北师大版初中数学八年级《实数》章节复习题
- 格式:doc
- 大小:552.50 KB
- 文档页数:9
第二章实数常考题型总结(全)一.选择题(共23小题)1.在下列实数3.1415926,,,,,中无理数的个数有()A.2个B.3个C.4个D.5个2.下列计算正确的是()A.﹣=﹣4B.=﹣3C.D.=﹣4 3.如图,OA=OB,BD=1,则数轴上点A所表示的数为()A.B.C.D.4.若﹣,且x是整数,则满足条件的x值有()A.5个B.4个C.3个D.2个5.有一个数值转换器,原理如下:当输入的x=81时,输出的y等于()A.2B.3C.D.6.下列说法错误的是()A.﹣8的立方根是﹣2B.3的平方根是±C.﹣的相反数是D.|1﹣|=1﹣7.下列说法中正确的是()A.的平方根是±9B.﹣5的立方根是﹣C.的平方根是D.﹣9没有立方根8.如图,在数轴上表示的点在哪两个字母之间()A.B与C B.A与B C.A与C D.C与D9.下列二次根式是最简二次根式的是()A.B.C.D.10.如果一个实数的平方根与它的立方根相等,则这个数是()A.0B.正实数C.0和1D.111.要使二次根式有意义,字母x必须满足的条件是()A.x≤2B.x<2C.x≤﹣2D.x<﹣212.已知|a|=5,=7,且|a+b|=a+b,则a﹣b的值为()A.2或12B.2或﹣12C.﹣2或12D.﹣2或﹣12 13.a、b在数轴上的位置如图所示,那么化简的结果是()A.2a﹣b B.b C.﹣b D.﹣2a+b14.下列四个数中,大于1而又小于2的无理数是()A.B.C.D.15.若直角三角形的两边长分别为a,b,且满足a2﹣6a+9+|b﹣4|=0,则该直角三角形的第三边长的平方为()A.25B.7C.25或7D.25或1616.化简二次根式(a<0)得()A.B.﹣C.D.﹣17.的整数部分是a,小数部分是b,a﹣b的小数部分是()A.7﹣B.8﹣C.﹣7D.﹣818.的相反数是()A.B.C.D.19.下列各数中,与﹣3的乘积是有理数的是()A.+3B.﹣3C.3﹣D.20.估算的值应在()A.6.0~6.5之间B.6.5~7.0之间C.7.0~7.5之间D.7.5~8.0之间21.如图1是我国古代著名的“赵爽弦图”的示意图,它是由四个全等的直角三角形围成的.若AC=6,BC=5,将四个直角三角形中边长为6的直角边分别向外延长一倍,得到图2所示的“数学风车”,则这个风车的外围周长是()A.72B.52C.80D.7622.1876年,美国总统伽菲尔德利用如图所示的方法验证了勾股定理,其中两个全等的直角三角形的边AE,EB在一条直线上,证明中用到的面积相等关系是()A.S△EDA=S△CEBB.S△EDA+S△CDE+S△CEB=S四边形ABCDC.S△EDA+S△CEB=S△CDED.S四边形AECD=S四边形DEBC23.意大利文艺复兴时期的著名画家达•芬奇利用两张一样的纸片拼出不一样的“空洞“,从而巧妙的证明了勾股定理.小明用两张全等的纸片①和②拼成如图1所示的图形,中间的六边形ABCDEF由两个正方形和两个全等的直角三角形组成.已知六边形ABCDEF 的面积为28,S正方形ABGF:S正方形CDEG=4:1.小明将纸片②翻转后拼成如图2所示的图形,其中∠B'A′F′=90°,则四边形B′C′E′F′的面积为()A.16B.20C.22D.24二.填空题(共22小题)24.请写出一个大于且小于的整数:.25.计算:=.26.请举例说明:“存在两个不同的无理数,它们的积是整数”.举例如下:.27.计算:=.28.化简:﹣=.29.已知432=1849,442=1936,452=2025,462=2116.若n为整数且n<<n+1,则n的值是.30.(﹣2)2的算术平方根是.31.若x、y为实数,且满足|2x+3|+=0,则xy的立方根为.32.||=.33.比较大小:﹣﹣4.34.估计与0.5的大小关系是:0.5.(填“>”、“=”、“<”)35.9的算术平方根是.36.的算术平方根是,的立方根是,﹣2绝对值是,平方根是.37.在如图所示的数轴上,点B与点C关于A对称,A、B两点对应的实数分别是和﹣1,则点C对应的实数为.38.如图所示,把边长为1的正方形放在数轴上,以数1表示的点为圆心,正方形的对角线长为半径作弧,交数轴于点A,则点A表示的数是.39.已知x,y为实数,且,则=.40.比较大小:1(填“>”、“<”或“=”).41.实数a在数轴上的位置如图所示,则化简后.42.比较大小:.43.的平方根为.44.一个等腰直角三角形三角板沿着数轴正方向向前滚动,起始位置如图,顶点C和A在数轴上的位置表示的实数为﹣1和1.那么当顶点C下一次落在数轴上时,所在的位置表示的实数是.45.如果a是的小数部分,b是的小数部分,则的值是.三.解答题(共15小题)46.计算:+(﹣2)2﹣÷.47.计算:(﹣)×.48.计算:(1)2﹣+3;(2)(﹣)(+)﹣(﹣1)249.计算:(1)(2)50.计算题:(1)﹣(﹣)2﹣|﹣|;(2)(﹣2)×﹣651.已知10+=x+y,其中x是整数,且0<y<1,求x﹣y+的算术平方根.52.(1)请在数轴上用尺规作图作出﹣的对应的点(要求保留作图痕迹,不写作法)(2)这种研究和解决问题的方式,体现了的数学思想方法.(将下列符合的选项序号填在横线上)A、数形结合;B、代入;C、换元;D、归纳.53.计算:(1)(2)(3)54.(1)+﹣2(2)﹣4+3(3)(﹣2)2﹣(+2)(2﹣).55.已知x=+1,y=﹣1,求x2+xy+y2的值.56.计算:(1).(2).57.计算:(1);(2)(3﹣2+)÷2.58.计算:(1)×﹣(+)();(2)÷﹣×+.59.计算:(1)++(﹣)﹣1;(2)﹣+.60.在解决问题“已知a=,求2a2﹣8a+1的值”时,小明是这样分析与解答的:∵a===2∴a﹣2=﹣,∴(a﹣2)2=3,a2﹣4a+4=3∴a2﹣4a=﹣1,∴2a2﹣8a+1=2(a2﹣4a)+1=2×(﹣1)+1=﹣1.请你根据小明的分析过程,解决如下问题:(1)化简:(2)若a=,求3a2﹣6a﹣1的值.2022年10月23日182****0572的初中数学组卷参考答案与试题解析一.选择题(共23小题)1.在下列实数3.1415926,,,,,中无理数的个数有()A.2个B.3个C.4个D.5个【分析】无理数就是无限不循环小数.理解无理数的概念,一定要同时理解有理数的概念,有理数是整数与分数的统称.即有限小数和无限循环小数是有理数,而无限不循环小数是无理数.由此即可判定选择项.【解答】解:在所列的6个数中,无理数有,这2个,故选:A.【点评】此题主要考查了无理数的定义,其中初中范围内学习的无理数有:π,2π等;开方开不尽的数;以及像0.1010010001…,等有这样规律的数.2.下列计算正确的是()A.﹣=﹣4B.=﹣3C.D.=﹣4【分析】依据平方根、立方根的定义求解即可.【解答】解:A、﹣=﹣4,故A正确;B、==3,故B错误;C、与不能加减,故C错误;D、=,故D错误.故选:A.【点评】本题主要考查的是立方根、算术平方根的定义,熟练掌握相关定义是解题的关键.3.如图,OA=OB,BD=1,则数轴上点A所表示的数为()A.B.C.D.【分析】根据勾股定理,可得OB的长,根据圆的半径相等,可得OA的长.【解答】解:由勾股定理,得OB==,由圆的半径相等,得OA=,故选:C.【点评】本题考查了实数与数轴,利用勾股定理得出OB的长是解题关键.4.若﹣,且x是整数,则满足条件的x值有()A.5个B.4个C.3个D.2个【分析】先估算出、的大小,然后找出符合条件的数即可.【解答】解:∵1<3<4<5,∴1<.∴﹣.∴符合条件的x的值为:﹣2,﹣1,0,1.故选:B.【点评】本题主要考查的是估算无理数的大小,估算出﹣与的大小是解题的关键.5.有一个数值转换器,原理如下:当输入的x=81时,输出的y等于()A.2B.3C.D.【分析】根据算术平方根的概念进行计算即可.【解答】解:∵=9,=3,∴输出的y等于,故选:C.【点评】本题考查的是算术平方根的计算,掌握一个非负数的正的平方根,即为这个数的算术平方根是解题的关键.6.下列说法错误的是()A.﹣8的立方根是﹣2B.3的平方根是±C.﹣的相反数是D.|1﹣|=1﹣【分析】利用平方根、立方根、相反数、绝对值的意义,逐个分析得结论.【解答】解:∵=﹣2,故选项A正确;3的平方根是,故选项B正确;﹣与只有符号不同,它们互为相反数,故选项C正确;∵1﹣<0,∴|1﹣|=﹣(1﹣)≠1﹣,故选项D错误.故选:D.【点评】本题考查了相反数、平方根、立方根及绝对值的化简,题目难度不大,掌握有理数的相关定义是解决本题的关键.7.下列说法中正确的是()A.的平方根是±9B.﹣5的立方根是﹣C.的平方根是D.﹣9没有立方根【分析】利用平方根、立方根定义判断即可.【解答】解:A、=9,9的平方根是±3,不符合题意;B、﹣5的立方根是﹣,符合题意;C、的平方根是±,不符合题意;D、﹣9的立方根是﹣,不符合题意,故选:B.【点评】此题考查了立方根,平方根,以及算术平方根,熟练掌握各自的定义是解本题的关键.8.如图,在数轴上表示的点在哪两个字母之间()A.B与C B.A与B C.A与C D.C与D【分析】先估算出的范围,再求出答案即可.【解答】解:∵2.52=6.25<7,∴2.5<<3,∴在点C、D之间,故选:D.【点评】本题考查了数轴和实数的大小比较法则,能估算出的范围是解此题的关键,注意:正数都大于0,负数都小于0,正数都大于负数,两个负数比较大小,其绝对值大的反而小.9.下列二次根式是最简二次根式的是()A.B.C.D.【分析】根据最简二次根式的概念即可求出答案.【解答】解:(A)原式=,故A不是最简二次根式;(B)原式=2,故B不是最简二次根式;(D)原式=4,故D不是最简二次根式;故选:C.【点评】本题考查最简二次根式,解题的关键是正确理解最简二次根式的概念,本题属于基础题型.10.如果一个实数的平方根与它的立方根相等,则这个数是()A.0B.正实数C.0和1D.1【分析】根据立方根和平方根的性质可知,只有0的立方根和它的平方根相等,解决问题.【解答】解:0的立方根和它的平方根相等都是0;1的立方根是1,平方根是±1,∴一个实数的平方根与它的立方根相等,则这个数是0.故选:A.【点评】此题主要考查了立方根的性质:一个正数的立方根是正数,一个负数的立方根是负数,0的立方根式0.注意一个数的立方根与原数的性质符号相同,一个正数的平方根有两个他们互为相反数.11.要使二次根式有意义,字母x必须满足的条件是()A.x≤2B.x<2C.x≤﹣2D.x<﹣2【分析】先根据二次根式有意义的条件列出关于x的不等式,求出x的取值范围即可.【解答】解:∵二次根式有意义,∴2﹣x≥0,解得x≤2.故选:A.【点评】本题考查的是二次根式有意义的条件,即被开方数大于等于0.12.已知|a|=5,=7,且|a+b|=a+b,则a﹣b的值为()A.2或12B.2或﹣12C.﹣2或12D.﹣2或﹣12【分析】首先分别根据绝对值的和算术平方根的定义可求出a,b的值,然后把a,b的值代入|a+b|=a+b中,最终确定a,b的值,然后求解.【解答】解:∵|a|=5,∴a=±5,∵=7,∴b=±7,∵|a+b|=a+b,∴a+b>0,所以当a=5时,b=7时,a﹣b=5﹣7=﹣2,当a=﹣5时,b=7时,a﹣b=﹣5﹣7=﹣12,所以a﹣b的值为﹣2或﹣12.故选:D.【点评】此题主要考查了绝对值的意义:即正数的绝对值是它本身,负数的绝对值是它的相反数,0的绝对值还是0.也利用了算术平方根的定义.13.a、b在数轴上的位置如图所示,那么化简的结果是()A.2a﹣b B.b C.﹣b D.﹣2a+b【分析】根据差的绝对值是大数减小数,二次根式的性质,可化简代数式,根据整式的加减,可得答案.【解答】解:原式=a﹣b﹣a=﹣b.故选:C.【点评】本题考查了实数与数轴,利用差的绝对值是大数减小数、二次根式的性质化简整式是解题关键.14.下列四个数中,大于1而又小于2的无理数是()A.B.C.D.【分析】由于所求无理数大于1且小于2,所求数的平方得大于1小于4,据此判断即可.【解答】解:A、是有理数,故选项A不合题意;B、,故,故选项B符合题意;C、,故选项C不合题意;D、,故选项D不合题意.故选:B.【点评】此题主要考查了无理数的估算,现实生活中经常需要估算,估算应是我们具备的数学能力,“夹逼法”是估算的一般方法,也是常用方法.15.若直角三角形的两边长分别为a,b,且满足a2﹣6a+9+|b﹣4|=0,则该直角三角形的第三边长的平方为()A.25B.7C.25或7D.25或16【分析】根据非负数的性质列出方程求出a、b的值,根据勾股定理即可得到结论.【解答】解:∵a2﹣6a+9+|b﹣4|=0,∴(a﹣3)2=0,b﹣4=0,∴a=3,b=4,∴直角三角形的第三边长==5,或直角三角形的第三边长==,∴直角三角形的第三平方为25或7,故选:C.【点评】本题考查了勾股定理,非负数的性质:几个非负数的和为0时,这几个非负数都为0.16.化简二次根式(a<0)得()A.B.﹣C.D.﹣【分析】利用积的算术平方根以及商的算术平方根的性质,把被开方数中能开得尽方的因数(或因式)都开出来即可.【解答】解:当a<0时,b≤0,∴====.故选:A.【点评】本题主要考查了二次根式的化简,化简后的二次根式中的被开方数中每一个因数(或因式)的指数都小于根指数2.17.的整数部分是a,小数部分是b,a﹣b的小数部分是()A.7﹣B.8﹣C.﹣7D.﹣8【分析】根据算术平方根的定义估算无理数的大小,进而确定a、b的值,计算a﹣b的值,再估算14﹣的大小即可.【解答】解:∵<<,即7<<8,∴a=7,b=﹣7,∴a﹣b=7﹣(﹣7)=14﹣,又∵﹣8<﹣<﹣7,∴6<14﹣<7,∴14﹣的小数部分为14﹣﹣6=8﹣,故选:B.【点评】本题考查估算无理数的大小,掌握算术平方根的意义是正确估算的前提,确定a、b的值是解决问题的关键.18.的相反数是()A.B.C.D.【分析】根据互为相反数的定义和性质,互为相反数的两个数和为0,即可判定选择项.【解答】解:∵+(﹣)=0,∴的相反数是﹣.故选:B.【点评】此题主要考查了求无理数的相反数,无理数的相反数和有理数的相反数的意义相同,无理数的相反数是各地中考的重要考点.19.下列各数中,与﹣3的乘积是有理数的是()A.+3B.﹣3C.3﹣D.【分析】直接利用分母有理化因式分析得出答案.【解答】解:与﹣3的乘积是有理数的是:+3.故选:A.【点评】此题主要考查了分母有理化,正确掌握运算法则是解题关键.20.估算的值应在()A.6.0~6.5之间B.6.5~7.0之间C.7.0~7.5之间D.7.5~8.0之间【分析】依据被开放数越大对应的算术平方根越大进行比较即可.【解答】解:∵72<50<7.52,∴7<<7.5.故选:C.【点评】本题主要考查的是估算无理数的大小,夹逼法的应用是解题的关键.21.如图1是我国古代著名的“赵爽弦图”的示意图,它是由四个全等的直角三角形围成的.若AC=6,BC=5,将四个直角三角形中边长为6的直角边分别向外延长一倍,得到图2所示的“数学风车”,则这个风车的外围周长是()A.72B.52C.80D.76【分析】由题意∠ACB为直角,利用勾股定理求得外围中一条边,又由AC延伸一倍,从而求得风车的一个轮子,进一步求得四个.【解答】解:依题意,设“数学风车”中的四个直角三角形的斜边长为x,则x2=122+52=169所以x=13所以“数学风车”的周长是:(13+6)×4=76.故选:D.【点评】本题是勾股定理在实际情况中应用,并注意隐含的已知条件来解答此类题.22.1876年,美国总统伽菲尔德利用如图所示的方法验证了勾股定理,其中两个全等的直角三角形的边AE,EB在一条直线上,证明中用到的面积相等关系是()A.S△EDA=S△CEBB.S△EDA+S△CDE+S△CEB=S四边形ABCDC.S△EDA+S△CEB=S△CDED.S四边形AECD=S四边形DEBC【分析】为了验证勾股定理,梯形面积等于3个三角形面积之和解答即可.【解答】解:根据勾股定理可得:S△EDA+S△CDE+S△CEB=S四边形ABCD.故选:B.【点评】本题考查了勾股定理的证明依据.此类证明要转化成该图形面积的两种表示方法,从而转化成方程达到证明的结果.23.意大利文艺复兴时期的著名画家达•芬奇利用两张一样的纸片拼出不一样的“空洞“,从而巧妙的证明了勾股定理.小明用两张全等的纸片①和②拼成如图1所示的图形,中间的六边形ABCDEF由两个正方形和两个全等的直角三角形组成.已知六边形ABCDEF 的面积为28,S正方形ABGF:S正方形CDEG=4:1.小明将纸片②翻转后拼成如图2所示的图形,其中∠B'A′F′=90°,则四边形B′C′E′F′的面积为()A.16B.20C.22D.24【分析】根据正方形的性质得到GB=GF,GC=GE,∠BGF=∠CGE=90°,根据全等三角形的性质得到BC=EF,B′C′=B′F′=F′E′=E′C′,设BC=EF=c,证得四边形B′C′E′F′是菱形,B′C′=c,推出四边形B′C′E′F′是正方形,设S正方形ABGF=4m,S正方形CDEG=1m,根据六边形ABCDEF的面积为28,列方程即可得到结论.【解答】解:∵四边形ABGF、四边形CDEG是正方形,∴GB=GF,GC=GE,∠BGF=∠CGE=90°,∴∠BGC=∠FGE=90°,在△BGC和△FGE中,∴△BGC≌△FGE(SAS),同理可证△BGC≌△B′A′F′≌△E′D′C′,∴BC=EF,B′C′=B′F′=F′E′=E′C′,设BC=EF=c,∴四边形B′C′E′F′是菱形,B′C′=c,∵∠DEF=∠A′F′E′,∠OEF=∠A′F′B′,∴∠B′F′E′=90°,∴四边形B′C′E′F′是正方形,∵S正方形ABGF:S正方形CDEG=4:1,∴设S正方形ABGF=4m,S正方形CDEG=1m,∴FG=2,EG=,∵六边形ABCDEF的面积为28,∴4m+m+2××2=28,∴m=4,∴EF==2,∴E′F′=EF=2,∴四边形B′C′E′F′的面积=20,故选:B.【点评】本题考查了勾股定理的证明,正方形的判定和性质,全等三角形的判定和性质,正确的识别图形是解题的关键.二.填空题(共22小题)24.请写出一个大于且小于的整数:2(或3).【分析】根据无理数的估算,找出在与的整数,任选一个即可.【解答】解:因为,,所以大于且小于的整数有2,3.故答案为:2(或3).【点评】本题主要考查了无理数的估算,解题关键是确定无理数的整数部分即可解决问题,属于基础题.25.计算:=﹣2.【分析】首先计算开方,然后计算加法,求出算式的值是多少即可.【解答】解:=﹣3+1=﹣2故答案为:﹣2.【点评】此题主要考查了实数的运算,要熟练掌握,解答此题的关键是要明确:在进行实数运算时,和有理数运算一样,要从高级到低级,即先算乘方、开方,再算乘除,最后算加减,有括号的要先算括号里面的,同级运算要按照从左到右的顺序进行.另外,有理数的运算律在实数范围内仍然适用26.请举例说明:“存在两个不同的无理数,它们的积是整数”.举例如下:如(+1)(﹣1)=1;(答案不唯一).【分析】根据无理数的乘法,可得答案.【解答】解:.故答案为:.(答案不唯一)【点评】本题考查了实数的运算,熟记运算律法则是解题关键.27.计算:=.【分析】根据算术平方根的定义求解可得.【解答】解:=,故答案为:.【点评】本题主要考查算术平方根,解题的关键是熟练掌握算术平方根的定义.28.化简:﹣=.【分析】先把各根式化为最简二次根式,再根据二次根式的减法进行计算即可.【解答】解:原式=2﹣=.故答案为:.【点评】本题考查的是二次根式的加减法,熟知二次根式相加减,先把各个二次根式化成最简二次根式,再把被开方数相同的二次根式进行合并,合并方法为系数相加减,根式不变是解答此题的关键.29.已知432=1849,442=1936,452=2025,462=2116.若n为整数且n<<n+1,则n的值是44.【分析】估算出的值即可解答.【解答】解:∵442=1936,452=2025,∴1936<2022<2025,∴44<<45,∵n为整数且n<<n+1,∴n=44,故答案为:44.【点评】本题考查了无理数的估算,熟练掌握平方数是解题的关键.30.(﹣2)2的算术平方根是2.【分析】根据乘方运算,可得幂,根据开方运算,可得算术平方根.【解答】解:(﹣2)2=4,=2,故答案为:2.【点评】本题考查了算术平方根,先求出幂,再求出算术平方根.31.若x、y为实数,且满足|2x+3|+=0,则xy的立方根为﹣.【分析】根据偶次方和绝对值的非负性得出方程,求出方程的解,再代入求出立方根即可.【解答】解:∵|2x+3|+=0,∴2x+3=0且9﹣4y=0,解得:x=﹣、y=,则===﹣,故答案为:﹣【点评】本题考查了偶次方和绝对值,方程的思想,立方根的应用,关键是求出x、y的值.32.||=﹣1.【分析】根据实数的绝对值的性质计算即可.【解答】解:∵﹣1>0,∴|﹣1|=﹣1.故答案为:﹣1.【点评】本题主要考查了绝对值的性质,理解绝对值的性质是解题的关键.33.比较大小:﹣>﹣4.【分析】根据底数越大幂越大,可得答案;【解答】解:因为﹣4=﹣,所以﹣>﹣4.故答案为:>【点评】本题考查了实数大小比较,利用底数越大幂越大是解题关键.34.估计与0.5的大小关系是:>0.5.(填“>”、“=”、“<”)【分析】首先把两个数采用作差法相减,根据差的正负情况即可比较两个实数的大小.【解答】解:∵﹣0.5=﹣=,∵﹣2>0,∴>0,∴>0.5.故答案为:>.【点评】此题主要考查了两个实数的大小,其中比较两个实数的大小,可以采用作差法、取近似值法等.35.9的算术平方根是3.【分析】9的平方根为±3,算术平方根为非负,从而得出结论.