浙大控制系面试题(带答案).
- 格式:doc
- 大小:99.21 KB
- 文档页数:16
浙大控制考研真题控制科学与工程是现代科学技术的重要分支,它以系统分析、建模与设计为基础,通过研究和设计控制系统来实现对各类系统的精确、快速和稳定的控制。
浙江大学作为中国著名的高等学府,对于控制科学与工程领域的研究和教育具有深厚的积淀和优势。
因此,浙大的控制考研真题无疑是考生备战考研的重要参考资源。
1. 控制科学与工程背景控制科学与工程是一门融合了数学、物理学、工程学等多个学科的综合性学科。
其研究对象是各类系统,包括机械系统、电子系统、生物系统等。
控制科学与工程的基本任务是通过对系统建模、分析和设计,实现对系统行为的控制和优化。
因此,掌握控制科学与工程的基本理论和方法对于实现系统的自动化和智能化具有重要作用。
2. 浙大控制考研真题介绍浙大作为中国具有良好声誉的高等学府,在控制科学与工程领域的研究和教育一直处于国内领先地位。
因此,浙大的控制考研真题是备战考研的宝贵资料之一。
这些真题以往年考研试题为基础,囊括了控制科学与工程各个领域的知识点和考察重点。
通过仔细研究和解答这些真题,考生可以更好地了解掌握控制科学与工程的基本理论和方法,并对考研内容有更清晰的认识。
3. 使用浙大控制考研真题的好处使用浙大控制考研真题的好处多多。
首先,这些真题严格按照考研要求编写,涵盖了重要的知识点和考察重点。
通过解答这些真题,考生可以了解自己在控制科学与工程方面的薄弱环节,并有针对性地进行复习和提高。
其次,浙大控制考研真题的解析通常会标注详细的解题思路和步骤,有助于考生掌握解题方法和技巧,提高解题效率。
此外,通过与真题的对比和分析,考生可以更好地理解和应用控制科学与工程的理论知识,培养问题解决能力和创新能力。
4. 如何有效利用浙大控制考研真题要有效利用浙大控制考研真题,考生可以采取以下几个步骤。
首先,先进行全面的阅读和理解真题,明确题目的要求和考察内容。
然后,进行逐题分析和解答,注重掌握解题的思路和方法。
如果遇到困难,可以参考真题的解析或者请教专业老师和同学进行讨论。
2022年03月浙江大学招聘1名控制系实验技术人员(限应届毕业生)笔试历年高频考点试题库集锦答案解析全文为Word可编辑,若为PDF皆为盗版,请谨慎购买!卷I一.单选题(共25题)1.按照教育部2005年《普通高等学校学生管理规定》,对完成本专业学业同时辅修其他专业并达到该专业辅修要求者,由学校发给()。
A.辅修专业证书B.该专业结业证书C.该专业肄业证书D.该专业毕业证书答案:A本题解析:根据《普通高等学校学生管理规定》,对完成本专业学业同时辅修其他专业并达到该专业辅修要求者,由学校发给辅修专业证书。
2.按照我国《教师资格条例》的规定,被撤销教师资格的人,可以再次申请教师资格的期限是()。
A.3年以后B.终身不可以C.5年以后D.1年以后答案:C本题解析:被撤销教师资格的,自撤销之日起5年内不得重新申请认定教师资格。
3.《教师法》第十七条规定:“学校和其他教育机构应当逐步实行教师聘任制。
教师的聘任应当遵循双方地位平等的原则,由学校和教师签订聘任合同,明确规定双方的权利、义务和责任。
”该条法律条文中包含着教育法律规范中的()的内容。
A.义务性规范B.授权性规范C.制裁性规范D.奖励性规范答案:A本题解析:暂无解析4.建设()是中华民族永续发展的千年大计。
全文为Word可编辑,若为PDF皆为盗版,请谨慎购买!A.物质文明B.精神文明C.生态文明D.社会文明答案:C本题解析:暂无解析5.我国的学位管理工作主要由()负责。
A.国务院学位委员会B.教育部学位委员会C.高等学校学位委员会D.科研机构学位委员会答案:A本题解析:国务院学位委员会是负责领导和管理全国学位授予工作的机构。
6.目前我国权力机关和教育行政机关均可采取的教育法制监督途径是()。
A.教育经费预算、决算制度B.教育执法检查制度C.教育督导D.教育行政监察答案:B本题解析:暂无解析7.教师把不遵守纪律的学生关黑屋,侵犯了学生的()。
A.人身自由权B.表达自由权C.人格尊严权D.受教育权答案:A本题解析:题干所述侵犯了学生的人身自由权。
第1篇一、基础知识部分(50分)1. 题目:请简述电力系统调度的基本任务和原则。
解析:电力系统调度的基本任务是保证电力系统的安全、经济、优质、可靠地运行。
原则包括安全性原则、经济性原则、可靠性原则、可控性原则和灵活性原则。
2. 题目:什么是频率偏差?频率偏差过大或过小会有什么影响?解析:频率偏差是指实际频率与额定频率之间的差值。
频率偏差过大或过小会影响电力设备的正常运行,严重时可能导致设备损坏。
3. 题目:什么是电压偏差?电压偏差过大或过小会有什么影响?解析:电压偏差是指实际电压与额定电压之间的差值。
电压偏差过大或过小会影响电力设备的正常运行,严重时可能导致设备损坏。
4. 题目:什么是电力系统的负荷预测?负荷预测有哪些方法?解析:电力系统的负荷预测是指预测未来一段时间内电力系统的负荷需求。
负荷预测方法包括历史数据法、时间序列法、回归分析法、人工智能法等。
5. 题目:什么是电力系统稳定?影响电力系统稳定的主要因素有哪些?解析:电力系统稳定是指电力系统在正常运行或发生故障时,能保持正常运行状态的能力。
影响电力系统稳定的主要因素包括负荷变化、故障、天气等。
二、专业知识部分(50分)6. 题目:请简述电力系统调度的主要工作内容。
解析:电力系统调度的主要工作内容包括负荷预测、发电计划、调度操作、电力市场交易、事故处理等。
7. 题目:请简述电力系统调度自动化系统的组成和功能。
解析:电力系统调度自动化系统主要由监控中心、调度中心、通信系统、数据库、人机界面等组成。
