冶金传输原理-质量传输-第9章第10章 试题库
- 格式:doc
- 大小:88.50 KB
- 文档页数:3
冶金传输原理考试题一、判断下列说法是否正确(2分/题×15题=30分)1、迹线与流线是完全重合的。
2、本书中对应力的双下标描述中,第一个下标是应力的作用面的法向方向,第二个下标为作用力的方向。
3、利用量纲分析法导出准数方程,必须首先得到描述现象的微分方程式以及全部单值条件。
4、欧拉方程是N-S方程的简化。
5、管内流体层流流动时其最大速度是平均速度的两倍。
6、无论是圆管水流还是明渠水流,流态判别雷诺数均为2300。
7、在温度场中,等温面可以是连续的,也可以是不连续的。
8、导温系数就是导热系数。
9、温度梯度是矢量,其方向沿等温面的法线指向温度增加的方向。
10、普朗特准数反映了物体的导热能力与蓄热能力之间的关系。
11、自然界中黑体并不存在,但灰体是广泛存在的。
12、实际物体的辐射力总是小于黑体,其辐射能量的分布遵守普朗克定律。
13、黑体就是黑色的。
14、质量浓度就是密度。
15、球形物体在静止流体中传质时,谢伍德准数为一固定值。
二、选择题(2分/题×10题=20分)1、不同的液体其粘滞性_______,同一种液体的粘滞性具有随温度_______而降低的特性。
A 相同降低B 相同升高C 不同降低D 不同升高2、在研究液体运动时,按照是否考虑粘滞性,可将液流分为A 牛顿液体流动及非牛顿液体流动;B 可压缩液流及不可压缩液流;C 均匀流动及非均匀流动;D 理想液体流动及实际液体流动。
3、雷诺数的物理意义是A.惯性力与压力之比;B.惯性力与重力之比;C.惯性力与黏性力之比;D.惯性力与表面张力之比;4、非恒定流是:A、;B、;C、;D、。
5、如模型比尺为1:20, 考虑粘滞离占主要因素,采用的模型中流体与原型中相同,模型中流速为50m/s,则原型中流速为______m/s。
A 11.1B 1000C 2.5D 2236、下列那个方程可描述自然对流给热?A ()Pr Re,f Nu =;B ()Pr ,Gr f Nu =;C ()Gr f Nu Re,=;D()Sc f Sh Re,=7、根据兰贝特定律,黑体的辐射力是其辐射强度的 倍。
理想流体的有旋及无旋流动1.流体微团____ 。
(A) 具有规则的几何形状(B) 质量大小不受限制(C) 线尺度是小量2.流体微团的变形速度包括____ 。
(A) 线变形速度(B) 角变形速度(C) 旋转角速度(D) 前三者之和3.旋转角速度是____ 。
(A) 标量(B) 矢量(C) 既不是标量也不是矢量4.流体微团的旋转角速度____ 。
(A)于刚体转动的情况相同(B) 随时随地都可以改变(C) 收到变形速度的影响5.涡量和旋转角速度的关系是____ 。
(A) 相等(B) 涡量等于旋转角速度的两倍(C) 没有一定关系6.流体作有旋运动的特征是____ 。
(A)流体质点的运动轨迹是曲线(B) 速度的旋度非零(C) 涡量的三个分量都不等于零7.速度势只存在于____ 。
(A)不可压缩流体的流动中(B) 可压缩流体的定常流动(C) 无旋流动中(D) 二维流动中8.速度势函数____ 。
(A)梯度为速度(B) 满足拉普拉斯方程(B)在不可压缩流动中满足拉普拉斯方程(D) 在定常流动中满足拉普拉斯方程9.流函数存在于____ 。
(A)不可压缩流体的流动中(B) 可压缩流体的平面流动中(C) 不可压缩流体的轴对称流动中(D) 任意二维流动中10.平面流动的流函数____ 。
