组合恒等式
- 格式:docx
- 大小:36.17 KB
- 文档页数:6
证明组合恒等式的方法与技巧前言组合恒等式在数学及其应用中占有不可忽视的地位,它是以高中排前言列组合、二项式定理为基础.组合恒等式的证明有一定的难度和特殊的技巧,且灵活性很强,要求学生掌握这部分知识,不但要学好有关的基础知识,基本概念和基本技能,而且还要适当诱导学生拓宽思路、发挥才智,培养解决问题方法多样化的思想.下面就以例题讲解的形式,把证明组合恒等式的常见方法与技巧一一列举出来.1. 利用组合公式证明组合公式:mn C =n!!n m m (-)!例1. 求证:m mn C =n 11m n C --分析:这是组合恒等式的一个基本性质,等式两边都只是一个简单的组合数.由此,我们只要把组合公式代入,经过简化比较,等号两边相等即可.证:∵ m mn C =m n!!n m m (-)!11m n C --=n n !1!n m m (-1)(-)(-)!=n n !m 1!n m m m (-1)(-)(-)!=m n!!n m m (-)!∴ m mn C =n --11m n C .技巧:利用组合公式证明时,只须将等式中的组合数用公式代入,经过化简比较即可,此方法思路清晰,对处理比较简单的等式证明很有效,但运算量比较大,如遇到比较复杂一点的组合恒等式,此方法而不可取.2. 利用组合数性质证明组合数的基本性质:(1)m n C =n mnC -(2)1mn C +=mn C +1m nC -(3)k kn C =n k 11n C --(4)++...+=012n 2nn n n n C C C C-+-+...+(-1)=00123n nn n n n n C C C C C (5)例2:求证:-++3...+n =n 123n 122n n n n n C C C C分析:等式左边各项组合数的系数与该项组合数上标相等,且各项上标是递增加1的,由此我们联想到组合数的基本性质:k kn C =n k 11n C -- ,利用它可以将各项组合数的系数化为相等,再利用性质++...+=012n 2n n n n n C C C C 可得到证明.证:由k kn C =n k 11n C -- 得123n2n n n n C C C C ++3...+n=012n 11111n n n n n n n C C C C -----++...+n =n (012n 11111n n n n C C C C -----++...+) =n n 12-.例3.求证:012k 1k 1m m 1m 2m k 1m k C C C C C --+++-++++...+=分析: 观察到,等式左边各项的组合数的上标和下标存在联系:上标+m =下标,而且各项下标是递增+1的.由此我们想到性质(2),将左边自第二项各项裂项相消,然后整理而得到求证.证:由性质(2)可得i m i 1C ++=i m i C ++i 1m i C -+ (i ∈N ) 即im i C +=i m i 1C ++-i 1m i C -+令i =1,2,…,k -1,并将这k -1个等式相加,得12k 1m 1m 2m k 1C C C -+++-++...+ =1021k 1k 2m 2m 1m m m k m k C C C C C C --+++3+2++-1-+-+...+- =-0m 1C ++k 1m k C -+ =-0m C +k 1m k C -+∴012k 1k 1m m 1m 2m k 1m k C C C C C --+++-++++...+=.技巧:例2和例3的证明分别利用性质(3)(5)、(2)此方法的技巧关键在于观察,分析各项组合数存在的联系,读者应在平时实践做题总结,把它们对号入座,什么样的联系用什么样的性质来解决.3. 利用二项式定理证明我们都知道二项式定理:n n 1n 2n 2n 1n n n n n a b a a b a b ab b C C C -1-2--1(+)=+++...++,对于某些比较特殊的组合恒等式可以用它来证明,下面以两个例子说明3.1.直接代值例4.求证:(1)-1-1+3+3+...+3+3=122n n 1n 2n n n n 2C C C (2)---1--++...+(-1)+(-1)=n n 11n 22n n 1nn n n 22221C C C 分析:以上两题左边的各项组合数都是以 i n ii n ab C - 的形式出现,这样自然会联想到二项式定理.证:设n n 1n 2n 2n 1n n n n n a b a a b a b ab b C C C -1-2--1(+)=+++...++ ① ⑴ 令a =1,b =3,代入①,得 -1-+)=1+3+3+...+3+3n 122n n 1n n n n (13C C C 即, -1-1+3+3+...+3+3=122n n 1n 2n n n n 2C C C(2) 令a =2,b =-1,代入①,得n n n 11n-22n 1n 1n n n n 121C C C ---(2-1)=2-2+2+...+(-)+(-)即,---1--++...+(-1)+(-1)=n n 11n 22n n 1n n n n 22221C C C .技巧:此方法的关键在于代值,在一般情况,a ,b 值都不会很大,一般都是0, 1,-1,2,-2 , 3,—3这些数,而且a ,b 值与恒等式右边也有必然的联系,如上题中1+3=22,2-1=1,在做题的时候要抓住这点.3. 2.求导代值例5.求证: -+3+...+(-1)=(-1)23nn 2n n n 212nn n n 2C C C (n ≧2)分析:观察左边各项组合数的系数发现不可以直接运用二项式定理,但系数也有一定的规律,系数都是i(i-1) i=2,3,…n 我们又知道(x i)’’=i(i-1)x i-2由此我们想到了求导的方法.证:对n 0122n n n n n n x x x x C C C C (1+)=+++...+ 两边求二阶导数,得n 223n n 2n n n n n 1x 212x n n x C C C --(-1)(+)=+3+...+(-1)令x=1得 -+3+...+(-1)=(-1)23n n 2n n n 212n n n n 2C C C (n ≧2)技巧:此方法证明组合恒等式的步骤是,先对恒等式na x (+)=i 1mnn i i C ax -=∑ 两边对x 求一阶或二阶导数,然后适当选取x 的值代入.4. 比较系数法比较系数法主要利用二项式定理中两边多项式相等的充要条件为同次幂的系数相等加以证明.例6.求证:2222++)+()+()+...+()=012m m 1m 22(n nn n C C C C C (范德蒙恒等式)分析:本题若考虑上面所讲和方法来证明是比较困难的,注意到等式左边各项恰是二项展开式中各项二项式系数的平方,考虑二项展开式 (1+)n x =+0n C ++...+122n nn n n x x x C C C 和(1+)=+++...+n 012n n n n n 2n 1111x x x xC C C C 这两个展开式乘积中常数项且好式是2222++)+()+()+...+()012m m 1m 2(n n C C C C证:∵n 0122n n n n n n x x x x C C C C (1+)=+++...+ (1+)=+++...+n 012n n nn n 2n 1111x x x xC C C C ∴n1x (1)n x+(1+)=(+++...+0122n n n nn n x x x C C C C ) (+++...+012n n nn n 2n 111x x xC C C C ) 又有,n1x (1)n x+(1+)=2nn(1+x)x 比较两边的常数项,左边常数项为2222++)+()+()+...+()012m m 1m 2(n n C C C C右边的常数项为2nn C ,根据二项展开式中对应项的唯一性得 2222++)+()+()+...+()=012m m 1m 22(n n n n C C C C C技巧:此方法关键是适当地选择一个已知的恒等式,然后比较两边x 同次幂的系数.当然,已知恒等式的选择不是唯一的,例5也可以选择已知恒等式n 2x (1)(1)n nx x +=+(1+) ,只须比较恒等式中两边含有nx 的系数即可得证,证明留给读者.5. 利用数列求和方法证明回到例2,除了利用组合数的性质,我们还可以有其他方法.观察,恒等式左边的各项组合数的系数为等差数列,现在我们仿照求和公式(1)12 (2)n n n -+++=的证明来证明例2 证:设123nn n n n s=C 2C 3C ...n C +++ ① 则nn-121n n n n s=n C n-1)C ...2C C +(++ 01n-2n-1n n n n =n C n-1)C ...2C C +(++ ② ①+②得01n-1nn n n n 2s=n C C ...n C C n +++n 01n-1nn n n n =n(C C ...C C )+++=n 2n∴ 12n s n -=技巧:此方法的证明有一定的特殊性,分析等式中组合数系数的变化规律尤其重要,知识的迁移在此方法是一个很好的见证.6. 利用数学归纳法证明我们都知道数学归纳法,在证明数列的题目中,我们就体会了数学归纳法的好处,只要按照数学归纳法的两个步骤进行就可以了.那么,组合恒等式的证明可不可以用数学归纳法来证明呢看下面的一个例题 例7.已知{n a }是任意的等差数列,且n ≧2,求证:123n n+1a -a +a -...+(-1)a +(-1)a =0012n-1n-1nn n n n n n C C C C C分析:由于本题恒等式左边的各项组合数系数是一个不确定的等差数列,用上面的方法处理就比较困难,又因为等式含有数列,我们不妨用数学归纳法试试.证:i) 当n =2时,因为2132a a a a -=-所以12320a a a -+=,故等式成立,ii) 假设,当n =k (k ≧2)时等式成立,即对任何等差数列{n a },有,123k k+1a -a +a -...+(-1)a +(-1)a =0012k-1k-1kk k k k k k C C C C C ① 则当n =k +1时,利用组合数性质,有+1+1+2+13+1k +1k+2a -a +a -...+(-1)a +(-1)a 012k k k k +111+1k k k k k C C C C C123-+1k +1k+2=a -(+)a +(+)a -... +(-1)(+)a +(-1)a 01021k k k 1k k k k k k k k k k C C C C C C C C 123k +1--234k +1k +2=a -a +a -...+(1)a -a -a +a -...+(1)a +(1)a 012k k 012k 1k 1k k[-][--]k k k k k k k k k C C C C C C C C C因为根据归纳假设,当n =k 时,对任意等差数列12k 123k 2a a a a a a ++,,...,与,,①式都成立,所以上式右端的两个方括号都等于零.于是我们证明了当n =k +1时等式也成立,根据(1)和(2)可知,等式对n ≧2的任何自然数都成立.技巧:用本方法证明的思路清晰,只须分两步进行即可,但归纳法的关键是由“假设n =k 成立,推导到n =k +1也成立”这一步中间的变换过程比较复杂,在“无路可走”的情况之下,归纳法也是一个好的选择.7. 利用组合分析方法证明所谓组合分析法就是通过构造具体的组合计数模型,采用了“算两次”的方法,再根据组合数的加法原理和乘法原理得到恒等式两边相等.例8.证明:--++...+=0112n 1n n 12n n n n n n n C C C C C C C (n ≧2)证明:算右边,假设有2n 个球,现要在2n 个球中任取出(n -1个,取法有 -n 12n C 种,算左边,把2n 个球分成两堆,每堆个n 个,现要 在2n 个球在中取出(n -1)个,取法是,在第一堆取0个,第二堆取(n -1)个,或第一堆取1个,第二堆 取(n -2)个,或…或第一堆取(n -1)个,第二堆 取0.再根据加法原理总的取法有 ---++...+0n 11n 2n 10n n n n n n C C C C C C 又因为---++...+0n 11n 2n 10n n n n n n C C C C C C =-++...+0112n 1nn n n n n n C C C C C C所以,左右两边都是在2n 个球中取出(n -1)个球,因此有,--++...+=0112n 1n n 12n n n n n n n C C C C C C C (n ≧2)技巧:用组合分析法证明组合恒等式的步骤是:选指出式子的一边是某个问题的解,然后应用加法原理和乘法原理等去证明式子的另一边也是该组合问题的解.用此方法也可以证明例6,证明过程非常简洁.8概率法证排列组合基本理论是古典概型计算的基石.能否用古典概型来解决某些排列组合问题我们来看下面的例子 例9证明组合数加法题推公式:.21111C C C C k n k n k n k n ----+++=分析:把特征等式经过适当变形,使之右端变为1,而左端为若干项之和,根据左端和式中各项的特点,构造以概率模型,并找到样本空间的一个特殊分化,使之相应概率等于左端和式的各项,从而得证. 证明:我们将公示变形为.11211111=+++--+--+CC CC CC k n k n k n k n k n k n下面利用超几何分布概率公式构建摸球模型来证明:设袋中有1+n 只球,其中有1只黑球,1只白球,现随机地抽取k 只球()11+≤≤n k .