其功能包括实时监控、数据采集、信息处理、调度操作、事故处理等。
8. 题目:请简述电力系统故障处理的基本步骤。
解析:电力系统故障处理的基本步骤包括故障诊断、故障隔离、故障处理、系统恢复等。
9. 题目:请简述电力系统调度与电力市场的关系。
解析:电力系统调度与电力市场的关系主要体现在调度计划与市场交易的关系、电力系统安全与市场风险的关系等方面。
10. 题目:请简述电力系统调度自动化技术在电力系统中的应用。
第1篇一、基础知识部分1. 题目:什么是工业控制系统?请简述其基本组成。
解析:工业控制系统是用于实现工业生产自动化、提高生产效率和产品质量的一种系统。
其基本组成包括:传感器、执行器、控制器、人机界面等。
2. 题目:什么是PLC?请列举其特点和应用场景。
解析:PLC(可编程逻辑控制器)是一种用于工业自动化控制的电子设备。
其特点包括:可靠性高、抗干扰能力强、编程灵活、易于维护等。
应用场景包括:自动化生产线、物流系统、电梯、工业机器人等。
3. 题目:什么是DCS?请简述其功能和组成。
解析:DCS(分布式控制系统)是一种用于大型工业过程的控制系统。
其功能包括:数据采集、过程控制、实时监控、数据传输等。
组成包括:操作站、工程师站、现场控制站、通信网络等。
4. 题目:什么是SCADA系统?请列举其功能和应用领域。
解析:SCADA(监控与数据采集)系统是一种用于远程监控和控制工业过程的系统。
其功能包括:数据采集、实时监控、历史数据查询、报警管理等。
应用领域包括:能源、交通、水利、环保等。
5. 题目:什么是工业以太网?请简述其特点和应用。
解析:工业以太网是一种专门为工业现场设计的以太网。
其特点包括:抗干扰能力强、传输速度快、可靠性高、易于扩展等。
应用包括:PLC、DCS、SCADA等系统的通信。
二、技能应用部分6. 题目:请简述PLC编程的步骤。
解析:PLC编程的步骤包括:需求分析、硬件选型、程序设计、程序调试、系统测试、运行维护等。
7. 题目:请描述DCS系统中的数据采集过程。
解析:DCS系统中的数据采集过程包括:传感器采集现场信号、信号调理、数据传输、数据处理、显示、存储等。
8. 题目:请列举SCADA系统中的报警管理功能。
解析:SCADA系统中的报警管理功能包括:报警设置、报警查询、报警处理、报警通知、报警统计等。
9. 题目:请简述工业以太网在网络通信中的优势。
解析:工业以太网在网络通信中的优势包括:传输速度快、抗干扰能力强、可靠性高、易于扩展、易于维护等。
历年集锦建模的方法(1)机理建模(微分方程、传递函数、状态空间)原理:根据过程的工艺机理,写出各种有关的平衡方程,由此获得被控对象的数学模型。
应用:首要条件是生产过程的机理必须已经为人们充分掌握,并且可以比较确切的加以数学描述。
(2)测试建模原理:对过程的输入(包括控制变量与扰动变量)施加一定形式的激励信号,同时记录相关的输入输出数据,再对这些数据进行处理,由此获得对象的动态模型。
应用:一般只用于建立输入输出模型,它把研究的工业过程视为一个黑匣子建模的步骤##(1)明确模型的目的和要求(2)对系统进行一般语言描述(3)弄清系统中主要因素及其相互关系(4)确定模型的结构(5)估计模型中的参数(6)实验研究(7)必要修改动态建模和静态建模有什么差别?动态数学模型是输出变量与输入变量之间随时间变化的动态关系的数学描述静态数学模型则是输出变量与输入变量之间不随时间变化情况下的数学关系前者用于工业设计和最优化等;后者则用于各类自动控制系统的设计与分析,用于工艺设计和操作条件的分析和确定稳态是怎样的?稳态:此时系统没有受到任何外来扰动,同时设定值保持不变,因而被控变量也不会随时间变化,整个系统处于稳定平衡的工况。
动态:此时系统受到外来扰动的影响或者在改变了设定值后,原来的稳态遭到破坏,系统中各组成部分的输入输出量都相应发生变化,尤其是被控变量也将偏离稳态而随时间变化。
智能控制的常用模型模糊控制、神经网络控制、专家系统~~~(模糊控制举例:查表法——模糊控制表是最简单的模糊控制器之一)说说你对人工智能这个概念的认识?它通过赋予计算机以人类智慧的某些特点,使计算机去做过去只有人才能做的智能工作。
人工智能是研究人类智能活动的规律,构造具有一定智能的人工系统,研究如何让计算机去完成以往需要人的智力才能胜任的工作,也就是研究如何应用计算机的软硬件来模拟人类某些智能行为的基本理论、方法和技术。
人工智能(ArtificialIntelligence,简称AI)是计算机学科的一个分支,二十世纪七十年代以来被称为世界三大尖端技术之一(空间技术、能源技术、人工智能)。
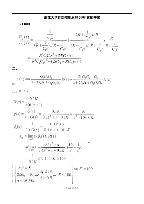
浙江大学自动控制原理2008真题答案
一、【解题】
二、
解:
三、解:(1)
(2)
(3)
{
四、
五、
解:(1)等效开环传递函数
开环极点:P1=0,P2,3=-0.5
渐近线与实轴交点
根轨迹与虚轴的交点:s=-jw代入
六、
截止频率wc=5
系统的相角稳定裕量
七、解:
八、解:
做w变换并整理,得
欲使系统稳定,必须满足:0<K<5.79
(2) 系统的开环脉冲传递函数为
画出根轨迹草图,可知,当z=-1是系统稳定与否的临界点,由此可得去掉零阶保持器后使系统稳定的K的取值范围是0<K<5.27。
根轨迹如下
九.解:(1)系统的状态方程:
输出方程:y=-x1+ui
(2)传递函数为
十.解:(1)先判别能控性,再分别求出系统开环传递函数、期望的闭环传递函数,求出能控标准型下的状态反馈阵后,再求出原来系统基底下的反馈阵K。
能控标准型基底下的反馈阵
十一、解:
当A由零到无穷大时,
