八年级数学分式的混合运算练习题
- 格式:doc
- 大小:136.00 KB
- 文档页数:5
【本文由书林工作坊整理发布,如有疑问可关注私信。
谢谢!】分式的乘方及乘除混合运算知识点1 分式的乘除混合运算1.(河北中考)下列运算结果为x -1的是(B )A .x 2-1x -1B .x 2-1x ·xx +1 C .x +1x ÷1x -1 D .x 2+2x +1x +12.计算:-n m 2÷n 2m 3÷mn 2=-n .3.计算:(1)2x 2y 3mn 2·5m 2n 4xy 2÷5xym 3n; 解:原式=2x 2y 3mn 2·5m 2n 4xy 2·3n 5xym =12y 2.(2)a +2a 2-1·a -1a 2+4a +4÷1a +2; 解:原式=a +2(a +1)(a -1)·a -1(a +2)2·(a +2)=1a +1.(3)3x 4x -3÷216x 2-9·x4x +3; 解:原式=3x 4x -3·(4x +3)(4x -3)2·x 4x +3=3x 22.(4)1x -1÷(x+2)·x -1x +2. 解:原式=1x -1·1x +2·x -1x +2=1(x +2)2.知识点2 分式的乘方运算4.在下列各式中:①(-2n a 2b )2;②-8m 4n 2a 2b ;③8m 4n 2a 5b ·an bm 2;④4n 2ab 2÷a 3,相等的两个式子是(B )A .①②B .①④C .②③D .③④ 5.计算:(2x 23y )2=4x 49y 2,(-y 22x 3)3=-y 68x 9.6.计算:(1)(-y 2x)2;解:原式=(-y 2)2x 2=y 4x 2.(2)(2a 2b c)3.解:原式=(2a 2b )3c 3=8a 6b3c 3.知识点3 分式乘方、乘除的混合运算 7.计算a 3·(1a)2的结果是(A )A .aB .a 5C .a 6D .a 88.计算x 2y ÷(-y x )·(y x)2的结果是(A )A .-xB .-x 2yC .x yD .x 2y 9.计算:(1)(-b 22a )÷(-b a 2)3÷(1ab)3;解:原式=(-b 22a )÷(-b 3a 6)÷1a 3b 3=b 22a ·a 6b 3·a 3b 3=a 8b 22.(2)m 2-n 2(m -n )2·(n -m mn )2÷m +nm; 解:原式=(m +n )(m -n )(m -n )2·(n -m )2m 2n 2·m m +n =m -n mn 2.(3)(x 2-y 2xy )2÷(x +y)2·(x x -y)3.解:原式=(x +y )2(x -y )2x 2y 2·1(x +y )2·x 3(x -y )3=x xy 2-y 3.02 中档题10.下列分式运算,正确的是(D )A .m 4n 5·n 3m 3=m nB .(3x 4y )3=3x 34y3C .(2a a -b )2=4a 2a 2-b 2 D .a b ÷cd =ad bc11.计算1÷1+m1-m·(m 2-1)的结果是(B )A .-m 2-2m -1B .-m 2+2m -1C .m 2-2m -1D .m 2-1 12.计算:(1)(2xy 3-z 2)2÷6x 2y3;解:原式=4x 2y 6z 4·y 36x 2=2y 93z 4.(2)(-a b )2·(-a b )3÷(-ab)4;解:原式=-a 2b 2·a 3b 3·1a 4b 4=-a b 9.(3)2x +y x -y ÷2x +yx 2-2xy +y 2·(x -y);解:原式=2x +y x -y ·(x -y )22x +y ·(x-y)=(x -y)2.(4)(x -2x )2÷x 2-4x 2+2x.解:原式=(x -2)2x 2·x (x +2)(x +2)(x -2)=x -2x.13.阅读下列解题过程,然后回答问题.计算:1x 2-6x +9÷x +3x -3·(9-x 2).解:原式=1(x -3)2÷x +3x -3·(3-x)(3+x) 第一步=1(x -3)2·x -3x +3·(3-x)(3+x) 第二步 =1. 第三步(1)上述计算过程中,第一步使用的公式用字母表示为a 2-2ab +b 2=(a -b)2,a 2-b 2=(a +b)(a -b);(2)第二步使用的运算法则用字母表示为A B ÷C D =A B ·DC ;(3)由第二步到第三步进行了分式的约分;(4)以上三步中,第三步出现错误,正确的化简结果是-1.14.(黄石中考)先化简,再求值:a 2-3a a 2+a ÷a -3a 2-1·a +1a -1,其中a =2 016.解:原式=a (a -3)a (a +1)·(a +1)(a -1)a -3·a +1a -1=a +1.当a =2 016时,原式=2 017.15.先化简,再求值:(2ab 2a +b )3÷(ab 3a 2-b 2)2·[12(a -b )]2,其a =-12,b =23.解:原式=(2ab 2)3(a +b )3·(a 2-b 2)2(ab 3)2·14(a -b )2=8a 3b 6(a +b )3·(a +b )2(a -b )2a 2b 6·14(a -b )2 =2a a +b. 当a =-12,b =23时,原式=2×(-12)-12+23=-6.03 综合题16.有这样一道题:“计算x 2-2x +1x 2-1÷x -1x 2+x ÷(1x )3的值,其中x =2”,小明同学把x =2错抄为x =-2,但是他计算的结果也是正确的,你说这是怎么回事?解:x 2-2x +1x 2-1÷x -1x 2+x ÷(1x )3=(x -1)2(x +1)(x -1)·x (x +1)x -1·x 3 =x 4.所以,当x =2或-2时,原式的值都等于16.。
中考数学专项练习分式的混合运算(含解析)【一】单项选择题1.计算的结果是〔〕A.B.C.x2+1D.x2﹣12.化简分式〔x-y+〕〔x+y-〕的结果为〔〕A.y2-x2B.x2-y2C.x2-4y2D.4x2-y23.x﹣=﹣y,且x+y≠0,那么xy的值为〔〕A.-1B.0C.1D.24.化简÷〔1+ 〕的结果是〔〕A.B.C.D.5.化简:〔1+ 〕÷结果为〔〕A.4xB.3xC.2xD.x6.化简〔1﹣〕÷的结果是〔〕A.〔x+1〕2B.〔x﹣1〕2C.D.7.以下运算结果为x﹣1的是〔〕A.1﹣B.•C.÷D.8.化简的结果是〔〕A.B.C.x+1D.x﹣19.假设分式□运算结果为x,那么在〝□〞中添加的运算符号为〔〕A.+B.﹣C.+或×D.﹣或÷10.化简的结果是()A.1B.C.D.-111.计算〔﹣〕÷的结果为〔〕A.B.C.D.12.以下等式成立的是〔〕A.+ =B.=C.=D.=﹣【二】填空题13.化简:〔1+ 〕÷的结果为________.14.÷·=________÷·________.15.化简:=________.16.有一个计算程序,每次运算都是把一个数先乘以2,再除以它与1的和,多次重复进行这种运算的过程如下:那么第n次运算的结果yn=________〔用含字母x和n的代数式表示〕.17.计算:=________.【三】计算题18.计算:〔1〕;〔2〕.19.计算:〔1〕〔2〕.20.计算:①;②﹣a﹣1;③.21.计算:.22.计算或化简:①计算〔﹣〕÷.②a≠0,且满足a2﹣3a+1=0,求a2+ 的值.23.计算或化简:〔1〕.〔2〕.24.计算:.25.计算:〔1〕÷;〔2〕〔1+ 〕÷.【四】解答题26.:y= ,试说明不论x为任何有意义的值,y值均不变.27.化简:÷.【一】单项选择题1.计算的结果是〔〕A.B.C.x2+1D.x2﹣1【考点】分式的混合运算【解析】【解答】解:原式=[+ ]•〔x+1〕〔x﹣1〕=2x+〔x﹣1〕2=x2+1,应选C【分析】原式括号中两项通分并利用同分母分式的加法法那么计算,同时利用除法法那么变形,约分即可得到最简结果.2.化简分式〔x-y+〕〔x+y-〕的结果为〔〕A.y2-x2B.x2-y2C.x2-4yD.4x2-y2【考点】分式的混合运算【解析】【分析】先算小括号里的,再算乘法,把分子因式分解,化简即可.【解答】〔x-y+)〔x+y-)===x2-y2 .应选B、【点评】当整式与分式相加减时,一般可以把整式看作分母为1的分式,与其它分式进行通分运算.需注意:〔x+y)2-4xy=〔x-y)2 ,〔x-y)2+4xy =〔x+y)2的应用.3.x﹣=﹣y,且x+y≠0,那么xy的值为〔〕A.-1B.0C.1D.2【考点】分式的混合运算【解析】【解答】解:∵x﹣=﹣y,∴x+y=+= ,∵x+y≠0,∴xy=1,应选C【分析】等式移项变形,整理后根据x+y不为0求出xy的值即可.4.化简÷〔1+ 〕的结果是〔〕A.B.D.【考点】分式的混合运算【解析】【解答】解:原式=÷= •=,应选C【分析】原式括号中两项通分并利用同分母分式的加法法那么计算,同时利用除法法那么变形,约分即可得到结果.5.化简:〔1+ 〕÷结果为〔〕A.4xB.3xC.2xD.x【考点】分式的混合运算6.化简〔1﹣〕÷的结果是〔〕A.〔x+1〕2B.〔x﹣1〕2C.D.【考点】分式的混合运算【解析】【解答】解:〔1﹣〕÷===〔x﹣1〕2 ,应选B、【分析】先对括号内的式子通分,然后再将除法转化为乘法即可解答此题.7.以下运算结果为x﹣1的是〔〕A.1﹣B.•C.÷D.【考点】分式的混合运算【解析】【解答】解:A、1﹣= ,故此选项错误;B、原式= •=x﹣1,故此选项正确;C、原式= •〔x﹣1〕= ,故此选项错误;D、原式= =x+1,故此选项错误;应选:B、【分析】根据分式的基本性质和运算法那么分别计算即可判断.8.化简的结果是〔〕A.B.C.x+1D.x﹣1【考点】分式的混合运算9.假设分式□运算结果为x,那么在〝□〞中添加的运算符号为〔〕A.+B.﹣C.+或×D.﹣或÷【考点】分式的混合运算【解析】【解答】解:A、根据题意得:+ = ,不符合题意;B、根据题意得:﹣= =x,不符合题意;C、根据题意得:×= ,不符合题意;D、根据题意得:﹣= =x;÷= •=x,符合题意;应选D【分析】将运算符号放入原式,计算即可得到结果.10.化简的结果是()A.1B.C.D.-1【考点】分式的混合运算11.计算〔﹣〕÷的结果为〔〕A.B.C.D.【考点】分式的混合运算【解析】【解答】解:原式=÷= •=.应选A、【分析】首先把括号内的式子通分、相减,然后把除法转化为乘法,进行通分即可.12.以下等式成立的是〔〕A.+ =B.=C.=D.=﹣【考点】分式的混合运算【解析】【解答】解:A、原式= ,错误;B、原式不能约分,错误;C、原式= = ,正确;D、原式= =﹣,错误,应选C【分析】原式各项计算得到结果,即可做出判断.【二】填空题13.化简:〔1+ 〕÷的结果为________.【考点】分式的混合运算14.÷·=________÷·________.【考点】分式的混合运算15.化简:=________.【考点】分式的混合运算【解析】【解答】解:=1﹣=1﹣= = .【分析】把第二个分式的分子分母先因式分解,再把除法统一成乘法化简,最后算减法.16.有一个计算程序,每次运算都是把一个数先乘以2,再除以它与1的和,多次重复进行这种运算的过程如下:那么第n次运算的结果yn=________〔用含字母x和n的代数式表示〕.【考点】分式的混合运算17.计算:=________.【考点】分式的混合运算【三】计算题18.计算:〔1〕;〔2〕.【考点】分式的混合运算【解析】【分析】〔1〕原式利用除法法那么变形,约分即可得到结果;〔2〕原式先计算乘方运算,再计算除法运算,最后算加减运算即可得到结果.19.计算:〔1〕〔2〕.【考点】分式的混合运算【解析】【分析】〔1〕原式通分并利用同分母分式的加法法那么计算,即可得到结果;〔2〕原式括号中通分并利用同分母分式的减法法那么计算,同时利用除以一个数等于乘以这个数的倒数将除法运算化为乘法运算,约分即可得到结果.20.计算:①;②﹣a﹣1;③.【考点】分式的混合运算【解析】【分析】①原式利用除法法那么变形,约分即可得到结果;②原式两项通分并利用同分母分式的减法法那么计算即可得到结果;③原式括号中两项通分并利用同分母分式的加减法那么计算,约分即可得到结果.21.计算:.【考点】分式的混合运算【解析】【分析】原式括号中三项通分并利用同分母分式的减法法那么计算,约分即可得到结果.22.计算或化简:①计算〔﹣〕÷.②a≠0,且满足a2﹣3a+1=0,求a2+ 的值.【考点】分式的混合运算【解析】【分析】①原式括号中两项通分并利用同分母分式的减法法那么计算,同时利用除法法那么变形,约分即可得到结果;②等式整理求出a + 的值,再利用完全平方公式即可求出所求式子的值.23.计算或化简:〔1〕.〔2〕.【考点】分式的混合运算【解析】【分析】〔1〕、〔2〕根据分式混合运算的法那么进行计算即可.24.计算:.【考点】分式的混合运算【解析】【分析】先把括号内通分,再把分子分母因式分解和除法运算化为乘法运算,然后约分即可.25.计算:〔1〕÷;〔2〕〔1+ 〕÷.【考点】分式的混合运算【解析】【分析】〔1〕原式利用除法法那么变形,约分即可得到结果;〔2〕原式括号中两项通分并利用同分母分式的加法法那么计算,同时利用除法法那么变形,约分即可得到结果.【四】解答题26.:y= ,试说明不论x为任何有意义的值,y值均不变.【考点】分式的混合运算【解析】【分析】先算乘除,约分化为最简分式,后算加减,得到不论x为任何有意义的值,y值均不变.27.化简:÷.【考点】分式的混合运算【解析】【分析】利用分式的混合运算顺序求解即可.。