【解答】解:∵(±3)2=9,∴9的算术平方根是3.故答案为:3.【点评】本题考查了数的算术平方根,解题的关键是牢记算术平方根为非负.36.的算术平方根是9,的立方根是,﹣2绝对值是﹣2,平方根是±3.【分析】根据实数的性质,可得答案.【解答】解:=81,81的算术平方根是9,的立方根是,﹣2绝对值是﹣2,=9,9平方根是±3,故答案为:9,,﹣2,±3.【点评】本题考查了实数的性质,利用绝对值的性质,平方根、立方根的意义是解题关键.37.在如图所示的数轴上,点B与点C关于A对称,A、B两点对应的实数分别是和﹣1,则点C对应的实数为.【分析】设点C所对应的实数是x.根据中心对称的性质,即对称点到对称中心的距离相等,即可列方程求解即可.【解答】解:设点C所对应的实数是x.则有x﹣=﹣(﹣1),解得x=2+1.故答案为1+2.【点评】本题考查的是数轴上两点间距离的定义,根据题意列出关于x的方程是解答此题的关键.38.如图所示,把边长为1的正方形放在数轴上,以数1表示的点为圆心,正方形的对角线长为半径作弧,交数轴于点A,则点A表示的数是.【分析】图中正方形的边长为1,则可根据勾股定理求出正方形对角线的长度.以对角线长度为半径作圆与x轴交于点A,则点A表示的数即为1加上对角线的长度.【解答】解:应用勾股定理得,正方形的对角线的长度=,以正方形对角线长为半径画弧,交数轴正半轴于点A,所以数轴上的点A表示的数为:1﹣.故答案为:1﹣.【点评】本题主要考查勾股定理的知识,还要了解数轴上的点表示数的方法.解题关键是利用勾股定理求出正方形的对角线长度,同时要掌握圆上各点到圆点的距离相等都为半径.39.已知x,y为实数,且,则=2.【分析】首先根据被开方数是非负数求得x的值,则y的值即可求得,进而代入代数式求值.【解答】解:根据题意得,解得,∴y=,∴===2.故答案为:2【点评】本题考查了二次根式的意义和性质.概念:式子(a≥0)叫二次根式.性质:二次根式中的被开方数必须是非负数,正确求得x的值是关键.40.比较大小:>1(填“>”、“<”或“=”).【分析】直接估计出的取值范围,进而得出答案.【解答】解:∵2<<3,∴1<﹣1<2,故>1.故答案为:>.【点评】此题主要考查了实数大小比较,正确得出的取值范围是解题关键.41.实数a在数轴上的位置如图所示,则化简后2a﹣15.【分析】利用数轴确定a的取值范围,然后结合二次根式的性质及整式加减运算法则进行化简求解.【解答】解:由题意可得5<a<10,∴a﹣4>0,a﹣11<0,原式=|a﹣4|﹣|a﹣11|=a﹣4﹣(11﹣a)=a﹣4﹣11+a=2a﹣15,故答案为:2a﹣15.【点评】本题考查二次根式的化简,整式的加减运算,理解二次根式的性质,利用数形结合思想解题是关键.42.比较大小:<.【分析】先估算出的值,再根据同分母的两个正数相比较,分母相同,分子大的数较大即可进行解答.【解答】解:∵≈1.7,∴﹣1<1,∴<.故答案为:<.【点评】本题考查的是实数的大小比较及估算无理数的大小,解答此题时要熟知:同分母的两个正数相比较,分母相同,分子大的较大.43.的平方根为±2.【分析】根据立方根的定义可知64的立方根是4,而4的平方根是±2,由此就求出了这个数的平方根.【解答】解:∵4的立方等于64,∴64的立方根等于4.4的平方根是±2,故答案为:±2.【点评】本题考查了平方根和立方根的概念.注意一个正数有两个平方根,它们互为相反数;0的平方根是0;负数没有平方根.立方根的性质:一个正数的立方根式正数,一个负数的立方根是负数,0的立方根式0.44.一个等腰直角三角形三角板沿着数轴正方向向前滚动,起始位置如图,顶点C和A在数轴上的位置表示的实数为﹣1和1.那么当顶点C下一次落在数轴上时,所在的位置表示的实数是3+2.【分析】首先利用数轴即可得到等腰直角三角形的直角边AC、CB的长度,然后根据勾股定理即可求得AB的长,则求出了C到达的点到原点的距离,由此即可解决问题.【解答】解:在直角△ABC中,AC=CB=2,根据勾股定理可以得到AB=2,则当顶点C下一次落在数轴上时,所在的位置表示的实数是4+2﹣1=3+2.故答案为:3+2.【点评】此题综合考查了数轴的有关内容,用几何方法借助数轴来求解,非常直观,且不容易遗漏,体现了数形结合的优点.45.如果a是的小数部分,b是的小数部分,则的值是3+2.【分析】根据完全平方公式把和进行化简,再根据题意求出a 和b的值,然后代入要求的式子进行计算即可得出答案.【解答】解:∵==5﹣,==5+,∵又a是的小数部分,b是的小数部分,∴a=2﹣,b=﹣1,∴===3+2;故答案为:3+2.【点评】此题考查了估算无理数的大小,以及二次根式的性质与化简,熟练掌握运算法则是解本题的关键.三.解答题(共15小题)46.计算:+(﹣2)2﹣÷.【分析】先把除法运算化为乘法运算,再利用二次根式的性质和乘法法则运算,然后合并即可.【解答】解:原式=+12﹣×=+12﹣=+12﹣=12.【点评】本题考查了二次根式的混合运算:先把二次根式化为最简二次根式,然后进行二次根式的乘除运算,再合并即可.在二次根式的混合运算中,如能结合题目特点,灵活运用二次根式的性质,选择恰当的解题途径,往往能事半功倍.47.计算:(﹣)×.【分析】利用分配律以及二次根式的乘法法则计算,然后化简二次根式,进行加减运算即可.【解答】解:原式=﹣1=6﹣1=5.【点评】本题考查了二次根式的运算,在二次根式的混合运算中,要掌握好运算顺序及各运算律.48.计算:(1)2﹣+3;(2)(﹣)(+)﹣(﹣1)2【分析】(1)先化简,然后根据二次根式的加减法可以解答本题;(2)根据平方差公式和完全平方公式可以解答本题.【解答】解:(1)2﹣+3=4﹣+=;(2)(﹣)(+)﹣(﹣1)2=5﹣2﹣3+2﹣1=2﹣1.【点评】本题考查二次根式的混合运算,解答本题的关键是明确二次根式混合运算的计算方法.49.计算:(1)(2)【分析】(1)先根据二次根式的乘法法则运算,然后化简后合并即可;(2)利用平方差公式计算.【解答】解:(1)原式=2﹣=12﹣=11;(2)原式=3﹣2+=1+.【点评】本题考查了二次根式的混合运算:先把二次根式化为最简二次根式,然后进行二次根式的乘除运算,再合并即可.在二次根式的混合运算中,如能结合题目特点,灵活运用二次根式的性质,选择恰当的解题途径,往往能事半功倍.50.计算题:(1)﹣(﹣)2﹣|﹣|;(2)(﹣2)×﹣6【分析】(1)利用二次根式的除法法则和完全平方公式计算,然后去绝对值后合并即可;。
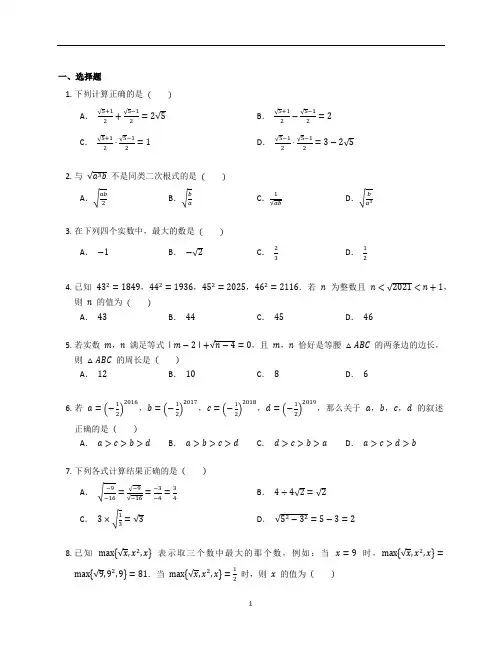
一、选择题1. 实数 √41 的小数部分是 ( ) A .6−√41B .√41−6C .7−√41D .√41−72. 下列等式从左到右成立的是 ( )A . √2+√3=√5B . √10=√−2×√−5C .√a 33=a D . [(−8)2]16=−23. 如图,每个小正方形的边长为 1,把阴影部分剪下来,用剪下来的阴影部分拼成一个正方形,那么新正方形的边长是 ( )A .√3B .2C .√5D .√64. 下列实数中,是有理数的是 ( ) A . √8 B . 2.020020002 C . √43D . 14π5. 下列计算结果正确的是 ( ) A . √2+√5=√7B . 3√2−√2=3C . √2×√5=√10D .√2√5=5√106. 下列各式正确的是 ( ) A . 3+√3=3√3B . √27÷√3=3C . √2+√3=√5D . √4=±27. 下列各式计算结果正确的是 ( ) A . √−9−16=√−9√−16=−3−4=34B . 4÷4√2=√2C . 3×√13=√3D . √52−32=5−3=28. 已知 a =√5+2,b =√5−2,则 √a 2+b 2+7 的值为 ( )A . 3B . 4C . 5D . 69. 计算 2a√a 3b −ab√b 39a(a >0,b >0) 的结果是 ( )A . 53√abB . 23√abC .179√abD . 89√ab10. 已知 a =√5−2,b =√5+2,则 √a 2+b 2+7 的值为 ( ) A . 3B . 4C . 5D . 6二、填空题11. 一列有规律的数:√2,2,√6,2√2,√10,⋯,则第 6 个数是 ,第 n 个数是 (n 为正整数).12. 观察并分析下列数据:1,√2,2,2√2,4,4√2,8,⋯ 寻找规律,那么第 10 个数据应该是 .13. 一个长方形的面积是 √3 cm 2,它的长为 (2−√3)cm ,则宽为 cm .14. (1)计算 √12+√8×√6 时,先算 法,再算 法,过程如下:原式 = + = .(2)计算 (√12−√3)×√3 时,先算 里面的,再算 法;也可利用 律,先算 法,再算 法,结果是 .15. 已知 xy =3,那么 x √yx +y √xy 的值是 .16. 对于实数 a ,我们规定:用符号 [√a] 表示不大于 √a 的最大整数,称 [√a] 为 a 的根整数,例如:[√9]=3,[√10]=3.(1)仿照以上方法计算:[√4]= ;[√37]= . (2)若 [√x]=1,写出所有满足题意的 x 的整数值: .如果我们对 a 连续求根整数,直到结果为 1 为止.例如:对 10 连续求根整数 2 次 [√10]=3→[√3]=1,这时候结果为 1.(3)对 120 连续求根整数, 次之后结果为 1.(4)只需进行 3 次连续求根整数运算后结果为 1 的所有正整数中,最大的是 .17. 对于任两个不相等的数 a ,b ,定义一种运算 §:a§b =√a+ba−b,如 3§2=√3+23−2=√5,8§4= ,(m 2+m )§(m 2−m )= .(其中 m 为负数)三、解答题 18. 阅读材料:黑白双雄、纵横江湖;双剑合璧、天下无敌.这是武侠小说中的常见描述,其意是指两个人合在一起,取长补短,威力无比.在二次根式中也有这种相辅相成的“对子”.如:(2+√3)(2−√3)=1,(√5+√2)(√5−√2)=3,它们的积不含根号,我们说这两个二次根式互为有理化因式,其中一个是另一个的有理化因式,于是,二次根式除法可以这样理解:如:√3=√3√3×√3=√33,√32−√3=√3)(2+√3)(2+√3)(2−√3)=7+4√3.像这样,通过分子、分母同乘以一个式子把分母中的根号化去或把根号中的分母化去,叫做分母有理化. 解决问题:(1) 4−√7 的有理化因式可以是 ,2√3 分母有理化得 .(2) 计算:①已知 x =√3+1√3−1,y =√3−1√3+1,求 x 2+y 2 的值;②1+√2+√2+√3√3+√4⋯+√1999+√2000.19. 计算:(1) √2(√2+1)+(12)−2−(√2−5)0+(√2−1)−1; (2) −8134÷∣−2∣3+(1649)−12−√3)−2.20. 计算:√(2−√3)2020×√(2+√3)2020.21. 发现:(1) ① √12−14=12;② √13−19=√23;③ √14−116=√34;⋯⋯ 写出④ ;⑤ .(2) 归纳与猜想.如果 n 为正整数,用含 n 的式子表示这个运算规律 . (3) 证明这个猜想.22. 计算:(2√48−3√27)÷√6.23. (√5−√2)2(7+2√10).24.定义:任意两个数a,b,按规则c=ab+a+b扩充得到一个新数c,称所得的新数c为“如意数”.(1) 若a=√2,b=1,求出a,b的“如意数”c.(2) 如果a=m−4,b=−m,求a,b的“如意数”c,并证明“如意数”c≤0.(3) 已知a=,且a,b的“如意数”c=5+4√3,求b的值.2−√325.先阅读材料,然后回答问题.(1) 小张同学在研究二次根式的化简时,遇到了一个问题:化简√5−2√6经过思考,小张解决这个问题的过程如下:√5−2√6=√2−2√2×3+3①=√(√2)2−2√2×√3+(−√3)2②=√(√2−√3)2③=√2−√3④.在上述化简过程中,第步出现了错误,化简的正确结果为;(2) 请根据你从上述材料中得到的启发,化简√8+4√3.答案一、选择题 1. 【答案】B【知识点】平方根的估算2. 【答案】C【知识点】立方根的性质、二次根式的乘法、二次根式的加减、分数指数幂3. 【答案】C【知识点】平方根的概念,性质及运算4. 【答案】B【解析】 √8,√43,14π 是无理数,2.020020002 是有理数. 【知识点】无理数5. 【答案】C【知识点】二次根式的加减、二次根式的乘法6. 【答案】B【解析】 3+√3≠3√3,故A 错误; √27÷√3=√27÷3=√9=3,故B 正确; √2+√3≠√5,故C 错误; √4=2,故D 错误.【知识点】二次根式的除法7. 【答案】C【解析】A. √−9−16=√916=34,故本选项错误; B. 4÷4√2=4√2=√22,故本选项错误; C. 3×√13=3×√33=√3,故本选项正确;D. √52−32=√16=4,故本选项错误. 【知识点】二次根式的乘法、二次根式的除法8. 【答案】C【知识点】二次根式的混合运算9. 【答案】A【解析】∵a>0,b>0,∴2a √a3b−ab√b39a=2a×a×√ab−ab×b3a√ab=2√ab−13√ab=53√ab.【知识点】二次根式的加减10. 【答案】C【解析】∵a=√5−2=√5+2)(√5−2)(√5+2)=√5+2,b=√5+2=√5−2.∴a2+b2=(a−b)2+2ab=42+2×(5−4)=18,∴√a2+b2+7=√18+7=5.【知识点】完全平方公式、二次根式的加减、二次根式的除法二、填空题11. 【答案】2√3;√2n【解析】∵√2,2=√4,√6,2√2=√8,√10,∴第6个数是√12=2√3.∴第n个数是√2n.【知识点】二次根式的性质与化简12. 【答案】16√2【解析】1=√1,2=√4,2√2=√8,4=√16,4√2=√32,8=√64,则第10个数据是:√512=16√2.【知识点】二次根式的乘法13. 【答案】2√3+3【知识点】二次根式的除法14. 【答案】乘;加;2√3;4√3;6√3;括号;乘;分配;乘;减;3【知识点】二次根式的混合运算15. 【答案】±2√3【知识点】二次根式的加减16. 【答案】2;6;1,2,3;3;255【解析】(1)∵22=4,62=36,72=49,∴6<√37<7,∴[√4]=2,[√37]=6.(2)∵12=1,22=4,且[√x]=1,∴x=1,2,3.(3)第 1 次:[√120]=10,第 2 次:[√10]=3,第 3 次:[√3]=1. (4)∵[√255]=15,[√15]=3,[√3]=1,∴ 对 255 只需进行 3 次连续求根整数运算后结果为 1. ∵[√256]=16,[√16]=4,[√4]=2,[√2]=1, ∴ 对 256 需进行 4 次连续求根整数运算后结果为 1,∴ 只需进行 3 次连续求根整数运算后结果为 1 的所有正整数中,最大的是 255. 【知识点】实数的大小比较17. 【答案】√32; −√22【解析】根据题中的新定义得:原式=√8+48−4=√32.原式=√m 2+m+m 2−m m 2+m−m 2+m =−√2m 2m =−√22(m 为负数), 故答案为:√32;−√22. 【知识点】二次根式的除法三、解答题 18. 【答案】(1) 4+√7;√32 (2) ①当 x =√3+1√3−1=√3+1)(√3+1)(√3−1)(√3+1)=4+2√32=2+√3,y =√3−1√3+1=√3−1)(√3−1)(√3+1)(√3−1)=4−2√32=2−√3 时,x 2+y 2=(x +y )2−2xy=(2+√3+2−√3)2−2×(2+√3)×(2−√3)=16−2×1=14.②原式=√2−1+√3−√2+√4−√3+⋯+√2000−√1999=√2000−1.【解析】 (1) 4−√7 的有理化因式可以是 4+√7, 2√3=√3×√32√3=√32.【知识点】二次根式的除法19. 【答案】(1) 原式=2+√2+4−1+√2−1 =2√2+4.(2) 原式=−27÷8+74−3=−378.【知识点】分数指数幂、二次根式的乘法、零指数幂运算、负指数幂运算20. 【答案】1.【知识点】二次根式的乘法21. 【答案】(1) √15−125=√45=25;√16−136=√56(2) √1n −1n2=√n−1n.(3) ∵n是正整数,∴√1n −1n2=√n−1n2=√n−1n,∴即√1n −1n2=√n−1n.【知识点】二次根式的除法22. 【答案】原式=(8√3−9√3)÷√6 =√3√6=−√22.【知识点】二次根式的混合运算23. 【答案】9.【知识点】二次根式的混合运算24. 【答案】(1) c=ab+a+b=√2×1+√2+1=2√2+1.(2) c=(m−4)×(−m)+(m−4)+(−m) =−m2+4m−4=−(m−2)2,因为(m−2)2≥0,所以c≤0.(3) a=2−√3=2+√3,所以5+4√3=(2+√3)b+(2+√3)+b.即(3+√3)b=3+3√3.b=√33+√3=√3+3)(3−√3)(3+√3)(3−√3)=√3.【知识点】二次根式的混合运算、二次根式的加减、完全平方公式25. 【答案】(1) ④;√3−√2(2) 原式=√8+2√12=√6+2√6×2+2=√(√6)2+2√6×√2+(√2)2=√(√6+√2)2=√6+√2.【知识点】二次根式的性质与化简。
一、选择题1.下列计算正确的是( )A.√5+12+√5−12=2√5B.√5+12−√5−12=2C.√5+12⋅√5−12=1D.√5−12⋅√5−12=3−2√52.与√a3b不是同类二次根式的是( )A.√ab2B.√baC.√abD.√ba33.在下列四个实数中,最大的数是( )A.−1B.−√2C.23D.124.已知432=1849,442=1936,452=2025,462=2116.若n为整数且n<√2021<n+1,则n的值为( )A.43B.44C.45D.465.若实数m,n满足等式∣m−2∣+√n−4=0,且m,n恰好是等腰△ABC的两条边的边长,则△ABC的周长是( )A.12B.10C.8D.66.若a=(−12)2016,b=(−12)2017,c=(−12)2018,d=(−12)2019,那么关于a,b,c,d的叙述正确的是( )A.a>c>b>d B.a>b>c>d C.d>c>b>a D.a>c>d>b 7.下列各式计算结果正确的是( )A.√−9−16=√−9√−16=−3−4=34B.4÷4√2=√2C.3×√13=√3D.√52−32=5−3=28.已知max{√x,x2,x}表示取三个数中最大的那个数,例如:当x=9时,max{√x,x2,x}=max{√9,92,9}=81.当max{√x,x2,x}=12时,则x的值为( )A . −14B . 116C . 14D . 129. 已知 √24m +4√3m 2+m√6m =30,则 m 的值为 ( )A . 3B . 5C . 6D . 810. 在下列各组根式中,是同类二次根式的是 ( ) A . √3 和 √18 B . √3 和 √13 C . √a 2b 和 √b 2aD . √a +1 和 √a −1二、填空题11. 比较大小:−π −3.14(选填“>”,“=”,“<”).12. 下列各数 3.1415926,√9,1.212212221⋯,17,2−π,−2020,√43中,无理数的个数有 个.13. (1)用计算器探索 √121×(1+2+1)= ;√12321×(1+2+3+2+1)= ;√1234321×(1+2+3+4+3+2+1)= ; (2)由此猜想:① √1234567654321×(1+2+3+4+5+6+7+6+5+4+3+2+1)= ; ② √ab 与 √a ,√b 的关系(其中 a >0,b >0)为 .14. 若两个连续整数 x ,y ,满足 x <√15+1<y ,则 x +y 的值是 .15. 已知 xy =3,那么 x √yx +y √xy 的值是 .16. 绝对值小于 2.5 的所有整数是 .17. 计算:(12√45√8−√500)−(18√12−4√125)= .三、解答题18. 阅读下面的文字,解答问题:大家知道 √2 是无理数,而无理数是无限不循环小数,因此 √2 的小数部分我们不可能全部地写出来,于是小明用√2−1来表示√2的小数部分,你同意小明的表示方法吗?事实上,小明的表示方法是有道理,∵√2的整数部分是1,将这个数减去其整数部分,差就是小数部分.又例如:∵√4<√7<√9,即2<√7<3,∴√7的整数部分为2,小数部分为(√7−2).请解答:(1) √17的整数部分是,小数部分是.(2) 如果√5的小数部分为a,√13的整数部分为b,求a+b−√5的值;(3) 已知:10+√3=x+y,其中x是整数,且0<y<1,求x−y的相反数.19.先化简,再求值:(2m+n)2−(2m−n)2,其中m=√2+1,n=√2−1.20.计算:(1) (−√6)2−√25+(−2)2.(2) 3√13+√2(√3−√6)+√24÷√8.21.阅读下面的文字,解答问题:大家知道√2是无理数,而无理数是无限不循环小数,因此小数部分我们不可能全部地写出来,于是小明用√2−1来表示√2的小数部分,你同意小明的表示方法吗?事实上,小明的表示方法是有道理的,∵√2的整数部分是1,将这个数减去其整数部分,差就是小数部分.又例如:∵22<(√7)2<32,即2<√7<3,∴√7的整数部分为2,小数部分为(√7−2).请解答:(1) √10的整数部分是,小数部分是;(2) 如果√5的小数部分为a,√37的整数部分为b,求a+b−√5的值.22.计算下列式子:(1) √48÷2√3−√27×√63+4√12;(2) (√2+√3)2−(3√2+2√3)(3√2−2√3)23.