线性部分的频率特性为:
在复平面绘出个G(jw)曲线以及-1/N(A)曲线,如图所示
(2)综上可得,系统自振频率为1.152,幅值为5.83。
.【全部章节】1惯性环节2积分环节3比例积分环节4比例积分微分环节, 其中属于典型环节的是:• A 13• B 234• C 123• D 1234•单选题2.【全部章节】理想运算放大器的满足条件不包括:• A 放大倍数为无限大• B 开环输入阻抗为0,输出阻抗无限大• C 通频带无限大• D 输入输出呈线性特性•3.【全部章节】下列不属于测试控制系统频率特性的方法的是:• A 劳斯判据• B 输人输出曲线直接记录法• C 李沙育图形法• D 补偿法•单选题4.【全部章节】控制系统性能分析,一般不包括:• A 快速性• B 准确性• C 稳定性• D 可实现性•5.【全部章节】利用matlab进行控制系统实验属于:• A 物理仿真• B 半物理仿真• C 数字仿真• D 实物验证•单选题6.【全部章节】伺服电机由于要克服摩擦和负载转矩,需要有一定的启动电压,这反映了电机的:• A 齐次性• B 饱和特性• C 继电器特性• D 死区特性•7.【全部章节】不属于非线性特性的是:• A 齐次性• B 饱和特性• C 继电器特性• D 死区特性•判断题8.【全部章节】系统的非线性特性只有坏处。
•正确错误•判断题9.【全部章节】微分方程模拟的基本原理就是采用逐项微分法。
•正确错误•判断题10.【全部章节】输入信号为单位冲激函数时,求出系统的输出响应,称为单位阶跃响应。
•正确错误•判断题11.【全部章节】随动系统又称伺服系统或伺服机构。
•正确错误•判断题12.【全部章节】齐次性和叠加性是系统的非线性特征。
•正确错误•判断题13.【全部章节】在MATLAB命令窗口内输入a=10:5:20,则a的值是 [10 15 20]。
•正确错误•判断题14.【全部章节】Simulink是对动态系统进行建模、仿真和分析的一个软件包。
•正确错误•判断题15.【全部章节】Bode图、Nyquist曲线都是分析系统频率响应的工具。
浙大研究生面试题目及答案1.PID 中P,I,D 分别什么意思,控制作用什么?答:分别表示比例,积分,微分。
比例作用:对偏差信号进行放大形成控制信号,比例作用越大,稳态偏差越小,响应速度也越快,但是稳定性会降低积分作用:对偏差信号进行积累产生控制信号,因而稳定的系统最终偏差一定为零。
但是会减小相角域度,使系统的稳定性降低。
微分作用:反应偏差信号的变化率,具有预测性,因而能加快响应速度,提高系统的稳定性,但是对噪声过于敏感,抗干扰能力差。
2.分程控制定义举例答:一个调节器去控制一个以上的阀,并按照控制信号的不同区间去操作不同的阀门。
分程控制中,阀的开闭分为异向和同向两种,同向可以满足增大可调比的要求,而异向则是满足特殊要求。
举例:蒸汽压力调节系统,锅炉产生10MPa的蒸汽压力,生产需要4MPa的平稳蒸汽压力,如果直接选择比较大的口径阀门,阀门容易产生畸变,因而用两个孔径较小的阀门同向分程控制。
3.计算机控制系统的组成答:主要由工控机和生产过程两部分组成。
工控机主要由:人机接口,主机板,内外部总线,磁盘系统,通信接口(USB,RS-232C);生产过程:执行机构,测量变送装置,被控对象。
4.设计控制系统要考虑那些问题答:1.了解被控对象特性2.选择被调节量3.选择调节量4.确定衡量标准5.确定控制规律6.选择调节阀5. 简单说说选择控制系统,并与单回路比较答:选择控制系统,在生产过程中一般起保护作用。
选择控制系统中一般有两个变量,一个是技术指标变量,这是用来形容生产质量的;另外一个是限值变量,当生产过程中,限值变量在一定的范围内,生产过程安全,当限制变量超过这个过程就有发生事故的危险,选择控制系统就会有相应的措施解决问题。
一般分为开关选择控制系统和连续选择控制系统。
正常情况下与单回路没有很大区别,当限值变量超过临界值就不同了。
6.0~20mA 的一般能否改成两线制答:不能,两线制,即电源线和信号的输出线合并起来,不仅节省电缆,而且布线方便,且大大有利于生产安全,因为减少一个通往危险现场的导线,就减少了一个窜进危险火花的门户。
紧急通知本资料由浙江大学控制科学与工程学院16届专业课129分学长,也就是我本人亲自整理编排而成。
大家可以叫我学长,年龄比我大的辞职考的可以叫我小弟。
资料不同于市面上那些看起来非常诱人实则是粗制烂造的资料,而是以一个考过845自控的过来人的经验,完全从学生的体验出发,做到资料最全,资料最好,资料最精致。
全套资料包括葵花宝典一到葵花宝典九共九本资料,每本资料都是我精心编辑整理的,并做了精美的封面,一共650页完美打印发给大家,大家把这650从头到尾肯透了,再做下我推荐的几本资料书(16年有一道15分的大题就是上面的类似题,第三问很多高手都没做出来,注意不是周春晖那本哈),可以说完全没问题了。
这是其它卖家不可能做到的。
同时赠送845自控全套电子资料。
葵花宝典一完全由我本人原创,里面包含了考浙大845自动控制原理的全部问题,比如考多少分比较保险,怎么复习,有哪些好的资料书,最近几年考题变化及应对策略,浙大常考题型,招生名额,复试资料,导师联系,公共课复习用书及方法以及845近年命题风格分析等一系列问题,全是我的心得和经验,方法,技巧等,说句心里话,我自己都觉得这些资料非常宝贵,能帮助学弟学妹们少走很多弯路。
注意:前面是一些关于我的故事,有些地方可能对你有用,如果不感兴趣,可以直接拉到后面去看,资料清单和图片都在后面。
学长自我介绍学长姓邓,名某某,男,本科于14年毕业于四川大学电气信息学院自动化专业,考浙大控制考了3次,14年大三时第一次考浙大控制总分没过线。