(A)在无旋条件下满足拉普拉斯方程(B)在流场中两点的差值与过两点间的曲线的流量相等(C)在流场中两点的差值与过两点间的曲线的环量相等11.不可压缩流体的平面无旋流动____ 。
(A)同时存在速度势函数和流函数(B) 等势线与流线正交(C) 不一定存在速度势函数和流函数(D) 速度势函数和流函数均为调和函数12.两个不可压缩的平面无旋流动的速度场叠加,则其____ 。
(A)速度势函数也叠加(B) 流函数也叠加(C) 速度势函数大喝流函数不满足叠加关系13.偶极子可以看成是____叠加的极限过程的产物。
(A)点源与点涡(B) 点汇与点涡(C) 等强度点源与点汇(D) 不等强度点源与点汇14.均匀流绕圆柱体无环量流动是由____和____叠加而成的。
冶金传输原理课后习题答案【篇一:冶金传输原理课后答案(朱光俊版,第一章)】/m3 10001?273prtprtprt1-16 , r=(1) (2)1-21 dvxdy65010.5?0.0012dvx dy=vd1-23,,o=vx=hdy0.181.3?0.001=0.1385?1000 1/sdvx dy=1.011?1030.1385?107.2 pa.s【篇二:《冶金传输原理》吴铿编质量传输习题参考答案】s=txt>1. 解:(1)?ch4?ych4mch4ych4mch4?yc2h6mc2h6?yc3h8mc3h8?yco2mco2?90.27%(2)?ych4mch4?yc2h6mc2h6?yc3h8mc3h8?yco2mco2?16.82 (3)pch4?ych4p?9.62?104pa2. 解:dab?1/3b1/3pva?v?1.56?10?5m2/s3. 解:ch4的扩散体积24.42,h2的扩散体积7.07dab?1/3b1/3pva?v?3.19?10-5m2/s4. 解:(1)v??co2vco2??o2vo2??h2ovh2o??n2vn2?3.91m/s (2)vm?yco2vco2?yo2vo2?yh2ovh2o?yn2vn2?4.07m/s (3)jco2??co2?co2?????mco2pco2rtpco2rt??co2????0.212kg/?m2?s? ?(4)jco2?cco2?co2??m?????co2??m??5.33mol/?m2?s? ?5. 解:(1)21% (2)21%pvm?15.46kg (3)m?nm?rtm(4)?o2??0.117kg/m3vm(5)?n2??0.378kg/m3vm(6)?空气??0.515kg/m3v(7)c空气??空气m?17.4mol/m3(8)29.6g/mol(9)pn2?yn2p?7.9?104pa6. 证明:?a?manamaxama??mnama?nbmbxama?xbmb得证。
材料加工冶金传输原理考试题
1. 请解释什么是材料加工的传输原理?
2. 描述一下热传导传输原理在材料加工中的应用。
3. 如何利用扩散传输原理改善材料的性能?
4. 请解释液体金属在浇注过程中的传输原理。
5. 描述一下材料加工中的质量迁移传输原理。
6. 什么是材料的力学传输原理?它在加工过程中的作用是什么?
7. 请解释材料加工中的辐射传输原理及其应用。
8. 课堂教学和实际实验中材料加工过程中可能遇到的传输原理问题有哪些?
9. 利用传输原理如何解决材料加工过程中的质量控制问题?