化简:√ba ÷√ab×√a3b2.24.计算:12√7+23√7−34√7.25.已知9+√13与9−√13的小数部分分别为a和b,求ab−3a+4b+8的值.答案一、选择题 1. 【答案】C【解析】A .√5+12+√5−12=2√52=√5,所以A 选项错误;B .√5+12−√5−12=22=1,所以B 选项错误.C .√5+12⋅√5−12=5−14=1,所以C 选项正确;D .√5−12⋅√5−12=5+1−2√54=3−√52,所以D 选项错误.故选C .【知识点】二次根式的混合运算2. 【答案】A【知识点】同类二次根式3. 【答案】C【解析】 ∵−√2<−1<12<23,∴ 四个实数中,最大的数是 23. 【知识点】实数的大小比较4. 【答案】B【解析】 ∵1936<2021<2025, ∴44<√2021<45, ∴n =44.【知识点】平方根的估算5. 【答案】B【知识点】二次根式的概念、三角形的三边关系6. 【答案】D【解析】 a =(−12)2016=(12)2016;b =(−12)2017=−(12)2017;c =(−12)2018=(12)2018;d =(−12)2019=−(12)2019,∵∣∣∣−(12)2017∣∣∣>∣∣∣−(12)2019∣∣∣,∴−(12)2017>−(12)2019,∴(12)2016>(12)2018>−(12)2017>−(12)2019,即 a >c >d >b .【知识点】有理数的乘方、实数的大小比较7. 【答案】C【解析】A. √−9−16=√916=34,故本选项错误; B. 4÷4√2=4√2=√22,故本选项错误; C. 3×√13=3×√33=√3,故本选项正确;D. √52−32=√16=4,故本选项错误.【知识点】二次根式的乘法、二次根式的除法8. 【答案】C【解析】当 max{√x,x 2,x}=12 时,x ≥0,① √x =12,解得:x =14,此时 √x >x >x 2,符合题意; ② x 2=12,解得:x =√22;此时 √x >x >x 2,不合题意;③ x =12,√x >x >x 2,不合题意; 故只有 x =14时,max{√x,x 2,x}=12.故选:C .【知识点】实数的大小比较9. 【答案】C【知识点】二次根式的加减10. 【答案】B【知识点】同类二次根式二、填空题11. 【答案】<【解析】因为π是无理数所以π>3.14,故−π<−3.14.故填空答案:<.【知识点】实数的大小比较12. 【答案】33这3个.【解析】在所列实数中,无理数有1.212212221⋯,2−π,√4【知识点】无理数13. 【答案】22;333;4444;7777777;√ab=√a⋅√b【知识点】算术平方根的运算、二次根式的乘法14. 【答案】9【知识点】平方根的估算15. 【答案】±2√3【知识点】二次根式的加减16. 【答案】−2,−1,0,1,2【解析】绝对值小于2.5的所有整数是−2,−1,0,1,2.【知识点】实数的大小比较、绝对值的几何意义√5−3√217. 【答案】232【知识点】二次根式的加减三、解答题18. 【答案】(1) 4;√17−4(2) ∵2<√5<3,∴a=√5−2,∵3<√13<4,∴b=3,∴a+b−√5=√5−2+3−√5=1.(3) ∵1<3<4,∴1<√3<2,∴11<10+√3<12,∵10+√3=x+y,其中x是整数,且0<y<1,∴x=11,y=10+√3−11=√3−1,∴x−y=11−(√3−1)=12−√3,∴x−y的相反数是−12+√3;【解析】(1) ∵4<√17<5,∴√17的整数部分是4,小数部分是√17−4.【知识点】二次根式的加减、实数的相反数、平方根的估算19. 【答案】(2m+n)2−(2m−n)2=4m2+4mn+n2−(4m2−4mn+n2) =4m2+4mn+n2−4m2+4mn−n2 =8mn,当m=√2+1,n=√2−1时,原式=8×(√2+1)×(√2−1)=8×[(√2)2−12]=8×1=8.【知识点】完全平方公式、二次根式的乘法20. 【答案】(1) 原式=6−5+4=5.(2) 原式=√3+√6−2√3+√24÷8 =√3+√6−2√3+√3=√6.【知识点】二次根式的混合运算、二次根式的性质21. 【答案】(1) 3;√10−3(2) ∵√4<√5<√9,∴√5的小数部分为a=√5−2,∵√36<√37<√49,∴√37的整数部分为b=6,∴a+b−√5=√5−2+6−√5=4.【知识点】实数的简单运算、平方根的估算22. 【答案】(1) 原式=4√3÷2√3−3√3×√3×√63+2√2 =2−3√6+2√2=2−√2.(2) 原式=2+2√6+3−(18−12) =2√6−1.【知识点】二次根式的混合运算23. 【答案】原式=√ba×1ab×a3b2=√ab2=√ab.【知识点】二次根式的除法、二次根式的乘法24. 【答案】原式=(12+23−34)×√7=5√712.【知识点】二次根式的加减25. 【答案】a=√13−3,b=4−√13,原式=8.【知识点】二次根式的乘法。
实数单元复习(一)(北师版)一、单选题(共15道,每道6分)1.的平方根是( )A.9B.±9C.±3D.3答案:C解题思路:试题难度:三颗星知识点:略2.下列实数:,,0.1414,,.其中无理数有( )A.2个B.3个C.4个D.5个答案:B解题思路:试题难度:三颗星知识点:略3.下列说法中,正确的是( )①无限小数是无理数;②正数的平方根一定是正数;③4是16的立方根;④算术平方根等于它本身的数是0和1;⑤实数和数轴上的点是一一对应的.A.①③④B.②③④C.④⑤D.①②④⑤答案:C解题思路:试题难度:三颗星知识点:略4.下列说法中,正确的是( )①平方根等于它本身的数为0和1;②64的平方根是±8,64的立方根是±4;③一定是负数;④无理数是无限小数.A.④B.①④C.②③D.①③答案:A解题思路:试题难度:三颗星知识点:略5.一个正数的平方根分别为3a-2和a+6,则这个正数是( )A.1B.5C.-1D.25答案:D解题思路:试题难度:三颗星知识点:略6.下列式子中,属于最简二次根式的是( )A. B.C. D.答案:B解题思路:试题难度:三颗星知识点:略7.式子有意义的的取值范围是( )A.且B.C. D.且答案:A解题思路:试题难度:三颗星知识点:略8.下列计算正确的是( )A. B.C. D.答案:B解题思路:试题难度:三颗星知识点:略9.下列运算正确的是( )A. B.C. D.答案:D解题思路:试题难度:三颗星知识点:略10.计算的结果是( )A. B.C. D.答案:D解题思路:试题难度:三颗星知识点:略11.计算的结果是( )A. B.C.2D.6答案:B解题思路:试题难度:三颗星知识点:略12.计算的结果是( )A.30B.3C.20D.6答案:A解题思路:试题难度:三颗星知识点:略13.若,则代数式的值等于( )A. B.C. D.2答案:A解题思路:试题难度:三颗星知识点:略14.已知,则代数式的值是( )A. B.C. D.答案:D解题思路:试题难度:三颗星知识点:略15.若x,y为实数,且,则的值为( )A.1B.-1C.2D.-2答案:B解题思路:试题难度:三颗星知识点:略。
一、选择题1.下列各式中,运算正确的是( )A.√8−√3=√5B.√13×√27=9C.3√2−√2=3D.√3×√5=√152.已知m=1+√2,n=1−√2,则代数式√m2+n2−3mn的值为( )A.±3B.3C.5D.93.如果代数式√−m+√mn有意义,那么,直角坐标系中点P(m,n)的位置在A.第一象限B.第二象限C.第三象限D.第四象限4.对于任意的正数m,n,定义运算⋇如下:m⋇n={√m−√n(m≥n),√m+√n(m<n).计算(3⋇2)×(8⋇12)的结果为( )A.2−4√6B.2C.2√5D.205.估计√13+1的值在( )A.2和3之间B.3和4之间C.4和5之间D.5和6之间6.任何实数a,可用[a]表示不超过a的最大整数,如[4]=4,[√3]=1.现对72进行如下操作:72第一次→[√72]=8;第二次→[√8]=2;第三次→[√2]=1,这样对72只需进行3次操作即可变为1.类似地,将81变为1需要操作的次数是( )A.2B.3C.4D.57.任何实数a,可用[a]表示不超过a的最大整数,如[4]=4,[√3]=1.现对72进行如下操作:72→第一次[√72]=8→第二次[√8]=2→第三次[√2]=1.这样对72只需进行3次操作后变为1,类似地,只需进行3次操作后变为1的所有正整数中,最大的是( )A.254B.255C.256D.2578.设a>0,b>0,则下列运算错误的是A.√ab=√a⋅√b B.√a+b=√a+√b C.(√a)2=a D.√ab =√a√b9.在有理数1,12,−1,0中,最小的数是( )A.1B.12C.−1D.010.在下列各数中,无理数是( )A.207B.π3C.√4D.0.101001二、填空题11.若x−5y−4√xy=0,则xy=.12.设a是π的小数部分,则根式√a2+6a+10+2π可以用π表示为.13.实数a,b在数轴上的位置如图所示,则化简√(−a)2+√b2−√(a+b)2的结果为.14.在学习二次根式的过程中,小腾发现有一些特殊无理数之间具有互为倒数的关系.例如:由(√2+1)(√2−1)=1,可得√2+1与√2−1互为倒数,即√2+1=√2−1,√2−1=√2+1,类似地,3+2=√3−√2,3−2=√3+√2;2+3=2−√3,2−3=2+√3;⋯.根据小腾发现的规律,解决下列问题:(1)6+5=,√n+1+√n=;(n为正整数)(2)若22+m=2√2−m,则m=;(3)计算:√2+1√3+√2√4+√3+⋯√100+√99=.15.若a=√17+12,则a3−5a+2020=.16.对于实数a,我们规定:用符号[√a]表示不大于√a的最大整数,称[√a]为a的根整数,例如:[√9]=3,[√10]=3.(1)仿照以上方法计算:[√4]=;[√37]=.(2)若[√x]=1,写出所有满足题意的x的整数值:.如果我们对a连续求根整数,直到结果为1为止.例如:对10连续求根整数2次[√10]= 3→[√3]=1,这时候结果为1.(3)对 120 连续求根整数, 次之后结果为 1.(4)只需进行 3 次连续求根整数运算后结果为 1 的所有正整数中,最大的是 .17. 计算:√2a ⋅√a = .三、解答题 18. 阅读材料:黑白双雄、纵横江湖;双剑合璧、天下无敌.这是武侠小说中的常见描述,其意是指两个人合在一起,取长补短,威力无比.在二次根式中也有这种相辅相成的“对子”.如:(2+√3)(2−√3)=1,(√5+√2)(√5−√2)=3,它们的积不含根号,我们说这两个二次根式互为有理化因式,其中一个是另一个的有理化因式,于是,二次根式除法可以这样理解:如:√3=√3√3×√3=√33,√32−√3=√3)(2+√3)(2+√3)(2−√3)=7+4√3.像这样,通过分子、分母同乘以一个式子把分母中的根号化去或把根号中的分母化去,叫做分母有理化. 解决问题:(1) 4−√7 的有理化因式可以是 ,23分母有理化得 .(2) 计算:①已知 x =√3+1√3−1,y =√3−1√3+1,求 x 2+y 2 的值;②1+√2+√2+√3√3+√4⋯+√1999+√2000.19. 已知 x x 2+1=√55,求 x −3+x 3 的值.20. 计算:6(13√2+√3)−12(4√2−8√3)21. 当 x 取什么值时,√x +1+2 的值最小?请求出这个最小值.22. 计算:(1) −12×(−4)2+∣∣−52∣∣×6;(2) (√3−1)2−(√5+√2)(√5−√2).23. 记 R (x ) 表示正数 x 四舍五入后的结果,例如 R (2.7)=3,R (7.11)=7,R (9)=9.(1) R (π)= ,R(√3)= .(2) 若 R (12x −1)=3,则 x 的取值范围是 . (3) 若 R (R (x+2)2)=4,则 x 的取值范围是 .24. 已知:x =√5+√3,y =√5−√3,求代数式 (x +2)(y +2) 的值.25. 当 a =2 时,求下列二次根式的值.(1) √4a −8. (2) √a 2−2a +5.答案一、选择题1. 【答案】D【知识点】二次根式的乘法2. 【答案】B【解析】由已知可得:m+n=2,mn=(1+√2)(1−√2)=−1,原式=√(m+n)2−5mn=√22−5×(−1)=√9=3.【知识点】二次根式的加减、二次根式的乘法、完全平方公式3. 【答案】C【知识点】二次根式的概念4. 【答案】B【解析】原式=(√3−√2)×(√8+√12) =(√3−√2)×(2√2+2√3)=2(√3−√2)×(√3+√2)=2×[(√3)2−(√2)2]=2×(3−2)= 2.【知识点】二次根式的混合运算5. 【答案】C【解析】∵3<√13<4,∴4<√13+1<5,即√13+1在4和5之间,故选:C.【知识点】平方根的估算6. 【答案】B【知识点】二次根式的乘法7. 【答案】B【知识点】平方根的估算8. 【答案】B【知识点】二次根式的概念9. 【答案】C【解析】根据有理数比较大小的方法,可得<1,−1<0<12,−1,0这四个数中,最小的数是−1.∴在1,12【知识点】实数的大小比较10. 【答案】B是分数,是有理数,故不是无理数;【解析】A.207是无理数;B.π3C.√4=2是整数,故不是无理数;D.0.101001是有理数,故不是无理数.【知识点】无理数二、填空题11. 【答案】25或1【知识点】二次根式的混合运算12. 【答案】π+1【知识点】二次根式的性质与化简13. 【答案】2b【知识点】二次根式的加减14. 【答案】√6−√5;√n+1−√n;±√7;9【解析】(1)∵(√6+√5)(√6−√5)=1,=√6−√5;∴√6+√5∵(√n+1+√n)(√n+1−√n)=(√n+1)2−(√n)2=1,=√n+1−√n;∴√n+1+√n(2)=2√2−m,∵2√2+m∴(2√2+m)(2√2−m)=1.∴(2√2)2−m2=1,∴m 2=7, ∴m =±√7; (3)√2+1√3+√2√4+√3⋯√100+√99=(√2−1)+(√3−√2)+(√4−√3)+⋯+(√100−√99)=−1+√2−√2+√3−√3+√4+⋯−√99+√100=√100−1=9.【知识点】二次根式的加减、分母有理化15. 【答案】 2024【解析】 ∵a =√17+12, ∴a 2=9+√172,a 3=13+5√172,∴a 3−5a +2020=13+5√172−5×√17+12+2020=13+5√17−5√17−52+2020=82+2020=4+2020=2024.【知识点】二次根式的加减、简单的代数式求值、二次根式的乘法16. 【答案】 2 ; 6 ; 1,2,3 ; 3 ; 255【解析】(1)∵22=4,62=36,72=49, ∴6<√37<7, ∴[√4]=2,[√37]=6.(2)∵12=1,22=4,且 [√x]=1, ∴x =1,2,3.(3)第 1 次:[√120]=10,第 2 次:[√10]=3,第 3 次:[√3]=1. (4)∵[√255]=15,[√15]=3,[√3]=1,∴ 对 255 只需进行 3 次连续求根整数运算后结果为 1. ∵[√256]=16,[√16]=4,[√4]=2,[√2]=1, ∴ 对 256 需进行 4 次连续求根整数运算后结果为 1,∴ 只需进行 3 次连续求根整数运算后结果为 1 的所有正整数中,最大的是 255. 【知识点】实数的大小比较17. 【答案】 √2a【知识点】二次根式的乘法三、解答题18. 【答案】(1) 4+√7;√32(2) ①当x=√3+1√3−1=√3+1)(√3+1)(√3−1)(√3+1)=4+2√32=2+√3,y=√3−1√3+1=√3−1)(√3−1)(√3+1)(√3−1)=4−2√32=2−√3时,x2+y2=(x+y)2−2xy=(2+√3+2−√3)2−2×(2+√3)×(2−√3)=16−2×1=14.②原式=√2−1+√3−√2+√4−√3+⋯+√2000−√1999 =√2000−1.【解析】(1) 4−√7的有理化因式可以是4+√7,2√3=√3×√32√3=√32.【知识点】二次根式的除法19. 【答案】2√5.【知识点】二次根式的混合运算20. 【答案】原式=2√2+6√3−2√2+4√3=10√3.【知识点】二次根式的加减21. 【答案】当x=−1时,最小值为2.【知识点】二次根式的概念22. 【答案】(1) 原式=−12×16+52×6=−8+15=7.(2) 原式=3−2√3+1−(√52−√22) =4−2√3−3=1−2√3.【知识点】二次根式的混合运算、有理数的加减乘除乘方混合运算23. 【答案】(1) 3;2(2) 7≤x<9(3) 4.5≤x<6.5【解析】(1) ∵π≈3.14,∴R(π)=3;∵√3≈1.73,∴R(√3)=2,即:R(π)=3;R(√3)=2.x−1)=3,(2) ∵R(12x−1<3.5,∴2.5≤12解得:7≤x<9.)=4,(3) ∵R(R(x+2)2<4.5,∴3.5≤R(x+2)2∴7≤R(x+2)<9,∵R(x+2)为整数,∴R(x+2)=7或R(x+2)=8,∴6.5≤x+2<8.5,∴4.5≤x<6.5.【知识点】解连不等式、实数的大小比较+2√5.24. 【答案】412【知识点】二次根式的混合运算25. 【答案】(1) 当a=2时,√4a−8=√4×2−8=√0=0.(2) 当a=2时,√a2−2a+5=√22−2×2+5=√5.【知识点】二次根式的性质与化简。
实数全章复习与测试【知识梳理】一、平方根和立方根二、实数有理数和无理数统称为实数.1.实数的分类要点诠释:(1)所有的实数分成三类:有限小数,无限循环小数,无限不循环小数.其中有限小数和无限循环小数统称有理数,无限不循环小数叫做无理数.②有特殊意义的数,如π;③有特定结构的数,如0.1010010001…(3)凡能写成无限不循环小数的数都是无理数,并且无理数不能写成分数形式. 2.实数与数轴上的点一 一对应.数轴上的任何一个点都对应一个实数,反之任何一个实数都能在数轴上找到一个点与之对应. 3.实数的三个非负性及性质:在实数范围内,正数和零统称为非负数.我们已经学习过的非负数有如下三种形式: (1)任何一个实数a 的绝对值是非负数,即|a |≥0; (2)任何一个实数a 的平方是非负数,即≥0;(3(). 非负数具有以下性质: (1)非负数有最小值零;(2)有限个非负数之和仍是非负数;(3)几个非负数之和等于0,则每个非负数都等于0. 4.实数的运算:数a 的相反数是-a;一个正实数的绝对值是它本身;一个负实数的绝对值是它的相反数;0的绝对值是0.有理数的运算法则和运算律在实数范围内仍然成立.实数混合运算的运算顺序:先乘方、开方、再乘除,最后算加减.同级运算按从左到右顺序进行,有括号先算括号里.5.实数的大小的比较:有理数大小的比较法则在实数范围内仍然成立.法则1. 实数和数轴上的点一一对应,在数轴上表示的两个数,右边的数总比左边的数大; 法则2.正数大于0,0大于负数,正数大于一切负数,两个负数比较,绝对值大的反而小; 法则3. 两个数比较大小常见的方法有:求差法,求商法,倒数法,估算法,平方法. 三、二次根式的相关概念和性质1. 二次根式等式子,都叫做二次根式. 2a 0≥0a ≥0)a ≥2.二次根式的性质(1);(2);(3).3. 最简二次根式1)被开方数是整数或整式;2)被开方数中不含能开方的因数或因式.满足上述两个条件的二次根式,叫做最简二次根式.. 要点诠释:最简二次根式有两个要求:(1)被开方数不含分母;(2)被开方数中每个因式的指数都小于根指数2. 四、二次根式的运算 1. 乘除法 (1)乘除法法则:类型 法则 逆用法则二次根式的乘法积的算术平方根化简公式:二次根式的除法商的算术平方根化简公式:要点诠释:(1)当二次根式的前面有系数时,可类比单项式与单项式相乘(或相除)的法则,如2.加减法将二次根式化为最简二次根式后,将同类二次根式的系数相加减,被开方数和根指数不变,即合并同类二次根式. 要点诠释:二次根式相加减时,要先将各个二次根式化成最简二次根式,再找出同类二次根式,最后合并同类二次【考点剖析】 一.平方根(共2小题) 1.(2023•常德三模)的平方根是() A .4B .±4C .±2D .2【分析】根据平方根的定义,求数a 的平方根,也就是求一个数x ,使得x2=a ,则x 就是a 的平方根,由此即可解决问题. 【解答】解:=4,4的平方根是±2.故选:C .【点评】本题考查了平方根的定义.注意一个正数有两个平方根,它们互为相反数;0的平方根是0;负数没有平方根.0,0)a b =≥≥0,0)a b =≥≥0,0)a b =≥>0,0)a b =≥>2.(2023春•滨城区期中)已知:2m+1和m﹣4是正数a的两个平方根,则a﹣m的值是8.【分析】一个正数有两个平方根,这两个平方根互为相反数,由此即可计算.【解答】解:∵2m+1和m﹣4是正数a的两个平方根,∴2m+1+m﹣4=0,∴m=1,∴2m+1=2×1+1=3,∴a=9,∴a﹣m=9﹣1=8.故答案为:8.【点评】本题考查平方根的概念,关键是掌握平方根的定义.二.算术平方根(共2小题)3.(2023春•汉阳区期末)若3a﹣22和2a﹣3是实数m的平方根,则的值为()A.B.C.D.【分析】根据平方根的性质可知,3a﹣22和2a﹣3互为相反数,即可求解.【解答】解:根据平方根的性质可知,3a﹣22+2a﹣3=0,解得a=5,∴3a﹣22=﹣7,∴m=(﹣7)2=49,∴,故选:A.