当时我们学校有三个同学征战浙大控制科学与工程,结果全军覆没,只有我一人过了300分,由此可见考浙大控制还是很有难度的,其中一个难点就是专业课的信息和专业课的命题走向的获取,当时我们都不是很清楚,蒙着头自己学,去图书馆借了很多自动控制原理的资料书来看,我自我感觉学得还不错,当时我一个同学考电子科大的自动化,经常跑来问我自控的问题,我基本都能给他解答出来,他说我好牛逼,觉对没有问题,然而最后的结果是他考电子科大自动控制原理137,而我只考了96分。
第1篇一、基础知识部分1. 题目:请简述自动控制系统的基本组成和功能。
解析:自动控制系统通常由被控对象、控制器、执行机构和反馈环节组成。
被控对象是系统要控制的设备或过程;控制器根据给定值与反馈值的偏差,产生控制信号;执行机构将控制信号转换为对被控对象的控制作用;反馈环节将被控对象的输出反馈给控制器,形成闭环控制系统。
2. 题目:什么是开环控制系统?什么是闭环控制系统?请比较两者的优缺点。
解析:开环控制系统是指控制信号不反馈到控制器,仅根据输入信号进行控制。
闭环控制系统是指控制信号反馈到控制器,根据输入信号和反馈信号进行控制。
开环控制系统的优点是结构简单、成本低;缺点是鲁棒性差,容易受到外部干扰的影响。
闭环控制系统的优点是鲁棒性好、稳定性高;缺点是结构复杂、成本高。
3. 题目:什么是比例控制器、积分控制器、微分控制器?它们各自的特点是什么?解析:比例控制器(P控制器)只对输入信号进行比例放大,无积分和微分作用;积分控制器(I控制器)对输入信号的积分进行放大,用于消除稳态误差;微分控制器(D控制器)对输入信号的微分进行放大,用于预测系统的动态响应。
比例控制器适用于无稳态误差的系统;积分控制器适用于有稳态误差的系统;微分控制器适用于需要快速响应的系统。
4. 题目:什么是PID控制器?简述其特点和应用。
解析:PID控制器是比例、积分、微分控制器的简称,它结合了比例、积分、微分控制器的优点。
PID控制器具有以下特点:①可以消除稳态误差;②具有良好的动态响应特性;③易于实现。
PID控制器广泛应用于工业控制、航空航天、机器人等领域。
5. 题目:什么是系统稳定性?如何判断一个系统的稳定性?解析:系统稳定性是指系统在受到扰动后,能否恢复到初始状态。
判断系统稳定性的方法有:①奈奎斯特判据:通过绘制系统的Nyquist图,判断系统是否稳定;②Bode图:通过绘制系统的Bode图,判断系统是否稳定;③根轨迹法:通过绘制系统的根轨迹,判断系统是否稳定。
浙江大学控制系自动控制原理近年考研题分章集锦(一)(第一、二章: 基本概念及数学模型――连续部分)浙江大学二〇〇五年攻读硕士学位研究生入学考试试题考试科目编号注意:答案必须写在答题纸上,写在试卷或草稿纸上均无效。
2005年1.(10分)电冰箱制冷系统原理见图1。
继电器的输出电压u R 为压缩机上的工作电压。
绘制控制系统框图,简述工作原理。
若出现压缩机频繁起动,请提出相应的改进措施。
答:系统框图:当冰箱温度u2高于设定值,放大器输出Δu ,继电器动作输出u R 。
压缩机运行,从蒸发器吸入低温低压气体。
输出高温高压气态制冷剂至冷凝器;冷凝器送出高压常温液态制冷剂至蒸发器,制冷剂在蒸发器内气化,吸收制冷。
改进措施:调小放大器放大倍数,或选用灵敏度较小的继电器,或者两者兼而用之。
2.(10分)系统框图见图2-1,要求将系统等效变换成图2-2,图2-3框图结构,并求H(S),G(S)表达式。
图2-1 图2-2 图2-3 解:H(S)= 1+2() KG SG(S) =2004年一.(20分/150分)如图1所示,U1(t),U2(t)分别是输入电压和输出电压。
X3,X2分别是输入位移和输出位移,X1则是C点位移。
f1, f2是粘滞阻尼系数,k1, k2是弹性系数。
求两系统的传递函数,并分析两系统变量间的相似关系。
图 1解:1)(1)(1111)()(212211221212211221212211112212+++++++=++++=S C R C R C R S C C R R S C R C R S C C R R S C R SC R S C R SC R s U s U 1)111(11)11(1)()(2122112212122112212132+++++++=S K f K f K f S K K f f S K f K f S K K f f S X S X两相似系统变量间对应关系:电压U---------------------------位移X电阻R---------------------------粘滞阻尼系数f 电容C---------------------------弹性系数的倒数K1二.(10分/150分)用方块图化简法,求图2所示系统的闭环传递函数图 2解:321341431131213213414311311)()(G G G G G G G G G G G G G G G G G G G G G G G G G G S R S Y +++--+++++--=∴2003年1.(10分/150分)求理想运算放大器的传递函数)()(s Ui s Uo ,结构图如下:解:理想运放∞→λZ ,流入运放电流0,0→→B U i)()()()()()()()()()(:)(0)()()()()()()()()()()()()()(414243324232142321s Z s Z s Z s Z s Z s Z s Z s Z s U s U s U U s Z s U s Z s U s U s Z s U s U s Z s U s U s Z s U s U i i i i i i O F B F F B O F F B B i ++==⎪⎪⎩⎪⎪⎨⎧--=--=-+=-=∴得消去即:2003年第1题示意图2.(10分/150分)求右图的传递函数)()()(s U s y s G =解:)()()(1)()()()()(1)(1)()()(1)()(21121221122*12s G s G s G s G s G s G s G s G s G s G s G s G s G s G +--=-+=+=∴2002年 1.(10分/100分)R-L-C 网络如图所示,信号源内阻为零,U r (t)为输入变量,U 0(t)为输入变量,试求电网络的状态变量表达式。
