合法、分析法、放缩法、数学归纳法、反证法、换元法、构造法等。
作差比较法:根据a-b>0↔a>b,欲证a>b,只需证a-b>0。
换元法:换元的目的就是减少不等式中变量的个数,以使问题化难为易,化繁为简。
1不等式证明方法比较法①作差比较法:根据a-b>0↔a>b,欲证a>b,只需证a-b>0;②作商比较法:根据a/b=1,当b>0时,得a>b;当b>0时,欲证a>b,只需证a/b>1;当b<0 时,得 a<b。
综合法由因导果。
证明不等式时,从已知的不等式及题设条件出发,运用不等式性质及适当变形推导出要证明的不等式. 合法又叫顺推证法或因导果法。
分析法执果索因。
证明不等式时,从待证命题出发,寻找使其成立的充分条件. 由于”分析法“证题书写不是太方便,所以有时我们可以利用分析法寻找证题的途径,然后用”综合法“进行表述。
放缩法将不等式一侧适当的放大或缩小以达到证题目的。
数学归纳法证明与自然数n有关的不等式时,可用数学归纳法证之。
用数学归纳法证明不等式,要注意两步一结论。
在证明第二步时,一般多用到比较法、放缩法和分析法。
反证法证明不等式时,首先假设要证明的命题的反面成立,把它作为条件和其他条件结合在一起,利用已知定义、定理、公理等基本原理逐步推证出一个与命题的条件或已证明的定理或公认的简单事实相矛盾的结论,以此说明原假设的结论不成立,从而肯定原命题的结论成立的方法称为反证法。
换元法换元的目的就是减少不等式中变量的个数,以使问题化难为易,化繁为简,常用的换元有三角换元和代数换元。
构造法通过构造函数、图形、方程、数列、向量等来证明不等式。
2基本不等式基本不等式是主要应用于求某些函数的最值及证明的不等式。
其表述为:两个正实数的算术平均数大于或等于它们的几何平均数。
在使用基本不等式时,要牢记“一正”“二定”“三相等”的七字真言。
高考数学中不等式的证明方法和技巧有哪些在高考数学中,不等式的证明是一个重要的考点,也是很多同学感到头疼的问题。
不等式的证明方法多种多样,需要我们灵活运用数学知识和思维方法。
下面,我们就来详细探讨一下高考数学中不等式的证明的一些常见方法和技巧。
一、比较法比较法是证明不等式最基本的方法之一,分为作差比较法和作商比较法。
作差比较法的基本步骤是:将两个式子作差,然后对差进行变形,判断差的正负性。
如果差大于零,则被减数大于减数;如果差小于零,则被减数小于减数。
例如,要证明 a > b ,我们可以计算 a b ,然后通过因式分解、配方等方法将其变形为易于判断正负的形式。
作商比较法适用于两个正数比较大小。
将两个正数作商,然后与 1比较大小。
如果商大于 1,则被除数大于除数;如果商小于 1,则被除数小于除数。
比如,要证明 a > b (a、b 均为正数),计算 a/b ,若 a/b > 1 ,则 a > b 。
二、综合法综合法是从已知条件出发,利用已知的定理、公式、性质等,经过逐步的逻辑推理,最后推导出所要证明的不等式。
例如,已知 a > 0 ,b > 0 ,且 a + b = 1 ,要证明 a^2 +b^2 ≥1/2 。
因为 a + b = 1 ,所以(a + b)^2 = 1 ,即 a^2 + 2ab + b^2 =1 。
又因为2ab ≤ a^2 + b^2 ,所以 a^2 + b^2 +2ab ≤ 2(a^2 + b^2) ,即1 ≤ 2(a^2 + b^2) ,从而得出 a^2 +b^2 ≥ 1/2 。
三、分析法分析法是从要证明的不等式出发,逐步寻求使不等式成立的充分条件,直到所需条件为已知条件或明显成立的事实。
比如,要证明√a +√b <√(a + b) (a > 0 ,b > 0 )。
先将不等式移项得到√a +√b √(a + b) < 0 ,然后对其进行分析,逐步转化为易于证明的形式。
分析法的书写格式通常是“要证……,只需证……”。
