(完整)上海师范大学高数试题(9)
- 格式:doc
- 大小:396.52 KB
- 文档页数:6
上海市上海师范大学附中2025届数学高三第一学期期末复习检测试题考生请注意:1.答题前请将考场、试室号、座位号、考生号、姓名写在试卷密封线内,不得在试卷上作任何标记。
2.第一部分选择题每小题选出答案后,需将答案写在试卷指定的括号内,第二部分非选择题答案写在试卷题目指定的位置上。
3.考生必须保证答题卡的整洁。
考试结束后,请将本试卷和答题卡一并交回。
一、选择题:本题共12小题,每小题5分,共60分。
在每小题给出的四个选项中,只有一项是符合题目要求的。
1.已知向量a 与向量()4,6m =平行,()5,1b =-,且14a b ⋅=,则a =( )A .()4,6B .()4,6--C .1313⎛⎫ ⎪ ⎪⎝⎭D .1313⎛-- ⎝⎭2.已知集合{}1,3,5,7A =,{}2,3,4,5B =,则AB = A .{}3 B .{}5C .{}3,5D .{}1,2,3,4,5,73.已知函数2()sincos 444f x x x x πππ=,则(1)(2)...(2020)f f f +++的值等于( ) A .2018B .1009C .1010D .2020 4.关于函数22tan ()cos 21tan x f x x x=++,下列说法正确的是( ) A .函数()f x 的定义域为RB .函数()f x 一个递增区间为3,88ππ⎡⎤-⎢⎥⎣⎦C .函数()f x 的图像关于直线8x π=对称D .将函数2y x =图像向左平移8π个单位可得函数()y f x =的图像 5.相传黄帝时代,在制定乐律时,用“三分损益”的方法得到不同的竹管,吹出不同的音调.如图的程序是与“三分损益”结合的计算过程,若输入的x 的值为1,输出的x 的值为( )A .6481B .3227 C .89 D .16276.已知α是第二象限的角,3tan()4πα+=-,则sin 2α=( )A .1225B .1225- C .2425 D .2425-7.已知a ,b 是两条不同的直线,α,β是两个不同的平面,且a β⊂,b αβ=,则“//a α”是“//a b ”的( )A .充分不必要条件B .必要不充分条件C .充要条件D .既不充分也不必要条件8.在ABC ∆中,“tan tan 1B C >”是“ABC ∆为钝角三角形”的( )A .充分非必要条件B .必要非充分条件C .充要条件D .既不充分也不必要条件9.若函数12log,01,()(1)(3),1,x x f x x x x x <⎧⎪=⎨⎪--->⎩函数()()g x f x kx =+只有1个零点,则k 的取值范围是( )A .(1,0)-B .(,0)(1,)-∞⋃+∞C .(,1)(0,)-∞-+∞D .(0,1)10. “1cos 22α=-”是“3k παπ=+,k Z ∈”的( )A .充分不必要条件B .必要不充分条件C .充要条件D .既不充分又不必要条件11.若某几何体的三视图(单位:cm )如图所示,则此几何体的体积是( )A .36 cm 3B .48 cm 3C .60 cm 3D .72 cm 312.复数12z i =+,若复数12,z z 在复平面内对应的点关于虚轴对称,则12z z 等于( ) A .345i +- B .345i + C .34i -+ D .345i -+ 二、填空题:本题共4小题,每小题5分,共20分。
上海师范学校2020年高三数学文下学期期末试卷含解析一、选择题:本大题共10小题,每小题5分,共50分。
在每小题给出的四个选项中,只有是一个符合题目要求的1. 设,则“”是“”的()A.充分不必要条件B.必要不充分条件 C.充分必要条件D.既不充分也不必要条件参考答案:A2. 双曲线中,F2为其右焦点,A1为其左顶点,点B(0,b)在以A1F2为直径的圆上,则此双曲线的离心率为( )A. B. C. D.参考答案:D3. 已知分别是定义在上的偶函数和奇函数,且,则 ( )A.-3 B.-1 C. 1 D.3参考答案:C略4. 设动点在直线上,为坐标原点,以为直角边,为直角顶点作等腰,则动点的轨迹是()A.圆 B.两条平行直线 C.抛物线 D.双曲线参考答案:B略5. 设M(,)为抛物线C:上一点,F为抛物线C的焦点,以F为圆心、为半径的圆和抛物线C的准线相交,则的取值范围是 ( )A.(0,2) B.[0,2] C.(2,+∞) D.[2,+∞)参考答案:C由题意只要即可,而所以,简单考查抛物线的方程、直线与圆的位置关系、抛物线的定义及几何性质,是简单题。
6. 若偶函数在上是增函数,则下列关系式中成立的是高考资源A. B.C. D.参考答案:D7. 已知函数f(x)=4x3﹣ax+1存在n(n∈N)个零点对应的实数a构成的集合记为A(n),则()A.A(0)=(﹣∞,3] B.A(1)={2} C.A(2)=(3,+∞)D.A(3)=(3,+∞)参考答案:D【考点】函数零点的判定定理.【分析】令f(x)=0得出a=4x2+,令h(x)=4x2+,判断h(x)的单调性,作出h(x)的函数图象,利用函数图象判断方程h(x)=a的解的个数,从而得出A(n).【解答】解:令f(x)=0得a=4x2+,∴当f(x)有n个零点时,方程a=4x2+有n个不同的解.设h(x)=4x2+,则h′(x)=8x﹣=,∴当x>时,h′(x)>0,当x<0或0时,h′(x)<0.作出h(x)=4x2+的大致函数图象如下:由图象可知当a<3时,h(x)=a只有一解,当a=3时,h(x)=a有两解,当a>3时,h(x)=a有三解.∴A(0)=?,A(1)=(﹣∞,3),A(2)={3},A(3)=(3,+∞).故选D.8. 一个几何体的三视图如图所示,则该几何体的表面积为()A. 3πB. 4πC. 2π+4D.3π+4参考答案:D该几何体为半圆柱,底面为半径为1的半圆,高为2,因此表面积为,选D.9. 对于函数,若存在常数,使得取定义域内的每一个值,都有,则称为准偶函数,下列函数中是准偶函数的是 ( )A.B. C. D.参考答案:【知识点】抽象函数及其应用.A 解:对于函数,若存在常数,使得取定义域内的每一个值,都有,则称为准偶函数,∴函数的对称轴是x=a,a≠0,选项B、C、D函数没有对称轴;函数f(x)=cos(x+1),有对称轴,且x=0不是对称轴,选项A正确.故选:A.【思路点拨】由题意判断f(x)为准偶函数的对称轴,然后依次判断选项即可.10. 若.则()A. B. C. D.参考答案:A【分析】利用诱导公式及同角三角函数的商数关系可得,再利用诱导公式及同角三角函数的平方关系化简,求值即可。
2019-2020学年上海师范学校高三数学理期末试题含解析一、选择题:本大题共10小题,每小题5分,共50分。
在每小题给出的四个选项中,只有是一个符合题目要求的1. 当时,复数(为虚数单位)子复平面内对应的点位于()A.第一象限 B.第二象限 C.第三象限 D.第四象限参考答案:2.已知函数,(C为复数),则等于A、B、 C、D、参考答案:答案:C解析:∵∴故选C3. 设是虚数单位,若复数为纯虚数,则实数的值为....参考答案:依题意.由复数为纯虚数可知,且,求得.故选.【解题探究】本题主要考查复数的基本概念与复数的运算.解题的关键是利用复数运算法则进行复数的乘法、除法运算,求解时还需要注意理解纯虚数的概念.4. 已知函数f t(x)=﹣(x﹣t)2+t(t∈R),设a>b,f(x)=,若函数y=f(x)﹣x+a﹣b有四个零点,则b﹣a的取值范围是( )A.(﹣∞,﹣2﹣)B.(﹣∞,2﹣) C.(﹣2﹣,0)D.(2﹣.0)参考答案:A【考点】根的存在性及根的个数判断;函数的零点与方程根的关系.【专题】函数的性质及应用.【分析】解方程f a(x)=f b(x)得交点坐标,函数f(x)的图象与直线l:y=x+b﹣a有四个不同的交点,由图象知,点P在l下方,由此解得b﹣a的取值范围.【解答】解:作函数f(x)的图象,且解方程f a(x)=f b(x)得,﹣(x﹣a)2+a=﹣(x﹣b)2+b,解得x=,此时y=﹣(﹣b)2+b=﹣()2+b,即交点坐标为(,﹣()2+b),若y=f(x)﹣x+a﹣b有四个零点,即f(x)﹣x+a﹣b=0有四个根,即f(x)=x+b﹣a,分别作出f(x)与y=x+b﹣a的图象如图:要使函数y=f(x)﹣x+a﹣b有四个零点,即函数f(x)的图象与直线l:y=x+b﹣a有四个不同的交点.由图象知,点P在下方,所以﹣()2+b<+b﹣a,即()2>,设t=a﹣b,则t>0,则方程等价为>,即t2﹣4t﹣1>0,即t<2,或t>2+,∵t>0,∴t>2+,故b﹣a=﹣t<﹣2﹣,即b﹣a的取值范围是(﹣∞,﹣2﹣),故选:A【点评】本题主要考查根的存在性以及根的个数判断,函数的零点与方程的根的关系,体现了转化的数学思想,利用数形结合是解决本题的关键.5. 下面关于复数的四个结论,正确的是①②③④A.①② B.②③ C.②④D.③④参考答案:C6. 已知是虚数单位,则=A. B. C. D.参考答案:A略7. 若k∈R,则“k>3”是“方程﹣=1表示双曲线”的( )A.充分不必要条件B.必要不充分条件C.充要条件D.既不充分也不必要条件参考答案:A考点:双曲线的标准方程.专题:压轴题.分析:根据双曲线定义可知,要使方程表示双曲线k﹣3和k+3同号,进而求得k的范围即可判断是什么条件.解答:解:依题意:“方程﹣=1表示双曲线”可知(k﹣3)(k+3)>0,求得k>3或k<﹣3,则“k>3”是“方程﹣=1表示双曲线”的充分不必要条件.故选A.点评:本题主要考查了双曲线的标准方程.解题时要注意讨论焦点在x轴和y轴两种情况.8. 在△ABC中,已知,,则的值为()A.B.C.D.参考答案:【知识点】平面向量数量积的运算.F3【答案解析】D 解析:∵=,∴sinA=;∴cosA=±∴==4×1×(±)=±2,故选:D.【思路点拨】先根据三角形的面积公式可求得A的正弦值,从而可求得余弦值,根据向量的数量积运算可得到的值.9. 若二次函数y=ax2(a>0)的图象与不等式组表示的平面区域无公共点,则实数a的取值范围为()A.(,2)B.(,)C.(0,)∪(,+∞)D.(0,)∪(2,+∞)参考答案:D【考点】简单线性规划.【专题】函数思想;数形结合法;不等式.【分析】先画出满足条件的平面区域,求出临界点的坐标,从而求出a的范围即可.【解答】解:画出满足条件的平面区域,如图示:,将A(1,2)代入y=ax2,解得:a=2,将B(3,2)代入y=ax2,解得:a=,若二次函数y=ax2(a>0)的图象与不等式组表示的平面区域无公共点,则a∈(0,)∪(2,+∞),故选:D.【点评】本题考查了二次函数的性质,考查简单的线性规划问题,考查数形结合思想,是一道基础题.10. 已知集合,,则()A. B.{ } C.{ } D.{}参考答案:B二、填空题:本大题共7小题,每小题4分,共28分11. 已知某几何体的三视图如右图所示,则该几何体的外接球体积为___________.参考答案:【知识点】由三视图求面积、体积G2由已知的三视图可得:该几何体是一个以俯视图为底面的三棱锥,其四个顶点是以俯视图为底面,以2为高的三棱柱的四个顶点,故其外接球,即为以俯视图为底面,以2为高的三棱柱的外接球,由底面两直角边长分别为,,故相当于棱长分别为,,2的长方体的外接球,故满足,所以,几何体的外接球的体积为,故答案为:.【思路点拨】由已知的三视图可得:该几何体是一个以俯视图为底面的三棱锥,求出其外接球的半径,代入体积公式,可得答案.12. 设函数的最大值为M,最小值为m,则M+m=____________.参考答案:2略13. 记为不超过实数的最大整数,例如,,,.设为正整数,数列满足,,现有下列命题:①当时,数列的前3项依次为5,3,2;②对数列都存在正整数,当时总有;③当时,;④对某个正整数,若,则.其中的真命题有_________.(写出所有真命题的编号)参考答案:①③④略14. 已知、是方程的两根,且、,则;参考答案:答案:15. 某同学为了研究函数的性质,构造了如图所示的两个边长为的正方形和,点是边上的一个动点,设,则.那么,可推知方程解的个数是_________个参考答案:216. 设奇函数的定义域为R,且周期为5,若,则实数a 的取值范围是参考答案:17. 在△ABC中,内角A,B,C所对的边分别为a,b,c,已知,,则b+c的最大值为.参考答案:6在中,∵,∴整理可得:,∴,∴,∴,∴,可得:,∴由余弦定理可得:,∴解得:,∴,当且仅当时,.故答案为:.三、解答题:本大题共5小题,共72分。
2020年上海师范学校高一数学理上学期期末试卷含解析一、选择题:本大题共10小题,每小题5分,共50分。
在每小题给出的四个选项中,只有是一个符合题目要求的1. 对数式中,实数的取值范围是()A. B. C. D.参考答案:C2. 直线当变动时,所有直线都通过定点()A.(0,0)B.(0,1)C.(3,1)D.(2,1)参考答案:C3. 设函数,则下列说法中正确的是()A.在区间内均有零点.B.在区间内均无零点.C.在区间内有零点,在内无零点.D.在区间内无零点,在内有零点.参考答案:D略4. 设等差数列{a n}满足,,S n是数列{a n}的前n项和,则使得{S n}取得最大值的自然数n是()A.4 B. 5 C.6 D.7参考答案:B5. 要使与轴的两个交点分别位于原点的两侧,则有()A. B. C. D.参考答案:D6. 已知,,则的值为().A. B. C. D.参考答案:A【分析】根据角的范围可知,;利用同角三角函数的平方关系和商数关系构造方程可求得结果.【详解】由可知:,由得:本题正确选项:A7. 已知函数f(x)的定义域为(0,1),则函数f(2x+1)的定义域为( )A.(﹣1,1)B.C.(﹣1,0)D.参考答案:B考点:函数的定义域及其求法.专题:函数的性质及应用.分析:直接由2x+1在函数f(x)的定义域内求解x的取值集合得答案.解答:解:∵函数f(x)的定义域为(0,1),由0<2x+1<1,得.∴函数f(2x+1)的定义域为.故选:B.点评:本题考查了函数的定义域及其求法,考查了复合函数的定义域,是高考常见题型,属基础题,也是易错题8. 半径为的球内接一个正方体,则该正方体的体积是().[来源:学&科&网]A. B. C. D.参考答案:C略9. 已知x∈[-π,π],则“x∈”是“sin(sin x)<cos(cos x)成立”的()A. 充要条件B. 必要不充分条件C. 充分不必要条件D. 既不充分也不必要条件参考答案:C试题分析:当x∈时,sinx+cosx≤所以0≤sinx<-cosx≤于是sin(sinx)<sin(-cosx)=cos(cosx),充分性成立.取x=-,有sin(sinx)=sin(-)=-sin<0cos(cosx)=cos(-)=cos>0所以sin(sinx)<<cos(cosx)也成立,必要性不成立故选C考点:三角函数的性质,充要条件10. 函数的部分图象如图所示,则函数表达式为()A. B.C. D.参考答案:D由图象可以看出,,则,将点代入中,得,,又函数表达式,故选D.二、填空题:本大题共7小题,每小题4分,共28分11. 函数的最小值为.参考答案:12. 函数的定义域是.参考答案:令且,得,解得,故填.13. 等差数列{a n}的首项a1=1,且a2是a1和a6的等比中项,那么公差d= _________ .参考答案:0或314. 给出下列命题:①是幂函数;②函数在上有3个零点;③的解集为;④当时,幂函数的图象与两坐标轴不相交;其中真命题的序号是(写出所有正确命题的编号).参考答案:②④15. 关于x的方程= p x有4个不同的实数根,则p的取值范围是。
