四川成都七中 2018 年外地生招生考试数学试卷(含答案)
- 格式:doc
- 大小:395.50 KB
- 文档页数:3
2018-2019学年四川省成都七中高一(下)入学数学试卷(2月份)一、选择题(本大题共12小题,共60.0分)1.设集合{A=x|1<x<2},{B=x|x<a},若A⊆B,则a的取值范围是()A. B. C. D.2.若f(x)=2x+3,g(x+2)=f(x),则g(x)的表达式为()A. B. C. D.3.设α是第三象限角,化简:=()A. 1B. 0C.D. 24.设a=0.60.4,b=0.40.6,c=0.40.4,则a,b,c的大小关系为()A. B. C. D.5.若函数f(x)满足f(x)-2f(2-x)=-x2+8x-8,则f(1)的值为()A. 0B. 1C. 2D. 36.已知函数g(x)与f(x)=a x(a>0,a≠1)的图象关于直线y=x对称,则g(2)+g()的值为()A. 4B. 2C. 1D. 07.直角坐标系内,β终边过点P(sin2,cos2),则终边与β重合的角可表示成()A. ,B. ,C. ,D. ,8.已知函数f(x)=,,,,在定义域上单调递减,那么a的取值范围是()A. B. C. D.9.如图,在△ABC中,已知=,P为AD上一点,且满足=m+,则实数m的值为()A.B.C.D.10.在直角三角形ABC中,点D是斜边AB的中点,点P为线段CD的中点,则=()A. 2B. 4C. 5D. 1011.定义在R上的偶函数f(x)满足f(x+2)=f(x),当x[-3,-2]时,f(x)=x2+4x+3,则y=f[f(x)]+1在区间[-3,3]上的零点个数为()A. 1个B. 2个C. 4个D. 6个12.设e为自然对数的底数,则函数f(x)=e x(2-e x)+(a+2)•|e x-1|-a2存在三个零点,则a的取值范围是()A. B. C. D.二、填空题(本大题共4小题,共20.0分)13.函数f(x)=+lg(3x+1)的定义域为______.14.tan=______.15.在△ABC中,∠A=60°,a=4,b=4,则B等于______.16.已知,,,,且,则cos(x+2y)=______.三、解答题(本大题共6小题,共70.0分)17.(1)化简求值:(log32+1og92)(log43+1og83)+2;(2)已知x-x-1=-,求x3-x-3的值.18.已知=(1,2),=(-3,2),当k为何值时:(1)k+与-3垂直;(2)k+与-3平行,平行时它们是同向还是反向?19.声音通过空气的振动所产生的压强叫声压强,简称声压,单位为帕(Pa).把声压的有效值取对数来表示声音的强弱,这种表示声音强弱的数值叫声压级.声压级以符号S PL表示,单位为分贝(dB),公式为:S PL(声压级)=(dB),式中p e为待测声压的有效值,p ref为参考声压,在空气中参考声压p ref一般取值2×10-5Pa.根据上述材料,回答下列问题.(1)若某两人小声交谈时的声压有效值p e=0.002Pa,求其声压级;(2)已知某班开主题班会,测量到教室内最高声压级达到90dB,求此时该班教室内声压的有效值.20.已知函数f(x)=A sin(ωx+φ)(A>0,ω>0)的部分图象如图所示.(Ⅰ)求函数f(x)的解析式;(Ⅱ)若函数f(x)在[0,π]上取最小值时对应的角度为θ,求半径为2,圆心角为θ的扇形的面积.21.已知定义域为R的函数f(x)=-+是奇函数(1)求a的值;(2)判断函数f(x)的单调性并证明;(3)若对于任意的t(1,2),不等式f(-2t2+t+1)+f(t2-2mt)≤0有解,求m的取值范围.22.已知函数f(x)=sin(x R).任取t R,若函数f(x)在区间[t,t+1]上的最大值为M(t),最小值为m(t),记g(t)=M(t)-m(t).(Ⅰ)求函数f(x)的最小正周期及对称轴方程(Ⅱ)当t[-2,0]时,求函数g(t)的解析式(Ⅲ)设函数h(x)=2|x-k|,H(x)=x|x-k|+2k-8,其中实数k为参数,且满足关于t的不等式k-5g(t)≤0有解.若对任意x1[4,+∞),存在x2(-∞,4],使得h(x2)=H(x1)成立,求实数k的取值范围参考公式:sinα-cosα=sin(α-)答案和解析1.【答案】A【解析】解:在数轴上画出图形易得a≥2.故选:A.在数轴上画出图形,结合图形易得a≥2.本题考查集合的包含关系,解题时要作出图形,结合数轴进行求解.2.【答案】B【解析】解:∵f(x)=2x+3,∴g(x+2)=f(x)=2x+3=2(x+2)-1,即g(x)=2x-1故选:B.由g(x+2)=f(x),把f(x)的表达式表示为含有x+2的基本形式即可.本题考查了求简单的函数解析式的问题,是基础题.3.【答案】C【解析】解:∵α是第三象限角,可得:cosα<0,∴=-,∵cos2α+cos2αtan2α=cos2α+cos2α•=cos2α+sin2α=1.∴=-1.故选:C.原式利用单项式乘以多项式法则计算,再利用同角三角函数间基本关系化简,结合角的范围即可得到结果.此题考查了同角三角函数基本关系的运用,熟练掌握基本关系是解本题的关键,属于基础题.4.【答案】B【解析】解:∵a=0.60.4,c=0.40.4,由幂函数的性质可得a>c,∵b=0.40.6,c=0.40.4,由指数函数的性质可得b<c,∴b<c<a.故选:B.直接利用指数函数与幂函数的单调性进行大小比较.本题考查指数函数与幂函数的图象与性质,是基础题.5.【答案】B【解析】解:∵函数f(x)满足f(x)-2f(2-x)=-x2+8x-8,∴f(1)-2f(1)=-1+8-8,∴f(1)=1.故选:B.在f(x)-2f(2-x)=-x2+8x-8中,令x=1,能求出f(1)的值.本题考查函数值的求法,是基础题,解题时要认真审题,注意函数性质的合理运用.6.【答案】D【解析】解:若函数g(x)与f(x)=a x(a>0,a≠1)的图象关于直线y=x对称,故函数g(x)与f(x)=a x(a>0,a≠1)互为反函数,故g(x)=log a x(a>0,a≠1),故g(2)+g()=log a2+=log a2-log a2=0,故选:D.由已知可得函数g(x)与f(x)=a x(a>0,a≠1)互为反函数,即g(x)=log a x(a>0,a≠1),结合对数的运算性质,可得答案.本题考查的知识点是反函数,函数求值,对数的运算性质,难度中档.7.【答案】A【解析】解:∵β终边过点P(sin2,cos2),即为(cos (-2),sin (-2))∴终边与β重合的角可表示成-2+2kπ,k Z,故选:A.由P(sin2,cos2),即为(cos (-2),sin(-2)),即可求出.本题考查了终边相同的角和诱导公式,属基础题.8.【答案】C【解析】解:根据题意,函数f(x)的定义域为(0,+∞),y=x+在(0,1]为减函数,则[1,+∞)上为增函数,y=3-x在(0,+∞)上为减函数,又由函数y=x+与y=3-x有2个交点:(,)和(1,2),若函数f(x)=在定义域上单调递减,必有0<a≤或a=1,即a的取值范围为(0,]{1};故选:C.根据题意,分析函数f(x)的定义域为(0,+∞),再分析函数y=x+和函数y=3-x在(0,+∞)上的单调性,求出两个函数的交点,据此分析可得答案.本题考查分段函数的单调性,关键是分析分段函数解析式的形式,属于基础题.9.【答案】B【解析】解:如图,又=,所以又=m+,由平面向量基本定理可得,解得m=故选:B.由题设,可将用两向量表示出来,已知中已有足=m+,可根据平面向量基本定理建立起m的方程,从而求出m的值.本题考查平面向量基本定理的应用,根据向量的三角形法则与平行四边形法则把用两向量表示出来,是解答本题的关键.10.【答案】D【解析】解:以D为原点,AB所在直线为x轴,建立如图坐标系,∵AB是Rt△ABC的斜边,∴以AB为直径的圆必定经过C点设AB=2r,∠CDB=α,则A(-r,0),B(r,0),C(rcosα,rsinα)∵点P为线段CD的中点,∴P (rcosα,rsinα)∴|PA|2=+=+r2cosα,|PB|2=+=-r2cosα,可得|PA|2+|PB|2=r2又∵点P为线段CD的中点,CD=r∴|PC|2==r2所以:==10故选:D.以D为原点,AB所在直线为x轴,建立坐标系,由题意得以AB为直径的圆必定经过C点,因此设AB=2r,∠CDB=α,得到A、B、C和P各点的坐标,运用两点的距离公式求出|PA|2+|PB|2和|PC|2的值,即可求出的值.本题给出直角三角形ABC斜边AB上中线AD的中点P,求P到A、B距离的平方和与PC平方的比值,着重考查了用解析法解决平面几何问题的知识点,属于中档题.11.【答案】C【解析】解:∵当x[-3,-2]时,f(x)=x2+4x+3=(x+2)2-1[-1,0];又f(x)为R上的偶函数,∴当x[2,3]时,f(x)[-1,0];又f(x+2)=f(x),∴f(x)为以2为周期的函数,由题意,偶函数f(x)在区间[-3,3]上的值域为[-1,0],由f[f(x)]+1=0得到f[f(x)]=-1,于是可得f(x)=0或±2(舍弃),由f(x)=0可得x=±1,±3,所以y=f[f(x)]+1在区间[-3,3]上的零点个数为4.故选:C.由题意,偶函数f(x)在区间[-3,3]上的值域为[-1,0],确定f(x)=0,即可得出y=f[f(x)]+1在区间[-3,3]上的零点个数.本题考查函数的周期性、奇偶性、函数图象的对称性,体现数形结合的数学思想.考查的知识点是根的存在性及根的个数判断,其中根据已知条件分析函数的性质,进而判断出函数零点的分布情况是解答本题的关键.12.【答案】D【解析】解:设t=e x-1,则e x=t+1,则f(t)=(t+1)(1-t)+(a+2)|t|-a2=1-t2+(a+2)|t|-a2,令m=|t|=|e x-1|.则f(m)=-m2+(a+2)m+1-a2,∵f(x)有三个零点,∴等价为f(m)=-m2+(a+2)m+1-a2,有两个根,一个根在(0,1)内,另一个根在[1,+∞),则,得得1<a≤2,即实数a的取值范围是(1,2],故选:D.利用换元法设m=|t|=|e x-1|.转化为一元二次函数根的分布,利用数形结合进行求解即可.本题主要考查函数与方程的应用,利用换元法转化为一元二次函数,利用一元二次函数根的分布是解决本题的关键.综合性较强.13.【答案】,【解析】解:要使f(x)有意义,则:;∴;∴f(x)的定义域为.故答案为:.可看出,要使得f(x)有意义,则需满足,解出x的范围即可.考查函数定义域的概念及求法,对数函数的定义域.14.【答案】2-【解析】解:tan=tan(-)===2-,故答案为:2-.利用两角差的正切公式求得tan=tan(-)的值.本题主要考查两角差的正切公式的应用,属于基础题.15.【答案】45度【解析】解:∵在△ABC中,∠A=60°,a=4,b=4,∴由正弦定理=得:sinB=,又a=4>b=4,∴60°=A>B,∴B=45°.故答案为:45°.利用正弦定理=即可求得sinB,再由a>b知A>B,从而可得答案.本题考查正弦定理,在△ABC中,a>b知A>B是关键,属于基础题.16.【答案】1【解析】解:设f(u)=u3+sinu.由①式得f(x)=2a,由②式得f(2y)=-2a.因为f(u)在区间上是单调增函数,并且是奇函数,∴f(x)=-f(2y)=f(-2y).∴x=-2y,即x+2y=0.∴cos(x+2y)=1.故答案为:1.设f(u)=u3+sinu.根据题设等式可知f(x)=2a,f(2y)=-2a,进而根据函数的奇偶性,求得f(x)=-f (2y)=f(-2y).进而推断出x+2y=0.进而求得cos(x+2y)=1.本题主要考查了利用函数思想解决实际问题.考查了学生运用函数的思想,转化和化归的思想.17.【答案】解:(1)(log32+1og92)(log43+1og83)+2=+5=•+5=+5=.(2)∵x-x-1=-,∴x2+x-2+2=(x+x-1)2=(x-x-1)2+4=+4=,∴x2+x-2=.∴x3-x-3=(x-x-1)(x2+x-2+1)=×=-.【解析】(1)利用指数与对数运算性质即可得出.(2)利用乘法公式即可得出.本题考查了指数与对数运算性质、乘法公式,考查了推理能力与计算能力,属于基础题.18.【答案】解:(1)由题意可得k+=(k-3,2k+2),-3=(10,-4),由k+与-3垂直可得(k -3,2k+2)•(10,-4)=10(k-3)+(2k+2)(-4)=0,解得k=19.(2)由k+与-3平行,可得(k-3)(-4)-(2k+2)×10=0,解得k=-,此时,k+=-+=(-,),-3=(10,-4),显然k+与-3方向相反.【解析】(1)由题意可得k +和-3的坐标,由k+与-3垂直可得它们的数量积等于0,由此解得k的值.(2)由k +与-3平行的性质,可得(k-3)(-4)-(2k+2)×10=0,解得k的值.再根据 k+和-3的坐标,可得k +与-3方向相反.本题主要考查两个向量的数量积公式的应用,两个向量共线、垂直的性质,属于中档题.19.【答案】解:(1)由声压有效值p e=0.002Pa,根据S PL==40dB∴两人小声交谈时声压级为40dB(2)根据声压级S PL=90=,可得P e=帕.∴教室内最高声压级达到90dB,求此时该班教室内声压的有效值为P e=帕.【解析】(1)利用公式,代入P e=0.002帕,P mf=2×10-5帕,即可求得结论;(2)利用公式,代入P e=0.002帕,S pl=80分贝,即可求得结论.本题考查利用数学知识解决实际问题,考查学生的计算能力,属于基础题.20.【答案】解:(Ⅰ)根据函数f(x)=A sin(ωx+φ)(A>0,ω>0)的部分图象,可得A=2,•=+,∴ω=2.再根据五点法作图可得2×(-)+φ=0,求得φ=,∴f(x)=2sin(2x+).(Ⅱ)∵函数f(x)的周期为π,在[0,π]上,当x=时,f(x)取最小值-2,此时对应的角度为θ=,结合半径为2,则圆心角为θ的扇形的面积为θ•r2=••4=.【解析】(Ⅰ)由函数的图象的顶点坐标求出A,由周期求出ω,由五点法作图求出φ的值,可得f(x)的解析式.(Ⅱ)求出θ,根据半径为2,求出圆心角为θ的扇形的面积.本题主要考查由函数y=Asin(ωx+φ)的部分图象求解析式,由函数的图象的顶点坐标求出A,由周期求出ω,由五点法作图求出φ的值,正弦函数的图象和性质,属于中档题.21.【答案】解:(1)∵f(x)是R上的奇函数,∴f(0)=-+=0,∴a=1.(2)f(x)=-+,故f(x)是R上的减函数.证明:设x1,x2是R上的任意两个数,且x1<x2,则f(x1)-f(x2)=-=,∵x1<x2,∴0<<,∴>0,即f(x1)-f(x2)>0,∴f(x1)>f(x2),∴f(x)在R上是减函数.(3)∵f(x)是奇函数,f(-2t2+t+1)+f(t2-2mt)≤0有解,∴f(t2-2mt)≤-f(-2t2+t+1)=f(2t2-t-1),又f(x)是减函数,∴t2-2mt≥2t2-t-1在(1,2)上有解,∴m≤=-++.设g(t)=-++,则g′(t)=--<0,∴g(t)在(1,2)上单调递减,∴g(t)<g(1)=.∴m的取值范围是(-∞,].【解析】(1)根据f(0)=0求出a的值;(2)根据函数单调性的定义证明;(3)根据奇偶性和单调性列出不等式,从而得出m的范围.本题考查了函数奇偶性、单调性的应用,函数最值的计算,属于中档题.22.【答案】解:(Ⅰ)对于函数f(x)=sin(x R),它的最小正周期为=4,由=kπ+,求得x=2k+1,k Z,可得f(x)的对称轴方程为x=2k+1,k Z.(Ⅱ)当t[-2,0]时,①若t[-2,-),在区间[t,t+1]上,M(t)=f(t)=sin,m(t)=f(-1)=-1,g(t)=M(t)-m(t)=1+sin.②若t[-,-1),在区间[t,t+1]上,M(t)=f(t+1)=sin(t+1)=cos t,m(t)=f(-1)=-1,g(t)=M(t)-m(t)=1+cos.③若t[-1,0],在区间[t,t+1]上,M(t)=f(t+1)=sin(t+1)=cos t,m(t)=f(t)=sin t,g(t)=M(t)-m(t)=cos t-sin.综上可得,g(t)=,,,,,,.(Ⅲ)函数f(x)=sin的最小正周期为4,∴M(t+4)=M(t),m(t+4)=m(t).函数h(x)=2|x-k|,H(x)=x|x-k|+2k-8,对任意x1[4,+∞),存在x2(-∞,4],使得h(x2)=H(x1)成立,即函数H(x)=x|x-k|+2k-8在[4,+∞)上的值域是h(x)在[4,+∞)上的值域的子集.∵h(x)=|2|x-k|=,①当k≤4时,h(x)在(-∞,k)上单调递减,在[k,4]上单调递增.故h(x)的最小值为h(k)=1;∵H(x)在[4,+∞)上单调递增,故H(x)的最小值为H(4)=8-2k.由8-2k≥1,求得k≤.②当4<k≤5时,h(x)在(-∞,4]上单调递减,h(x)的最小值为h(4)=2k-4,H(x)在[4,k]上单调递减,在(k,+∞)上单调递增,故H(x)的最小值为H(k)=2k-8,由,求得k=5,综上可得,k的范围为(-∞,]{5}.【解析】(Ⅰ)根据正弦函数的周期性和图象的对称性,求得函数f(x)的最小正周期及对称轴方程.(Ⅱ)当t[-2,0]时,分类讨论求得M(t)和m(t),可得g(t)的解析式.(Ⅲ)由题意可得函数H(x)=x|x-k|+2k-8在[4,+∞)上的值域是h(x)在[4,+∞)上的值域的子集,分类讨论求得k的范围.本题主要考查正弦函数的周期性,指数函数的图象特征,函数的能成立、函数的恒成立问题,属于难题.。