10. 为什么传输原理在材料加工冶金中起着重要的作用?。
一、名词解释1 流体:能够流动的物体。
不能保持一定的形状,而且有流动性。
2 脉动现象:在足够时间,速度始终围绕一平均值变化,称为脉动现象。
3 水力粗糙管:管壁加剧湍流,增加了流体流动阻力,这类管称为水力粗糙管。
4 牛顿流:符合牛顿粘性定律的流体。
5 湍流:流体流动时,各质点在不同方向上做复杂无规那么运动,相互干扰的运动。
这种流动称为湍流。
6 流线:在同一瞬时,流场中连续不同位置质点的流动方向线。
7 流管:在流场取任意封闭曲线,通过该曲线上每一点,作流线,组成的管状封闭曲面,称流管。
8 边界层:流体通过固体外表流动时,在紧靠固体外表形成速度梯度较大的流体薄层称边界层。
9 伪塑性流:其特征为〔〕,当n<1时,为伪塑型流。
10非牛顿流体:不符合牛顿粘性定律的流体,称之为非牛顿流体,主要包括三类流体。
11宾海姆塑流型流体:要使这类流体流动需要有一定的切应力ι时流体处于固结状态,只有当切应力大于ι时才开场流动。
12稳定流:运动参数只随位置改变而与时间无关,这种流动就成为稳定流。
13非稳定流:流场的运动参数不仅随位置改变,又随时间不同而变化,这种流动就称为非稳定流。
14迹线:迹线就是流体质点运动的轨迹线,特点是:对于每一个质点都有一个运动轨迹,所以迹线是一族曲线,而且迹线只随质点不同而异,与时间无关。
16 水头损失:单位质量〔或体积〕流体的能量损失。
17 沿程阻力:它是沿流动路程上由于各流体层之间的摩擦而产生的流动阻力,也叫摩擦阻力。
18 局部阻力:流体在流动中因遇到局部障碍而产生的阻力。
19脉动速度:脉动的真实速度与时均速度的差值成为脉动速度。
20 时均化原那么:在某一足够长时间段以平均值的速度流经一微小有效断面积的流体体积,应该等于在同一时间段以真实的有脉动的速度流经同一微小有效断面积的流体体积。
21热传导:物体各局部之间不发生相对位移时,依靠分子、原子及自由电子等微观粒子的热运动进展的热量传递称为热传导。
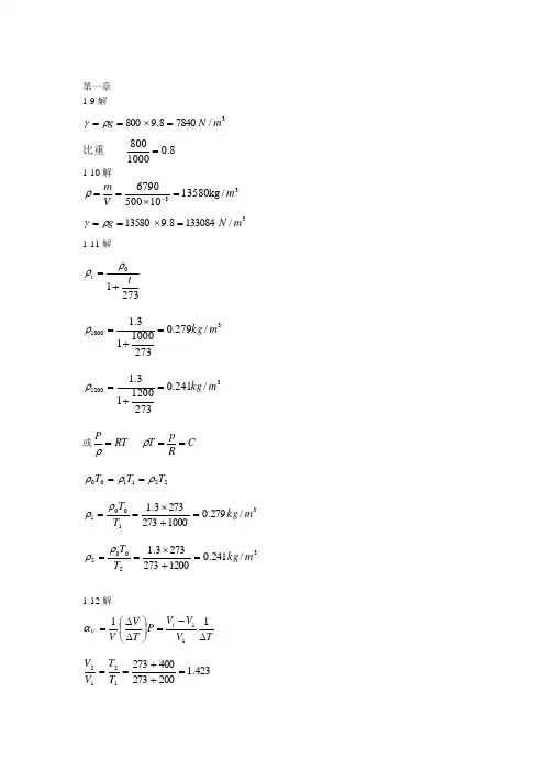
第一章1-9解3/78408.9800m N g =⨯==ργ8.01000800=比重1-10解 33/kg 13580105006790m V m =⨯==-ρ 3/1330848.913580m N g =⨯==ργ1-11解27310t t +=ρρ31000/279.0273100013.1m kg =+=ρ 31200/241.0273120013.1m kg =+=ρ 或RT P=ρ C R p T ==ρ 221100T T T ρρρ==31001/279.010002732733.1m kg T T =+⨯==ρρ 32002/241.012002732733.1m kg T T =+⨯==ρρ1-12解T V V V P T V V t V ∆-=⎪⎭⎫ ⎝⎛∆∆=1111α 423.12002734002731212=++==T T V V增大了0.423倍。
1-13解⎪⎭⎫ ⎝⎛+=27310t v v t s m t v v t/818.52739002732527310=+=⎪⎭⎫ ⎝⎛+= 1-14解RT P=ρK m K mol J K mol L atm K s m T P R /27.29/31.8/082.0/05.287273293.110132522=⋅=⋅⋅=⋅=⨯==ρ 1-15解RTP =ρ ()33111/774.020*********.65m kg RT P =+⨯⨯==ρ ()33222/115.137273287102.99m kg RT P =+⨯⨯==ρ 1-20解dPdV V P 1-=α 7902102105.0%1⨯=⨯=-=-P P dP 1-18解222111T V P T V P = 2.02027379273100792.610032.155122112=++⨯⨯⨯=⨯=T T P P V V 111128.02.0V V V V V V -=-=-=∆体积缩小了0.8倍。
第一章 流體的主要物理性質1-1何謂流體,流體具有哪些物理性質?答:流體是指沒有固定的形狀、易於流動的物質。
它包括液體和氣體。
流體的主要物理性質有:密度、重度、比體積壓縮性和膨脹性。