设事件A :“抽取的k 只球中含有黑球”,B :“抽取的k 只球中含有白球”,则()CC C kn knA P 101+= 由全概率公式得()()()()()B A P B P B A P B P A P +==CC C CC C CC C CC C knk n k n k n k nk n k n k n 1111101121111111--+---+-•+• =CC CCkn k n k n k n 111121+--+--+ 由()()1=+A P A P ,立即得证该公式技巧:利用概率对立事件发生的概率和为1,或是在某种情况下必然事件的概率也为1.可以与实际相结合,容易理解.9 几何法例10 证明nnn n n C C C 21=+++ 分析:主要是利用组合的几何意义来证明.无重组合Cn 1n +的几何意义表示平面坐标上的(0,0)点到整点(n,m )(这里n,m 都是整数)的递增路径的总和.一条从点(0,0)到点(n,m )的递增路径是 指一个有长度为1的端点为整点的线段首尾连接所组成的折线, 并且每一条线段的后一个端点的坐标或者在x 上或者在y 上,比 前一个端点增加一的单位长,水平走一步为x,垂直走一步为y,图 1中的递增路径可表示为:x,y,x,x,y,y,x,x,y,y 证明:由图2可知等式的左边,Cn0表示从(0,0)到(0,n )点的增路径,Cn1表示从(0,0)到(1,n-1)点的增路径数,┄,Cn n1-表示从(0,0)到(n-1,1)点的的增路径数,Cn n表示从(0,0)到(n,0)点的的增路径数1,而这所有的地 增路径之和就是从(0,0)点到斜边上的整点的递增路径. 另一方面,从(0,0)点到斜边上任何一整点的递增路径是 n 步步长,每一步是x 或者y ,有两种选择,由乘法法则,n 步的不同方法的总数为2n ,所以等式成立.10 用幂级数法我们知道,()1-1--n x 可展成如下幂级数: ()=---11n x k k k kn x C∑∞=+01<x现在我们用次展开式证明下列等式 例11 证明C C C C n m n n m n n n n n 111+++++=+++证明:因为 ()()()111-1-+--x x n =()21---n x左边应为:()()()1111-+---x x n =∑∑∞=∞=+•0i ikk nk n x x C右边应为:()=---21n x k k n k n x C ∑∞=+++011比较两边nx 的系数可知,原等式成立.技巧:对组合求和,当组合下标变动时,常用幂级数方法.11微积分法例11 求证:()∑∑==-=-nk kn nk k kkC 11111 分析:利用微分与积分的相互转化是问题得以解决,求导后再积回去,不改变原等式的性质. 证明:令 ()()k k nnk k x kx f C∑=--=111则 ()00=f ,()()Ck nnk k kf ∑=--=1111()()1111-=-∑-='k nk kn k xx f C =()k n k k n kx x C ∑=--111=()x x n---11=()()x x n----1111 =()()()121111--++-+-+n x x x即()()∑-=-='11n j jx x f上式两边同时求积分得 ()()C x j x f n j j +-+-=∑-=+11111所以 ()C j f n j ++-==∑-=11100 ⇒ ∑∑-===+=101111n j nk kj C 从而 ()()∑∑=-=++-+-=n k n j j kx j x f 1111111()()∑∑==-==-nk knnk k k f kC 111111 12 递推公式法上述例12是否还可以用递推公式的方法解决,我们来看一下· 证明:令()∑=--=nk k nk n Ckf 111 ( ,3,2,1=n )则 ,11=f 当2≥n 时,n f =()()C C k n k n nk k11111-k 1----=+∑=()()∑∑=-----=--+-nk k n k kn n k k CC kk1111111111=()∑=---n k k n k n C n f 1111=()⎥⎦⎤⎢⎣⎡---∑=-11101n k k n kn C n f=()1011---n f n =n f n 11+- 所以 n f f n n 11+=-=n n f n 1112+-+-=nf 131211++++==∑==++++n k kn 1113121113 生成函数法首先介绍生成函数相关定义和定理.定义1 设{}n a 是一个数列,做形式幂级数() +++++=nn x a x a x a a x f 2210称()x f 为数列{}n a 的生成函数. 定义2 对任何实数r 和整数k 有=Ck r()()!111k k r r r +-- 000>=<k k k定理1 设数列{}{}n n b a ,的生成函数为()()x B x A ,,若∑==ni i n a b 0,则()()xx A x B -=1 定理2 设m 是一个有理数,R a ∈,有()∑∞==+01k k k kmmx a ax C例13 设n ∈N,有())3)(2(11123+++++n n n n Cn n证明:设数列Ck kkn +2的生成函数A(x),即A(x)=xC k kk kn k +∞=∑02设∑==n i i n a b 1,先求A(x),由()x n --11-=xC kk kkn ∑∞=+1对上式两边求导得:()()xC k k kk n n k x n 11211-∞=+--∑=-+两边同乘x 得:()()x C kkk n k n k x n +∞=--∑=-+1211对上式两边求导得:()()()()()2311121-----++-++n n x n x x n n =xC k k k kn k 112-+∞=∑两边同乘x 得:()()()()()x x n x x n n n n 22311121-----++-++=xC kkk kn k +∞=∑12=A(x)由定理1=-=xx A x B 1)()(()()()()()x x n x x n n n n 32411121-----++-++ 由⑴式得()41---n x 中2-n x的系数为Cn n 212-+,()3-1--n x 中1-n x的系数为Cn n 112-+.因此)(x B 展开式中nx 的系数为 =n b ()()()121112212++++-+-+n n n C C n n n n =()()()3211123+++++n n n n Cn n因此Ck kkn nk +=∑12=()()()3211123+++++n n n n Cn n14 牛顿公式法相关定理及定义:定义1 设(){}0≥n n f 为任一数列,令△()()()n f n f n f -+=1 () ,2,1,0=n△()n f k =△()11+-n f k -△()n f k 1- () ,2,1,0=n这里△成为差分算子.定义2 设(){}0≥n n f 为任一数列,令()()1+=n f n Ef () ,2,1,0=n()n f E k ()()k n f n f E k +=+=-11 () ,2,1,0=n这里称E 移位算子定义3 设(){}0≥n n f 为任一数列,令()()n f n If = () ,2,1,0=n()()()n f n f I n f I k k ==-1 () ,2,1,0=n这里称I 为恒等因子.定理1 设(){}0≥n n f 为任一数列,R b a ∈,,则△()()()=+n bg n af a △()n f +b △()n g ,约定:△I I E ===000定理2 (牛顿公式)n E =(△+I )∑==nj j n n C 0△j△()()j j n jn n j n n EI E C -=∑-=-=01例14 ()l f =m m l a l a a +++ 10(其中0≠m a ,R a i ∈ ,N l ∈),有()()C kn n k k n l f ∑-=-01={nm a m n m m =<,!0,证明:由牛顿公式()()=∑-=-C j n n j j n l f 11()∑-=-n j j n 11,()=-j l f E C jj n △f n ,实际上是证明△f n ={nm a m n m m =<,!,0 ⑴对()f ∂用数学归纳法证明当()n f <∂时,有△()l f n=0 当()1=∂f 时,令()b al l f +=(0≠a )△()l f ()()=-+l f l f 1()()a b al b l a =+-++1,△()02=-=a a l f 假设()m f <∂时命题成立,当()m f =∂且n m <时,令()m m l a l a a l f +++= 10△()=l f ()()()m m m m l a l a a l a l a a +++-+++++ 101011 显然∂(△()l f )11-<-≤n m ,由归纳法设△()l f n=△1-n (△()l f )=0 ⑵设()=l f n n l a l a a +++ 10(其中0≠n a )对n 用归纳法证明△()n n a n l f !=当()1=∂f 时,令()b al l f += ()0≠a△()=l f ()()l f l f -+1=()()a b al b l a =+-++1假设()m f <∂时命题成立当()m f =∂时△()=l f ()()()=+++-+++++m m m m l a l a a l a l a a 101011()l g l ma m m +-1()2-≤∂m l g ,由⑴有 △()01=-l g m由归纳假设有 △11-m -m l =()!1-m 因此 △()=l f m △1-m (△()l f )=△()11--m m m l ma +△()l g m 1-=m ma △11--m m l =m a m !因此,命题成立.结束语关于组合恒等式的证明方法还有很多,例如,倒序求和法,二项式反演公式法,母函数等等.本文介绍的主要是几种方法中,大多是以高中知识为基础,也可以说是组合恒等式证明的初等方法,也有大学学的方法,比较深入,不是很好理解.通过学习,我们要学会具体问题具体分析和解决问题多样化的思想.顺便指出,以上例题的解法不是唯一的,本文也有提及.细心的话也可以留意到,各种方法之间也存在着一定的联系,在这里就不再累赘了.参考文献⑴陈智敏,组合恒等式新的证明方法,广州大学学报,2006(04).⑵侯为波、卓泽强,古典概型在排列组合恒等式证明中的应用,淮北师范大学学报,1996(04).⑶概率在证明组合恒等式中的应用,淮南师范大学学报,2004(02).⑷周棉刚,关于组合恒等式的几种证法,黔南民族师范学院学报,2003(3).⑸何宗祥,漫谈组合恒等式的证明,中国数学月刊1994(2).⑹几何法,数学教学,1989(01).⑺杨青文,有关组合恒等式的几种证法,青海师专学报,1995(2).⑻杜庆坤,组合恒等式的证明技巧,临沂师范学报,2003(12).⑼曹汝成,组合数学,华南理工大学出版社,广州,2011⑽卢开澄,组合数学,清华大学出版社(第二版),北京.。
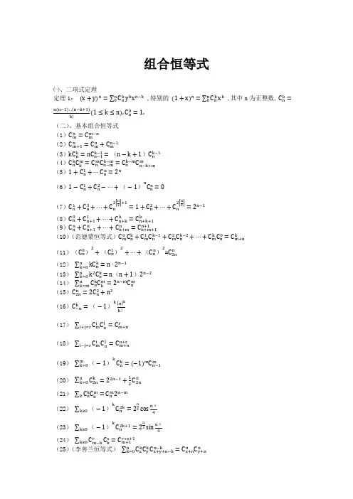
组合恒等式㈠、二项式定理定理1: (x +y )n =∑C n k n 0y k x n−k ,特别的 (1+x)n =∑C n k n 0x k ,其中n 为正整数, C n k =n (n−1)…(n−k+1)k!(1≤k ≤n ),C n 0=1.(二)、基本组合恒等式(1)C m n =C m m−n(2)C m+1n =C m n +C m n−1(3)kC n k =nC n−1k−1=(n −k +1)C n k−1(4)C n k C k m =C n m C n−m k−m =C n k−m C n−k+m m(5)1+C n 1+⋯C n n =2n(6)1−C n 1+C n 2−⋯+(−1)n C n n =0(7)C n 1+C n 3+⋯+C n 2[n 2]+1=1+C n 2+⋯+C n 2[n 2]=2n−1(8)C n 0+C n+11+⋯+C n+k k =C n+k+1k(9)C n n +C n+1n +⋯+C n+m n =C n+m+1n+1(10)(范德蒙恒等式)C m 0C n k +C m 1C n k−1+C m 2C n k−2+⋯+C m k C n 0=C m+n k(11)(C n 0)2+(C n 1)2+⋯+(C n n )2=C 2n n(12) ∑kC n k n k=0=n ∙2n−1 (13) ∑k 2C n k =n k=0n (n +1)2n−2 (14) ∑C n k C k m =2n−m C n m n k=m (15)C 2n n =2C n 2+n 2(16)C −n k =(−1)k [n ]k k ! (17) ∑C m i C n j =C m+n r i+j=r(18) ∑C m i i−j=r C n j =C m+n n+r(19) ∑(−1)km k=0C n k =(−1)m C n−1m(20) ∑C 2n k n k=0=22n−1+12C 2n n (21) ∑C n k C k m k =C n m 2n−m (22) ∑(−1)k k≥0C n 2k =2n 2cosn π4 (23) ∑(−1)k k≥0C n 2k+1=2n 2sin n π4(24) ∑C m−k r k≥0C k s =C m+1r+s+1(25)(李善兰恒等式) ∑C x k C y k n k=0C x+y+n−k n−k =C x+n n C y+n n命题1:若P (x )是次数<n 的多项式,则 ∑(−1)k C n k n k=0p (k )=0,∑(−1)k C n k n k=0k n =(−1)nn !