浙江大学控制系复试流程面试经验及专业课单词必备复试流程:○1、8:00—8:30 专业听力考试+填报志愿○2、8:30—11:30 分组面试○3、13:30—14:00 学硕和专硕出榜○4、14:00—14:30 学硕转专硕加试○5、16:00 学硕转专硕出榜下面对各个流程进行介绍:○1、专业听力考试是由浙大老师自己出题自己录音的。
一般分两个大题,第一题是念一个短文,中间挖十个单词或词组,要求写出单词和汉语意思。
第二题是念四小段英文,要求写出每段的大致汉语意思。
填志愿就是按自己的志愿把浙大控制三个所(工控所,智控所,仪表所)排下顺序。
注意事项:把自动控制原理专业词汇中英文对照表看下,一般考些automatic control,differential equation,frequency等等,志愿表的背面写单词和翻译,没有听力原文,所以老师在读的时候会在要你写的单词前面和后面加上space或者dash,要注意并且还要标好十个单词的顺序(中间某个不会要空出来)。
翻译是不可能完全听懂的,要记关键词,然后按自己的理解去写翻译,一定要写,不要空着。
听力时间紧,翻译要快点写。
志愿就按自己想去的所按顺序填,然后按顺序录取,即第一志愿录取不上,调到第二志愿……一般情况下工控所最火,初试成绩好且想去的可以填第一志愿,要是初试成绩不太好,直接填仪表所第一志愿录取的可能性会大些。
○2、分组面试是复试的重中之重,面试组一般一个组长,四个成员,一个做记录的老师。
主要问些专业知识及其应用和个人表达沟通能力。
单独面试的,一般去了先交政审表、本科成绩单和自己一些证书,然后中文自我介绍,注意简明扼要,把自己的亮点说出来,本科成绩好的可以提一下自己的排名(不要说自己成绩很好之类的,要说还可以,懂一点。
谦虚诚恳),做过什么东西的要赶紧说出来,老师一般会根据你的项目提问。
注意事项:必须准备一个自我介绍,注意不要攀亲,不要说自己家乡是某个名人的故乡之类的,不要以自我为中心,谦虚诚恳,表现要大方,可以提前演练一下,不要到时候说话颤抖、语无伦次之类的。
控制科学与工程英语面试问答一、介绍控制科学与工程控制科学与工程是一门综合性的学科,涵盖了自动控制、信息理论、系统工程、人工智能等多个领域。
它致力于研究如何设计、分析和实现能够自动控制各种系统的方法和技术。
在现代工程领域中,控制科学与工程起到了至关重要的作用,它可以应用于各个领域,如制造业、交通运输、航天航空、能源等。
二、控制科学与工程英语面试常见问题及回答1. What is control engineering?Control engineering is a multidisciplinary field that deals with the design, analysis, and implementation of systems that can automatically control various processes to achieve desired outputs. It involves applying mathematical models and control algorithms to manipulate inputs and outputs ofa system.2. How is control engineering different from other engineering fields?Control engineering focuses on the development of systems that can regulate and manipulate processes to achieve specific objectives. It differs from other engineeringfields in that it deals with the dynamic behavior of systems and the design of controllers to achieve desired performance.3. What are the key components of a control system?A control system typically consists of a plant or process, sensors, actuators, and a controller. The plant refers to the system being controlled, while sensors and actuators are used to measure and manipulate the variables of interest. The controller processes the sensor data and generates control signals