【点评】本题考查了平方根的性质,解题的关键是掌握平方根的性质.4.(2023•韩城市一模)9的算术平方根是()A.3B.﹣3C.±3D.【分析】根据算术平方根的定义求解即可.【解答】解:9的算术平方根是3,故选:A.【点评】本题考查算术平方根的求解,熟练掌握算术平方根的定义是解题的关键.三.非负数的性质:算术平方根(共3小题)5.(2023春•常州期末)已知,则a+b的值是()A.1B.3C.5D.6【分析】直接利用二次根式有意义的条件得出a,b的值,进而得出答案.【解答】解:∵,∴a﹣3=0,2﹣b=0,解得:a=3,b=2,∴a+b=5.故选:C.【点评】此题主要考查了非负数的性质,正确得出a,b的值是解题关键.6.(2023春•雷州市校级期中)若,则(x+y)2的值为()A.﹣1B.﹣2C.2D.1【分析】根据非负数的性质“两个非负数相加和为0,这两个非负数的值都为0”解出x、y的值,再把x、y的值代入求解.【解答】解:根据题意得:,解得:,则(x+y)2=(﹣1)2=1.故选:D.【点评】本题考查了非负数的性质:有限个非负数的和为零,那么每一个加数也必为零.7.(2022秋•成都期末)若x,y为实数,且(x﹣1)2与互为相反数,则x2+y2的平方根为()A.B.C.±5D.【分析】直接利用非负数的性质得出x,y的值,进而利用平方根的定义得出答案.【解答】解:∵(x﹣1)2与互为相反数,∴(x﹣1)2+=0,∴x﹣1=0,3y﹣6=0,解得:x=1,y=2,则x2+y2=12+22=5,故x2+y2的平方根为:±.故选:D.【点评】此题主要考查了非负数的性质以及平方根的定义,正确得出x,y的值是解题关键.四.立方根(共2小题)8.(2023春•大兴区期末)如果≈1.333,≈2.872,那么约等于()A.28.72B.0.2872C.13.33D.0.1333【分析】根据立方根,即可解答.【解答】解:∵≈1.333,∴=≈1.333×10=13.33.故选:C.【点评】本题考查了立方根,解决本题的关键是熟记立方根的定义.9.(2023•榆阳区二模)﹣的立方根为()A.﹣B.C.﹣D.【分析】直接根据立方根的定义解答即可.【解答】解:∵(﹣)3=﹣,∴﹣的立方根为﹣.故选:A.【点评】本题考查的是立方根,熟知立方根的定义是解题的关键.五.计算器—数的开方(共1小题)10.(2021秋•杏花岭区校级期中)求一个正数的算术平方根,有些数可以直接求得,如,有些数则不能直接求得,如,但可以通过计算器求得,还有一种方法可以通过一组数的内在联系,运用规律求得,请同学们观察表:(1)表中所给的信息中,能发现规律:被开方数的小数点每向左或向右移动2位则它的算术平方根的小数点就向移动位;(2)运用你发现的规律,探究下列问题:①若≈1.910,≈6.042,则≈;②已知x2≈0.000365,则x≈.【分析】(1)从被开方数和算术平方根的小数点的移动位数考虑解答;(2)根据(1)中的规律解答即可.【解答】解:(1)由表格可以看出被开方数的小数点向左或向右移动2位,算术平方根的小数点就向左或向右移动1位,故答案为:向左或向右,1;(2)①由(1)可知,被开方数的小数点向右移动4位,算术平方根的小数点就向右移动2位,∵≈6.042,∴=604.2;②由(1)可知,被开方数的小数点向左移动4位,算术平方根的小数点就向左移动2位,∵≈1.910,x2≈0.000365,又∵一个正数的平方根有两个,∴x=±=±0.0190.故答案为:①604.2;②±0.0190【点评】本题考查了算术平方根,平方根以及规律型—数字的变化类,找出被开方数的小数点的移动规律是解题的关键.六.无理数(共2小题)11.(2023春•梁平区期中)在下列各数:3.14,﹣π,,、、中无理数的个数是()A.2B.3C.4D.5【分析】根据无理数的三种形式:①开方开不尽的数,②无限不循环小数,③含有π的数,找出无理数.【解答】解:无理数有﹣π,,共3个.故选:B.【点评】本题考查了无理数的定义:无限不循环小数叫无理数,常见形式有:①开方开不尽的数,如等;②无限不循环小数,如0.101001000…等;③字母,如π等.12.(2022秋•衡山县期末)在实数,,,,3.14中,无理数有()A.1个B.2个C.3个D.4个【分析】根据无理数是无限不循环小数,可得答案.【解答】解:,是无理数,故选:B.【点评】本题考查了无理数,无理数是无限不循环小数,注意带根号的数不一定是无理数.七.实数(共2小题)13.(2023春•东昌府区期中)在实数,,,0,中,有理数有()A.1个B.2个C.3个D.4个【分析】根据有理数的意义,即可解答.【解答】解:在实数,,,0,中,有理数有,,0,共有3个,故选:C.【点评】本题考查了实数,熟练掌握有理数的意义是解题的关键.14.(2023春•凯里市校级期中)把下列各数填入表示它所在的数集的大括号:﹣2.4,π,2.022,,﹣0.15,0,﹣10,﹣1.1010010001….整数集合:{};负分数集合:{};正实数集合:{};无理数集合:{}.【分析】实数包括有理数和无理数;整数和分数统称为有理数;无理数即无限不循环小数,据此进行分类即可.【解答】解:整数集合:0,﹣10;负分数集合:﹣2.4,﹣,﹣0.15;正实数集合:π,2.022;无理数集合:π,﹣1.1010010001…;故答案为:0,﹣10;﹣2.4,﹣,﹣0.15;π,2.022;π,﹣1.1010010001….【点评】本题考查实数的分类,此为基础且重要知识点,必须熟练掌握.八.实数的性质(共2小题)15.(2021秋•莱西市期末)已知正数a的两个平方根分别是2x﹣3和1﹣x,与互为相反数.求a+2b的算术平方根.【分析】由正数的两个平方根互为相反数,得2x﹣3+1﹣x=0,由与互为相反数,得1﹣2b+(3b﹣5)=0,即可求解.【解答】解∵:正数a的两个平方根分别是2x﹣3和1﹣x,∴2x﹣3+(1﹣x)=0,∴x=2,∴a=(1﹣x)2=(1﹣2)2=1,∵与互为相反数,∴1﹣2b+(3b﹣5)=0,∴b=4,∴a+2b=1+2×4=9,∴a+2b的算术平方根是3.【点评】本题考查平方根,算术平方根,相反数的概念,关键是掌握这些概念的性质.16.(2021秋•射阳县校级期末)已知实数a、b互为相反数,c、d互为倒数,x的绝对值为,求代数式(a+b+cd)x+﹣的值.【分析】根据题意可得a+b=0,cd=1,x=±7,然后代入代数式求值即可.【解答】解:=7,∵a、b互为相反数,∴a+b=0,∵c、d互为倒数,∴cd=1,∵x的绝对值为.∴x=±7,当x=7时,原式=(0+1)×7+﹣=7﹣1=6,当x=﹣7时,原式=(0+1)×(﹣7)+﹣=﹣7﹣1=﹣8,∴所求代数式的值为6或﹣8.【点评】此题主要考查了实数运算和求代数式的值,关键是掌握相反数和为0,倒数积为1.九.实数与数轴(共1小题)17.(2022春•宁明县期末)如图所示,数轴的正半轴上有A、B、C三点,表示1和的对应点分别为A、B,点B到点A的距离与点C到点O的距离相等,设点C所表示的数为x.(1)请你写出数x的值;(2)求(x﹣)2的立方根.【分析】(1)根据数轴上两点间的距离求出AB之间的距离即为x的值;(2)把x的值代入所求代数式进行计算即可.【解答】解:(1)∵点A、B分别表示1,,∴AB=﹣1,即x=﹣1;(2)∵x=﹣1,∴原式==,∴1的立方根为1.【点评】本题考查的是实数与数轴,熟知实数与数轴上的点是一一对应关系是解答此题的关键.十.实数大小比较(共2小题)18.(2022秋•海口期末)比较2,3,的大小,正确的是()A.<3<2B.2<<3C.<2<3D.2<3<【分析】分别算出2,3的平方,即可比较大小.【解答】解:,∵7<8<9,∴,故选:C.【点评】本题考查了实数大小比较,解决本题的关键是先算出3个数的平方,即可比较大小.19.(2023春•龙子湖区期中)比较大小:(填“>”“<”“=”).【分析】首先确定﹣1与1的大小,进行比较即可求解.【解答】解:∵4<5<9,∴2<<3,∴1<﹣1<2,∴>.故答案是:>.【点评】此题主要考查了无理数的估算能力,此题把它们的减数变成和被减数相同的形式,然后只需比较被减数的大小.分母相同时,分子大的大.十一.估算无理数的大小(共2小题)20.(2023春•合江县期中)绝对值小于的所有正整数的和是.【分析】根据无理数的估算方法得到,即的整数部分是4,由此得到正整数值,得到答案.【解答】解:∵16<21<25,∴,∴绝对值小于的所有正整数有1,2,3,4,∴和为10,故答案为:10.【点评】此题考查了无理数的估算,正确掌握无理数的估算方法是解题的关键.21.(2022秋•长安区校级期末)的小数部分为a,则a(a+4)=.【分析】先根据的范围求出a的值,代入后进行计算即可.【解答】解;∵2<<3,∴a=﹣2,∴a(a+4)=(﹣2)(﹣2+2)=(﹣2)(+2)=7﹣4=3,故答案为:3.【点评】本题考查了估算无理数的大小,二次根式的混合运算,平方差公式的应用,解此题的关键是求出a 的值.十二.实数的运算(共3小题)22.(2023春•东莞市期中)计算:.【分析】根据实数的混合运算法则计算即可.【解答】解:==.【点评】本题考查了二次根式的加减运算,以及算术平方根、实数的乘方运算等知识,解题的关键是掌握运算法则进行解题.23.(2022秋•泰兴市期末)(1)计算:;(2)求3(x﹣1)3=81中的x的值.【分析】(1)先计算二次根式与绝对值,再计算加减;(2)通过变形后运用开立方进行求解.【解答】解:(1)=3+π﹣3﹣3=π﹣3;(2)两边都除以3,得(x﹣1)3=27,开立方,得x﹣1=3,解得x=4.【点评】此题考查了实数混合运算的能力,关键是能准确确定运算方法和顺序,并能进行正确地计算.24.(2022秋•亭湖区期末)计算:.【分析】先化简各式,然后再进行计算即可解答.【解答】解:=﹣3+4﹣2=﹣1.【点评】本题考查了实数的运算,准确熟练地进行计算是解题的关键.十三.二次根式的定义(共1小题)25.(2023春•庐阳区校级期末)下列式子中,一定是二次根式的是()A.B.C.D.【分析】形如(a≥0)的式子即为二次根式,据此进行判断即可.【解答】解:不符合二次根式定义,则A不符合题意;=2,符合二次根式的定义,则B符合题意;不符合二次根式定义,则C不符合题意;当a<0时,不符合二次根式定义,则D不符合题意;故选:B.【点评】本题考查二次根式的定义,此为基础且重要知识点,必须熟练掌握.十四.二次根式有意义的条件(共1小题)26.(2022秋•岳麓区校级期末)要使二次根式在实数范围内有意义,则x的取值范围是()A.B.C.x≥D.x≤【分析】根据二次根式有意义的条件可得5x﹣2≥0,再解不等式即可.【解答】解:由题意得:5x﹣2≥0,解得:x≥,故选:C.【点评】此题主要考查了二次根式有意义的条件,关键是掌握二次根式中的被开方数是非负数.十五.二次根式的性质与化简(共3小题)27.(2023春•合肥期末)化简的结果是()A.3﹣πB.3+πC.﹣3﹣πD.﹣3+π【分析】先利用完全平方公式将原式变形,然后根据=|a|=进行化简即可.【解答】解:原式==|3﹣π|=﹣(3﹣π)=﹣3+π,故选:D.【点评】本题考查二次根式的化简,先将原式化为是解题的关键.28.(2022秋•开福区校级期末)在学习二次根式时,小明同学发现了两个非常有趣的式子,分别把它们定义为“L运算”和“X运算”.其中,.为了使二次根式有意义,我们规定a为实数,且满足a2≥2021.(1)求证:L(a)•X(a)=2021;(2)若实数x满足L(x)=43,求x的值;(3)已知实数x,y满足L(x)•L(y)=2021,t为任意实数,求代数式的最小值.【分析】(1)只需要证明即可;(2)根据题意可得方程,解方程即可得到答案;(3)由(1)得L(x)⋅X(x)=2021,L(y)⋅X(y)=2021,再由L(x)⋅L(y)=2021,得到L(y)=X(x),L(x)=X(y),由此推出x﹣y=0,x2=y2=2021,进而得到=,由,得到,据此求解即可.【解答】解:(1)证明:∵,,∴==a2﹣(a2﹣2021)=a2﹣a2+2021=2021;(2)∵,∴,∴(x﹣43)2=x2﹣2021,∴x2﹣86x+1849=x2﹣2021,解得x=45;(3)由(1)知L(x)⋅X(x)=2021,L(y)⋅X(y)=2021,∵L(x)⋅L(y)=2021,∴L(y)=X(x),L(x)=X(y),∴,,∴,,∴x﹣y=0,∴,∵,∴,∴y2﹣2021=0,x2﹣2021=0,∴x2=y2=2021,∴======,∵,∴,∴,∴的最小值为.【点评】本题考查了新定义下的实数运算,二次根式的混合计算,解无理方程,非负数的性质,掌握相应的运算方法是关键.29.(2022秋•永定区期末)阅读下列例题.在学习二次根式性质时我们知道例题求的值.解:设x=,两边平方得:,即,x2=10∴x=.∵>0,∴=.请利用上述方法,求的值.【分析】根据题意给出的解法即可求出答案.【解答】解:根据题意,设x=+,两边平方得:x2=()2+()2+,x2=4++4﹣+2×,即x2=4++4﹣+6,x2=14,∴x=±,∵+>0,∴x=.【点评】本题考查二次根式的运算,掌握二次根式的运算法则是关键.十六.最简二次根式(共1小题)30.(2023春•路北区期中)下列二次根式中,是最简二次根式的是()A.B.C.D.【分析】直接利用最简二次根式的定义分析得出答案.【解答】解:A、=,故不是最简二次根式,不合题意;B、,是最简二次根式,符合题意;C、=2,故不是最简二次根式,不合题意;D、=5,故不是最简二次根式,不合题意;故选:B.【点评】此题主要考查了最简二次根式,正确把握定义是解题关键.十七.二次根式的乘除法(共3小题)31.(2023春•兴县期中)若成立,则()A.x<6B.0≤x≤6C.x≥0D.0≤x<6【分析】根据分式和二次根式有意义的条件进行解答即可.【解答】解:要使成立,则,解得:0≤x<6,故D正确.故选:D.【点评】本题主要考查了二次根式和分式有意义的条件,解题的关键是熟练掌握二次根式的被开方数大于等于0,分式的分母不等于0.32.(2023春•密云区期末)计算:2.【分析】根据二次根式的乘除法法则计算即可.【解答】解:原式=2××=××=6.【点评】本题考查的是二次根式的乘除法,掌握二次根式的乘除法法则是解题的关键.33.(2022秋•零陵区期末)阅读材料:小明在学习二次根式后,发现一些含根号的式子可以写成另一个式子的平方,如:3+2=1+2+2=(1+)2,善于思考的小明进行了以下探索:设a+b=(m+n )2(其中a、b、m、n均为整数),则有a+b=m2+2n2+2mn.∴a=m2+2n2,b=2mn.这样小明就找到了一种把部分a+b的式子化为平方式的方法.请你仿照小明的方法探索并解决下列问题:(1)当a、b、m、n均为正整数时,若a+b=(m+n)2,用含m、n的式子分别表示a、b的值;(2)试着把7+4化成一个完全平方式.【分析】(1)直接利用完全平方公式将原式变形,进而得出答案;(2)利用完全平方公式将原式变形得出答案.【解答】解:(1)∵a+b=(m+n)2,∴a+b=m2+2mn+3n2,∴a=m2+3n2,b=2mn;(2)7+4=4+4+3=(2+)2.【点评】此题主要考查了二次根式的乘除以及完全平方公式,正确运用完全平方公式是解题关键.十八.二次根式的加减法(共2小题)34.(2023春•吉林月考)计算:.【分析】先把各根式化为最简二次根式,再合并同类二次根式即可.【解答】解:+﹣==.【点评】本题考查的是二次根式的加减法,熟知二次根式相加减,先把各个二次根式化成最简二次根式,再把被开方数相同的二次根式进行合并,合并方法为系数相加减,根式不变是解题的关键.35.(2023春•抚松县期中)计算:.【分析】先把各根式化为最简二次根式,再合并同类二次根式即可.【解答】解:原式=5﹣3+4=6.【点评】本题考查的是二次根式的加减法,熟知二次根式相加减,先把各个二次根式化成最简二次根式,再把被开方数相同的二次根式进行合并,合并方法为系数相加减,根式不变是解题的关键.十九.二次根式的混合运算(共2小题)36.(2023春•宿城区期末)计算:.【分析】先进行乘法的运算,化简运算,再进行加减运算即可.【解答】解:=2+﹣4×=4+﹣2=4﹣.【点评】本题主要考查二次根式的混合运算,解答的关键是对相应的运算法则的掌握.37.(2023春•海林市校级期中)(1)观察下列各式的特点:,,,,…根据以上规律可知:(填“>”“<”或“=”).(2)观察下列式子的化简过程:,,=,…根据观察,请写出式子(n≥2,且n是正整数)的化简过程.(3)根据上面(1)(2)得出的规律计算下面的算式:++•+ .【分析】(1)利用题目中的几个不等式的大小的规律求解;(2)利用分母有理化进行化简;(3)先分母有理化,再去绝对值,然后合并即可.【解答】解:(1)∵﹣>﹣;故答案为:>;(2)==﹣(n≥2,且n是正整数);(3)原式=|﹣1﹣(﹣)|+|﹣﹣(﹣)|+|﹣﹣(﹣)|+•+|﹣﹣(﹣)|=(﹣1)﹣(﹣)+(﹣)﹣(﹣)+(﹣)﹣(﹣)+•+(﹣)﹣(﹣)=﹣1﹣+10=+9﹣.【点评】本题考查了二次根式的混合运算:熟练掌握二次根式的性质、二次根式的乘法法则和分母有理化是解决问题的关键.二十.二次根式的化简求值(共2小题)38.(2023春•泰安期中)(1)当时,求代数式的值.(2)当,,求代数式a2﹣3ab+b2的值.【分析】(1)先判断出a﹣3的符号,再把二次根式进行化简即可;(2)把原式化为(a﹣b)2﹣ab的形式,再把a,b的值代入进行计算即可.【解答】解:(1)∵a=3﹣2,∴a﹣3=3﹣2﹣3=﹣2<0,∴=a+2=a+2(3﹣a)=a+6﹣2a=6﹣a,=6﹣(3﹣2)=6﹣3+2=3+2;(2)∵,,∴a﹣b=3+2﹣3+2=4,ab=(3+2)(3﹣2)=1∴a2﹣3ab+b2=(a﹣b)2﹣ab=(4)2﹣1=32﹣1=31.【点评】本题考查的是二次根式的化简求值,熟知二次根式混合运算的法则是解题的关键.39.(2023春•梁山县期中)阅读下面的文字,解答问题:大家知道是无理数,而无理数是无限不循环小数,因此的小数部分我们不可能全部写出来,于是小明用来表示的小数部分,你同意小明的表示方法吗?事实上,小明的表示方法是有道理的,因为的整数部分是1,将这个数减去其整数部分,差就是小数部分.又例如:∵,即.∴的整数部分为2,小数部分为.请解答:(1)的整数部分是,小数部分是.(2)如果的小数部分为a,的整数部分为b,求的值.【分析】(1)根据算术平方根的定义估算无理数的大小即可;(2)估算无理数,的大小,确定a、b的值,再代入计算即可.【解答】解:(1)∵,即,∴的整数部分为4,小数部分为,故答案为:4,;(2)∵,,∴的小数部分,的整数部分b=3,∴,答:的值为1.【点评】本题考查估算无理数的大小,掌握算术平方根的定义是正确估算的前提,理解不等式的性质是得出答案的关键.【过关检测】一、单选题【答案】C【分析】无理数就是无限不循环小数.理解无理数的概念,一定要同时理解有理数的概念,有理数是整数与分数的统称.即有限小数和无限循环小数是有理数,而无限不循环小数是无理数.【详解】解:A 、13−是有理数,不是无理数,不符合题意;B 12=是有理数,不是无理数,不符合题意;C 、2π是无理数,符合题意;D 、0.232332333是有理数,不是无理数,不符合题意;故选C .【点睛】本题考查了无理数的识别,无限不循环小数叫无理数,初中范围内常见的无理数有三类:①含π类,如2π,3π等;②开方开不尽的数,③虽有规律但却是无限不循环的小数,如0.1010010001⋯(两个1之间依次增加1个0),0.2121121112…(两个2之间依次增加1个1)等.A .在5和6之间B .在6和7之间C .在7和8之间D .在8和9之间【答案】B+4位于哪两个整数之间即可.【详解】解:∴23,∴6<7.故选:B .【点睛】本题主要考查了估算无理数的大小,掌握逼近法是解题的关键. 3.如图,用边长为3的两个小正方形拼成一个大正方形,则大正方形的边长最接近的整数是( )A .3B .4C .5D .6【答案】B 【分析】先利用正方形的面积公式求出大正方形的边长,再利用无理数的估算、实数的大小比较法则即可得.<<,16182545,−−=,又5184)54=−9(=⨯2 4.5,=⨯>20,∴>,54∴4,即大正方形的边长最接近的整数是4,故选:B.【点睛】本题考查了无理数的估算、实数的大小比较法则,熟练掌握实数的大小比较法则是解题关键.A.0个B.1个C.2个D.3个【答案】C【分析】①根据无理数与数轴的关系即可判定;②根据无理数的定义即可判定;③根据立方根的定义即可判定;④根据平方根的定义即可判定.【详解】解:①所有无理数都能用数轴上的点表示是正确的;②2,原来的说法是错误的;③任何实数都有立方根是正确的;4,4的平方根是±2,原来的说法是错误的.故选:C.【点睛】本题主要考查了实数中无理数的概念,平方根,立方根的概念.有一定的综合性.A .65B .60C .30D .26【答案】C【分析】首先根据非负数的性质可得a-5=0,b-12=0,c-13=0,进而可得a、b 、c 的值,再利用勾股定理逆定理证明△ABC 是直角三角形,最后由直角三角形面积公式求解即可.【详解】解:,∴a-5=0,b-12=0,c-13=0,∴a=5,b=12,c=13,∵52+122=132,∴△ABC 是直角三角形, ∴S △ABC=1151222a b ⋅=⨯⨯=30.故选:C .【点睛】此题主要考查了非负数的性质,以及勾股定理逆定理,熟练掌握如果三角形的三边长a ,b ,c 满足a2+b2=c2,那么这个三角形就是直角三角形,利用非负数性质求出a 、b 、c 的值是解题的关键.A .±2B .4C .2D .±4【答案】D 【分析】根据绝对值,平方,二次根式的非负性求出x ,y ,z ,算出代数式的值计算即可;【详解】27(7)0y z ++−=, ∴207070x y z −=⎧⎪+=⎨⎪−=⎩,解得277x y z =⎧⎪=−⎨⎪=⎩, ∴()27716xy z −+=−−+=, ∴4±;故选:D .【点睛】本题主要考查了平方根的求解,结合绝对值、二次根式的非负性计算是解题的关键.A .1B .1−C .4D .4− 【答案】B【分析】根据偶次方和绝对值的非负性求出a ,b 的值,代入代数式求值即可得出答案.【详解】解:原式变形为:21()02a −=,∴10,202a b −=+=,∴1,22a b ==−,∴122ab =−⨯=1−.故选:B .【点睛】本题考查了非负数的性质,掌握几个非负数的和为0,则这几个非负数分别等于0是解题的关键.A .①B .②C .③D .没有错误 【答案】A【详解】解:∵−=,∴−=,以上推导错误的一步是:①,应该为:∵−=,而−,∴−=−,故选:A .【点睛】此题主要考查了二次根式的性质,正确化简是解题关键.9.下列运算正确的是( )【答案】B【分析】根据二次根式的加减乘除相关运算法则逐项验证即可得到答案.【详解】解:A无法在加减运算中合并同类二次根式,B==,该选项运算正确;C、根据二次根式加法运算法则,==≠,该选项错误;D2故选:B.【点睛】本题考查二次根式的加减乘除相关运算法则,熟练掌握二次根式相关运算公式是解决问题的关键.10.设n是任意正整数,代入式子n3-n中计算时,四名同学算出如下四个结果,其中正确的结果可能是()A.388947B.388944C.388953D.388949【答案】B【分析】由n3-n=n(n-1)(n+1)≈n3,由答案四项的大小相差不大,且立方根约为自然数73,所以可得n的值为73,即可求出代数式的值.【详解】∵n3-n=n(n-1)(n+1)≈n3≈≈≈≈73∴n=73∴n3-n=72×73×74=388944故选B.【点睛】本题考查了代数式求值在实际问题中运用.二、填空题11.如图所示,以数轴的单位长度线段为边作一个正方形,以表示数2的点为圆心,正方形的对角线长为半径画弧,交数轴于点A,则点A表示的数是_____.【答案】2【分析】先利用勾股定理求出圆弧的半径长,再根据数轴的性质即可得.=因为点A在表示数2的点的左侧,所以点A表示的数是2故答案为:2【点睛】本题考查了勾股定理、实数与数轴,熟练掌握勾股定理是解题关键.【答案】2【分析】先化简绝对值可得a=26a=,再根据算术平方根的定义、相反数的定义即可得.【详解】解:6a=,a∴=26a∴=,2==−,则2,故答案为:2.【点睛】本题考查了化简绝对值、算术平方根、相反数,熟练掌握算术平方根的定义是解题关键.3=−【分析】根据已知等式得出第n【详解】解:观察等式1,2……。