不等式证明题的命题形式多样,证明不等式的方法也很多,如综合法、分析法、反证法、放缩法、构造法等.本文主要介绍一下综合法、分析法、反证法的应用技巧.一、综合法用综合法证明不等式,需先根据题目中的已知信息,以及已知的事实、结论、性质、定理等,一步步推导,直到推导出需要证明的式子为止.因而综合法就是由“因”到“果”的推导过程.每一步的推导过程一定要符合数学逻辑.在证明不等式时,可以从左往右推导,也可以从右往左推导.例1.若a,b,c是不完全相等的正数,求证:ln a+b2+ln b+c2+ln c+a2>ln a+ln b+ln c.证明:由于a,b,c都是正数,所以a+b2≥ab>0,b+c2≥bc>0,a+c2≥ac>0,又因为a,b,c是不完全相等的正数,如果这三个不等式都成立,就取不到等号,因此a+b2·b+c2·c+a2>ab·bc·ca=abc,在上式的两边取对数得:ln(a+b2·b+c2·c+a2)>ln(abc),即:lna+b2+ln b+c2+ln c+a2>ln a+ln b+ln c.解答本题主要运用基本不等式a+b2≥ab;然后根据不等式的可乘性,通过取对数,将不等式左边的式子进行化简.在推导不等式的过程中,经常需要用到这几个不等式:a2+b2≥2ab,a+b2≥ab(当且仅当a=b时取等号).二、分析法用分析法解题的思路和综合法相反,用分析法证明不等式,需要从要证明的不等式出发,然后分析这个不等式成立的充分条件是什么,一步一步递推,证明不等式成立的充分条件符合题中给出的信息,或者符合已知的数学结论.一般来说,分析法常用于证明较复杂的不等式问题.若由不等式一边的式子很难推导出另一边的式子,就可以采用分析法进行证明,通过分析、推理,一步步简化不等式,最终得到一个比较简便的等价不等式.例2.设a>b>0,求证:(a-b)28a<a+b2-ab<(a-b)28b.证明:要证:(a-b)28a a+b2ab(a-b)28b,即证:(a+b)28a<(a-b)22<(a-b)28b,由于a>b>0,所以a≠b,即证:(a+b)24a<1<(a+b)24b,<1<1<,根据a>b>0,可知该不等式成立,于是得证:(a+b)28a<a+b2-ab<(a-b)28b.这个不等式较为复杂,我们很难从不等式左边的式子推导出右边的式子,同样也很难反向推导出结论,但是可以用分析法,将不等式一步步简化,先将中间项合并,再将其化为1,然后通过恒等变换,化简即可.三、反证法反证法是解答证明题的一个重要手段.一般地,当题目中出现“至少”“不存在”“至多”等字眼时,都可以考虑使用反证法进行证明.用反证法证明不等式,要首先假设命题不成立;然后结合题中已知的信息和已有的数学知识,得到存在矛盾的结论,那就说明假设的命题不成立,这样就可以证明不等式成立.例3.已知a>0,b>0,且a+b>2,求证:1+b a,1+a b中至少有一个小于2.证明:假设1+b a,1+a b都大于2,因为a>0,b>0,则1+b≥2a,1+a≥2b,将这两个式子相加得:2+a+b≥2a+2b,化简得:a+b≤2,与题目中的a+b>2相矛盾,因此,1+b a,1+a b中至少有一个小于2.由题目中出现了“至少”的字眼,所以考虑使用反证法进行证明.在提出假设命题时,要注意命题的反面情况,如“1+b a、1+a b至少有一个小于2”的反面情况是“1+b a、1+a b都大于2”.熟练掌握综合法、分析法、反证法的适用情形、特点,以及解题的步骤,对解题有很大的帮助.同学们在日常学习中,要学会积累解题技巧和规律,以提升解题的效率.(作者单位:江西省龙南中学)赖明辉备考指南59。
不等式的推导和证明方法不等式是数学中不可或缺的一个概念,它用于表示数值之间的关系。
不等式的形式可以很简单,例如$x>2$,也可以非常复杂,例如 $\sqrt{x^2+y^2}>\frac{x+y}{2}$。
在解决各类数学问题时,推导和证明不等式的方法是非常重要的一步。
本文将介绍一些常见的不等式的推导和证明方法。
一、数学归纳法数学归纳法是一种证明数学命题的通用方法。
若要证明某个命题对于自然数 $n$ 成立,则需要证明该命题在 $n=1$ 时成立,并证明若该命题在 $n=k$ 时成立,则该命题在 $n=k+1$ 时也成立。
不等式的证明中,归纳法常常被用于证明柯西不等式、阿贝尔不等式等一些数列不等式。
例如,考虑柯西不等式:$(a_1^2+a_2^2+\cdots+a_n^2)(b_1^2+b_2^2+\cdots+b_n^2)\geq(a_1b _1+a_2b_2+\cdots+a_nb_n)^2$。
对于 $n=1$,该不等式显然成立。
假设对于 $n=k$ 时该不等式成立,即$$(a_1^2+a_2^2+\cdots+a_k^2)(b_1^2+b_2^2+\cdots+b_k^2)\geq(a_1b_1+a_2b_2+\cdots+a_kb_k)^2$$现在考虑 $n=k+1$ 时该不等式是否成立。