to adjust the actuators.4. What are the different types of control systems?Control systems can be classified into open-loop and closed-loop systems. Open-loop systems do not have feedback, and the control action is based solely on the input. Closed-loop systems, also known as feedback control systems, use feedback from the output to adjust the control action. This allows for better regulation and compensation for disturbances.5. What are the main challenges in control engineering?One of the main challenges in control engineering is dealing with system uncertainty and variability. Real-worldsystems often have unknown or time-varying parameters, which can affect the performance of control systems. Another challenge is ensuring stability and robustness in the face of disturbances and noise.6. What are some popular control techniques?There are various control techniques used in control engineering, such as PID (Proportional-Integral-Derivative) control, optimal control, adaptive control, and robust control. Each technique has its own advantages and is suitable for different types of systems and applications.7. How is control engineering applied in real-world systems? Control engineering is widely applied in various industries, such as manufacturing, transportation, aerospace, and energy. It is used to control processes in factories, regulate traffic flow, stabilize aircraft, and optimize energy consumption. It plays a crucial role in improving efficiency, safety, and reliability in these systems.8. What are the future trends in control engineering?With the advancement of technology, control engineering is evolving to incorporate new concepts and techniques. Some future trends include the integration of control andartificial intelligence, the development of autonomous systems, and the application of control in emerging fields such as renewable energy and healthcare.三、总结控制科学与工程是一门重要的学科,其在现代工程领域中发挥着关键作用。
招聘自动控制技术员面试题与参考回答面试问答题(总共10个问题)第一题题目:请简要描述一下PID控制器的工作原理,并说明在自动控制系统中,为什么PID 控制器被广泛使用?参考回答:PID控制器,即比例(Proportional)-积分(Integral)-微分(Derivative)控制器,是自动控制系统中常用的一种反馈回路组件。
其工作原理基于控制系统的输入(设定值)与实际输出(被控量)之间的误差信号来工作,通过调整控制器的输出以最小化这个误差。
1.比例(P)项:它直接根据误差的比例来调整控制量。
当误差增大时,控制作用也相应增强,但仅使用比例项会导致系统稳态误差。
2.积分(I)项:用于消除系统的稳态误差。
积分项是误差随时间累积的结果,它使得控制作用随着时间的推移而逐渐增强,直到误差完全消除。
但积分项也可能导致系统响应速度变慢,甚至引起系统振荡。
3.微分(D)项:它基于误差的变化率来调整控制量,能预测误差变化的趋势,从而提前引入一个修正信号,以加快系统的响应速度,减小超调量,提高稳定性。