(三)、组合恒等式基本证明方法恒等变形、求和换序、数学归纳法、微积分方法、母函数方法、应用递归关系、运用组合解释、复数法、差分法、网络路径数、WZ 方法、算子方法、利用组合互逆公式等1.母函数方法应用母函数方法证明组合恒等式时,常常是适当选择一个母函数,用两种不同的方法将它展开成两个幂级数,则由同次幂的系数相等便得到要证明的组合恒等式.2.算子方法设p [x ]表示如下形状的形式幂级数组成的集合:f (x )=∑a n x n ∞n=0.特别,如果a 0,a 1,……,a n ,……中只有有限个数不等于0,那么f (x )为多项.对任意f (x )=∑a n x n ∞n=0,g (x )∑b n x n ∞n=0,我们定义:(1)k f (x )=∑(ka n )x n ∞n=0(k 为常数)(2)f (x )±g (x )= ∑(a n ±b n )x n ∞n=0(3)f (x )g (x )=∑C n x n ∞n=0,其中C n =∑a k b n−k ∞k=0.对任意f (x )∈p [x ],我们定义算子:C k 〈f (x )〉=a ,即C k 〈f (x )〉为f (x )展开式中x k 的系数.由此定义我们易知算子C k 〈f (x )〉有下列性质成立:(1)对任意f (x )∈p [x ]及常数a ,C k 〈af (x )〉=aC k 〈f (x )〉.(2)对任意f (x ),g (x )∈p [x ],C k 〈f (x )±g (x )〉=C k 〈f (x )〉±C k 〈g (x )〉;C k 〈f (x )g (x )〉=∑C i 〈f (x )〉k i=0C k−i 〈g (x )〉.(3)对任意正整数n,k 及f (x ),g (x )∈p [x ],当n >k 时,C k 〈f (x )〉=C n 〈x n−k f (x )〉,C k 〈f (x )〉=C k 〈f (x )+x n g (x )〉.公式I:当n,k 为正整数,a,b 为常数时,C k 〈(a +bx )n 〉=C n k a n−k b k (当n <k 时,约定C n k =0).公式II:设m,k 为正整数时,a 为常数,则C k 〈(1−ax )−m 〉=C k+m−1m−1a k =C k+m−1k a k (|x |<).公式III :设m,n 为非负整数,a,b 为常数,则C k 〈(1+ax )m (1+bx )n+1〉=C k 〈(1−bx )n−m+k (1+(a −b )x )m 〉.3.差分方法 设f (x )为任意函数,Δ为差分算子,其定义为Δf (x )=f (x +1)−f (x ),Δk f (x )=Δ[Δk−1f (x )](k =2,3,…),以算子Δ作成的差分多项式P (Δ)=。
证明组合恒等式的方法与技巧前言组合恒等式在数学及其应用中占有不可忽视的地位,它是以高中排前言列组合、二项式定理为基础.组合恒等式的证明有一定的难度和特殊的技巧,且灵活性很强,要求学生掌握这部分知识,不但要学好有关的基础知识,基本概念和基本技能,而且还要适当诱导学生拓宽思路、发挥才智,培养解决问题方法多样化的思想.下面就以例题讲解的形式,把证明组合恒等式的常见方法与技巧一一列举出来.1. 利用组合公式证明组合公式:mn C =n!!n m m (-)!例1. 求证:m mn C =n 11m n C --分析:这是组合恒等式的一个基本性质,等式两边都只是一个简单的组合数.由此,我们只要把组合公式代入,经过简化比较,等号两边相等即可.证:∵ m mn C =m n!!n m m (-)!…11m n C --=n n !1!n m m (-1)(-)(-)!=n n !m 1!n m m m (-1)(-)(-)!=m n!!n m m (-)!∴ m mn C =n --11m n C .技巧:利用组合公式证明时,只须将等式中的组合数用公式代入,经过化简比较即可,此方法思路清晰,对处理比较简单的等式证明很有效,但运算量比较大,如遇到比较复杂一点的组合恒等式,此方法而不可取.2. 利用组合数性质证明组合数的基本性质:(1)m n C =n mnC -(2)1mn C +=mn C +1m nC -(3)k kn C =n k 11n C --(4)++...+=012n 2nn n n n C C C C?-+-+...+(-1)=00123n nn n n n n C C C C C (5) 例2:求证:-++3...+n =n 123n122n n n n n C C C C分析:等式左边各项组合数的系数与该项组合数上标相等,且各项上标是递增加1的,由此我们联想到组合数的基本性质:kk n C =n k 11n C -- ,利用它可以将各项组合数的系数化为相等,再利用性质++...+=012n 2n n n n n C C C C 可得到证明.证:由k kn C =n k 11n C -- 得123n2n n n n C C C C ++3...+n=012n 11111n n n n n n n C C C C -----++...+n =n (012n 11111n n n n C C C C -----++...+) =nn 12-.、例3.求证:012k 1k 1m m 1m 2m k 1m k C C C C C --+++-++++...+=分析: 观察到,等式左边各项的组合数的上标和下标存在联系:上标+m =下标,而且各项下标是递增+1的.由此我们想到性质(2),将左边自第二项各项裂项相消,然后整理而得到求证.证:由性质(2)可得im i 1C ++=i m i C ++i 1m i C -+ (i ∈N )即im i C +=i m i 1C ++-i 1m i C -+令i =1,2,…,k -1,并将这k -1个等式相加,得12k 1m 1m 2m k 1C C C -+++-++...+=1021k 1k 2m 2m 1m m m k m k C C C C C C --+++3+2++-1-+-+...+-—=-0m 1C ++k 1m k C -+ =-0m C +k 1m k C -+∴012k 1k 1m m 1m 2m k 1m k C C C C C --+++-++++...+=.技巧:例2和例3的证明分别利用性质(3)(5)、(2)此方法的技巧关键在于观察,分析各项组合数存在的联系,读者应在平时实践做题总结,把它们对号入座,什么样的联系用什么样的性质来解决.3. 利用二项式定理证明我们都知道二项式定理:n n 1n 2n 2n 1n n n n n a b a a b a b ab b C C C -1-2--1(+)=+++...++,对于某些比较特殊的组合恒等式可以用它来证明,下面以两个例子说明3.1.直接代值;例4.求证:(1)-1-1+3+3+...+3+3=122n n 1n 2n n n n 2C C C (2)---1--++...+(-1)+(-1)=n n 11n 22n n 1nn n n 22221C C C 分析:以上两题左边的各项组合数都是以 i n i in a b C - 的形式出现,这样自然会联想到二项式定理.证:设 n n 1n 2n 2n 1n n n n n a b a a b a b ab b C C C -1-2--1(+)=+++...++ ① ⑴ 令a =1,b =3,代入①,得 -1-+)=1+3+3+...+3+3n 122n n 1n n n n (13C C C 即, -1-1+3+3+...+3+3=122n n 1n 2n n n n 2C C C(2) 令a =2,b =-1,代入①,得n n n 11n-22n 1n 1n n n n 121C C C ---(2-1)=2-2+2+...+(-)+(-)即,---1--++...+(-1)+(-1)=n n 11n 22n n 1n n n n 22221C C C .技巧:此方法的关键在于代值,在一般情况,a ,b 值都不会很大,一般都是0, 1,-1,2,-2 , 3,—3这些数,而且a ,b 值与恒等式右边也有必然的联系,如上题中1+3=22,2-1=1,在做题的时候要抓住这点.;3. 2.求导代值例5.求证: -+3+...+(-1)=(-1)23n n 2n n n 212nn n n 2C C C (n ≧2) 分析:观察左边各项组合数的系数发现不可以直接运用二项式定理,但系数也有一定的规律,系数都是i(i-1) i=2,3,…n 我们又知道(x i )’’=i(i-1)x i-2 由此我们想到了求导的方法.证:对n 0122n n n n n n x x x x C C C C (1+)=+++...+ 两边求二阶导数,得n 223n n 2n n n n n 1x 212x n n x C C C --(-1)(+)=+3+...+(-1)令x=1得 -+3+...+(-1)=(-1)23n n 2n n n 212n n n n 2C C C (n ≧2) 技巧:此方法证明组合恒等式的步骤是,先对恒等式na x (+)=i 1mnn i i C ax -=∑ 两边对x 求一阶或二阶导数,然后适当选取x 的值代入.4. 比较系数法·比较系数法主要利用二项式定理中两边多项式相等的充要条件为同次幂的系数相等加以证明.例6.求证:2222++)+()+()+...+()=012m m 1m 22(n nn n C C C C C (范德蒙恒等式)分析:本题若考虑上面所讲和方法来证明是比较困难的,注意到等式左边各项恰是二项展开式中各项二项式系数的平方,考虑二项展开式 (1+)n x =+0n C ++...+122n nn n n x x x C C C 和(1+)=+++...+n 012n n n n n 2n 1111x x x xC C C C 这两个展开式乘积中常数项且好式是 2222++)+()+()+...+()012m m 1m 2(n n C C C C证:∵n 0122n n n n n n x x x x C C C C (1+)=+++...+ (1+)=+++...+n 012n n nn n 2n 1111x x x xC C C C ∴n1x (1)n x+(1+)=(+++...+0122n n n nn n x x x C C C C ) (+++...+012n n nn n 2n 111x x xC C C C ) 又有,n1x (1)n x+(1+)=2nn(1+x)x ,比较两边的常数项,左边常数项为2222++)+()+()+...+()012m m 1m 2(n n C C C C右边的常数项为2nn C ,根据二项展开式中对应项的唯一性得 2222++)+()+()+...+()=012m m 1m 22(n n n n C C C C C技巧:此方法关键是适当地选择一个已知的恒等式,然后比较两边x 同次幂的系数.当然,已知恒等式的选择不是唯一的,例5也可以选择已知恒等式 n 2x (1)(1)n nx x +=+(1+) ,只须比较恒等式中两边含有n x 的系数即可得证,证明留给读者.5. 利用数列求和方法证明回到例2,除了利用组合数的性质,我们还可以有其他方法.观察,恒等式左边的各项组合数的系数为等差数列,现在我们仿照求和公式(1)12 (2)n n n -+++=的证明来证明例2 证:设123nn n n n s=C 2C 3C ...n C +++ ① 则n n-121n n n n s=n C n-1)C ...2C C +(++ 01n-2n-1n n n n =n C n-1)C ...2C C +(++ ②:①+②得01n-1nn n n n 2s=n C C ...n C C n +++n 01n-1nn n n n =n(C C ...C C )+++=n 2n∴ 12n s n -=技巧:此方法的证明有一定的特殊性,分析等式中组合数系数的变化规律尤其重要,知识的迁移在此方法是一个很好的见证.6. 利用数学归纳法证明我们都知道数学归纳法,在证明数列的题目中,我们就体会了数学归纳法的好处,只要按照数学归纳法的两个步骤进行就可以了.那么,组合恒等式的证明可不可以用数学归纳法来证明呢看下面的一个例题(例7.已知{n a }是任意的等差数列,且n ≧2,求证:123n n+1a -a +a -...+(-1)a +(-1)a =0012n-1n-1nn n n n n n C C C C C分析:由于本题恒等式左边的各项组合数系数是一个不确定的等差数列,用上面的方法处理就比较困难,又因为等式含有数列,我们不妨用数学归纳法试试.证:i) 当n =2时,因为2132a a a a -=-所以12320a a a -+=,故等式成立,ii) 假设,当n =k (k ≧2)时等式成立,即对任何等差数列{n a },有,123k k+1a -a +a -...+(-1)a +(-1)a =0012k-1k-1kk k k k k k C C C C C ① 则当n =k +1时,利用组合数性质,有+1+1+2+13+1k +1k+2a -a +a -...+(-1)a +(-1)a 012k k k k +111+1k k k k k C C C C C123-+1k +1k+2=a -(+)a +(+)a -... +(-1)(+)a +(-1)a 01021k k k 1k k k k k k k k k k C C C C C C C C 123k +1--234k +1k +2=a -a +a -...+(1)a -a -a +a -...+(1)a +(1)a 012k k 012k 1k 1k k[-][--]k k k k k k k k k C C C C C C C C C[因为根据归纳假设,当n =k 时,对任意等差数列12k 123k 2a a a a a a ++,,...,与,,①式都成立,所以上式右端的两个方括号都等于零.