初二分式的加减乘除的练习题分式加减乘除的练习题1. 加法(1)计算:⅔ + ⅛解析:首先需要找到两个分数的最小公倍数,即6。
然后将两个分数的分子乘以相应的倍数,得到:4/6 + 1/6 = 5/6。
答案:⅔ + ⅛ = 5/6(2)计算:7/10 + 3/5解析:将两个分数转化为相同的分母,得到:7/10 + 6/10 = 13/10。
由于13/10是一个假分数,需要将其化简为带分数形式,即整数部分加上真分数:13/10 = 1 3/10。
答案:7/10 + 3/5 = 1 3/102. 减法(1)计算:2/5 - 1/10解析:将两个分数转化为相同的分母,得到:4/10 - 1/10 = 3/10。
答案:2/5 - 1/10 = 3/10(2)计算:5/6 - 1/3解析:首先需要找到两个分数的最小公倍数,即6。
然后将两个分数的分子乘以相应的倍数,得到:5/6 - 2/6 = 3/6。
由于3/6可以化简为1/2,答案可以写为带分数形式:1/2 = 0 1/2。
答案:5/6 - 1/3 = 0 1/23. 乘法(1)计算:2/3 × 5/8解析:将两个分数的分子相乘,分母相乘,得到:2/3 × 5/8 = 10/24。
由于10/24可以化简为5/12,答案可以写为带分数形式:5/12 = 0 5/12。
答案:2/3 × 5/8 = 0 5/12(2)计算:3/4 × 3/5解析:将两个分数的分子相乘,分母相乘,得到:3/4 ×3/5 = 9/20。
答案:3/4 × 3/5 = 9/204. 除法(1)计算:7/8 ÷ 1/4解析:将除数(被除数的倒数)乘以分子的倒数,得到:7/8 × 4/1= 28/8。
由于28/8可以化简为7/2,答案可以写为带分数形式:7/2 = 31/2。
答案:7/8 ÷ 1/4 = 3 1/2(2)计算:2/3 ÷ 4/5解析:将除数(被除数的倒数)乘以分子的倒数,得到:2/3 × 5/4 = 10/12。
【拔尖特训】2023-2024学年八年级数学下册尖子生培优必刷题【苏科版】专题10.6分式的混合运算大题专练(重难点培优30题)班级:___________________ 姓名:_________________ 得分:_______________ 注意事项:本试卷试题解答30道,共分成三个层组:基础过关题(第1-10题)、能力提升题(第11-20题)、培优压轴题(第21-30题),每个题组各10题,可以灵活选用.答卷前,考生务必用0.5毫米黑色签字笔将自己的姓名、班级等信息填写在试卷规定的位置.一.解答题(共30小题)1.(2023秋•苏州期末)化简:(1)a 2a−1−1a−1;(2)(m −3−7m+3)÷m 2−4m 2m+6.2.(2023•泉山区校级三模)(1)计算(π−3.14)0+(13)−2−(−2)3;(2)化简:(1a+1−1a 2−1)÷a−3a+1. 3.(2023春•六合区校级月考)计算.(1)4a 3b ⋅b 2a 3;(2)1−a−2a ÷a 2−4a 2+a. 4.(2023秋•崇川区校级月考)计算:(1)(π−3)0+(−13)−1−√(−2)2;(2)6a 6b 4÷3a 3b 4+a 2⋅(﹣5a );(3)(2y x )−2⋅xy x 2−xy 2xy 2÷2x ; (4)(a −1−2a−1a+1)÷a 2−4a+42+2a5.(2023春•宜兴市校级期中)计算(1)x 2x+2−x +2; (2)x 2−16x+4÷2x−84x .6.(2023春•梁溪区校级期中)计算:(1)6xy 2÷2y 2x ;(2)2x−1x−1−1x−1; (3)x x 2−4−12x−4; (4)x−y x ÷(x −2xy−y 2x) 7.(2023•徐州)计算:(1)(﹣1)2022+|√3−3|﹣(13)﹣1+√9; (2)(1+2x )÷x 2+4x+4x 2. 8.(2023春•溧阳市期中)计算:(1)a 2bc ⋅(−bc 2a ); (2)a−2a+3×2a+6a 2−4; (3)a 22a−4−2a−2; (4)(4x−2−x +2)÷(x−4x−2). 9.(2023•兴化市开学)(1)计算:(√3)2﹣(π−√5)0−√27−|√3−2|;(2)化简:ba 2−b 2÷(1−a a+b ). 10.(2023春•滨湖区校级期中)化简:(1)b 2−27a 3÷2b 9a ⋅3ab b 4; (2)4x 22x−3+93−2x ; (3)m 2m+2−m +2.11.(2023春•东海县期末)计算:(1)a 2bc ⋅(−bc 2a ); (2)a 22a−4−2a−2. 12.(2023春•丹阳市期末)化简:(1)2xx 2−4−1x−2;(2)(1−1a )÷a 2−2a+1a 2−1.13.(2023春•常州期末)计算:(1)8x 3÷32x 2; (2)a−c a−b −c−b b−a. 14.(2023春•溧阳市期末)化简:(1)(−m n 2)•n m; (2)a a−1÷(a 2a 2−1−a a+1).15.(2023秋•环翠区校级月考)分式计算:(1)3x 2y ⋅512ab 2÷(−5a 4b ); (2)(−a 2bc )3⋅(−c 2a 2)2÷(−bc a )4; (3)a+31−a ÷a 2+3aa 2−2a+1; (4)(ab −b 2)÷a 2−b 2a+b. 16.(2023秋•张店区校级月考)分式的计算:(1)(1x−1−1x 2−1)÷x 2−x x 2−2x+1; (2)2x−6x−2÷(5x−2−x −2).17.(2023春•南关区校级月考)计算:(1)x x 2−1⋅x+1x 2; (2)(a+b)2ab −a 2+b 2ab. 18.(2023秋•和平区校级期末)计算:(1)(−4m 3n 3t )2÷n mt(2)x 2−4x 2−4x+4÷x+2x+1−x x−219.(2023春•罗湖区校级期末)计算(1)3x (x−3)2−x 3−x (2)1x+1+1x−1−x 2+1x 2−1x −1x−120.(2023春•南阳月考)化简:(1)(a ﹣1−4a−1a+1)÷a 2−8a+16a+1; (2)(x+2x 2−2x −x−1x 2−4x+4)÷x−4x . 21.(2023秋•青龙县期中)计算:(1)a 2a−b +b 2a−b −2ab a−b ;(2)(1−1a+1)÷a a 2+2a+1. 22.(2023春•沈北新区期末)化简:(1)(x 2﹣4y 2)÷2y+x xy •1x(2y−x); (2)2x x 2−4−1x−2.23.(2023•九龙坡区校级开学)分式化简:(1)16−x 2x 2+4x+4÷x 2x+4⋅x+2x+4; (2)1a+1−3−aa 2−6a+9÷a 2+a a−3. 24.(2023秋•寻甸县期末)计算与化简(1)32m−n −2m−n(2m−n)2;(2)(a +2−5a−2)÷3−a 2a−4. 25.(2023秋•沂水县期末)化简:(1)x x−1+3x−11−x 2; (2)(2m m−1−m m+1)÷m m 2−1. 26.(2023秋•天津期末)计算:(1)(﹣3xy )÷2y 23x •(y x)2; (2)(x x+y −2y x+y )÷x−2y xy •(1x +1y ). 27.(2023春•沙坪坝区校级月考)计算:(1)2y−x x−y +y y−x +x x−y ;28.(2023秋•沙坪坝区校级期末)计算:(1)(a +b )2+a (a ﹣2b );(2)(1−x x+2)÷x 2−4x+4x 2−4. 29.(2023秋•荔湾区期末)计算:(1)a−1a−b −1+b b−a ;(2)(4−a 2a−1+a )÷a 2−16a−1. 30.(2023秋•永年区期末)上课时老师在黑板上书写了一个分式的正确化简结果,随后用手掌盖住了一部分,形式如下: •y 2x 2−xy −y 2−x 2x 2−2xy+y 2=x x−y(1)聪明的你请求出盖住部分化简后的结果;(2)当x =2时,y 等于何值时,原分式的值为5.【拔尖特训】2023-2024学年八年级数学下册尖子生培优必刷题【苏科版】专题10.6分式的混合运算大题专练(重难点培优30题) 班级:___________________ 姓名:_________________ 得分:_______________注意事项:本试卷试题解答30道,共分成三个层组:基础过关题(第1-10题)、能力提升题(第11-20题)、培优压轴题(第21-30题),每个题组各10题,可以灵活选用.答卷前,考生务必用0.5毫米黑色签字笔将自己的姓名、班级等信息填写在试卷规定的位置.一.解答题(共30小题)1.(2023秋•苏州期末)化简:(1)a 2a−1−1a−1;(2)(m −3−7m+3)÷m 2−4m 2m+6.【分析】(1)根据分式的减法法则进行计算,再化成最简分式即可;(2)先根据分式的减法法则进行计算,再根据分式的除法法则把除法变成乘法,最后根据分式的乘法法则进行计算即可.【解答】解:(1)原式=a 2−1a−1=(a+1)(a−1)a−1 =a +1;(2)原式=[(m−3)(m+3)m+3−7m+3]•2(m+3)m(m−4) =m 2−9−7m+3•2(m+3)m(m−4)=(m+4)(m−4)m+3•2(m+3)m(m−4)=2(m+4)m=2m+8m . 2.(2023•泉山区校级三模)(1)计算(π−3.14)0+(13)−2−(−2)3;(2)化简:(1a+1−1a 2−1)÷a−3a+1. 【分析】(1)根据零指数幂、负整数指数幂和有理数的乘方计算即可;(2)先算括号内的式子,再计算括号外的除法即可.【解答】解:(1)(π−3.14)0+(13)−2−(−2)3=1+9﹣(﹣8)=1+9+8=18;(2)(1a+1−1a 2−1)÷a−3a+1 =a−1−1(a+1)(a−1)•a+1a−3=a−2(a−1)(a−3)=a−2a 2−4a+3. 3.(2023春•六合区校级月考)计算. (1)4a 3b ⋅b 2a 3;(2)1−a−2a ÷a 2−4a 2+a. 【分析】(1)根据分式的乘法运算即可求出答案.(2)根据分式的乘除运算以及加减运算法则即可求出答案.【解答】解:(1)原式=4ab 6a 3b =23a 2. (2)原式=1−a−2a ×a 2+a a 2−4 =1−a−2a ×a(a+1)(a+2)(a−2)=1−a+1a+2=a+2a+2−a+1a+2=1a+2. 4.(2023秋•崇川区校级月考)计算:(1)(π−3)0+(−13)−1−√(−2)2;(2)6a 6b 4÷3a 3b 4+a 2⋅(﹣5a );(3)(2y x )−2⋅xy x 2−xy 2xy 2÷2x; (4)(a −1−2a−1a+1)÷a 2−4a+42+2a 【分析】(1)利用零指数幂,负指数幂和算术平方根的性质进行计算即可;(2)先利用整式的除法法则,乘法法则进行计算,然后再进行合并即可;(3)先分别利用负指数幂,分式的乘方,分式的乘法法则,除法法则进行计算,然后再进行减法运算;(4)先算括号内的减法,然后再将括号外分式的分子分母进行因式分解,将除法化为乘法再进行约分,最后化为最简分式即可.【解答】解:(1)(π−3)0+(−13)−1−√(−2)2=1+(﹣3)﹣2=﹣4;(2)6a 6b 4÷3a 3b 4+a 2⋅(﹣5a )=2a 3﹣5a 3=﹣3a 3;(3)(2y x )−2⋅xy x 2−xy 2xy 2÷2x =x 24y 2⋅xy x 2−xy 2xy 2⋅x 2=x 4y −x 4y=0;(4)(a −1−2a−1a+1)÷a 2−4a+42+2a=(a+1)(a−1)−(2a−1)a+1÷(a−2)22(a+1) =a(a−2)a+1⋅2(a+1)(a−2)2 =2a a−2. 5.(2023春•宜兴市校级期中)计算(1)x 2x+2−x +2; (2)x 2−16x+4÷2x−84x .【分析】(1)先通分再加减即可;(2)先因式分解,再根据除法法则计算即可.【解答】解:(1)x 2x+2−x +2 =x 2x+2−x 2+2x x+2+2x+4x+2 =4x+2;(2)x 2−16x+4÷2x−84x =(x+4)(x−4)x+4•4x 2(x−4)=2x .6.(2023春•梁溪区校级期中)计算:(1)6xy 2÷2y 2x ; (2)2x−1x−1−1x−1; (3)x x 2−4−12x−4; (4)x−y x ÷(x −2xy−y 2x) 【分析】(1)把除法转为乘法,再约分即可;(2)利用分式的减法法则进行运算即可;(3)先通分,再进行运算即可;(4)先通分,把能分解的进行分解,除法转为乘法,再约分即可.【解答】解:(1)6xy 2÷2y 2x=6xy 2⋅x 2y 2 =3x 2;(2)2x−1x−1−1x−1 =2x−1−1x−1=2(x−1)x−1=2;(3)x x 2−4−12x−4 =2x 2(x−2)(x+2)−x+22(x−2)(x+2) =x−22(x−2)(x+2)=12(x+2)=12x+4;(4)x−y x ÷(x −2xy−y 2x ) =x−y x ÷x 2−2xy+y 2x =x−y x ⋅x(x−y)2 =1x−y .7.(2023•徐州)计算:(1)(﹣1)2022+|√3−3|﹣(13)﹣1+√9; (2)(1+2x )÷x 2+4x+4x 2. 