一、选择题1.实数a在数轴上的位置如图所示,则√(a−4)2+√(a−11)2化简后为( )A.7B.−7C.2a−15D.无法确定2.下列各式不成立的是( )A.√18−√89=73√2B.√2+23=2√23C.√8+√182=√4+√9=5D.√3+√2=√3−√23.下列说法中,正确的是( )A.整数和分数统称为有理数B.正分数,0,负分数统称为分数C.正整数、负整数、正分数、负分数统称为有理数D.0不是有理数4.下列计算结果正确的是( )A.√2+√3=√5B.2√2−√2=2C.√2×√3=√6D.√2√3=3√65.若a=√2,b=√3,c=√5,则下列数中最大的是( )A.a5b7c7B.a8b5c7C.a7b7c6D.a8b8c56.下列计算正确的是( )A.2a−3a=a B.(a3)2=a6C.√−2a=√−2×√a D.a6÷a3=a27.任何实数a,可用[a]表示不超过a的最大整数,如[4]=4,[√3]=1.现对72进行如下操作:72第一次→[√72]=8;第二次→[√8]=2;第三次→[√2]=1,这样对72只需进行3次操作即可变为1.类似地,将81变为1需要操作的次数是( )A.2B.3C.4D.58.若一个正数的平方根是m+3和2m−15,n的立方根是−2,则−n+2m的算术平方根是( )A.−4B.±4C.4D.09. 计算 2a√a 3b −ab√b 39a(a >0,b >0) 的结果是 ( )A . 53√abB . 23√abC .179√abD . 89√ab10. 估计 √11 的值在 ( ) A . 4 和 5 之间 B . 3 和 4 之间 C . 2 和 3 之间 D . 1 和 2 之间二、填空题11. 等式 √(x +1)(x −1)=√x −1⋅√x +1 成立的条件是 .12. 一列有规律的数:√2,2,√6,2√2,√10,⋯,则第 6 个数是 ,第 n 个数是 (n 为正整数).13. 已知:√18−√2=a √2−√2=b √2,则 ab = .14. 已知 a =√7+2,b =√7−2,则 a +b = ,ab = .15. 已知 (a +6)2+√b 2−2b −3=0,则 2b 2−4b −a 的值为 .16. 在如图方格中,若要使横、竖、斜对角的 3 个实数相乘都得到同样的结果,则 2 个空格的实数之积为 .3√22√3163√217. 已知 √2020 与最简二次根式 √2a −1 是同类二次根式,则 a 的值是 .三、解答题 18. 计算:(1) √32−√20+√50−√80. (2) √313÷√116×√225.(3) 23√9x +7√x2−3x√1x −32√18x .(4) (√2−√3)2(5+2√6).19.已知x=√5+1,求x2−2x的值.20.计算:(√3−√2)(√3+√2)+√3+1(√2)−2−∣∣1−√3∣∣.21.已知4x2+y2−4x−6y+10=0,求(23x√9x+y2√xy3)−(x2√1x−5x√yx)的值.22.解答下列式子.(1) (√50−√8)+√2.(2) (2√5−√7)(2√5+√7)−(√5−3)2.23.若3+√7的整数部分为a,3−√7的小数部分为b,求ab+5b的值.24.大家知道√2是无理数,而无理数是无限不循环小数,因此√2的小数部分我们不可能全部写出来,1<√2<2,于是可用√2−1来表示√2的小数部分.请解答下列问题:(1) √35的整数部分是,小数部分是.(2) 如果√11的小数部分为a,√27的整数部分为b,求a+b−√11的值.(3) 已知:90+√117=x+y,其中x是整数,且0<y<1,求x+√117+59−y的平方根.25.计算题.2 3√9x+6√x4−2x√1x.答案一、选择题1. 【答案】A【解析】由数轴上点的位置可知5<a<10,∴a−4>0,a−11<0,∴√(a−4)2+√(a−11)2=∣a−4∣+∣a−11∣=a−4+11−a=7.【知识点】二次根式的性质与化简2. 【答案】C【知识点】二次根式的混合运算3. 【答案】A【知识点】实数4. 【答案】C【解析】A. √2+√3≠√5,不是同类二次根式,不能合并,本选项错误;B. 2√2−√2=√2,本选项错误;C. √2×√3=√6,本选项正确;D. √2√3=√63,本选项错误.【知识点】二次根式的乘法5. 【答案】A【知识点】实数的大小比较6. 【答案】B【知识点】二次根式的乘法、幂的乘方7. 【答案】B【知识点】二次根式的乘法8. 【答案】C【解析】∵一个正数的两个平方根分别是m+3和2m−15,∴m+3+2m−15=0,解得:m=4,∵n的立方根是−2,∴n=−8,把m=4,n=−8代入−n+2m=8+8=16,所以−n+2m的算术平方根是4.故选:C.【知识点】立方根的概念,性质及运算、平方根的概念,性质及运算、算术平方根的概念9. 【答案】A【解析】∵a>0,b>0,∴2a √a3b−ab√b39a=2a×a×√ab−ab×b3a√ab=2√ab−13√ab=53√ab.【知识点】二次根式的加减10. 【答案】B【解析】∵9<11<16,∴3<√11<4,即√11的值在3与4之间.故选:B.【知识点】平方根的估算二、填空题11. 【答案】x≥1【知识点】二次根式的乘法12. 【答案】2√3;√2n【解析】∵√2,2=√4,√6,2√2=√8,√10,∴第6个数是√12=2√3.∴第n个数是√2n.【知识点】二次根式的性质与化简13. 【答案】6【解析】原式=3√2−√2=a√2−√2=b√2=2√2,故a=3,b=2,则ab=6.【知识点】二次根式的混合运算14. 【答案】2√7;3【知识点】二次根式的混合运算15. 【答案】12【解析】∵(a+6)2+√b2−2b−3=0,∴a+6=0,b2−2b−3=0,∴a=−6,b2−2b=3,可得2b2−4b=6,则2b2−4b−a=6−(−6)=12.【知识点】二次根式的概念16. 【答案】6√2【解析】由题意可知,第一行三个数的乘积为:2√3×2×√3=6√6,设第二行中间数为x,则1×x×6=6√6,解得x=√6,设第三行第一个数为y,则y×3×√2=6√6,解得y=2√3,∴2个空格的实数之积为xy=2√18=6√2.【知识点】二次根式的乘法17. 【答案】253【解析】√2020=2√505,∵√2020与最简二次根式√2a−1是同类二次根式,∴2a−1=505,解得a=253.【知识点】最简二次根式、同类二次根式三、解答题18. 【答案】(1) 原式=4√2−2√5+5√2−4√5 =9√2−6√5.(2) 原式=√103×67×125=4√217.(3) 原式=2√x+7√2x2−3√x−9√2x2 =−√x−√2x.(4) 原式=(2+3−2√6)(5+2√6) =25−24=1.【知识点】二次根式的混合运算、二次根式的乘法、二次根式的加减、二次根式的除法19. 【答案】解法一:∵x=√5+1,∴x−1=√5,∴x2−2x=x2−2x+1−1=(x−1)2−1=(√5)2−1= 4.【解析】解法二:∵x=√5+1,∴x2−2x=x(x−2)=(√5+1)(√5+1−2) =(√5)2−1= 4.【知识点】二次根式的乘法20. 【答案】原式=3−2+√3−1)(√3+1)(√3−1)−12−(√3−1)=3−2+√3−1−12−√3+1=12.【知识点】二次根式的混合运算、负指数幂运算21. 【答案】∵4x2+y2−4x−6y+10=0,4x2−4x+1+y2−6y+9=0,(2x−1)2+(y−3)2=0,∴x=12,y=3,原式=23x√9x+y2√xy3−x2√1x+5x√yx=2x√x+√xy−x√x+5√xy=x√x+6√xy.当x=12,y=3时,原式=12×√12+6√32=√24+3√6.【知识点】二次根式的混合运算22. 【答案】(1) 原式=5√2−2√2+√2=4√2.(2) 原式=20−7−(5−6√5+9) =13−14+6√5=6√5−1.【知识点】二次根式的混合运算、二次根式的加减23. 【答案】∵a<√7<3,∴5<3+√7<6,0<3−√7<1,∴a=5,b=3−√7,∴ab+5b=5(3−√7)+5(3−√7)=30−10√7.【知识点】实数的简单运算、平方根的估算24. 【答案】(1) 5;√35−5(2) 3<√11<4,由题意可知:a=√11−3,b=5,所以原式=√11−3+5−√11=2.(3) 10<√117<11,有题意可知:x=100,y=√117−10,所以原式=169,所以平方根为−13,13.【解析】(1) ∵5<√35<6,∴√35的整数部分是5,小数部分是√35−5.【知识点】平方根的概念,性质及运算、平方根的估算、二次根式的加减25. 【答案】3√x.【知识点】二次根式的加减。
专题2.15 《实数》全章复习与巩固(专项练习)一、单选题1.实数1-,0.4,27,p -中,无理数的个数是( )A .2B .3C .4D .52.若a +1和-5是实数m 的平方根,则a 的值是( ).A .1B .2C .3D .4或-632=- )A .1B .2C .3D .44.无理数A .2和3之间B .3和4之间C .4和5之间D .5和6之间5.实数a 、b 、c 在数轴上对应点的位置如图所示.如果0a b +=,那么下列结论正确的是()A .a c>B .0a c +<C .0abc <D .1a b=6.下列二次根式中是最简二次根式的是( )A B C D7.若Rt ABC V 的两边长a ,b 满足()240a -=,则第三边的长是( )A .5B C .5或7D .58的算术平方根等于( )A .9B .9±C .3D .3±9.若9的整数部分为a ,小数部分为b ,则2a +b 等于( )A .12B .13C .14D .1510.已知}2min,x x 表示取三个数中最小的那个数,例如:当9x =,}}22min ,min ,93x x ==.当}21min ,16x x =时,则x 的值为()A .14-B .14C .116D .125611.已知:a ,b ,则a 与b 的关系是( )A .a -b =0B .a +b =0C .ab =1D .a 2=b 212的结果为( )A B .C D .二、填空题13.在220,,0.101001,7p -中无理数的个数是_______个.14.计算:112-æö-+=ç÷èø_________.15.方程380x -=的根是__________.16小的整数_____________17.实数a ,b ,c c +=__________.18的结果为______.19.在每个小正方形的边长为1的网格图形中,每个小正方形的顶点称为格点,顶点都是格点的三角形和矩形分别称为格点三角形和格点矩形.如图,已知Rt ABC V 是55´网格图形中的格点三角形,则在该网格图形中,与ABC V 面积相等的格点矩形的周长所有可能值是_________.20.81256的四次方根是__________.21.一个正数a 的两个平方根是21b -和4b +,则a b +的立方根为_______.22.公元3世纪,2ra a=+得到无理数的近似值,131 1.5212»+==´,若利用此公式计算的近似值时,r 取正整数,且a »____________.23.我们知道,同底数幂的除法法则为m n m n a a a -¸=(其中a ≠0,m ,n 为正整数),类似地,我们规定关于任意正整数m ,n 的一种新运算:()()()f m n f m f n -=¸其中f (m ),f (n )都为正数),请根据这种新运算填空:(1)若f (2)=4,f (3)=8,则f (1)=_______;(2)若f (2000)=k ,f (2)=4,那么f (500)=______(用含k 的代数式表示,其中k >0).24.观察下列各等式:①=②=③=根据以上规律,请写出第5个等式:______.三、解答题25.对于一个实数m (m 为非负实数),规定其整数部分为a ,小数部分为b ,例如:当3m =时,则3a =,0b =;当 4.5m =时,则4a =,0.5b =.(1)当m p =时,b =;当=m 时,a =;(2)若5a =,6=-b ,则m = ;(3)当9=+m 时,求-a b 的值.26.计算:(1)-(22122-æö--ç÷èø;(31128-æö-+ç÷èø;(4;(5)((22-.27.观察下列等式:1a ==2a ==3a ==4a ==按照上述规律,回答以下问题:(1)请写出第6个等式:________________;(2)请写出第n 个等式:________________;(3)求12320a a a a +++¼+的值.28.阅读下面的解题过程:化简:===.请回答下列问题.(1)(2)请认真分析化简过程,然后找出规律,写成一般形式.参考答案1.A 【分析】分别根据无理数、有理数的定义即可判定各项.【详解】−1,是整数,不是无理数,0.4,是小数,不是无理数,27,是分数,不是无理数,−π,是无理数,共2个,故选:A .【点拨】本题主要考查了无理数的定义,注意带根号的要开不尽方才是无理数,无限不循环小数为无理数.如π0.8080080008L (每两个8之间依次多1个0)等形式.2.D 【分析】根据平方根的定义可得两个关于a 的一元一次方程,解方程即可得.【详解】解:由题意得:15a +=-或1(5)0a ++-=,解得6a =-或4a =,故选:D .【点拨】本题考查了平方根、一元一次方程的应用,熟练掌握平方根的定义是解题关键.3.C 【分析】先根据立方根的定义求出a 的值,再根据算术平方根的定义即可得.【详解】解:2=-,18a \-=-,解得9a =,3==,故选:C .【点拨】本题考查了立方根与算术平方根、一元一次方程的应用,熟练掌握立方根与算术平方根的定义是解题关键.4.C 【分析】先计算出(2的值为24,把24夹逼在两个相邻正整数的平方之间,再写出围即可.【详解】解:(2=22×)2=4×6=24,∵16<24<25,∴4<<5.故选:C .【点拨】本题考查了无理数的估算,无理数的估算常用夹逼法,求出(2是解题的关键.5.C 【分析】根据a +b =0,确定原点的位置,根据实数与数轴即可解答.【详解】解:∵a +b =0,∴原点在a ,b 的中间,如图,由图可得:|a |<|c |,a +c >0,abc <0,1ab=-,故选:C .【点拨】本题考查了实数与数轴,解决本题的关键是确定原点的位置.6.D【分析】根据最简二次根式的概念:(1)被开方数不含分母;(2)被开方数中不含能开得尽方的因数或因式逐一判断即可得.【详解】解:ABC ||xD 是最简二次根式,符合题意;故选:D .【点拨】此题考查了最简二次根式,熟练掌握最简二次根式定义是解本题的关键.7.D 【分析】先求出a 和b 的值,再设第三边为x ,讨论斜边情况,利用勾股定理建立方程求解即可.【详解】解:∵()240,a -³³又∵()240a -+=,∴40,30,a b -=-=∴4,3,a b ==设第三边长为x ,由,a b >则共有以下两种情况:①当222a b x +=时,5,x =②当222b x a +=时,由0,x >所以x =,∴第三边长是5;故选:D .【点拨】本题考查了平方和算术平方根的非负性特点、利用平方根解方程以及勾股定理的应用,解题关键是牢记它们的“非负性”,理解并能运用勾股定理求直角三角形的边等,该题属于中等难度题目,易错点是学生容易误选A,该题蕴含了分类讨论的思想方法等.8.C【分析】根据立方根、算术平方根的定义求解即可.【详解】=,解:因为39729=9,的算术平方根就是9的算术平方根,=,又因为9的算术平方根为33的算术平方根是3,答案:C.【点拨】本题考查了立方根、算术平方根的定义,理解立方根、算术平方根的意义是得出答案的关键.9.C【分析】9的大小,进而确定a、b的值,最后代入计算即可.【详解】解:∵34,∴﹣4<﹣3,∴5<96,又∵9a,小数部分为b,∴a=5,b=9﹣5=4,∴2a+b=10+(414,故选:C.【点拨】本题考查估算无理数,掌握无理数估算的方法是解决问题的前提,理解无理数的整数部分和小数部分的表示方法是得出正确答案的关键.10.B 【分析】116=,2116x=,116x=的x值,找到满足条件的x值即可.【详解】116=时,1256x=,x<当2116x=时,14x=±,当14x=-时,2x x<,不合题意;当14x=12=,2x x<<当116x=时,21256x=,2x x<,不合题意,故选B.【点拨】本题主要考查实数大小比较,算术平方根及其最值问题,解决此题时,注意分类思想的运用.11.C【分析】先分母有理化求出a、b,再分别代入求出ab、a+b、a-b、a2、b2各个式子的值,即可得出选项.【详解】解:分母有理化,可得a b∴a-b=()-()A选项错误,不符合题意;a+b=()+()=4,故B选项错误,不符合题意;ab=()×(=4-3=1,故C选项正确,符合题意;∵a2=()2,b2=(2,∴a2≠b2,故D选项错误,不符合题意;故选:C.【点拨】本题考查了分母有理化的应用,能求出每个式子的值是解此题的关键.12.C【详解】, 故选C .点睛:此题主要考查了二次根式的化简,解题关键是利用分数的通分求和,然后把其分母有理化即可求解,比较简单,但是易出错,是常考题.13.1【分析】根据无理数的概念结合有理数的概念逐一进行判断即可.【详解】解:0整数,是有理数;227是分数,是有理数;0.101001-是有限小数,是有理数;p 是是有理数,所以无理数有1个.故答案为:1【点拨】本题考查了无理数的定义,辨析无理数通常要结合有理数的概念进行:初中范围内学习的无理数主要有三类:①含p 的一部分数,如2,3p p 等;②开方开不尽的数,等;③虽有规律但是无限不循环的数,如0.1010010001…,等.14.1【分析】根据负整数指数幂运算法则、算术平方根的运算进行计算即可.【详解】解:112-æö-=ç÷èø﹣2+3=1,故答案为:1.【点拨】本题考查负整数指数幂、算术平方根,熟练掌握运算法则是解答的关键.15.x =2【分析】首先整理方程得出x 3=8,进而利用立方根的性质求出x 的值.【详解】解:x 3-8=0,x 3=8,解得:x =2.故答案为:x =2.【点拨】此题主要考查了立方根的性质,正确由立方根定义求出是解题关键.16.答案不唯一,2或3均可【分析】的整数部分,在选择符合条件的整数即可.【详解】解:12Q ,34,\小的整数是2或3,故答案为:2或3.【点拨】本题主要考查估算无理数的大小,估算无理数大小要用逼近法.思维方法:用有理数逼近无理数,求无理数的近似值.17.b c--【分析】结合数轴判断a-b 和a +c 的正负,去根号和绝对值化简即可.【详解】由题意可得:0a b ->,<0a c +,c+=a b a c---=b c --;故答案为:-b -c ;【点拨】此题考查的是算术平方根和绝对值的性质,掌握绝对值的性质和算术平方根的非负性是解题的关键.18【分析】先计算乘方,再计算减法即可得到答案.