为什么PID控制器被广泛使用?PID控制器之所以在自动控制系统中被广泛使用,主要有以下几个原因:•结构简单,易于实现:PID控制算法相对简单,易于在硬件和软件上实现,且对控制器硬件要求不高。
•适用性强:PID控制器适用于大多数线性、非线性和时变系统,以及许多无法精确建模的复杂系统。
•调节方便:通过调整PID的三个参数(比例增益Kp、积分时间Ti、微分时间Td),可以灵活地改变控制器的性能,满足不同的控制需求。
•性能稳定:在适当的参数设置下,PID控制器能够提供良好的稳定性和动态性能,如较快的响应速度、较小的超调量和稳态误差等。
解析:本题主要考察面试者对PID控制器工作原理及其重要性的理解。
PID控制器是自动控制领域中最基本、最重要的控制器之一,其工作原理简单易懂,但应用广泛且效果显著。
通过本题,面试官可以评估面试者的基础知识掌握程度以及对自动控制系统的理解深度。
历年集锦建模的方法(1)机理建模(微分方程、传递函数、状态空间)原理:根据过程的工艺机理,写出各种有关的平衡方程,由此获得被控对象的数学模型。
应用:首要条件是生产过程的机理必须已经为人们充分掌握,并且可以比较确切的加以数学描述。
(2)测试建模原理:对过程的输入(包括控制变量与扰动变量)施加一定形式的激励信号,同时记录相关的输入输出数据,再对这些数据进行处理,由此获得对象的动态模型。
应用:一般只用于建立输入输出模型,它把研究的工业过程视为一个黑匣子建模的步骤##(1)明确模型的目的和要求(2)对系统进行一般语言描述(3)弄清系统中主要因素及其相互关系(4)确定模型的结构(5)估计模型中的参数(6)实验研究(7)必要修改动态建模和静态建模有什么差别?动态数学模型是输出变量与输入变量之间随时间变化的动态关系的数学描述静态数学模型则是输出变量与输入变量之间不随时间变化情况下的数学关系前者用于工业设计和最优化等;后者则用于各类自动控制系统的设计与分析,用于工艺设计和操作条件的分析和确定稳态是怎样的?稳态:此时系统没有受到任何外来扰动,同时设定值保持不变,因而被控变量也不会随时间变化,整个系统处于稳定平衡的工况。
动态:此时系统受到外来扰动的影响或者在改变了设定值后,原来的稳态遭到破坏,系统中各组成部分的输入输出量都相应发生变化,尤其是被控变量也将偏离稳态而随时间变化。
智能控制的常用模型模糊控制、神经网络控制、专家系统~~~(模糊控制举例:查表法——模糊控制表是最简单的模糊控制器之一)说说你对人工智能这个概念的认识?它通过赋予计算机以人类智慧的某些特点,使计算机去做过去只有人才能做的智能工作。
人工智能是研究人类智能活动的规律,构造具有一定智能的人工系统,研究如何让计算机去完成以往需要人的智力才能胜任的工作,也就是研究如何应用计算机的软硬件来模拟人类某些智能行为的基本理论、方法和技术。
人工智能(ArtificialIntelligence,简称AI)是计算机学科的一个分支,二十世纪七十年代以来被称为世界三大尖端技术之一(空间技术、能源技术、人工智能)。
也被认为是二十一世纪(基因工程、纳米科学、人工智能)三大尖端技术之一。
仪表的精度和等级概念分别表示什么?准确度(也称精度或精确度):仪表给出接近于真值的响应能力,它是判断仪表测量精确性的主要指标。
——用仪表满刻度相对误差略去百分号来确定。
准确度等级:根据国家统一划分的准确度等级,选其数值上最接近又比准确度大的准确度等级作为仪表的准确度等级。
其数值越小,仪表准确度越高,即测量误差越小。
一次仪表、二次仪表都是什么概念?有什么差别?一次仪表:(就地显示仪表)现场仪表的一种。
是指安装在现场且直接与工艺介质相接触的仪表。
如弹簧管压力表、双金属温度计、双波纹管差压计。
热电偶与热电阻不称作仪表,而作为感温元件,所以又称一次元件。
二次仪表:(远传式仪表)是仪表示值信号不直接来自工艺介质的各类仪表的总称。
二次仪表的仪表示值信号通常由变送器变换成标准信号。
二次仪表接受的标准信号一般有三种:①气动信号,0.02~0.10kpa②Ⅱ型电动单元仪表信号0~10mADC。
③Ⅲ型电动单元仪表信号受的标准信4~20mADC.也有个别的不用标准信号,一次仪表发出电信呈, 二次仪表直接指示,如远传压力表等.二次仪表通常安装在仪表盘上.按安装位置又可分为盘装仪表和架装仪表。
老鹰抓小鸡的控制系统模型(黄志尧老师)控制对象:抓小鸡这个过程?/检测器:眼睛/控制器:大脑/执行器:手、脚~~温度检测的方法(黄志尧老师)接触式:热电偶、热电阻、玻璃管温度计、压力式温度计、双金属温度计非接触式:全辐射温度计、红外温度计、光电温度计、比色温度计流量检测的方法(黄志尧老师)直接法(也称容积法)&间接法(也称速度法)节流式流量计(孔板,文丘里)、转子流量计、涡街流量计、涡轮流量计、电磁式流量计、超声波流量计、速度式流量计物位检测的方法(黄志尧老师)静压式物位计、浮力式物位计、电容式物位计、超声波物位计、射线式物位计压力检测的方法(黄志尧老师则会问检测仪表方面的问题)液体式压力计:单管、U型管(流体静力学原理)弹性式压力计:弹簧管压力表、波纹管差压计(弹性元件受力变形的原理)物性型压力传感器:应变式、压阻式、压电式压力传感器(压力作用下,敏感元件某些物性发生变化)电远传式压力仪表:力平衡式压力变送器、电容式压力变送器时间常数是什么应该是表示控制过程响应快慢的一个参数吧~~~什么是串级控制?就是有两个控制器,其中一个控制器的输出用来改变另一个控制器的设定值,这样连接起来的两个控制器称作“串级”控制。
两个控制器都各有各自的测量输入,但只有主控制器具有自己独立的设定值,副控制其的输出信号送给被控制过程的执行器。
这样组成的系统叫串级控制系统什么叫过程控制?过程控制:物质流动、交换过程的控制对生产工艺流程进行监控控制就是过程控制。