【分析】(1)根据有理数的乘方、绝对值和负整数指数幂可以解答本题;(2)先算括号内的式子,然后计算括号外的除法即可.【解答】解:(1)(﹣1)2022+|√3−3|﹣(13)﹣1+√9 =1+3−√3−3+3=4−√3;(2)(1+2x )÷x 2+4x+4x 2=x+2x •x 2(x+2)2=x x+2.8.(2023春•溧阳市期中)计算:(1)a 2bc ⋅(−bc 2a ); (2)a−2a+3×2a+6a 2−4; (3)a 22a−4−2a−2;(4)(4x−2−x +2)÷(x−4x−2).【分析】(1)根据分式的约分可以解答本题;(2)先对分式的分子分母分解因式,再约分即可;(3)先通分,然后再分解因式,最后约分即可;(4)先对括号内的式子通分,然后计算括号外的除法即可.【解答】解:(1)a 2bc ⋅(−bc 2a )=−a 2; (2)a−2a+3×2a+6a 2−4=a−2a+3•2(a+3)(a+2)(a−2) =2a+2;(3)a 22a−4−2a−2=a 2−42(a−2)=(a+2)(a−2)2(a−2)=a+22;(4)(4x−2−x +2)÷(x−4x−2) =4−(x−2)(x−2)x−2•x−2x−4=4−x 2+4x−4x−4=−x(x−4)x−4 =﹣x .9.(2023•兴化市开学)(1)计算:(√3)2﹣(π−√5)0−√27−|√3−2|;(2)化简:ba 2−b 2÷(1−a a+b). 【分析】(1)先化简各式,然后再进行计算即可解答;(2)先利用异分母分式加减法计算括号里,再算括号外,即可解答.【解答】解:(1)原式=3﹣1﹣3√3−2+√3=﹣2√3;(2)原式=b (a+b)(a−b)÷(a+b−a a+b ) =b (a+b)(a−b)⋅a+b b=1a−b. 10.(2023春•滨湖区校级期中)化简: (1)b 2−27a 3÷2b 9a ⋅3ab b 4; (2)4x 22x−3+93−2x ; (3)m 2m+2−m +2.【分析】(1)先把除法转化为乘法,然后约分化简即可;(2)把第二个分母变形后根据同分母分式的加减法法则计算;(3)先通分,然后根据同分母分式的加减法法则计算.【解答】解:(1)原式=b 2−27a 3⋅9a 2b ⋅3ab b 4 =−12ab 2;(2)原式=4x 22x−3−92x−3=4x 2−92x−3=(2x−3)(2x+3)2x−3=2x +3; (3)原式=m 2m+2−(m −2)=m 2m+2−m 2−4m+2=m 2−m 2+4m+2=4m+2. 11.(2023春•东海县期末)计算:(1)a 2bc ⋅(−bc 2a ); (2)a 22a−4−2a−2. 【分析】(1)根据分式的乘法运算即可求出答案.(2)根据分式的加减运算即可求出答案.【解答】解:(1)原式=−a 2.(2)原式=a 22(a−2)−42(a−2)=a 2−42(a−2) =(a−2)(a+2)2(a−2)=a+22.12.(2023春•丹阳市期末)化简:(1)2xx 2−4−1x−2;(2)(1−1a )÷a 2−2a+1a 2−1. 【分析】(1)原式通分并利用同分母分式的减法法则计算,约分即可得到结果;(2)原式括号中两项通分并利用同分母分式的减法法则计算,同时利用除法法则变形,约分即可得到结果.【解答】解:(1)原式=2x (x+2)(x−2)−x+2(x+2)(x−2)=2x−(x+2)(x+2)(x−2)=2x−x−2(x+2)(x−2)=x−2(x+2)(x−2)=1x+2;(2)原式=a−1a ÷(a−1)2(a+1)(a−1) =a−1a •(a+1)(a−1)(a−1)2=a+1a .13.(2023春•常州期末)计算:(1)8x 3÷32x 2; (2)a−c a−b −c−b b−a. 【分析】(1)根据分式的除法运算进行化简即可求出答案.(2)根据分式的加减运算进行化简即可求出答案.【解答】解:(1)原式=8x 3⋅x 232 =14x. (2)原式=a−c+b−c a−b =a+b a−b . 14.(2023春•溧阳市期末)化简:(1)(−m n 2)•n m; (2)a a−1÷(a 2a 2−1−a a+1).【分析】(1)根据分式的乘法计算即可;(2)先算括号内的式子,然后计算括号外的除法即可.【解答】解:(1)(−m n 2)•n m =﹣(m n 2•n m ) =−1n ;(2)a a−1÷(a 2a 2−1−a a+1) =a a−1÷a 2−a(a−1)(a+1)(a−1)=a a−1⋅(a+1)(a−1)a 2−a 2+a=a a−1⋅(a+1)(a−1)a =a +1.15.(2023秋•环翠区校级月考)分式计算:(1)3x 2y ⋅512ab 2÷(−5a 4b ); (2)(−a 2b c )3⋅(−c 2a 2)2÷(−bc a )4; (3)a+31−a ÷a 2+3aa 2−2a+1; (4)(ab −b 2)÷a 2−b 2a+b .【分析】(1)按照从左到右的顺序,进行计算即可解答;(2)先算乘方,再算乘除,即可解答;(3)先把除法转化为乘法,进行计算即可解答;(4)先把除法转化为乘法,进行计算即可解答.【解答】解:(1)3x 2y ⋅512ab 2÷(−5a 4b ) =15x 2y12ab 2•(−4b 5a ) =−x 2y a 2b; (2)(−a 2b c )3⋅(−c 2a 2)2÷(−bc a )4; =−a 6b 3c 3•c 4a 4÷b 4c 4a 4 =−a 6b 3c 3•c 4a 4•a 4b 4c 4 =−a 6c 3b; (3)a+31−a ÷a 2+3aa 2−2a+1=a+31−a •(a−1)2a(a+3)=1−a a ;(4)(ab −b 2)÷a 2−b 2a+b =b (a ﹣b )•a+b (a+b)(a−b)=b .16.(2023秋•张店区校级月考)分式的计算:(1)(1x−1−1x 2−1)÷x 2−x x 2−2x+1; (2)2x−6x−2÷(5x−2−x −2).【分析】(1)分式的加减运算以及乘除运算法则即可求出答案.(2)分式的加减运算以及乘除运算法则即可求出答案.【解答】解:(1)原式=x+1−1(x−1)(x+1)•(x−1)2x(x−1)=x (x−1)(x+1)•x−1x=1x+1.(2)原式=2(x−3)x−2÷5−(x+2)(x−2)(x−2) =2(x−3)x−2•x−29−x 2=−2(x−3)(x+3)(x−3) =−2x+3. 17.(2023春•南关区校级月考)计算: (1)x x 2−1⋅x+1x 2; (2)(a+b)2ab −a 2+b 2ab. 【分析】(1)先分解因式,然后再约分.(2)同分母相减,分母不变,分子相减即可求出答案.【解答】解:(1)原式=x (x+1)(x−1)•x+1x 2=1x(x−1). (2)原式=a 2+2ab+b 2−a 2−b 2ab =2ab ab=2. 18.(2023秋•和平区校级期末)计算:(1)(−4m 3n 3t )2÷n mt(2)x 2−4x 2−4x+4÷x+2x+1−x x−2【分析】(1)先计算乘方,再计算除法即可;(2)先按分式除法法则计算,再按分式减法法则计算即可.【解答】解:(1)原式=16m 6n 29t 2÷n mt=16m 6n 29t 2×mt n =16m 7n 9t; (2)原式=(x+2)(x−2)(x−2)2−x+1x+2−x x−2 =x+1x−2−x x−2=1x−2. 19.(2023春•罗湖区校级期末)计算(1)3x (x−3)2−x 3−x (2)1x+1+1x−1−x 2+1x 2−1(3)(x+1x 2−1+x x−1)÷x+1x 2−2x+1【分析】(1)直接进行通分运算进而得出答案;(2)直接进行通分运算进而得出答案;(3)直接利用分式的性质化简,再利用分式的混合运算法则计算得出答案.【解答】解:(1)3x (x−3)2−x 3−x =3x (x−3)2+x(x−3)(x−3)2 =x 2(x−3)2;(2)1x+1+1x−1−x 2+1x 2−1=x−1x 2−1+x+1x 2−1−x 2+1x 2−1=−x 2+2x−1(x+1)(x−1)=−(x−1)2(x+1)(x−1)=−x−1x+1;(3)(x+1x 2−1+x x−1)÷x+1x 2−2x+1 =1+x x−1•(x−1)2x+1=x ﹣1.20.(2023春•南阳月考)化简:(1)(a ﹣1−4a−1a+1)÷a 2−8a+16a+1; (2)(x+2x 2−2x −x−1x 2−4x+4)÷x−4x . 【分析】(1)先算括号内的减法,把除法变成乘法,再算乘法即可;(2)先算括号内的减法,把除法变成乘法,再算乘法即可.【解答】解:(1)原式=(a−1)(a+1)−(4a−1)a+1•a+1(a−4)2=a 2−1−4a+1a+1=a 2−4a a+1•a+1(a−4)2 =a(a−4)a+1•a+1(a−4)2=a a−4;(2)原式=[x+2x(x−2)−x−1(x−2)2]•x x−4 =(x+2)(x−2)−x(x−1)x(x−2)2•x x−4 =x 2−4−x 2+x x(x−2)2 =x−4x(x−2)2⋅x x−4 =1(x−2)2 =1x 2−4x+4. 21.(2023秋•青龙县期中)计算: (1)a 2a−b +b 2a−b −2ab a−b; (2)(1−1a+1)÷a a 2+2a+1. 【分析】(1)根据同分母分式加减法则进行计算;(2)先通分计算括号内的减法,再把除法转化为乘法,约分计算便可.【解答】解:(1)a 2a−b +b 2a−b −2ab a−b=a 2+b 2−2ab a−b=(a−b)2a−b =a ﹣b ;(2)(1−1a+1)÷aa 2+2a+1 =a a+1×(a+1)2a =a +1.22.(2023春•沈北新区期末)化简:(1)(x 2﹣4y 2)÷2y+x xy •1x(2y−x); (2)2xx 2−4−1x−2.【分析】(1)先算小括号里面的,然后再算括号外面的;(2)先通分,然后按同分母分式加减法法则进行计算求解.【解答】解:(1)原式=(x +2y )(x ﹣2y )•xy 2y+x ⋅1x(2y−x) =﹣y ;(2)原式=2x (x+2)(x−2)−x+2(x+2)(x−2)=2x−x−2(x+2)(x−2) =1x+2. 23.(2023•九龙坡区校级开学)分式化简: (1)16−x 2x 2+4x+4÷x 2x+4⋅x+2x+4; (2)1a+1−3−aa 2−6a+9÷a 2+a a−3. 【分析】(1)根据分式的乘除法可以解答本题;(2)根据分式的除法和减法可以解答本题.【解答】解:(1)16−x 2x 2+4x+4÷x 2x+4⋅x+2x+4 =(4+x)(4−x)(x+2)2⋅2(x+2)x ⋅x+2x+4 =2(4−x)x=8−2x x ;(2)1a+1−3−aa 2−6a+9÷a 2+a a−3=1a+1−3−a (a−3)2⋅a−3a(a+1) =1a+1+1a(a+1) =a+1a(a+1)=1a .24.(2023秋•寻甸县期末)计算与化简(1)32m−n −2m−n (2m−n)2; (2)(a +2−5a−2)÷3−a 2a−4.【分析】(1)先约分,再根据分式的减法法则进行计算即可;(2)先算括号内的加减,把除法变成乘法,再根据分式的乘法法则求出答案即可.【解答】解:(1)原式=32m−n −12m−n=3−12m−n=22m−n ;(2)原式=(a+2)(a−2)−5a−2÷−(a−3)2(a−2) =a 2−9a−2•2(a−2)−(a−3) =(a+3)(a−3)a−2•2(a−2)−(a−3)=﹣2(a +3)=﹣2a ﹣6.25.(2023秋•沂水县期末)化简:(1)x x−1+3x−11−x 2; (2)(2m m−1−m m+1)÷m m 2−1. 【分析】(1)先通分,再根据同分母分式相加法则求出答案即可;(2)先算括号内的减法,把除法变成乘法,再算乘法即可.【解答】解:(1)x x−1+3x−11−x 2 =x(x+1)(x+1)(x−1)−3x−1(x+1)(x−1)=x 2+x−3x+1(x+1)(x−1)=x 2−2x+1(x+1)(x−1)=(x−1)2(x+1)(x−1) =x−1x+1; (2)(2m m−1−m m+1)÷m m 2−1 =2m(m+1)−m(m−1)(m+1)(m−1)•(m+1)(m−1)m =m 2+3m (m+1)(m−1)•(m+1)(m−1)m =m(m+3)(m+1)(m−1)•(m+1)(m−1)m=m +3.26.(2023秋•天津期末)计算:(1)(﹣3xy )÷2y 23x •(y x)2; (2)(x x+y −2y x+y )÷x−2y xy •(1x +1y ). 【分析】(1)先算乘方,把除法变成乘法,最后根据分式的乘法法则求出答案即可;(2)先算括号内的加减,再把除法变成乘法,最后根据分式的乘法法则求出答案即可.【解答】解:(1)原式=(﹣3xy )÷2y 23x •y 2x 2 =(﹣3xy )•3x 2y 2•y 2x 2=−9y 2;(2)原式=x−2y x+y ÷x−2y xy •x+y xy=x−2y x+y •xy x−2y •x+y xy =1.27.(2023春•沙坪坝区校级月考)计算:(1)2y−x x−y +y y−x +x x−y ;(2)(x +1−8x−1)÷x 3−9x x 2−2x+1. 