成都七中2018年高中自主招生数学真卷(二)一、选择题(本大题共10小题,每题5分,共50分)1. 对任意实数x ,多项式1258x xxx 的值为()A. 总大于零B. 总小于零C. 可能等于零D. 以上都不对2. 某珠宝店失窃,甲、乙、丙、丁四人涉嫌被拘审,四人的口供如下:甲:作案的是丙;乙:丁是作案者;丙:如果我作案,那么丁是主犯;丁:作案的不是我. 如果四人口供中只有一个是假的,那么以下判断正确的是()A. 说假话的是甲,作案的是乙B. 说假话的是丁,作案的是丙和丁C. 说假话的是乙,作案的是丙D. 说假话的是乙,作案的是丙3. 已知抛物线222bxxy与x 轴交于B A 、两点,与y 轴交于C 点,其中),(01A ,点D 是抛物线222bxxy 的顶点,点),(0m 是x 轴上的一个动点,当MD MC 的值最小时,m 的值是()A .4025 B.4124 C.4023 D.41254. 设实数0y x 、,且满足52yx,则y xxy x222的最大值是()A.897 B.16195 C.449 D.2255. 如图是二次函数c bxaxy 2图象的一部分,过点),(01x ,3<1x <2,对称轴为直线1x.给出四个结论:①abc >0;②02ba ;③2b >ac 4;④c b 23>0,其中正确的结论有()个. A. 1个B. 2个C. 3个D. 4个6. 如图所示,已知△ABC 面积为1,点F E D 、、分别在AB CA BC 、、上,且DC BD2,FB AFEA CE22,,AD 、BE 、CF 两两相交于R Q P 、、则的△PQR 面积为() A.51B.61C.71 D.1417.有40个学生参加数学奥林四克竞赛,他们必须解决一个代数学问题、一个几何学问题以及一个三角学问题,具体情况如下表所述:问题解决问题的学生人数代数学问题20 几何学问题18 三角学问题18 代数学和几何学问题7 代数学和三角学问题8 几何学和三角学问题9其中有3个学生一个问题都没有解决,则三个问题都解决的学生数是()人.A. 5B. 6C. 7D. 8 8. 如图所示,△ABC 中,∠60BAC °,∠45ABC°,22AB,D 是线段BC 上的一个动点,以AD 为直径画⊙O 分别交AB ,AC 于E 、F ,连接EF ,则线段EF 长度的最小值为()A .1B .2C .3D .2.9三边均为整数,且最长边为11的三角形共有()个.A. 20B. 26C.30D. 3610. 方程1210272611xxxx 的实数根的个数为()A. 0个B. 1 个C. 2个D. 3个二、填空题(本大题共6小题,每小题5分,共30分)11.设,,且,0-10120122242abbb a a则5223aaa bab________.12. 函数b ax y(其中a ,b 是整数)的图象与三条抛物线54763222x xy x xyxy,,分别有2、1、0个交点,则ba,________ .13. 已知b a ,为正数,恒有02ba 成立,展开即ab ba 2,当且仅当b a时,b a 取得最小值ab 2. 由此得到启发:若c b a ,,为正数且满足5262bcacaba,则c b a23的最小值是________.14. 如图,在矩形ABCD 中,点E 、F 分别在BC 、CD 上,将△ABE 沿AE 折叠,使点B 落在AC 上的点B ’处,又将△CEF 沿EF 折叠,使点C 落在EB ’与AD 的交点C ’处,则BC :AB 的值________ .第(14)题第(16)题15.若一个三位数的十位数字比个位数字和百位数字都大,则称这个数为“伞数”,现从1,2,3,4这四个数字中任取3个数,组成无重复数字的三位数,甲、乙两人玩一个游戏,游戏规则是:若组成的三位数是“伞数”,则甲胜;否则乙胜.则甲获胜的概率是________ .16.如图,在平面直角坐标系中,有若干个横纵坐标分别为整数的点,其顺序按图中“→”方向排列,如(1,0),(2,0),(2,1),(1,1),(1,2),(2,2)…根据这个规律,第 2 012个点的横坐标为________ .三、解答题(本大题共6小题,共70分)17.(本题满分10分)在实施“中小学校舍安全工程”之际,某市计划对A 、B 两类学校的校舍进行改造,根据预算,改造一所A 类学校和三所B 类学校的校舍共需资金480万元,改造三所A 类学校和一所B 类学校的校舍共需资金400万元. 问:(1)改造一所A 类学校的校舍和一所B 类学校的校舍所需资金分别是多少万元?(2)该县A 、B 两类学校共有8所需要改造。
成都七中2018届高三上学期数学入学考试题(文科)第Ⅰ卷(共60分)一、选择题:本大题共12个小题,每小题5分,共60分.在每小题给出的四个选项中,只有一项是符合题目要求的.1.已知集合{}{}|32,6,8,10,12,14A x x n B ==+=,则集合AB =()A .{}8,10B .{}8,12C . {}8,14D .{}8,10,142.复数321i i -(i 为虚数单位)的虚部是()A .15iB .15 C . 15i - D .15- 3.如下程序框图的功能是:给出以下十个数:5,9,80,43,95,73,28,17,60,36,把大于60的数找出来,则框图中的①②应分别填入的是()A .60?1,x i i >=+B . 60?1,x i i <=+C . 60?1,x i i >=-D .60?1,x i i <=-4.圆C 的圆心在y 轴正半轴上,且与x 轴相切,被双曲线2213y x -=的渐近线截得的弦长C 的方程为()A .()2211x y +-= B . (223x y +-=C. 221x y ⎛+-= ⎝⎭D .()2224x y +-= 5.已知直线,m n 和平面,αβ,使m α⊥成立的一个充分条件是()A . ,//m n n α⊥B .//,m n n α⊥ C. ,m n n α⊥⊂ D .//,m ββα⊥6.某几何体的三视图如图所示,该几何体的体积为12π+,则其正视图中x 的值为()A . 5B . 4 C. 3 D .2 7.将函数()()sin 2||2f x x π⎛⎫=+<⎪⎝⎭ϕϕ的图象向左平移3π个单位长度后,所得函数()g x 的图象关于原点对称,则函数()f x 在0,2π⎡⎤⎢⎥⎣⎦的最大值为()A .0B .12.1 8.某个家庭有2个孩子,其中有一个孩子为女孩,则另一个孩子也为女孩的概率为() A .13 B .23 C. 14 D .129.在ABC ∆中,5,,BC G O =分别为ABC ∆的重心和外心,且5OG BC ⋅=,则ABC ∆的形状是()A .锐角三角形B .钝角三角形 C.直角三角形 D .上述三种情况都有可能10.已知点12,F F 为双曲线()222210,0x y a b a b-=>>的左右焦点,P 为右支上一点,记点P到右准线的距离为d ,若12||,||,PF PF d 依次成等差数列,则双曲线离心率的取值范围为()A.(1,2+ B.(C. )2⎡++∞⎣D.+11.对正整数n ,有抛物线()2221y n x =-,过()2,0P n 任作直线l 交抛物线于,n n A B 两点,设数列{}n a 中,14a =-,且1n nn OA OB a n ⋅=-(其中1,n n N >∈),则数列{}n a 的前n 项和n T =()A .4nB .4n - C. ()21n n + D .()21n n -+12.若以曲线()y f x =上任意一点()11,M x y 为切点作切线1l ,曲线上总存在异于M 的点()22,N x y ,以点N 为切点作切线2l ,且12//l l ,则称曲线()y f x =具有“可平行性”,现有下列命题:①函数()22ln y x x =-+的图象具有“可平行性”; ②定义在()(),00,-∞+∞的奇函数()y f x =的图象都具有“可平行性”; ③三次函数()32f x x x ax b =-++具有“可平行性”,且对应的两切点()11,M x y ,()22,N x y 的横坐标满足1223x x +=; ④要使得分段函数()()()110x x m x x f x e x ⎧+<⎪=⎨⎪-<⎩的图象具有“可平行性”,当且仅当1m =. 其中的真命题个数有()A . 1B . 2 C. 3 D .4第Ⅱ卷(共90分)二、填空题(每题5分,满分20分,将答案填在答题纸上)13.已知0,,a x y >满足约束条件()133x x y y a x ⎧≥⎪+≤⎨⎪≥-⎩,若2z x y =+的最小值为1,则a = .14.如图,在正方形ABCD 中,已知2,AB M =为BC 的中点,若N 为正方形内(含边界)任意一点,则AM AN ⋅的取值范围是 .15.某大学餐饮中心为了解新生的饮食习惯,在全校一年级学生中进行了抽样调查,调查结果如下表所示:根据表中数据,问是否有95%的把握认为“南方学生和北方学生在选用甜品的饮食习惯方面有差异” .(填有或没有) 附:()()()()()22n ad bc K a b c d a c b d -=++++16.设等差数列{}n a 的前n 项和为n S ,且2n n n c S na a -=+(c 是常数,*n N ∈),26a =,又122n n n a b +-=,数列{}n b 的前n 项和为n T ,若22n T m >-对*n N ∈恒成立,则正整数m 的最大值是 .三、解答题 (本大题共6小题,共70分.解答应写出文字说明、证明过程或演算步骤.)17. ABC ∆的内角,,A B C 的对边分别为,,a b c ,已知()2sin 8sin 2B AC +=. (1)求cos B ;(2)若6a c +=,ABC ∆的面积为2,求b .18. 以下是某地搜集到的新房屋的销售价格y 和房屋的面积x 的数据:(1)画出数据对应的散点图;(2)求线性回归方程,并在散点图中加上回归直线;(3)据(2)的结果估计当房屋面积为1502m 时的销售价格.附:回归直线的斜率和截距的最小二乘法估计公式分别为:()()()121niii nii tty y b tt==--=-∑∑,a y bt =-19. 在如图所示的多面体ABCDE 中,AB ⊥平面ACD ,DE ⊥平面ACD ,2,1,AC AD CD DE AB G =====为AD 中点,F 是CE 的中点.(1)证明://BF 平面ACD (2)求点G 到平面BCE 的距离.20. 已知定点()1,0F ,定直线:4l x =,动点P 到点F 的距离与到直线l 的距离之比等于12. (1)求动点P 的轨迹E 的方程;(2)设轨迹E 与x 轴负半轴交于点A ,过点F 作不与x 轴重合的直线交轨迹E 于两点,C B ,直线,AB AC 分别交直线l 于点,N M .试问:在x 轴上是否存在定点Q ,使得0QM QN ⋅=?若存在,求出定点Q 的坐标;若不存在,请说明理由.21. 设函数()sin ln sin g x x x θθ=--在[)1,+∞单调递增,其中()0,θπ∈. (1)求θ的值; (2)若()()221x f x g x x -=+,当[]1,2x ∈时,试比较()f x 与()1'2f x +的大小关系(其中()'f x 是()f x 的导函数),请写出详细的推理过程; (3)当0x ≥时,()11x e x kg x --≥+恒成立,求k 的取值范围.请考生在22、23两题中任选一题作答,如果多做,则按所做的第一题记分.22.选修4-4:坐标系与参数方程在直角坐标系xOy 中,圆C 的方程为()22625x y ++=.(Ⅰ)以坐标原点为极点,x 轴的正半轴为极轴建立极坐标系,求C 的极坐标方程; (Ⅱ)直线l 的参数方程是cos sin x t y t =⎧⎨=⎩αα(t 为参数),l 与C 交于,B A两点,||AB =,求l 的斜率.23.选修4-5:不等式选讲已知不等式2|x 3||x 4|2a -+-<, (Ⅰ)若1a =,求不等式的解集;若已知不等式的解集不是空集,求a 的取值范围.试卷答案一、选择题1-5: CBAAB 6-10: CDABA 11、12:DB二、填空题13.1214. []0,6 15. 有 16. 2 三、解答题17. 解:(1)因为()2sin 8sin2B A C +=,21cos sin ,22B B AC B π-=+=-,所以sin 44cos B B =-,又因为22sin cos 1B B +=,解得15cos 17B =或cos 1B =(舍),故15cos 17B =. (2)15cos 17B =,故8sin 17B =,1sin 2S ac B =,得172ac =,所以()222219a c a c ac +=+-=,由余弦定理:2b ==.18.答案:(1)数据对应的散点图如图所示:(2)5111095i i x x ===∑,()2511570xx i i l x x==-=∑,23.2y =,()()51308xy i ii l x xy y ==--=∑设所求回归直线方程为y bx a =+,则3080.19621570xy xxl b l ==≈,30823.2109 1.81661570a y bx =-=-⨯≈,故所求回归直线方程为0.1962 1.8166y x =+.(3)据(2),当2150x m =时,销售价格的估计值为:0.1962150 1.816631.2466y =⨯+=(万元)19. 解:解法一(空间向量法)以D 点为原点建立如图所示生物空间直角坐标系,使得x 轴和z 轴的正半轴分别经过点A 和点E ,则各点的坐标为()()()()0,0,0,2,0,1,0,0,2,D B E C ,(1)点F 应是线段CE 的中点,下面证明:设F 应是线段CE 的中点,则点F的坐标为12⎛⎫ ⎪ ⎪⎝⎭,∴32BF ⎛⎫=- ⎪ ⎪⎝⎭,又∵()0,0,2DE =为平面ACD 的一个法向量,且0BF DE ⋅=,∴//BF 平面ACD .