【详解】【点拨】此题考查二次根式的化简,正确掌握有理数的乘方计算法则是解题的关键.19.10或【分析】由图可得AB 、BC 、AC 的长度,判定三角形ABC 是直角三角形,在计算ABC V 面积,再求格点矩形长和宽,再计算出周长.【详解】解:由题干可得:2225126AC =+=,2223318BC =+= ,222228AB =+= ,即222AC AB BC =+ ,11622ABC S AB BC =´´==△ ,令矩形的长为a (0<a <5),宽为b (0<b <5),即ab=6,当a=1时,则b=6,不符合题意;当a=2时,则b=3,符合题意,格点矩形的周长=2+2+3+3=10;当a=3时,则b=2,符合题意,格点矩形的周长=2+2+3+3=10;当a=4时,则b=1.5,不符合题意;当时,则,符合题意,格点矩形的周长;当a=5时,则b=1.2,不符合题意.故答案为:10或.【点拨】本题考查了勾股定理和格点矩形的周长,理解格点矩形的含义是解题的关键.20.34±【分析】根据分数指数幂的定义直接求解即可【详解】解:∵4381=4256æö±ç÷èø∴81256的四次方根是:34±故答案为:34±【点拨】本题考查开方运算的概念,乘方与开方的关系,熟练进行乘方的计算是关键21.2【分析】根据一个正数的平方根互为相反数,将21b -和4b +相加等于0,列出方程,解出b ,再将b 代入任意一个平方根中,进行平方运算求出这个正数a ,将a b +算出后,求立方根即可.【详解】∵21b -和4b +是正数a 的平方根,∴2140b b -++=,解得1b =- ,将b 代入212(1)13b -=´--=-,∴正数2(3)9a =-= ,∴198a b +=-+=,∴a b +2==,故填:2.【点拨】本题考查正数的平方根的性质,求一个数的立方根,解题关键是知道一个正数的两个平方根互为相反数.22.4.125【分析】2r a a=+1424=+´,然后进行计算即可得出答案.【详解】1334 4.125248»+==´故答案为:4.125.2raa=+是解题的关键.23.27504k【分析】(1)由新运算法则直接求解;(2)同过新定义的运算法则,推导出前几项的结果,同过前几项发现规律,利用规律来解答.【详解】解:(1)根据新运算:()()()f m n f m f n-=¸,(1)(32)(3)(2)842f f f f\=-=¸=¸=,故答案是:2.(2)(1998)(20002)44kf f k=-=¸=Q2(1996)(200022)(19982)4kf f f=-´=-=3(1994)(200023)(19962)4kf f f=-´=-=M750(500)(20002750)(5022)4kf f f=-´=-=根据规律得:750(500)4kf=,故答案是:7504k.【点拨】本题考查了新定义运算法则,解题的关键是:理解新定义的运算法则,从运算中找到规律,用来解答.24.=【分析】根据左边根号外的因数与根号内的分子相同,根号内的分母为分子平方与1的差,右边根号内为左边根号外与根号内两数之和,即可找到其中规律,从而写出第n个等式,再将n=6代入即可求出答案.【详解】解:猜想第n个为:n=n为大于等于2的自然数);理由如下:∵n≥2,∴n==添项得:n=,提取公因式得:n=分解分子得:n=;即:n=第5个式子,即n=6,代入得:=故填:=.【点拨】本题考查二次根式的计算,需要通过观察分析和寻求规律、归纳和论证的抽象思维能力,得出一般性的结论;解答此题的关键是仔细观察、细致分析,局部找规律,整体找关系.25.(1)3p -;3;(2)11;(3)13.【分析】(1)由3π4<<,可得a =3,b =π-3,由91116<<<<,可求34<<,可得a =3,b -3;(2)由5a =,6=-b , 可得5611m a b =+=+=-;(3)由479<<, 可得23<<,可求1112<<,可求112a b ==-,,代入计算即可.【详解】解:(1)当m =π时,∵3π4<<,∴a =3,b =π-3,当 m 时,∵91116<<,<<,∴34<<,∴a =3,b -3,故答案为:b =π-3;3;(2)当5a =,6=-b ,∴5611m a b =+=+=,故答案为:11-;(3)当 m = 时,∵479<<,<<,∴23<<,∴9+29+3<<,∴1112<<,∴119112a b ==+-=-,,∴)11213a b -=--=【点拨】本题考查了估算无理数的大小的应用,解此题的关键是求出各无理数的范围.26.(1)(22-;(3)6+;(4)4-;(5)【分析】(1)利用二次根式的加减乘除运算法则计算即可;(2)先计算负整指数幂、绝对值、化简二次根式然后合并即可;(3)先计算负整指数幂、绝对值、立方根然后合并即可;(4)利用二次根式的加减乘除运算法则计算即可;(5)利用平方差公式计算即可;【详解】解:(1)原式(22122-æö--ç÷èø24=+2=-;(31128-æö-+ç÷èø)28=+-+6=;(4)原式=-=4-(5)原式=(==【点拨】本题考查了二次根式的加减乘除运算、负整指数幂、平方差公式等知识,熟练掌握法则是解题的关键.27.(1)6a ==;(2)n a ==;(3【分析】(1)(2)从等式中找出规律,比如第三个等式:3×2-1=5,3×2+1=7,3就是a 3的3,5就7,即可得出答案;(3)根据上面的规律得出12320a a a a ++++L=++L 通分,观察分子中的项,互为相反数相加得0便可解出.【详解】解:(1)观察,如3a 的下标3中被开方数,5和7得出:3×2-1=5,3×2+1=7,即7等于下标的2倍加1,5等于下标的2倍减1;\6a ==,(2)由(1)知,第n 个等式的下标是n ,被开方数分别为2n +1,2n -1,所以第n 个等式n a ==,;(3)12320a a a a ++++L =++=L .【点拨】本题主要考查二次根式的运算和化简,掌握分母有理化是解题的关键.28.;(2)见解析.【分析】(1)参照例子进行化简;(2) 根据上面的解题思路分析可得出这个式子的值.(1)原式===+. (2)=(a >0,b >0).【点拨】考查了分母有理化,二次根式有理化主要利用了平方差公式,所以一般二次根式的有理化因式是符合平方差公式的特点的式子.即一项符号和绝对值相同,另一项符号相反绝对值相同.。
北师大版八年级数学第二章《实数》单元测试题考试时间:120分钟;满分:120分一.选择题(每小题5分,共50分)1.(4分)下列实数为无理数的是( ) A .﹣5 B .27 C .0 D .π 2.(4分)若1+a +|b +2|=0,那么a ﹣b=( )A .1B .﹣1C .3D .03.(4分)四个实数﹣5,﹣3,0,π1中最小的是( )A .﹣5B .﹣3C .0D .π14.(4分)下列正确的有( )①若x 与3互为相反数,则x +3=0;②﹣21的倒数是2;③|﹣15|=﹣15;④负数没有立方根.A .①②③④B .①②④C .①④D .① 5.(4分)|1﹣2|=( )A .1﹣2B .2﹣1C .1+2D .﹣1﹣26.(4分)如图,数轴上的点A 表示的数是1,OB ⊥OA ,垂足为O ,且BO=1,以点A 为圆心,AB 为半径画弧交数轴于点C ,则C 点表示的数为( )A .﹣0.4B .﹣2C .1﹣2D .2﹣17.(4分)若式子()212-+m m 有意义,则实数m 的取值范围是( ) A .m >﹣2 B .m >﹣2且m ≠1 C .m ≥﹣2 D .m ≥﹣2且m ≠18.(4分)下列计算正确的是( )A .(﹣3a 2)•2a 3=﹣6a 6B .a 6÷a 2=a 3C .ab =a •bD .(﹣ab ﹣1)2=a 2b 2+2ab +19.(4分)下列各组二次根式中,不是同类二次根式的是( )A .5.0与81B .a b 与ba C .y x 2与2xy D .52a 与32a 10.(4分)化简y x y x +-(x ≠y ,且x 、y 都大于0),甲的解法;y x y x +-=()()()()y x y x y x y x -+--=x ﹣y ;乙的解法:y x y x +-=()()y x yx y x +-+=x﹣y ,下列判断正确的是( )A .甲的解法正确,乙的解法不正确B .甲的解法不正确,乙的解法正确C .甲、乙的解法都正确D .甲、乙的解法都不正确二.填空题(每小题5分,共20分)11.(5分)根据如图所示的计算程序,若输入的x 的值为4,则输出的y 的值为 .12.(5分)若实数x ,y 满足(2x ﹣3)2+|9+4y |=0,则xy 的立方根为 .13.(5分)对于两个非零实数x ,y ,定义一种新的运算:x*y=x a +yb .若1*(﹣1)=2,则(﹣2)*2的值是 .14.(5分)观察下列运算过程:请运用上面的运算方法计算:= .三.解答题(共5小题,满分50分)15.(6分)计算:(1)(1﹣2)0+|2﹣5|+(﹣1)2018﹣31×45;16.(10分)已知某个长方体的体积是1800cm 3,它的长、宽、高的比是5:4:3,请问该长方体的长、宽、高是有理数还是无理数?为什么?17.(10分)现有一组有规律排列的数:1、﹣1、2、﹣2、3、﹣3、1、﹣1、2、﹣2、3、﹣3…其中,1、﹣1、2、﹣2、3、﹣3这六个数按此规律重复出现,问:(1)第50个数是( )(2)把从第1个数开始的前2017个数相加,结果是多少?18.(10分)已知5a ﹣1的算术平方根是3,3a +b ﹣1的立方根为2(1)求a与b的值;(2)求2a+4b的平方根.19.(14分)我们来定义一种新运算:对于任意实数x、y,“※”为a※b=(a+1)(b+1)﹣1(1)计算(﹣3)※9(2)嘉琪研究运算“※”之后认为它满足交换律,你认为她的判断(正确、错误)(3)请你帮助嘉琪完成她对运算“※”是否满足结合律的证明.证明:由已知把原式化简得a※b=(a+1)(b+1)﹣1=ab+a+b∵(a※b)※c=(ab+a+b)※c=a※(b※c)=∴∴运算“※”满足结合律.参考答案一.选择题(共10小题,满分40分,每小题4分)1.故选:D .2.故选:A .3.故选:A .4故选:D .5故选:B .6.故选:C .7.故选:D .8.故选:D .9.故选:C .10.故选:C .二.填空题(共4小题,满分20分,每小题5分)11.故答案为:1.12.故答案为:﹣23.13.故答案为:﹣1,14.212019 . 三.解答题(共9小题,满分90分)15.【解答】解:(1)原式=1+5﹣2+1﹣5=0;16.【解答】解:长、宽、高不是无理数,理由如下:设长、宽、高分别为5x ,4x ,3x .由体积,得60x 3=1800,解得x=330,长、宽、高分别为5330,4330,3330是无理数.17【解答】解:(1)∵50÷6=8…2,∴第50个数是﹣1;(2)∵1+(﹣1)+2+(﹣2)+3+(﹣3)=0,2017÷6=336…1, ∴从第1个数开始的前2017个数相加,结果是1;∴从第18.【解答】解:(1)由题意,得5a ﹣1=32,3a +b ﹣1=23,解得a=2,b=3.(2)∵2a+4b=2×2+4×3=16,∴2a+4b的平方根16=±4.19.【解答】解:(1)(﹣3)※9=(﹣3+1)(9+1)﹣1=﹣21(2)a※b=(a+1)(b+1)﹣1b※a=(b+1)(a+1)﹣1,∴a※b=b※a,故满足交换律,故她判断正确;(3)由已知把原式化简得a※b=(a+1)(b+1)﹣1=ab+a+b∵(a※b)※c=(ab+a+b)※c=(ab+a+b+1)(c+1)﹣1=abc+ac+ab+bc+a+b+c∵a※(b※c)=a(bcv+b+c)+(bc+b+c)+a=abc+ac+ab+bc+a+b+c∴(a※b)※c=a※(b※c)∴运算“※”满足结合律故答案为:(2)正确;(3)abc+ac+ab+bc+a+b+c;abc+ac+ab+bc+a+b+c;(a※b)※c=a※(b※c)。
北师大版2021年八年级上册第2章《实数》单元复习训练题一.选择题1.=()A.﹣4B.2C.4D.82.若二次根式在实数范围内有意义,则x的取值范围是()A.x≥﹣3B.x≥3C.x≤﹣3D.x>﹣33.在0.2,,﹣1,四个数中,属于无理数的是()A.0.2B.C.﹣1D.4.估计的值在()A.3和4之间B.5和6之间C.7和8之间D.14和15之间5.下列计算,正确的是()A.B.C.3﹣=3D.﹣=6.如图,数轴上点P表示的数可能是()A.﹣B.C.﹣3.7D.﹣7.下列说法错误的是()A.﹣1的立方根是﹣1B.3的平方根是C.0.1是0.01的一个平方根D.算术平方根是本身的数只有0和18.若x=+1,则代数式x2﹣2x+2的值为()A.7B.4C.3D.3﹣2二.填空题9.比较大小:﹣﹣2;1.10.已知实数a≤0≤b,化简:=.11.方程x3=9的解是.12.计算(+)(﹣)=.13.点A,B,C,D在数轴上的位置如图所示,则实数对应的点可能是.14.在数轴上,如果点A、点B所对应的实数分别是﹣1、,那么线段AB的长度是.15.实数a在数轴上的位置如图所示,则化简的结果是.16.一个正数a的两个平方根是2b﹣1和b+4,则a+b的立方根为.三.解答题17.计算.18.计算:(﹣+3)×﹣÷.19.求下列各式中的x:(1)25(x﹣1)2=49;(2)64(x﹣2)3﹣1=0.20.已知y=+3,求(x+y)4的值.21.实数a、b、c在数轴上的位置如图所示,其中c为8的立方根,求代数式+|b﹣a|+﹣|2b|的值.22.阅读下列内容:因为1<2<4,所以1<<2,所以的整数部分是1,小数部分是﹣1.试解决下列问题:(1)求的整数部分和小数部分;(2)若已知9+和9﹣的小数部分分别是a和b,求ab﹣3a+4b+8的值.23.判断下列各式是否成立:①;②;③;④;…(1)上述各式成立吗?若成立,请写出第⑤个等式;(2)请你用含有n(n为非零自然数)的等式表示上述规律.24.规律探索题:细心观察如图,认真分析各式,然后解答问题.;(S1是△OA1A2的面积);;(S2是△OA2A3的面积);;(S3是△OA3A4的面积);…(1)请用含有n(n为正整数)的等式S n=;(2)推算出OA10=;(3)求出的值.参考答案一.选择题1.解:=4,故选:C.2.解:若二次根式在实数范围内有意义,则x+3≥0,解得:x≥﹣3.故选:A.3.解:A、0.2属于有理数,故A不符合题意;B、=3,为有理数,故B不符合题意;C、﹣1为有理数,故C不符合题意;D、为开不尽方根,故D符合题意.故选:D.4.解:∵25<29<36,∴,∴5<<6,故选:B.5.解:A.=2,故此选项不合题意;B.=2,故此选项符合题意;C.3﹣=2,故此选项不合题意;D.﹣=2﹣=,故此选项不合题意;故选:B.6.解:设点P表示的数为a,由题意可得:﹣3<a<﹣2,∵﹣3.7<﹣3<﹣<﹣2<﹣<,∴选项A符合题意,故选:A.7.解:A、﹣1的立方根是﹣1,原说法正确,故此选项不符合题意;B、3的平方根是±,原说法错误,故此选项符合题意;C、0.1是0.01的一个平方根,原说法正确,故此选项不符合题意;D、算术平方根是本身的数只有0和1,原说法正确,故此选项不符合题意.故选:B.8.解:∵x=+1,∴x﹣1=,∴(x﹣1)2=2,即x2﹣2x+1=2,∴x2﹣2x=1,∴x2﹣2x+2=1+2=3.故选:C.二.填空题9.解:∵,∴,∴﹣>﹣2;∵∴2<<3,∴1<﹣1<2∴,故答案为:>;<.10.解:∵a≤0≤b,∴a﹣b<0,∴=|a﹣b|=b﹣a.故答案为:b﹣a.11.解:方程两边都乘以3,得:x3=27.两边开立方,得:x=3.故答案为:x=3.12.解:原式=(3+3)(﹣)=3(+)(﹣)=3×(3﹣2)=3.故答案为3.13.解:∵4<7<9,∴2<<3,∴0<﹣2<1,故答案为:点B.14.解:线段AB的长度=﹣(﹣1)=+1,故答案为:+1.15.解:由图象可得2<a<4,∴a﹣2>0,a﹣4<0,∴=a﹣2﹣(a﹣4)=2,故答案为:2.16.解:∵一个正数a的两个平方根是2b﹣1和b+4,∴2b﹣1+b+4=0,∴b=﹣1.∴b+4=﹣1+4=3,∴a=9.∴a+b=9+(﹣1)=8,∵8的立方根为2,∴a+b的立方根为2.故答案为:2.三.解答题17.解:原式=0.1﹣2﹣=﹣2.4.18.解:原式=﹣2+3×2﹣=﹣2+6﹣2=2.19.解:(1)∵25(x﹣1)2=49,∴(x﹣1)2=,∴x﹣1=±,∴x=1±,∴x=或﹣;(2)∵64(x﹣2)3﹣1=0,∴(x﹣2)3=,∴x﹣2=,∴x=.20.解:∵y=+3,∴x﹣2≥0且2﹣x≤0.解得:x=2,则y=3,∴(x+y)4=(2+3)4=625.21.解:∵c为8的立方根,∴c=2,∵a<0,b﹣a<0,b﹣c<0,2b<0,∴原式=|a|+|b﹣a|+|b﹣c|﹣|2b|=﹣a+a﹣b+c﹣b+2b=c=2.22.解:(1)∵9<13<16,∴3<<4,∴的整数部分是3,小数部分是﹣3;(2)∵9+小数部分是﹣3,9﹣的整数部分是5,∴9﹣的小数部分是9﹣﹣5=4﹣,∴a=﹣3,b=4﹣,∴原式=(﹣3)(4﹣)﹣3(﹣3)+4(4﹣)+8=4﹣13﹣12+3﹣3+9+16﹣4+8=8.23.解:(1)上述各式成立,第⑤个等式是.(2)用含有n(n为非零自然数)的等式表示上述规律为.24.解:(1)结合已知数据,可得:S n=;故答案为:;(2)∵;;;……∴OA102==10;∴OA10=.故答案为:.(3)=+++=+++=2×(﹣+﹣+﹣)=2×=2﹣2.。
一、选择题1.计算:√(2a−1)2+√(1−2a)2的值是A.0B.4a−2C.2−4a D.4a−2或2−4a2.如图,点A,B,C分别是同一数轴上的三个点,且AB=AC,A,B两点对应的实数分别是1和−√3,则点C位于下列哪两个相邻整数之间( )A.3和4B.2和3C.1和2D.4和53.如图,每个小正方形的边长为1,把阴影部分剪下来,用剪下来的阴影部分拼成一个正方形,那么新正方形的边长是( )A.√3B.2C.√5D.√64.估计√11的值在( )A.4和5之间B.3和4之间C.2和3之间D.1和2之间5.对于任意的正数m,n,定义运算⋇如下:m⋇n={√m−√n(m≥n),√m+√n(m<n).计算(3⋇2)×(8⋇12)的结果为( )A.2−4√6B.2C.2√5D.206.大家知道√3是无理数,而无理数是无限不循环小数,因此√3的小数部分不可能全部写出来,但因为√1<√3<√4,即1<√3<2,所以可以用√3−1来表示√3的小数部分.如果√5的小数部分是m,√3的整数部分是n,那么m+n的值是( )A.√5−2B.√5−1C.√5D.√5−37.下列各数中,是无理数的是( )A.√16B.√7C.311D.3.148.下列六个数中:3.14,√25,√5,22,0.21,0.1212212221⋯⋯(每两个1之间增加一个72).无理数的个数是( )A.2B.3C.4D.59.设√10的小数部分为b,则b(√10+3)的结果是( )A.1B.是一个无理数C.3D.无法确定10.下列二次根式中,与√a是同类二次根式的是( )A.√2a B.√3a2C.√a3D.√a2二、填空题11.若√(x+3y+1)+∣2x−y−5∣=0,则xy=.12.计算:(3√48−2√27)÷2√3=.13.计算:(√5−2)2018(√5+2)2019的结果是..其中属于二次根式的有(把14.已知四个代数式:① √5a;② √4+b2;③ c2;④ √11−d正确的序号写在横线上).15.若∣1001−a∣+√a−1002=a,则a−10012=.=.16.计算:√31+√31+√317.已知m是√15的整数部分,n是√10的小数部分,则m2−n=.三、解答题18.计算:√5÷√2×2√2÷.√519.阅读材料,解答下列问题:例:当a>0时,如a=6, ∣a∣=∣6∣=6,故此时a的绝对值是它本身;当a=0时,∣a∣= 0,故此时a的绝对值是0;当a<0时,如a=−6,则∣a∣=∣−6∣=−(−6),故此时a的绝对值是它的相反数.综上所述,一个数的绝对值要分三种情况,即: ∣a∣={a (a >0),0(a =0),−a (a <0).这种分析方法渗透了数学中的分类讨论思想.(1) 请仿照例中的分类讨论,分析 √a 2 的各种化简后的情况; (2) 猜想 √a 2 与 ∣a∣ 的大小关系;(3) 当 1<x <2 时,试化简 ∣x +1∣+√(x −2)2 .20. 根据所学知识,我们通过证明可以得到一个定理:一个非零有理数与一个无理数的积仍为一个无理数,根据这个定理得到一个结论:若 x +y √m =0,其中 x ,y 为有理数,√m 是无理数,则 x =0,y =0. 证:∵x +y √m =0,x 为有理数, ∴y √m 是有理数.∵y 为有理数,√m 是无理数, ∴y =0. ∴x +0√m =0. ∴x =0.(1) 若 x +√2y =√2(1−√2),其中 x ,y 为有理数,则 x = ,y = ;(2) 若 x +y √m =a +b √m ,其中 x ,y ,a ,b 为有理数,√m 是无理数,求证:x =a ,y =b ; (3) 已知 √17 的整数部分为 a ,小数部分为 b ,x ,y 为有理数,a ,b ,x ,y 满足 17y +√17y +√17(y −2√17x)=2a √17+b √17,求 x ,y 的值.21. 计算或化简.(1) 计算:(−2)0+cos60∘−2√3sin60∘; (2) 化简:(√18+√8−√6)÷√2.22. 