【分析】(1)先变形为同分母分式的加减运算,再根据法则计算即可;(2)先计算括号内分式的减法、将除式的分子、分母因式分解,继而将除法转化为乘法,然后约分即可.【解答】解:(1)原式=2y−x x−y −y x−y +x x−y =2y−x−y+x x−y=y x−y ;(2)原式=(x 2−1x−1−8x−1)÷x(x+3)(x−3)(x−1)2=(x+3)(x−3)x−1•(x−1)2x(x+3)(x−3)=x−1x .28.(2023秋•沙坪坝区校级期末)计算:(1)(a +b )2+a (a ﹣2b );(2)(1−x x+2)÷x 2−4x+4x 2−4. 【分析】(1)根据完全平方公式.单项式乘多项式可以解答本题;(2)先算括号内的减法,然后计算括号外的除法即可.【解答】解:(1)(a +b )2+a (a ﹣2b );=a 2+2ab +b 2+a 2﹣2ab=2a 2+b 2;(2)(1−x x+2)÷x 2−4x+4x 2−4=x+2−x x+2×(x+2)(x−2)(x−2)2 =2x−2. 29.(2023秋•荔湾区期末)计算: (1)a−1a−b −1+b b−a ;(2)(4−a 2a−1+a )÷a 2−16a−1. 【分析】(1)原式变形后,利用同分母分式的加法法则计算即可求出值;(2)原式括号中两项通分并利用同分母分式的加法法则计算,同时利用除法法则变形,约分即可得到结果.【解答】解:(1)原式=a−1a−b +1+b a−b=a+b a−b;(2)原式=4−a2+a2−aa−1•a−1(a+4)(a−4)=−a−4a−1•a−1 (a+4)(a−4)=−1a+4.30.(2023秋•永年区期末)上课时老师在黑板上书写了一个分式的正确化简结果,随后用手掌盖住了一部分,形式如下:•y2x2−xy−y2−x2x2−2xy+y2=xx−y(1)聪明的你请求出盖住部分化简后的结果;(2)当x=2时,y等于何值时,原分式的值为5.【分析】(1)根据被减数、减数、差及因数与积的关系,化简分式求出盖住的部分即可;(2)根据x=2时分式的值是5,得关于y的方程,求解即可.【解答】解:(1)∵(xx−y +y2−x2x2−2xy+y2)÷y2x2−xy=[xx−y +(y+x)(y−x)(x−y)2]×x(x−y)y2=−y x−y ×x(x−y)y2=−x y∴盖住部分化简后的结果为−x y;(2)∵x=2时,原分式的值为5,即22−y=5,∴10﹣5y=2解得y=8 5经检验,y=85是原方程的解.所以当x=2,y=85时,原分式的值为5.。
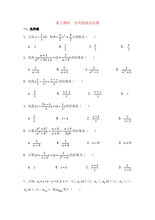
第2课时 分式的混合运算一、选择题 1.已知x x 1-=3,则x x 232142+-的值为( ) A . 1 B . C . D . 2.化简)121(1212-+÷+-+a a a a 的结果是( ) A .11-a B .11+a C .112-a D . 112+a3.化简xyx x y y x -÷-)(的结果是( ) A .y 1 B .y y x + C .yy x - D .y 4.化简)11()12(xx x x -÷--的结果是( ) A .x 1 B .1-x C .x x 1- D .1-x x 5.计算ab ba b a b a b a b a 2)(2222-⨯+---+的结果是( ) A .b a -1 B .b a +1C .b a -D .b a + 6.计算)111()111(2-+÷-+x x 的结果为( ) A . 1 B .1+x C .x x 1+ D .11-x7.已知:1a =x +1(x ≠0且x ≠﹣1),2a =1÷(1﹣1a ),3a =1÷(1﹣2a ),…,n a =1÷(1﹣1-n a ),则2014a 等于( )A . xB . x +1C .x 1-D .1+x x 8.某商品因季节原因提价25%销售,为庆祝元旦,特让利销售,使销售价为原价的85%,则现应降价 ( )A . 20%B . 28%C . 32%D . 36% 二.填空题 9.化简:4)222(2-÷--+m mm m m m=___________. 10.若222222M xy y x y x y x y x y--=+--+ ,则M =___________.11.若代数式1324x x x x ++÷++有意义,则x 的取值范围是___________. 12.计算:8241681622+-÷++-a a a a a =___________.13.化简x x x x x x x 21121222++-•+--的结果是___________. 14.已知032≠=b a ,则代数式)2(42522b a ba b a -•--=___________. 15.化简:)14()22441(22-÷-+-+--a aa a a a a =___________. 16.化简:22229631y xy x y x y x y x +--÷-+- =___________. 17.若,5321=++z y x ,7123=++z y x 则z y x 111++=___________. 18.已知0=++z y x ,则=-++-++-+222222222111z y x y x z x z y ___________.三、解答题 19.计算:(1)2112222+++--+÷+x x x x x x x x ;(2))11112()1(2+--+÷-+x x x x x .20.已知实数a 、b 满足式子|a ﹣2|+(b ﹣)2=0,求)2(2ab ab a a b a --÷-的值.21.先化简,再求值:444)212(2+--÷---+x x x x x x x ,其中x 是不等式3x +7>1的负整数解.22.先化简121)1(12222+--++÷-+a a a a a a ,然后a 在﹣1、1、2三个数中任选一个合适的数代入求值.23.A 玉米试验田是边长为a 米的正方形减去一个边长为1米的正方形蓄水池后余下部分,B 玉米试验田是边长为(a ﹣1)米的正方形,两块试验田的玉米都收获了500千克. (1)哪种玉米的单位面积产量高?(2)高的单位面积产量是低的单位面积产量的多少倍?第3课时 分式的混合运算一.选择题1.D2.A3.B4.B5.B6.C7.B8.C 二、填空题9.6-m 10.2x 11.432-≠-≠-≠x x x 且且 12.-2 13.x 314.21 15.2)2(1-a 16.y x y -2 17.3 18.0. 三、解答题19.解:(1)原式=21)1)(2()1)(1()1(+++-+-+⨯+x x x x x x x x x=12121=++++x x x . (2)原式=)11112()1(2+--+÷-+x x x x x=)1)(1(11)1(21223-++-++-÷-+-x x x x x x x x x=232)1)(1()1)(1(xx x x x x -+•-+ =2x . 20.解:原式=,ab ab a a b a 222+-÷- =2)(b a a a b a -•-, =ba -1, ∵|a ﹣2|+(b ﹣)2=0, ∴a ﹣2=0,b ﹣=0, 解得a =2,b =,所以,原式==2+.21.原式=[)2()1()2()2)(2(-----+x x x x x x x x ]×4)2(2--x x ,=4)2()2(4222--⨯-+--x x x x x x x ,=4)2()2(42--⨯--x x x x x , =xx 2-, 73+x >1, x 3>﹣6, x >﹣2,∵x 是不等式73+x >1的负整数解, ∴x =﹣1把x =﹣1代入xx 2-中得:=3.22.解:原式=11111)1(2-+++⨯-+a a a a a =131112-+=-++-a a a a a , 当a =2时,原式==5.23.解:(1)A 玉米试验田面积是)1(2-a 米2,单位面积产量是15002-a 千克/米2; B 玉米试验田面积是2)1(-a 米2,单位面积产量是21500)(-a 千克/米2; ∵)1(2-a ﹣2)1(-a =2(a ﹣1)且a ﹣1>0, ∴0<2)1(-a <)1(2-a∴15002-a <21500)(-a ∴B 玉米的单位面积产量高;(2)21500)(-a ÷15002-a =21500)(-a ×50012-a =21)1)(1()(--+a a a=11-+a a . ∴高的单位面积产量是低的单位面积产量的11-+a a 倍.高频考点强化训练:三视图的有关判断及计算时间:30分钟 分数:50分 得分:________ 一、选择题(每小题4分,共24分)1.(2016·杭州中考)下列选项中,如图所示的圆柱的三视图画法正确的是( )2.(2016·贵阳中考)如图是一个水平放置的圆柱形物体,中间有一细棒,则此几何体的俯视图是【易错6】( )3.如图所示的主视图、左视图、俯视图是下列哪个物体的三视图( )4.如图所示的几何体的主视图、左视图、俯视图中有两个视图是相同的,则不同的视图是( )乡镇__________________ 学校_____________________ 班级____________ 姓名____________ 座号__________ ………………………………密………………………………….封……………………….线…………………………………………………………………………..5.一个长方体的主视图、俯视图如图所示(单位:cm),则其左视图的面积为( )A .36cm 2B .40cm 2C .90cm 2D .36cm 2或40cm 2第5题图 第6题图6.(2016·承德模拟)由一些大小相同的小正方体组成的几何体的俯视图和左视图如图所示,那么组成这个几何体的小正方体个数可能有( )A .8个B .6个C .4个D .12个二、填空题(每小题4分,共16分)7.下列几何体中:①正方体;②长方体;③圆柱;④球.其中,三个视图形状相同的几何体有________个,分别是________(填几何体的序号).8.如图,水平放置的长方体的底面是边长为3和5的长方形,它的左视图的面积为12,则长方体的体积等于________.9.如图,由五个小正方体组成的几何体中,若每个小正方体的棱长都是1,则该几何体的主视图和左视图的面积之和是________.乡镇__________________ 学校_____________________ 班级____________ 姓名____________ 座号__________ ………………………………密………………………………….封……………………….线…………………………………………………………………………..第8题图 第9题图 第10题图10.(2016·秦皇岛卢龙县模拟)由若干个相同的小立方体搭成的一个几何体的主视图和俯视图如图所示,俯视图的方格中的字母和数字表示该位置上小立方体的个数,则x 的值为________,y 的值为________.三、解答题(10分)11.如图所示的是某个几何体的三视图. (1)说出这个几何体的名称;(2)根据图中的有关数据,求这个几何体的表面积.中考必考点强化训练专题:简单三视图的识别◆类型一 简单几何体的三视图1.(2016·杭州中考)下列选项中,如图所示的圆柱的三视图画法正确的是( )乡镇__________________ 学校_____________________ 班级____________ 姓名____________ 座号__________ ……………………密………………………………….封……………………….线…………………………………………………………………………..第1 题图 第2题图 第3题图 2.(2016·抚顺中考)如图所示几何体的主视图是( )3.(2016·南陵县模拟)如图,图中的几何体是圆柱沿竖直方向切掉一半后得到的,则该几何体的俯视图是( )4.(2016·肥城市一模)如图所示的四个几何体中,它们各自的主视图与俯视图不相同的几何体的个数是( )A .1个B .2个C .3个D .4个5.(2016·宁波中考)如图所示的几何体的主视图为( )乡镇__________________ 学校_____________________ 班级____________ 姓名____________ 座号__________ ……………………密………………………………….封……………………….线…………………………………………………………………………..6.(2016·鄂州中考)一个几何体及它的主视图和俯视图如图所示,那么它的左视图正确的是( )7.(2016·菏泽中考)如图所示,该几何体的俯视图是( )◆类型二 简单组合体的三视图8.(2016·黔西南州中考)如图,是由几个完全相同的小正方体搭建的几何体,它的左视图是( )9.(2016·营口中考)如图所示的物体是由两个紧靠在一起的圆柱体组成,小明准备画出它的三视图,那么他所画的三视图中的主视图应该是( )10.(2016·日照中考)如图,小明同学将一个圆锥和一个三棱柱组成组合图形,观察其三视图,其俯视图是( )11.(2016·烟台中考)如图,圆柱体中挖去一个小圆柱,那么乡镇__________________ 学校_____________________ 班级____________ 姓名____________ 座号__________……………………密………………………………….封……………………….线…………………………………………………………………………..这个几何体的主视图和俯视图分别为( )。