【全国百强校】上海市上海师范大学...一、填空题(本大题共有14题,每题4分,满分56分.)1.集合{}*|03,A x x x N =≤<∈的真子集的个数是 .【答案】3【解析】试题分析:{}*|03,={1,2}A x x x N =≤<∈,真子集个数22-1=3,所以答案应填:3.考点:集合的子集概念.2.命题“如果,a b 都是奇数,那么a b +是偶数”的逆否命题是 .【答案】如果a b +不是偶数,那么,a b 不都是奇数【解析】试题分析:命题的条件和结论否定后交换,所以答案应填:如果a b +不是偶数,那么,a b 不都是奇数.考点:逆否命题. 3.已知函数()922-=x x x f ,()3-=x x g ,()33+=x x x h ,则()()()=+x h x g x f .【答案】(3)x x ≠±考点:函数的定义域.4.已知集合{223}A y y x x ==--,集合{}2213B y y x x ==-++,则AB = .【答案】[4,14]-【解析】试题分析:由2223=1)44y x x x =----≥-(,22213(1)1414y x x x =-++=--+≤,知 A B =[4,14]-,所以答案应填:[4,14]-.考点:1、集合;2、二次函数值域.5.函数2()|1|||f x x x a =-+-(常数a R ∈),若(2)1f =,则(1)f = .【答案】3【解析】试题分析:(2)1f =得:4a =,故(1)3f =,所以答案应填:3.考点:函数概念.6.已知全集{}0,1,2,3,4,5U =,且{}1,2U BC A =,{}5U A C B =,{}0,4U U C A C B =,则集合A = .【答案】{3,5}考点:1、集合的交集2、集合的补集.7.已知集合{|A a =关于x 的方程211x a x +=-有唯一实数解,}a R ∈,用列举法表示集合 A = .【答案】51,1,4??--【解析】试题分析:由211(1)(1)x a x a x x x ++==--+,当1x a x +=-或1x a x +=+时,方程有一解,当21x a x +=-有一解时,0?=,54a =-,所以答案应填:51,1,4??--.考点:含参分式方程.8. 对于集合,A B ,定义运算:{}A B x x A x B -=∈?且,()()A B AB B A ?=--.若{}1,2A =, {}2,B x x x Z =<∈,则A B ?= .【答案】{}1,0,2-【解析】试题分析:{}1,2A =,{}2,{1,01}B x x x Z =<∈=-,,()(){2}{1,0}{1,0,2}A B B A --=-=-,所以答案应填:{}1,0,2-.考点:集合的运算.9. 已知全集U R =,实数,a b 满足0a b >>,集合{|},{|}2a b M x b x N x x a +=<<=<<,则U M C N = .【答案】(b考点:集合的交集、补集.10.已知关于x 的不等式022>++c x ax 的解集为)21,31(-,其中,a c R ∈,则关于x 的不等式 022>-+-a x cx 的解集是 .【答案】)3,2(-【解析】试题分析:由不等式022>++c x ax 的解集为)21,31(-知211321 6a c a-=-+=-??,解得122a c =-??=?,所以022>-+-a x cx 即为260x x -++>,解得23x -<<,所以答案应填:)3,2(-.考点:1、一元二次不等式;2、一元二次方程.【思路点晴】本题主要考查的是含参一元二次不等式的解法,属于中档题.解题时一定注意不等式的解集端点与相应方程的关系,即端点是方程的根,再根据根与系数关系得出a ,c ,从而解出022>-+-a x cx 的解集.11.对于实数x ,若1,n x n ≤<+规定[]x n =()n Z ∈,则不等式[][]2420210x x -+<的解集是.【答案】【解析】。
2024年上海市高考数学试卷注意:试题来自网络,请自行参考(含解析)一、填空题(本大题共有12题,满分54分.其中第1-6题每题4分,第7-12题每题满分5分)考生应在答题纸相应编号的空格内直接填写结果.1.设全集,集合,则______.【答案】【解析】【分析】根据补集的定义可求.【详解】由题设有,故答案为:2.已知则______.【答案】【解析】【分析】利用分段函数的形式可求.【详解】因故,故答案为:.3.已知则不等式的解集为______.【答案】【解析】【分析】求出方程的解后可求不等式的解集.【详解】方程的解为或,故不等式的解集为,故答案为:.4.已知,,且是奇函数,则______.【答案】【解析】【分析】根据奇函数的性质可求参数.【详解】因为是奇函数,故即,故,故答案为:.5.已知,且,则的值为______.【答案】15【解析】【分析】根据向量平行的坐标表示得到方程,解出即可.【详解】,,解得.故答案为:15.6.在的二项展开式中,若各项系数和为32,则项的系数为______.【答案】10【解析】【分析】令,解出,再利用二项式的展开式的通项合理赋值即可.【详解】令,,即,解得,所以的展开式通项公式为,令,则,.故答案为:10.7.已知抛物线上有一点到准线的距离为9,那么点到轴的距离为______.【答案】【解析】【分析】根据抛物线的定义知,将其再代入抛物线方程即可.【详解】由知抛物线的准线方程为,设点,由题意得,解得,代入抛物线方程,得,解得,则点到轴的距离为.故答案为:.8.某校举办科学竞技比赛,有3种题库,题库有5000道题,题库有4000道题,题库有3000道题.小申已完成所有题,他题库的正确率是0.92,题库的正确率是0.86,题库的正确率是0.72.现他从所有的题中随机选一题,正确率是______.【答案】0.85【解析】【分析】求出各题库所占比,根据全概率公式即可得到答案.【详解】由题意知,题库的比例为:,各占比分别为,则根据全概率公式知所求正确率.故答案为:0.85.9.已知虚数,其实部为1,且,则实数为______.【答案】2【解析】【分析】设,直接根据复数的除法运算,再根据复数分类即可得到答案.【详解】设,且.则,,,解得,故答案为:2.10.设集合中的元素皆为无重复数字的三位正整数,且元素中任意两者之积皆为偶数,求集合中元素个数的最大值______.【答案】329【解析】【分析】三位数中的偶数分个位是0和个位不是0讨论即可.【详解】由题意知集合中且至多只有一个奇数,其余均是偶数.首先讨论三位数中的偶数,①当个位为0时,则百位和十位在剩余的9个数字中选择两个进行排列,则这样的偶数有个;②当个位不为0时,则个位有个数字可选,百位有个数字可选,十位有个数字可选,根据分步乘法这样的偶数共有,最后再加上单独的奇数,所以集合中元素个数的最大值为个.故答案为:329.11.已知点B在点C正北方向,点D在点C的正东方向,,存在点A满足,则______(精确到0.1度)【答案】【解析】【分析】设,在和中分别利用正弦定理得到,,两式相除即可得到答案.【详解】设,在中,由正弦定理得,即’即①在中,由正弦定理得,即,即,②因为,得,利用计算器即可得,故答案为:.12.无穷等比数列满足首项,记,若对任意正整数集合是闭区间,则的取值范围是______.【答案】【解析】【分析】当时,不妨设,则,结合为闭区间可得对任意的恒成立,故可求的取值范围.【详解】由题设有,因为,故,故,当时,,故,此时为闭区间,当时,不妨设,若,则,若,则,若,则,综上,,又为闭区间等价于为闭区间,而,故对任意恒成立,故即,故,故对任意的恒成立,因,故当时,,故即.故答案为:.【点睛】思路点睛:与等比数列性质有关的不等式恒成立,可利用基本量法把恒成立为转为关于与公比有关的不等式恒成立,必要时可利用参变分离来处理.二、选择题(本大题共有4题,满分18分,其中第13-14题每题满分4分,第15-16题每题满分5分)每题有且只有一个正确答案,考生应在答题纸的相应编号上,将代表答案的小方格涂黑,选对得满分,否则一律得零分.13.已知气候温度和海水表层温度相关,且相关系数为正数,对此描述正确的是()A气候温度高,海水表层温度就高B.气候温度高,海水表层温度就低C.随着气候温度由低到高,海水表层温度呈上升趋势D.随着气候温度由低到高,海水表层温度呈下降趋势【答案】C【解析】【分析】根据相关系数的性质可得正确的选项.【详解】对于AB,当气候温度高,海水表层温度变高变低不确定,故AB错误.对于CD,因为相关系数为正,故随着气候温度由低到高时,海水表层温度呈上升趋势,故C正确,D错误.故选:C.14.下列函数的最小正周期是的是()A. B.C. D.【答案】A【解析】【分析】根据辅助角公式、二倍角公式以及同角三角函数关系并结合三角函数的性质一一判断即可.【详解】对A,,周期,故A正确;对B,,周期,故B错误;对于选项C,,是常值函数,不存在最小正周期,故C错误;对于选项D,,周期,故D错误,故选:A.15.定义一个集合,集合中的元素是空间内的点集,任取,存在不全为0的实数,使得.已知,则的充分条件是()A. B.C. D.【答案】C【解析】【分析】首先分析出三个向量共面,显然当时,三个向量构成空间的一个基底,则即可分析出正确答案.【详解】由题意知这三个向量共面,即这三个向量不能构成空间的一个基底,对A,由空间直角坐标系易知三个向量共面,则当无法推出,故A错误;对B,由空间直角坐标系易知三个向量共面,则当无法推出,故A错误;对C,由空间直角坐标系易知三个向量不共面,可构成空间的一个基底,则由能推出,对D,由空间直角坐标系易知三个向量共面,则当无法推出,故D错误.故选:C.16.已知函数的定义域为R,定义集合,在使得的所有中,下列成立的是()A.存在是偶函数B.存在在处取最大值C.存在是严格增函数D.存在在处取到极小值【答案】B【解析】【分析】对于ACD利用反证法并结合函数奇偶性、单调性以及极小值的概念即可判断,对于B,构造函数即可判断.【详解】对于A,若存在是偶函数,取,则对于任意,而,矛盾,故A错误;对于B,可构造函数满足集合,当时,则,当时,,当时,,则该函数的最大值是,则B正确;对C,假设存在,使得严格递增,则,与已知矛盾,则C错误;对D,假设存在,使得在处取极小值,则在的左侧附近存在,使得,这与已知集合的定义矛盾,故D错误;故选:B.三、解答题(本大题共有5题,满分78分)解下列各题必须在答题纸相应编号的规定区域内写出必要的步骤17.如图为正四棱锥为底面的中心.(1)若,求绕旋转一周形成的几何体的体积;(2)若为的中点,求直线与平面所成角的大小.【答案】(1)(2)【解析】【分析】(1)根据正四棱锥的数据,先算出直角三角形的边长,然后求圆锥的体积;(2)连接,可先证平面,根据线面角的定义得出所求角为,然后结合题目数量关系求解.【小问1详解】正四棱锥满足且平面,由平面,则,又正四棱锥底面是正方形,由可得,,故,根据圆锥的定义,绕旋转一周形成的几何体是以为轴,为底面半径的圆锥,即圆锥的高为,底面半径为,根据圆锥的体积公式,所得圆锥的体积是【小问2详解】连接,由题意结合正四棱锥的性质可知,每个侧面都是等边三角形,由是中点,则,又平面,故平面,即平面,又平面,于是直线与平面所成角的大小即为,不妨设,则,,又线面角的范围是,故.即为所求.18.若.(1)过,求的解集;(2)存在使得成等差数列,求的取值范围.【答案】(1)(2)【解析】【分析】(1)求出底数,再根据对数函数的单调性可求不等式的解;(2)存在使得成等差数列等价于在上有解,利用换元法结合二次函数的性质可求的取值范围.【小问1详解】因为的图象过,故,故即(负的舍去),而在上为增函数,故,故即,故的解集为.小问2详解】因为存在使得成等差数列,故有解,故,因为,故,故在上有解,由在上有解,令,而在上的值域为,故即.19.为了解某地初中学生体育锻炼时长与学业成绩的关系,从该地区29000名学生中抽取580人,得到日均体育锻炼时长与学业成绩的数据如下表所示:时间范围学业成绩优秀5444231不优秀1341471374027(1)该地区29000名学生中体育锻炼时长不少于1小时人数约为多少?(2)估计该地区初中学生日均体育锻炼的时长(精确到0.1)(3)是否有的把握认为学业成绩优秀与日均体育锻炼时长不小于1小时且小于2小时有关?(附:其中,.)【答案】(1)(2)(3)有【解析】【分析】(1)求出相关占比,乘以总人数即可;(2)根据平均数的计算公式即可得到答案;(3)作出列联表,再提出零假设,计算卡方值和临界值比较大小即可得到结论.【小问1详解】由表可知锻炼时长不少于1小时的人数为占比,则估计该地区29000名学生中体育锻炼时长不少于1小时的人数为.【小问2详解】估计该地区初中生的日均体育锻炼时长约为.则估计该地区初中学生日均体育锻炼的时长为0.9小时.【小问3详解】由题列联表如下:其他合计优秀455095不优秀177308485合计222358580提出零假设:该地区成绩优秀与日均锻炼时长不少于1小时但少于2小时无关.其中..则零假设不成立,即有的把握认为学业成绩优秀与日均锻炼时长不小于1小时且小于2小时有关.20.已知双曲线左右顶点分别为,过点的直线交双曲线于两点.(1)若离心率时,求的值.(2)若为等腰三角形时,且点在第一象限,求点的坐标.(3)连接并延长,交双曲线于点,若,求取值范围.【答案】(1)(2)(3)【解析】【分析】(1)根据离心率公式计算即可;(2)分三角形三边分别为底讨论即可;(3)设直线,联立双曲线方程得到韦达定理式,再代入计算向量数量积的等式计算即可.【小问1详解】由题意得,则,.【小问2详解】当时,双曲线,其中,,因为为等腰三角形,则①当以为底时,显然点在直线上,这与点在第一象限矛盾,故舍去;②当以为底时,,设,则,联立解得或或,因为点在第一象限,显然以上均不合题意,舍去;(或者由双曲线性质知,矛盾,舍去);③当以为底时,,设,其中,则有,解得,即.综上所述:.小问3详解】由题知,当直线的斜率为0时,此时,不合题意,则,则设直线,设点,根据延长线交双曲线于点,根据双曲线对称性知,联立有,显然二次项系数,其中,①,②,,则,因为在直线上,则,,即,即,将①②代入有,即化简得,所以,代入到,得,所以,且,解得,又因为,则,综上知,,.【点睛】关键点点睛:本题第三问的关键是采用设线法,为了方便运算可设,将其与双曲线方程联立得到韦达定理式,再写出相关向量,代入计算,要注意排除联立后的方程得二次项系数不为0.21.对于一个函数和一个点,令,若是取到最小值的点,则称是在的“最近点”.(1)对于,求证:对于点,存在点,使得点是在的“最近点”;(2)对于,请判断是否存在一个点,它是在的“最近点”,且直线与在点处的切线垂直;(3)已知在定义域R上存在导函数,且函数在定义域R上恒正,设点,.若对任意的,存在点同时是在的“最近点”,试判断的单调性.【答案】(1)证明见解析(2)存在,(3)严格单调递减【解析】【分析】(1)代入,利用基本不等式即可;(2)由题得,利用导函数得到其最小值,则得到,再证明直线与切线垂直即可;(3)根据题意得到,对两等式化简得,再利用“最近点”的定义得到不等式组,即可证明,最后得到函数单调性.【小问1详解】当时,,当且仅当即时取等号,故对于点,存在点,使得该点是在的“最近点”.【小问2详解】由题设可得,则,因为均为上单调递增函数,则在上为严格增函数,而,故当时,,当时,,故,此时,而,故在点处的切线方程为.而,故,故直线与在点处的切线垂直.【小问3详解】设,,而,,若对任意的,存在点同时是在的“最近点”,设,则既是的最小值点,也是的最小值点,因为两函数的定义域均为,则也是两函数的极小值点,则存在,使得,即①②由①②相等得,即,即,又因为函数在定义域R上恒正,则恒成立,接下来证明,因为既是的最小值点,也是的最小值点,则,即,③,④③④得即,因为则,解得,则恒成立,因为的任意性,则严格单调递减.【点睛】关键点点睛:本题第三问的关键是结合最值点和极小值的定义得到,再利用最值点定义得到即可.。