计算:(√12−3√13)×√6.23. 计算:(1) (π−3)0−(12)−1+√12.(2) a 2⋅a 4+(2a 2)2−(a −3)−2.24. 已知 2−√x 2+4=2,求 √16−x 2+√x 2+4 的值.25.定义:任意两个数a,b,按规则c=ab+a+b扩充得到一个新数c,称所得的新数c为“如意数”.(1) 若a=√2,b=1,求出a,b的“如意数”c.(2) 如果a=m−4,b=−m,求a,b的“如意数”c,并证明“如意数”c≤0.(3) 已知a=,且a,b的“如意数”c=5+4√3,求b的值.2−√3答案一、选择题1. 【答案】D【知识点】二次根式的性质与化简2. 【答案】A【解析】设点C所表示的数为x,∵点B与点C到点A的距离相等,∴AC=AB,即x−1=1+√3,解得:x=2+√3.∵1<√3<2,∴3<2+√3<3,即点C位于3和4之间.【知识点】其它(D)、平方根的估算3. 【答案】C【知识点】平方根的概念,性质及运算4. 【答案】B【解析】∵9<11<16,∴3<√11<4,即√11的值在3与4之间.故选:B.【知识点】平方根的估算5. 【答案】B【解析】原式=(√3−√2)×(√8+√12) =(√3−√2)×(2√2+2√3)=2(√3−√2)×(√3+√2)=2×[(√3)2−(√2)2]=2×(3−2)= 2.【知识点】二次根式的混合运算6. 【答案】B【知识点】平方根的估算7. 【答案】B【知识点】无理数8. 【答案】A【解析】√5和0.1212212221⋯⋯是无理数,共两个.【知识点】无理数9. 【答案】A【知识点】二次根式的乘法10. 【答案】C【知识点】同类二次根式二、填空题11. 【答案】−2【解析】∵√(x+3y+1)+∣2x−y−5∣=0,∴x+3y+1=0,2x−y−5=0,解得x=2,y=−1.∴xy=2×(−1)=−2.【知识点】二次根式的概念12. 【答案】3【知识点】二次根式的除法、二次根式的加减13. 【答案】√5+2【解析】原式=[(√5−2)(√5+2)]2018⋅(√5+2)2019 =(5−4)2018⋅(√5+2)=√5+2.【知识点】二次根式的混合运算14. 【答案】①②④【知识点】二次根式的概念15. 【答案】1002【解析】∵a−1002≥0,∴a≥1002,由∣1001−a∣+√a−1002=a,得−1001+a+√a−1002=a,∴√a−1002=1001,∴a−1002=10012,∴a−10012=1002.【知识点】二次根式的概念16. 【答案】−√3【知识点】二次根式的加减17. 【答案】 12−√10【解析】 ∵3<√15<4, ∴m =3, 又 ∵3<√10<4, ∴n =√10−3,则 m 2−n =9−√10+3=12−√10. 【知识点】平方根的估算三、解答题 18. 【答案】 10【知识点】二次根式的除法、二次根式的乘法19. 【答案】(1) 当 a >0 时,如 a =6,则 2=√62=6,即 √a 2=a ; 当 a =0 时,√a 2=√0=0;当 a <0 时,如 a =−6,则 √a 2=√(−6)2=−(−6),即 √a 2=−a . 综合起来:√a 2={a (a >0),0(a =0),−a (a <0).(2) √a 2=∣a∣ . (3) ∵1<x <2, ∴x +1>0,x −2<0 . ∴∣x +1∣+√x −22 =∣x +1∣+∣x −2∣ =x +1−(x −2) =3 .【知识点】二次根式的性质与化简20. 【答案】(1) −2;1(2) ∵x +y √m =a +b √m , ∴x −a +(y −b )√m =0. ∵x ,y ,a ,b 为有理数, ∴x −a ,y −b 都是有理数. ∴x −a =0,y −b =0. ∴x =a ,y =b .(3) ∵4<√17<5,又知 √17 的整数部分为 a ,小数部分为 b , ∴a =4,b =√17−4.∵17y +√17y +√17(y −2√17x)=2a √17+b √17,∴17y +√17y +√17y −34x =8√17+√17(√17−4), 17y −34x +2√17y =17+4√17. ∵x ,y 为有理数,∴{17y −34x =17,2y =4, 解得:{x =12,y =2. 【解析】(1) ∵x +√2y =√2(1−√2),其中 x ,y 为有理数, ∴x +√2y =−2+√2. ∴x =−2,y =1.【知识点】实数的简单运算、平方根的估算、无理数、有理数21. 【答案】(1)原式=1+12−2√3×√32=1+12−3=−32.(2) 原式=√18÷2+√8÷2−√6÷2=3+2−√3=5−√3.【知识点】二次根式的混合运算、特殊角的余弦值、特殊角的正弦22. 【答案】 原式=(2√3−√3)×√6=√3×√6=3√2.【知识点】二次根式的混合运算23. 【答案】(1)原式=1−2+2√3=−1+2√3.(2) 原式=a 6+8a 6−a 6=8a 6.【知识点】零指数幂运算、二次根式的加减、积的乘方、负指数幂运算、同底数幂的乘法24. 【答案】设 a =√16−x 2≥0,b =√x 2+4>0,则 a +b >0 且 a 2+b 2=20,而 a −b =2,所以 a +b =6,即 √16−x 2+√x 2+4=6. 【知识点】二次根式的乘法25. 【答案】(1) c =ab +a +b =√2×1+√2+1=2√2+1.(2) c=(m−4)×(−m)+(m−4)+(−m) =−m2+4m−4=−(m−2)2,因为(m−2)2≥0,所以c≤0.(3) a=2−√3=2+√3,所以5+4√3=(2+√3)b+(2+√3)+b.即(3+√3)b=3+3√3.b=√33+√3=√3+3)(3−√3)(3+√3)(3−√3)=√3.【知识点】二次根式的混合运算、二次根式的加减、完全平方公式。
最新北师大版八年级数学上册《实数》复习测试题及答案1.选择题1.无理数是指不能表示为有理数的数,而有理数是可以表示为两个整数之比的数。
因此,选项C,3为无理数。
2.算术平方根是指一个数的平方等于该数的数,因此,选项B,±2是-2的算术平方根。
3.选项A,1的平方根是1,不需要加上±;选项B,-1的立方根是-1,也不需要加上±;选项C,2是2的平方根,也是正确的;选项D,-3是-9的平方根,也是正确的。
因此,没有错误的选项。
4.选项D,3的平方根是±√3,但是通常默认为正数。
5.选项B,16的算术平方根是±4,但是通常默认为正数。
6.相反数是指两个数的和为0,因此,选项A,-2与(-2)互为相反数。
7.数轴上的点对应实数,因此,选项D,实数能与数轴上的点一一对应。
8.选项C,2+3=5是正确的。
9.选项C,32-2=22是正确的。
10.11的平方在121和144之间,因此,选项B,在3到4之间。
11.选项A,-3的绝对值是3,因此,|(-3)|=3.12.选项B,2的平方是4,因此,√4=2.13.选项C,2/3+8=22/3.14.2xy=2x(y)=2x(2x-5+5-2x-3)=2x(2x-2x-3+5-5)=2x(-3)=-6x,因此,选项A,-15是正确的。
15.选项A,a=a一定成立。
2.改写和删除文章中没有格式错误和明显有问题的段落,因此只需要对每段话进行小幅度的改写,使其更加简洁明了即可。
1.无理数是指不能表示为有理数的数,因此,选3.2.算术平方根是指一个数的平方等于该数的数,因此,选±2.3.没有错误的选项。
4.3的平方根通常默认为正数。
5.16的算术平方根通常默认为正数。
6.相反数是指两个数的和为0,因此,选-2与(-2)互为相反数。
7.实数能与数轴上的点一一对应。
8.2+3=5是正确的。
9.32-2=22是正确的。
北师大新版八年级数学上册《第2章实数》单元测试卷一、选择题1.的值等于()A.3 B.﹣3 C.±3 D.2.在﹣1.414,,π,3.,2+,3.212212221…,3.14这些数中,无理数的个数为()A.5B.2C.3D.43.下列结论:①在数轴上只能表示无理数;②任何一个无理数都能用数轴上的点表示;③实数与数轴上的点一一对应;④有理数有无限个,无理数有有限个.其中正确的是()A.①②B.②③C.③④D.②③④4.下列计算正确的是()A.=2B.•=C.﹣=D.=﹣35.下列说法中,不正确的是()A.3是(﹣3)2的算术平方根B.±3是(﹣3)2的平方根C.﹣3是(﹣3)2的算术平方根D.﹣3是(﹣3)3的立方根6.若a、b为实数,且满足|a﹣2|+=0,则b﹣a的值为()A.2B.0C.﹣2D.以上都不对7.若,则a的取值范围是()A.a>3B.a≥3C.a<3D.a≤38.若代数式有意义,则x的取值范围是()A.x>1且x≠2B.x≥1C.x≠2D.x≥1且x≠29.下列运算正确的是()A.+x=xB.3﹣2=1C.2+=2D.5﹣b=(5﹣b)10.2015年4月25号,尼泊尔发生8.1级地震,为了储存救灾物资,特搭建一长方形库房,经测量长为40m,宽为20m,现准备从对角引两条通道,则对角线的长为()A.5mB.10mC.20mD.30m二、填空题11.的算术平方根是.12.﹣1的相反数是,绝对值是.13.已知一个正数的平方根是3x﹣2和5x+6,则这个数是.14.若,则xy的值为.15.若的整数部分为a,的小数部分为b,则ab= .16.当x=﹣2时,代数式的值是.17.计算:﹣= ;(2+)÷= .18.观察下列各式:…请你将发现的规律用含自然数n(n≥1)的等式表示出来.三、解答题(共66分)19.化简:(1)(π﹣2015)0++|﹣2|;(2)++3﹣.20.计算:(1)(2﹣3)2;(2)+﹣2.21.实数a、b在数轴上的位置如图所示,请化简:|a|﹣﹣.22.已知y=,求3x+2y的算术平方根.23.已知:x=+1,y=﹣1,求下列各式的值.(1)x2+2xy+y2;(2)x2﹣y2.24.细心观察图形,认真分析各式,然后解答问题.()2+1=2 S1=()2+1=3 S2=()2+1=4 S3=…(1)推算出S10的值;(2)请用含有n(n是正整数)的等式表示上述变化规律;(3)求出S12+S22+S32+…+S102的值.25.阅读材料:小明在学习二次根式后,发现一些含根号的式子可以写成另一个式子的平方,如3+=(1+)2.善于思考的小明进行了以下探索:设a+b=(m+n)2(其中a、b、m、n均为整数),则有a+b=m2+2n2+2mn.∴a=m2+2n2,b=2mn.这样小明就找到了一种把类似a+b的式子化为平方式的方法.请你仿照小明的方法探索并解决下列问题:(1)当a、b、m、n均为正整数时,若a+b=,用含m、n的式子分别表示a、b,得:a= ,b= ;(2)利用所探索的结论,找一组正整数a、b、m、n填空:+ =(+ )2;(3)若a+4=,且a、m、n均为正整数,求a的值?北师大新版八年级数学上册《第2章实数》单元测试卷参考答案与试题解析一、选择题1.的值等于()A.3 B.﹣3 C.±3 D.【考点】算术平方根.【分析】此题考查的是9的算术平方根,需注意的是算术平方根必为非负数.【解答】解:∵=3,故选A.【点评】此题主要考查了算术平方根的定义,一个正数只有一个算术平方根,0的算术平方根是0.2.在﹣1.414,,π,3.,2+,3.212212221…,3.14这些数中,无理数的个数为()A.5B.2C.3D.4【考点】无理数.【分析】根据无理数的三种形式:①开方开不尽的数,②无限不循环小数,③含有π的数,结合各选项进行判断即可.【解答】解:所给数据中无理数有:π,,2+,3.212212221…,共4个.故选D.【点评】本题考查了无理数的定义,解答本题的关键是熟练掌握无理数的三种形式.3.下列结论:①在数轴上只能表示无理数;②任何一个无理数都能用数轴上的点表示;③实数与数轴上的点一一对应;④有理数有无限个,无理数有有限个.其中正确的是()A.①②B.②③C.③④D.②③④【考点】实数与数轴.【分析】①②③根据数轴的上的点与实数的对应关系即可求解;④根据有理数、无理数的对应即可判定.【解答】解:①任何一个无理数都能用数轴上的点表示,故说法错误;②任何一个无理数都能用数轴上的点表示,故说法正确;③实数与数轴上的点一一对应,故说法正确;④有理数有无限个,无理数也有无限个,故说法错误.所以只有②③正确,故选B.【点评】本题考查了实数与数轴的对应关系,以及有理数与无理数的个数的判断.4.下列计算正确的是()A.=2B.•=C.﹣=D.=﹣3【考点】二次根式的混合运算.【分析】根据二次根式的性质化简二次根式,根据二次根式的加减乘除运算法则进行计算.二次根式的加减,实质是合并同类二次根式;二次根式相乘除,等于把它们的被开方数相乘除.【解答】解:A、=2,故A错误;B、二次根式相乘除,等于把它们的被开方数相乘除,故B正确;C、﹣=2﹣,故C错误;D、=|﹣3|=3,故D错误.故选:B.【点评】此题考查了二次根式的化简和二次根式的运算.注意二次根式的性质:=|a|.5.下列说法中,不正确的是()A.3是(﹣3)2的算术平方根B.±3是(﹣3)2的平方根C.﹣3是(﹣3)2的算术平方根D.﹣3是(﹣3)3的立方根【考点】立方根;平方根;算术平方根.【专题】计算题.【分析】一个正数的平方根有正负两个,且互为相反数,算术平方根只能为正;一个数的立方根的符号和被开方数的符号相同.据此可判断只有选项C不符合题意.【解答】解:A、3是(﹣3)2的算术平方根,正确;B、±3是(﹣3)2的平方根,正确;C、(﹣3)2的算术平方根是3,故本选项错误;D、3是(﹣3)3的立方根,正确.故选C.【点评】本题主要考查的是对平方根和算术平方根的区分,以及对立方根的考查,要求学生对这类题目熟练掌握.6.若a、b为实数,且满足|a﹣2|+=0,则b﹣a的值为()A.2B.0C.﹣2D.以上都不对【考点】非负数的性质:算术平方根;非负数的性质:绝对值.【分析】首先根据绝对值与二次根式的非负性,得出a与b的值,然后代入b﹣a求值即可.【解答】解:∵|a﹣2|+=0,∴a=2,b=0∴b﹣a=0﹣2=﹣2.故选C.【点评】本题考查了非负数的性质:几个非负数的和为0时,这几个非负数都为0.7.若,则a的取值范围是()A.a>3B.a≥3C.a<3D.a≤3【考点】二次根式的性质与化简.【专题】计算题.【分析】根据题中条件可知a﹣3≥0,直接解答即可.【解答】解:,即a﹣3≥0,解得a≥3;故选B.【点评】本题主要考查二次根式的性质与化简,题中涉及使根式有意义的知识点,属于基础题.8.若代数式有意义,则x的取值范围是()A.x>1且x≠2B.x≥1C.x≠2D.x≥1且x≠2【考点】函数自变量的取值范围;二次根式有意义的条件.【专题】计算题.【分析】根据二次根式的性质和分式的意义,被开方数大于或等于0,分母不等于0,就可以求解.【解答】解:由分式及二次根式有意义的条件可得:x﹣1≥0,x﹣2≠0,解得:x≥1,x≠2,故选:D.【点评】本题考查的知识点为:分式有意义,分母不为0;二次根式的被开方数是非负数.9.下列运算正确的是()A.+x=xB.3﹣2=1C.2+=2D.5﹣b=(5﹣b)【考点】二次根式的加减法.【专题】计算题.【分析】原式各项计算得到结果,即可做出判断.【解答】解:A、原式=(1+)x,错误;B、原式=,错误;C、原式为最简结果,错误;D、原式=(5﹣b),正确,故选D【点评】此题考查了二次根式的加减法,熟练掌握运算法则是解本题的关键.10.2015年4月25号,尼泊尔发生8.1级地震,为了储存救灾物资,特搭建一长方形库房,经测量长为40m,宽为20m,现准备从对角引两条通道,则对角线的长为()A.5mB.10mC.20mD.30m【考点】勾股定理的应用.【分析】根据题意画出图形,再根据勾股定理可得AC=,再计算即可.【解答】解:如图所示:∵AB=40m,BC=20m,∴AC===20(m),故选:C.【点评】此题主要考查了勾股定理的应用,关键是从题中抽象出勾股定理这一数学模型,画出准确的示意图.领会数形结合的思想的应用.二、填空题11.的算术平方根是\sqrt{10} .【考点】算术平方根.【专题】计算题.【分析】先利用算术平方根求出的值,继而即可得到结果.【解答】解:∵=10,∴10的算术平方根是,故答案为: 【点评】此题考查了算术平方根,熟练掌握算术平方根的定义是解本题的关键.12.﹣1的相反数是 1﹣\sqrt{2} ,绝对值是 \sqrt{2}﹣1 .【考点】实数的性质.【分析】根据只有符号不同的两个数叫做互为相反数求出a ;根据绝对值的性质解答.【解答】解:﹣1的相反数是1﹣,绝对值是﹣1.故答案为:1﹣;﹣1.【点评】本题考查了实数的性质,主要利用了相反数的定义,绝对值的性质,本题难点在于要熟悉﹣1是正数.13.已知一个正数的平方根是3x ﹣2和5x+6,则这个数是 \frac{49}{4} .【考点】平方根.【专题】计算题.【分析】由于一个非负数的平方根有2个,它们互为相反数.依此列出方程求解即可.【解答】解:根据题意可知:3x ﹣2+5x+6=0,解得x=﹣,所以3x ﹣2=﹣,5x+6=,∴()2=故答案为:.【点评】本题主要考查了平方根的逆运算,平时注意训练逆向思维.14.若,则xy的值为8 .【考点】非负数的性质:算术平方根;非负数的性质:绝对值.【分析】根据非负数的性质列式求出x、y的值,然后相乘即可得解.【解答】解:根据题意得,x﹣2y=0,y+2=0,解得x=﹣4,y=﹣2,所以,xy=(﹣4)×(﹣2)=8.故答案为:8.【点评】本题考查了非负数的性质:几个非负数的和为0时,这几个非负数都为0.15.若的整数部分为a,的小数部分为b,则ab= 3\sqrt{5}﹣6 .【考点】估算无理数的大小.【分析】根据,可得a的值,根据2<3,可得b的值,根据有理数的乘法,可得答案.【解答】解:34,a=3,2,b=﹣2,ab=3(﹣2)=3﹣6.故答案为:3﹣6.【点评】本题考查了估算无理数的大小,根据,可得a的值,根据2<3,可得b的值,是解题关键.16.当x=﹣2时,代数式的值是 5 .【考点】二次根式的性质与化简.【分析】根据二次根式的性质化简.【解答】解:当x=﹣2时,代数式===5.【点评】主要考查了二次根式的化简.注意最简二次根式的条件是:①被开方数的因数是整数,因式是整式.②被开方数中不含能开得尽方的因数因式.上述两个条件同时具备(缺一不可)的二次根式叫最简二次根式.17.计算:﹣= \sqrt{5} ;(2+)÷= \sqrt{2}+\sqrt{3} .【考点】二次根式的混合运算.【专题】计算题.【分析】利用二次根式的加减法计算﹣;利用二次根式的除法法则计算(2+)÷.【解答】解:﹣=2﹣=;(2+)÷=2+=+.故答案为,+.【点评】本题考查了二次根式的计算:先把各二次根式化为最简二次根式,再进行二次根式的乘除运算,然后合并同类二次根式.18.观察下列各式:…请你将发现的规律用含自然数n(n≥1)的等式表示出来\sqrt{n+\frac{1}{n+2}}=(n+1)\sqrt{\frac{1}{n+2}}(n≥1).【考点】规律型:数字的变化类.【专题】规律型.【分析】观察分析可得:=(1+1);=(2+1);…则将此题规律用含自然数n(n≥1)的等式表示出来【解答】解:∵=(1+1);=(2+1);∴=(n+1)(n≥1).故答案为:=(n+1)(n≥1).【点评】本题考查学生通过观察、归纳、抽象出数列的规律的能力,要求学生首先分析题意,找到规律,并进行推导得出答案.本题的关键是根据数据的规律得到=(n+1)(n≥1).三、解答题(共66分)19.化简:(1)(π﹣2015)0++|﹣2|;(2)++3﹣.【考点】实数的运算;零指数幂.【专题】计算题.【分析】(1)原式第一项利用零指数幂法则计算,第二项化为最简二次根式,最后一项利用绝对值的代数意义化简,计算即可得到结果;(2)原式利用算术平方根,立方根,以及二次根式性质化简,计算即可得到结果.【解答】解:(1)原式=1+2+2﹣=3+;(2)原式=4﹣3+3﹣3=3﹣2.【点评】此题考查了实数的运算,熟练掌握运算法则是解本题的关键.20.计算:(1)(2﹣3)2;(2)+﹣2.【考点】二次根式的混合运算.【专题】计算题.【分析】(1)利用完全平方公式计算;(2)先把各二次根式化为最简二次根式,然后合并即可.【解答】解:(1)原式=12﹣12+18=30﹣12;(2)原式=2+﹣=+.【点评】本题考查了二次根式的计算:先把各二次根式化为最简二次根式,再进行二次根式的乘除运算,然后合并同类二次根式.21.实数a、b在数轴上的位置如图所示,请化简:|a|﹣﹣.【考点】二次根式的性质与化简;实数与数轴.【分析】先根据二次根式的性质得出|a|﹣|a|﹣|b|,推出结果是﹣|b|,根据正数的绝对值等于它本身得出即可.【解答】解:∵从数轴可知:a<0<b,∴:|a|﹣﹣=|a|﹣|a|﹣|b|=﹣|b|=﹣b.【点评】本题考查了二次根式的性质,实数与数轴等知识点,解此题的关键是根据数轴得出a<0<b,注意:=|a|,当a≥0时,|a|=a,当a≤0时,|a|=﹣a.22.已知y=,求3x+2y的算术平方根.【考点】二次根式有意义的条件;算术平方根.【专题】计算题.【分析】根据二次根式的被开方数为非负数可得出x的值,进而得出y的值,代入代数式后求算术平方根即可.【解答】解:由题意得,,∴x=3,此时y=8;∴3x+2y=25,25的算术平方根为=5.故3x+2y的算术平方根为5.【点评】本题考查二次根式有意义的条件,比较简单,关键是掌握二次根式的被开方数为非负数,另外要仔细审题,题目要求的是算术平方根而不是平方根,这是同学们容易忽略的地方.23.已知:x=+1,y=﹣1,求下列各式的值.(1)x2+2xy+y2;(2)x2﹣y2.【考点】二次根式的化简求值;整式的加减—化简求值.【分析】观察可知:(1)式是完全平方和公式,(2)是平方差公式.先转化,再代入计算即可.【解答】解:(1)当x=+1,y=﹣1时,原式=(x+y)2=(+1+﹣1)2=12;(2)当x=+1,y=﹣1时,原式=(x+y)(x﹣y)=(+1+﹣1)(+1﹣+1)=4.【点评】先化简变化算式,然后再代入数值,所以第一步先观察,而不是直接代入数值.24.细心观察图形,认真分析各式,然后解答问题.()2+1=2 S1=()2+1=3 S2=()2+1=4 S3=…(1)推算出S10的值;(2)请用含有n(n是正整数)的等式表示上述变化规律;(3)求出S12+S22+S32+…+S102的值.【考点】勾股定理;算术平方根.【专题】规律型.【分析】(1)由给出的数据直接写出OA102的长,从而得到S10的值即可;(2)分别求出OA12,OA22,OA33…和S1、S2、S3…S n,找出规律即;(3)首先求出S12+S22+S32+…+S n2的公式,然后把n=10代入即可.【解答】解:(1)∵OA12=1,OA22=2,OA32=3,∴OA102=10,∵S1=,S2=,S3=,…∴S10=;(2)由(1)得:OA n2=n,S n=;(3)∵S12=,S22=,S32=,…S102=,S12+S22+S32+…+S n2=+++…+=.【点评】本题主要考查勾股定理的知识点,解答本题的关键是熟练运用勾股定理,此题难度不大.25.阅读材料:小明在学习二次根式后,发现一些含根号的式子可以写成另一个式子的平方,如3+=(1+)2.善于思考的小明进行了以下探索:设a+b=(m+n)2(其中a、b、m、n均为整数),则有a+b=m2+2n2+2mn.∴a=m2+2n2,b=2mn.这样小明就找到了一种把类似a+b的式子化为平方式的方法.请你仿照小明的方法探索并解决下列问题:(1)当a、b、m、n均为正整数时,若a+b=,用含m、n的式子分别表示a、b,得:a= m2+3n2 ,b= 2mn ;(2)利用所探索的结论,找一组正整数a、b、m、n填空: 4 + 2 =( 1 + 1 )2;(3)若a+4=,且a、m、n均为正整数,求a的值?【考点】二次根式的混合运算.【分析】(1)根据完全平方公式运算法则,即可得出a、b的表达式;(2)首先确定好m、n的正整数值,然后根据(1)的结论即可求出a、b的值;(3)根据题意,4=2mn,首先确定m、n的值,通过分析m=2,n=1或者m=1,n=2,然后即可确定好a的值.【解答】解:(1)∵a+b=,∴a+b=m2+3n2+2mn,∴a=m2+3n2,b=2mn.故答案为:m2+3n2,2mn.(2)设m=1,n=1,∴a=m2+3n2=4,b=2mn=2.故答案为4、2、1、1.(3)由题意,得:a=m2+3n2,b=2mn∵4=2mn,且m、n为正整数,∴m=2,n=1或者m=1,n=2,∴a=22+3×12=7,或a=12+3×22=13.【点评】本题主要考查二次根式的混合运算,完全平方公式,解题的关键在于熟练运算完全平方公式和二次根式的运算法则.。