2、在圖3.20所示的虹吸管中,已知H1=2m ,H2=6m ,管徑D=15mm ,如果不計損失,問S 處的壓強應為多大時此管才能吸水?此時管內流速υ2及流量Q 各為若干?(注意:管B 端並未接觸水面或探入水中)解:選取過水斷面1-1、2-2及水準基準面O-O ,列1-1面(水面)到2-2面的貝努利方程再選取水準基準面O ’-O ’,列過水斷面2-2及3-3的貝努利方程(B) 因V2=V3 由式(B)得圖3.20 虹吸管 gpH gpa 220222121υγυγ++=++gppa 22222υγγ++=gp g p H H a 202)(2322221υγυγ++=+++ggp2102823222υυγ+=++)(28102水柱m p =-=γ)(19620981022a p p =⨯=)/(85.10)410(8.92)2(222s m p p g a=-⨯=--=γγυ)/(9.1)/(0019.085.104)015.0(3222s L s m A Q ==⨯⨯==πυ5、有一文特利管(如下圖),已知d 1 =15cm ,d 2=10cm ,水銀差壓計液面高差∆h =20cm 。
若不計阻力損失,求常溫(20℃)下,通過文氏管的水的流量。
解:在喉部入口前的直管截面1和喉部截面2處測量靜壓力差p 1和p 2,則由式const v p =+22ρ可建立有關此截面的伯努利方程: ρρ22212122p v p v +=+根據連續性方程,截面1和2上的截面積A 1和A 2與流體流速v 1和v 2的關係式為2211v A v A =所以 ])(1[)(2212212A A p p v --=ρ 通過管子的流體流量為 ])(1[)(2212212A A p p A Q --=ρ )(21p p -用U 形管中液柱表示,所以074.0))15.01.0(1(10)1011055.13(2.081.92)1.0(4])(1[)(22223332212'2=-⨯⨯-⨯⨯⨯⨯=--∆=πρρρA A h g A Q (m 3/s)式中 ρ、'ρ——被測流體和U 形管中流體的密度。
第一章动量传输的基本概念 1.流体的概念物质不能抵抗切向力,在切向力的作用下可以无限地变形,这种变形称为流动,这类物质称为流体,其变形的速度即流动速度与切向力的大小有关,气体和液体都属于流体。
2 连续介质流体是在空间上和时间上连续分布的物质。
3流体的主要物理性质密度;比容(比体积);相对密度;重度(会换算) 4.流体的粘性在作相对运动的两流体层的接触面上,存在一对等值而反向的作用力来阻碍两相邻流体层作相对运动,流体的这种性质叫做流体的粘性,由粘性产生的作用力叫做粘性力或内摩擦力。
1) 由于分子作不规则运动时,各流体层之间互有分子迁移掺混,快层分子进入慢层时给慢层以向前的碰撞,交换能量,使慢层加速,慢层分子迁移到快层时,给快层以向后碰撞,形成阻力而使快层减速。
这就是分子不规则运动的动量交换形成的粘性阻力。
2) 当相邻流体层有相对运动时,快层分子的引力拖动慢层,而慢层分子的引力阻滞快层,这就是两层流体之间吸引力所形成的阻力。
5.牛顿粘性定律在稳定状态下,单位面积上的粘性力(粘性切应力、内摩擦应力)为dydv x yx μτ±==A Fτyx 说明动量传输的方向(y 向)和所讨论的速度分量(x 向)。
符号表示动量是从流体的高速流层传向低速流层。
动力粘度μ,单位Pa·s 运动粘度η,单位m 2/s 。
ρμη=例题1-16.温度对粘度的影响粘度是流体的重要属性,它是流体温度和压强的函数。
在工程常用温度和压强范围内,温度对流体的粘度影响很大,粘度主要依温度而定,压强对粘性的影响不大。
当温度升高时,一般液体的粘度随之降低;但是,气体则与其相反,当温度升高时粘度增大。
这是因为液体的粘性主要是由分子间的吸引力造成的,当温度升高时,分子间的吸引力减小,μ值就要降低;而造成气体粘性的主要原因是气体内部分子的杂乱运动,它使得速度不同的相邻气体层之间发生质量和动量的交换,当温度升高时,气体分子杂乱运动的速度加大,速度不同的相邻气体层之间的质量和动量交换随之加剧,所以μ值将增大。