上海市上海师范大学附属中学2024-2025学年高三上学期10月月考数学试卷一、填空题1.函数()f x =2.已知0a >. 3.已知幂函数()f x 的图象经过点13,9⎛⎫⎪⎝⎭,求(3)f -=.4.若1sin 3α=,则cos(2)πα-=.5.已知集合{|3sin ,}M y y x x =∈=R ,{|||}N x x a =<,若M N ⊆,则实数a 的取值范围是. 6.设a ,b ∈R .已知关于x 的不等式250ax x b -+>的解集为21,34⎛⎫- ⎪⎝⎭,则不等式250ax x b ++<的解集为.7.已知锐角α的顶点为原点,始边为x 轴的正半轴,将α的终边绕原点逆时针旋转π6后交单位圆于点1,3P y ⎛⎫- ⎪⎝⎭,则sin α的值为.8.已知()()()()1f x x x a x b =+++.若()y f x =为奇函数,则()0f '=.9.如图,某同学为测量鹳雀楼的高度MN ,在鹳雀楼的正东方向找到一座建筑物AB ,高约为37m ,在地面上点C 处(,,B C N 三点共线)测得建筑物顶部A ,鹳雀楼顶部M 的仰角分别为30o 和45o ,在A 处测得楼顶部M 的仰角为15o ,则鹳雀楼的高度约为m .10.对于函数()f x 和()g x ,设(){}|0x f x α∈=,(){}|0x g x β∈=,若存在α,β,使得1αβ-<,则称()f x 与()g x 互为“零点相邻函数”.若函数()1e 2x f x x -=+-与()21g x x ax =-+互为“零点相邻函数”,则实数a 的取值范围是.11.若函数()y f x =的图像上存在不同的两点M x 1,y 1 和N x 2,y 2 ,满足1212x x y y +≥()y f x =具有性质P ,给出下列函数: ①()sin f x x =;②()x f x e =;③1(),(0,)f x x x x=+∈+∞;④()||1f x x =+.其中其有性质p 的函数为(填上所有正确序号).12.已知函数()ln 1f x b x =--,若关于x 的方程()0f x =在2e,e ⎡⎤⎣⎦上有解,则22a b +的最小值为.二、单选题13.已知a b ∈R ,且0ab ≠,则“22a b >”是“11a b<”的( ) A .充分不必要条件 B .必要不充分条件 C .充要条件 D .既不充分也不必要条件14.设函数()sin f x x =,若对于任意5π2π,63α⎡⎤∈--⎢⎥⎣⎦,在区间[0,]m 上总存在唯一确定的β,使得()()0f f αβ+=,则m 的值可能是( )A .π6B .π3C .2π3 D .5π6 15.已知在ABC V 中,0P 是边AB 上一定点,满足023P B AB =u u u r u u u r,且对于边AB 上任意一点P ,都有00PB PC P B P C ⋅≥⋅u u u r u u u r u u u r u u u r,则ABC V 是( )A .钝角三角形B .直角三角形C .锐角三角形D .无法确定16.设函数,()2,2x x P f x x x M x∈⎧⎪=⎨+∈⎪⎩其中,P M 是实数集R 的两个非空子集,又规定(){(),},(){(),}A P y y f x x P A M y y f x x M ==∈==∈∣∣,有下列命题:①对任意满足P M ⋃=R 的集合P 和M ,都有()()A P A M ⋃=R ; ②对任意满足P M ⋃≠R 的集合P 和M ,都有()()A P A M ⋃≠R , 则对于两个命题真假判断正确的是( )A .①和②都是真命题B .①和②都是假命题C .①是真命题,②是假命题D .①是假命题,②是真命题三、解答题17.已知向量3sin ,,(cos ,1)4a x b x ⎛⎫==- ⎪⎝⎭r r .(1)当a b r r∥时,求tan 2x 的值;(2)设函数()2()f x a b b =+⋅r rr ,且π0,2x ⎛⎫∈ ⎪⎝⎭,求()f x 的值域.18.已知函数()22x x af x =+其中a 为实常数.(1)若()07f =,解关于x 的方程()5f x =; (2)判断函数()f x 的奇偶性,并说明理由.19.某创业投资公司拟投资开发某种新能源产品,估计能获得10万元~1000万元的投资收益.现准备制定一个对科研课题组的奖励方案:奖金y (万元)随投资收益x (万元)的增加而增加,且奖金不超过9万元,同时奖金不超过投资收益的20%.(1)若建立函数()f x 模型制定奖励方案,试用数学语言表述公司对奖励函数()f x 模型的基本要求;(2)现有两个奖励函数模型:①()2150xf x =+;②()ln 2f x x =-;问这两个函数模型是否符合公司要求,并说明理由?20.已知函数()y f x =的定义域为区间D ,若对于给定的非零实数m ,存在0x ,使得()()00f f x x m =+,则称函数()y f x =在区间D 上具有性质()P m .(1)判断函数()2f x x =在区间[]1,1-上是否具有性质12P ⎛⎫ ⎪⎝⎭,并说明理由;(2)若函数()sin f x x =在区间()()0,0>n n 上具有性质4P π⎛⎫⎪⎝⎭,求n 的取值范围;(3)已知函数()y f x =的图像是连续不断的曲线,且()()02f f =,求证:函数()y f x =在区间[]0,2上具有性质13P ⎛⎫⎪⎝⎭.21.已知函数()e (,1),()(,)k x f x x k k g x cx m c m =∈≥=+∈N R ,其中e 是自然对数的底数.(1)当1k =时,若曲线()y f x =在1x =处的切线恰好是直线()y g x =,求c 和m 的值; (2)当1k =,e m =-时,关于x 的方程()()f x g x =有正实数根,求c 的取值范围:(3)当2,1k m ==-时,关于x 的不等式2()e ()f x ax bx g x -≥+≥对于任意[1,)x ∈+∞恒成立(其中,a b ∈R ),当c 取得最大值时,求a 的最小值.。
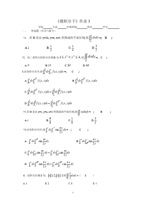
《微积分下》作业5学院 专业 年级班级 姓名 序号 一.单选题(共3×10分)*1..若D 是由y=2x, y=x, x=1所围成的平面区域,则⎰⎰Ddxdy =( B )A.1B.21 C.41 D.23 *2.设二重积分的积分区域D 为:,4122≤+≤y x 则⎰⎰Ddxdy =( C )A.πB.2πC.π3D.π4 3.改变积分次序,则⎰⎰212),(xxdy y x f dx =( C )A.⎰⎰10),(yydx y x f dy B.⎰⎰210),(yydx y x f dyC.⎰⎰⎰⎰+410214121),(),(yyydx y x f dy dx y x f dyD.⎰⎰⎰⎰+410212141),(),(yyydx y x f dy dx y x f dy*4.若D 是由y=1, y=x, x=2所围成的平面区域,则Dxydxdy ⎰⎰= ( B )A.1B.98 C.18D.23*5.改变积分次序,则221sin2y yxdy dx yπ⎰⎰= ( C )A.dy yxdx xx ⎰⎰412sinπB.412xxdx dy yπ⎰C.dy yxdx dy yxdx xx x ⎰⎰⎰⎰+422212sin2sinππD.24122in22xxxdx dy dx dy yyππ+⎰⎰6.设积分区域D 为:1,2≤≤y x 则dxdy D⎰⎰21=( D ) A.1 B.2 C.3 D.47.改变积分次序,则⎰⎰-xdy y x f dx 1010),(=( D )A .⎰⎰-1010),(dx y x f dy xB.⎰⎰-xdx y x f dy 101),( C.⎰⎰11),(dx y x f dy D.⎰⎰-ydx y x f dy 101),(8.设D :,222a y x ≤+当=a ( B )时π=--⎰⎰dxdy y x a D222A.1B.323C.343 D.321 rdr r a d a⎰⎰-02220πθππ=⋅=3231a233=a 323=a 9改变积分次序,则⎰⎰-2221),(x xdy y x f dx =( B )A.⎰⎰-1022),(y dx y x f dy B.⎰⎰⎰⎰-+224121),(),(y y dx y x f dy dx y x f dyC.⎰⎰-yydx y x f dy 524),( D.⎰⎰⎰⎰+-yydx y x f dy dx y x f dy 52412210),(),(10.由曲线,222x y x =+ ,422x y x =+ x y =, 0=y 所围成的图形的面积S =( C ) A.)2(41π+ B.)2(21π+ C.)2(43π+ D.π+2 ⎰⎰==40cos 4cos 2πθθθrdr d s )2(43cos 6402+=⎰πθθπd 二.计算题(共5×10分)1. 计算⎰⎰--Ddxdy y x ,)1(其中D 是由x=0,y=0及x+y=1所围成的闭区域.⎰⎰=--Ddxdy y x )1(⎰⎰---xdy y x dx 101)1(=⎰---1102]21)1[(dx y y x x=103212)1(61])1(21)1[(x dx x x --=---⎰=61 2. 计算22(),D x y x d σ+-⎰⎰其中D 是由y=x,y=2及y=2x 所围成的闭区域.22(),Dx y x d σ+-⎰⎰=⎰⎰-+20222)(yy dx x y x dy dy y x x y x y 222320]2131[-+=⎰dy y y )832419(232-⎰02)243241941(34y y -⋅=6133.求dxdy y x D⎰⎰+22,D 是由222a y x ≤+所确定的区域。
2022年上海师范学校高三数学文上学期期末试卷含解析一、 选择题:本大题共10小题,每小题5分,共50分。
在每小题给出的四个选项中,只有是一个符合题目要求的1. 设是各项为正数的无穷数列,是边长为的矩形的面积(),则为等比数列的充要条件是( ) (A )是等比数列.(B )或是等比数列. (C )和均是等比数列。
(D )和均是等比数列,且公比相同.参考答案: D本题考查等比数列的概念及其应用,难度中等.由题意可知,,若是等比数列,则,即数列的奇数项、偶数项都成等比数列,且公比都等于的公比,故选择D.2. 对一个作直线运动的质点的运动过程观测了8次,得到如表所示的数据.在上述统计数据的分析中,一部分计算见如图所示的算法流程图(其中是这8个数据的平均数),则输出的S 的值是( )A .5B .6C .7D .8参考答案:C【考点】程序框图.【专题】概率与统计;算法和程序框图.【分析】分析程序中各变量、各语句的作用,再根据流程图所示的顺序,可知:该程序的作用是计算输入的8个数的方差.由表中给出的输入的8个数的数据,不难得到答案. 【解答】解:分析程序中各变量、各语句的作用, 再根据流程图所示的顺序,可知: 该程序的作用是计算输入的8个数的方差. 由表中给出的输入的8个数的数据,不难得到答案. ∵=(40+41+43+43+44+46+47+48)=44, S 2=(42+32+12+12+02+22+32+42)=7, 故选:C【点评】根据流程图(或伪代码)写程序的运行结果,是算法这一模块最重要的题型,其处理方法是:①分析流程图(或伪代码),从流程图(或伪代码)中即要分析出计算的类型,又要分析出参与计算的数据(如果参与运算的数据比较多,也可使用表格对数据进行分析管理)?②建立数学模型,根据第一步分析的结果,选择恰当的数学模型③解模.3. 已知全集U=R,集合,则图中的阴影部分表示的集合为(A)(-∞,1]U(2,+∞) (B)(C)[1,2) (D)(1,2]参考答案:【知识点】集合运算. A1A解析:图中的阴影部分表示的集合为,故选 A .【思路点拨】根据题中韦恩图得阴影部分表示的集合为,再结合得结论.4. 设集合,已知,那么k的取值范围是()A.(-∞,0) B.(0,+∞) C.(-∞,0] D.(1,+∞)参考答案:C∵集合∴集合∵集合,且∴故选C.5. 函数的值域为( )A.[-,] B.[-,]C.[-,] D.[-,2]参考答案:B略6. 在复平面内,复数的共轭复数对应的点位于(A)第一象限(B)第二象限(C)第三象限(D)第四象限参考答案:D分析:将复数化为最简形式,求其共轭复数,找到共轭复数在复平面的对应点,判断其所在象限.详解:的共轭复数为对应点为,在第四象限,故选D.7. 已知集合= ()A.B.C.D.{—2,0}参考答案:C8. 抛物线y2=2x与直线y=x﹣4围成的平面图形面积()A.18 B.16 C.20 D.14参考答案:A【考点】抛物线的简单性质;定积分.【分析】方法一:根据题目信息,作出图形,如图所示:联立,解得:,或,则所求的面积为S=dx+(﹣x+4)dx,求出原函数,即可求得平面区域的面积,方法二:对y进行积分,所求的面积为S=(y+4﹣)dy,即可求得平面区域的面积.【解答】解:方法一:根据题目信息,作出图形,如图所示:联立,解得:,或,则所求的面积为S=dx+(﹣x+4)dx.∵[?]′=,∴S=[?]+[?﹣+4x] =18故抛物线y2=2x与直线y=x﹣4所围成的图形的面积是18,故选A.方法二:根据题目信息,作出图形,如图所示:联立,解得:,或,则所求的面积为S=(y+4﹣)dy=(y2+4y﹣)=(8+16﹣﹣2+8﹣)=18,故选A.9. 已知双曲线(,)与椭圆有共同焦点,且双曲线的一条渐近线方程为,则该双曲线的方程为()A.B.C.D.参考答案:D10. 函数,则下列不等式一定成立的是( )A. B. C. D.参考答案:B二、填空题:本大题共7小题,每小题4分,共28分11. 由正整数组成的一组数据,其平均数和中位数都是,且标准差等于,则这组数据为__________。
《微积分下》作业3学院 专业 年级班级 姓名 学号一. 单选题(共4×10分)1.函数( )为微分方程y xy 2'=的解A .2x y = B.x y = C.x y 2= D.2x y =2. .函数3x y =为微分方程 ( )的解A. 322'y y = B.433'x y y -= C.03'=-y xy D.22'x x y y =+ 3. 微分方程022=+y dx y d 的通解是( ). A.x A y sin = B.x B y cos =C.x B x y cos sin +=D.x B x A y cos sin += 4. 微分方程''3'25y y y -+=的通解是( ).A.2125x x y k e k e =++B. 2125x x y k e k e =+-C. 21252x x y k e k e =++D. 21252x x y k e k e =+- 5.微分方程dy y y tg dx x x=+的通解是( ) A.1sin cx y x = B.sin y x c x =+ C.sin y cx x= D.sin x cx y = 6.通过坐标系的原点且与微分方程1dy x dx=+的一切积分曲线均正交的曲线的方程是( )A. 1y e x -=+B.10y e x ++=C. 1y e x =+D.222y x x =+7. 微分方程2yxdy ydx y e dy -=的通解是( ) A.()x y x e c =+ B.()y x y e c =+C.()x y x c e =-D.()y x y c e =-8.函数()y x 满足微分方程2'ln 0xy y y x +-=且在1x =时,1y =,则在 x e =时,=y ( )A.1eB.12C.2D.e 9. 微分方程"3'232x y y y x e -+=-的特解*y 的形式是( )A.()x ax b e +B.()x ax b xe +C.()x ax b ce ++D.()x ax b cxe ++10.设)(x f 连续,且满足2ln )2()(20+=⎰x dt t f x f ,则=)(x f ( ) A.2ln x e B.2ln 2x eC.2ln +x eD.2ln 2+x e二.计算题(共6×10分) 1.求方程2220d y dy y dx dx++=满足初始条件004,'2x x y y ====-的特解2.求方程25)1(12+=+-x x y dx dy 的通解3.求方程ln dy y xy dx x =的通解4.求方程3)2(2)2(-+=-x y dx dy x 的通解5.求方程2(cos sin )dy y y x x dx+=-的通解。
上海师范大学高等数学期末考试试卷(含答案) 一、高等数学选择题
1.设函数,则.