(2)420. (1)设点(),P x y12=,化简整理,得22143x y +=,即为动点P 的轨迹E 的方程.(2)根据题意可设直线BC 的方程为1x my =+,代入22143x y +=,整理得()2234690my my ++-=,设()()()112201,,1,,,0B my y C my y Q x ++,则122634m y y m +=-+,122934y y m =-+.又易知()2,0A -,所以直线AB 的方程为:()1123y y x my =++,直线AC 的方程为:()2223y y x my =++,从而得1164,3y M my ⎛⎫ ⎪+⎝⎭,2264,3y N my ⎛⎫ ⎪+⎝⎭,所以()()()21201236433y y QM QN x my my ⋅=-+++()()21202121236439y y x m y y m y y =-++++()22022293634496393434m x m m m m m ⎛⎫- ⎪+⎝⎭=-+⎛⎫⎛⎫-+-+ ⎪ ⎪++⎝⎭⎝⎭()2049x =--.所以当()2049x -=,即01x =或07x =时,0QM QN ⋅=,故在x 轴上存在定点()1,0Q 或()7,0,使得0QM QN ⋅=.21. 解:(1)∵()g x 在[)1,+∞单调递增,∴()1'sin 0g x xθ=-≥在[)1,+∞上恒成立,即[)()1sin 1,x x θ≥∈+∞恒成立.∵当1x ≥时,11x≤, ∴sin 1θ≥,又()0,θπ∈,∴0sin 1θ<≤,∴sin 1θ=,∴2πθ=.(2)由(1)可知()ln 1g x x x =--,∴()()221x f x g x x -=+221ln 1x x x x =-+--,∴()23122'1f x x x x =--+,∴()()23312'ln 2f x f x x x x x x-=-++--,令()()23312ln ,2h x x x H x x x x =-=+--,∴()()241326'10,'x x h x H x x x--+=-≥=,∴()h x 在[]1,2上单调递增,∴()()11h x h ≥=,令()2326x x x φ=--+,则()x φ在[]1,2单调递减,∵()()11,210φφ==-,∴()01,2x ∃∈,使得()H x 在()01,x 单调递增,在()0x ,2单调递减,∵()()110,22H H ==-,∴()()122H x H ≥=-,∴()()()()()()min min 1'2f x f x h x H x h x H x -=+≥+=,又两个函数的最小值不同时取得:()()1'2f x f x ->,即:()()1'2f x f x >+.(3)∵()11x e x kg x --≥+恒成立,即:()()ln 1110x e k x k x ++-+-≥恒成立,令()()()ln 111x F x e k x k x =++-+-,则()()'11x kF x e k x =+-++,由(1)得:()()1g x g ≥即()ln 101x x x --≥≥,∴()()1ln 10x x x +≥+≥,即:()()ln 10x x x ≥+≥,∴1x e x ≥+,∴()()()'111kF x x k x ≥++-++,当1k =时,∵0x ≥,∴()()()'111kF xx k x ≥++-++11201x x ≥++-≥+,∴()F x 单调递增,∴()()00F x F ≥=,符合题意;当()0,1k ∈时,()()111ky x k x =++-++在[)0,+∞上单调递增,()()()()'111101kF x x k k k x ≥++-+≥+-+=+,∴()F x 单调递增,∴()()00F x F ≥=,符合题意;当0k ≤时,()'F x 在[)0,+∞上是增函数,∴()()()'111kF x x k x ≥++-++()()'0110F k k ≥=+-+=,∴()F x 单调递增,∴()()00F x F ≥=,符合题意;当1k >时,()()2''1x kF x e x ≥-+,∴()''F x 在[)0,+∞上单调递增,又()''010F k =-<,且()''00,x F →+∞>,∴()''F x 在()0,+∞存在唯一零点0t ,∴()'F x 在()00,t 单调递减,在()0,t +∞单调递增,∴当()00,t x ∈时,()()''00F x F <=,∴()F x 在()00,t 单调递减,∴()()''00F x F <=,不合题意,综上:1k ≤.22. 解:(Ⅰ)由()22625x y ++=得2212110x y x +++=,∵222,cos x y x =+=ρρθ,∴212cos 110++=ρρθ,故C 的极坐标方程为212cos 110++=ρρθ.(Ⅱ)由cos sin x t y t =⎧⎨=⎩αα(t 为参数)得tan y ax =,即tan 0ax y -=,圆心()-6,0C ,半径5r =,圆心C 到直线l的距离2d ===,即=,解得tan =αl的斜率为. 23. 答案:(Ⅰ)2|x 3||x 4|2-+-<,①若4x ≥,则3102,4x x -<<,∴舍去.②若34x <<,则22x -<,∴34x <<.③若3x ≤,则81032,33x x -<∴<≤.综上,不等式的解集为8|43x x ⎧⎫<<⎨⎬⎩⎭. (Ⅱ)设()2|x 3||x 4|f x =-+-,则()()310,42,34,1103,3x x f x x x f x x x -≥⎧⎪=-<<∴≥⎨⎪-≤⎩,121,2a a >>.。
成都七中2018年外地生招生考试数学(考试时间:120 分钟 总分:150 分)一、选择题(每小题只有一个正确答案,每小题 5 分,共 5 分) 1.满足|a -b |=|a |+|b |成立的条件是( C )A .ab >0B .ab <0C .ab ≤0D .ab ≤1分析:根据条件分析a 与b 的关系,进而求出正确答案. 解:当a ,b 异号或其中的一个为0时,|a -b |=|a |+|b |成立, 即当ab ≤0时,|a -b |=|a |+|b |成立.2.已知a ,b ,c 为正数,若关于x 的一元二次方程ax 2+bx +c =0有两个实数根,则关于x 的方程a 2x 2+b 2x +c 2=0解的情况为( C ) A .有两个不相等的正根 B .有一个正根,一个负根 C .有两个不相等的负根D .不一定有实数根分析:由方程ax 2+bx +c =0有两个实数根可得出b 2-4ac ≥0,结合a ,b ,c 为正数可得出△=b 4-4a 2c 2>0,进而可得出关于x 的方程a 2x 2+b 2x +c 2=0有两个不相等的实数根,由根与系数的关系可得出该方程的两根之和为负、两根之积为正,进而可得出关于x 的方程a 2x 2+b 2x +c 2=0有两个不相等的负根. 解:∵关于x 的一元二次方程ax 2+bx +c =0有两个实数根, ∴△=b 2-4ac ≥0. 又∵a ,b ,c 为正数,∴b 2-4ac +2ac =b 2-2ac >0,b 2+2ac >0.∵方程a 2x 2+b 2x +c 2=0的根的判别式△=b 4-4a 2c 2=(b 2+2ac )(b 2-2ac )>0, ∴该方程有两个不相等的实数根.设关于x 的方程a 2x 2+b 2x +c 2=0的两个实数根为x 1,x 2, 则x 1+x 2=-b 2a 2<0,x 1x 2=c 2a2>0,∴关于x 的方程a 2x 2+b 2x +c 2=0有两个不相等的负根.3.已知数据x 1,x 2,x 3的平均数为a ,y 1,y 2,y 3的平均数为b ,则数据2x 1+3y 1,2x 2+3y 2,2x 3+3y 3的平均数为( A ) A .2a +3bB .23a +bC .4a +9bD .2a +b分析:把2x 1+3y 1、2x 2+3y 2、2x 3+3y 3的平均数的式子用a 和b 表示出来即可. 解:∵x 1,x 2,x 3的平均数为a ,y 1,y 2,y 3的平均数为b∴(2x 1+3y 1+2x 2+3y 2+2x 3+3y 3)÷3=[2(x 1+x 2+x 3)+3(y 1+y 2+y 3)]÷3=[2×3a +3×3b ])÷3=2a +3b . 4.若函数y =12(x 2-100x +196+|x 2-100x +196|),则当自变量x 取1,2,3,…,100这100个自然数时,函数值的和是( B ) A .540B .390C .194D .97分析:将x 2-100x +196分解为(x -2)(x -98),然后可得当2≤x ≤98时函数值为0,再分别求出x =1,99,100时的函数值即可.解:∵x 2-100x +196=(x -2)(x -98),∴当2≤x ≤98时,|x 2-100x +196|=-(x 2-100x +196),∴当自变量x 取2到98时,y =12[x 2-100x +196-(x 2-100x +196)]=0,即函数值为0,而当x 取1,99,100时,|x 2-100x +196|=x 2-100x +196,此时y =12[x 2-100x +196+(x 2-100x +196)]=x 2-100x +196=(x -2)(x -98),所以,所求和为(1-2)(1-98)+(99-2)(99-98)+(100-2)(100-98)=97+97+196=390. 5.已知(m 2+1)(n 2+1)=3(2mn -1),则n (1m-m )的值为( D )A .0B .1C .-2D .-1分析:通过配方求出m ,n 的值或求出m ,n 之间的关系即可! 解:由(m 2+1)(n 2+1)=3(2mn -1),整理,得 m 2n 2+m 2+n 2+1-6mn +3=0, m 2n 2-4mn +4+m 2-2mn +n 2=0, (mn -2)2+(m -n )2=0, mn -2=0,且m -n =0, ∴mn =2,m =n ,∴原式=nm-mn =1-2=-1.6.如果存在三个实数 m ,p ,q ,满足 m +p +q =18,且1m +p +1p +q +1m +q =79,则m p +q +p m +q +qm +p的值是( D ) A .8B .9C .10D .11分析:注意到所求代数式的三个分式的分子与分母的和恰好都是m +p +q ,故可利用推导合比性质类似的方法,每个分式加上1,再提出m +p +q ,这样就把两个已知条件完美的利用起来了!明确了这一点,直接将两个已知条件相乘即可达到这一目的. 解:∵m +p +q =18,且1m +p +1p +q +1m +q =79, ∴(m +p +q )(1m +p +1p +q +1m +q )=79×18,即m +p +q m +p +m +p +q p +q +m +p +qm +q=14, ∴1+q m +p +1+p m +q +1+m p +q =14,∴m p +q +p m +q +q m +p=11. 7.如图,△ABC 中,AB =m ,AC =n ,以BC 为边向外作正方形BCDE ,连结EA ,则EA 的最大值为( A )BA.2m+n B.m+2n C.3m+n D.m+3n分析:在正方形中求线段的最值问题,通常都是将要求(或已知)的线段所在的三角形进行旋转,把要求和的线段和已知的线段转化到同一个三角形中,利用三角形三边之间关系求解.解:将△ABE绕点B顺时针旋转90°,得△A′BC,连接A′A,则△A′BA是等腰直角三角形,AA′=2AB=2 m,在△A′AC中,A′C≤A′A+AC=2m+n,即EA=A′C的最小值2m+n.8.设A,B,C,D为平面上任意四点,如果其中任意三点不在同一直线上,则△ABC,△ABD,△ACD,△BCD 中至少存在一个三角形的某个内角满足(C)A.不超过15°B.不超过30°C.不超过45°D.以上都不对分析:关于解(或证明)“至少”,“不大于”,“不可能”等相关问题,一般都采用反证法来完成!根据反证法的步骤,第一步应假设结论的反面成立,即三角形的三个内角都大于45°,从假设出发推出矛盾:四边形内角和大于360°矛盾;三角形内角和大于180°.从而得以证明结论.解:△ABC,△ABD,△ACD,△BCD中至少存在一个三角形的某个内角满足不超过45°,证明:假设A,B,C,D四点,任选三点构成的三角形的三个内角都大于45°,当ABCD构成凸四边形时,可得各角和大于360°,与四边形内角和等于360°矛盾;当ABCD构成凹四边形时,可得三角形内角和大于180°,与三角形内角和等于180°矛盾.故在△ABC,△ABD,△ACD,△BDC中至少有一个三角形的内角不超过45°.9.将抛物线T:y=x2-2x+4绕坐标原点O顺时针旋转30°得到抛物线T′,过点A(33,-3),B(3,33)的直线l与抛物线T′相交于点P,Q,则△OPQ的面积为(B)A.8 B.9 C.10 D.11yxT′T y = x2 2∙x + 4HPQABO分析:由题意A(33,-3),B(3,33)可知OA⊥OB,建立如图新的坐标系(OB为y′轴,OA为x′轴),利用方程组求出P,Q的坐标,根据S△OPQ=S△OBP+S△OBQ计算即可.解∵点A(33,-3),B(3,33),∴OA⊥OB,建立如图新的坐标系,OB为y′轴,OA为x′轴.在新的坐标系中,A(6,0),B(0,6),∴直线AB解析式为y′=-x′+6,由⎩⎨⎧y′=-x′+6,y′=x′2-2x′+4,解得⎩⎨⎧x′=2,y′=4;或⎩⎨⎧x′=-1,y′=7.∴在新的坐标系中,P(-1,7),Q(2,4),∴S△OPQ=S△OBP+S△OBQ=12×6×1+12×6×2=9.10.如图,锐角△ABC的三条高线AD,BE,CF相交于点H,连结DE,EF,DF,则图中的三角形个数有(C)A.40 B.45 C.47 D.63分析:数三角形的个数时,要想做到不重不漏,就必须要按一定的顺序,按一定规律去数!解:图中的三角形共有47个.二、填空题11.将一个各面都涂油漆的正方形切割成125个同样大小的小正方体,那么仅有2面涂油漆的小正方体共有36个.分析:由于125=5×5×5,由题意可得,大正方体每条棱2面涂油漆的小正方体有5-2=3个,再乘以12即可求解.解:125=5×5×5,则大正方体每条棱2面涂油漆的小正方体有5-2=3个,3×12=36(个).答:仅有2面涂油漆的小正方体共有36个.12.已知x ≠y ,且x 2=2y +5,y 2=2x +5,则x 3-2x 2y 2+y 3= .分析:把两个已知等式分别相加和相减,得到x +y =-2,xy =-1,再由将立方和公式和完全平方公式,将x 3-2x 2y 2+y 3变形为关于x +y 和xy 的代数式即可求解.解:∵⎩⎨⎧x 2=2y +5,①y 2=2x +5,②①-②,得 x 2-y 2=2(y -x ), 即(x -y )(x +y )=2(y -x ) ∵x ≠y , ∴x +y =-2.①+②,得 x 2+y 2=2(y +x )+10=-4+10=6, ∴(x +y )2-2xy =6,即(-2)2-2xy =6, ∴xy =-1,∴x 3-2x 2y 2+y 3=(x +y )[(x +y )2-3xy ]-2(xy )2=-16, 故答案为:-16.13.如图,多边形ABDEC 是由边长为m 的等边△ABC 和正方形BDEC 组成,⊙O 过A ,D ,E 三点,则∠ACO = .分析:先求出∠ACE 的度数,再证△ACO ≌△ECO ,即可求出∠ACO =12∠ACE =75°.解:∵多边形ABDEC 是由边长为m 的等边△ABC 和正方形BDEC 组成, ∴AC =EC ,∠ACE =∠ACB +∠ECB =60°+90°=150°, ∵⊙O 过A ,D ,E 三点, ∴AO =EO , 又OC =OC ,∴△ACO ≌ECO (SSS ),∴∠ACO =∠ECO =12∠ACE =12×150°=75°.