《冶金传输原理—传热传质》部分习题集一、概念题-11. 温度场2. 温度梯度3. 对流给热(对流换热)4. 热流量与热通量5. 流向传质与非流向传质6. 热通量与传质通量7. 黑体8. 黑度(辐射率) 9. 热辐射 10. 有效辐射 11. 角系数 12. 非稳态导热13. 导热问题第三类边界条件(导热问题第一类边界条件) 14. 热边界层(传质边界层) 15. 努塞尔特准数及其物理意义 16. 格拉晓夫准数及其物理意义 17. 施密特与修伍德准数的表达式 18. 傅立叶准数及其物理意义 19. 修伍德准数的表达式 20. 傅立叶准数的物理意义二、概念题-21. 在平板层流给热分析解法求解对流给热系数的过程中,层流边界层对流给热微分方程组有四个微分方程,若用文字或数学解析式表达,它们分别是① 、② 、③ 、和④连续性方程(0=∂∂+∂∂y v x v y x )。
2. 影响流体对流给热系数的因素可以归结为四个方面。
他们是 、 、温度 和 壁面几何形状与位置。
3. 求解传热微分方程或传质微分方程的定解条件一般有四类,分别是 、 、 和边界条件。
4. 根据斯蒂芬-波尔兹曼定律和有关实际物体黑度的定义,实际物体的辐射力与温度的关系可表示为:E = w/m 2,其中 ε 称为物体的黑度,或称 ,其值介于0~1之间。
5. 对三维稳态导热的有限差分方法来说,任何一个内部节点的温度,其实就等于周围相邻节点温度的 ,即t i,j,k = 。
6. 影响流体对流给热系数的因素可以归结为四个方面。
它们分别为:流体流速、 、 和 。
7. 根据动量守恒定律,可以推导出纳维-斯托克斯方程;根据 ,可以推导出传热微分方程;根据质量守恒定律则可以分别推导出流体连续性方程方程和 微分方程。
8. 研究对流给热的主要任务,就是求解对流给热系数h 。
一般求解h 的方法有四种,它们分别是 、边界层近似积分解、 、和 。
9. 如果动量传输微分方程可以写作x x x x xz x y x x x g x pz v y v x v v z v v y v v x v v v +∂∂+⎪⎪⎭⎫ ⎝⎛∂∂+∂∂+∂∂=∂∂+∂∂+∂∂+∂∂ρτ1222222,则热量传输微分方程可以写作 ,质量传输微分方程可以写作 。
第9、10章 质量传输基本概念题1、由O 2(组分A)和CO 2(组分B )构成的二元系统中发生一维稳态扩散。
已知,/0003.0,/0017.0,/0622.0,/0207.033s m u s m u m kmol c m kmol c B A B A ====试计算:(1)。
n n n N N N u u B A B A m ,,)3(;,,)2(;,解:(1)333B 3A /0829.00622.00207.0/399.3737.2662.0/737.2440622.0/6624.0320207.0m kmol c c c mkg m kg M c m kg M c B A B A B B A A =+=+==+=+==⨯====⨯==ρρρρρ则s m u u u B B A A /10727.5)0003.0737.20017.0662.0(399.31)(14-⨯=⨯+⨯=+=ρρρs m u c u c c u B B A A m /10496.6)0003.00622.00017.00207.0(0829.01)(14-⨯=⨯+⨯=+=(2))/(10519.30017.00207.025s m kmol u c N A A A ⋅⨯=⨯==-)/(10866.10003.00622.025s m kmol u c N B B B ⋅⨯=⨯==-则 )/(10385.510866.110519.32555s m kmol N N N B A ⋅⨯=⨯+⨯=+=---(3) )/(10125.10017.0662.023s m kg u n A A A ⋅⨯=⨯==-ρ )/(10211.80003.0737.224s m kg u n B B B ⋅⨯=⨯==-ρ 则 )/(10946.123s m kg n n n B A ⋅⨯=+=-题2、在101.3Kpa,52K 条件下,某混合气体各组分的摩尔分数分别为:CO 2为0.080;O 2为0.035; H 2O 为0.160;N 2为0.725。
冶金传输原理试题每题5分,共计30分1. 试由连续性方程说明速度散度的物理含义2. 请说明yx τ的物理含义3. 请写出标量的梯度、拉普拉斯算子运算及矢量的散度、旋度在直角坐标下的表达式,并说明运算后变量为标量还是矢量。
4. 请写出运动方程矢量式并说明各项的含义。
5. 请分别从扩散型与对流型通量的表达式说明动量传输、热量传输、质量传输的相似性。