A、正确
B、不正确
【答案】B
2.不定积分.
A、
B、
C、
D、
【答案】A
3.微分方程的通解是().
A、
B、
C、
D、
【答案】B
4.函数是微分方程的解.
A、正确
B、不正确
【答案】B
5.设函数,则.
A、正确
B、不正确
【答案】A
6.不定积分().
A、
B、
C、
D、
【答案】D
7.设,则微分.
A、正确
B、不正确
【答案】B
二、二选择题
8. ( ).
A、
B、
C、
D、
【答案】D
9.设函数,则().
A、
B、
C、
D、
【答案】B
10.函数的图形如图示,则是函数的
( ).
A、极小值点也是最小值点
B、极小值点但非最小值点
C、最大值点
D、极大值点
【答案】A
11.是微分方程.
A、正确
B、不正确
【答案】B
12.不定积分 ( ).
A、
B、
C、
D、
【答案】A
13.不定积分 ( ).
A、
B、
C、
D、
【答案】A
14.函数的图形如图示,则函数 ( ).
A、有四个极大值
B、有两个极大值
C、有一个极大值
D、没有极大值
【答案】C
15.设函数,则().A、
B、
C、
D、
【答案】B。
上海师范大学天华学院标准试卷2009 ~ 2010学年 第一学期 考试日期 2010 年 1 月 日科目:高等数学(二)Ⅰ (A 卷)专业 本科 年级 班 姓名 学号我承诺,遵守《上海师范大学天华学院考场规则》,诚信考试。
签名:________________一、单项选择题(本大题共5小题,每小题2分,共10分)1. 当0→x 时,无穷小量kx =α与x x 2sin )21ln(++=β为等价无穷小量,则=k ( ).A 1 .B 2 .C 3 .D 42. 若4)(lim =+-+∞→cx x cx c x ,则常数=C ( ).A 2ln .B 2ln - .C 2ln 21 .D 2ln 21-3. 设函数xxx f arcsin )(=,则0=x 是)(x f 的( ).A 可去间断点 .B 跳跃间断点 .C 无穷间断点 .D 连续点4. 下列函数中,在区间[]10,上满足拉格朗日中值定理条件的是( ) .A 11)(-=x x f .B x x f ln )(= .C 32)(x x f = .D x x f cot )(=5. 设某商品的需求函数为)(P f Q =,P 表示商品价格,Q 表示需求量,在0P P =时的需求弹性为)()()(0000P f P f P P '-=η,则3)(0=P η的经济意义是( ) .A 当P 从0P 增加1时,Q 从)(0P f 减少3.B 当P 从0P 增加1时,Q 从)(0P f 增加3 .C 当P 从0P 增加%1时,Q 从)(0P f 减少%3.D 当P 从0P 增加%1时,Q 从)(0P f 增加%3二、填空题(本大题共5小题,每小题2分,共10分)1. 设函数⎪⎩⎪⎨⎧=≠-=-00)(23sin x a x xe e xf x x 在0=x 处连续,则常数=a2. 设)0(f '存在,且1)3()0(lim=--→h f f hh ,则=')0(f3. 设)()(x f x F ='且)(x f 是连续函数,则=⎰dx xx f )(4. 若x x f 2cos )(sin ='且0)0(=f ,则=)(x f5. 设某商品的需求函数为3202Q P -=,P 为价格(万元/百台),Q 为销售量(百台)则销售量Q 为2百台时的边际收益是 三、计算题(本大题共10小题,每小题6分,共60分) 1. 求极限)21ln(arctan lim30x xx x +-→2. 求极限)tan 11(lim 20xx x x -→.3. 求极限111)2(lim -→-x x x4. 设,5sin 1arccos )1ln()(2π++-+=x x x x f 求)2(f '5. 设函数)(x f y =由方程y x xy+=2确定,求曲线)(x f y =在()1,0处的切线方程6. 设2211arctan )(xx x f -+= ,求)0(f ''7. 试求常数,c b a 、、使曲线1623+++=cx bx ax y 在点2-=x 处有水平切线,而点)10,1(-为其拐点8. 求⎰+dx x x 3ln 19. 求 ⎰+224xxdx10. 设x 2sin 是)(x f 的原函数,求⎰'dx x f x )(四、综合题(本大题共2个小题,第1小题8分,第2题7分,共15分) 1. 求函数21ln )(x x f +=的单调区间、极值和该曲线的凹凸区间、拐点.2. 某产品的总成本)(Q C (单位:万元)的边际成本为Q Q C -='3)((单位:万元/百台),总收入)(Q R (单位:万元)的边际收入Q Q R 29)(-='(单位:万元/百台),其中Q 为产量,固定成本为2万元,问:(1)产量等于多少时总利润)(Q L 为最大?(2)从利润最大时再生产一百台,总利润减少多少?五.证明题: (本大题5分)设)(x f 在[]b a ,上连续,在()b a ,内具有二阶导数, 点())(,c f c 在点))(,(a f a 和点))(,(b f b 的连线上(其中)b c a <<, 试证明在()b a ,内至少存在一点ξ, 使得0)(=''ξf(注:可编辑下载,若有不当之处,请指正,谢谢!)。
2024年普通高等学校招生全国统一考试 上海卷数学试卷1.设全集,集合,则_________.2.已知,_________.3.已知,的解集为_________.4.已知,若是奇函数,,_________.5.已知,,,,则k 的值为_________.6.在的二项展开式中,若各项系数和为32,则项的系数为_________.7.已知抛物线上有一点P 到准线的距离为9,那么P 到x 轴的距离为_________.8.某校举办科学竞技比赛,有A 、B 、C 3种题库,A 题库有5000道题,B 题库有4000道题,C 题库有3000道题.小申已完成所有题,他A 题库的正确率是0.92,B 题库的正确率是0.86,C 题库的正确率是0.72,现他从所有的题中随机选一题,正确率是_________.9.已知虚数z ,其实部为1,且,则实数m 为_________.10.设集合A 中的元素皆为无重复数字的三位正整数,且元素中任意两者之积皆为偶数,求集合中元素个数的最大值_________.11.已知A 在O 正东方向,B 在O 的正北方向,O 到A 、B 距离相等,,,则_________.(精确到0.1度)12.等比数列首项,,记,若对任意正整数n ,是闭区间,则q 的范围是_________.13.已知气候温度和海水表层温度相关,且相关系数为正数,对此描述正确的是(){1,2,3,4,5}U ={2,4}A =A=0()1,0x f x x >=≤⎪⎩(3)f =x ∈R 2230x x --<3()f x x a =+()f x x ∈R a =k ∈R (2,5)a =(6,)b k = //a b (1)n x +2x 24y x =2()z m m z+=∈R 16.5BTO ∠=︒37ATO ∠=︒BOT ∠={}n a 10a >1q >[][]{}121ln ,,,n n x y x y a a a a +=-∈ ∣lnA.气候温度高,海水表层温度就高B.气候温度高,海水表层温度就低C.随着气候温度由低到高,海水表层温度呈上升趋势D.随着气候温度由低到高,海水表层温度呈下降趋势14.下列函数的最小正周期是的是( )A. B. C. D.15.定义一个集合,集合中的元素是空间内的点集,任取,存在不全为0的实数,,,使得.已知,则的充分条件是( )A. B. C. D.16.定义集合,在使得的所有中,下列成立的是( )A.是偶函数 B.在处取最大值C.严格增D.在处取到极小值17.如图为正四棱锥,O 为底面ABCD 的中心.(1)若,绕PO 旋转一周形成的几何体的体积;(2)若,E 为PB 的中点,求直线BD 与平面AEC 所成角的大小.18.若(,).(1)过,求的解集;(2)存在x 使得、、成等差数列,求a 的取值范围.19.为了解某地初中学生体育锻炼时长与学业成绩的关系,从该地区29000名学生中抽取580()f x 2πsin cos x x+sin cos x x22sin cos x x+22sin cos x x-Ω123,,P P P ∈Ω1λ2λ3λ1122330OP OP OP λλλ++= (1,0,0)∈Ω(0,0,1)∉Ω(0,0,0)(1,0,0)-(0,1,0)(0,0,1)-()(){}0000,,,()M x x x x f x f x =∈∈-∞<R ∣[1,1]M =-()f x ()f x ()f x 2x =()f x ()f x 1x =-P ABCD -5AP =AD =POA △AP AD =()log a f x x =0a >1a ≠()y f x =(4,2)(22)()f x f x -<(1)f x +()f ax (2)f x +人,得到日均体育锻炼时长与学业成绩的数据如下表所示:优秀5444231不优秀1341471374027(1)该地区29000名学生中体育锻炼时长大于1小时人数约为多少?(2)估计该地区初中学生日均体育锻炼的时长(精确到0.1)(3)是否有的把握认为学业成绩优秀与日均体育锻炼时长不小于1小时且小于2小时有关?附:,.20.双曲线,,,为左右顶点,过点的直线l 交双曲线于两点P 、Q ,且点P 在第一象限.(1)若时,求b .(2)若为等腰三角形时,求点P 的坐标.(3)过点Q 作OQ 延长线交于点R ,若,求b 取值范围.21.对于一个函数和一个点,令,若是取到最小值的点,则称P 是M 在的“最近点”.(1)对于,,求证,对于点,存在点P ,使得P 是M 在的“最近点”;(2)对于,,,请判断是否存在一个点P ,它是M 在最近点,且直线MP 与在点P 处的切线垂直;(3)设存在导函数,且在定义域R 上恒正,设点,.若对任意的,都存在点P ,满足P 是的最近点,也是的最近点,试求的单调性.[0,0.5)[0.5,1)[1,1.5)[1.5,2)[2,2.5)95%22()()()()()n ad bc a b c d a c b d χ-=++++()2 3.8410.05P χ≥≈222:1y x bΓ-=(0)b >1A 2A (2,0)M -Γe 2=b =2MA P △Γ121A R A P ⋅=()f x (,)M a b 22()()(())s x x a f x b =-+-()()00,P x f x ()s x ()f x 1()f x x=(0,)D =+∞(1,0)M ()f x ()e x f x =D =R (1,0)M ()f x ()f x ()f x ()g x 1(1,()())M t f t g t --2(1,()())M t f t g t ++t ∈R 1M 2M ()f x参考答案3.答案:4.答案:0解析:由题可知,,则.5.答案:15解析:由题可知,,则.6.答案:10解析:由题可知,展开式中各项系数的和是,所以,该二项式的通项公式是,令,,得.7.答案:解析:设P 坐标为,P 到准线的距离为9,即,,代入抛物线方程,可得,则P 到x 轴的距离为解析:由题可知,A 题库占比为,B 题库占比为,C 题库占比为,.9.答案:2解析:设,所以,因为,所以,解得,所以.10.答案:329解析:由题可知,集合A 中每个元素都互异的,且元素中最多有一个奇数,剩余全是偶数,先研究集合中(0)0F =256k =⨯(1)32nx +=515C 1rr r r T x -+=⋅⋅3r =2201b b b -=+2211121m b =+=+=+(1,3)-0a =15k =5n =52r -=35C 10=()00,x y 019x +=08x =0y =±5121314511170.920.860.72123420P =⨯+⨯+⨯=1i(0)z b b =+≠222222(1i)221i 1i 1i 1i 111b b z b b b z b b b b ⋅-⎛⎫+=++=++=++- ⎪++++⎝⎭m ∈R 1b =±无重复数字的三位偶数:(1)若个位为0,这样的偶数有种;(2)若个位不为0,这样的偶数有种;所以集合元素个数最大值为种.11.答案:解析:不妨设,,,则所以在中,①在中,②在中,③①②③联立.12.答案:解析:由题不妨设,若x ,y 均在,则有,若x ,y 均在,则有,若x ,y 分別在两个区间,则,又因为,总有ln 是闭区间,则恒成立即可,化简得,所以有恒成立.13.答案:C解析:成对数据相关分析中,若相关系数为正数,当x 的值由小变大,y 的值具有由小变大的变化趋垫,故A ,B ,D 选项错误,答案选C.14.答案:A解析:对于A ,,则,满足条件,故A 正确;对于B ,,则,不满足条件,故B 错误;对于C ,,为常值函数,则不存在最小正周期,不满足条件,故C 错误;对于D ,,则,不满足条件,故D 错误;故答案选A.15.答案:C111488C C C 256⋅⋅=7.8︒BT b =AB =222)2cos53.5b c bc =+-︒sin16.5sin a bBOT=︒∠()sin 37sin 90a bBOT =︒︒-∠1(2)0nq q q --+≥2πT=2ππ2T==22sin cos cos 2x x x -=-2972P =256721329++=OA OB a ==AT c =ABT △OBT △OAT △7.8BOT ∠≈︒[2,)+∞x y >[]12,a a []210,x y a a -∈-[]1,n n a a +[]10,n n x y a a +-∈-[]211,n n x y a a a a +-∈--1q >21n n n a a a a +-≤-2q ≥πsin cos 4x x x x x ⎫⎛⎫+=+=+⎪ ⎪⎪⎝⎭⎭1sin cos sin 22x x x =22sin cos 1x x +=2ππ2T ==解析:因为,,不全为0,,所以三个向量无法构成三维空间坐标系的一组基,又因为,所以对于A ,三者可以构成一组基,故不能推出,故A 错误;对于B ,若,均属于,且,共线,所以可以属于,此时三者不共面,故B 错误;对于C ,显然,三者可以构成一组基,与条件不符合,故可以推出,故C 正确;对于D ,三者无法构成一组基,故不能推出,故D 错误.故答案选C.16.答案:D解析:时,,又因为,所以,当且时,恒成立,说明在上,函数单调递增,故A 错误;对于B ,且在上,函数单调递增,故函数在上最大值为,若函数在时,,则M 的集合不会是,所以在1处取到极大值,在2处不一定取最大值,故B 错误;对于C ,在时,若函数严格增,则集合M 的取值不会是,而是全体定义域,故C 错误.对于D ,因为当时,,所以左侧不是单调递减,若左侧单调递增,或者在某一段单调递增,则M 的集合不会是,所以在左侧相邻一段是常函数,又因为在上,函数单调递增,故D 正确.17.答案:(1)(2)解析:(1)因为是正四棱锥,所以底面ABCD 是正方形,且底面ABCD ,因为,因为,所以,所以绕OP 旋转一周形成的几何体是以3为底面半径,4为高的圆锥,所以.1λ(1,0,0)-(1,0,0)(0,0,1)(0,0,1)∈Ω0x x <[1,1]M =-0[1,1]x ∈-()0()f x f x <()(1)f x f <-()(1)f x f <-[1,1]-[1,1]-π4OP ⊥3AO OD OB OC ====4PO ==211π3412π33V Sh ==⨯⨯=圆锥2λ3λ1122330OP OP OP λλλ++=(1,0,0)∈Ω(0,0,1)∈Ω(1,0,0)Ω(1,0,0)-Ω(0,0,1)Ω∉()0()f x f x <()(1)f x f <-[1,1)x ∈-[1,1]-[1,1]-(,1]-∞(1)f ()f x 1x >()(1)f x f >[1,1]-1x <-()f x [1,1]-1x <-1-1-12πP ABCD -AD =5AP =POA △(2)如图建立空间直角坐标系,因为,由题知是正四棱锥,所以该四棱锥各棱长相等,设,则,,则可得,,,,,,,故,,设为平面AEC 的法向量,则,令,则,,所以,则,设直线BD 与面AEC 所成角为,因为,,所以.18.