一般是讲自动化仪表的自动执行机构的,涉及自动控制理论,传感器等的综合专业课~~~。
控制系统的组成被控对象、检测器(测量变送器)、控制器、执行器控制性能指标(控制系统的评价标准?具体指标?(刘兴高老师)——关键词-稳定性)评价标准:设定值发生变化或受到扰动后能否再控制器的作用下克服干扰并准确、平稳、快速的稳定下来。
衰减比——稳定程度超调量——最大动态偏差具体指标余差——反应控制精度调节时间、峰值时间、上升时间——快速性,灵敏性稳定性、可靠性判断系统稳定性的几种方法?劳斯判据、奈奎斯特判据、特征根在复平面上分布的情况线性系统以及非线性系统常见的稳定性分析方法(王宁老师)线性:劳斯判据、奈奎斯特判据、特征根在复平面上分布的情况非线性:相平面法、描述函数法、李雅普诺夫法内部稳定和外部稳定的区别?内部稳定的系统外部一定稳定; 外部稳定的系统不能保证内部稳定~~ 控制系统设计的步骤(1)确定控制目标(2)选择被控变量(3)选择操作变量(4)确定控制方案(5)调节阀的选择:(6)控制算法的选择(7)控制系统的调试和投用前馈,反馈系统的区别若反馈信号与系统给定值信号相反,则称为负反馈( Negative Feedback),若极性相同,则称为正反馈(Positive Feedback)前馈控制反馈控制扰动可测,但不要求被控量可测被控量直接可测超前调节,可实现系统输出的不变性(但存在可实现问题)按偏差控制,存在偏差才能调节(滞后调节)开环调节,无稳定性问题闭环调节,存在稳定性问题系统仅能感受有限个可测扰动系统可感受所有影响输出的扰动对于干扰与控制通道的动态模型,要求已知而且准确对通道模型要求弱,大多数情况无需对象模型对时变与非线性对象的适应性弱对时变与非线性对象的适应性与鲁棒性强什么是反馈控制?反馈:指把系统(或环节)的输出信号直接或经过一些环节重新引回到输入端的做法反馈控制:即按照被控变量的反馈信息与输入量之间的偏差进行控制的方式~~正反馈的用途.正反馈在系统中有“激励”或“放大”作用,因而在社会经济系统和生物系统中往往正、负反馈作用都同时存在。
~~~例如:音响中的放大电路什么是前馈系统,有哪些应用场合,给划个图看看就是直接利用测量到的扰动量去补偿扰动对被控变量的影响。
这种方法只能用于扰动量可以测量的场合。
介绍一下均匀控制(苏宏业老师)均匀控制是指控制目的而言,它可以如下定义:对于一套控制系统,它能充分利用储罐的缓冲将一个变化剧烈的流量变换成一个变化平缓的流量,这种控制系统称为均匀控制系统。
PID参数是怎么整定的?---除了matlab在工业现场的方法也要了解(苏宏业老师)(1)经验法(2)临界比例度法:首先将控制器的积分作用和微分作用除去,对应于某一KC值作小幅度的设定值阶跃扰动以获得临界情况下等幅振荡,可得到临界振荡周期PU和临界比例增益,然后根据经验法计算即可。
(3)衰减振荡法:在一些不允许或不能得到临界振荡的地方。
(4)响应曲线法串级系统的主、副控制器的设定值是怎么来的?(苏宏业老师)主控制器的设定值应该是根据期望达到的控制目标来手动设定的;副控制器的设定值则是来自于主控制器的输出。
~~串级系统的主、副控制器的参数如何整定?(苏宏业老师)Step 1: 先断开主回路,按单回路方式整定副调节器的PID参数。
Step 2: 在主调节器为“手动”、副回路闭环的情况下,测试得到主回路广义对象的动态特性与相应特征参数。
Step 3: 采用单回路调节参数的工程整定法(如动态响应法),确定主回路的PID参数。
串级有几个执行器?副回路设定值从哪里来?(苏宏业老师)一个执行器;副回路的设定值来自于主控制器的输出值。
怎样获得阶跃响应?(戴连奎老师)给系统一个阶跃输入,得到的输出即是阶跃输出。
~~~怎么阶跃输入,设定值跳变?状态反馈是什么,在工程中有什么应用?(戴连奎老师)状态反馈:是将系统的每一个状态变量乘以相应的反馈系数,然后反馈到输入端与参考输入相加形成的状态反馈控制律。
输出反馈:是将系统的输出向量乘以相应的反馈系数,然后反馈到输入端与参考输入相加构成输出反馈律。
区别:1、状态反馈是信息系统的一种完全反映;而输出反馈则是系统信息的一部分或不完全的地反映。
因而状态反馈能达到的性能,输出反馈则未必能达到。
2、状态反馈不改变能控性,可能改变能观性;而输出反馈均不改变能控性和能观性。
状态变量反馈定义,对系统有什么要求要求所有系统状态的信息都可以获得。
~~控制系统能控能观的物理概念能控性和能观性是现代控制理论中两个根本性的概念。
它们是系统的两个基本结构特性,揭示了动力学系统关于内部的状态与系统输入、输出之间的关系。
能控性指的是控制作用u(t)影响系统状态变量x(t)的能力能观性指的是由系统的输出y(t)反映系统的状态变量x(t)的能力前者回答u(t)能否使x(t)作任意转移的问题;后者则回答能否通过y(t)的量来确定x(t)的问题一个工业过程(具体记不清了)如何选择流量阀的类型和量程范围?(戴连奎老师)调节阀流量特性的选择原则:仅当对象特性近似线性而且阀阻比大于0. 60 以上(即调节阀两端的压差基本不变),才选择线性阀,如液位控制系统;其他情况大都应选择对数阀。
举一个日常生活中自稳定的例子(戴连奎老师)杯子中水溢出、平静的湖面投入石子后恢复简单说说选择控制系统,并与单回路比较。
(戴连奎老师)定义:选择性控制系统:凡是在控制回路中引入了选择器的系统都可以称为选择性控制系统。
超驰控制是选择性控制的一种,又称为约束控制。
超驰控制特点:被控变量类型不同,通常有两个以上的控制器,主要用于设备软保护。
区别:超驰控制(选择控制)有2个被控变量,1个操纵变量;并根据重要性用1个操纵变量控制其中的1个被控变量。