变式练习:(1)如图,多边形ABDEC 是由边长为m 的等边△ABC 和正方形BDEC 组成,⊙O 过点A ,D ,E 三点,则⊙O 的半径等于 .(2)若多边形ABDEC 是由一个等腰△ABC 和一个矩形BDEC 组成,AB =AC =BD =m ,⊙O 过A ,D ,E 三点,则⊙O 的半径是否改变?解:(1)如图,过A 作BC 的垂线交DE 于F 点,由于△ABC 为等边三角形,则AF 平分BC , ∵四边形BDEC 为正方形, ∴AF 也垂直平分DE ,∴过点A ,D ,E 三点的圆的圆心O 在AF 上, 连接AD ,OD ,则OA =OD , ∴∠1=∠2, 又∵BC =BD =BA , ∴∠3=∠4, 而AF ∥BD , ∴∠1=∠4, ∴∠2=∠3, ∴AB ∥OD ,∴四边形ABDO 为菱形,∴AO =AB =2,即⊙O 的半径为2. (2)⊙O 的半径不改变.因为AB =AC =BD =2,此题的求法和(1)一样,⊙O 的半径为2. 故答案为2,不改变.14.已知实数a ,b ,c 满足a ≠b ,且2(a -b )+2(b -c )+(c -a )=0,则(c -b )(c -a )(a -b )2= 2+2 .方法一:(主元法--将2看成未知数)令2=x ,则原等式就可变为关于x 的一元二次方程,利用根与系数的关系求出代数式的值.解:令2=x ,则2=x 2,原等式就可变形为关于x 的一元二次方程(a -b )x 2+(b -c )x +(c -a )=0. ∵(a -b )+(b -c )+(c -a )=0 ∴方程必有一个根是1, ∴方程的两个根分别是1和2, 根据根与系数关系有: 1+2=-b -c a -b ,1•2=c -aa -b∴(c -b )(c -a )(a -b )2=-b -c a -b ·c -aa -b=(1+2)·1•2=2+2.方法二:(整体思想)等式整理后,不能求出a ,b ,c 的值,所以可尝试进行等式变形.注意到a -b ,b -c ,c -a 这三个代数式之间的特殊关系(任意两个相加可得第三个),这样即可将已知条件看成关于其中两个代数式的等式,结合所求代数式进行变形,求出c -a a -b (或c -b a -b )的值,再把要求的分式变形,使变形后的分式只含有c -a a -b (或c -ba -b ),再整体代入.解:2(a -b )+2(b -c )+(c -a )=0可变形为2(a -b )+2(b -c )-[(a -b )+(b -c )]=0, 即 (a -b )+(2-1)(b -c )=0, ∴c -b a -b =12-1=2+1, ∴c -a a -b =(c -b )+(b -a )a -b =c -b a -b -1=2+1-1=2, ∴(c -b )(c -a )(a -b )2=c -b a -b ·c -aa -b=(1+2)•2=2+2.15.将小王与小孙现在的年龄按从左至右的顺序排列得到一个四位数,这个数为完全平方数,再过31年,将他们的年龄按同样方式排列,又得到一个四位数,这个数仍然为完全平方数,则小王现在的年龄是 12 岁. 分析:设小王年龄为x 岁,小孙年龄为y 岁,可得100x +y =m 2,100(x +31)+y +31=n 2,两式相减因式分解后得到 31×101=(n -m )(n +m ),得到方程组后解答即可. 解:设小王年龄为x 岁,小孙年龄为y 岁,可得,⎩⎨⎧100x +y =m 2,100(x +31)+y +31=n 2,两式相减得100×31+31=n 2-m 2, 31×101=(n -m )(n +m ),∴⎩⎨⎧n +m =101,n -m =31, 解得,⎩⎨⎧m =35,n =66,∴100x +y =352=1225, ∴x =12,y =25,即:小王现在的年龄是12岁.16.设合数k 满足,1<k <100,若k 的数字和为质数,就称合数k 为“山寨质数”,则这种“山寨质数”的个数是 23 个.分析:分别从质数的定义分析进而分别得出和为质数的山寨质数. 解:用S (K )表示k 的数字和;而M (p )表示为山寨质数p 的合数的集合.当k ≤99时,S (k )≤18,不大于18的质数共有7个,它们是:2,3,5,7,11,13,17, 山寨为2的合数有M (2)={20},而M (3)={12,21,30}, M (5)={14,32,50},M (7)={16,25,34,52,70};M (11)={38,56,65,74,92},M (13)={49,58,76,85,94},M (17)={98}, 共得23个山寨质数.17.如图,在平面直角坐标系中,☉M 经过坐标原点,且与x 轴、y 轴分别相交于点A (-8,0),B (0,-6)两点.若抛物线对称轴过点M ,顶点C 在圆上,开口向下,交x 轴于点D ,E 两点,P 在抛物线上,若S △PDE =15S △ABC ,则满足条件的P 点有 3 个.分析:求出AB 的解析式y =−34x -6,根据条件求出C 点坐标,设抛物线解析式y =a (x +4)2+2,将点B 代入解析式,求出a 值,确定抛物线解析式;可求出抛物线与x 轴交点间距离DE =4,点P 到x 轴的距离是2,P 点的纵坐标是2或-2,分别求出P 点对应的横坐标即可确定P . 解:∵抛物线对称轴过点M ,∴AM =BM =CM ,AN =ON , ∵A (-8,0),∴N (-4,0),∴M 点的横坐标是-4, 直线AB 的解析式为y =−34x -6,∴M (-4,-3),∴AM =5,∴CM =5,∴C (-4,2), ∴S △ABC =12×5×8=20,∵S △PDE =15S △ABC ,∴S △PDE =4,设抛物线解析式y =a (x +4)2+2,∵经过点B (0,-6),∴a =-12,∴y =-12x 2-4x -6,∴D (-6,0),E (-2,0),∴DE =4,∴点P 到x 轴的距离是2,∴P 点的纵坐标是2或-2,当P 点纵坐标是2时,-12x 2-4x -6=2,解得x =-4,∴P (-4,2);当P 点纵坐标是-2时,-12x 2-4x -6=-2,∴x =-4+22或x =-4-22,∴P (-4+22,-2)或P (-4-22,-2), ∴符合条件的P 点有3个.18.如图,在Rt △ABC 中,∠ACB =90°,∠A =60°,D 为AB 中点,BE =3,AC =4,☉B 经过点E ,P 为☉B 上一动点,则4PC +3PD 的最小值为 .DE CBAP分析:由含30°角直角三角形的性质得出AB =2AC =8,由勾股定理得出BC =AB 2-AC 2=43,由D 为AB 中点,得出BD =AD =12AB =4,由圆半径得出BP =BE =3,在线段BE 上取点Q ,使BQ =94,连接PQ ,过点C 作CH ⊥AB 于H ,求出BQ PB =BP BD ,∠PBD =∠QBP ,则△PBQ ∽△DBP ,得出PQ PD =BQ BP =34,推出4PQ=3PD ,PQ =34PD ,即PC +34PD =PC +PQ ,连接CQ ,交⊙B 于点P ′,此时P ′C +P ′Q =CQ 最小,即P ′C+34P ′D 最小,则P ′为4PC +3PD 的最小值时的动点P 的位置,易求AH =12AC =2,CH =AC 2-AH 2=23,HQ =AB -BQ -AH =154,由勾股定理得出CQ =CH 2+HQ 2=4174,由4CQ =4(PC +34PD )=4PC +3PD ,即可得出结果.解;∵Rt △ABC 中∠ACB =90°,∠A =60°, ∴AB =2AC =8,BC =AB 2-AC 2=43, ∵D 为AB 中点,∴BD =AD =12AB =4,∵⊙B 经过点E ,P 为⊙B 上一动点, ∴BP =BE =3,在线段BE 上取点Q ,使BQ =94,连接PQ ,过点C 作CH ⊥AB 于H ,如图所示:∴BQ PB =94 3 =34,∵BP BD =34,∴BQ PB =BP BD , ∵∠PBD =∠QBP , ∴△PBQ ∽△DBP , ∴PQ PD =BQ BP =34,, ∴4PQ =3PD ,PQ =34PD ,∴PC +34PD =PC +PQ ,连接CQ ,交⊙B 于点P ′,此时P ′C +P ′Q =CQ 最小,即P ′C +34P ′D 最小,∴P ′为4PC +3PD 的最小值时的动点P 的位置, ∵∠A =60°,∠CHA =90°,∴AH =12AC =2,∴CH =AC 2-AH 2=42-22=23, ∴HQ =AB -BQ -AH =8-94-2=154,∴CQ =CH 2+HQ 2=(23)2+(154)2=4174,∴4CQ =4(PC +34PD )=4PC +3PD ,∴4PC +3PD =4×4174=417. 三、解答题19.是否存在这样的整系数二次三项式:f (x )=ax 2+bx +c ,其中a 不是2018的倍数,而且f (1),f (2),…,f (2018)被2018除的余数各不相同?请做出判断并说明理由. 分析:根据因式分解得相关知识可以解答此题. 解:存在,取 a =1009,令f (x )=1009x 2+2010x 由于对任何正整数,乘积都是偶数. 由此 1009 是 2018 的倍数.∴令 被 2018 除的余数与 被 2018 除的余数相同 即,除的余数各不相同.20.若m ,n ,p 为三个整数,且m +n +p =21,n m =pn,求:(1)当m 取最小值时,np 的值; (2)当m 取最大值时,np 的值.=pn =x ,则n =mx ,p =nx =mx ·x =mx 2,由m +n +p =21,得mx 2+mx +m =21,显然该方程有有理根,据此可解决本题!=pn =x ,则n =mx ,p =nx =mx ·x =mx 2,由m +n +p =21,得mx 2+mx +m =21, 即方程x 2+x +1-21m =0有有理根,∴Δ=1-4×1×(10,∴0<m ≤28,(1)当m 取最小值1时,x 2+x -20=0,解得x =4或x =-5. ①当m =1,x =4时,n =4,p =16,∴np =64; ②当m =1,x =-5时,n =-5,p =25,∴np =-125.21.平面直角坐标系内,A 坐标为(0,3),B 为x 轴负半轴上一动点,C 为B 关于A 的对称点,D 为B 关于y 轴的对称点,作△BCD 的外接圆,交y 轴负半轴于E 点,连结BE ,CE ,BI 平分∠CBD 交CE 于点I . (1)如图 1,若AI ⊥CE ,设Q 为☉A 上在第二象限内一点,连接DQ 交y 轴于T 点,连结BQ 并延长交y 轴正半轴于G 点,求AT ·AG 的值;(2)如图2,若A (0,3),B ,D 关于y 轴对称,当tan ∠ABO =34时,线段AB 上一动点P (不与A ,B 重合),连结PD 交y 轴于M 点,△PMB 外接圆☉O 1交y 轴另一点为N ,若☉O 1半径为R ,求MN R的值.分析:(1)由垂径定理和外角性质可证BE =IE =IC ,通过证明△BEO ∽△CBE ,可得OE OB =BE CE,可得OB =2OE ,设⊙A 的半径为R ,由勾股定理可求R =5,通过证明△ABG ∽△ATB ,可得AB AG =AT AB,即可求解; (2)作O 1K ⊥MN 于K ,连接O 1N ,PN ,BM ,由三角函数可求OB =OD =4,通过解直角三角形可求MN R的值.解:(1)连结 QC ,TB ,则∠QCB +∠CBQ =90°,又∠QDB +∠DTO =90°,而∠QCB =∠QDB ,∴∠CBQ =∠DTO =∠BTO ,且∠BAG =∠BAT∴△ABG ∽△ATB ,∴AB AG =AT AB,∴AB 2=AG •AT . ∵AI ⊥CE ,∴I 为CE 的中点,∴AE =AC ,IE =IC .∴∠ACE =∠AEC ,且∠ACE +∠CBE =90°,∠AEC +∠BEO =90°,∴∠BEO =∠CBE ,且∠BEC =∠BOD =90°,∴△BEO ∽△CBE ,∴OE OB =BE CE, ∵AE ⊥BD ,∴BE ︵=DE ︵,∴∠DBE =∠BCE .又∵∠CBI =∠DBI ,∠BIE =∠∠BCE +∠CBE ,∠IBE =∠DBI +∠DBE ,∴∠BIE =∠IBE ,∴BE =IE =IC ,∴OE :OB =BE :CE =1︰2,∴OB =2OE .设⊙A 的半径为R ,由AB 2-OA 2=BO 2,OE =R -3,得R 2-32=4(R -3)2,解得R =5,或R =3(不合题意,舍去).∴AT •AG =AB 2=25.(注:可连结 AD ,CD 证△BAG ∽△TAD ,△TAD ≌△TAB ,本质类似.)(2)作O 1K ⊥MN 于K ,连接O 1N ,PN ,BM ,则MN =2NK ,且∠N O 1K =∠1,∴MNR =2NKO 1K =2sin ∠NO 1K =2sin ∠1.∵tan ∠ABO =34=OAOB ,∴OB =OD =4,且OM ⊥BD ,∴∠2=∠3.又∠2=∠4+∠5,∠3=∠1+∠6,∵∠5=∠6,∴∠1=∠4=∠NO 1K ,∴MNR =2sin ∠4=2×BO AB =85.。
四川省成都七中2018-2019学年高一上学期入学数学试卷一、选择题(共10小题,每小题4分,满分40分)1.下面几组对象可以构成集合的是()A.视力较差的同学B.2013年的中国富豪C.充分接近2的实数的全体D.大于﹣2小于2的所有非负奇数2.一元二次方程2x2﹣6x﹣3=0的两根为x1,x2,则(1+x1)(1+x2)的值为()A.3B.6C.﹣3 D.3.在“等边三角形”、平行四边形、圆、正五角星、抛物线“这五个图形中,是中心对称图形但不是轴对称图形的个数是()A.0B.1C.2D.34.分式方程+1=的解是()A.2B.1C.﹣1 D.﹣25.下面四个几何体中,左视图是四边形的几何体共有()个.A.0B.1C.2D.36.在Rt△ABC中,∠ACB=90°,CD⊥AB于D,AC=10,CD=6,则sinB的值为()A.0B.C.D.7.不透明的盒子里面装有五个分别标有数字1、2、3、4、5的乒乓球,这些球除数字外,其他完全相同,一位学生随机摸出两个球,两个球的数字之和是偶数的概率是()A.B.C.D.8.若a≠0,b≠,则代数式++的取值共有()A.2个B.3个C.4个D.5个9.如图,点E在正方形ABCD边CD上,四边形DEFG也是正方形,已知AB=a,DE=b (a,b为常数,且a>b>0),则△ACF的面积()A.只与a的大小有关B.只与b的大小有关C.只与CE的大小有关D.无法确定10.若关于x的方程x2﹣2mx+m+6=0的两实根为x1,x2,y=(x1﹣1)2+(x2﹣1)2的取值范围是()A.y≥B.y≥8 C.y≥18 D.y>﹣二、填空题(共10小题,每小题4分,满分40分)11.已知函数y=,自变量x的取值范围是.12.已知关于x的方程|5x﹣4|+a=0无解,|4x﹣3|+b=0有两个解,|3x﹣2|+c=0只有一个解,则化简|a﹣c|+|c﹣b|﹣|a﹣b|的结果是.13.已知a为实数,则代数式的最小值为.14.函数y=x4+2x2﹣1,﹣1≤x≤1的最小值为.15.如图,点P(m,1)是双曲线y=上一点,PT⊥x轴于点T,吧△PTO沿直线OP翻折得到△PT1O,则T1的坐标为.16.满足不等式x(x2+1)>(x+1)(x2﹣x+1)的x的取值范围是.17.已知==,则的值为.18.已知++|x﹣y+2010|+z2+4z+4=0,则x+y+z=.19.对于正数x,规定,例如f(3)=,f()=,计算f()+f()+f()+…+f()+f()+f(1)+f(2)+f(3)+…+f+f+f=.20.