答案:(1)(2)解析:(1)由过可得,则,又,故,AP AD =P ABCD-AB =AO OD OB OC a ====PO a ==(0,0,0)O (0,0,)P a (0,,0)A a -(,0,0)B a (0,,0)C a (,0,0)D a -,0,22aa E ⎛⎫⎪⎝⎭(2,0,0)BD a =- (0,2,0)AC a = ,,22a a AE a ⎛⎫⎪⎝⎭ ()111,,n x y z =11112000022a y n AC a ax a y z n AE ⎧⋅=⎧⋅=⎪⎪⇒⎨⎨⋅+⋅+⋅=⋅=⎪⎪⎩⎩11x =10y =11z =-(1,01)n =-cos ,||||n BD n BD n BD ⋅〈〉===⋅θsin |cos ,|n BD θ=〈〉= π0,2θ⎡⎤∈⎢⎥⎣⎦π4θ=(1,2)1a >()y f x =(4,2)log 42a =242a a =⇒=±0a >2a =因为在上是严格增函数,,所以解集为.(2)因为、、成等差数列,所以,即有解,化简可得,得且,则在上有解,又,故在上,,即或,又,所以.19.答案:(1)12500人(2)(3)学业成绩与锻炼时长不小于1小时且小于2小时有关解析:(1)580人中体育锻炼时长不小于1小时人数占比该地区29000名初中学生中体育锻炼时长不小于1小时的人数约为人;(2)该地区初中学生锻炼平均时长约为:;(3)[1,2)其他总数优秀455095不优秀177308485①提出原假设:成绩优秀与日均体育锻炼时长不小于1小时且小于2小时无关.log (1)log (2)2log ()a a a x x ax +++=2(1)(2)()x x ax ++=22(1)(2)x x a x ++=222(1)(2)231311248x x x x x x ++⎛⎫=++=+- ⎪⎝⎭22(1)(2)3120148x x x ++⎛⎫>+-= ⎪⎝⎭1a >1a >423113740272558058P +++++==10.50.511 1.5 1.522 2.5(5134)(44147)(42137)(340)(127)58022222++++⎡⎤⨯++⨯++⨯++⨯++⨯+⎢⎥⎣⎦2()log f x x =(0,)+∞(22)()02212f x f x x x x -<⇒<-<⇒<<(1,2)(1)f x +()f ax (2)f x +(1)(2)2()f x f x f ax +++=()2log (1)(2)log a a x x ax ++=1020000,1x x x ax a a +>⎧⎪+>⎪⇒>⎨>⎪⎪>≠⎩(0,)+∞(0,)+∞211a a >⇒<-0a >0.9h25290001250058⨯=270.9h 29=≈0H②确定显著性水平,③④否定原假设,即学业成绩优秀与日均体育锻炼时长不小于1小时且小于2小时有关.20.答案:(1)(2)(3)解析:(1)因为,即,所以.因为,所以.因为,所以,所以.(2)因为为等腰三角形,①若为底,则点P 在直线时,与P 在第一象限矛盾,故舍去.②若为底,则,与矛盾,故舍去.③若MP 为底,则,设,,.,即,又因为,得,很,得,.(3)由,设,,则,设直线0.05α=22580(4530817750) 3.976 3.841(4550)(177308)(45177)(50308)χ⨯⨯-⨯=≈>+⨯+⨯+⨯+(2,P 2e =224c a =24c =23b =2MA P △12x =-2MP MA =22MA PA =00x >3=()2 3.8410.05P χ≥≈b =b ∈2ca=21a =222a b c +=b =2MA 2A P 2MP MA >()00,P x y 00y >()220019x y -+=2200183y x -=()()220081193x x -+-⨯=200116320x x --=02x =0y =(2,P 1(1,0)A -()11,P x y ()22,Q x y ()22,R x y --1:2l x my m b ⎛⎫=->⎪⎝⎭联立得,则,,,又由,得即,即化简后可得到再由韦达定理得,化简:所以得,又,得.21.答案:(1)见解析(2)存在点使直线MP 于在点P 处的切线垂直(3)略解析:(1)证明:,当且仅当即时取到最小值,所以对于点存在点使得P 是M 在的最近点.(2),0负0正严格减极小值严格增所以当时,取到最小值,此时点,,,222121x my m b y x b ⎧⎛⎫=-> ⎪⎪⎪⎝⎭⎨⎪-=⎪⎩()222221430b m y b my b --+=21222212224131b m y y b m b y y b m ⎧+=⎪⎪-⎨⎪⋅=⎪-⎩()1221,A R x y =-+- ()2111,A P x y =- 121A R A P ⋅=()()2112111x x y y -+--=()()2112111x x y y --+=-()()2112331my my y y --+=-()()2121213100m y y m y y +-++=()()22222231121010b m m b b m +-+-=2223100b m b +-=22221031b m b b-=>23b <0b >b ∈(0,1)P ()f x 222211()(0)02s x x x x x ⎛⎫=-+-=+≥= ⎪⎝⎭221x x=1x =(0,0)M (1,1)P ()f x ()2222()(1)e 0(1)e xx s x x x =-+-=-+2()2(1)2e xs x x '=-+(,0)-∞(0,)+∞()s x '()s x 0x =()s x (0,1)P ()e xf x '=0e 1k ==在点P 处的切线为,,此时,所以存在点使直线MP 于在点P 处的切线垂直.()f x 1y x =+01110MP k -==--1MP k k ⋅=-(0,1)P ()f x。
上海师范大学附属外国语中学高三(上)9月月考数学试卷一、填空题1.函数的定义域为.2.不等式的解集是.3.设A={x|1≤x≤10,x∈N},B={x|x2+2x﹣8=0,x∈R},全集U=R,则图中阴影表示的集合中的元素为.4.有4个命题:(1)没有男生爱踢足球;(2)所有男生都不爱踢足球;(3)至少有一个男生不爱踢足球;(4)所有女生都爱踢足球;其中是命题“所有男生都爱踢足球”的否定是.5.函数y=f(x)为奇函数,且f(1)+f(2)﹣4=f(﹣1)+f(﹣2)+2,则f(1)+f(2)=.6.在的展开式中,常数项为.7.若a>2,则有最小值为.8.已知集合A={12,14,16,18,20},B={11,13,15,17,19},在A中任取一个元素用a i(i=1,2,3,4,5)表示,在B中任取一个元素用b j(j=1,2,3,4,5)表示,则所取两数满足a i>b I的概率为.9.已知偶函数f(x)在区间[0,+∞)上单调增加,则满足f(2x﹣1)<f()的x取值范围是.10.若不等式ax2+bx+2>0的解是,则不等式bx2+ax﹣1<0的解集是.11.某学校要从5名男生和2名女生中选出2人作为上海世博会志愿者,若用随机变量ξ表示选出的志愿者中女生的人数,则数学期望Eξ(结果用最简分数表示).12.满足线性约束条件的目标函数z=x+y的最大值是.13.建造一个容积为18m3,深为2m的长方形无盖水池,如果池底和池壁每m2的造价分别为200元和150元,那么水池的最低造价为元.14.函数的值域为R,则实数a的取值范围是.15.定义在R上的函数y=f(x)满足条件:f(x)不是常值函数,且f(2﹣x)=f(x)与f(x﹣1)=f(x+1)对任意x∈R成立,给出下列四个命题:①f(x)为周期函数;②f(x)的图象关于直线x=1对称;③f(x)的图象关于y轴对称;④f(x)的图象关于原点成中心对称.其中所有正确命题的序号是.二、选择题:(本大题共4小题,每小题5分,共20分)16.已知非零实数a,b满足a>b,则下列不等式成立的是()A.a2>b2B.C.a2b>ab2D.17.命题甲:x+y=3;命题乙:x=1或y=2,则命题甲是命题乙的()A.充分不必要条件 B.必要不充分条件C.充要条件D.既不充分又不必要条件18.某单位有青年职工160人,中年职工人数是老年职工人数的2倍,老、中、青职工共有430人.为了解职工身体状况,现采用分层抽样方法进行调查,在抽取的样本中有青年职工32人,则该样本中的老年职工人数为()A.16 B.18 C.27 D.3619.下列四个函数中,图象如图所示的只能是()A.y=x+lgx B.y=x﹣lgx C.y=﹣x+lgx D.y=﹣x﹣lgx三、解答题:(本大题共5题,共74分)20.记函数的定义域为A,g(x)=lg[(x﹣a﹣1)(2a﹣x)],(a <1)的定义域为B.若B⊆A,求实数a的取值范围.21.已知:f(x)=x2+ax+b,且{x|f(x)=x}={2},(1)求a、b的值;(2)若{x|f(x)≥2x+t}=R,求t的取值范围.22.函数y=f(x)对于x>0有意义,且满足条件f(2)=1,f(xy)=f(x)+f(y),f(x)是增函数.(1)证明:f(1)=0;(2)若f(x)+f(x﹣3)≥2成立,求x的取值范围.23.(18分)已知函数f(x)=x2+(x≠0,常数a∈R).(1)讨论函数f(x)的奇偶性,并说明理由;(2)若函数f(x)在[2,+∞)上为增函数,求实数a的取值范围.24.已知函数,常数a∈R).(1)当a=2时,解不等式f(x)﹣f(x﹣1)>2x﹣1;(2)讨论函数f(x)的奇偶性,并说明理由.25.(18分)已知函数f(x)=2x﹣.(1)将y=f(x)的图象向右平移两个单位,得到函数y=g(x),求y=g(x)的解析式;(2)函数y=h(x)与函数y=g(x)的图象关于直线y=1对称,求y=h(x)的解析式;(3)设F(x)=f(x)+h(x)F(x)的最小值是m,且m>2+,求实数a 的取值范围.上海师范大学附属外国语中学高三(上)9月月考数学试卷参考答案与试题解析一、填空题:(本大题共15小题,每小题4分,共56分)1.函数的定义域为(﹣1,3] .【分析】由题意可得,解不等式可求函数的定义域解:由题意可得,∴﹣1<x≤3故答案为:(﹣1,3)【点评】本题主要考查了对数函数及含有偶次根式的函数的定义域的求解,属于基础试题2.不等式的解集是.【分析】按照分式不等式的解法,直接求解即可.解:不等式,等价于,解得x∈.故答案为:.【点评】本题考查分式表达式的解法,注意等价转化思想的应用,考查计算能力.3.设A={x|1≤x≤10,x∈N},B={x|x2+2x﹣8=0,x∈R},全集U=R,则图中阴影表示的集合中的元素为﹣4.【分析】根据题意,解x2+2x﹣8=0可得集合B,由并集的定义可得A∪B,分析可得图中阴影部分表示元素为A∪B中只属于B的元素,在A∪B中排除A的元素可得答案.解:根据题意,A={x|1≤x≤10,x∈N}={1,2,3,4,5,6,7,8,9,10},解x2+2x﹣8=0可得x=2或﹣4,则B={2,﹣4},则A∪B={1,2,3,4,5,6,7,8,9,10,﹣4},图中阴影部分表示元素为A∪B中只属于B的元素,则阴影表示的集合中的元素为﹣4,故答案为﹣4.【点评】本题考查Venn表示集合的关系,关键是分析得到阴影部分表示的元素.4.有4个命题:(1)没有男生爱踢足球;(2)所有男生都不爱踢足球;(3)至少有一个男生不爱踢足球;(4)所有女生都爱踢足球;其中是命题“所有男生都爱踢足球”的否定是(3).【分析】已知命题所有男生都爱踢足球是一个全称命题,根据命题否定的规则进行求解;解:已知命题:所有男生都爱踢足球,是一个全称命题,∴其否定命题为:至少有一个男生不爱踢足球;故选(3);故答案为:(3).【点评】此题主要考查命题的否定,要知道命题否定的规则,此题是一道基础题.5.函数y=f(x)为奇函数,且f(1)+f(2)﹣4=f(﹣1)+f(﹣2)+2,则f(1)+f(2)=3.【分析】由题意,函数y=f(x)为奇函数,故可由奇函数的性质得出f(﹣1)+f (﹣2)=﹣[f(1)+f(2)],再将题设中的方程f(1)+f(2)﹣4=f(﹣1)+f (﹣2)+2转化为f(1)+f(2)﹣4=﹣[f(1)+f(2)]+2,解方程即可解出f (1)+f(2)的值.解:由于函数y=f(x)为奇函数,可得f(﹣1)+f(﹣2)=﹣[f(1)+f(2)]又f(1)+f(2)﹣4=f(﹣1)+f(﹣2)+2∴f(1)+f(2)﹣4=﹣[f(1)+f(2)]+2,解得f(1)+f(2)=3故答案为3【点评】本题考查函数奇偶性的性质,解题的关键是利用函数奇函数的性质将题设中的等式f(1)+f(2)﹣4=f(﹣1)+f(﹣2)+2转化为关于f(1)+f(2)的等式f(1)+f(2)﹣4=﹣[f(1)+f(2)]+2,通过解方程的方式解出所求结果,本题考查了方程的思想及转化的思想,是函数性质中的基本题型6.在的展开式中,常数项为60.=C n r a n﹣r b r来确定常数项,从而根据常数相中x的指【分析】先通过通项公式T r+1数幂为0即可确定C6r(2x2)6﹣r中r的值,然后即可求出常数项即可.解:设通项公式为,整理得26﹣r C6r x12﹣3r,因为是常数项,所以12﹣3r=0,所以r=4,故常数项是4C64=4×15=60故答案为:60.【点评】本题主要考查二项式定理中通项公式的应用,一般的通项公式的主要应用是求常数项,求有理项或者求某一项的系数,二项式系数等.所以在今后遇到这样的试题时首先都可以尝试用通项来加以解决,属于中档题.7.若a>2,则有最小值为.【分析】要求的式子即(a﹣2)++2,利用基本不等式求出它的最小值.解:∵a>2,则=(a﹣2)++2≥2+2,当且仅当a﹣2=时,等号成立,故答案为.【点评】本题主要考查基本不等式的应用,注意基本不等式的使用条件,并注意检验等号成立的条件,属于基础题.8.已知集合A={12,14,16,18,20},B={11,13,15,17,19},在A中任取一个元素用a i(i=1,2,3,4,5)表示,在B中任取一个元素用b j(j=1,2,3,4,5)表示,则所取两数满足a i>b I的概率为.【分析】本题是一个等可能事件的概率,试验发生包含的事件数是5×5种结果,满足条件的事件是a i>b I的情况,可以通过列举得到,列举时,a的值从小到大,要注意不要漏掉,最后根据等可能事件的概率公式得到结果.解:由题意知本题是一个等可能事件的概率,试验发生包含的事件数是5×5=25种结果,满足条件的事件是a i>b I的情况,可以通过列举得到当a=12,b=11;a=14,b=11,13a=16.b=11,13,15a=18,b=11,13,15,17a=20,b=11,13,15,17,19一共有1+2+3+4+5=15种结果,∴根据等可能事件的概率公式得到P=,故答案为:【点评】本题可选等可能事件的概率,考查用列举法数出事件数,这是一个基础题,若出现在大型考试中则是一个送分题目.9.已知偶函数f(x)在区间[0,+∞)上单调增加,则满足f(2x﹣1)<f()的x取值范围是(,).【分析】本题采用画图的形式解题比较直观.解:如图所示:∵f(2x﹣1)<f()∴﹣<2x﹣1<,即<x<.故答案为:(,)【点评】本题考查函数的奇偶性的应用.关键是利用了偶函数关于y轴对称的性质.10.若不等式ax2+bx+2>0的解是,则不等式bx2+ax﹣1<0的解集是.【分析】利用一元二次不等式的解法,可知方程ax2+bx+2=0的解是2和﹣,从而利用韦达定理求得a、b的值,再解所求不等式即可解:∵不等式ax2+bx+2>0的解是,∴a<0且方程ax2+bx+2=0的解是2和﹣,∴=2×(﹣),﹣=2+(﹣)∴a=﹣2,b=3∴不等式bx2+ax﹣1<0即不等式3x2﹣2x﹣1<0解得﹣<x<1∴不等式bx2+ax﹣1<0的解集是故答案为【点评】本题主要考查了一元二次不等式的解法,函数方程不等式的思想,属基础题11.某学校要从5名男生和2名女生中选出2人作为上海世博会志愿者,若用随机变量ξ表示选出的志愿者中女生的人数,则数学期望Eξ(结果用最简分数表示).【分析】用随机变量ξ表示选出的志愿者中女生的人数,ξ可取0,1,2,结合变量对应的事件写出分布列当ξ=0时,表示没有选到女生;当ξ=1时,表示选到一个女生;当ξ=2时,表示选到2个女生,求出期望.