6. 结合实例说明冶金传输原理在冶金工程中的作用7. 钢包内表面积为A 1,水口截面积为A 2,钢液初始深度为H ,不计阻力,计算钢包流空时间。
要点:2212220,2dMu A dtM hA u gh u ρρ=-=-==而:1222dhA u A dt=-=,积分之:21/2011/221()(/)HA dh h A H A A t ===⎰8.如图所示文特利管可测流量,如处于开口试验段,d=400mm,D=1m,h=150mm,空气和酒精密度分别为1.293,795 kg/m 3 计算出口处的气流速度。
要点:2211221122V P V P ρρ+=+ 12P P gh ρ-=洒所以:22211()2V V h g ρρ-=洒另据:22122 =43.6m/sD V d V V ==9.不可压缩流体沿无限大水平面做稳定流动,在只有重力作用下,赯压力与高度的关系要点:运动方程为:1Pg yρ∂=-∂ 积分可得:P gy C ρ=-+10.Re=3500, 20℃水(ρ=998.23kg/m 3621.00710/m s ν-=⨯)流过直径为50.8mm 长1.3m 的光滑管。
求:(1) 湍流、层流平均流速比、压力损失比 (2) 湍流总压降 (3) 层流时中心流速要点:(1)据Re 定义式,/1层湍=(2)22Lp d λρ∆=,0.250.3164/Re λ湍=,64/Re λ层=,/ 2.25p p ∆∆层湍=(3)Re /0.0694/;0.041,d m s νλ=⋅==湍v22.52/p N m ∆=(4)20.1388/m s ==center v v11.不可压缩流体在两个同轴垂直圆筒间作切向层流流动,外筒以角速度ω旋转,内筒静止,设端口效应可忽略,求流体的速度分布,内筒外径kR ,外筒内径R(可参考P75例题()()1()kR r r kR r Rk kθω-=-v )12.在一半径为R 的圆柱形容器内盛有 液体,该容器绕其自身轴以角速度ω旋转,求系统定态下自由表面的形状。
第9、10章 质量传输基本概念
题1、由O 2(组分A)和CO 2(组分B )构成的二元系统中发生一维稳态扩散。
已知
,/0003.0,/0017.0,/0622.0,/0207.033s m u s m u m kmol c m kmol c B A B A ====试计
算:(1)。
n n n N N N u u B A B A m ,,)3(;,,)2(;,
解:(1)
3
3
3B 3A /0829.00622.00207.0/399.3737.2662.0/737.2440622.0/6624.0320207.0m kmol c c c m
kg m kg M c m kg M c B A B A B B A A =+=+==+=+==⨯====⨯==ρρρρρ
则
s m u u u B B A A /10727.5)0003.0737.20017.0662.0(399
.31
)(1
4-⨯=⨯+⨯=
+=
ρρρ
s m u c u c c u B B A A m /10496.6)0003.00622.00017.00207.0(0829
.01)(14-⨯=⨯+⨯=+=
(2))/(10519.30017.00207.025s m kmol u c N A A A ⋅⨯=⨯==-
)/(10866.10003.00622.025s m kmol u c N B B B ⋅⨯=⨯==-
则 )/(10385.510866.110
519.32555
s m kmol N N N B A ⋅⨯=⨯+⨯=+=---
(3) )/(10125.10017.0662.02
3
s m kg u n A A A ⋅⨯=⨯==-ρ )/(10211.80003.0737.22
4
s m kg u n B B B ⋅⨯=⨯==-ρ 则 )/(10946.12
3
s m kg n n n B A ⋅⨯=+=-
题2、在101.3Kpa,52K 条件下,某混合气体各组分的摩尔分数分别为:CO 2为0.080;
O 2为0.035; H 2O 为0.160;N 2为0.725。
各组分在z 方向的绝对速度分别为:2.44m/s;3.66m/s;5.49m/s;3.96m/s 。
试计算:
(1)混合气体的质量平均速度u;(2)混合气体的摩尔平均速度u m ;(3)组分CO 2的质量通量;2CO j (4)组分CO 2的摩尔通量。