于是我们证明了当n =k +1时等式也成立,根据(1)和(2)可知,等式对n ≧2的任何自然数都成立.技巧:用本方法证明的思路清晰,只须分两步进行即可,但归纳法的关键是由“假设n =k 成立,推导到n =k +1也成立”这一步中间的变换过程比较复杂,在“无路可走”的情况之下,归纳法也是一个好的选择.7. 利用组合分析方法证明所谓组合分析法就是通过构造具体的组合计数模型,采用了“算两次”的方法,再根据组合数的加法原理和乘法原理得到恒等式两边相等.例8.证明:--++...+=0112n 1n n 12n n n n n n n C C C C C C C (n ≧2)证明:算右边,假设有2n 个球,现要在2n 个球中任取出(n -1个,取法有 -n 12n C 种,算左边,把2n 个球分成两堆,每堆个n 个,现要 在2n 个球在中取出(n -1)个,取法是,在第一堆取0个,第二堆取(n -1)个,或第一堆取1个,第二堆 取(n -2)个,或…或第一堆取(n -1)个,第二堆 取0.再根据加法原理总的取法有 ---++...+0n 11n 2n 10n n n n n n C C C C C C)又因为---++...+0n 11n 2n 10n n n n n n C C C C C C =-++...+0112n 1nn n n n n n C C C C C C所以,左右两边都是在2n 个球中取出(n -1)个球,因此有,--++...+=0112n 1n n 12n n n n n n n C C C C C C C (n ≧2)技巧:用组合分析法证明组合恒等式的步骤是:选指出式子的一边是某个问题的解,然后应用加法原理和乘法原理等去证明式子的另一边也是该组合问题的解.用此方法也可以证明例6,证明过程非常简洁.8概率法证排列组合基本理论是古典概型计算的基石.能否用古典概型来解决某些排列组合问题我们来看下面的例子 例9证明组合数加法题推公式:.21111C C C C k n k n k n k n ----+++=分析:把特征等式经过适当变形,使之右端变为1,而左端为若干项之和,根据左端和式中各项的特点,构造以概率模型,并找到样本空间的一个特殊分化,使之相应概率等于左端和式的各项,从而得证. 证明:我们将公示变形为.11211111=+++--+--+CC CC CC kn k n k n k n k n k n、下面利用超几何分布概率公式构建摸球模型来证明:设袋中有1+n 只球,其中有1只黑球,1只白球,现随机地抽取k 只球()11+≤≤n k .设事件A :“抽取的k 只球中含有黑球”,B :“抽取的k 只球中含有白球”,则()CC C kn knA P 101+= 由全概率公式得()()()()()B A P B P B A P B P A P +==CC C CC C CC C CC C knk n k n k n k nk n k n k n 1111101121111111--+---+-•+• =CC CCkn k n k n k n 111121+--+--+ 由()()1=+A P A P ,立即得证该公式技巧:利用概率对立事件发生的概率和为1,或是在某种情况下必然事件的概率也为1.可以与实际相结合,容易理解.…9 几何法例10 证明nnn n n C C C 21=+++ 分析:主要是利用组合的几何意义来证明.无重组合Cn 1n +的几何意义表示平面坐标上的(0,0)点到整点(n,m )(这里n,m 都是整数) 的递增路径的总和.一条从点(0,0)到点(n,m )的递增路径是 指一个有长度为1的端点为整点的线段首尾连接所组成的折线, 并且每一条线段的后一个端点的坐标或者在x 上或者在y 上,比 前一个端点增加一的单位长,水平走一步为x,垂直走一步为y,图…1中的递增路径可表示为:x,y,x,x,y,y,x,x,y,y证明:由图2可知等式的左边,Cn0表示从(0,0)到(0,n )点的增路径,Cn1表示从(0,0)到(1,n-1)点的增路径数,┄,Cn n1-表示从(0,0)到(n-1,1)点的的增路径数,Cn n表示从(0,0)到(n,0)点的的增路径数1,而这所有的地 增路径之和就是从(0,0)点到斜边上的整点的递增路径. 另一方面,从(0,0)点到斜边上任何一整点的递增路径是 n 步步长,每一步是x 或者y ,有两种选择,由乘法法则,<n 步的不同方法的总数为2n,所以等式成立.10 用幂级数法我们知道,()1-1--n x 可展成如下幂级数: ()=---11n x k k kkn x C∑∞=+01<x 现在我们用次展开式证明下列等式 例11 证明C C C C n m n n m n n n n n 111+++++=+++证明:因为 ()()()111-1-+--x x n =()21---n x左边应为:()()()1111-+---x x n =∑∑∞=∞=+•0i i kk n k n x x C右边应为:()=---21n x k k n k n x C ∑∞=+++011%比较两边nx 的系数可知,原等式成立.技巧:对组合求和,当组合下标变动时,常用幂级数方法.11微积分法例11 求证:()∑∑==-=-nk kn nk k kkC 11111分析:利用微分与积分的相互转化是问题得以解决,求导后再积回去,不改变原等式的性质. 证明:令 ()()k k nnk k x kx f C∑=--=111则 ()00=f ,()()Ck nnk k kf ∑=--=1111()()1111-=-∑-='k nk kn k x x f C =()k n k k nk x x C ∑=--111=()x x n---11=()()x x n----1111 ;=()()()121111--++-+-+n x x x即()()∑-=-='11n j jx x f上式两边同时求积分得 ()()C x j x f n j j +-+-=∑-=+11111所以 ()C j f n j ++-==∑-=11100 ⇒ ∑∑-===+=101111n j nk kj C 从而 ()()∑∑=-=++-+-=n k n j j kx j x f 1111111()()∑∑==-==-nk knnk k kf kC 111111 12 递推公式法上述例12是否还可以用递推公式的方法解决,我们来看一下··证明:令()∑=--=nk k nk n Ckf 111 ( ,3,2,1=n )则 ,11=f 当2≥n 时,n f =()()C C k n k n nk k11111-k 1----=+∑=()()∑∑=-----=--+-nk k n k kn n k k CC kk1111111111=()∑=---n k k n k n C n f 1111=()⎥⎦⎤⎢⎣⎡---∑=-11101n k k n kn C n f=()1011---n f n =n f n 11+- 所以 n f f n n 11+=-=n n f n 1112+-+-=nf 131211++++==∑==++++n k kn 1113121113 生成函数法}首先介绍生成函数相关定义和定理.定义1 设{}n a 是一个数列,做形式幂级数() +++++=nn x a x a x a a x f 2210称()x f 为数列{}n a 的生成函数. 定义2 对任何实数r 和整数k 有=Ck r()()!111k k r r r +-- 000>=<k k k定理1 设数列{}{}n n b a ,的生成函数为()()x B x A ,,若∑==ni i n a b 0,则()()xx A x B -=1 定理2 设m 是一个有理数,R a ∈,有()∑∞==+01k k k k mmx a ax C例13 设n ∈N,有())3)(2(11123+++++n n n n Cn n;证明:设数列Ck kkn +2的生成函数A(x),即A(x)=xC k kk kn k +∞=∑02设∑==n i i n a b 1,先求A(x),由()x n --11-=xC kk kkn ∑∞=+1对上式两边求导得:()()xC k k kk n n k x n 11211-∞=+--∑=-+两边同乘x 得:()()x C kkk n k n k x n +∞=--∑=-+1211对上式两边求导得:()()()()()2311121-----++-++n n x n x x n n =x C k k k k n k 112-+∞=∑两边同乘x 得: ()()()()()x x n x x n n n n 22311121-----++-++=x C k k k k n k +∞=∑12=A(x) 由定理1。
百度文邮-让每个人平零地捉升口我4(1引言组合恒等式是组合数学的一个重要部份•它在数学的各个分支中都有普遍应用,而且它的证明方式多种多样,具有很强的灵活性•下面通过几个实例具体讲 述一下,几种证法在组合恒等式中的运用.2代数法通常利用组合恒等式的一些性质进行讣算或化简,使得等式两边相等, 或利用二项式定理(x +y )ll = 'Yjc :t x r y n r 在展开式中令%和y 为某个特定的 r=0值,也可以先对二项式定理利用幕级数的微商或积分后再代值,得出所需要的 恒等式.例 1 C ;,+, + C ;-1 + 2C ; = n > m .分析:这个等式两边都很简单,咱们可以利用一些常常利用的组合恒等 式去求证.证明:W+CJ+2C : =C 鷲• “ ■ 111 +1 八“亠 j fl Ifl … •••左边=c (—- + —-— + 2) m +1 n+1 m二⑴("+加+ 2 * 加 ) m + 1 〃 +1 — m/ (it + m + 2)(/1 +1 一 m ) + m 2 + m 、(in + l )(n +1 - m )n 2 +3n + 2(〃?+ l )(n +1— 〃?)(〃 + 2)(〃 +1)(加+ 1)(" +1—〃7)右边二 = G + 2)! = s + 2)(n + l)川心(n + \—m) !(加 +1)! (m +1)(〃 +1-m)(n 一 m)!m! VC : m c :(百度文库•让每个人平等地捉升口我=J G + l)S + 2)"(〃 + 1—加)(〃? + 1)左侧二右边即证.例2 求证:3” + C:3”" + C; 3心+ …+ C;J 31 + C;; 3° = 22n .分析:看到上式,很容易想到二项式的展开式,尝试利用二项式定理去做.证明:山二项式定理成立恒等式,(3 + ”)" = 3” + C* 3”" x + C: 3,,_2 F + …+ C:;“ 3x n~l + x H令x = l,B|J 得4” =2?” = 3W + c* 3M_, + C; 3"~2 + • • • + C;-13 +1即证.例3 (1)设“是大于2的整数,则C,;-2C:+3C;+…+ (-1”心=0.(2) ”为正整数,则]+ 丄C: + 丄C;+ …+ 丄C:;=丄(2 ”_ 1).2 "3 ”n+1 ”n+\分析:观察上面两式的系数,很容易想到它们和微分积分有关,咱们可以尝试利用求积分或微分的方式去解决这道题目•证明:(1) (l + x)”=U+C:x + C穿+・・. + C>”等式两边对x求导,n(l + x)n~' = C\ + 2C;x + …+ nC^x n~l百度文库•让每个人平等地捉升口我6令 *0 得,o = C :-2C ;+3C ;+・・・ + (-l)"C ; 即证.(2)由二项式定理有,(1 + x)n = C : + C ;x + C^x 2 H 1- C"x n上式两边对X 积分,有J : (1 + 创 dx =]•■ (C ; + C\x + C 討 +... + c :g 占喀c :善即1+凯+抵+小岛I 占(27).此类方式证明组合恒等式的步骤是先对恒等式(a +卄士两边 r-<)对X 求一阶或二阶导数,或积分,然后对X 取特殊值代入,取得所需证明的等 式.咱们也可以利用组合恒等式的性质,证明一些恒等式,例如利用=2C ; + C ;,求证:1’ +2’ ------------ n 2 = -/7(/? + 1)(2/1 + 1)6证明:左侧= 2(C ; +C ; + …+ C :) + (C ; +C ; +…+ C :)=2(1+ C ;+C ;+••• + (?;-C ;) + (l + C ;+(+•.•+C ; - C ;) = 2C ;,C :2(/? + 1)! /?(/?-1)= ------------------ 1 ------------ (〃-2)!3!2 = -/?(/?+ 1)(2// +1)一样的道理利用= 6C>6C ;+C ;W ,可以证明F+23+...+宀一 2 _■1 n+T (27) = £C ; &•(> 1 r+T3组合分析法所谓组合分析法就是通过构造具体的组合汁数模型或模型实例,利用不同的方式解得的结果应该相同,从而取得恒等式相等.例5证明:C;+C;「・・・ + C:=C:::.证明:C::;是卄1元集4 = {%©,心}中厂+ 1元子集的个数,这些子集可以分为” + 1类.第0类:厂+ 1元子集中含有①,则共有C,:个.第1类:不含①,但含心的厂+ 1元子集共有C]个;• • •9第"类:不含如但含的尸+ 1元子集共有C;个.山加法原理得C(; + C;+・・・ + C; + C;『・・ + C,;=C,;:;・可是C; =0,当Rv/fl寸,所以有C;+C;+|+..・ + C;=C,;::・例 6 求证:C;g + C:…C:, + C;n C;+ …+ C:;:C: = C爲(n > m).证明:构造组合模型,假设一个班有加个男生,有”个女生,此刻要选加个人,组成一组,那么有多少种选法.选法一:不区分男女生时,共有加+〃个人,选出加人,共有选法Ci;选法二:选出的男生人数为R个,R =0,1,2,…,加,男生的选法共有V,女生的选法共有Cf,完成事件的选法共c:;p种,于是Cg = C爲,又因为c,;j = C;.