解:用随机变量ξ表示选出的志愿者中女生的人数,ξ可取0,1,2,当ξ=0时,表示没有选到女生;当ξ=1时,表示选到一个女生;当ξ=2时,表示选到2个女生,∴P(ξ=0)==,P(ξ=1)=,P(ξ=2)=,∴Eξ=0×=.故答案为:【点评】本题考查离散型随机变量的分布列和期望,这是近几年经常出现的一个问题,可以作为解答题出现,考查的内容通常是以分布列和期望为载体,有时要考查其他的知识点.12.满足线性约束条件的目标函数z=x+y的最大值是2.【分析】先根据约束条件画出可行域,再利用几何意义求最值,只需求出直线z=x+y过点B(1,1)时,z最大值即可.解:先根据约束条件画出可行域,当直线z=x+y过点B(1,1)时,z最大值为2.故答案为:2.【点评】本题主要考查了简单的线性规划,以及利用几何意义求最值,属于基础题.13.建造一个容积为18m3,深为2m的长方形无盖水池,如果池底和池壁每m2的造价分别为200元和150元,那么水池的最低造价为5400元.【分析】根据容积,设出底面边长,列出总造价,利用基本不等式,即可求得水池的最低造价.解:设底面一边长x(m),那么另一边长为(m),如图:总造价为:y=(2×2x+2×)×150+9×200=(x+)×600+1800(其中x>0);∵x+≥6,当且仅当x=3时,取等号∴y≥3600+1800=5400即当x=3时,y取得最小值为5400元,此时底面为边长为3m的正方形故答案为:5400【点评】本题考查了长方形模型的应用,由长方形的侧面积建立函数解析式,由解析式利用基本不等式求最值,是中档题.14.函数的值域为R,则实数a的取值范围是a≤9.【分析】先将函数的值域为R问题转化为真数能取遍一切正实数问题,进而只需真数的最小值不大于零即可,利用均值定理,通过讨论求真数的最小值即可解:函数的值域为R即g(x)=x+﹣6能取遍一切正实数,当a≤0时,函数g(x)为定义域上的增函数,显然满足题意,当a>0时,x一定大于零,g(x)=x+﹣6≥2﹣6只需2﹣6≤0即可,解得0<a≤9综上所述,a≤9时,函数的值域为R故答案为a≤9【点评】本题主要考查了对数函数的图象和性质,函数的值域的意义和应用,均值定理在求函数最值中的应用,分类讨论的思想方法,属中档题15.定义在R上的函数y=f(x)满足条件:f(x)不是常值函数,且f(2﹣x)=f(x)与f(x﹣1)=f(x+1)对任意x∈R成立,给出下列四个命题:①f(x)为周期函数;②f(x)的图象关于直线x=1对称;③f(x)的图象关于y轴对称;④f(x)的图象关于原点成中心对称.其中所有正确命题的序号是①②③.【分析】在f(x)=f(2﹣x)中,令x=t+2:f(t+2)=f(﹣t),所以f(x+2)=f (﹣x),在f(x﹣1)=f(x+1)中,令x=t+1:f(t)=f(t+2),所以f(x)=f (x+2),故函数是周期为2的周期函数,f(x)的图象关于直线x=1对称,f(x)是偶函数;由f(x)的图象关于直线x=1对称,且f(x)的图象关于y轴对称,知f(x)的图象不能关于原点成中心对称.解:在f(x)=f(2﹣x)中,令x=t+2:f(t+2)=f(﹣t),所以f(x+2)=f(﹣x)在f(x﹣1)=f(x+1)中,令x=t+1:f(t)=f(t+2),所以f(x)=f(x+2),∴函数是周期为2的周期函数,f(x)的图象关于直线x=1对称,故①和②正确;由f(x+2)=f(﹣x)和f(x)=f(x+2),知:f(﹣x)=f(x),所以f(x)是偶函数,故③正确;∵f(x)的图象关于直线x=1对称,且f(x)的图象关于y轴对称,∴f(x)的图象不能关于原点成中心对称,故④不正确.故答案为:①②③.【点评】本题考查命题的真假判断,是基础题.解题时要认真审题,仔细解答,注意函数的周期性和对称性的灵活运用.二、选择题:(本大题共4小题,每小题5分,共20分)16.已知非零实数a,b满足a>b,则下列不等式成立的是()A.a2>b2B.C.a2b>ab2D.【分析】举特列,令a=1,b=﹣2,经检验A、B、C 都不成立,只有D正确,从而得到结论.解:令a=1,b=﹣2,经检验A、B、C 都不成立,只有D正确,故选:D.【点评】本题考查不等式与不等关系,通过给变量取特殊值,举反例来说明某个命题不正确,是一种简单有效的方法.17.命题甲:x+y=3;命题乙:x=1或y=2,则命题甲是命题乙的()A.充分不必要条件 B.必要不充分条件C.充要条件D.既不充分又不必要条件【分析】命题甲:当x+y=3时,x=1或y=2不一定成立,例如x=y=1.5;命题乙:x=1或y=2,则x+y=3不一定成立,例如x=1,y=1或y=2,x=2,可判断解:命题甲:当x+y=3时,x=1或y=2不一定成立,例如x=y=1.5;命题乙:x=1或y=2,则x+y=3不一定成立,例如x=1,y=1或y=2,x=2,则命题甲是命题乙的既不充分也不必要条件故选:D.【点评】本题主要考查了充分与必要条件的判断,属于基础试题18.某单位有青年职工160人,中年职工人数是老年职工人数的2倍,老、中、青职工共有430人.为了解职工身体状况,现采用分层抽样方法进行调查,在抽取的样本中有青年职工32人,则该样本中的老年职工人数为()A.16 B.18 C.27 D.36【分析】根据条件中职工总数和青年职工人数,以及中年和老年职工的关系列出方程,解出老年职工的人数,根据青年职工在样本中的个数,算出每个个体被抽到的概率,用概率乘以老年职工的个数,得到结果.解:设老年职工有x人,中年职工人数是老年职工人数的2倍,则中年职工有2x,∵x+2x+160=430,∴x=90,即由比例可得该单位老年职工共有90人,∵在抽取的样本中有青年职工32人,∴每个个体被抽到的概率是=,用分层抽样的比例应抽取×90=18人.故选:B.【点评】本题是一个分层抽样问题,容易出错的是不理解分层抽样的含义或与其它混淆.抽样方法是数学中的一个小知识点,但一般不难,故也是一个重要的得分点,不容错过.19.下列四个函数中,图象如图所示的只能是()A.y=x+lgx B.y=x﹣lgx C.y=﹣x+lgx D.y=﹣x﹣lgx【分析】先求出所给函数的导数,再结合导数的符号,判断函数的单调性,然后利用函数的单调性进行判定,可得正确选项.解:在y=x+lgx中,>0,∴y=x+lgx是(0,+∞)上单调递增函数,∴A不成立;在y=x﹣lgx中,,当0<x<lge时,<0,当x>lge 时,>0.∴y=x﹣lgx的增区间是(lge,+∞),减区间是(0,lge),∴B成立;在y=﹣x+lgx中,.当0<x<lge时,>0,当x>lge 时,<0.∴y=﹣x+lgx的减区间是(lge,+∞),增区间是(0,lge),∴C不成立;在y=﹣x﹣lgx中,<0,∴y=﹣x﹣lgx是(0,+∞)上单调递减函数,∴D不成立.故选:B.【点评】本题主要考查对数函数的图象和性质,解题时要注意导数的合理运用,属于中档题.三、解答题:(本大题共5题,共74分)20.记函数的定义域为A,g(x)=lg[(x﹣a﹣1)(2a﹣x)],(a <1)的定义域为B.若B⊆A,求实数a的取值范围.【分析】要使f(x)有意义,则需由≥0按分式不等式的解法求解,要使g(x)有意义,则由真数大于零求解,然后按照B⊆A,求解.解:由≥0得:≥0,解得x<﹣1或x≥1,即A=(﹣∞,﹣1)∪[1,+∞)由(x﹣a﹣1)(2a﹣x)>0得:(x﹣a﹣1)(x﹣2a)<0由a<1得a+1>2a,∴B=(2a,a+1)∵B⊆A,∴2a≥1或a+1≤﹣1即a≥或a≤﹣2,而a<1,∴≤a<1或a≤﹣2故当B⊆A时,实数a的取值范围是(﹣∞,﹣2]∪[)【点评】本题通过求函数定义域来考查分式不等式,一元二次不等式的解法和集合的运算.21.已知:f(x)=x2+ax+b,且{x|f(x)=x}={2},(1)求a、b的值;(2)若{x|f(x)≥2x+t}=R,求t的取值范围.【分析】(1)问题可转化为方程x2+(a﹣1)x+b=0有两个相等的实根2,由此可求a、b的值;(2){x|f(x)≥2x+t}=R,可转化为x2﹣5x+4﹣t≥0恒成立,利用判别式可求t 的取值范围.解:(1)∵f(x)=x2+ax+b,且{x|f(x)=x}={2},∴方程x2+(a﹣1)x+b=0有两个相等的实根2,…∴,且22+(a﹣1)•2+b=0…∴a=﹣3,b=4…(如用其他方法可酌情给分)(2)由题意得:x2﹣3x+4≥2x+t,即x2﹣5x+4﹣t≥0…又因为{x|f(x)≥2x+t}=R,所以x2﹣5x+4﹣t≥0恒成立,即△=25﹣4(4﹣t)≤0…所以…【点评】本题考查方程的根,考查恒成立问题,考查学生等价转化问题的能力,属于中档题.22.函数y=f(x)对于x>0有意义,且满足条件f(2)=1,f(xy)=f(x)+f(y),f(x)是增函数.(1)证明:f(1)=0;(2)若f(x)+f(x﹣3)≥2成立,求x的取值范围.【分析】(1)令x=2,y=1,并代入f(xy)=f(x)+f(y),即可求出f(1)的值;(2)令x=2,y=2,代入求得f(4),结合题意可将f(x)+f(x﹣3)≥2转化为f(x2﹣3x)≥f(4),结合函数的单调性与函数的定义域,可得,解可得x的值.解:(1)在f(xy)=f(x)+f(y)中,令x=2,y=1,则f(2×1)=f(2)+f(1),又由f(2)=1,则f(1)=0;(2)令x=2,y=2,则f(2×2)=f(4)=f(2)+f(2)=2,所以f(x)+f(x﹣3)=f(x2﹣3x)≥f(4),又f(x)为增函数所以,综上,x≥4.【点评】本题考查抽象函数的应用,解(2)的关键是根据题意,分析出f(4)=2,进而用f(4)替换2,其次要注意函数的定义域.23.(18分)已知函数f(x)=x2+(x≠0,常数a∈R).(1)讨论函数f(x)的奇偶性,并说明理由;(2)若函数f(x)在[2,+∞)上为增函数,求实数a的取值范围.【分析】(1)x2为偶函数,欲判函数f(x)=x2+的奇偶性,只需判定的奇偶性,讨论a判定就可.(2)处理函数的单调性问题通常采用定义法好用.解:(1)当a=0时,f(x)=x2对任意x∈(﹣∞,0)∪(0,+∞),有f(﹣x)=(﹣x)2=x2=f(x),∴f(x)为偶函数.当a≠0时,f(x)=x2+(x≠0,常数a∈R),取x=±1,得f(﹣1)+f(1)=2≠0,f(﹣1)﹣f(1)=﹣2a≠0,∴f(﹣1)≠﹣f(1),f(﹣1)≠f(1).∴函数f(x)既不是奇函数也不是偶函数.(2)设2≤x1<x2,f(x1)﹣f(x2)==[x1x2(x1+x2)﹣a],要使函数f(x)在x∈[2,+∞)上为增函数,必须f(x1)﹣f(x2)<0恒成立.∵x1﹣x2<0,x1x2>4,即a<x1x2(x1+x2)恒成立.又∵x1+x2>4,∴x1x2(x1+x2)>16,∴a的取值范围是(﹣∞,16].【点评】单调性的证明步骤:取值(在定义域范围内任取两个变量,并规定出大小)做差(即f(x1)﹣f(x2),并且到“积”时停止)判号(判“积”的符号)结论(回归题目)24.已知函数,常数a∈R).(1)当a=2时,解不等式f(x)﹣f(x﹣1)>2x﹣1;(2)讨论函数f(x)的奇偶性,并说明理由.【分析】(1)当a=2时,化简不等式f(x)﹣f(x﹣1)>2x﹣1,得到同解的一元二次不等式,然后求解即可;(2)对a=0,a≠0讨论,利用函数奇偶性的定义判断即可.解:(1),,x(x﹣1)<0.∴原不等式的解为0<x<1.(2)当a=0时,f(x)=x2,对任意x∈(﹣∞,0)∪(0,+∞),f(﹣x)=(﹣x)2=x2=f(x),∴f(x)为偶函数.当a≠0时,,取x=±1,得f(﹣1)+f(1)=2≠0,f(﹣1)﹣f(1)=﹣2a≠0,∴f(﹣1)≠﹣f(1),f(﹣1)≠f(1),∴函数f(x)既不是奇函数,也不是偶函数.【点评】本题考查不等式的解法,不等式的同解变形,函数的奇偶性,分类讨论的思想,是中档题.25.(18分)已知函数f(x)=2x﹣.(1)将y=f(x)的图象向右平移两个单位,得到函数y=g(x),求y=g(x)的解析式;(2)函数y=h(x)与函数y=g(x)的图象关于直线y=1对称,求y=h(x)的解析式;(3)设F(x)=f(x)+h(x)F(x)的最小值是m,且m>2+,求实数a 的取值范围.【分析】(1)根据坐标平移的规律左加右减得到g(x)的解析式;(2)设出h(x)上任一点的坐标求出关于y=1对称点的坐标代入g(x)求出h (x)的解析式即可;(3)根据已知先求出F(x)的解析式,分四种情况讨论a的取值,因为F(x)的最小值是m,所以只有当<a<4时,根据不等式的基本性质求出F(x)的最小值等于m,又根据m>2+,列出不等式组求出解集即可.解:(1)g(x)=f(x﹣2)=2x﹣2﹣(2)设y=h(x)上的任意点P(x,y),则P关于y=1对称点为Q(x,2﹣y),点Q在y=g(x)上,所以h(x)=2﹣2x﹣2+(3)F(x)=(﹣)2x+(4a﹣1)+2①当a<0时,﹣<0,4a﹣1<0∴F(x)<2,与题设矛盾②当0<a≤时,﹣>0,4a﹣1≤0,F(x)在R上是增函数,F(x)无最小值;③当a≥4时,﹣≤0,4a﹣1>0,F(x)在R上是减函数,F(x)无最小值④当<a<4时,﹣>0,4a﹣1>0,F(x)≥2+2=m由m>2+,得,∴1<a<.【点评】考查学生掌握函数平移、对称的基本性质,会利用基本不等式求最值,掌握分类讨论的数学思想.。
上海师范大学附属外国语中学高考数学热身考试卷2023.05一. 填空题1. 已知集合,则_________. {2,3,5},{1,5}A B ==A B ⋃=【答案】 {1,2,3,5}【解析】【分析】利用集合的并集运算求解. 【详解】因为集合, {2,3,5},{1,5}A B ==所以. {1,2,3,5}A B ⋃=故答案为:.{1,2,3,5}2. 设是虚数单位,则___________________. i 678i i i ++=【答案】1 【解析】【分析】根据虚数单位的性质可求代数式的值. 【详解】, 67823i i i i i 11i 1i 1++=++=--+==故答案为:1. 3. 函数的定义域为__________. 2lg()3xy x -=+【答案】 (3,2)-【解析】【分析】利用对数函数的定义列出不等式,求解不等式作答. 【详解】函数中,,即,解得,2lg()3x y x -=+203xx ->+(2)(3)0x x -+<32x -<<所以函数的定义域为. 2lg(3xy x -=+(3,2)-故答案为: (3,2)-4. 已知,则的最大值为__________.2x y +=()y x y -【答案】## 120.5【解析】【分析】根据给定条件,利用均值不等式求解作答.【详解】因为,则,当且仅当2x y +=22111()(22)2()2()222y x y y y y y y -=-=-+=--+≤12y =时取等号,所以当时,取得最大值. 31,22x y ==()y x y -12故答案为:125. 设服从二项分布,则__________. X 1(10,)3B ()E X =【答案】##103133【解析】【分析】利用二项分布的期望公式计算作答.【详解】因为服从二项分布,所以. X 1(10,)3B 110()1033E X =⨯=故答案为:1036. 若二项式的展开式中各项系数和为256,则展开式中的常数项为_____. 3()nx x+【答案】54 【解析】【分析】先利用赋值法求出n 的值,然后利用展开式通项求常数项. 【详解】解:令x =1,有4n =256,解得n =4,所以展开式通项为:,42143k k kk T C x -+=令4﹣2k =0得,k =2.故常数项为:.224354C =故答案为:54.【点睛】本题考查了赋值法求二项式展开式的系数和、二项式展开式的通项公式,属于基础题.7. 若等比数列的前n 项和为,,则首项的取值范围是________. {}n a n S lim 4n n S →+∞=1a 【答案】 (0,4)(4,8)⋃【解析】【分析】由题意得等比数列公比的取值范围,根据,结合等比数列前n 项和为,得q lim 0nn q →+∞=n S ,从而得,求解出范围. 