÷ x + 2 - ⎪ . 解:原式 = - ÷例 2:先化简 ⎢⎡ x ( x + 1) + x ⎥ ÷ 解:原式 = ⋅例题示范例 1:混合运算: 分式混合运算(习题)4 - x ⎛ 12 ⎫x - 2 ⎝ x - 2 ⎭【过程书写】x - 4 x 2 - 4 - 12x - 2 x - 2 x - 4 x 2 - 16 =- ÷x - 2 x - 2 x - 4 x - 2 =- ⋅x - 2 ( x + 4)( x - 4)=-1x + 4⎤ 2 x⎣ x - 1 ⎦ 1 - x,然后在 -2 ≤ x ≤ 2 的范围内选取一个你认为合适的整数 x 代入求值.【过程书写】x 2 + x + x 2 - x 1 - x x - 1 2 x2 x 2 1 - x = ⋅x - 1 2 x = - x∵ -2 ≤ x ≤ 2 ,且 x 为整数∴使原式有意义的 x 的值为-2,-1 或 2 当 x =2 时,原式=-2(2) - 1⎪ ÷ (3)⎪(4) y - 1 - y - 1 ⎭ y 2 + y巩固练习1. 计算:(1)1 - x - y x 2 - y 2÷x + 2 y x 2 + 4 x y + 4 y 2;⎛ a ⎫ ⎝ a - 1 ⎭ a 1 2 - 2a + 1;⎛ 2 ⎝ a 2 - b 2 - 1 ⎫ a ÷ a 2 - ab ⎭ a + b;⎛ 8 ⎫ y 2 - 6 y + 9 ⎪ ÷ ⎝;(5) ÷ - ⎪ ; (6) ÷ -1⎪ ;x ⎪ ⎪ ; 3 - x ⎛ 5 ⎫ x - 2 ⎛ -5 ⎫ ÷ - x - 3 ⎪ ; ÷ x + 2 -(10) ( x 2 - 1) - - 1⎪ ; 1a 2 - 2ab + b 2 ⎛ 1 1 ⎫ x 2 - 4x + 4 ⎛ 2 ⎫ 2a - 2b ⎝ b a ⎭ ⎝ x ⎭(7) ⎛ ⎝ 3x + 4 2 ⎫ x + 2 - ÷ x 2 - 1 x - 1 ⎭ x 2- 2 x + 1;(8) (9) 2 x - 4 ⎝ x - 2 ⎭ 2 x - 6 ⎝ x - 3 ⎭⎛ 1 ⎫ ⎝ x - 1 x + 1 ⎭(11) - ÷ - - ⎪ . ⎝ x + y x - y ⎭ x 2- 3xy ⎝x y ⎭ (1)先化简,再求值: 1 - ⎪÷(2)先化简,再求值: + ÷ x 2 - y 2 y 2 - x 2 ⎭ x 2 y - xy 2⎛ 2 1 ⎫ x 2 - y 2 ⎛ 1 1 ⎫ ⎪ ⋅2. 化简求值:⎛ ⎝ 1 ⎫ x 2 + 2x + 1 x + 2 ⎭ x + 2,其中 x = 3 -1.⎛ 5x + 3 y 2 x ⎫ 1 ⎪ ⎝x = 3 + 2 , y = 3 - 2 .,其中(3)先化简 ⎛ + 1⎪ ÷ (4)已知 A = .x + 1 ⎫ x 2 + x 2 - 2 x +⎝ x - 1 ⎭ x 2 - 2 x + 1 x 2 - 1,然后在 -2 ≤ x ≤ 2的范围内选取一个合适的整数 x 代入求值.x 2 + 2 x + 1 x -x 2 - 1 x - 1①化简 A ; ⎧ x -1≥ 0②当 x 满足不等式组 ⎨ ,且 x 为整数时,求 A 的值.⎩ x - 3 < 0x 2 + 3 B . x 2 + 1 D. 2ab 中的分子、分母的值同时扩大为原来的 2 倍,则分式的值(ab 中 a ,b 的值都扩大为原来的 2 倍,则分式的值(x 2 + y 2 中 x ,y 的值都扩大为原来的 2 倍,则分式的值(( x - 2)( x + 3) = x + 3,则 A =_______,B =_______.3. 不改变分式13x - y2 的值,把分子、分母中各项系数化为整数,结果是( )1 3 x2 + 1A . 6 x - yC . 3x - 3 y 18 x - 3 y2 x 2 + 6 18 x -3 y2 x 2 + 34. 把分式 a - 3bA .不变B .扩大为原来的 2 倍C .扩大为原来的 4 倍D .缩小为原来的 12)5. 把分式 3a - 4bA .不变B .扩大为原来的 2 倍C .扩大为原来的 4 倍D .缩小为原来的 126. 把分式 2 xyA .不变B .扩大为原来的 2 倍C .扩大为原来的 4 倍D .缩小为原来的 12))7. 已知 4 x + 7A x - 2 + B2.(1)原式=1,当x=3-1时,原式=【参考答案】巩固练习1.(1)-yx+y (2)a-1(3)1 a2(4)y(y+1)(y2-2y-7) (y-1)(y-3)2(5)ab 2(6)-x+2(7)x-1 x+1(8)-(9)-1 2x+6 1 2x+4(10)-x2+3(11)-yx+y3x+13(2)原式=3xy,当x=3+2,y=3-2时,原式=3(3)原式=2x-4x+1,当x=2时,原式=0(4)①1x-1;②13. 4. 5. 6. 7.BADA 3,1。
分式混合运算学案知识梳理1.在进行分式的运算前,要先把分式的分子和分母因式分解.分式的乘除要约分,加减要通分,最后的结果要化成最简分式或整式.2.运算顺序:先乘除、后加减,有括号先算括号.例1:混合运算:412222x x x x -⎛⎫÷+- ⎪--⎝⎭. 【过程书写】2244122241622422(4)(4)14x x x x x x x x x x x x x x ---=-÷----=-÷----=-⋅-+-=-+解:原式例2:先化简(1)211x x x x x x+⎡⎤+÷⎢⎥--⎣⎦,然后在22x -≤≤的范围内选取一个你认为合适的整数x 代入求值.【过程书写】2221122112x x x x x x xx x x x x++--=⋅--=⋅-=-解:原式 ∵22x -≤≤,且x 为整数∴使原式有意义的x 的值为-2,-1或2当x =2时,原式=-2练习题1. 分式的混合运算:(1)242222x x x x x⎛⎫++÷ ⎪--⎝⎭; (2)2111122x x x x ⎛⎫-÷ ⎪-+-⎝⎭;(3)24142a a a ⎛⎫+÷ ⎪--⎝⎭; (4)2344111x x x x x -+⎛⎫+-÷ ⎪--⎝⎭;(5)222112x x x x x ⎛⎫-+÷+ ⎪-⎝⎭; (6)11-+a a 221a a a -÷-+a 1.2. 化简求值:(1)先化简,再求值:22112111x x x x x x x ⎛⎫--+÷ ⎪-++-⎝⎭,其中4x =.(2)先化简,再求值:2222211b a ab b a a ab a a b ⎛⎫-+⎛⎫÷++ ⎪ ⎪-⎝⎭⎝⎭,其中11a b ==,.(3)先化简分式221221x x x x x x x x -⎛⎫-÷ ⎪---+⎝⎭,然后从13x -≤≤中选取一个你认为合适的整数x 代入求值.(4)先化简分式3423332a a a a a a a +-+⎛⎫-÷⋅ ⎪+++⎝⎭,然后从不等式组 25<324a a --⎧⎨⎩≤的解集中选取一个你认为符合题意的a 代入求值.3. 化简:22111a a ab a ab--÷⋅+,并选取一组你喜欢的整数a ,b 代入求值.小刚计算这一题的过程如下:22(1)(1)1111(1)(1)1a a a ab a aba a ab a a ab ab+--=÷⋅++-=⨯⋅+-=解:原式①②③当a =1,b =1时,原式=1. ④ 以上过程有两处错误,第一次出错在第______步(填写序号),原因:_____________________________________________;还有第_______步出错(填写序号),原因:___________________________________________________.请你写出此题的正确解答过程.4. 课堂上,王老师出了这样一道题:已知2015x =-,求代数式22213111x x x x x -+-⎛⎫÷+ ⎪-+⎝⎭的值. 小明觉得直接代入计算太复杂了,同学小刚帮他解决了问题,并解释说:“结果与x 无关”.解答过程如下:2(1)13(1)(1)1111112(1)12_________x x x x x x x x x x x x -++-=÷+-+-=÷+-+=⋅+-=原式①②③④当2015x =-时,12=原式. (1)从原式到步骤①,用到的数学知识有_______________;(2)步骤②中空白处的代数式应为_____________________;(3)从步骤③到步骤④,用到的数学知识有_____________.5. 有两个熟练工人甲和乙,已知甲每小时能制作a 个零件,乙每小时能制作b个零件.现要赶制一批零件,如果甲单独完成需要m 小时,那么甲、乙两人同时工作,可比甲单独完成提前_______________小时.6. 若把分式x y x y+-中的x 和y 都扩大为原来的m 倍,则分式的值( ) A .扩大为原来的m 倍 B .不变C .缩小为原来的1mD .不能确定7. 若把分式2x y xy+中的x 和y 都扩大为原来的3倍,则分式的值( ) A .扩大为原来的3倍 B .不变C .缩小为原来的13D .缩小为原来的168. 已知53m n =,则222m m n m n m n m n +-=+--__________.9. 已知34(1)(2)12x A B x x x x -=+----,则A =______,B =______. 10. 计算:(1)22221244x y x y x y x xy y ---÷+++; (2)211121a a a a ⎛⎫-÷ ⎪--+⎝⎭;(3)22221a a b a ab a b ⎛⎫-÷ ⎪--+⎝⎭; (4)2286911y y y y y y ⎛⎫-+--÷ ⎪-+⎝⎭;(5)2221122a ab b a b b a -+⎛⎫÷- ⎪-⎝⎭; (6)24421x x x x -+⎛⎫÷- ⎪⎝⎭;(7)2234221121x x x x x x ++⎛⎫-÷ ⎪---+⎝⎭;(8)352242x x x x -⎛⎫÷+- ⎪--⎝⎭;(9)253263x x x x --⎛⎫÷-- ⎪--⎝⎭; (10)211(1)111x x x ⎛⎫--- ⎪-+⎝⎭;(11)22221113x y x y x y x xy x y ⎛⎫⎛⎫--⋅÷-- ⎪ ⎪+--⎝⎭⎝⎭.11.化简求值:(1)先化简,再求值:2121122x x x x ++⎛⎫-÷ ⎪++⎝⎭,其中1x =.(2)先化简,再求值:2222225321x y x x y y x x y xy ⎛⎫++÷ ⎪---⎝⎭,其中x =y =(3)先化简22212211211x x x xx x x x ++-⎛⎫+÷+ ⎪--+-⎝⎭,然后在22x -≤≤的范围内选取一个合适的整数x 代入求值.(4)已知222111x x xA x x ++=---.①化简A ;②当x 满足不等式组1030x x -⎧⎨-<⎩≥,且x 为整数时,求A 的值.12.不改变分式2132113x yx -+的值,把分子、分母中各项系数化为整数,结果是() A .263x y x -+ B .218326x yx -+C .2331x y x -+D .218323x yx -+13.把分式32a bab -中的分子、分母的值同时扩大为原来的2倍,则分式的值()A .不变B .扩大为原来的2倍C .扩大为原来的4倍D .缩小为原来的1214.把分式34a b ab-中a ,b 的值都扩大为原来的2倍,则分式的值( ) A .不变 B .扩大为原来的2倍C .扩大为原来的4倍D .缩小为原来的1215.把分式222xy x y +中x ,y 的值都扩大为原来的2倍,则分式的值( ) A .不变B .扩大为原来的2倍C .扩大为原来的4倍D .缩小为原来的1216.已知47(2)(3)23x A B x x x x +=+-+-+,则A =_______,B =_______. 【参考答案】1. (1)2x (2)4x (3)2a a +(4)22x x +-(5)11x +(6)21(1)a -- 2. (1)原式,当4x =时,原式(2)原式1ab=-,当11a b ==,时,原式1=- (3)原式12x =--,当x =3时,原式1=- (4)原式=a +3,当0a =时,原式3=3. ③,约分出错④,a 的取值不能为1,当a =1时,原分式无意义正确的解答过程略 4. (1)分解因式,通分,分式的基本性质(2)221x x -+ (3)约分,分式的基本性质5. bm a b+ 6. B41x =+=7. C8. 41169. 1,210. (1)(2)(3)21a(4)(5)(6) (7)(8)(9)(10)(11) 11. (1)原式11x =+,当1x =时,原式=(2)原式=3xy,当x =y =-时,原式=3(3)原式241x x -=+,当x =2时,原式=0 (4)①11x -;②1 12. B13. A14. D15. A16. 3,1 y x y -+1a -22(1)(27)(1)(3)y y y y y y +----2ab 2x -+11x x -+126x -+124x -+23x -+y x y -+。
分式加减乘除混合运算题及答案
题目1:5÷2+4×7-6=?