2CO J
解:已知
28
/96.3725
.018/49.516.032/66.3035.044/44.208.0222222222222============CO CO N CO CO HO CO CO O CO CO CO M s
m v x M s m v x M s m v x M s m v x
1265.082
.2752
.33.2088.212.152.352.328
725.01816.032035.04408.044
08.02
22222222
22==+++=⨯+⨯+⨯+⨯⨯=
+++=
N N HO HO O O CO CO CO CO CO M x M x M x M x M x w
0403.082
.2712
.12
22222222
22==
+++=
N N HO HO O O CO CO O O O M x M x M x M x M x w 1035.082
.2788
.22
22222222
22==
+++=N N HO HO O O CO CO HO HO HO M x M x M x M x M x w 7292.082
.273
.202
22222222
22==
+++=
N N HO HO O O CO CO N N N M x M x M x M x M x w (1)
914
.396.37297.049.51035.066
.30403.044.21265.022222222=⨯+⨯+⨯+⨯=+++=N N HO HO O O CO CO v w v w v w v w v
(2)0727
.496.3725.049.5160.066
.3035.044.208.022222222=⨯+⨯+⨯+⨯=+++=N N HO HO O O CO CO m v x v x v x v x v
(3)3/745.1852
314.808
.010130022m mol RT
p c CO CO =⨯⨯=
=
3/78.82444745.182
2
2
m g M c CO CO CO =⨯==ρ
s
m g
v v j CO CO CO ⋅-=-⨯=-=
273.1215)914.344.2(78.824)(2
2
2ρ (4)s
m mol v v c J m CO CO CO ⋅-=-⨯=-=260.30)0727
.444.2(745.18)(222
题3、求1.013×105
Pa 气压下,298K 的空气与饱和水和水蒸气的混合物中的水蒸气浓
度。
已知该温度下饱和水蒸气压强p A =0.03168×105
Pa,水的相对分子质量M A =18,空气相对分子质量M B =28.9.
解:空气的分压
Pa p p p A B 555109816.01003168.01001325.1⨯=⨯-⨯=-=
水蒸气浓度
(1) 摩尔分数
0313.01001325.11003168.05
5
=⨯⨯==p p x A A
(2) 质量分数
0197
.09.28)0313.01(180313.018
0313.0)1(⨯-+⨯⨯=
-+=+=
B A A A A A B B A A A A A w x w x w x w x w x w x w
(3) 物质的量浓度
35
/28.1298
314.81003168.0m mol RT p c A A =⨯⨯==
(4) 质量浓度
3/231828.1m g M c A A A =⨯==ρ
题4、半导体扩散工艺中,包围硅片的气体中含有大量的杂质原子,杂质不断地通 过硅片表面向内部扩散,在以下两种情况下试确定该硅片的边界条件。
(1)半导体的扩散工艺是恒定表面浓度扩散,即硅片表面的杂质浓度保持一定; (2)半导体的扩散工艺是限定源扩散,没有外来的杂质通过硅片表面进入硅片。
解: (1)由于半导体的扩散工艺是恒定表面浓度扩散,硅片的边界就是它的表 面z=0和z=l ,可以看成一维问题,边界上杂质的浓度保持为常数c 0,此时边界条件可写为
00),(,),0(c l z c c z c ====ττ
(2)由于半导体的扩散工艺是限定源扩散,没有外来的杂质通过硅片,仅有硅片表面已有的杂质向硅片深部扩散,限定源意味着通过硅片表面的扩散流强度为零,此时边界条件可写为
0),(,0),0(==∂∂==∂∂ττl z z
c
z z c。