所以C:C:H = C;;;+”, k=0,1,2,…,加.即 g + C;C: + C;C: + …+ C;;;C: = C寫(n >m).当n = m 时,即有(C: )2 + (C:尸 + …+ (C: )2 = C;….4比较系数法主如果利用二项式定理中两边多项式相等的充要条件为同次幕的系数相等加以证明.一般情况下,用比较系数法证明所需辅助函数利用幕的运算性质:(1 + x严"=(l + x)气1 +切",其中加,"为任意实数,然后利用二项式定理的展开取得两个多项式,再通过比较同次幕的系数取得所证的恒等式.上题也可以利用比较系数法证明:(1 + •¥)"' (1 + X)" = (C: + C:X 4 --------------------------- 卜C:x"r )(C:+ c\x 4 ---------------------------------------------------- 卜C:x")=g +(C:C:+ *)"••.+(曲+4铲+ …+C:C;X +…+ C;::C;;/‘n所以疋的系数为+C© +…+ C;;:C;, 乂因为C:”=C;;:T .所以qc:+c:C「+ …+g = C:c:+c,;c:+c;c; + …+c::c:, 又因为,(1 + x)”‘ (1 + x)" = (1 += c;= + C爲X + …+ C;:+F + …+ C;;::;:严所以 g + + C;C: + …+ C:C: = C寫(n >m).即证.例7 求证(C:)2+(C:)2+・.. + (C;)2=c;;.证明:(l + x)”(l + x)”展开式中疋的系数为:%;:+c;cr= cM+g+c:c:+・..+c;;c:= (C*)2+(C;)2+... + (C;;)2乂 (1 + x)n (l + x)n =(1 + x)2n ; (1 + x)2n 展开式中 x” 的系数为 C ;;,所以即有 C )2+(C :)2+... + (C ;)2=C ;;.5数学归纳法咱们都知道数学归纳法,在证明数列的题LI 中,咱们就体会了数学归纳法 的益处,只要依照数学归纳法的两个步骤进行就可以够了.组合恒等式是与自然 数有关的命题,因此,数学归纳法也就成为证明组合恒等式的常常利用方式之一.例 8 求证:C ;:+C ;;+\+…+ C ::+p=C ;L ,"为自然数•分析:这里有一个变量/儿可以利用数学归纳法.证明:(1)当” =1时,C ;:+C ;;+i=g 显然成立.(2)假设〃 =k 时成立,即当P=21时,即上式两边同时加上C ;;+CL +・・・+CH=厂卄1 1即当p=k + l 时也成立.由(1) (2)知命题对任意自然数〃皆成立.例 9 证明:(-l )oc :+(-l),C ;+... + (-l)〃Cr=(-l)〃C 爲 证明:当加=0时,上式显然成立,当加=1时,有左侧=(-l)°C ;+(-l),C*=1 - C : = -C*_!=右边所以原式成立.C ;+/••• + %假设当m = k时成立,即'P l m = k+l时,左侧二(-1 )°C; + (-1 )*C;+ …+ (-1 )k C; + (-1 )i+,C;+, =(-1/ ―⑺一川+ (_l)z ------------- - ----------(”_l)!k! _1)!伙 + 1)!=($ (〃一1)!(1—旦)(〃- —1)!&! k + \=M (〃-1)! (-1)(心-1)_ _ (〃一£一1)久! m =(—1 严=(-i)y即当川= k + \时,命题也成立.由(1),⑵知,命题对任意自然数皆成立.结论关于组合恒等式证明的方式还有很多,例如,微积分法,二项式反演公式法,儿何法等.本文介绍的主如果儿种常见的方式,以上的方式是以高中知识为基础,也可以说是组合恒等式证明的初等方式.通过学习,咱们学会用具体问题具体分析和解决问题多样化的思想•以上例题的解法大多不是唯一的,本文也有提及.但各类方式之间也存在必然的联系.有时一道题可以同时利用儿种方式,思路很活!参考文献[1]孙淑玲,许胤龙•组合数学引论M.合肥,中国科学技术大学出版社,1999.[2]吴顺唐.离散数学[M].上海,华东师范大学出版社出版发行,1997: 79-138.[3]孙世新,张先迪.组合原理及其运用[M].北京,国防工业出版社,2006.[4]陈镇邃,注谈证明组合恒等式的几种方式[J].数学教学通信,1986, 02: 15-16.[5]张红兵,注谈组合恒等式的证明方式[J].髙等函授学报,2005,19 (13): 37-42.[6]柳丽红,证明组合恒等式的方式与技能[J].内蒙古电大学刊,2006, 86: 86-87.[7]李士荣,组合恒等式的几种证法及应用[J].重庆工学院学报(自然科学版),2007, 21 (5):72-74.本论文是在沈邦玉老师的悉心指导下完成的。
常见组合恒等式推导过程
嗨,亲爱的小伙伴们!今天咱们来聊聊常见组合恒等式的推导过程,准备好和我一起探索这个有趣的数学世界啦!
咱们先来说说那个“\(C_n^m = C_n^{n m}\)”这个恒等式哈。
想象一下,从\(n\)个东西里选\(m\)个,这和从\(n\)个里不选那\(m\)个,剩下的选法是不是一样多呀?比如说有 5 个苹果,选 2 个和不
选那 2 个,剩下的选法数量是相同的哟!
再看看“\(C_{n + 1}^m = C_n^m + C_n^{m 1}\)”这个。
咱们
可以这样想,从\(n + 1\)个里选\(m\)个,就好像先从前面\(n\)个里选\(m\)个,或者是从前面\(n\)个里选\(m 1\)个,然后再加上那一个。
是不是一下子就清楚啦?
还有那个“\(\sum_{k = 0}^n C_n^k = 2^n\)”。
想象一下,每
一个东西都有选和不选两种可能,\(n\)个东西就有\(2^n\)种可能
啦。
而从\(n\)个里选\(k\)个的组合数加起来,不就是所有的可能情
况嘛!
哎呀,推导这些组合恒等式就像是在玩解谜游戏,一步步找到答
案的感觉超棒的!有时候多想想,多画画图,就能突然明白过来。
小伙伴们,数学的世界是不是很神奇呀?其实只要咱们用心去琢磨,这些看似复杂的恒等式也能变得简单易懂呢!加油哦,相信你们
也能玩转这些组合恒等式!
好啦,今天就先聊到这儿,咱们下次继续探索更多有趣的数学知识!。
高二数学竞赛班二试第五讲 组合恒等式班级 姓名一、知识要点:数学竞赛中组合数计算和组合恒等式的证明,是以高中排列、组合、二项式定理为基础,并加以推广和补充而形成的一类习题,它往往会具有一定的难度且灵活性较强。
解决这类问题常常对学生良好的运算能力和思维的灵活性都有较高的要求。
同时,此类问题的解决也有着自身特殊的解题技巧。
因此,在各类数学竞赛中经常被采用。
1.基本的组合恒等式简单的组合恒等式的化简和证明,可以直接运用课本所学的基本组合恒等式。
事实上,许多竞赛中出现的较复杂的组合数记算或恒等式证明,也往往运用这些基本组合恒等式,通过转化,分解为若干个简单的组合恒等式而加以解决。
课本中的组合恒等式有:①r n r n nC C -=; ②111r r rn n n C C C +++=+;③11k k n n kC nC --=; ④r m m r mn r n n m C C C C --=;⑤0122n nn n n n C C C C ++++=L ;⑥()01210.nnn n n n C C C C -+++-=L2.解题中常用方法① 运用基本组合恒等式进行变换;② 运用二项展开式作为辅助函数,通过比较某项的系数进行计算或证明; ③ 运用数学归纳法; ④ 变换求和指标;⑤ 运用赋值法进行证明;⑥ 建立递推公式,由初始条件及递推关系进行计算和证明; ⑦ 构造合理的模型。
二、经典例题例1.求证:1231232n n n n n n C C C nC n -++++=⋅L .例1.证明:根据前面提到的基本的组合恒等式第三条,可得:左边0121111112n n n n n n nC nC nC nC n ------=++++=⋅=L 右边例2.求和式21nk nk k C=∑的值。
例2.基本思路:将2k n k C 改写为k n k kC ⋅,先将k n kC 用恒等式3提取公因式n ,然后再将11k n kC --变形成为()11111k k n n k C C -----+,而()111k n k C ---又可以继续运用上述恒等变形,这样就使得各项系数中均不含有变动指标k 了。
如何利用二项式定理证明组合恒等式在组合数学中,组合恒等式是一类关于组合数的等式,通常涉及到二项式系数的相加或相乘。
而二项式定理,是一种展开二项式系数的方法。
本文将讨论如何利用二项式定理来证明组合恒等式。
首先,我们需要了解二项式定理和组合数的基本概念。
二项式定理表述如下:$(a+b)^n = \sum_{k=0}^{n} \binom{n}{k} a^{n-k}b^k$其中,$a$和$b$是任意实数,$n$是一个非负整数,$\binom{n}{k}$表示从$n$个元素中取$k$个元素的组合数。
组合数的计算公式为:$\binom{n}{k} = \frac{n!}{k!(n-k)!}$接下来,我们将通过一些具体的例子来演示如何利用二项式定理证明组合恒等式。
例子1:证明组合恒等式 $\binom{n}{k} = \binom{n}{n-k}$利用二项式定理展开$\binom{n}{k}$,我们有:$\binom{n}{k} = \sum_{k=0}^{n} \binom{n}{k} 1^{n-k}1^k$注意到在组合数的定义中有 $\binom{n}{k} = \binom{n}{n-k}$,令$m=n-k$,则上式可以写成:$\binom{n}{k} = \sum_{m=0}^{n} \binom{n}{m} 1^{n-m}1^{n-m-k}$注意到$1^{n-m-k}$等于1,因此上式可以简化为:$\binom{n}{k} = \sum_{m=0}^{n} \binom{n}{m} 1^{n-m}$再次利用二项式定理,上式可以进一步化简为:$\binom{n}{k} = \sum_{m=0}^{n} \binom{n}{m} (1+1)^{n-m}$根据二项式定理的展开式,上式进一步化简为:$\binom{n}{k} = \sum_{m=0}^{n} \binom{n}{m} \sum_{i=0}^{n-m} \binom{n-m}{i} 1^{n-m-i} 1^i$注意到 $\binom{n-m}{i}$ 等于 $\binom{n}{i}$,上式可以继续化简为:$\binom{n}{k} = \sum_{m=0}^{n} \sum_{i=0}^{n-m} \binom{n}{m} \binom{n}{i}$由于组合数是交换的,我们可以交换$m$和$i$的求和顺序,上式可以进一步化简为:$\binom{n}{k} = \sum_{i=0}^{n} \sum_{m=0}^{n-i} \binom{n}{m} \binom{n}{i}$注意到 $\binom{n}{m}$ 等于 $\binom{n}{n-m}$,上式可以再次化简为:$\binom{n}{k} = \sum_{i=0}^{n} \sum_{m=0}^{n-i} \binom{n}{n-m} \binom{n}{i}$由于求和顺序不影响结果,上式可以化简为:$\binom{n}{k} = \sum_{i=0}^{n} \sum_{m=0}^{n-i} \binom{n}{n-i}\binom{n}{i}$根据组合数的性质 $\binom{n}{n-i} = \binom{n}{i}$,上式可以进一步简化为:$\binom{n}{k} = \sum_{i=0}^{n} \sum_{m=0}^{n-i} \binom{n}{i}\binom{n}{i}$注意到求和两个变量时可以合并为一个,上式可以进一步化简为:$\binom{n}{k} = \sum_{i=0}^{n} \binom{n}{i} \binom{n}{i}$最后,由于组合数相乘等于组合数的平方,上式可以进一步化简为:$\binom{n}{k} = \sum_{i=0}^{n} \binom{n}{i}^2$而根据组合数的性质,$\binom{n}{k} = \binom{n}{n-k}$,因此我们证明了组合恒等式 $\binom{n}{k} = \binom{n}{n-k}$。
组合恒等式的求解策略1.基本的组合恒等式 ①r n r n n C C -=;②111r r rn n n C C C +++=+; ③11k k n n kC nC --=;④r m m r m n r n n mC C C C --=; ⑤0122n n n n n n C C C C ++++= ;⑥()01210.nnn n n n C C C C -+++-=2.解题中常用方法① 运用基本组合恒等式进行变换;② 运用二项展开式作为辅助函数,通过比较某项的系数进行计算或证明; ③ 运用数学归纳法; ④ 变换求和指标;⑤ 运用赋值法进行证明;⑥ 建立递推公式,由初始条件及递推关系进行计算和证明; ⑦ 构造合理的模型。
3.运用举例例1 求证:1231232n n n n n n C C C nC n -++++=⋅ .证明:根据前面提到的基本的组合恒等式第三条,可得:左边0121111112n n n n n n nC nC nC nC n ------=++++=⋅= 右边例2 求和式21nk n k k C =∑的值。
基本思路:将2k n k C 改写为k n k kC ⋅,先将k n kC 用恒等式3提取公因式n ,然后再将11k n kC --变形成为()11111k k n n k C C -----+,而()111k n k C ---又可以继续运用上述恒等变形,这样就使得各项系数中均不含有变动指标k 了。