答案:5÷2+4×7-6 = 25
题目2:7+2×9-6÷3=?
答案:7+2×9-6÷3 = 25
题目3:8÷2-3×2+7=?
答案:8÷2-3×2+7 = -1
在学习数学的过程中,掌握数学的基本运算至关重要,其中分式加减乘除混合运算是其中一种。
分式加减乘除混合运算,应根据乘除的优先级,优先处理乘除再处理加减。
一、计算优先级
在计算分式加减乘除混合运算时,乘除运算符号的优先级则是比加减
运算符号优先。
也就是在表达式中,需要先参与计算的运算符号是乘除,再是加减。
二、计算步骤
1. 预处理:剔除表达式中的括号;
2. 乘除计算:从左数乘、除运算,计算出结果;
3. 加减计算:从左数加减,计算出结果。
三、实例
例:4+7÷2×5-6=
步骤:预处理:4+7÷2×5-6
乘除计算:4+3.5×5-6
加减计算:4+17.5-6
结果:15.5
显然,如何正确计算分式加减乘除混合运算,需要注意两点:
1. 运算时,需根据乘除的优先级,优先处理乘除再处理加减;
2. 步骤应为:预处理、乘除计算、加减计算,最后确定答案。
四、练习
1. 5÷2+4×7-6=
答案:25
2. 7+2×9-6÷3=
答案:25
3. 8÷2-3×2+7=
答案:-1。
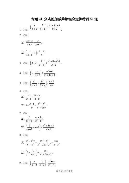
专题21 分式的加减乘除混合运算特训50道1. 计算:2244222x x x x x x -+⎛⎫-÷ ⎪+++⎝⎭.2. 化简:(1)2y x y x y y x-+--;(2)1211x x x -⎛⎫-÷ ⎪-⎝⎭.3. 化简:27816333a a a a a -+⎛⎫+-÷ ⎪--⎝⎭.4. 计算:2241244a a a a a -⎛⎫-÷ ⎪+++⎝⎭.5. 计算:22ab a b a b b a ab⎛⎫++÷ ⎪--⎝⎭6. 计筫:(1)2a b a a b a b----;(2)22212a b a b a a ab---÷+.7. 化简(1)2223m n m n m n --+-;(2)2344111a a a a a ++⎛⎫-+÷ ⎪++⎝⎭8. 计算:(1)3223222222x x y xy y xy x y x xy y x y+-+---+-;(2)211121m m m m ⎛⎫-÷ ⎪+++⎝⎭.9. 计算:221224x x x x x x -⎛⎫-÷ ⎪---⎝⎭.10. 计算(1)222a b ab a b a b a b+----(2)211121a a a a ⎛⎫-÷ ⎪+++⎝⎭11. 化简:22131242a a a a a-⎛⎫-÷ ⎪--+⎝⎭12. 化简:21111m m m-⎛⎫+⋅ ⎪-⎝⎭.13. 化简:231122a a a a a +-⎛⎫-+÷ ⎪++⎝⎭14. 化简:2221121x x x x x x ⎛⎫+-+÷ ⎪+++⎝⎭.15. 化简:(1)2111a a a ---(2)2743326m m m m m -⎛⎫--÷ ⎪++⎝⎭16. 化简:35(2)22x x x x -÷+---17. 计算:2241393x x x x -⎛⎫+÷ ⎪+-+⎝⎭.18. 化简:22221244a b a b a b a ab b---÷+++.19. 计算:22211121x x x x x -÷+--+20. 计算:(1)22421x x x--+;(2)222228224x x x x x ⎛⎫+--÷ ⎪--⎝⎭.21. 计算:2221211x x x x x x x-÷+-+--.22. 计算22242⎛⎫-÷ ⎪--+⎝⎭m m m m m m .23. 计算:221(1211x x x x x -÷+-+-.24. 计算(1)11a b a b b a ⎛⎫⎛⎫+÷- ⎪ ⎪⎝⎭⎝⎭(2)2214422x x x x x x x -÷--+--25. 计算:(1)2343m n n t mt ⎛⎫-÷ ⎪⎝⎭(2)22424412x x x x x x x -+÷--++-26. 计算:42()11x x x x x --+÷--.27. 计算:(1)11x x x+-;(2)()231422a a a ⎛⎫-⋅- ⎪-+⎝⎭.28. 计算22311244a a a a -⎛⎫+÷ ⎪--+⎝⎭.29. 计算:11111a a a a a a+-+⎛⎫+⋅ ⎪-+⎝⎭.30. 计算:(1)3222ab ab ⎛⎫÷ ⎪⎝⎭;(2)2211xy x y x y x y ⎛⎫÷- ⎪-+-⎝⎭.31. 计算:2169122m m m m -+⎛⎫-÷ ⎪--⎝⎭.32. 计算:(1)21111x x x -+-+;(2)22169124x x x x ++⎛⎫+÷ ⎪+-⎝⎭.33. 化简22361142x x x x x ++⎛⎫÷- ⎪--⎝⎭.34. 计算:(1)23239x y z ⎛⎫- ⎪⎝⎭(2)221111x x x -⎛⎫-÷ ⎪++⎝⎭35. 分式计算:(1)2211497m m m÷--(2)524223m m m m-⎛⎫++⋅ ⎪--⎝⎭36. 计算(1)22y x x xy y x+--;(2)2244111a a a a a a -+⎛⎫÷-+ ⎪--⎝⎭.37. 计算:532224x x x x -⎛⎫--÷ ⎪++⎝⎭.38. 计算:(1)ac bc a b a b---(2)2221a a ab b b b -+⎛⎫-÷ ⎪⎝⎭39. 计算(1)a b a b a b+÷ ⎪+--⎝⎭(2)2112x x x x ⎛⎫++÷+ ⎪⎝⎭40. 化简:(1)22224224x x x x ++-+--(2)(233x x x --+)2239x xx -÷-41. 计算(1)234332223y y x x x y ----⎛⎫⎛⎫⎛⎫÷⋅ ⎪ ⎪ ⎪⎝⎭⎝⎭⎝⎭;(2)4222x x xx x x ⎛⎫-÷ ⎪-+-⎝⎭.42. 计算 :(1)2233(1)(1)xx x ---(2)2122()ab ab a b b a ÷⋅--(3)221()4x xyy x y y ⋅-÷-43. 计算(1)222x x x -++(2)2162844x x x x--÷+44. 化简:(1)2243342x x x x x x +---÷--;(2)2111m m m --÷ ⎪--⎝⎭.45. 计算:(1)232433x x y y ⎛⎫⎛⎫÷ ⎪ ⎪⎝⎭⎝⎭;(2)22142a a a ---;(3)22211444a a a a a --÷-+-.46. 化简:2222y y x x y x y xy y ⎛⎫-÷ ⎪--+⎝⎭.47. 计算:(2511a a a a ---)÷41a a -+.48. 计算:2222334422m m m m m m m m ⎛⎫-++÷ ⎪-+--⎝⎭.49. (1)计算:1133a a --+(2)计算:2211x x x x +-⎛⎫+÷ ⎪⎝⎭50. 计算:(1)2a a 1--1a a -;(2)(1+11x -)÷21x x -专题21 分式的加减乘除混合运算特训50道【1题答案】【答案】12x -【解析】【分析】首先运用同分母分式减法法则计算括号内的,再利用分式除法运算法则求解即可.【详解】解:2244222x x x x x x -+⎛⎫-÷ ⎪+++⎝⎭224422x x x x x --+=÷++222244x x x x x -+=⋅+-+2222(2)x x x x -+=⋅+-12x =-.【点睛】本题主要考查了分式的混合运算,解题的关键是熟练运用分式的减法运算法则和乘除运算法则【2题答案】【答案】(1)−1(2)1x x -【解析】【分析】(1)根据同分母分式的减法法则进行计算即可;(2)先计算括号内的,再把除法转换为乘法,再进行约分即可得到答案.【小问1详解】2y x y x y y x-+--2y x y x y x y-=---y xx y-=-=−1;【小问2详解】1211x x x -⎛⎫-÷ ⎪-⎝⎭11=11x x x -⎛⎫- ⎪--⎝⎭2x x -÷2·1x x -=-2x x -1x x =-【点睛】本题主要考查了分式的混合运算,熟练掌握运算法则是解答本题的关键.【3题答案】【答案】44a a +-【解析】【分析】根据分式混合运算法则进行计算即可.【详解】解:27816333a a a a a -+⎛⎫+-÷ ⎪--⎝⎭()22973334a a a a a ⎛⎫--=-⋅ ⎪---⎝⎭()2216334a a a a --=⋅--()()()244334a a a a a +--=⋅--44a a +=-.【点睛】本题主要考查了分式的混合运算,熟练掌握运算法则是解题的关键.【4题答案】【答案】22a -【解析】【分析】原式括号中两项通分并利用同分母分式的加法法则计算,同时利用除法法则变形,约分即可得到结果.【详解】解:原式()()()222222a a a a a a +-+-=÷++2222a a a +=⨯+-22a =-.【点睛】此题考查了分式的混合运算,熟练掌握公式及运算法则是解本题的关键.【5题答案】【答案】ab 【解析】【分析】首先把括号里的式子进行通分,然后把除法运算转化成乘法运算,最后进行约分化简.【详解】解:22a b a b a b b a ab⎛⎫++÷ ⎪--⎝⎭22a b a b a b ab-+=÷-()()a b a b ab a b a b+-=⨯-+ab =.【点睛】本题主要考查分式的混合运算的知识点,通分和约分是解答本题的关键.【6题答案】【答案】(1)2(2)ba b-+【解析】【分析】(1)直接利用同分母分式的减法法则计算即可得到答案;(2)先将第二项利用除法法则变形,约分后,再进行通分,最后根据同分母分式的减法法则计算即可得到答案.【小问1详解】解:2a b a a b a b----2a b a a b-+=-22a ba b-=-()2a b a b-=-2=;【小问2详解】解:22212a b a b a a ab---÷+()()()21a a b a b a a b a b +-=-⨯+-21a b a b +=-+2a b a b a b a b++=-++2a b a ba b +--=+b a b =-+.【点睛】本题主要考查了分式的混合运算,熟练掌握分式混合运算的法则是解本题的关键.【7题答案】【答案】(1)1m n -; (2)22a a -+.【解析】【分析】(1)根据异分母分式的减法化简即可;(2)根据分式的加减乘除混合运算化简即可.【小问1详解】解:()()222323m n m n m n m n m n m n m n ---=-+-++-()()()()()()23223m n m n m n m n m n m n m n m n -----+==+-+-()()1m n m n m n m n +==+--;【小问2详解】解:()()()22311344111112a a a a a a a a a a --++++⎛⎫-+÷=⋅ ⎪+++⎝⎭+()()()222222a a a a a +--==++.【点睛】本题考查分式的加减乘除混合运算,掌握分式的加减乘除混合运算法则正确化简是解题的关键.【8题答案】【答案】(1)x y -;(2)1m +.【解析】【分析】(1)先分解因式,再进行同分母分式的加减法则运算即可得出结果;(2)先通分,再根据分式的除法法则运算即可得出结果.【小问1详解】解:3223222222x x y xy y xy x y x xy y x y+-+---+-()()()()()2222x x y y x y xy x y x y x yx y -----+=++222x y xy x y x y x y----=()2x y x y --=x y -=;【小问2详解】解:21(1121m m m m -÷+++2121m m m m m ⎛⎫÷ ⎪++⎝⎭=+2211m m m m m⨯++=+1m =+.【点睛】本题考查了分式的加减运算法则,分式混合运算法则,熟记对应法则是解题的关键.【9题答案】【答案】2x x+【解析】【分析】先将括号内的式子相减,再将224x x x --分子、分母分解因式,然后约分即可.【详解】解:221224x x x x x x -⎛⎫-÷ ⎪---⎝⎭()()()22121x x x x x x -+-=⋅-- x 2x+=.【点睛】本题考查了分式加减乘除混合运算及提公因式和公式法分解因式,熟练掌握分式化简的运算法则是解决问题的关键【10题答案】【答案】(1)a b -(2)1a +【解析】【分析】(1)根据同分母分式的加减计算法则求解即可;(2)根据分式的混合计算法则进行求解即可.【小问1详解】解:222a b ab a b a b a b +----222a ab b a b-+=-()2a b a b -=-a b =-;【小问2详解】解:211121a a a a ⎛⎫-÷ ⎪+++⎝⎭()21111a a a a +-=÷++()211a a a a+=⋅+1a =+.【点睛】本题主要考查了分式的加减计算,分式的混合计算,熟知分式的相关计算法则是解题的关键.【11题答案】【答案】2a a -【解析】【分析】根据分式的混合运算法则进行计算即可.