已知关于x的方程x3﹣ax2﹣2ax+a2﹣1=0有且只有一个实根,则实数a的取值范围是.三、解答题(共2小题,满分20分)21.(1)先化简,再求值:已知x=+1,求(﹣)+的值;(2)解不等式≥1.22.在某服装批发市场,某种品牌的时装当季节将来临时,价格呈上升趋势,设这种时装开始时定价为20元/件(第一周价格),并且每周价格上涨,如图所示,从第6周开始到第11轴保持30元/件的价格平稳销售;从第12周开始,当季节即将过去时,每周下跌,直到第16周周末,该服装不再销售.(1)求销售价y(元/件)与周次x之间的函数关系式;(2)若这种时装每件进价Z与周次x次之间的关系为Z=﹣0.125(x﹣8)2+12.(1≤x≤16,且x为整数),试问该服装第几周出售时每件销售利润最大?最大利润为多少?四川省成都七中2014-2015学年高一上学期入学数学试卷一、选择题(共10小题,每小题4分,满分40分)1.下面几组对象可以构成集合的是()A.视力较差的同学B.2013年的中国富豪C.充分接近2的实数的全体D.大于﹣2小于2的所有非负奇数考点:集合的含义.专题:规律型;集合.分析:根据集合元素所具有的性质逐项判断即可.解答:解:集合的元素具有“确定性”、“互异性”、“无序性”,选项A、B、C均不满足“确定性”,故排除A、B、C,故选D.点评:本题考查集合的定义、集合元素的性质,属基础题,理解相关概念是解决问题的关键.2.一元二次方程2x2﹣6x﹣3=0的两根为x1,x2,则(1+x1)(1+x2)的值为()A.3B.6C.﹣3 D.考点:根与系数的关系.专题:函数的性质及应用.分析:根据一元二次方程的根与系数的关系x1+x2=3,x1•x2=,然后将其代入所求的代数式(1+x1)(1+x2)求值即可.解答:解:∵方程2x2﹣6x﹣3=0的两根为x1,x2,∴x1+x2=3,x1•x2=,∴(1+x1)(1+x2)=x1•x2+x1+x2+1=+3+1=,故选:D点评:本题考查了一元二次方程的根与系数的关系.解题时,务必弄清楚根与系数的关系x1+x2=﹣,x1•x2=中的a、b、c所表示的意义.3.在“等边三角形”、平行四边形、圆、正五角星、抛物线“这五个图形中,是中心对称图形但不是轴对称图形的个数是()A.0B.1C.2D.3考点:图形的对称性.专题:常规题型;立体几何.分析:依次判断五个图形是轴对称还是中心对称即可.解答:解:“等边三角形”是轴对称图形,平行四边形是中心对称图形但也可能是轴对称图形,圆是轴对称图形也是中心对称图形,正五角星轴对称图形,抛物线轴对称图形,故选A.点评:本题考查了图形的对称性,轴对称是关于线对称,中心对称是关于点对称,属于基础题.4.分式方程+1=的解是()A.2B.1C.﹣1 D.﹣2考点:函数的值.专题:函数的性质及应用.分析:由已知得==﹣1,由此能求出分式方程+1=的解.解答:解:∵+1=,∴==﹣1,∴x=2﹣x,解得x=1.故选:B.点评:本题考查分式方程的解法,解题时要认真审题,注意分式方程性质的合理运用.5.下面四个几何体中,左视图是四边形的几何体共有()个.A.0B.1C.2D.3考点:简单空间图形的三视图.专题:计算题;空间位置关系与距离.分析:四个几何体的左视图:圆柱是矩形,圆锥是等腰三角形,球是圆,正方体是正方形,由此可确定答案.解答:解:因为圆柱的左视图是矩形,圆锥的左视图是等腰三角形,球的左视图是圆,正方体的左视图是正方形,所以,左视图是四边形的几何体是圆柱和正方体,故选C.点评:本题主要考查三视图的左视图的知识;考查了学生的空间想象能力,属于基础题.6.在Rt△ABC中,∠ACB=90°,CD⊥AB于D,AC=10,CD=6,则sinB的值为()A.0B.C.D.考点:任意角的三角函数的定义.专题:三角函数的求值.分析:由条件利用勾股定理求得AD的值,再利用直角三角形中的边角关系求得tanA的值,可得BC的值,再利用直角三角形中的边角关系求得sinB的值.解答:解:在Rt△ABC中,∵∠ACB=90°,CD⊥AB于D,AC=10,CD=6,∴AD==8∴tanA===.再根据tanA===,∴BC=,∴sinB===,故选:D.点评:本题主要考查直角三角形中的边角关系,勾股定理,属于基础题.7.不透明的盒子里面装有五个分别标有数字1、2、3、4、5的乒乓球,这些球除数字外,其他完全相同,一位学生随机摸出两个球,两个球的数字之和是偶数的概率是()A.B.C.D.考点:列举法计算基本事件数及事件发生的概率.专题:概率与统计.分析:列举出所有情况,看两球上的数字之和是偶数的情况占总情况的多少即可,解答:解:一位学生随机摸出两个球,所有情况为(1,2),(1,3),(1,4),(1,5),(2,3),(2,4),(2,5),(3,4),(3,5),(4,5)共10种,两个球的数字之和是偶数的有(1,3,),(1,5),(2,4),(3,5)共4种,故两个球上的数字之和是偶数的概率是=,故选:B点评:本题主要考查了古典概型的概率问题,关键是不重不漏列举出所有的基本事件,属于基础题.8.若a≠0,b≠,则代数式++的取值共有()A.2个B.3个C.4个D.5个考点:进行简单的演绎推理.专题:函数的性质及应用.分析:记m=++.分类讨论:当a>0,b>0时,当a<0,b<0时,当a>0,b<0时,或当a<0,b>0时.即可得出.解答:解:记m=++.当a>0,b>0时,m==3;当a<0,b<0时,m=﹣1;当a>0,b<0时,或当a<0,b>0时,m=1﹣1+1=﹣1.综上可得:代数式++的取值共有2个.故选:A.点评:本题考查了分类讨论的思想方法求代数式的值,属于基础题.9.如图,点E在正方形ABCD边CD上,四边形DEFG也是正方形,已知AB=a,DE=b (a,b为常数,且a>b>0),则△ACF的面积()A.只与a的大小有关B.只与b的大小有关C.只与CE的大小有关D.无法确定考点:三角形的面积公式.专题:立体几何.分析:如图所示,利用S△ACF=S△ACD+S梯形ADGF﹣S△AFG即可得出.解答:解:如图所示,S△ACF=S△ACD+S梯形ADGF﹣S△AFG=+﹣=.因此△ACF的面积只与a有关系.故选:A.点评:本题考查了三角形与梯形、正方形的面积计算公式,属于基础题.10.若关于x的方程x2﹣2mx+m+6=0的两实根为x1,x2,y=(x1﹣1)2+(x2﹣1)2的取值范围是()A.y≥B.y≥8 C.y≥18 D.y>﹣考点:根与系数的关系.专题:函数的性质及应用.分析:由方程x2﹣2mx+m+6=0的两实根为x1,x2,可得:△≥0,即m≤﹣2,或m≥3,且x1+x2=2m,x1•x2=m+6,进而可将y=(x1﹣1)2+(x2﹣1)2化为:y=4m2﹣6m﹣10(m≤﹣2,或m≥3)的形式,结合二次函数的图象和性质可得答案.解答:解:∵方程x2﹣2mx+m+6=0的两实根为x1,x2,∴△=4m2﹣4(m+6)≥0,即m≤﹣2,或m≥3,且x1+x2=2m,x1•x2=m+6,则y=(x1﹣1)2+(x2﹣1)2=(x1+x2)2﹣2x1•x2﹣2(x1+x2)+2=4m2﹣2(m+6)﹣4m+2=4m2﹣6m﹣10,故当m=3时,y取最小值8,无最大值,即y=(x1﹣1)2+(x2﹣1)2的取值范围是y≥8,故选:B点评:本题考查的知识点是一元二次方程根与系数的关系,二次函数的图象和性质,难度中档.二、填空题(共10小题,每小题4分,满分40分)11.已知函数y=,自变量x的取值范围是{x|x≥1且x≠2}.考点:函数的定义域及其求法.专题:函数的性质及应用.分析:根据函数成立的条件,即可得到结论.解答:解:要使函数f(x)有意义,则,解得x≥1且x≠2,故答案为:{x|x≥1且x≠2}点评:本题主要考查函数的定义域的求解,要求熟练掌握常见函数成立的条件.12.已知关于x的方程|5x﹣4|+a=0无解,|4x﹣3|+b=0有两个解,|3x﹣2|+c=0只有一个解,则化简|a﹣c|+|c﹣b|﹣|a﹣b|的结果是0.考点:进行简单的演绎推理.专题:函数的性质及应用.分析:由于关于x的方程|5x﹣4|+a=0无解,可得a>0.方程|4x﹣3|+b=0变为|4x﹣3|=﹣b,根据|4x﹣3|+b=0有两个解,可得﹣b>0.方程|3x﹣2|+c=0变为|3x﹣2|=﹣c,由于只有一个解,可得﹣c=0.解答:解:由于关于x的方程|5x﹣4|+a=0无解,则a>0.方程|4x﹣3|+b=0变为|4x﹣3|=﹣b,∵|4x﹣3|+b=0有两个解,∴﹣b>0,解得b<0.方程|3x﹣2|+c=0变为|3x﹣2|=﹣c,由于只有一个解,∴﹣c=0,解得c=0.∴|a﹣c|+|c﹣b|﹣|a﹣b|=a﹣b﹣(a﹣b)=0.故答案为:0.点评:本题考查了绝对值的意义、方程的解,考查了推理能力,属于基础题.13.已知a为实数,则代数式的最小值为3.考点:二次函数的性质.专题:函数的性质及应用.分析:对27﹣12a+2a2配方即可得到的最小值.解答:解:=;∴的最小值为3.故答案为:3.点评:考查配方求代数式最值的方法.14.函数y=x4+2x2﹣1,﹣1≤x≤1的最小值为﹣1.考点:二次函数的性质.专题:计算题;函数的性质及应用.分析:利用配方法求函数的最小值.解答:解:y=x4+2x2﹣1=(x2+1)2﹣2,∵﹣1≤x≤1,∴1≤x2+1≤2,∴﹣1≤(x2+1)2﹣2≤2,则函数y=x4+2x2﹣1,﹣1≤x≤1的最小值为﹣1.故答案为:﹣1.点评:本题考查了函数的最值的求法,属于基础题.15.如图,点P(m,1)是双曲线y=上一点,PT⊥x轴于点T,吧△PTO沿直线OP翻折得到△PT1O,则T1的坐标为()..考点:双曲线的简单性质.专题:圆锥曲线的定义、性质与方程.分析:根据翻折变换的性质得出△T′OT是等边三角形,进而利用锐角三角形函数关系求出即可.解答:解:连接TT′,过点T′作T′C⊥OT于点C,∵点P(m,1)是双曲线y=上一点,∴m=,则OT=,PT=1,故tan∠POT==,则∠POT=30°,∵把△PTO沿直线OP翻折得到△PT′O,∴∠T′OP=30°,OT=OT′,∴△T′OT是等边三角形,∴OC=CT=,T′C=OT′sin60°=,故T′的坐标为:().故答案为:().点评:此题主要考查了翻折变换的性质以及锐角三角函数关系等知识,得出△T′OT是等边三角形是解题关键.16.满足不等式x(x2+1)>(x+1)(x2﹣x+1)的x的取值范围是{x|x>1}.考点:其他不等式的解法.专题:不等式的解法及应用.分析:由多项式的乘法和立方和公式化简已知不等式,易得解集.解答:解:原不等式可化为x(x2+1)﹣(x+1)(x2﹣x+1)>0,展开可得x3+x﹣(x3+1)>0,即x﹣1>0,解得x>1故答案为:{x|x>1}点评:本题考查不等式的解法,利用公式化简是解决问题的关键,属基础题.17.已知==,则的值为﹣.考点:函数的值.专题:函数的性质及应用.分析:设===k,则x=2k,y=3k,z=4k,由此能求出的值.解答:解:设===k,则x=2k,y=3k,z=4k,∴==﹣.故答案为:﹣.点评:本题考查函数值的求法,是基础题,解题时要认真审题,注意函数性质的合理运用.18.已知++|x﹣y+2010|+z2+4z+4=0,则x+y+z=2014.考点:进行简单的演绎推理.专题:计算题;推理和证明.分析:由++|x﹣y+2010|+z2+4z+4=0可得x﹣3=0,3﹣x=0,|x﹣y+2010|=0,z2+4z+4=0,从而解出x+y+z.解答:解:∵++|x﹣y+2010|+z2+4z+4=0,∴x﹣3=0,3﹣x=0,|x﹣y+2010|=0,z2+4z+4=0;解得,x=3,y=2013,z=﹣2;则x+y+z=2014.故答案为:2014.点评:本题考查了简单的演绎推理,属于基础题.19.对于正数x,规定,例如f(3)=,f()=,计算f()+f()+f()+…+f()+f()+f(1)+f(2)+f(3)+…+f+f+f=2013.5.考点:函数的值.专题:函数的性质及应用.分析:由已知得f(x)+f()=1,由此能求出函数的值.解答:解:∵,∴f(x)+f()===1,∴f()+f()+f()+…+f()+f()+f(1)+f(2)+f(3)+…+f+f+f =2013×1+f(1)=2013+=2013.5.故答案为:2013.5.点评:本题考查函数值的求法,是基础题,解题时要认真审题,注意函数性质的合理运用.20.已知关于x的方程x3﹣ax2﹣2ax+a2﹣1=0有且只有一个实根,则实数a的取值范围是a <.考点:根的存在性及根的个数判断.专题:计算题.分析:先把方程变形为关于a的一元二次方程的一般形式:a2﹣(x2+2x)a+x3﹣1=0,然后利用求根公式解得a=x﹣1或a=x2+x+1;于是有x=a+1或x2+x+1﹣a=0,再利用原方程只有一个实数根,确定方程x2+x+1﹣a=0没有实数根或方程x2+x+1﹣a=0,有重根a+1,最后解a的不等式得到a的取值范围.解答:解:把方程变形为关于a的一元二次方程的一般形式:a2﹣(x2+2x)a+x3﹣1=0,则△=(x2+2x)2﹣4(x3﹣1)=(x2+2)2,∴a=,即a=x﹣1或a=x2+x+1.所以有:x=a+1或x2+x+1﹣a=0.∵关于x3﹣ax2﹣2ax+a2﹣1=0只有一个实数根,∴情形1,方程x2+x+1﹣a=0没有实数根,即△<0,得a<;情形2,方程x2+x+1﹣a=0,有重根a+1,此时有a+1=﹣,a=﹣,方程为x2+x+=0无解,不合题意,舍去,所以a的取值范围是a<.故答案为:a<.点评:本题考查了一元二次方程ax2+bx+c=0(a≠0,a,b,c为常数)根的判别式.当△>0,方程有两个不相等的实数根;当△=0,方程有两个相等的实数根;当△<0,方程没有实数根.同时考查了转化的思想方法在解方程中的应用.三、解答题(共2小题,满分20分)21.(1)先化简,再求值:已知x=+1,求(﹣)+的值;(2)解不等式≥1.考点:其他不等式的解法.专题:不等式的解法及应用.分析:(1)由分式的运算法则化简可得原式=,把x=+1代入计算即可;(2)移项通分原不等式可化为≥0,即x﹣1>0,易得答案.解答:解:(1)化简可得(﹣)+=﹣+=+=﹣===,∵x=+1,∴原式==;(2)不等式≥1可化为﹣1≥0,即≥0,即≥0,∴x﹣1>0,解得x>1,∴不等式的解集为:{x|x>1}点评:本题考查分式不等式的解集,涉及分式的化简运算,属基础题.22.在某服装批发市场,某种品牌的时装当季节将来临时,价格呈上升趋势,设这种时装开始时定价为20元/件(第一周价格),并且每周价格上涨,如图所示,从第6周开始到第11轴保持30元/件的价格平稳销售;从第12周开始,当季节即将过去时,每周下跌,直到第16周周末,该服装不再销售.(1)求销售价y(元/件)与周次x之间的函数关系式;(2)若这种时装每件进价Z与周次x次之间的关系为Z=﹣0.125(x﹣8)2+12.(1≤x≤16,且x为整数),试问该服装第几周出售时每件销售利润最大?最大利润为多少?考点:函数最值的应用.专题:应用题.分析:(1)根据函数图象求出函数解析式即可;(2)由于y与x之间的函数关系式为分段函数,则w与x之间的函数关系式亦为分段函数,分情况解答.解答:解:(1)依题意得,可建立的函数关系式为:∴y=;即y=;(2)设利润为W,则W=售价﹣进价故W=,化简得W=,①当W=x2+14时,∵当x≥0,函数W随着x增大而增大,∵1≤x<6∴当x=5时,W有最大值,最大值=17.125②当W=x2﹣2x+26时,∵W=(x﹣8)2+18,当x≥8时,函数W随x增大而增大,∴在x=11时,函数有最大值为19;③当W=x2﹣4x+48时,∵W=,∵12≤x≤16,当x≤16时,函数W随x增大而减小,∴在x=12时,函数有最大值为18综上所述,当x=11时,函数有最大值为19.点评:本题考查的是二次函数的运用,由于计算量大,考生在做这些题的时候要耐心细心.难度中上.此题是分段函数,题目所涉及的内容在求解过程中,要注意分段函数问题先分段解决,最后再整理、归纳得出最终结论,另外还要考虑结果是否满足各段的要求,这是解此类综合应用题目的特点.。