根据柯西不等式,有\begin{align*}&(a_1^2+a_2^2+\cdots+a_{k+1}^2)(b_1^2+b_2^2+\cdots+b_{k+1 }^2)\\=&[(a_1^2+a_2^2+\cdots+a_k^2)+a_{k+1}^2][(b_1^2+b_2^2+\cd ots+b_k^2)+b_{k+1}^2]\\\geq&(a_1b_1+a_2b_2+\cdots+a_kb_k+a_{k+1}b_{k+1})^2\end{align*}因此,该命题对于 $n=k+1$ 成立,由数学归纳法可知对于所有$n\in\mathbb{N}$,柯西不等式成立。
不等式的数学运算法则与证明技巧不等式在数学中扮演着重要的角色,它们广泛应用于各个领域,如代数、几何、概率等。
了解不等式的数学运算法则和证明技巧,对于解决问题和推导结论具有重要意义。
本文将介绍一些常见的不等式运算法则和证明技巧,帮助读者更好地理解和应用不等式。
一、不等式的基本运算法则1. 加法和减法法则:对于任意实数a、b和c,有以下运算法则:a > b,则a + c >b + ca > b,则a - c >b - c2. 乘法法则:对于任意实数a、b和c,有以下运算法则:a > b,且c > 0,则ac > bca > b,且c < 0,则ac < bc3. 除法法则:对于任意实数a、b和c,有以下运算法则:a > b,且c > 0,则a/c > b/ca > b,且c < 0,则a/c < b/c4. 幂法则:对于任意正实数a、b和c,有以下运算法则:a > b,则a^c > b^c这些基本的不等式运算法则可以帮助我们进行不等式的简化和变形,从而更好地理解和解决问题。
二、常见的不等式证明技巧1. 数学归纳法:数学归纳法是一种常用的证明技巧,可以用来证明一类不等式的成立。
它包括两个步骤:基础步骤和归纳步骤。
首先证明当n取某个特定值时不等式成立,然后假设当n=k时不等式成立,再证明当n=k+1时不等式也成立,由此可以得出当n为任意正整数时不等式成立。
2. 反证法:反证法是一种常用的证明技巧,可以用来证明某个不等式的否定命题不成立。
假设不等式的否定命题成立,然后通过推理和推导得出矛盾,从而证明原不等式成立。
3. 极值法:极值法是一种常用的证明技巧,可以用来证明某个不等式的最大或最小值。
通过求导或其他方法找到函数的极值点,然后证明在极值点附近不等式成立,从而得出结论。
4. 增减函数法:增减函数法是一种常用的证明技巧,可以用来证明某个不等式随变量的增大或减小而成立。
不等式证明的方法与技巧陈怡不等式证明是不等式中的基本内容之一,也是其重难点所在。
许多学生遇到不等式证明题不知所措,无从下手。
因此,有必要从解题思路入手,总结一些不等式证明的方法、技巧以及在某些方法技巧中所体现的数学思想,使学生们在解题时有的放矢。
除常见的综合法、分析法、反证法、放缩法及利用公式证明不等式外,本文另总结、归纳常见不等式证明方法技巧如下:一、利用数列的单调性证不等式法:我们常常用数学归纳证明含自然数n的不等式(这里不举例说明),然而,换一种角度,用数列的单调证性证此类不等式,更是简单明晰。
例1.求证明:1+++…+>(n>1)证明:令:a n=1+++…+-=11+++…+-则a n-1∴a n-a n=+--1=>0∴a n>a n-1即数列{a n}递增∴1+++…+>(n>1)例2.求证:1+++…+<2-(n≥2)证明:令a n=1+++…+-2+=1+++…++-2+(n≥)则a n-1∴a n-a n=+--1=-<0+<…<a2=-<0∴a n<a n-1∴1+++…+<2-仔细分析上面两个例题,我们发现这里运用了转化的思想,其实是把难解的关于自然数n的不等式证明问题,转化成了熟悉易解的求某数列的单调性问题。
将未知归为已知,从而最终求得原问题的解决。
下再举一例说明不等式证明中的转化思想。
例3.a、b、c∈R+,求证:++≥(a+b+c)(分析:由左边的形式联想到复数的模,引入复数,不等式证明问题转化为复数问题。
)证明:令Z1=a+bi,Z2=b+ci,Z3=c+ai则Z1+Z2+Z3=(a+b+c)+(a+b+c)I|Z1|+|Z2|+|Z3|≥|Z1+Z2+Z3=|∴++≥(a+b+c)二、不等量代换法此法虽是“代换”,但不同于换元法。
一般用于证明条件不等式,如能先求出一个适当的不等式进行代换,往往能简化证明过程。
但在代换时,必须注意保持非严格不等式等号成立的条件的一致性。