【详解】解:原式231()(2)(2)(2)(2)(2)a a a a a a a a +-=-÷+-+-+1(2)(2)(2)1a a a a a a -+=⨯+--2a a =-.【点睛】本题考查了分式的混合运算,熟练掌握分式的混合运算法则是解本题的关键.【12题答案】【答案】1m +【解析】【分析】先计算括号内的分式加法,再计算分式的乘法即可得.【详解】解:原式()()111111m m m m m m +-⎛⎫+⋅ ⎪--⎝⎭-=()()111m m m mm =+-⋅-1m =+.【点睛】本题考查了分式的加法与乘法,熟练掌握分式的运算法则是解题关键.【13题答案】【答案】11a a +-【解析】【分析】原式括号中通分并利用同分母分式的加法法则计算,同时利用除法法则变形,再将分子分母分别因式分解,进而约分得到最简结果即可.【详解】解:原式()()()()12322211a a a a a a a a -+⎡⎤++=+⋅⎢⎥+++-⎣⎦()()22232211a a a a a a a a -+-+++=⋅++-()()22111a a a a ++=+-()()()2111a a a +=+-11a a +=-.【点睛】此题考查了分式的混合运算,熟练掌握分式运算法则是解本题的关键.【14题答案】【答案】12x x ++【解析】【分析】由分式的加减乘除运算,把分式进行化简,即可得到答案.【详解】解:原式()()()22112111x x x x x x x +-⎡⎤+=-÷⎢⎥+++⎣⎦()2221112x x x x x +-+=⋅++12x x +=+;【点睛】本题考查了分式的加减乘除混合运算,分式的化简求值,解题的关键是掌握运算法则,正确的进行化简.【15题答案】【答案】(1)a +1(2)28m m+【解析】【分析】(1)利用同分母分式的加减法计算,再约分即可;(2)原式括号中两项通分并利用同分母分式的减法法则计算,同时利用除法法则变形,约分即可得到最简结果.【小问1详解】解:2111a a a ---211a a -=-(1)(1)1a a a +-=-=a +1;【小问2详解】解:2743326m m m m m -⎛⎫--÷ ⎪++⎝⎭(3)(3)7(4)32(3)m m m m m m +---=÷++2972(3)3(4)m m m m m --+=⋅+-(4)(4)2(3)3(4)m m m m m m +-+=⋅+-=28m m+.【点睛】本题主要考查了分式的化简,解题的关键是掌握分式混合运算顺序和运算法则.【16题答案】【答案】13x +【解析】【分析】根据分式的减法和除法可以化简题目中的式子.【详解】解:35(2)22x x x x -÷+---=2345()222x x x x x --÷----=23922x x x x --÷--=322(3)(3)x x x x x --⨯-+-=13x +【点睛】此题考查了分式的化简,熟练掌握运算法则是解本题的关键.【17题答案】【答案】23x -【解析】【分析】先算括号内的异分母分式加法,再化除为乘进行化简.【详解】解:原式2(3)43(3)(3)1x x x x x -++=⋅+--2(1)3(3)(3)1x x x x x -+=⋅+--23x =-.【点睛】本题考查分式的化简,熟练掌握最简公分母的寻找规律、因式分解是关键.【18题答案】【答案】-b a b+ 【解析】【详解】解:原式=()()()2212a b a b a b a b a b +--⋅++- =21a b a b +-+ =2a b a b a b a b++-++=b a b -+;【19题答案】【答案】1x 【解析】【分析】先把分子与分母进行因式分解,再把除法转换成乘法进行约分,最后再进行分式的加法运算.【详解】解:22211121x x x x x -÷+--+=221(1)1(1)(1)x x x x x--⨯++-=211(1)x x x x --++=2(1)(1)x x x x --+=1x.【20题答案】【答案】(1)22x x - (2)22x +【解析】【分析】(1)利用提公因式和平方差公式进行计算即可;(2)利用提公因式和平方差公式进行计算即可.【小问1详解】22421x x x--+()()()42111x x x x =-+-+()()()42111x x x x x --=+-()()2211x x x x +=+-22x x=-;【小问2详解】222228224x x x x x ⎛⎫+--÷ ⎪--⎝⎭()()22222228224x x x x x x x +-⎡⎤+=-÷⎢⎥---⎣⎦()()()2222222244x x x x x x +-⎛⎫=⋅ ⎪⎝⎭-+-+()()()22222244x x x x x +-⋅-+=+22x +=.【点睛】本题考查了分式的混合运算,熟练运用分式运算法则和平方差公式是解题的关键.【21题答案】【答案】1x 【解析】【分析】把原式中的除法转化为乘法,将分子分母经过分解因式、约分把结果化为最简即可.【详解】解:原式()()221111x x x x x x --=⨯+--()21111x x x x x -=⨯+--()()1112x x x x x =+---()11x x x =--1x =.【点睛】本题考查的知识点是分式的混合运算,要注意运算顺序,有括号先算括号里的,有除法的把除法转化为乘法来做,再经过分解因式、约分把结果化为最简.【22题答案】【答案】2m m -【解析】【分析】先将括号内的式子通分,再将分式除法变形为分式乘法,最后约分化简即可.【详解】解:22242⎛⎫-÷ ⎪--+⎝⎭m m m m m m ()()222222m m m m m m m +-=÷+-+()()2222m m m m m+=⋅+-2m m =-.【点睛】本题考查分式的混合运算,掌握分式的运算顺序和运算法则是解题的关键.【23题答案】【答案】1【解析】【分析】先把各个分式的分子、分母因式分解,将原式括号中两项通分并利用同分母分式的加法法则计算,再利用除法法则变形,约分即可得到结果.【详解】解:221(1)211x x x x x -÷+-+-2(1)11()(1)11x x x x x x --=÷+---2(1)(1)1x x x x x -=÷--2(1)1(1)x x x x x --=- 1=.【点睛】本题考查了分式的混合运算,熟练掌握运算顺序和每一步的运算法则是解答本题关键.【24题答案】【答案】(1)1a b - (2)12x -【解析】【分析】(1)先计算括号内的分式的加减运算,再把除法转化为乘法,约分后可得结果;(2)先计算除法运算,再计算分式的减法运算即可得到答案.【小问1详解】解:11a b a b b a ⎛⎫⎛⎫+÷- ⎪ ⎪⎝⎭⎝⎭22b a a b ab ab ab ab ⎛⎫⎛⎫=+÷- ⎪ ⎪⎝⎭⎝⎭22a b a b ab ab+-=÷()()a b ab ab a b a b +=+- 1a b=-.【小问2详解】2214422x x x x x x x -÷--+--()222122x x x x x x --=⋅---122-=---x x x x 12-+=-x x x 12x =-.【点睛】本题考查的是分式的混合运算,掌握“分式的混合运算的运算顺序”是解本题的关键.【25题答案】【答案】(1)7169m n t(2)12x -【解析】【分析】(1)先计算乘方,再计算除法即可;(2)先按分式除法法则计算,再按分式减法法则计算即可.【小问1详解】解:原式622169m n n mt t =÷622169m n mt n t =⋅7169m n t=;【小问2详解】解:原式()()()2221222x x x xx x x +-+=⋅-+--122x x x x +=---12x =-.【点睛】本题考查分式混合运算,熟练掌握分式运算法则是解题的关键.【26题答案】【答案】2x +【解析】【分析】先把括号内的式子通分,在运用分式乘除法法则进行解题即可.【详解】解:原式4(1)112x x x x x x -+--=⋅--242x x x x -+-=-(2)(2)2x x x -+=-2x =+.【点睛】本题考查分式的混合运算,掌握运算法则和运算顺序是解题的关键.【27题答案】【答案】(1)1;(2)28a +.【解析】【分析】(1)根据同分母分式的减法法则计算即可;(2)先把()24a -因式分解,再利用乘法分配律计算,然后合并同类项即可求解.【小问1详解】解:11x x x+-11x x+-=x x=1=;【小问2详解】解:()231422a a a ⎛⎫-⋅- ⎪-+⎝⎭()()312222a a a a ⎛⎫=-⋅+- ⎪-+⎝⎭()()()()31222222a a a a a a =⋅+--⋅+--+()()322a a =+--362a a =+-+28a =+.【点睛】本题考查了分式的加减乘除混合运算,分式的混合运算,要注意运算顺序,式与数有相同的混合运算顺序;先乘方,再乘除,然后加减,有括号的先算括号里面的.最后结果分子、分母要进行约分,注意运算的结果要化成最简分式或整式.【28题答案】【答案】21a a --【解析】【分析】先计算括号内的异分母分式减法,同时将除法化为乘法,将分式的分母分子分解因式,再计算乘法即可.【详解】原式222312244a a a a a a --⎛⎫=+÷ ⎪---+⎝⎭2211244a a a a a +-=÷--+()()()221211a a a a a -+=⨯-+-21a a -=-【点睛】此题考查了分式的混合运算,正确掌握分式的混合运算法则是解题的关键.【29题答案】【答案】41a -【解析】【分析】根据分式的运算法则,先去括号,再算除法.【详解】解:原式()()()()()()221111111a a a a a a a a ⎡⎤+-+=-⋅⎢⎥-+-+⎢⎥⎣⎦()()()()222121111a a a a a a a a⎡⎤++--++⎢⎥=⋅-+⎢⎥⎣⎦()()4111a a a a a +=⋅-+41a =-.【点睛】本题考查分式的混合运算.熟练掌握分式的运算法则,是解题的关键.【30题答案】【答案】(1)24a b (2)2x-【解析】【分析】(1)根据整式的混合运算法则计算即可;(2)根据分式的混合运算法则计算即可.【小问1详解】解:原式23382ab a b =⋅24a b=;【小问2详解】解:原式()()()()22xy x y x y x y x y x y x y x y ⎡⎤-+=÷-⎢⎥-+--+⎢⎥⎣⎦22222xy y x y x y -=÷--22222xy x y x y y-=⋅--2x =-.【点睛】本题考查了整式和分式的混合运算,解题的关键是注意运算顺序.【31题答案】【答案】13m -【解析】【分析】先计算括号内的,再计算除法即可求解.【详解】解:原式()233=22m m m m --÷--()23223m m m m --=⋅--13m =-.【点睛】本题考查分式的混合运算,熟练掌握分式运算法则是解题的关键.【32题答案】【答案】(1)21x + (2)23x x -+【解析】【分析】(1)先将分式211x x --约分变为11x +,然后按照同分母分式加减运算法则进行计算即可;(2)按照分式混合运算法则进行计算即可.【小问1详解】解:21111x x x -+-+()()11111x x x x -++-+=1111x x =+++21x =+;【小问2详解】解:22169124x x x x ++⎛⎫+÷ ⎪+-⎝⎭()()()2321222x x x x x +++=÷++-()()()222323x x x x x +-+==⋅++23x x -=+.【点睛】本题主要考查了分式混合运算,解题的关键是熟练掌握分式混合运算法则,准确进行计算.【33题答案】【答案】x【解析】【分析】根据分式的混合运算法则进行计算即可.【详解】解:22361142x x x x x ++⎛⎫÷- ⎪--⎝⎭3(2)(1)(2)(2)(2)2x x x x x x x ++--=÷+--3322x x x =÷--3223x x x -=⋅-x=【点睛】本题主要考查了分式的混合运算,熟练掌握分式混合运算的法则是解题的关键.【34题答案】【答案】(1)6249x y z(2)11x x -+【解析】【分析】(1)根据分式的乘方法则计算即可;(2)原式括号中两项通分并利用同分母分式的减法法则计算,同时利用除法法则变形,约分即可得到最简结果.【小问1详解】解:2233622243939x y x y x y z z z ⎛⎫⎛⎫-- ⎪ ⎪⎝⎭⎝⎭==;【小问2详解】解:221111x x x -⎛⎫-÷ ⎪++⎝⎭2121111x x x x x ++⎛⎫=-⋅ ⎪++-⎝⎭21111x x x x -+⎛⎫=⋅ ⎪+-⎝⎭11x x -=+.【点睛】本题主要考查了分式的混合运算,解题的关键是掌握分式混合运算顺序和运算法则.【35题答案】【答案】(1)7m m -+ (2)26--m 【解析】【分析】(1)根据分式的除法运算法则求解即可;(2)根据分式的混合运算法则求解即可.