成都七中 2017—2018 学年度上期高 2018 届半期考试数学试卷(文科)考试时间:120 分钟满分:150 分第 I 卷(选择题,共 60 分)一、选择题:本大题共12个小题,每小题5分,共60分.在每小题给出的四个选项中,只有一项是符合题目要求的.1. 已知集合,,则()A. B. C. 或 D.【答案】D【解析】即则故答案选2. 若直线与直线平行,则()A. B. 2 C. D. 0【答案】A【解析】由题意可得两直线的斜率分别为:由于两直线平行,故解得验证可得当时,直线的方程均可以化为:,直线重合,故可得故答案选3. 设为等差数列,公差,为其前项和. 若,则()A. 18B. 20C. 22D. 24【答案】B【解析】试题分析:由等差数列的前10项的和等于前11项的和可知,第11项的值为0,然后根据等差数列的通项公式,利用首项和公差d表示出第11项,让其等于0列出关于首项的方程,求出方程的解即可得到首项的值.解:由s10=s11,得到a1+a2+…+a10=a1+a2+…+a10+a11即a11=0,所以a1-2(11-1)=0,解得a1=20.故选B考点:等差数列的性质点评:此题考查学生掌握等差数列的性质,灵活运用等差数列的通项公式化简求值,是一道基础题4. 如图,设两点在河的两岸,一测量者在的同侧河岸选定一点,测出的距离为 50米,,,则两点的距离为()A. 米B. 50米C. 25米D. 米【答案】A【解析】在△ABC中,∵∠ACB=45°,∠CAB=105°∴∠B=30°由正弦定理可得:,故答案为:A.5. 若等比数列的前5项的乘积为1,,则数列的公比为()A. B. 2 C. D.【答案】B【解析】等比数列的前5项的乘积为1,联立以上两式得到:,,将两式作比得到故答案选B。
6. 设,则()A. B. C. D.【答案】A【解析】已知底数和真数在1的两侧,,底数小于1,次数大于0,故,底数大于1,次数大于0,故>1.故可以得到。
四川省成都七中2018-2019学年高三(下)入学数学试卷(理科)(2月份)一、选择题(本大题共12小题,共60.0分)1.已知i是虚数单位,若2+i=z(1-i),则z的共轭复数对应的点在复平面的()A. 第一象限B. 第二象限C. 第三象限D. 第四象限2.设集合A={y|y=3x,x∈R},B={y|y=,x∈R},则A∩B=()A. B. C. D.3.函数f(x)=的大致图象是()A.B.C.D.4.执行如图所示的程序框图,则输出的k值为()A. 7B. 9C. 11D. 135.已知等边△ABC内接于⊙O,D为线段OA的中点,则=()A. B. C. D.6.某几何体的三视图如图所示,图中正方形的边长为2,四条用虚线表示的线段长度均相等,则该几何体的体积为()A.B.C.D.7.二项式(x-)8的展开式中x2的系数是-7,则a=()A. 1B.C.D.8.如图,边长为a的正六边形内有六个半径相同的小圆,这六个小圆分别与正六边形的一边相切于该边的中点,且相邻的两个小圆互相外切,则在正六边形内任取一点,该点恰好取自阴影部分的概率为()A.B.C.D.9.如图,点A为双曲线-=1(a>0,b>0)的右顶点,P为双曲线上一点,作PB⊥x轴,垂足为B,若A为线段OB的中点,且以A为圆心,AP为半径的圆与双曲线C恰有三个公共点,则C的离心率为()A.B.C. 2D.10.已知cos(-α)=2sin(α+),则tan(α+)=()A. B. C. D.11.如图,在等腰Rt△ABC中,斜边AB=,D为直角边BC上的一点,将△ACD沿直AD折叠至△AC1D的位置,使得点C1在平面ABD外,且点C1在平面ABD上的射影H在线段AB上,设AH=x,则x的取值范围是()A. B. C. D.12.设M,N是抛物线y2=x上的两个不同的点,O是坐标原点,若直线OM与ON的斜率之积为-,则()A. B. MN为直径的圆的面积大于C. 直线MN过抛物线的焦点D. O到直线MN的距离不大于2二、填空题(本大题共4小题,共20.0分)13.设x,y满足约束条件,则z=-3x+4y的最大值为______.14.某共享汽车停放点的停车位排成一排且恰好全部空闲,假设最先来停车点停车的3辆共享汽车都是随机停放的,且这3辆共享汽车都不相邻的概率与这3辆共享汽车恰有2辆相邻的概率相等,则该停车点的车位数为______.15.《数书九章》中对已知三角形三边长求三角形的面积的求法填补了我国传统数学的一个空白.与著名的海伦公式完全等价,由此可以看出我国古代具有很高的数学水平,其求法是“以小斜幂并大斜幂减中斜幂,余半之,自乘于上.以小斜幂乘大斜幂减上,余四约之,为实,一为从偶,开平方得积”,若把这段文字写成公式,即S=,已知△ABC满足(sin A-sin B)(sin A+sin B)=sin A sin C-sin2C,且AB=2BC=2,则用以上给出的公式求得△ABC的面积为______.16.已知函数f(x)=,若∃∈,,使得f(f(x0))=x0,则m的取值范围是______三、解答题(本大题共7小题,共82.0分)17.已知等比数列{a n}为递增数列,且a52=a10,2(a n+a n+2)=5a n+1,数列{b n}的前n项和为S n,b1=1,b n≠0,b n b n+1=4S n-1.(1)求数列{a n}和{b n}的通项公式;(2)设c n=a n b n,求数列{c n}的前n项和T n.18.如图,在四棱锥P-ABCD中,AB⊥PC,AD∥BC,AD⊥CD,且PC=BC=2AD=2CD=2,PA=2.(1)PA⊥平面ABCD;(2)在线段PD上,是否存在一点M,使得二面角M-AC-D的大小为60°?如果存在,求的值;如果不存在,请说明理由.19.为发挥体育在核心素养时代的独特育人价值,越来越多的中学已将某些体育项目纳入到学生的必修课程,甚至关系到是否能拿到毕业证.某中学计划在高一年级开设游泳课程,为了解学生对游泳的兴趣,某数学研究性学习小组随机从该校高一年级学生中抽取了100人进行调查,其中男生60人,且抽取的男生中对游泳有兴趣的占,而抽取的女生中有15人表示对游泳没有兴趣.(1)试完成下面的2×2列联表,并判断能否有99%的把握认为“对游泳是否有兴趣与性别有关”?(2)已知在被抽取的女生中有6名高一(1)班的学生,其中3名对游泳有兴趣,现在从这6名学生中随机抽取3人,求至少有2人对游泳有兴趣的概率.(3)该研究性学习小组在调查中发现,对游泳有兴趣的学生中有部分曾在市级和市级以上游泳比赛中获奖,如下表所示.若从高一(8)班和高一(9)班获奖学生中各随机选取2人进行跟踪调查,记选中的4人中市级以上游泳比赛获奖的人数为ξ,求随机变量ξ的分布列及数学期望.K2=20.已知椭圆Γ:+=1(a>b>0)的右焦点为F(1,0),上顶点为A.过F且垂直于x轴的直线l交椭圆F于B、C两点,若△△=(1)求椭圆Γ的方程;(2)动直线m与椭圆Γ有且只有一个公共点,且分别交直线1和直线x=2于M、N两点,试求的值21.已知a∈R,函数f(x)=x-ae x+1有两个零点x1,x2(x1<x2).(Ⅰ)求实数a的取值范围;(Ⅱ)证明:e+e>2.22.在直角坐标系xOy中,曲线C1的参数方程为(t为参数),以原点为极点,以x轴的正半轴为极轴,建立极坐标系,曲线C2的极坐标方程为ρ=,(Ⅰ)求曲线C1的普通方程和曲线C2的直角坐标方程;(Ⅱ)设点M(0,2),曲线C1与曲线C2交于A,B两点,求|MA|•|MB|的值.23.已知函数f(x)=|2x+1|-|x-2|.(1)画出函数f(x)的图象;(2)若关于x的不等式x+2m+1≥f(x)有解,求实数m的取值范围.答案和解析1.【答案】D【解析】解:由2+i=z(1-i),得z=,∴,则z的共轭复数z对应的点的坐标为(),在复平面的第四象限.故选:D.把已知等式变形,再由复数代数形式的乘除运算化简,求出z的坐标得答案.本题考查复数代数形式的乘除运算,考查复数的代数表示法及其几何意义,是基础题.2.【答案】C【解析】解:由y=3x,x∈R,得y>0,即A=(0,+∞),由y=,x∈R,得:0≤y≤2,即B=[0,2],即A∩B=(0,2],故选:C.分别求y=3x,x∈R,y=,x∈R的值域,得:A=(0,+∞),B=[0,2],再求交集即可.本题考查了求函数值域及交集的运算,属简单题.3.【答案】A【解析】解:f(-x)===f(x),则函数f(x)为偶函数,故排除CD,当x=1时,f(1)=<0,故排除B,故选:A.先判断函数偶函数,再求出f(1)即可判断本题考查了函数图形的识别,关键掌握函数的奇偶性,和函数值,属于基础题4.【答案】C【解析】解:由题意,模拟执行程序框图,可得S=0,k=1满足条件S>-1,S=lg,k=3满足条件S>-1,S=lg +lg,k=5满足条件S>-1,S=lg +lg +lg,k=7满足条件S>-1,S=lg +lg +lg +lg,k=9满足条件S>-1,S=lg +lg +lg +lg +lg=lg(××××)=lg=-lg11,k=11不满足条件S>-1,退出循环,输出k的值为11.故选:C.由已知中的程序框图可知:该程序的功能是利用循环结构计算并输出变量k的值,模拟程序的运行过程,分析循环中各变量值的变化情况,可得答案.本题考查的知识点是程序框图,当循环的次数不多,或有规律时,常采用模拟循环的方法解答.5.【答案】A【解析】解:如图所示,设BC中点为E,则=+=+=+(+)=-+•=+.故选:A.根据题意画出图形,结合图形,利用平面向量的线性运算写出用、的表达式即可.本题考查了平面向量的线性表示与应用问题,是基础题.6.【答案】A【解析】解:根据几何体的三视图:该几何体是由一个边长为2正方体挖去一个底面半径为1,高为2的圆锥构成的不规则的几何体.所以:v=,=.故选:A.直接利用三视图,整理出几何体的构成,进一步利用几何体的体积公式求出结果.本题考查的知识要点:三视图的应用,几何体的体积公式的应用,主要考查学生的运算能力和转化能力,属于基础题型.7.【答案】B【解析】解:二项式(x-)8的展开式中的通项公式:T r+1=C8r(-a)r x8-2r,令8-2r=2,解得r=3,则含x2项的系数为C83(-a)3=-7,解得a=故选:B.利用通项公式即可得出.本题考查了二项式定理的通项公式及其性质,考查了推理能力与计算能力,属于基础题.8.【答案】C【解析】解:如图所示,边长为a的正六边形,则OA=OB=AB=a,设小圆的圆心为O',则O'C⊥OA,∴OC=a,∴O'C=a,OO'=a,∴OD=a,∴S阴影=12[×a•a-π•(a)2]=(-)a2,S正六边形=a2,∴点恰好取自阴影部分的概率P===,故选:C.分别求出正六边形和阴影部分的面积,作商即可.本题考查了几何概型问题,考查特殊图形面积的求法,是一道常规题.9.【答案】A【解析】解:由题意可得A(a,0),A为线段OB的中点,可得B(2a,0),令x=2a,代入双曲线的方程可得y=±b,可设P(2a,-b),由题意结合图形可得圆A经过双曲线的左顶点(-a,0),即|AP|=2a,即有2a=,可得a=b,e===,故选:A.设A的坐标(a,0),求得B的坐标,考虑x=2a,代入双曲线的方程可得P的坐标,再由圆A经过双曲线的左顶点,结合两点的距离公式可得a=b,进而得到双曲线的离心率.本题考查双曲线的方程和性质,主要是离心率的求法,考查方程思想和运算能力,属于中档题.10.【答案】B【解析】解:∵cos(-α)=2sin(α+),∴-sinα=2sinαcos+2cosαsin,则即-2sinα=cosα,∴tanα=-,∴tan(α+)===-,故选:B.由题意利用诱导公式、两角和正弦角公式求得tanα,再利用两角和正切公式求得结果.本题主要考查两角和差的三角公式、诱导公式的应用,属于基础题.11.【答案】B【解析】解:∵在等腰Rt△ABC中,斜边AB=,D为直角边BC上的一点,∴AC=BC=1,∠ACB=90°,将△ACD沿直AD折叠至△AC1D的位置,使得点C1在平面ABD外,且点C1在平面ABD上的射影H在线段AB上,设AH=x,∴AC1=AC=1,CD=C1D∈(0,1),∠AC1D=90°,CH⊥平面ABC,∴AH<AC1=1,故排除选项A和选项C;当CD=1时,B与D重合,AH=,当CD<1时,AH>=,∵D为直角边BC上的一点,∴CD∈(0,1),∴x的取值范围是(,1).故选:B.推导出AC=BC=1,∠ACB=90°,AC1=AC=1,CD=C1D∈(0,1),∠AC1D=90°,CH⊥平面ABC,从而AH<AC1=1,当CD=1时,B与D重合,AH=,当CD<1时,AH>=,由此能求出x的取值范围.本题考查线段长的取值范围的求法,考查空间中线线、线面、面面间的位置关系等基础知识,考查运算求解能力,是中档题.12.【答案】D【解析】解:当直线MN的斜率不存在时,设M (,y0),N (,-y0),由斜率之积为,可得,即,∴MN的直线方程为x=2;当直线的斜率存在时,设直线方程为y=kx+m,联立,可得ky2-y+m=0.设M(x1,y1),N(x2,y2),则,,∴,即m=-2k.∴直线方程为y=kx-2k=k(x-2).则直线MN过定点(2,0).则O到直线MN的距离不大于2.故选:D.由已知分类求得MN所在直线过定点(2,0),结合选项得答案.本题考查抛物线的简单性质,考查直线与篇文章位置关系的应用,是中档题.13.【答案】5【解析】解:作出x,y满足约束条件,所示的平面区域,如图:作直线-3x+4y=0,然后把直线L向可行域平移,结合图形可知,平移到点A时z最大,由可得A(1,2),此时z=5.故答案为:5.先画出约束条件的可行域,利用目标函数z=-3x+4y的几何意义,求解目标函数的最大值.本题主要考查了线性规划的简单应用,解题的关键是:明确目标函数的几何意义.14.【答案】10【解析】解:设停车位有n个,这3辆共享汽车都不相邻的种数:相当于先将(n-3)个停车位排放好,再将这3辆共享汽车,插入到所成(n-2)个间隔中,故有A n-23种,恰有2辆相邻的种数:先把其中2辆捆绑在一起看做一个复合元素,再和另一个插入到,将(n-3)个停车位排放好所成(n-2)个间隔中,故有A32A n-22种,因为这3辆共享汽车都不相邻的概率与这3辆共享汽车恰有2辆相邻的概率相等,∴A n-23=A32A n-22,解得n=10,故答案为:10.设停车位有n个,求出这3辆共享汽车都不相邻的种数和恰有2辆相邻的种数,可得A n-23=A32A n-22,解得即可本题考查了排列组合中的相邻问题和不相邻问题,考查了运算能力和转化能力,属于中档题15.【答案】【解析】解:∵AB=2BC=2,∴由题意可得:c=2a=2,a=,∵(sinA-sinB)(sinA+sinB)=sinAsinC-sin2C,∴由正弦定理可得:(a-b)(a+b)=ac-c2,可得:a2+c2-b2=ac,∴S===ac==.故答案为:.由题意可得:c=2a=2,a=,利用正弦定理化简已知等式可得a2+c2-b2=ac,根据题意利用三角形的面积公式即可计算得解.本题主要考查了正弦定理在解三角形中的应用,考查了计算能力和转化思想,属于基础题.16.【答案】[-2,0)【解析】解:设t=f(x0),∵f(f(x0))=x0,∴f(t)=x0,∴f(x0)=x0有零点,∴f(x)==x,∴-m=,即直线y=-m,与g(x)=有交点,∴g′(x)=-,x≥,令g′(x)=0,解得x=,当x∈[,)时,g′(x)>0,函数g(x)单调递增,当x∈[,+∞)时,g′(x)<0,函数g(x)单调递减,∴g(x)max=g()=2,g()=4(3-ln16)>0,当x→+∞时,g(x)→0,分别画出y=-m与y=g(x)的图象,如图所示;由图象可得当0<-m≤2,即-2≤m<0时,y=-m与y=g(x)有交点,故答案为:[-2,0).