1lim 41n n a S q→+∞==-()14144a q q =-=-【详解】设等比数列的公比为,则,q 01q <<因为,当时,, 1(1)1-=-n n a q S q01q <<lim 0n n q →+∞=所以,即, 1lim 41n n a S q→+∞==-()14144a q q =-=-当时,, 01q <<()()440,4q -∈当时,, 10q -<<()()444,8q -∈所以的取值范围是. 1a (0,4)(4,8)⋃故答案为:(0,4)(4,8)⋃【点睛】求解等比数列极限相关问题,注意若等比数列有极限,则该数列为无穷递缩等比数列. 8. 在棱长为2的正方体中,点在正方体的12条棱上(包括顶点)运动,则1111ABCD A B C D -P 的取值范围是______.AC BP ⋅【答案】 []4,4-【解析】【分析】建立空间直角坐标系,利用向量法求得的表达式,进而根据线性规划求得的AC BP ⋅ AC BP ⋅取值范围.【详解】解:建立如图所示空间直角坐标系,,,()()()2,0,0,0,2,0,2,2,0A C B ()2,2,0AC =-设(且只在正方体的条棱上运动),则, (),,P x y z P 12()2,2,BP x y z =--, ()42242AC BP x y y x ⋅=-+-=-因为,设,0202x y ≤≤⎧⎨≤≤⎩z y x =-根据线性规划,作出可行域如图,当时,取得最小值,即取最小值; 2,0x y ==y x -2-AC BP ⋅4-当时,取得最大值,即取最大值. 0,2x y ==y x -2AC BP ⋅4故答案为:[]4,4-9. 已知函数的对称中心为,若函数的图象与函数的图象共有6个()y f x =()0,11sin y x =+()y f x =交点,分别为,,…,,则__________.()11,x y ()22,x y ()66,x y ()61iii x y =+=∑【答案】6 【解析】【分析】根据给定条件,结合函数图象的对称性,确定6个交点的关系即可求解作答. 1sin y x =+【详解】显然函数的图象关于点成中心对称,1sin y x =+()0,1依题意,函数的图象与函数的图象的交点关于点成中心对称, 1sin y x =+()y f x =()0,1于是,所以.6611,60ii i i xy ====∑∑()616i i i x y =+=∑故答案为:6 10. 已知函数的图像在处的切线与在处的切线相互垂直,那()1πsin 223f x x ⎛⎫=+ ⎪⎝⎭()()11,x f x ()()22x f x 么的最小值是___________. 12x x -【答案】 π2【解析】【分析】求出,根据导数的几何意义得到,根据余弦函数的最值可得()f x '12ππcos(2cos(2)133x x +⋅+=-且,或且,分两种情况求出,然1πcos(2)13x +=2πcos(2)13x +=-1πcos(2)13x +=-2πcos(213x +=12x x -后求出其最小值即可.【详解】因为,1π()sin 223f x x ⎛⎫=+ ⎪⎝⎭所以,1ππ()cos(22cos(2)233f x x x '=+⨯=+依题意可得,12()()1f x f x ''⋅=-所以,12ππcos(2cos(2)133x x +⋅+=-所以且,1πcos(2)13x +=2πcos(213x +=-或且,1πcos(2)13x +=-2πcos(2)13x +=当且时,1πcos(213x +=2πcos(2)13x +=-,,,, 11π22π3x k +=1k Z ∈22π22π+π3x k +=2k Z ∈所以,,, 1212π()π2x x k k -=--1k Z ∈2k Z ∈所以,,, 1212π|||()π|2x x k k -=--1k Z ∈2k Z ∈所以当或时,取得最小值. 120k k -=121k k -=12||x x -π2当且时,1πcos(2)13x +=-2πcos(2)13x +=,,,, 11π22π+π3x k +=1k Z ∈22π22π3x k +=2k Z ∈所以,,, 1212π()π2x x k k -=-+1k Z ∈2k Z ∈所以,,, 1212π|||()π|2x x k k -=-+1k Z ∈2k Z ∈所以当或时,取得最小值. 120k k -=121k k -=-12||x x -π2综上所述:的最小值是. 12x x -π2故答案为:. π211. 设定义在R 上的函数满足,且当时,.若对任()f x ()()21f x f x =+[)1,0x ∈-()()1f x x x =-+意,不等式恒成立,则实数的最小值是___________. [),x λ∈+∞()34f x ≤λ【答案】## 94- 2.25-【解析】【分析】由题意,根据给定的函数解析式,结合等式关系,拓展其他区间的函数解析式,利用二次函数的性质,可得答案.【详解】,且当时,恒成()()21f x f x =+ [)1,0x ∈-()()2111324144f x x x x ⎛⎫=-++≤≤ ⎪⎝⎭=-+立, ,易知当时,则恒成立, ∴()()()1112f x f x f x =-≤-0x >()1324f x f ⎛⎫<-≤ ⎪⎝⎭当,即时,[)2,1x ∈--[)11,0x +∈-恒成立, ()()()()2311321*********f x f x x x x ⎛⎫=+=-+++=-++≤≤⎡⎤ ⎪⎣⎦⎝⎭当,即时,[)3,2x ∈--[)21,0x +∈-,不满足恒成()()()()()25214242214112f x f x f x x x x ⎛⎫=+=+=-+++=-++≤⎡⎤ ⎪⎣⎦⎝⎭()34f x ≤立,解不等式,,在上的解集为,2534124x ⎛⎫-++≤ ⎪⎝⎭251216x ⎛⎫+≥ ⎪⎝⎭[)3,2x ∈--1193,,244⎡⎤⎡⎫----⎪⎢⎥⎢⎣⎦⎣⎭ 综上所述,当时,恒成立,实数的最小值为.9,4x ⎡⎫∈-+∞⎪⎢⎣⎭()34f x ≤∴λ94-故答案为:. 94-12. 如图,椭圆的焦点在x 轴上,长轴长为,左、右焦点分别为,,若椭圆上1F 2F 第一象限的一个点A 满足:直线与直线B ,直线x 轴的交点为C ,且射1FA x =x =线为∠ABC 的角平分线,则的面积为________.2BF 12F AF【解析】【分析】利用三角形中的角平分线的性质、联立直线与椭圆方程以及三角形的面积公式进行求解.【详解】设椭圆的方程为,()222210x y a b a b+=>>则,,解得,a =c a =c =b =故椭圆的方程为; 22163x y +=在和中由正弦定理得1F BC △2F BC △,1121212sin sin BF F F F F B F BF =∠∠,又射线为∠ABC 的角平分线,222sin sin BC F CCF B CBF =∠∠2BF 可得,则在直角中,11222F B F F BC F C ===1F BC △111sin 2BC BFC F B ∠==故,所以直线:, 1π6BF C ∠=1F B l y x =点为直线与椭圆的交点,联立方程,A 1F B l 221 63x y y x ⎧+=⎪⎪⎨⎪=+⎪⎩解得(舍负),故. y=12122F AF S c y =⋅⋅==.二. 选择题13. “”是“”的( )条件. 1x ≥1x >A. 充分非必要 B. 必要非充分C. 充要D. 既非充分又非必要【答案】B 【解析】【分析】根据两不等式所表示的集合之间关系结合必要非充分条件的判定即可得到答案. 【详解】根据 ,{}|1x x >{}|1x x ≥则“”无法推出“”, “”可以推出“”, 1x ≥1x >1x >1x ≥故“”是“”的必要非充分条件, 1x ≥1x >故选:B.14.为庆祝中国共产党成立100周年,安康市某学校开展“唱红色歌曲,诵红色经典”歌咏比赛活动,甲、乙两位选手经历了7场初赛后进入决赛,他们的7场初赛成绩如茎叶图所示.下列结论正确的是( )A. 甲成绩的极差比乙成绩的极差大B. 甲成绩的众数比乙成绩的中位数大C. 甲成绩的方差比乙成绩的方差大D. 甲成绩的平均数比乙成绩的平均数小 【答案】D 【解析】【分析】对于A ,分别求出极差判断,对于B ,求出甲的众数和乙成绩的中位数判断,对于C ,根据数据的离散程度判断,对于D ,分别求出平均数判断即可.【详解】甲成绩的极差为,乙成绩的极差为,故A 错误; 927814-=947222-=甲成绩的众数为85分,乙成绩的中位数为87分,故B 错误;由茎叶图的数据的分布规律,可判定甲成绩的数据更集中,乙成绩的数据更分散,所以甲成绩的方差比乙成绩的方差小,故C 错误; 甲成绩的平均数为分,乙成绩的平均数为7884858586889285.47++++++≈分,故D 正确.7284868789939486.47++++++≈故选:D15. 设a 、b 、c 、d ,若函数的部分图像如图所示,则下列结论正确的是( )R ∈32y ax bx cx d =+++A. ,B. , 0b >0c >0b >0c <C. ,D. ,0b <0c >0b <0c <【答案】D 【解析】【分析】由函数的单调性和极值点,判断导函数的图象特征,即可判断选项.【详解】,由图象可知,函数有两个极值点,并且函数是先增后减再增,所以极大值232y ax bx c '=++点大于极小值点,所以导函数的图象如图所示,由导函数的图象可知,,,并且极值点的和, 0a >()00f c '=<1203bx x a+=->得. 0b <故选:D16. 已知数列的前项和满足,有结论: {}n a n n S 1n n S S n ++=① 若,则; 11a =-20231010S =② 数列是常数列.1{}n n a a ++关于以上两个结论,正确的判断是( ) A. ①成立,②成立 B. ①成立,②不成立 C. ①不成立,②成立 D. ①不成立,②不成立【答案】B 【解析】【分析】利用已知数列与的关系,转化为,,再利用分组求和判断①,以及讨n a n S 11n n a a ++=2n ≥论后,判断②.12a a +【详解】由,得时,, 1n n S S n ++=2n ≥11n n S S n -+=-两式相减得:,11n n a a ++= ()()()20231234520222023...S a a a a a a a =+++++++,故①成立, 202311110102-=-+⨯=由以上可知,当时, ,2n ≥11n n a a ++=当时,,即,即, 1n =211S S +=1211a a a ++=1211a a a +=-只有当时,,此时数列是常数列,10a =121a a +={}1n n a a ++当时,,此时数列不是常数列,故②不成立, 10a ≠121a a +≠{}1n n a a ++故选:B三. 解答题17. 已知在四棱锥中,底面为正方形,侧棱平面,点为中点,P ABCD -ABCD PA ⊥ABCD M PD .1PA AD ==(1)求证:直线平面; //PB MAC (2)求点到平面的距离. P MAC 【答案】(1)证明见解析(2【解析】【分析】(1)连接交于点,连接,进而根据即可证明; BD AC N MN PB MN ∥(2)根据题意,以为坐标原点,建立如图所示的空间直角坐标系,利用坐标法求解即可. A 【小问1详解】证明:连接交于点,连接, BD AC N MN 因为底面为正方形, ABCD 所以为的中点,N BD 所以,在中,为的中点,为的中点, PBD △M PD N BD 所以;PB MN ∥又因为面,面, MN ⊂MAC PB ⊄MAC所以平面.//PB MAC 【小问2详解】解:因为平面,为正方形,平面, PA ⊥ABCD ABCD ,AB AD ⊂ABCD 所以,两两垂直,以为坐标原点,建立如图所示的空间直角坐标系, ,,AB AD AP A 所以,,,,, ()0,0,0A ()1,1,0C ()0,0,1P 110,,22M ⎛⎫ ⎪⎝⎭所以,,110,,22AM ⎛⎫= ⎪⎝⎭()1,1,0AC =设平面的法向量为,MAC (),,n x y z =所以,,即, 00n AM n AC ⎧⋅=⎪⎨⋅=⎪⎩ 11022y z x y ⎧+=⎪⎨⎪+=⎩令,则,,即,1x =1y =-1z =()1,1,1n =-,()0,0,1PA =-设点P 到平面MAC 的距离为d ,所以,PA n d n⋅=== 所以,点到平面. P MAC18.已知向量,其中,若函数的最小正周())2sin ,cos2,,1m x x n x ωωω==0ω>()f x m n =⋅期为.π(1)求的单调增区间;()f x (2)在中,若,求的值.ABC ()2,f B BC B A =-==BA BC ⋅【答案】(1) πππ,π,36k k k ⎡⎤-+∈⎢⎥⎣⎦Z (2) 32-【解析】【分析】(1)根据题意,由辅助角公式将函数化简,再由函数周期即可求得,再根据正弦型函数()f x ω的单调区间即可得到结果;(2)根据题意,由(1)中函数的解析式可得,再由正弦定理可得,再结合平面向()f x 2π3B =a c =量数量积的定义代入计算,即可得到结果. 【小问1详解】()πcos22sin 26f x m n x x x ωωω⎛⎫=⋅=+=+ ⎪⎝⎭ 的最小正周期为. ()f x 2ππ,π,12T ωω∴==∴=故,()π2sin 26f x x ⎛⎫=+ ⎪⎝⎭令,解得, πππ2π22π262k x k -≤+≤+,3πππ6πk x k k -≤≤+∈Z 故函数的单调增区间为 ()f x πππ,π,36k k k ⎡⎤-+∈⎢⎥⎣⎦Z 【小问2详解】设中角所对的边分别是.ABC ,,A B C ,,a b c ,即,解得.()π2,2sin 226f B B ⎛⎫=-∴+=- ⎪⎝⎭ πsin 216B ⎛⎫+=- ⎪⎝⎭2π3B =,1sin ,,3,sin 2BC a B A b b A =∴==∴=∴==πππ0,,,366A A C a c <<∴==∴== .13cos 322BA BC c a B ⎛⎫∴⋅=⋅⋅=⨯-=- ⎪⎝⎭19. 某超市每天以4元/千克购进某种有机蔬菜,然后以7元/千克出售.若每天下午6点以前所购进的有机蔬菜没有全部销售完,则对未售出的有机蔬菜降价处理,以2元/千克出售,并且降价后能够把剩余所有的有机蔬菜全部处理完毕,且当天不再进货.该超市整理了过去两个月(按60天计算)每天下午6点前这种有机蔬菜的日销售量(单位:千克),得到如下统计数据.(注:视频率为概率,). *,N s t ∈每天下午6点前的销售量/千克 250 300 350 400 450天数 10 10st 5(1)求1天下午6点前的销售量不少于350千克的概率;(2)在接下来的2天中,设为下午6点前的销售量不少于350千克的天数,求的分布列和数学期X X 望;(3)若该超市以当天的利润期望值为决策依据,当购进350千克的期望值比购进400千克的期望值大时,求的最小值. s 【答案】(1)23(2)分布答案见解析, ()43E X =(3) 17【解析】【分析】(1)由表格中的数据,结合对立事件的概率公式,即可求解;(2)根据题意,得到随机变量的可能值为,结合独立重复试验的概率计算公式,求得相应的概X 0,1,2率,列出分布列,利用期望公式,即可求解;(3)分别求得购进350千克和400千克时利润的期望值,列出不等式,求得29752592536s>-16s >,再由且,得到,即可求解. *,N s t ∈35s t +=*1734,N s s ≤≤∈【小问1详解】解:由表格中的数据,可得1天下午6点前的销售量不小于350千克的概率为. 2021603P =-=【小问2详解】解:依题意,1天下午6点前的销售量不少于350千克的概率, 23P =随机变量的可能值为,X 0,1,2可得, ()()()22122211214240,1C ,2C 3933939P X P X P X ⎛⎫⎛⎫=====⨯⨯==== ⎪ ⎪⎝⎭⎝⎭所以随机变量的分布为:XX 0 1 2P 19 4949所以的数学期望. X ()14440129993E X =⨯+⨯+⨯=【小问3详解】解:购进350千克时利润的期望值:, ()()2113503300350225031002925366⨯⨯+⨯-⨯⨯+⨯-⨯⨯=购进400千克时利润的期望值:()()()4011400335035023003100225031502606066s s -⨯⨯+⨯-⨯⨯+⨯-⨯⨯+⨯-⨯⨯29752536s=-, 由,解得, 29752592536s >-16s >因为且,因此, *,N s t ∈35s t +=*1734,N s s ≤≤∈所以的最小值是.s 1720. 