北师大版八年级数学上册《实数》单元测试卷及答案解析北师大版八年级数学上册《实数》单元测试卷一、选择题1、下列各数是无理数的是(B)A.B.√3C.﹣D.﹣22、下列计算正确的是(D)A.B.C.D.3、实数在数轴上的对应点的位置如图所示,则正确的结论是(A)A.B.C.D.4、若,则下列x的取值范围正确的是(D)A.x>2B.x≥2C.x<2D.x≤25、下列二次根式中,是最简二次根式的是(A)A.√3B.2√2C.√6D.3√36、化简1-|1-2|的结果是(C)A.-2B.0C.1D.27、将化简,正确的结果是(B)A.B.C.D.8、在以下实数中,无理数有(C)个1.414,1.xxxxxxxx1 (42)A.2个B.3个C.4个D.5个9、下列根式中,与是同类二次根式的是(B)A.B.C.D.10、估算的值是在(B)A.3和4之间B.4和5之间C.5和6之间D.6和7之间二、填空题11、二次根式12、与无理数3 + √5 同类的二次根式是2 + √5.13、如果。
则的取值范围是0 < a ≤ 1.14、若。
则的结果为 3.15、计算(2+)2015 有意义,则的取值范围是0 < a ≤ 1.最接近的整数是 0.16、若a<2,化简+a-1=a-1.17、比较下列实数的大小(填上>、<或=).①- 3 < - 2.②√5 >√3.③- 2 > - √5.18、在。
中,与是同类二次根式的有 3 个.19、当a=,b=时,代数式的值是 2.20、的平方根是 3.(-9)的平方根是不存在。
三、计算题21、(1)×(2) = 222、化简:(1)(2) = 2 - √323、求下列各式中的值.1)(2) = 5四、解答题24、先化简,再计算。
其中。
2 - √3.所以= 2 + √3.25、已知。
求。
解。
= (3 + √5)(3 - √5) = 4.26、最简二次根式与是同类二次根式,求3a-b的值。
实数专题复习考点1:实数【例1】在实数722-,0,3-,9,π+1,327,2.010010001…中,无理数的个数是( ) A .2B .3C .4D .5【变式1-1】下列四个数中,是无理数的是( ) A .3.14 B .722 C .2D .4【变式1-2】在﹣1.414,2,π,2.010101…(相邻两个1之间有1个0),32+,这此数中,无理数的个数为( )A .5B .2C .3D .4考点2:求算数平方根、平方根、立方根【例2】25的算术平方根是 25的算术平方根是 4的平方根为 .8的立方根是 . 【变式2-1】81的算术平方根是 81的算术平方根是 9的平方根为 .27的立方根是 . 【变式2-2】下列各式中,正确的是( ) A .525±= B .()332-=-ππ C .212414= D .()552=-考点3:利用算数平方根的非负性求值【例3】已知实数c b a ,,满足()056222=-+++-c b a(1)求实数c b a ,,的值; (2)求c b a +-3的平方根【变式3-1】已知042=++-y x ,求x y =__________.【变式3-2】若()07722=-+++-z y x ,则z y x +-的平方根为( )2.±A 4.B 2.C 4.±D考点4:求算数平方根的整数部分或小数部分【例4】3的整数部分是 小数部分是【变式4-1】a 是11的整数部分,b 是11的小数部分,求b a 、的值。
考点5:已知平方根、算数平方根或立方根,求参数和这个数【例5】若正数a 的两个平方根分别是2+x 和52-x ,则x 的值为________,a 的值为__________. 【变式5-1】若正数a 的两个平方根分别是2-x 和52+x ,则x 的值为_____ _,a 的值为_____________. 【变式5-2】已知一个数的立方根是21-,那么这个数是_____________.考点6:利用平方根、立方根解方程【例6】 ()4912=-x ()16223=+x【变式6-1】 ()08122=-+x ()081133=--x考点7:实数与数轴【例7】如图,在数轴上点A 表示的实数是 .【变式7-1】如图,根据图中标注在点A 所表示的数为( )A .5-B .51+-C .51--D .51-考点8:二次根式【例8】化简=8 =12 =18 =20 =32=48=21=21=52=52 【变式8-1】计算(1)2328-+ 21818+- (2) 2118⨯ 2332⨯(3) ()223+()223- (3)()()2323-+ 33112⨯⎪⎪⎭⎫⎝⎛-(5) 2188⨯2188+课堂达标1.49的算术平方根是( ) A .7B .±7C .﹣7D .492.下列四个数中,是无理数的是( ) A .3B .311 C .3 D .93.下列运算正确的是( ) A .1222=- B .936=+ C .482=⨯D .236=÷4.解方程()3612=-x ()0813=--x5.计算218- 2435⨯236⨯()215-。
《实数》单元检测一、选择题:(每小题4分,共48分)1、在实数70107.081221.03、、、、- 。
π中,其中无理数的个数为( ) A 、1 B 、2 C 、3 D 、42、下列说法错误的是( )A. 1的平方根是1B. –1的立方根是-1C. 2是2的平方根D. –3是2)3(-的平方根3、下列平方根中, 已经简化的是( )A. 31B. 20C. 22D. 1214、如图,以数轴的单位长线段为边做一个正方形,以数轴的原点为圆心,正方形对角线长为半径画弧,交数轴正半轴于点A ,则点A 表示的数是( )A.211 B 、1.4 C 、2 D 、35、设a =26,则下列结论正确的是( )A. 0.55.4<<aB. 5.50.5<<aC.0.65.5<<aD. 5.60.6<<a6、如图,数轴上表示1,2的对应点分别为A ,B ,点B 关于点A 的对称点为C ,则点C 表示的数是( ).A .12-B .21-C .22-D .22-7、下面说法错误的是( )A. 两个无理数的和还是无理数B. 有限小数和无限小数统称为实数C. 两个无理数的积还是无理数D. 数轴上的点表示实数8、在实数范围内,下列说法中正确的是( ) b a b a D b a b a C b a b a B ba b a A >>======则若则若则若则若,.,.,..,.2233229、设b a ==3,2,用含b a ,的式子表示54.0,则下列表示正确的是( )A.ab 3.0B.ab 3C.21.0abD.b a 21.010.如果a a 21)12(2-=-,则( )A .21<a B.21≤a C.21>a D.21≥a 11.若n m y n m x +=-=,,则xy 的值是( )A.m 2B.n 2C.n m +D.n m -12.已知:m,n 是两个连续的自然数(m<n ),且q=mn,设m q n q p -++=,则p( )A.总是奇数B.总是偶数C.有时是奇数,有时是偶数D.有时是有理数,有时是无理数二、填空题(每小题4分,共24分)13.36的平方根是 ;64的立方根是 。
实数平方根【课堂学习检测】1.一般的,如果一个________的平方等于a ,即__________,那么这个_________叫做a 的算术平方根.a 的算术平方根记为__________. 规定:0的算术平方根是______.2.一般的,如果_________________________________,那么这个数叫做a 的平方根.这就是说,如果______________,那么x 叫做a 的平方根,a 的平方根记为______. 3.求一个数a 的_______________的运算,叫做开平方.4.一个正数有______个平方根,它们______;0的平方根是______;负数________________. 5.25的算术平方根是_________;______是9的平方根;16的平方根是______. 6.计算:(1)=121______;(2)=-256______;(3)=±212______;(4)=43______;(5)=-2)3(______;(6)=-412______. 7.下列各数中没有平方根的是( ) A .(-3)2B .0C .81D .-638.下列说法正确的是( ) A .169的平方根是13 B .1.69的平方根是±1.3 C .(-13)2的平方根是-13 D .-(-13)没有平方根9.求下列等式中的x :(1)若x 2=1.21,则x =______; (2)x 2=169,则x =______; (3)若294x =,则x =______; (4)若x 2=(-2)2,则x =______. 【综合运用】1.25111的平方根是______;0.0001算术平方根是______;0的平方根是______. 2.2)4(-的算术平方根是______;81的算术平方根的相反数是______. 3.一个数的平方根是±2,则这个数的平方是______.4.3表示3的______;3±表示3的______. 5.如果-x 2有平方根,那么x 的值为______.6.如果一个数的负平方根是-2,则这个数的算术平方根是______,这个数的平方是_____. 7.若a 有意义,则a 满足______;若a --有意义,则a 满足______. 8.若3x 2-27=0,则x =______.9.判断正误:(1)3是9的算术平方根. ( )(2)3是9的一个平方根. ( ) (3)9的平方根是-3. ( ) (4)(-4)2没有平方根. ( ) (5)-42的平方根是2和-2. ( )10.下列语句不正确的是( )A .0的平方根是0B .正数的两个平方根互为相反数C .-22的平方根是±2D .a 是a 2的一个平方根11.一个数的算术平方根是a ,则比这个数大8数是( )A .a +8B .a -4C .a 2-8D .a 2+812.求下列各式的值:(1)325 (2)3681+(3)25.004.0- (4)121436.0⋅13.要在一块长方形的土地上做田间试验,其长是宽的3倍,面积是1323平方米.求长和宽各是多少米?14.x 为何值时,下列各式有意义?.1)4(;)3(;)2(;2)1(2--x x x x15.已知a ≥0,那么2)(a 等于什么?16.(1)52的平方根是________;(2)(-5)2的平方根是________,算术平方根是________; (3)x 2的平方根是________,算术平方根是________; (4)(x +2)2的平方根是________,算术平方根是________.立方根【课堂学习检测】1.一般的,如果_____________________________,那么这个数叫做a 的立方根或三次方根。
这就是说,如果__________,那么x 叫做a 的立方根,a 的立方根记为________. 2.求一个数a 的__________的运算,叫做开立方.3.正数的立方根是______数;负数的立方根是______数;0的立方根是______. 4.一般的,=-3a ______.5.125的立方根是______;81-的立方根是______.6.计算:(1)=-3008.0______;(2)=364611______;(3)=--312719______.7.体积是64m 3的立方体,它的棱长是______m . 8.64的立方根是______;364的平方根是______. 9.=3064.0______;=3216______;=-33)2(______;=-33511)(______;=-38______;=-38______;=-33)a (______.10.(-1)2的立方根是______;一个数的立方根是101,则这个数是______. 11.下列结论正确的是( )A .6427的立方根是43±B .1251-没有立方根 C .有理数一定有立方根 D .(-1)6的立方根是-112.下列结论正确的是( )A .64的立方根是±4B .21-是61-的立方根 C .立方根等于本身的数只有0和1D .332727-=-13.比较大小:(1);11______1033(2);2______23(3).27______9314.求出下列各式中的a :(1)若a 3=0.343,则a =______;(2)若a 3-3=213,则a =______; (3)若a 3+125=0,则a =______;(4)若(a -1)3=8,则a =______. 15.若382-x 是2x -8的立方根,则x 的取值范围是______.【综合运用】1.若x 的立方根是4,则x 的平方根是______.2.3311-+-x x 中的x 的取值范围是______,11-+-x x 中的x 的取值范围是______. 3.-27的立方根与81的平方根的和是______. 4.若,033=+y x 则x 与y 的关系是______. 5.如果,443=+a 那么(a -67)3的值是______. 6.若,141233+=-x x 则x =______. 7.若m <0,则=-33m m ______.8.判断正误:(1)负数没有平方根,但负数有立方根. ( )(2)94的平方根是278,32±的立方根是⋅±32( ) (3)如果x 2=(-2)3,那么x =-2. ( )(4)算术平方根等于立方根的数只有1. ( )9.下列说法正确的是( )A .一个数的立方根有两个B .一个非零数与它的立方根同号C .若一个数有立方根,则它就有平方根D .一个数的立方根是非负数10.如果-b 是a 的立方根,则下列结论正确的是( )A .-b 3=aB .-b =a 3C .b =a 3D .b 3=a11.求下列各式的值:(1)327102-- (2)3235411+⨯ (3)336418-⋅(4)3231)3(27---+- (5)10033)1(412)2(-+÷--12.已知5x +19的立方根是4,求2x +7的平方根.13.已知实数a ,满足,0332=++a a a 求|a -1|+|a +1|的值.实数(一)【课堂学习检测】1._____________________叫无理数,_____________________统称实数. 2.___________与数轴上的点一一对应. 3.把下列各数填入相应的集合:-1、3、π、-3.14、9、26-、22-、7.0 . (1)有理数集合{ }; (2)无理数集合{ }; (3)正实数集合{ }; (4)负实数集合{ }. 4.2的相反数是________;21-的倒数是________;35-的绝对值是________. 5.如果一个数的平方是64,那么它的倒数是________.6.比较大小:(1);233--________(2).36________1253-- 7.判断正误:(1)实数是由正实数和负实数组成. ( )(2)0属于正实数. ( ) (3)数轴上的点和实数是一一对应的. ( ) (4)如果一个数的立方等于它本身,那么这个数是0或1. ( ) (5)若,2||=x 则2=x . ( )8.下列说法错误的是( )A .实数都可以表示在数轴上B .数轴上的点不全是有理数C .坐标系中的点的坐标都是实数对D .2是近似值,无法在数轴上表示准确9.下列说法正确的是( )A .无理数都是无限不循环小数B .无限小数都是无理数C .有理数都是有限小数D .带根号的数都是无理数 10.如果一个数的立方根等于它本身,那么这个数是( )A .±1B .0和1C .0和-1D .0和±115.计算:32716949+- 2336)48(1÷---【综合运用】1.38的平方根是______;-12的立方根是______. 2.若,2||=x 则x =______.3.|3.14-π|=______;=-|2332|______.4.若,5||=x 则x =______;若;12||+=x 则x =______. 5.当a ______时,|a -2 |=a -2.6.若实数a 、b 互为相反数,c 、d 互为负倒数,则式子3cd b a ++-=______. 7.在数轴上与1距离是的点2,表示的实数为______. 8.估计76的大小应在( )A .7~8之间B .8.0~8.5之间C .8.5~9.0之间D .9~10之间9.-27的立方根与81的算术平方根的和是( )A .0B .6C .6或-12D .0或610.实数76.2、和22的大小关系是( )A .7226.2<<B .226.27<<C .2276.2<<D .76.222<<11.一个正方体水晶砖,体积为100cm 3,它的棱长大约在( )A .4~5cm 之间B .5~6cm 之间C .6~7cm 之间D .7~8cm 之间12.如图,在数轴上表示实数15的点可能是( )A .P 点B .Q 点C .M 点D .N 点13.写出符合条件的数.(1)小于102的所有正整数;(2)绝对值小于32的所有整数.14.一个底为正方形的水池的容积是486m 3,池深1.5m ,求这个水底的底边长.15.已知M 是满足不等式63<<-a 的所有整数a 的和,N 是满足不等式2237-≤x 的最大整数.求M +N 的平方根.实数(二)【课堂学习检测】1.22-的相反数是____________;32-的绝对值是______. 2.大于17-的所有负整数是______.3.一个数的绝对值和算术平方根都等于它本身,那么这个数是______. 4.下列说法正确的是( )A .正实数和负实数统称实数B .正数、零和负数统称为有理数C .带根号的数和分数统称实数D .无理数和有理数统称为实数 5.下列计算错误的是( ) A .2)2(33-=-B .3)3(2=-C .2)2(33-=--D .39=6.计算:233)32(1000216-++23)451(12726-+-2)2 6 (-32)131)(951()31(--+【综合运用】1.如果|a|=-a,那么实数a的取值范围是______.2.已知|a|=3,,2=b且ab>0,则a-b的值为______.3.下列说法正确的是()A.数轴上任一点表示唯一的有理数B.数轴上任一点表示唯一的无理数C.两个无理数之和一定是无理数D.数轴上任意两点之间都有无数个点4.已知a、b是实数,下列命题结论正确的是()A.若a>b,则a2>b2 B.若a>|b|,则a2>b2C.若|a|>b,则a2>b2D.若a3>b3,则a2>b25.若无理数a满足不等式1<a<4,请写出两个符合条件的无理数______.6.已知a是10的整数部分,b是它的小数部分,求(-a)3+(b+3)2的值.。