设t=f(x0),由题意可得f(x0)=x0有零点,即f(x)==x,分离参数,构造函数,结合导数和数形结合即可求出.本题考查了函数的零点,导数和函数的最值的关系,考查了转化思想,数形结合的思想,属于难题17.【答案】解:(1)设公比为q等比数列{a n}为递增数列,且a52=a10,首项为a1,则:,解得:a1=q,2(a n+a n+2)=5a n+1,所以:2q2-5q+2=0,解得:q=2或,由于数列为单调递增数列,故:q=2,所以:,数列{b n}的前n项和为S n,b1=1,b n≠0,b n b n+1=4S n-1①.当n≥2时,b n-1b n=4S n-1-1②,整理得:b n-b n-1=2(常数),对n分偶数和奇数进行分类讨论,整理得:b n=2n-1故:c n=a n b n=(2n-1)•2n,则:①,2②,①-②得:-T n=,解得:.【解析】(1)直接利用递推关系式求出数列的通项公式.(2)利用(1)的结论,进一步利用乘公比错位相减法求出数列的和.本题考查的知识要点:数列的通项公式的求法及应用,乘公比错位相减法在数列求和中的应用,主要考查学生的运算能力和转化能力,属于基础题型.18.【答案】证明:(1)∵在四棱锥P-ABCD中,AB⊥PC,AD∥BC,AD⊥CD,且PC=BC=2AD=2CD=2,PA=2.∴AB=AC==2,∴AB2+AC2=BC2,PA2+AC2=PC2,∴AB⊥AC,AP⊥AC,∵AB⊥PC,∴AB⊥平面PAC,∴PA⊥AB,∵AB∩AC=A,∴PA⊥平面ABCD.解:(2)以A为原点,AB为x轴,AC为y轴,AP为z轴,建立空间直角坐标系,设在线段PD上,存在一点M(a,b,c),使得二面角M-AC-D的大小为60°,且=λ,(0≤λ≤1),A(0,0,0),C(0,2,0),P(0,0,2),D(-1,1,0),=(a,b,c-2),=(-1,1,-2),∴ ,∴M(-λ,λ,2-2λ),∴=(0,2,0),=(-λ,λ,2-2λ),设平面ACM的法向量=(x,y,z),则,取x=1,得=(1,0,),平面ACD的法向量=(0,0,1),∵二面角M-AC-D的大小为60°,∴cos60°==,解得.∴在线段PD上,存在一点M,使得二面角M-AC-D的大小为60°,=4-2.【解析】(1)推导出AB⊥AC,AP⊥AC,AB⊥PC,从而AB⊥平面PAC,进而PA⊥AB,由此能证明PA⊥平面ABCD.(2)以A为原点,AB为x轴,AC为y轴,AP为z轴,建立空间直角坐标系,利用向量法能求出在线段PD上,存在一点M ,使得二面角M-AC-D 的大小为60°,=4-2.本题考查线面垂直的证明,考查满足二面角的点是否存在的判断与求法,考查空间中线线、线面、面面间的位置关系,考查运算求解能力,考查数形结合思想,是中档题.19.【答案】50 10 60 25 15 40 75 25 100【解析】解:(1)由题意能得到如下的列联表:∴K 2==≈5.556<6.635.∴没有99%的把握认为“对游泳是否有兴趣与性别有关”.(2)记事件A i 表示“从这6名学生中随机抽取的3人中恰好有i 人有兴趣,i=0,1,2,3”, 则A 2+A 3表示“从这6名学生中随机抽取的3人中到少有2人有兴趣”,且A 2,A 3互斥, ∴现在从这6名学生中随机抽取3人,至少有2人对游泳有兴趣的概率:P (A 2+A 3)=P (A 2)+P (A 3)==.(3)由题意可知ξ的所有可能取值为0,1,2,3, P (ξ=0)==,P (ξ=1)==, P (ξ=2)==,P (ξ=3)==, ∴ξ的分布列是:∴E (ξ)==.(1)完成列联表求出K 2≈5.556<6.635.从而没有99%的把握认为“对游泳是否有兴趣与性别有关”.(2)记事件A i 表示“从这6名学生中随机抽取的3人中恰好有i 人有兴趣,i=0,1,2,3”,则A 2+A 3表示“从这6名学生中随机抽取的3人中到少有2人有兴趣”,且A 2,A 3互斥,由此能求出现在从这6名学生中随机抽取3人,至少有2人对游泳有兴趣的概率.(3)由题意可知ξ的所有可能取值为0,1,2,3,分别求出相应的概率,由此能求出ξ的分布列和E (ξ). 本题考查独立检验的应用,考查概率、离散型随机变量概率分布列、数学期望的求法,考查古典概型、排列组合等基础知识,考查运算求解能力,考查函数与方程能力,是中档题.20.【答案】解:(1)易知,, △△,∴, ,所以,b =1, ,因此,椭圆Γ的方程为;(2)设直线m 与椭圆Γ的切点为点P (x 0,y 0),则直线m 的方程为,且有,可得, 直线m 与直线l :x =1交于点 ,,直线m 交直线x =2于点 ,.所以,,==,因此,.【解析】(1)由通径公式得出,结合已知条件得出,再由c=1,可求出a 、b 的值,从而得出椭圆的方程;(2)设切点为(x 0,y 0),从而可写出切线m 的方程为,进而求出点M 、N 的坐标,将切点坐标代入椭圆方程得出x0与y0之间的关系,最后利用两点间的距离公式可求出答案.本题考查直线与椭圆的综合,考查计算能力与推理能力,属于中等题.21.【答案】解:(Ⅰ)f′(x)=1-ae x,①a≤0时,f′(x)>0,f(x)在R上递增,不合题意,舍去,②当a>0时,令f′(x)>0,解得x<-ln a;令f′(x)<0,解得x>-ln a;故f(x)在(-∞,-ln a)单调递增,在(-ln a,+∞)上单调递减,由函数y=f(x)有两个零点x1,x2(x1<x2),其必要条件为:a>0且f(-ln a)=-ln a>0,即0<a<1,此时,-1<-ln a<2-2ln a,且f(-1)=-1-+1=-<0,令F(a)=f(2-2ln a)=2-2ln a-+1=3-2ln a-,(0<a<1),则F′(a)=-+=>0,F(a)在(0,1)上单调递增,所以,F(a)<F(1)=3-e2<0,即f(2-2ln a)<0,故a的取值范围是(0,1).(Ⅱ)令f(x)=0⇒a=,令g(x)=,g′(x)=-xe-x,则g(x)在(-∞,0)单调递增,在(0,+∞)单调递减,由(Ⅰ)知0<a<1,故有-1<x1<0<x2,令h(x)=g(-x)-g(x),(-1<x<0),h(x)=(1-x)e x-(1+x)e-x,(-1<x<0),h′(x)=-xe x+xe-x=x(e-x-e x)<0,所以,h(x)在(-1,0)单调递减,故h(x)>h(0)=0,故当-1<x<0时,g(-x)-g(x)>0,所以g(-x1)>g(x1),而g(x1)=g(x2)=a,故g(-x1)>g(x2),又g(x)在(0,+∞)单调递减,-x1>0,x2>0,所以-x1<x2,即x1+x2>0,故e+e≥2=2e>2.【解析】(Ⅰ)利用导数研究单调性得f(x)的最大值为f(-lna)>0解得a即可;(Ⅱ)先通过构造函数证明x1+x2>0,在用基本不等式可证.本题考查了函数零点的判定定理,属难题.22.【答案】解:(Ⅰ)曲线C1的参数方程为(t为参数),由代入法消去参数t,可得曲线C1的普通方程为y=-x+2;曲线C2的极坐标方程为ρ=,得ρ2=,即为ρ2+3ρ2sin2θ=4,整理可得曲线C2的直角坐标方程为+y2=1;(Ⅱ)将(t为参数),代入曲线C2的直角坐标方程+y2=1得13t2+32t+48=0,利用韦达定理可得t1•t2=,所以|MA|•|MB|=.【解析】(Ⅰ)运用代入法,消去t,可得曲线C1的普通方程;由x=ρcosθ,y=ρsinθ,代入极坐标方程,即可得到所求直角坐标方程;(Ⅱ)将直线的参数方程代入曲线C2的直角坐标方程,运用参数的几何意义,由韦达定理可得所求之积.本题考查参数方程和普通方程的互化,极坐标方程和直角坐标方程的互化,考查直线参数方程的运用,以及韦达定理的运用,属于基础题.23.【答案】解:(1)f(x)=|2x+1|-|x-2|=,,<<,,画出y=f(x)的图象,如右图:(2)关于x的不等式x+2m+1≥f(x)有解,即为2m+1≥f(x)-x,由x≥2时,y=f(x)-x=3;当-<x<2时,y=f(x)-x=2x-1∈(-2,3);当x≤-时,y=f(x)-x=-2x-3∈[-2,+∞),可得y=f(x)-x的最小值为-2,则2m+1≥-2,解得m≥-.【解析】(1)写出f(x)的分段函数式,画出图象;(2)由题意可得2m+1≥f(x)-x的最小值,对x讨论去绝对值,结合一次函数的单调性可得最小值,即可得到所求范围.本题考查绝对值不等式的解法和不等式有解的条件,注意运用分类讨论思想方法和分离参数法,考查单调性的运用:求最值,属于中档题.11。
成都七中2018届高三下学期入学考试数学(理)试题第Ⅰ卷(选择题 共50分)一、选择题:本大题共10小题,每小题5分,共50分.在每小题给出的四个选项中,只有一个是符合题目要求的.1.设集合{}2450A x x x =--=,集合{}210B x x =-=,则A B = ( ) A .{}1B .{}1-C .{}1,1,5-D . ∅2.设复数z 满足()12i z i =-,则z =( ) A .1i -+B . 1i --C .1i +D .1i -3.一个四面体的顶点在空间直角坐标系O xyz -中的坐标分别是()1,0,1,()1,1,0,()0,1,1,()0,0,0,画该四面体三视图中的正视图时,以zOx 平面为投影面,则得到正视图可以为( )A B C D 4.已知等差数列{}n a 的前n 项和为n S ,且4813S S =,那么816S S =( ) A .18B .13C .19D .3105.函数()sin 0,0,22y A x A ππωϕωϕ⎛⎫=+>>-<<⎪⎝⎭的部分图象如图所示,则此函数的解析式可为( ) A .2sin 26y x π⎛⎫=-⎪⎝⎭B .2sin 23y x π⎛⎫=-⎪⎝⎭ C .2sin 46y x π⎛⎫=-⎪⎝⎭D .2sin 43y x π⎛⎫=+⎪⎝⎭6.阅读如图所示的程序框图,若输入的10k =,则该算法的功能是( ) A .计算数列{}12n -的前10项和B .计算数列{}12n -的前9项和C .计算数列{}21n -的前10项和D .计算数列{}21n -的前9项和7.设函数()f x 在R 上可导,其导函数为()f x ',且函数()f x 在2x =-处取得极小值,则函数()y xf x '=的图象可能是( )A B C D8.2名厨师和3位服务员共5人站成一排合影,若厨师甲不站两端,3位服务员中有且只有两位服务员相邻,则不同排法的种数是( )A .60B .48C .42D .369.设12,F F 是双曲线()222210,0x y a b a b-=>>的两个焦点,P 在双曲线上,若120PF PF ⋅= ,122PF PF ac ⋅=(c 为半焦距),则双曲线的离心率为( )A B C .2 D10.将函数()lg f x x =的图象向左平移1个单位,再将位于x 轴下方的图象沿x 轴翻折得到()g x 的图象,若实数(),m n m n <满足()()1,106214lg 22n g m g g m n n +⎛⎫=-++= ⎪+⎝⎭,则m n -的值是( ) A .25-B .13C .115-D .1115第Ⅱ卷(非选择题共100分)二、填空题:本大题共5小题,每小题5分,共25分.11.22nx ⎫⎪⎭展开式中只有第六项二项式系数最大,则展开式中的常数项是______.(用数字作答)12.某校高级职称教师26人,中级职称教师104人,其他教师若干人.为了了解该校教师的工资收入情况,按分层抽样从该校的所有教师中抽取56人进行调查,已知从其他教师中共抽取了16人,则该校共有教师________人.13.已知0a >,,x y 满足约束条件()133x x y y a x ⎧≥⎪+≤⎨⎪≥-⎩,若2z x y =+的最小值为1,则a =______.14.设正实数,,x y z 满足22340x xy y z -+-=,则当xyz 取得最大值时,2122x y z+-+的最大值为______.15.如图,正方体1111ABCD A B C D -的棱长为1,P 为BC 的中点,Q 为线段1CC 上的动点,过点,,A P Q 的平面截该正方体所得的截面记为S .则下列命题正确的是______(写出所有正确命题的编号).①当102CQ <<时,S 为四边形 ②当12CQ =时,S 为等腰梯形 ③当34CQ =时,S 与11C D 的交点R 满足113C R =④当314CQ <<时,S 为六边形 ⑤当1CQ =时,S三、解答题:本大题共6小题,共75分.解答应写出文字说明,证明过程或演算步骤. 16.(本小题满分12分) 在ABC ∆中,角,,A B C 对应的边分别是,,a b c .已知()cos 23cos 1A B C -+=. (Ⅰ)求角A 的大小;(Ⅱ)若ABC ∆的面积5S b ==,求sin sin B C 的值. 17.(本小题满分12分)已知数列{}n a 满足:11a =,*12210,n n a a n N +--=∈.数列{}n b 的前n 项和为n S ,2*19,3n n S n N -⎛⎫=-∈ ⎪⎝⎭.(Ⅰ)求数列{}n a ,{}n b 的通项公式;(Ⅱ)设*,n n n c a b n N =∈.求数列{}n c 的前n 项和n T . 18.(本小题满分12分)如图1,在等腰直角三角形ABC 中,90,6A BC ∠=︒=,,D E 分别是,AC AB 上的点,CD BE ==,O 为BC 的中点.将ADE ∆沿DE 折起,得到如图2所示的四棱锥A BCDE '-,其中A O '=(Ⅰ)证明:A O '⊥平面BCDE ;(Ⅱ)求二面角A CD B '--的余弦值.19.(本小题满分12分)甲乙两班进行消防安全知识竞赛,每班出3人组成甲乙两支代表队,首轮比赛每人一道必答题,答对则为本队得1分,答错不答都得0分,已知甲队3人每人答对的概率分别为321,,432,乙队每人答对的概率都是23.设每人回答正确与否相互之间没有影响,用ξ表示甲队总得分. (Ⅰ)求随机变量ξ的分布列及其数学期望()E ξ;(Ⅱ)求在甲队和乙队得分之和为4的条件下,甲队比乙队得分高的概率. 20.(本小题13分)在平面直角坐标系中,长度为3的线段AB 的端点A 、B 分别在,x y 轴上滑动,点M 在线段AB 上,且2AM MB =.(1)若点M 的轨迹为曲线C ,求其方程;(2)过点()0,1P 的直线l 与曲线C 交于不同两点E 、F ,N 是曲线上不同于E 、F 的动点,求NEF ∆面积的最大值. 21.(本小题14分)已知函数()()22ln 12g x a x x x =++-.(1)当0a >时,讨论函数()g x 的单调性;(2)当0a =时,在函数()g x 图象上取不同两点A 、B ,设线段AB 的中点为()00,P x y ,试探究函数()g x 在()()00,Q x g x 点处的切线与直线AB 的位置关系?(3)试判断当0a ≠时()g x 图象是否存在不同的两点A 、B 具有(2)问中所得出的结论.。
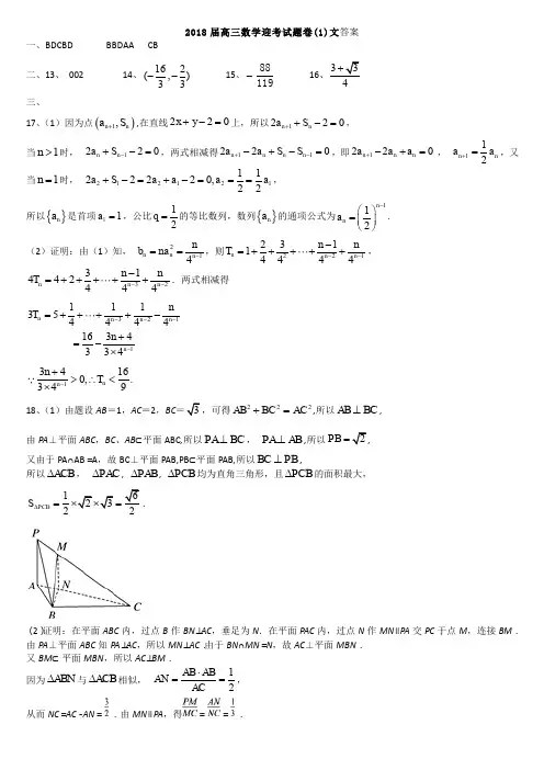