解:()21111111111111nnnnnk k k k k nnn n n k k k k k k C k kCk nCn k Cn k C ------======⋅=⋅=⋅=-+⋅∑∑∑∑∑()()112111211111nnk k k k n n n n k k n k CCn n C C --------==⎡⎤⎡⎤=-⋅+=-⋅+⎣⎦⎣⎦∑∑()()21212121212111n nn nk k k k n n n n k k k k n n C Cn n C n C --------====⎡⎤=-⋅+=-+⎢⎥⎣⎦∑∑∑∑()()21212212n n n n n n n n ---=-+=+例3 求()2004200501kkk C =-∑的值。
高中数学:组合恒等式证明方法二项式系数可以组成许多有趣的组合恒等式,这些等式可以通过简捷的组合分析得到证明。
一、公式法例1、求证:。
证明:由,,…,,,,整理即。
小结:运用基本组合数公式进行转换,如:,等是处理组合恒等式的常用方法,同时,在上述恒等式中,取n=1,2,…可以推出一系列新等式,如(1)由,得1+2+…+,(2)由得等,可见本题的结论具有示范作用。
二、二项式定理法例2、求证:。
证明:因为,令,得,故。
小结:对二项式定理自身作乘法、赋值和求积等运算获得一些恒等式,根据二项展开式的特性,赋予x以不同的值,常能使问题迎刃而解。
三、倒序求和法例3、求证:。
证明:令,故,。
小结:恒等式可逆用二项式定理获求。
四、组合分析法例4、求证:。
证明:构造等式左边的等价数学模型:m名男生n名女生,从中取n人参加数学竞赛可分为n+1类,男生0人、1人、…、n人,女生对应分别为n、n-1人、…,0人,共有选法为种,又由组合数定义知所求选法为种,命题成立。
小结:对等式两端所代表的组合含义进行分析,说明等式两端恰好是对同一组合模型进行计数,或是对已经建立一一对应关系的两个组合模型进行计数即得。
五、比较系数法例5、求证:。
证明:由于,其中含有项的系数为。
而,其中含有项的系数为,同时,故。
点评:由多项式恒等对应项系数相等获求。
在本题中,对m,n,k取特殊关系有(1)时,;(2)时,等。
六、递推公式法例6、求证:。
证明:设右边,则由恒等式得,故,整理即,而,故有。
小结:本题由递推关系及初始条件进行证明,其中数列的递推思想得到了体现。
七、求导法例7、求证:。
证明:对两边的x求导得,上式两边乘以x后再求导得,取得,即证。
小结:导数是一个重要的数学工具,寻找原模型进行求导自然流畅。
八、概率法例8、求证:。
证明:设一个袋子中有n个白球和n个黑球,从中任取n个,求P(A)=P(至少有一个白球),一方面,不取白球的概率为,有P(A);另一方面,取到k个白球的概率为,故有P (A)=,同乘移项即证。
证明组合恒等式的方法与技巧前言组合恒等式在数学及其应用中占有不可忽视的地位,它是以高中排前言列组合、二项式定理为基础.组合恒等式的证明有一定的难度和特殊的技巧,且灵活性很强,要求学生掌握这部分知识,不但要学好有关的基础知识,基本概念和基本技能,而且还要适当诱导学生拓宽思路、发挥才智,培养解决问题方法多样化的思想.下面就以例题讲解的形式,把证明组合恒等式的常见方法与技巧一一列举出来.1. 利用组合公式证明组合公式:mn C =n!!n m m (-)!例1. 求证:m mn C =n 11m n C --分析:这是组合恒等式的一个基本性质,等式两边都只是一个简单的组合数.由此,我们只要把组合公式代入,经过简化比较,等号两边相等即可.证:∵ m mn C =m n!!n m m (-)!11m n C --=n n !1!n m m (-1)(-)(-)!=n n !m 1!n m m m (-1)(-)(-)!=m n!!n m m (-)!∴ m mn C =n --11m n C .技巧:利用组合公式证明时,只须将等式中的组合数用公式代入,经过化简比较即可,此方法思路清晰,对处理比较简单的等式证明很有效,但运算量比较大,如遇到比较复杂一点的组合恒等式,此方法而不可取.2. 利用组合数性质证明组合数的基本性质:(1)m n C =n mnC -(2)1mn C +=mn C +1m nC -(3)k kn C =n k 11n C --(4)++...+=012n 2nn n n n C C C C-+-+...+(-1)=00123n nn n n n n C C C C C (5)例2:求证:-++3...+n =n 123n 122n n n n n C C C C分析:等式左边各项组合数的系数与该项组合数上标相等,且各项上标是递增加1的,由此我们联想到组合数的基本性质:k kn C =n k 11n C -- ,利用它可以将各项组合数的系数化为相等,再利用性质++...+=012n 2n n n n n C C C C 可得到证明.证:由k kn C =n k 11n C -- 得123n2n n n n C C C C ++3...+n=012n 11111n n n n n n n C C C C -----++...+n =n (012n 11111n n n n C C C C -----++...+) =n n 12-.例3.求证:012k 1k 1m m 1m 2m k 1m k C C C C C --+++-++++...+=分析: 观察到,等式左边各项的组合数的上标和下标存在联系:上标+m =下标,而且各项下标是递增+1的.由此我们想到性质(2),将左边自第二项各项裂项相消,然后整理而得到求证.证:由性质(2)可得i m i 1C ++=i m i C ++i 1m i C -+ (i ∈N ) 即im i C +=i m i 1C ++-i 1m i C -+令i =1,2,…,k -1,并将这k -1个等式相加,得12k 1m 1m 2m k 1C C C -+++-++...+ =1021k 1k 2m 2m 1m m m k m k C C C C C C --+++3+2++-1-+-+...+- =-0m 1C ++k 1m k C -+ =-0m C +k 1m k C -+∴012k 1k 1m m 1m 2m k 1m k C C C C C --+++-++++...+=.技巧:例2和例3的证明分别利用性质(3)(5)、(2)此方法的技巧关键在于观察,分析各项组合数存在的联系,读者应在平时实践做题总结,把它们对号入座,什么样的联系用什么样的性质来解决.3. 利用二项式定理证明我们都知道二项式定理:n n 1n 2n 2n 1n n n n n a b a a b a b ab b C C C -1-2--1(+)=+++...++,对于某些比较特殊的组合恒等式可以用它来证明,下面以两个例子说明3.1.直接代值例4.求证:(1)-1-1+3+3+...+3+3=122n n 1n 2n n n n 2C C C (2)---1--++...+(-1)+(-1)=n n 11n 22n n 1nn n n 22221C C C 分析:以上两题左边的各项组合数都是以 i n ii n ab C - 的形式出现,这样自然会联想到二项式定理.证:设n n 1n 2n 2n 1n n n n n a b a a b a b ab b C C C -1-2--1(+)=+++...++ ① ⑴ 令a =1,b =3,代入①,得 -1-+)=1+3+3+...+3+3n 122n n 1n n n n (13C C C 即, -1-1+3+3+...+3+3=122n n 1n 2n n n n 2C C C(2) 令a =2,b =-1,代入①,得n n n 11n-22n 1n 1n n n n 121C C C ---(2-1)=2-2+2+...+(-)+(-)即,---1--++...+(-1)+(-1)=n n 11n 22n n 1n n n n 22221C C C .技巧:此方法的关键在于代值,在一般情况,a ,b 值都不会很大,一般都是0, 1,-1,2,-2 , 3,—3这些数,而且a ,b 值与恒等式右边也有必然的联系,如上题中1+3=22,2-1=1,在做题的时候要抓住这点.3. 2.求导代值例5.求证: -+3+...+(-1)=(-1)23nn 2n n n 212nn n n 2C C C (n ≧2)分析:观察左边各项组合数的系数发现不可以直接运用二项式定理,但系数也有一定的规律,系数都是i(i-1) i=2,3,…n 我们又知道(x i)’’=i(i-1)x i-2由此我们想到了求导的方法.证:对n 0122n n n n n n x x x x C C C C (1+)=+++...+ 两边求二阶导数,得n 223n n 2n n n n n 1x 212x n n x C C C --(-1)(+)=+3+...+(-1)令x=1得 -+3+...+(-1)=(-1)23n n 2n n n 212n n n n 2C C C (n ≧2)技巧:此方法证明组合恒等式的步骤是,先对恒等式na x (+)=i 1mnn i i C ax -=∑ 两边对x 求一阶或二阶导数,然后适当选取x 的值代入.4. 比较系数法比较系数法主要利用二项式定理中两边多项式相等的充要条件为同次幂的系数相等加以证明.例6.求证:2222++)+()+()+...+()=012m m 1m 22(n nn n C C C C C (范德蒙恒等式)分析:本题若考虑上面所讲和方法来证明是比较困难的,注意到等式左边各项恰是二项展开式中各项二项式系数的平方,考虑二项展开式 (1+)n x =+0n C ++...+122n nn n n x x x C C C 和(1+)=+++...+n 012n n n n n 2n 1111x x x xC C C C 这两个展开式乘积中常数项且好式是2222++)+()+()+...+()012m m 1m 2(n n C C C C证:∵n 0122n n n n n n x x x x C C C C (1+)=+++...+ (1+)=+++...+n 012n n nn n 2n 1111x x x xC C C C ∴n1x (1)n x+(1+)=(+++...+0122n n n nn n x x x C C C C ) (+++...+012n n nn n 2n 111x x xC C C C ) 又有,n1x (1)n x+(1+)=2nn(1+x)x 比较两边的常数项,左边常数项为2222++)+()+()+...+()012m m 1m 2(n n C C C C右边的常数项为2nn C ,根据二项展开式中对应项的唯一性得 2222++)+()+()+...+()=012m m 1m 22(n n n n C C C C C技巧:此方法关键是适当地选择一个已知的恒等式,然后比较两边x 同次幂的系数.当然,已知恒等式的选择不是唯一的,例5也可以选择已知恒等式n 2x (1)(1)n nx x +=+(1+) ,只须比较恒等式中两边含有nx 的系数即可得证,证明留给读者.5. 利用数列求和方法证明回到例2,除了利用组合数的性质,我们还可以有其他方法.观察,恒等式左边的各项组合数的系数为等差数列,现在我们仿照求和公式(1)12 (2)n n n -+++=的证明来证明例2 证:设123nn n n n s=C 2C 3C ...n C +++ ① 则nn-121n n n n s=n C n-1)C ...2C C +(++ 01n-2n-1n n n n =n C n-1)C ...2C C +(++ ② ①+②得01n-1nn n n n 2s=n C C ...n C C n +++n 01n-1nn n n n =n(C C ...C C )+++=n 2n∴ 12n s n -=技巧:此方法的证明有一定的特殊性,分析等式中组合数系数的变化规律尤其重要,知识的迁移在此方法是一个很好的见证.6. 利用数学归纳法证明我们都知道数学归纳法,在证明数列的题目中,我们就体会了数学归纳法的好处,只要按照数学归纳法的两个步骤进行就可以了.那么,组合恒等式的证明可不可以用数学归纳法来证明呢看下面的一个例题 例7.已知{n a }是任意的等差数列,且n ≧2,求证:123n n+1a -a +a -...+(-1)a +(-1)a =0012n-1n-1nn n n n n n C C C C C分析:由于本题恒等式左边的各项组合数系数是一个不确定的等差数列,用上面的方法处理就比较困难,又因为等式含有数列,我们不妨用数学归纳法试试.证:i) 当n =2时,因为2132a a a a -=-所以12320a a a -+=,故等式成立,ii) 假设,当n =k (k ≧2)时等式成立,即对任何等差数列{n a },有,123k k+1a -a +a -...+(-1)a +(-1)a =0012k-1k-1kk k k k k k C C C C C ① 则当n =k +1时,利用组合数性质,有+1+1+2+13+1k +1k+2a -a +a -...+(-1)a +(-1)a 012k k k k +111+1k k k k k C C C C C123-+1k +1k+2=a -(+)a +(+)a -... +(-1)(+)a +(-1)a 01021k k k 1k k k k k k k k k k C C C C C C C C 123k +1--234k +1k +2=a -a +a -...+(1)a -a -a +a -...+(1)a +(1)a 012k k 012k 1k 1k k[-][--]k k k k k k k k k C C C C C C C C C因为根据归纳假设,当n =k 时,对任意等差数列12k 123k 2a a a a a a ++,,...,与,,①式都成立,所以上式右端的两个方括号都等于零.