【小问1详解】2211497m m m÷--()()()1777m m m m =⨯-+-7m m =-+;【小问2详解】524223m m m m-⎛⎫++⋅ ⎪--⎝⎭()222923m m m m-⎛⎫-=⋅ ⎪--⎝⎭()()()332223m m m m m+--=⋅--26m =--【点睛】本题考查的是分式混合运算,熟知分式混合运算的法则是解答此题的关键.【36题答案】【答案】(1)y x x +-(2)22aa -【解析】【分析】(1)根据平方差公式对分式进行化简即可;(2)根据平方差公式和完全平方公式对分式进行化简即可.【小问1详解】解:22y x x xy y x+--()()22y x x x y x x y =---()22y x x x y -=-()()()y x y x x x y -+=-y x x +=-;【小问2详解】解:2244111a a a a a a -+⎛⎫÷-+ ⎪--⎝⎭()()()22211111a a a a a a ⎡⎤--=÷-⎢⎥---⎢⎥⎣⎦()()222121111a a a a a a a -⎛⎫-+=÷- ⎪---⎝⎭()()222211a a a a a a -⎛⎫-=÷- ⎪--⎝⎭()()()22112a a a a a a --=-⨯--22a a -=.【点睛】本题考查了分式的化简,正确的计算是解决本题的关键.【37题答案】【答案】26x +【解析】【分析】先把括号内通分化简,再把除法转化为乘法约分化简.【详解】解:原式24532224x x x x x ⎛⎫--=-÷ ⎪+++⎝⎭293224x x x x --=÷++()()()332232x x x x x +-+=⨯+-26x =+【点睛】本题考查了分式的混合运算,熟练掌握分式的运算法则是解答本题的关键.分式的混合运算,要注意运算顺序,式与数有相同的混合运算顺序;先算乘除,再算加减,有括号的先算括号里面的.最后结果分子、分母要进行约分,注意运算的结果要化成最简分式或整式.【38题答案】【答案】(1)c (2)1b a-【解析】【分析】(1)根据分式的加减法则进行计算即可;(2)先算括号里的,根据除法法则把除法变乘法,利用完全平方公式将分母因式分解,最后约分化简即可.【小问1详解】解:原式ac bca b-=-()a b c a b-=- c =.【小问2详解】解:原式2()b a b b a b -=⨯-1b a =-.【点睛】本题考查了解分式方程,分式的加减法则的应用,能熟记知识点的内容是解此题的关键.【39题答案】【答案】(1)2a b+ (2)11x +【解析】【分析】(1)将括号内通分,括号外除法改为乘法,再整理约分即可;(2)将括号内通分,再利用完全平方公式整理,最后将除法改为乘法并约分即可.【小问1详解】解:11a a b a b a b⎛⎫+÷ ⎪+--⎝⎭)())(()(a b a b a b a a b a b -=+⨯--++21aa ab =⨯+2a b=+;【小问2详解】解:2112x x x x ⎛⎫++÷+ ⎪⎝⎭2121x x x x x+++=÷21(1)x x x x +=⨯+11x =+.【点睛】本题考查分式的化简.掌握分式的混合运算法则是解题关键.【40题答案】【答案】(1)22x x -+; (2)9x-【解析】【分析】(1)先通分化为同分母分式加减法,进而即可求解;(2)先算括号里分式的减法,再把除法化为乘法,进而即可求解.【小问1详解】解:22 224224xx x x++-+--=()()2222 22224 444 x x xx x x-++----+=()()22222244x x xx----++=22444 x xx---=() ()()2222xx x---+=22xx-+;【小问2详解】解:2223339x x x xx x⎛⎫---÷⎪+-⎝⎭=22229339 x x x x x x⎛⎫---÷⎪+-⎝⎭=()()()33 933x xx x x+--⋅+-=9 x -.【点睛】本题主要考查分式的混合运算,熟练掌握通分和约分以及分式的混合运算法则是关键.【41题答案】【答案】(1)1015x y;(2)12x-+.【解析】【分析】(1)先乘方,再根据分式的乘除法求解即可;(2)原式括号中两项通分并利用同分母分式的减法法则计算,同时利用除法法则变形,约分得到最简结果即可.【小问1详解】解:234332223y y x x x y ----⎛⎫⎛⎫⎛⎫÷⋅ ⎪ ⎪ ⎪⎝⎭⎝⎭⎝⎭6984612y y x x x y---=÷⋅6684912y x x x y y ---=⋅⋅1015x y =;【小问2详解】解:4222x x x x x x⎛⎫-÷ ⎪-+-⎝⎭22224(2)(2)(2)(2)2x x x x x x x x x x⎡⎤+-=-÷⎢⎥+-+--⎣⎦4(2)(2)(2)4x x x x x--=⋅+-12x =-+.【点睛】本题考查了分式的化简,正确对分式进行通分、约分是关键.【42题答案】【答案】(1)31x - (2)1a b- (3)4()x y x y -【解析】【分析】(1)根据分式的减法运算进行计算即可求解;(2)根据分式的乘除法进行计算即可求解;(3)根据分式的加减乘除法进行计算即可求解.【小问1详解】解:2233(1)(1)x x x ---()2331x x -=-()()2311x x -=-31x =-;【小问2详解】解:2122()ab ab a b b a ÷⋅--()2122a b ab ab a b -=⨯⨯-1a b=-;【小问3详解】解:221(4x x y y x y y ⋅-÷-22414x x y x y y y=⨯-⨯-()()2244x x x y y x y --=-()4xy y x y =-.【点睛】本题考查了分式的混合运算,掌握分式的性质是解题的关键.【43题答案】【答案】(1)42x + (2)2x【解析】【分析】(1)先通分,再计算即可;(2)先因式分解,除法改为乘法,再约分即可;【小问1详解】解:222x x x -++2(2)2(2)222x x x x x x x ++=-++++222224x x x x x --++=+42x =+;【小问2详解】2162844x x x x--÷+(4)(4)442(4)x x x x x -+=⨯+-2x =.【点睛】本题考查了分式的混合运算.掌握分式的混合运算法则是解题关键.【44题答案】【答案】(1)22x -+ (2)12m m+-【解析】【分析】(1)先把除法变乘法,再进行分式的混合运算;(2)先把整式化成分式的形式,再进行分式的混合运算.【小问1详解】解:原式=()()2432223x x x x x x x +--⋅+---=()()24222x x x x x +-+--=()()()24222x x x x x +-++- =()()()2222x x x --+- 22x =-+;【小问2详解】解:原式()()2111112m m m m m m +-⎛⎫+-⋅ ⎪-⎝⎭=()()()2211112m m m m m m--+-⋅-=()()11112m m m m+-⋅-=12m m +-.【点睛】本题考查了分式的混合运算,熟练掌握分式运算法则是解题的关键.【45题答案】【答案】(1)316y x (2)12a + (3)222a a a +--【解析】【分析】(1)先平方和立方运算,根据除以一个数等于乘以这个数的倒数,化简即可求得结果;(2)根据平方差公式通分,运算进行化简即可求得结果;(3)根据完全平方公式、平方差公式和除法法则进行运算即可求得结果.【小问1详解】解:原式=2323464927x x y y ÷=2323427964x y y x ⨯=316y x;【小问2详解】解:原式=()()()()222222a a a a a a +--+-+=()()2222a a a a ---+=()()222a a a --+=12a +;【小问3详解】解:原式=()()()()()2221112a a a a a a +--⨯+--=()()221a a a +-+=222a a a +--.【点睛】本题考查了完全平方式、平方差公式、分式的减法与除法,熟练掌握运算法则是解题的关键.【46题答案】【答案】2y x y-【解析】【分析】先通分算括号内的减法,同时将除法变成乘法,然后把分子、分母能因式分解的进行因式分解,最后约分即可.【详解】解:原式()()()()()()2y x y y x y y x y x y x y x y x ⎡⎤++=-⋅⎢⎥-+-+⎢⎥⎣⎦()()()y x y xyx y x y x +=⋅-+2y x y=-.【点睛】本题考查分式的化简,解题的关键是掌握分式的运算法则.【47题答案】【答案】1a a -【解析】【分析】先算括号内的分式减法,然后计算括号外的分式除法即可.【详解】解:254111a a a a a a -⎛⎫-÷ ⎪--+⎝⎭=()()()151114a a a a a a a +-++-- =()()()41114a a a a a a -++-- =1a a -.【点睛】本题考查分式的混合运算,熟练掌握分式的运算法则是解答本题的关键.【48题答案】【答案】1m【解析】【分析】先计算括号内的分式加法,再计算分式的除法即可得.【详解】解:原式()()()2233222m m m m m m m ⎡⎤-+=+÷⎢⎥---⎢⎥⎣⎦()32223m m m m m m -⎛⎫=+⋅ ⎪--+⎝⎭()3223m m m m m +-=⋅-+1m=.【点睛】本题考查了分式的加法与除法,熟练掌握分式的运算法则是解题关键.【49题答案】【答案】(1)269a - (2)21x -【解析】【分析】(1)利用异分母分式加减法法则,进行计算即可解答;(2)先利用异分母分式加减法法则计算括号里,再算括号外,即可解答.【详解】解:(1)1133a a --+()()3333a a a a +-+=-+ ()()633a a =+-=269a -;(2)2211x x x x +-⎛⎫+÷ ⎪⎝⎭2x x x++=•()()11x x x +- ()21x x +=•()()11xx x +- 21x =-.【点睛】本题考查了分式的混合运算,熟练掌握因式分解是解题的关键.【50题答案】【答案】(1)a(2)x +1【解析】【分析】根据分式的四则混合运算和化简可以求得.【小问1详解】解:原式=21a a a --,=(1)1a a a --,=a ;【小问2详解】解:原式=(1)(1)1x x xx x+-´-,=1x .【点睛】本题考查了分式的四则混合运算和化简,熟练的掌握分式运算是解决此题的关键.。
八年级数学上册_分式混合运算专题练习编辑整理:尊敬的读者朋友们:这里是精品文档编辑中心,本文档内容是由我和我的同事精心编辑整理后发布的,发布之前我们对文中内容进行仔细校对,但是难免会有疏漏的地方,但是任然希望(八年级数学上册_分式混合运算专题练习)的内容能够给您的工作和学习带来便利。
同时也真诚的希望收到您的建议和反馈,这将是我们进步的源泉,前进的动力。
本文可编辑可修改,如果觉得对您有帮助请收藏以便随时查阅,最后祝您生活愉快业绩进步,以下为八年级数学上册_分式混合运算专题练习的全部内容。
分式的混合专题练习(1)2222223223xy yx y x y x y x y x ----+--+ (2)1111322+-+--+a a a a 。
(3) 21x x --x -1 (4) 3a a -—263a a a +-+3a,(5)x y yy x x y x xy --++-222 (6)293261623xx x -+--+(7)xy y x y x y x 2211-⋅⎪⎪⎭⎫ ⎝⎛+-- (8)a a a a a a 4)22(2-⋅+--.(9)232224xx x x x x ⎛⎫-÷ ⎪+--⎝⎭ (10))1x 3x 1(1x 1x 2x 22+-+÷-+-(11) )252(23--+÷--x x x x (12) (ab b a 22++2)÷b a b a --22(13)22321113x x x x x x x +++-⨯--+ (14)xx x x x x x x x 416)44122(2222+-÷+----+(15)计算:x xx x x x x x -÷+----+4)44122(22,并求当3-=x 时原式的值.。
分式混合计算题
当说到分式混合计算题时,可以是涉及加减乘除的分式计算,也可以是将整数和分数进行混合运算的题目。
以下是一个例子:
计算:2/3 + 1/4 × 3/5 - 1/2
首先,我们按照运算的次序逐步进行计算:
1. 乘法:1/4 × 3/5 = 3/20
那么,原先的计算式变为:2/3 + 3/20 - 1/2
2. 最小公倍数的确定:我们需要求出3、20和2这三个数的最小公倍数。
在这个例子中,最小公倍数为60。
3. 分母的通分:将所有分数的分母变为60,然后按照等比例调整分子,得到:
40/60 + 9/60 - 30/60
4. 加法:将分数的分子进行加法运算,保留分母不变:
(40 + 9 - 30)/60 = 19/60
所以,最终结果为19/60。
请注意,在解决分式混合计算题时,要注意运算次序和分数的通分操作,同时需要小心计算符号和分子、分母之间的对应关系。