已知双曲线的焦距为4,直线l :与交于两个()2222:10,0x y a b a bΓ-=>>()40x my m --=∈R Γ不同的点D 、E ,且时直线l 与的两条渐近线所围成的三角形恰为等边三角形. 0m =Γ(1)求双曲线的方程;Γ(2)若坐标原点O 在以线段DE 为直径的圆的内部,求实数m 的取值范围;(3)设A 、B 分别是的左、右两顶点,线段BD 的垂直平分线交直线BD 于点P ,交直线AD 于点Q ,求Γ证:线段PQ 在x 轴上的射影长为定值.【答案】(1)2213x y -=(2)(),-∞+∞ (3)证明见解析 【解析】【分析】(1)列方程求得a 、b ,即可得到双曲线的方程;(2)把坐标原点O 在以线段DE 为直径的圆的内部,转化为,解不等式可得实数m 的取值0OD OE ⋅<范围;(3)求得P 、Q 两点的坐标,得到,即可证明线段PQ 在x 轴上的射影长为定值. P Q x x -【小问1详解】当直线l :与C 的两条渐近线围成的三角形恰为等边三角形, 0m =4x =又双曲线的渐近线为,则b y x a =±2221tan 303b a =︒=又焦距为4,则,解得,224a b +=a =1b =则所求双曲线的方程为.Γ2213x y -=【小问2详解】设,,则,()11,D x y ()22,E x y ()11,OD x y = ()22,OE x y =由,得, 221340x y x my ⎧-=⎪⎨⎪--=⎩()2238130m y my -++=则,230m -≠()()2226452312130m m m ∆=--=+>,,, 12283m y y m +=-122133y y m =-又坐标原点O 在以线段DE 为直径的圆内,则,即,即,0OD OE ⋅<12120x x y y +<()()1212440my my y y +++<即,则, ()()2121241160m y y m y y ++++<222213133216033m m m m+-+<--即,则或, 2233503m m --<-m >m <即实数m 的取值范围.(),-∞+∞ 【小问3详解】,()A)B设,则,()00,D xy 02y P ⎫⎪⎪⎭直线BD, 又,BD PQ ⊥则直线PQ 的方程为,即, 02y y x -=-2000322x y y x y -=++直线ADAD 的方程为,y x =由,得2000322x yyx y y x⎧-=++⎪⎪⎨⎪=⎪⎩x =即点Q ,则P x -故线段PQ 在x 轴上的射影长为定值.21. 已知函数.e ()ln xf x ax a x x=--(1)若,求函数的极值点;0a =()y f x =(2)若不等式恒成立,求实数a 的取值范围;()0f x <(3)若函数有三个不同的极值点、、,且,求实数a 的取()y f x =1x 2x 3x 2123()()()3e e f x f x f x ++≤-值范围. 【答案】(1)1 (2)e a <(3) 2e e a <≤【解析】【分析】(1)首先求函数的导数,并判断函数的单调性,即可求函数的极值点. (2)由分离常数,利用构造函数法,结合导数来求得的取值范围.()0f x <a a (3)首先根据有个不同的极值点求得的一个范围,然后化简不等式()f x 3a ,利用构造函数法,结合导数求得的取值范围.()()()21233e e f x f x f x ++≤-a 【小问1详解】当时,,, 0a =()e x f x x =-()()21e x x f x x-'=当时,,时,,01x <<()0f x ¢>1x >()0f x '<所以函数在区间单调递增,在区间单调递减, ()0,1()1,+∞所以函数在处取得极大值,函数的极值点为1; 1x =【小问2详解】函数的定义域为,不等式恒成立,()f x ()0,+∞()0f x <即在上恒成立,()e ln xa x x x-<()0,+∞记,则, ()ln u x x x =-()111x u x x x-'=-=得到在区间上单调递减, ()u x ()0,1()()0,u x u x '<在上单调递增,()1,+∞()()0,u x u x '>则,即在区间上恒成立,()()min 11u x u ==()1u x ≥()0,+∞分离变量知:在上恒成立,则,()2ln e xa g x x x x <=-()0,+∞()min a g x <()()()()()()222222ln 2ln 1ln 2ln 1ln e ln e e x x x x x x x x x x x x x g x xx x xx x ------++'==--, ()()()()()()2222211ln 11ln ln e e ln x x x x x x x x x x x x x x ⎡⎤------⎣⎦==--由前面可知,当时,恒成立,即, ()()0,11,x ∈+∞ ()ln 1u x x x =->1ln 0x x -->所以在区间上单调递减, ()g x ()0,1()()0,g x g x '<在区间上单调递增, ()1,+∞()()0,g x g x '>所以,所以. ()()min 1e g x g ==e a <【小问3详解】,()()()()()()2222e 1e 11e 1xx xax x x ax x x a f x a x x x x x ---⋅--'=--=-=设曲线图象上任意一点,e x y =()(),e ,e e t x x t '=所以曲线在点处的切线方程为,e x y =(),et t ()ee tt y x t -=-将代入得,故切点为,()0,0()0e e 0,1ttt t -=-=()1,e过的切线方程为, ()0,0()e e 1,e y x y x -=-=所以直线和曲线相切,并且切点坐标为,e y x =e x y =()1,e 所以当且仅当时,方程有两个不相等的实根,,并且,e a >e 0x ax -=1x 3x 1301x x <<<从而当时,有三个极值点,,,并且,,,e a >()f x 1x 2x 3x 12301x x x <<=<11e xax =33e x ax =取对数知:,,即,,11ln ln a x x +=33ln ln a x x +=11ln ln a x x =-33ln ln a x x =-则 ()()()()()31123113313e e ln e ln x x f x f x f x a x x a a x x x x ++=--+-+--.2ln e ln 2ln e 3e e a a a a a a a a a a =-+-+-=--≤-构造,()()2ln e e g a a a a a =-->在时恒成立,()()2ln 112ln 10g a a a '=+-=+>e a >则在区间上单调递增,且,()g a ()e,a ∈+∞()22222eee 2ln 3e e e e g =--=-从而的解为, ()()()()21232ln e 3e e f x f x f x a a a g a ++=--=≤-2e a ≤综上所述.2e e a <≤【点睛】求解不等式恒成立问题,可考虑利用分离常数法,然后构造函数,利用导数研究所构造函数的单调性、极值、最值等,从而求得参数的取值范围.当一次求导无法求得单调区间时,可考虑二次求导等方法来进行求解.。
《微积分下》作业1答案学院 专业 年级班级 姓名 学号一、单选题(20×3)1.=-⎰dx x 21 ( B )A. ⎰⎰-+-121)1()1(dx x dx x B.⎰⎰-+-1021)1()1(dx x dx xC.⎰⎰-+-121)1()1(dx x dx x D.⎰⎰-+-121)1()1(dx x dx x2.下列各式中积分值为零的是( B )A.dx x ⎰-112B.dx x x ⎰-11 C.dx x ⎰-1121D. dx x ⎰-+112413.⎰=π(sin xdx x A )A.πB.π-C.π2D.π2-⎰=πsin xdx x ⎰-π0cos x xd ⎰+-=ππ0cos 0cos xdx x x =πππ=+0sin x4.下列不等式中正确的是( B )A.dx x dx x ⎰⎰≤1132 B.dx x dx x ⎰⎰≥1132C.dx x dx x ⎰⎰≤212123 D.dx x xdx ⎰⎰≥21212在]1,0[上32x x ≥∴dx x dx x ⎰⎰≥11325.若='=⎰-)(()(x a dt te x axt ϕϕ为常数),则( A )A.xxe -- B. xxe- C. a xae e--+- D. a x ae e ---dt te dt te x xat axt⎰⎰---==)(ϕ x xe x --=')(ϕ6.=⎰dx x x e)sin(ln 11( C )A.1sin 1-B.11sin -C.1cos 1-D.11cos -=⎰dx x xe)sin(ln 11)(ln )sin(ln 1⎰ex d x =11cos 1)cos(ln +-=-ex7.下列广义积分dx xe x ⎰+∞-0的值是( A )A. 1B. 2C.3D. 4解:dx xe x⎰+∞-0=0limbx b xde -→+∞-⎰=0lim []bxb x b xe e dx --→+∞-+⎰=0lim []1x b b e -→+∞-=8.函数⎰-=xdt t x f 02)1()(.( B )A.有极小值有极大值,在在11-==x x B. 有极大值有极小值,在在11-==x x . C. 有极大值有极大值,在在11-==x x D.有极小值有极小值,在在11-==x x1)(2-='x x f 令0)(='x f 得1±=x x x f 2)(='' 02)1(>=''f 有极小值在1=x02)1(<-=-''f 有极大值在1-=x9.=-⎰dx xx 124( C )A.)23(41--B. )23(41+- C.32- D.23- )4(4121421212x d x dx x x ---=-⎰⎰=230142212+-=-⋅-x10.若=≠=-⎰k k dx x x k则,0,0)32(02( A )A.1B.-1C.23-D.230)1(0)32(2323202=-=-=-=-⎰k k k k k xx dx x x k1,,0==k k当1=k =-⎰dx x x )32(12001)()32(3212=-=-⎰x x dx x x 11.⎰='+=22)(,)1ln()(x x f dt t x f 则( D )A.)1ln(4+xB. )1ln(2+x C. )1ln(22+x x D. )1ln(24+x x)1ln(22]1)ln[()(422+=⋅+='x x x x x f12.=⎰dx xe x 2102( C )A.121+-e B.2141+-e C.41 D.41-410414210212121221022*********2=-=-==⎰⎰⎰x x x xxe e dx e xe e xd dx xe13. 设)(x f 在],[b a 上可导,且.0)(>'x f 若⎰=xadt t f x ,)()(φ则下列说法正确的是( C )A.)(x φ在],[b a 上单调减少B. )(x φ在],[b a 上单调增加C. )(x φ在],[b a 上为凹函数D. )(x φ在],[b a 上为凸函数)()(x f x ='φ 0)()(>'=''x f x φ14.下列广义积分收敛的是( C ) A .dx x ⎰11B.dx x ⎰1021C.dx x⎰101 D.dx x x ⎰10lndx x⎰11=2012lim 0=++→εεx15.设='-=⎰)4(,1)(sin 02πf dt t x f x则( A )A.21B.21- C.2 D.2-x x x f cos )(sin 1)(2-='16.=-⎰-→3)1(lim2x dt e xt x ( B )A.0B.31 C.31- D.∞ =-⎰-→3)1(lim2x dt e xt x 2031lim 2x e x x -→-x x e x x 6)2(lim 20-⋅-=-→31=17.⎰=+12)2ln(dx x x dx d ( C ) A.)2ln(2x + B.2ln 3ln - C.0 D.222xx+ 常数的导数为零 18.当0→x 时,⎰-xdt t 0)1(cos 与n x 是同阶无穷小量,则n 的值为( C )A.1B.2C.3D.4nxx x dt t ⎰-→0)1(cos lim101cos lim-→-=n x nx x c x n n x n x =--=-→20)1(sin lim (c 为常数) 12=-∴n3=⇒n19.若[]x 表示不超过x 的最大整数,则积分[]dx x ⎰4的值为( D )A.0 B2 C.4 D.6当x ∈)4,0(,⎪⎪⎩⎪⎪⎨⎧<≤<≤<≤<≤=433322211100][x x x x x[]dx x ⎰40⎰⎰⎰⎰=+++=121324363210dx dx dx dx20.定积分dx x ⎰+190381 作适当的变化后应等于( A )A.⎰323xdx B⎰33xdx C.⎰23xdx D.⎰193xdx令t x =+38 二、计算题(10×4) 1. 计算dxx ⎰-121解:令sin x t =dx x ⎰-1021=sin t=220cos tdt π⎰dt t ⎰+=20212cos π40202sin 4122πππ=+=t t 2. 计算dx x⎰+411t =dx x⎰+411=2021t dt t +⎰=2012(1)1dt t -+⎰=202[ln 1]42ln3t t -+=- 3.计算dx x ⎰-3124解:dx x ⎰-3124=232212(4)(4)x dx x dx -+-⎰⎰=3323121(4)(4)433x x x x -+-=4. 计算dx x ⎰π20sin解:⎰⎰⎰-+=ππππ0220)sin (sin sin dx x xdx dx x =4][cos ]cos [20=+-πππx x5.计算dx e x x 223-⎰解:令2u x =dx e x x 223-⎰=4012u ue du -⎰=44001[2u u ue e du ---+⎰=4401[4]2u e e ---- =441[41]2e e ----+=41522e -- 6.计算dx x x ⎰π2cos解:dx x x ⎰π02cos =02sin 2sin 022x x x dx ππ-⎰=24cos 2402x πππ+=-7.计算广义积分dx x⎰-111解:dx x⎰-111=10lim (1)x εε+-→-⎰=100lim[2εε+-→-= 8.计算dx e x ⎰-2ln 01t = 2ln(1)x t =+dx e x ⎰-2ln 01=120ln(1)td t +⎰=12021t t dt t ⋅+⎰=12012(1)1dt t-+⎰ =102[]2(1)242tarctgt ππ-=-=- 9.计算极限dt tt xxx )1sin (1lim 030-⎰→ 解:⎰-→x x dt t t x 030)1sin (1lim =2031sin lim xx xx -→=303sin lim x x x x -→=2091cos lim x x x -→=x x x 18sin lim 0-→ =181-10.计算广义积分⎰--31)3)(1(x x dx解:⎰--31)3)(1(x x dx =⎰-+→→---++ηεηε31200)2(1)2(lim x x d =ηεηε-+→→-++3100)]2[arcsin(lim x=)]1arcsin()1[arcsin(lim 00---++→→εηηε=22ππ+=π。