于是我们证明了当n =k +1时等式也成立,根据(1)和(2)可知,等式对n ≧2的任何自然数都成立.技巧:用本方法证明的思路清晰,只须分两步进行即可,但归纳法的关键是由“假设n =k 成立,推导到n =k +1也成立”这一步中间的变换过程比较复杂,在“无路可走”的情况之下,归纳法也是一个好的选择.7. 利用组合分析方法证明所谓组合分析法就是通过构造具体的组合计数模型,采用了“算两次”的方法,再根据组合数的加法原理和乘法原理得到恒等式两边相等.例8.证明:--++...+=0112n 1n n 12n n n n n n n C C C C C C C (n ≧2)证明:算右边,假设有2n 个球,现要在2n 个球中任取出(n -1个,取法有 -n 12n C 种,算左边,把2n 个球分成两堆,每堆个n 个,现要 在2n 个球在中取出(n -1)个,取法是,在第一堆取0个,第二堆取(n -1)个,或第一堆取1个,第二堆 取(n -2)个,或…或第一堆取(n -1)个,第二堆 取0.再根据加法原理总的取法有 ---++...+0n 11n 2n 10n n n n n n C C C C C C 又因为---++...+0n 11n 2n 10n n n n n n C C C C C C =-++...+0112n 1nn n n n n n C C C C C C所以,左右两边都是在2n 个球中取出(n -1)个球,因此有,--++...+=0112n 1n n 12n n n n n n n C C C C C C C (n ≧2)技巧:用组合分析法证明组合恒等式的步骤是:选指出式子的一边是某个问题的解,然后应用加法原理和乘法原理等去证明式子的另一边也是该组合问题的解.用此方法也可以证明例6,证明过程非常简洁.8概率法证排列组合基本理论是古典概型计算的基石.能否用古典概型来解决某些排列组合问题我们来看下面的例子 例9证明组合数加法题推公式:.21111C C C C k n k n k n k n ----+++=分析:把特征等式经过适当变形,使之右端变为1,而左端为若干项之和,根据左端和式中各项的特点,构造以概率模型,并找到样本空间的一个特殊分化,使之相应概率等于左端和式的各项,从而得证. 证明:我们将公示变形为.11211111=+++--+--+CC CC CC k n k n k n k n k n k n下面利用超几何分布概率公式构建摸球模型来证明:设袋中有1+n 只球,其中有1只黑球,1只白球,现随机地抽取k 只球()11+≤≤n k .设事件A :“抽取的k 只球中含有黑球”,B :“抽取的k 只球中含有白球”,则()CC C kn knA P 101+= 由全概率公式得()()()()()B A P B P B A P B P A P +==CC C CC C CC C CC C knk n k n k n k nk n k n k n 1111101121111111--+---+-•+• =CC CCkn k n k n k n 111121+--+--+ 由()()1=+A P A P ,立即得证该公式技巧:利用概率对立事件发生的概率和为1,或是在某种情况下必然事件的概率也为1.可以与实际相结合,容易理解.9 几何法例10 证明nnn n n C C C 21=+++ 分析:主要是利用组合的几何意义来证明.无重组合Cn 1n +的几何意义表示平面坐标上的(0,0)点到整点(n,m )(这里n,m 都是整数)的递增路径的总和.一条从点(0,0)到点(n,m )的递增路径是 指一个有长度为1的端点为整点的线段首尾连接所组成的折线, 并且每一条线段的后一个端点的坐标或者在x 上或者在y 上,比 前一个端点增加一的单位长,水平走一步为x,垂直走一步为y,图 1中的递增路径可表示为:x,y,x,x,y,y,x,x,y,y 证明:由图2可知等式的左边,Cn0表示从(0,0)到(0,n )点的增路径,Cn1表示从(0,0)到(1,n-1)点的增路径数,┄,Cn n1-表示从(0,0)到(n-1,1)点的的增路径数,Cn n表示从(0,0)到(n,0)点的的增路径数1,而这所有的地 增路径之和就是从(0,0)点到斜边上的整点的递增路径. 另一方面,从(0,0)点到斜边上任何一整点的递增路径是 n 步步长,每一步是x 或者y ,有两种选择,由乘法法则,n 步的不同方法的总数为2n ,所以等式成立.10 用幂级数法我们知道,()1-1--n x 可展成如下幂级数: ()=---11n x k k k kn x C∑∞=+01<x现在我们用次展开式证明下列等式 例11 证明C C C C n m n n m n n n n n 111+++++=+++证明:因为 ()()()111-1-+--x x n =()21---n x左边应为:()()()1111-+---x x n =∑∑∞=∞=+•0i ikk nk n x x C右边应为:()=---21n x k k n k n x C ∑∞=+++011比较两边nx 的系数可知,原等式成立.技巧:对组合求和,当组合下标变动时,常用幂级数方法.11微积分法例11 求证:()∑∑==-=-nk kn nk k kkC 11111 分析:利用微分与积分的相互转化是问题得以解决,求导后再积回去,不改变原等式的性质. 证明:令 ()()k k nnk k x kx f C∑=--=111则 ()00=f ,()()Ck nnk k kf ∑=--=1111()()1111-=-∑-='k nk kn k xx f C =()k n k k n kx x C ∑=--111=()x x n---11=()()x x n----1111 =()()()121111--++-+-+n x x x即()()∑-=-='11n j jx x f上式两边同时求积分得 ()()C x j x f n j j +-+-=∑-=+11111所以 ()C j f n j ++-==∑-=11100 ⇒ ∑∑-===+=101111n j nk kj C 从而 ()()∑∑=-=++-+-=n k n j j kx j x f 1111111()()∑∑==-==-nk knnk k k f kC 111111 12 递推公式法上述例12是否还可以用递推公式的方法解决,我们来看一下· 证明:令()∑=--=nk k nk n Ckf 111 ( ,3,2,1=n )则 ,11=f 当2≥n 时,n f =()()C C k n k n nk k11111-k 1----=+∑=()()∑∑=-----=--+-nk k n k kn n k k CC kk1111111111=()∑=---n k k n k n C n f 1111=()⎥⎦⎤⎢⎣⎡---∑=-11101n k k n kn C n f=()1011---n f n =n f n 11+- 所以 n f f n n 11+=-=n n f n 1112+-+-=nf 131211++++==∑==++++n k kn 1113121113 生成函数法首先介绍生成函数相关定义和定理.定义1 设{}n a 是一个数列,做形式幂级数() +++++=nn x a x a x a a x f 2210称()x f 为数列{}n a 的生成函数. 定义2 对任何实数r 和整数k 有=Ck r()()!111k k r r r +-- 000>=<k k k定理1 设数列{}{}n n b a ,的生成函数为()()x B x A ,,若∑==ni i n a b 0,则()()xx A x B -=1 定理2 设m 是一个有理数,R a ∈,有()∑∞==+01k k k kmmx a ax C例13 设n ∈N,有())3)(2(11123+++++n n n n Cn n证明:设数列Ck kkn +2的生成函数A(x),即A(x)=xC k kk kn k +∞=∑02设∑==n i i n a b 1,先求A(x),由()x n --11-=xC kk kkn ∑∞=+1对上式两边求导得:()()xC k k kk n n k x n 11211-∞=+--∑=-+两边同乘x 得:()()x C kkk n k n k x n +∞=--∑=-+1211对上式两边求导得:()()()()()2311121-----++-++n n x n x x n n =xC k k k kn k 112-+∞=∑两边同乘x 得:()()()()()x x n x x n n n n 22311121-----++-++=xC kkk kn k +∞=∑12=A(x)由定理1=-=xx A x B 1)()(()()()()()x x n x x n n n n 32411121-----++-++ 由⑴式得()41---n x 中2-n x的系数为Cn n 212-+,()3-1--n x 中1-n x的系数为Cn n 112-+.因此)(x B 展开式中nx 的系数为 =n b ()()()121112212++++-+-+n n n C C n n n n =()()()3211123+++++n n n n Cn n因此Ck kkn nk +=∑12=()()()3211123+++++n n n n Cn n14 牛顿公式法相关定理及定义:定义1 设(){}0≥n n f 为任一数列,令△()()()n f n f n f -+=1 () ,2,1,0=n△()n f k =△()11+-n f k -△()n f k 1- () ,2,1,0=n这里△成为差分算子.定义2 设(){}0≥n n f 为任一数列,令()()1+=n f n Ef () ,2,1,0=n()n f E k ()()k n f n f E k +=+=-11 () ,2,1,0=n这里称E 移位算子定义3 设(){}0≥n n f 为任一数列,令()()n f n If = () ,2,1,0=n()()()n f n f I n f I k k ==-1 () ,2,1,0=n这里称I 为恒等因子.定理1 设(){}0≥n n f 为任一数列,R b a ∈,,则△()()()=+n bg n af a △()n f +b △()n g ,约定:△I I E ===000定理2 (牛顿公式)n E =(△+I )∑==nj j n n C 0△j△()()j j n jn n j n n EI E C -=∑-=-=01例14 ()l f =m m l a l a a +++ 10(其中0≠m a ,R a i ∈ ,N l ∈),有()()C kn n k k n l f ∑-=-01={nm a m n m m =<,!0,证明:由牛顿公式()()=∑-=-C j n n j j n l f 11()∑-=-n j j n 11,()=-j l f E C jj n △f n ,实际上是证明△f n ={nm a m n m m =<,!,0 ⑴对()f ∂用数学归纳法证明当()n f <∂时,有△()l f n=0 当()1=∂f 时,令()b al l f +=(0≠a )△()l f ()()=-+l f l f 1()()a b al b l a =+-++1,△()02=-=a a l f 假设()m f <∂时命题成立,当()m f =∂且n m <时,令()m m l a l a a l f +++= 10△()=l f ()()()m m m m l a l a a l a l a a +++-+++++ 101011 显然∂(△()l f )11-<-≤n m ,由归纳法设△()l f n=△1-n (△()l f )=0 ⑵设()=l f n n l a l a a +++ 10(其中0≠n a )对n 用归纳法证明△()n n a n l f !=当()1=∂f 时,令()b al l f += ()0≠a△()=l f ()()l f l f -+1=()()a b al b l a =+-++1假设()m f <∂时命题成立当()m f =∂时△()=l f ()()()=+++-+++++m m m m l a l a a l a l a a 101011()l g l ma m m +-1()2-≤∂m l g ,由⑴有 △()01=-l g m由归纳假设有 △11-m -m l =()!1-m 因此 △()=l f m △1-m (△()l f )=△()11--m m m l ma +△()l g m 1-=m ma △11--m m l =m a m !因此,命题成立.结束语关于组合恒等式的证明方法还有很多,例如,倒序求和法,二项式反演公式法,母函数等等.本文介绍的主要是几种方法中,大多是以高中知识为基础,也可以说是组合恒等式证明的初等方法,也有大学学的方法,比较深入,不是很好理解.通过学习,我们要学会具体问题具体分析和解决问题多样化的思想.顺便指出,以上例题的解法不是唯一的,本文也有提及.细心的话也可以留意到,各种方法之间也存在着一定的联系,在这里就不再累赘了.参考文献⑴陈智敏,组合恒等式新的证明方法,广州大学学报,2006(04).⑵侯为波、卓泽强,古典概型在排列组合恒等式证明中的应用,淮北师范大学学报,1996(04).⑶概率在证明组合恒等式中的应用,淮南师范大学学报,2004(02).⑷周棉刚,关于组合恒等式的几种证法,黔南民族师范学院学报,2003(3).⑸何宗祥,漫谈组合恒等式的证明,中国数学月刊1994(2).⑹几何法,数学教学,1989(01).⑺杨青文,有关组合恒等式的几种证法,青海师专学报,1995(2).⑻杜庆坤,组合恒等式的证明技巧,临沂师范学报,2003(12).⑼曹汝成,组合数学,华南理工大学出版社,广州,2011⑽卢开澄,组合数学,清华大学出版社(第二版),北京.。
2.4.3 组合恒等式有关二项式系数的恒等式至今已发现的就有上千个,而且还在不断地发展。
这些组合恒等式在许多算法分析中起着重要的作用,这里给大家介绍常用的几个。
等式1201n n n n n ⎛⎫⎛⎫⎛⎫+++= ⎪ ⎪ ⎪⎝⎭⎝⎭⎝⎭证明 方法1 其组合意义的证明见定理2.2.4 方法2 在二项式定理中令1x y ==即可。
等式2:024135n n n n n n ⎛⎫⎛⎫⎛⎫⎛⎫⎛⎫⎛⎫+++=+++ ⎪ ⎪ ⎪ ⎪ ⎪ ⎪⎝⎭⎝⎭⎝⎭⎝⎭⎝⎭⎝⎭(2.4.9)证明 方法1 在二项式定理中令1,1x y =-=,得:0(1)0nk k n k =⎛⎫-= ⎪⎝⎭∑ (2.4.10)将(2.4.10)式整理一下即得(2.4.9)式。
方法2 等式(2.4.9)的组合意义是:在n 个元素的集合中取r 组合,r 为奇数的组合数目等于r 为偶数的组合数目(包含0组合在内)。
下面我们来建立r 为偶数的组合与r 为奇数的组合之间的一一对应,从而证明(2.4.9)式。
以4个元素,,,a b c d 构成的集合的一切组合为例,r 为奇数的组合有:,,,,,,,;a b c d abc abd acd bcdr 为偶数的组合有:,,,,,,,ab ac ad bc bd cd abcd φ其中,φ表示取零个元素的组合。
从n 个元素的集合中取r 组合,r 可以有不同的值,但就元素a 而言,只有含有元素a 和不含有元素a 两类。
若r 为奇数的组合中含有a ,去掉a 便得一个r 为偶数的组合。
例如,abc 去掉a 得bc 。
若r 为奇数的组合中不含有a ,加上元素a 便构成一个r 为偶数的组合。
例如,bcd 加上a 得abcd 。
见表2.4.1表2.4.1等式3112212n n n n n n n -⎛⎫⎛⎫⎛⎫⋅+⋅++⋅=⋅ ⎪ ⎪ ⎪⎝⎭⎝⎭⎝⎭证明 对等式:0(1)nni i n x x i =⎛⎫+=⎪⎝⎭∑两边在1x =处求导数,得()()()1111112nn n x x x n x n --=='+=+=111011n n nj j x x i i i n n n x xi i i -====='⎛⎫⎛⎫⎛⎫⎛⎫== ⎪ ⎪ ⎪ ⎪⎝⎭⎝⎭⎝⎭⎝⎭∑∑∑从而:112212n n n n n n n -⎛⎫⎛⎫⎛⎫⋅+⋅++⋅=⋅ ⎪ ⎪ ⎪⎝⎭⎝⎭⎝⎭等式4:0111n n k k k k +⎛⎫⎛⎫⎛⎫⎛⎫+++= ⎪ ⎪ ⎪ ⎪+⎝⎭⎝⎭⎝⎭⎝⎭证明,用数学归纳法很容易证明此结论,下面通过其组合意义来分析其正确性。
① ⑤②③ ④ ⑥ 高中数学奥赛辅导第九讲 组合恒等式、组合不等式知识、方法、技能Ⅰ.组合恒等式竞赛数学中的组合恒等式是以高中排列组合、二项式定理为基础,加以推广、补充而形成的一类组合问题.组合恒等式的证明要借助于高中常见的基础组合等式.例如0)1(2321021011111=-++-+-=++++⋅==+==----+++-n n n n n n n nnn n n n mr mn m n m n r n r n r n r nr n r n rn nr n C C C C C C C C C C C C C C r n C C C C C C组合恒等式的证明方法有: ①恒等变形,变换求和指标; ②建立递推关系; ③数学归纳法; ④考虑组合意义; ⑤母函数. Ⅱ.组合不等式组事不等式以前我们见的不多,在其他一些书籍中组合不等式的著述也很少,但是近年来组合不等式的证明却出现在国内、国际大赛上.例如1993年中国高中数学联赛二试第二大题为:设A 是一个有n 个元素的集合,A 的m 个子集A 1,A 2…,A m 两两互不包含,试证: (1)∑=≤mi A nI C 1||;11(2)∑=≥mi A nm CI 12||其中|A i |表示A i 所含元素的个数,||I A n C 表示n 个不同元素取|A i |的组合数. 再如1998年第39届国际数学奥林匹克竞赛中第二大试题为:在某一次竞赛中,共有a 个参赛选手与b 个裁判,其中b ≥3,且为奇数.每个裁判对每个选手的评分中只有“通过”或“不及格”两个等级,设k 是满足条件的整数;任何两个裁判至多可对k 个选手有完全相同的评分. 证明:因此我们有必要研究组合不等式的证明方法.组合不等式的证明方法有: 1.在集合间建立单射,利用集合阶的不等关系定理,设X 和Y 都是有限集,f 为从X 到Y 的一个映射, (1)若f 为单射,则|X|≤|Y|; (2)若f 为满射,则|X|≥|Y|. 2.利用容斥原理例如:设元素a 属于集族{A 1,A 2,…,A n }的k 个不同集合k i i i A A A ,,,21 ,则在∑=ni iA1||中a 被计算了k 次,当k ≥2时,集合k i i i A A A ,,,21 两两的交集共有2k C 个.由于||,12)1(12j nj i i k A A a k k k C ∑≤≤≤-≥-=在故中至少少被计算了k -1次,这样我们得到下面的不等式:组合不等式(*)可由容斥公式:||)1(||||||1)1(111i ni n j nj i ii ni i ni A A AA A =-≤≤≤==-++-=∑∑ 删去右边第三个和式起的所有和式得到.采用这种办法,我们可以从容斥公式得到另外一些组合不等式,只是要注意这些不等式的方向的变化.3.利用抽屉原则由于抽世原则的结论本身就是组合不等式关系,所以我们利用抽屉原则,巧妙构造抽屉的方法证明组合不等式.4.利用组合分析在复杂的组合计数问题、离散极值问题等问题中,会出现一些组合不等式,这时可运用组合分析方法证明之.赛题精讲例1 证明:∑=-⋅+=nk n k n n n n C 0122!!2)!2(2【分析】 把∑∑∑∑+=+===-nn k k nnn k k nnk k nnk k nCC CC21221220202,而对于变形为,变换求和指标.【证明】k n j CCCCCnn k k nnn k k nnnn k k nnk k nnk k n-=-=-=∑∑∑∑∑+=+=+===2,,2212212221220202令对于和式,则.20202212212nn nk k n nj n nj nn j j nnn k k nC C CCCC-=-==∑∑∑∑==-=+= 所以.2202202nn nk k n nnk knC C C+-=∑∑== 即 nn n nk kn C C220222+=∑=,从而有∑=-⋅+=nk n k n n n n C 0122!!2)!2(2.例2 求证:.,)1(111)1(312111210N n C n m C n m C m C m C m nnm nn nnn n ∈++=++-+-+++-++其中 证明 设nnn n n n n C n m C m C m C m a 11)1(312111210++-+-+++-+=,则由基本恒等式r n r n r n r n r n C nr C C C C =+=----1111及得【说明】注意到a n 中各项的系数均与n 无关,且符号正负相同,由此想到a n 与a n -1之间必定存在着某些联系,且是递推关系. 例3 求证:∑=+--+=⋅-nk kk n k n kn C 01222.12)1(【分析】考虑到恒等式12212---+-+=k k n k k n k k n C C C ,仿例2解决.【证明】令∑=+--⋅⋅-=nk kk n k n kn C a 01222,2)1(因为,12212---+-+=k k n k k n k k n C C C ,令∑=---+==⋅-nk n n n n kk n k n ka ab b C 01222,2)1(则 ①于是由①式得1221112112,4,---------=+--=++=n n n n n n n n n n n a a a a a a a a a a b 即从而推知. 这说明{a n }为等差数列,而a 0=1,a 1=2,故公差d=1,且a n =n+1 .【说明】此题运用变换求和指标的方法,找出了a n ,a n -1,a n -2之间的线性关系式,再由 初始条件求得a n .这种利用递推关系求组合数的方法,在解决较复杂的计算或证明组事恒等式。
组合恒等式的组合意义
组合恒等式是数学中一种重要的概念,它在几何学、组合学以及统计学中都有广泛的应用。
组合恒等式是指当两个或多个集合被连接起来形成一个新的集合时,这个新的集合的大小与其中任意一个集合的大小相等的定理。
组合恒等式可以用来解决各种组合问题,组合恒等式的意义是可以应用来确定集合中某一元素的数量。
例如,一个集合中有3个元素,要求确定每个元素的数量,可以使用组合恒等式,即分别令每个元素数量等于3,从而实现目标。
组合恒等式还有组合数学的应用,它是用来计算定义域内两个变量的有限组合数的。
组合数学不仅仅是用来计算有限组合数,它也可以用来计算无限组合数。
组合恒等式对于计算有限组合数非常有用,可以极大提高计算效率。
组合恒等式也在计算概率中有重要的应用,它可以用来计算给定条件下的概率。
例如,当要求计算一定几率下投掷一个硬币出现正反面的概率,就可以使用组合恒等式来计算,即令正反面同时概率为
1/2,从而得出结果。
组合恒等式具有重要的实际意义,可以用来解决许多计算问题,特别是在组合数学和概率计算中它的使用更加广泛。
- 1 -。
本讲将涉及到组合学的一个重要内容:组合恒等式.从组合数和二项式定理开始,可以得到很多有趣的恒等式.事实上,历史上出现过数以千计的组合恒等式,直到现在仍然有新的恒等式出现.在中科大小丛书《组合恒等式》中,史济怀教授给出了两百多个组合恒等式.由于现在各级竞赛中对组合恒等式要求大为降低,因此本讲只涉及比较简单的恒等式,以及利用这些恒等式来解决问题以下给出一些基础知识: 1.二项式定理*0()()nnk n k kn k a b C a b n -=+=∈∑N2.二项展开式的通项1(0)r n r r r n T C a b r n -+=≤≤它是展开式的第r +1项.3.二项式系数(0)r n C r n ≤≤4.二项式系数的性质⑴ (0)k n k nn C C k n -=≤≤ ⑵ 111(01)k k k n n n C C C k n ---=+≤≤-⑶ 若n 是偶数,有01122,n n n n n nn nnnC C C C C C -<<<>>>,即中间一项的二项式系数2n nC 最大.若n 是奇数,有1101122n n n n nnnnnnC C CCC C -+-<<<=>>>,即中项二项的二项式系数12n nC-和12n nC+相等且最大.知识点睛第3讲组合恒等式3.1 组合恒等式⑷ 0122n n nn n n C C C C +++⋅⋅⋅+= ⑸ 02413512n nn n n n n C C C C C C -+++⋅⋅⋅=+++⋅⋅⋅= ⑹ 11k k n n kC nC --=和11k k n n n C C k--=⑺ ()k m m k m k m m n k n n m n n k m C C C C C C m k n ----+⋅=⋅=⋅≤≤⑻ 1121n n n n n n n n n k n k C C C C C +++++++++⋅⋅⋅+=以上组合恒等式(是指组合数m n C 满足的恒等式)是证明一些较复杂的组合恒等式的基本工具. 5.证明组合恒等式的方法常用的有⑴ 公式法,利用上述基本组合恒等式进行证明⑵ 利用二项式定理,通过赋值法或构造法用二项式定理于解题中 ⑶ 利用数学归纳法⑷ 构造组合问题模型,将证明方法划归为组合应用问题的解决方法 ⑸ 母函数法,此方法仅在冬令营以上级别要求【例1】 试证明恒等式:02,(1)0,23nnnknkk k kn nnnk k k C C C ====-==∑∑∑经典精讲【例2】 证明:⑴112nk n nk kCn -==⋅∑⑵ 1121n n n n n n n n n k n k C C C C C +++++++++⋅⋅⋅+=【例3】 证明:220(1)2nkn nk k C n n -==⋅+∑【例4】 证明:21220(2)!22(!)nk n n k n C n -==+⋅∑【例5】 已知数列0120,,,(0)a a a a ⋅⋅⋅≠满足112(1,2,3,)i i i a a a i -++==⋅⋅⋅,求证:对于任何自然数n ,011222110121()(1)(1)(1)(1)n n n n n n nn n n n n n n p x a C x a C x x a C x x a C x x a C x -----=-+-+-+⋅⋅⋅+-+是x 的一次多项式或零次多项式.【例6】 证明: ⑴ 220()nk nn n k C C ==∑⑵ k t k tn m m n kC C C -+⋅=∑⑶222(1)()(1)kk n n n n kC C -=-∑【例7】 设n m ≥,证明:02n mm k m n m mn m k n k C C C -+-+=⋅=∑【例8】 试用恒等变形方法证明例7的等价形式:2nkp n p p nk n k p C C C -=⋅=∑【例9】 求证:22210(1)21nk n k kn k k C n --+=-⋅⋅=+∑【演练1】 数码1232006,,,,a a a a 中有奇数个9的2007位十进制数12320062a a a a 的个数为 .【演练2】 证明:1121n k n k n n n n k C C C +-+==∑实战演练【演练3】 证明:11(1)11k nk n k nC k n -=-=++∑【演练4】 数列{}n a 中,13a =,13(2)n a n a n -=≥,求2001a 的末位数字是多少?【演练5】 已知00a =,11a =,118(1,2,)n n n a a a n +-=-=⋅⋅⋅,试问:在数列{}n a 中是否有无穷多个能被15整除的项?证明你的结论.。