2018届高三数学迎考试题卷(1)文答案一、BDCBD BBDAA CB二、13、 002 14、162(,)33-- 15、11988- 16三、17、(1)因为点()1,n n a S +,在直线220x y +-=上,所以1220n n a S ++-=, 当1n >时, 1220n n a S -+-=,两式相减得11220n n n n a a S S +--+-=,即1220n n n a a a +-+=,当1n =时,所以{}n a 是首项11a =,公比的等比数列,数列{}n a 的通项公式为214n n --+++ 314n n --+++ 3144334n n --+++⨯13434n n -+>⨯18、(1)由题设AB =1,AC =2,BC ,可得222AB BC AC +=,所以AB BC ⊥,由PA ⊥平面ABC ,BC 、AB ⊂平面ABC ,所以PA BC ⊥,PA AB ⊥,所以PB =又由于PA∩AB = A ,故BC ⊥平面PAB,PB ⊂平面PAB,所以BC PB ⊥,所以ACB ∆, PAC ∆, PAB ∆, PCB ∆均为直角三角形,且PCB ∆的面积最大,122PCB S ∆==.( 2)证明:在平面ABC 内,过点B 作BN ⊥ AC ,垂足为N .在平面PAC 内,过点N 作MN ∥ PA 交PC 于点M ,连接BM . 由PA ⊥平面ABC 知PA ⊥ AC ,所以MN ⊥ AC .由于BN ∩MN = N ,故AC ⊥平面MBN .又BM ⊂平面MBN ,所以AC ⊥ BM .因为ABN ∆与ACB ∆相似, 12AB AB AN AC ⋅==, 从而NC = AC - AN = . 由MN ∥ PA ,得= = .19、由折线图,知甲射击10次中靶环数分别为:9,5,7,8,7,6,8,6,7,7.将它们由小到大重排为:5,6,6,7,7,7,7,8,8,9.乙射击10次中靶环数分别为:2,4,6,8,7,7,8,9,9,10.也将它们由小到大重排为:2,4,6,7,7,8,8,9,9,10. (Ⅰ)()170=5627482971010x ⨯+⨯+⨯+⨯+==甲(环), ()1702467282921071010x =⨯+++⨯+⨯+⨯+==乙(环) ()()2221(5767210S =⨯-+-⨯+甲 ()()()2227748797-⨯+-⨯- ) ()1=42024 1.210⨯++++= ()()2221(274710S =⨯-+-+乙()()()22267772872-+-⨯+-⨯ ()()22972107)+-⨯+- ()125910289 5.410=⨯++++++= 根据以上的分析与计算填表如下:(Ⅱ)①∵平均数相同, 22S S <甲乙,∴甲成绩比乙稳定.②∵平均数相同,命中9环及9环以上的次数甲比乙少,∴乙成绩比甲好些.③甲成绩在平均数上下波动;而乙处于上升势头,从第四次以后就没有比甲少的情况发生,乙较有潜力.20.(1)设所求椭圆方程为,由题意知2223c a b =-=,① 设直线与椭圆的两个交点为()()1122,,,A x y B x y ,弦AB 的中点为E ,由,两式相减得:,两边同除以2212x x -,得,即.因为椭圆被直线1y x =-截得的弦的中点E 的横坐标为,所以E ,所以, 1AB k =,所以,即224a b =,②由①②可得224,1a b ==,所以所求椭圆的方程为.(2)设()()1122,,,P x y Q x y , PQ 的中点为()00,N x y , 联立,消y 可得: ()222148440k x kmx m +++-=,此时()2216410k m ∆=+->,即2241k m +>① 又,,PQ 为对角线的菱形的一顶点为()1,0M -,由题意可知MN PQ ⊥,即整理可得: 2314km k =+②由①②可得,, 设O 到直线l 的距离为d ,则,当的面积取最大值1,此时k =∴直线方程为.21、(1)函数()f x 的定义域为()0,+∞,()21'1a a f x x x+=+- ()()21x a x x --= 1)当01a <<时,由()'0f x >得, 0x a <<或1x >,由()'0f x <得1a x <<, 故函数()f x 的单调递增区间为()0,a 和()1,+∞,单调减区间为(),1a2)当时1a =, ()'0f x ≥, ()f x 的单调增区间为()0,+∞(2)先考虑“至少有一个()00,x ∈+∞,使()00f x x >成立”的否定“()0,x ∀∈+∞, ()f x x ≤恒成立”。
成都七中高2018级高三数学试题考试时间120分钟 满分150分命题人:张世永 审题人:罗林丹一、选择题(本大题共12小题,每小题5分,共60分.)1.以)0,1(A 和5:=x L 为相应焦点和准线且过点)0)(,3(≠a a P 的圆锥曲线必定是( ) (A)抛物线 (B)椭圆 (C)双曲线 (D)不能确定2.由直线x y =上一点P 向圆07622=++-y x x 引切线,则切线长的最小值为( )(A)22(B) 210(C) 223 (D) 23.函数x x x y cos sin cos 23-+=的最大值等于 ( ) (A )2732 (B ) 2716 (C ) 278 (D ) 2744.如果对任意实数x ,不等式kx x ≥+1恒成立,则实数k 的取值范围是( )(A)(]0,∞- (B)[]0,1- (C)[)+∞,0 (D)[]1,05. 已知γ、β分别表示两个平面,a ,b 分别表示两条直线,则a //γ的一个充分不必要条件是( )A .γ⊥β,a ⊥βB .γ∩β=b, a //bC .a //b, b//γD .γ //β,a ⊂β6.已知双曲线)0(19222>=-b by x 的两条渐近线的夹角为=b 则,3π( )A .3B .33C .33或3 D .33或37.过抛物线)(022>=p px y 的焦点F 的直线l 交抛物线于点A 、B ,交其准线于点C ,若2AF FB =,则点B 分的比为( )A .1B .2C .21 D .318、不等式组⎪⎩⎪⎨⎧≥-+≤-≤-0220102y x y x 表示的平面区域上运动,则22y x z +=的取值范围是( )9.直线AB 的方向向量为(1,2),直线AC 的方向向量为(2,1),则直线AB 关于直线AC 对称的直线的方向向量为( )A. (-1,1)B.(-2,11)C.(11,-2)D.(1,-1)4.,55A ⎡⎤⎢⎥⎣⎦.5B ⎡⎢⎣[].1,4C [].4,5D10.从1,3,5,7,9中任取2个数字,从0,2,4,6,8中任取2个数字组成没有重复数字的四位数,其中能被5整除的数有 ( ) A .448个 B .384个 C .600个 D .192个11.棱长皆为2的正四棱锥P-ABCD 顶点在球O 的球面上, ,则点A 和点B 之间的球面距离为( )A.πB.2C.π34D.π3212. 在△ABC 中,sin2A=sin2B 是cos2A=cos2B 的( )A.充分不必要条件B.必要不充分条件C.充要条件D.既不充分也不必要条件 二、填空题(本大题共4小题,每小题4分,共16分.)13. (理 )已知n m x f <>,0)(/,且9)()(-=⋅n f m f ,则)()(m f n f -的最小值是 (文)已知一个∆Rt 三边长成等差数列,则三边长之比是14.以正方体各面的中心为顶点的几何体与此正方体的内切球的体积之比为15.以椭圆x 2+2y 2=2的长轴端点为焦点,椭圆焦点为实轴端点的双曲线与椭圆交于A,B,C,D 四点,以原点为顶点,过两相邻交点的抛物线的标准方程为16.已知向量 a 和 b 的夹角为 θ,定义 a ×b 为向量 a 和 b 的“向量积”,a ×b 是一个向量,它的长度 | a ×b | = | a |·| b |·sin θ,如果| a ×b |>|a ·b |则θ的取值范围是成都七中高18届高三数学单元测验答题卷班级 姓名一、选择题(本大题共12小题,每小题5分,共60分)二.填空题(每题4分,共16分)13. ; 14. ; 15. ; 16.__________. 三、解答题(17——21题每题12分,第22题14分,共74分)17、已知向量()()sin ,23cos ,2sin ,sin a x x b x x ==, f(x)=,a b ∙(0,)2x π∈(I )如果)(x f =2,求sin 2x 的值; (II )求出)(x f 的单调区间及其最大值。
成都七中2018届高三上期数学入学考试题(理)一、选择题:本大题共12个小题,每小题5分,共60分.在每小题给出的四个选项中,只有一项是符合题目要求的.1. 已知是虚数单位,若(,),则=()A. B. C. D.【答案】D【解析】,,,选D.2. 某厂家为了解销售轿车台数与广告宣传费之间的关系,得到如图统计数据表:根据数据表可得回归直线方程,其中,,据此模型预测广告费用为9万元时,销售轿车台数为()A. 17B. 18C. 19D. 20【答案】C【解析】由题意,故选C.3. 如图程序框图的功能是:给出以下十个数,5,9,80,43,95,73,28,17,60,36,把大于60的数找出来,则框图中的①②应分别填入的是()A. ,B. ,C. ,D. ,【答案】A【解析】把大于60的数找出来,根据流程图可知当满足条件时输出x,故判断框中应填x>60?,i的功能是用于技术,故处理框应填i=i+1.本题选择A选项.点睛:使用循环结构寻数时,要明确数字的结构特征,决定循环的终止条件与数的结构特征的关系及循环次数.尤其是统计数时,注意要统计的数的出现次数与循环次数的区别.4. 圆的圆心在轴正半轴上,且与轴相切,被双曲线的渐进线截得的弦长为,则圆的方程为()A. B.C. D.【答案】A【解析】设圆C的方程为x2+(y−a)2=a2(a>0),圆心坐标为(0,a),∵双曲线的渐近线方程为,圆被双曲线的渐近线截得的弦长为,∴,∴a=1,∴圆C的方程为x2+(y−1)2=1.本题选择A选项.点睛:求圆的方程,主要有两种方法:(1)几何法:具体过程中要用到初中有关圆的一些常用性质和定理.如:①圆心在过切点且与切线垂直的直线上;②圆心在任意弦的中垂线上;③两圆相切时,切点与两圆心三点共线.(2)待定系数法:根据条件设出圆的方程,再由题目给出的条件,列出等式,求出相关量.一般地,与圆心和半径有关,选择标准式,否则,选择一般式.不论是哪种形式,都要确定三个独立参数,所以应该有三个独立等式.5. 已知直线,和平面,,使成立的一个充分条件是()A. ,B. ,C. ,D. ,【答案】B【解析】逐一考查所给的选项:A. 是成立的一个既不充分也不必要条件条件;B. 是成立的一个充分条件;C. 是成立的一个既不充分也不必要条件条件;D. 是成立的一个必要条件.本题选择B选项.6. 某几何体的三视图如图所示,该几何体的体积为,则其正视图中的值为()A. 5B. 4C. 3D. 2【答案】C【解析】根据三视图恢复成原几何体,原几何体为上边是正四棱锥下边为圆柱的组合体,圆柱的底面半径为2,高为,体积为,正四棱锥的底面边长为,高为,体积为,组合体的体积为:,,选C.7. 将函数()的图象向左平移个单位长度后,所得函数的图象关于原点对称,则函数在的最大值为()A. 0B.C.D. 1【答案】D【解析】将函数的图象向左平移个单位长度后,可得函数的图象,根据所得图象关于原点对称,可得.在上, ,故当时,f(x)取得最大值为1,本题选择D选项.8. 二项式的展开式的第二项的系数为,则的值为()A. B. C. 3或 D. 3或【答案】A【解析】试题分析:由题意得,令,则,所以.故正确答案为B.考点:1.二项式定理;2.微积分定理.9. 某个家庭有2个孩子,其中一个孩子为女孩,则另一个孩子也为女孩的概率为()A. B. C. D.【答案】A【解析】解:一个家庭中有两个小孩只有4种可能:{男,男},{男,女},{女,男},{女,女}.记事件A为“其中一个是女孩”,事件B为“另一个也是女孩”,则A={(男,女),(女,男),(女,女)},B={(男,女),(女,男),(女,女)},AB={(女,女)}.于是可知 P(A)=,P(AB)=.问题是求在事件A发生的情况下,事件B发生的概率,即求P(B|A),由条件概率公式,得P(B|A)= =.故选A.10. 在中,,,分别为的重心和外心,且,则的形状是( )A. 锐角三角形B. 钝角三角形C. 直角三角形D. 上述三种情况都有可能【答案】B【解析】在△ABC中,G,O分别为△A BC的重心和外心,取BC的中点D,连结AD,OD,GD,如图所示:则,结合,则:,即,又BC=5,则:,结合余弦定理有,△ABC是钝角三角形.本题选择B选项.11. 对正整数,有抛物线,过任作直线交抛物线于,两点,设数列中,,且(其中,),则数列的前项和( )A. B. C. D.【答案】D【解析】试题分析:设直线方程为,代入抛物线方程得,设,则①,由根与系数的关系得,,代入①式得,故(),故数列的前项和.考点:1、直线的方程;2、方程的根与系数的关系;3、平面向量的数量积.12. 若以曲线上任意一点为切点作切线,曲线上总存在异于的点,以点为切点作切线,且,则称曲线具有“可平行性”,现有下列命题:①函数的图像具有“可平行性”;②定义在的奇函数的图像都具有“可平行性”;③三次函数具有“可平行性”,且对应的两切点,的横坐标满足;④要使得分段函数的图像具有“可平行性”,当且仅当.其中的真命题个数有()A. 1B. 2C. 3D. 4【答案】B【解析】由“可平行性”的定义,可得曲线y=f(x)具有“可平行性”,则方程y′=a(a是导数值)至少有两个根。
2018年四川省成都七中自主招生数学试卷(二)一.选择题(每小题5分,共60分)1. (5分)设4、b 、C 是不为零的实数,那么一^的值有( )A. 3种B. 4种C. 5种D. 6种2.(5 分)已知〃产+2〃〃[= 13, 3mn+2n 2= 21,则 2nr+13mn+6n 2- 44 的值为( ) A. 45B. 5C. 66D. 773. (5分)已知“、6是实数,x=<r+/r+20, y=4 (2b-a ).则x 、y 的大小关系是( )A. xWyB. x^yC. x<yD. x>y4.(5分)如果0<〃V15,那么代数式lx-〃l+k-151+k-〃-15在入W15的最小值是( )A. 30 D.一个与〃有关的代数式A. 1个B. 2个C. 3个D. 4个26 .(5分)分式.$*.可取的最小值为()一十2/2A. 4B. 5C. 6D.不存在7 .(5分)己知△ABC 的三边长分别为“,b, c,且包三二b+c.,则△A3。
一定是()b c b+c-a A.等边三角形8 .腰长为〃的等腰三角形 C,底边长为〃的等腰三角形 D.等腰直角三角形D, - 5或-1或-229.(5分)已知根为实数,且sina 、cosa 是关于x 的方程37-必+1=0的两根,则sin 4a+cos 4a 的值为()B. 0C. 155.(5分)正整数八b 、。
是等腰三角形的三边长, 并且"庆+/升馆=24,则这样的三角形有(8.(5分)若关于x 的方程 x+1 x ax+2 A. - 5x+2 x-1(x-l)(工十2)B. - 12.无解,求〃的值为( )C. -5或-12A-i c-i D.110.(5分)如果关于x的方程〃储-2(〃?+2)x+〃计5=0没有实数根,那么关于x的方程(加- 5)/-2(^+2)X+〃7 = 0的实根的个数()A. 2B. 1C. 0D.不能确定11.(5分)已知关于x的整系数二次三项式af+lK+c,当x取1, 3, 6, 8时,某同学算得这个二次三项式的值y分别为1,5, 25, 50.经验算,只有一个是错误的,这个错误的结果是()A. x=l 时,y=\B. x=3 时,y=5C. x=6 时,y=25D. x=8 时,y=5012.(5分)已知OVaVl,且满足M+」^]+M+2]+M+且]+…+[〃+空]=18 (区表示不超过x的最大整30 30 30 30数),贝必10"]的值等于()A. 5B. 6C. 7 D, 8二、填空题(共4小题,每小题4分,满分16分)13.(4分)一个正三角形A8C的每一个角各有一只蚂蚁,每只蚂蚁开始朝另一只蚂蚁做直线运动,目标角是随机选择,则蚂蚁不相撞的概率是14.(4分)如图,设aABC和△COE都是等边三角形,且NEBO=62° ,则NAE8的度数是15.(4分)如图,点A, 8为直线y=x上的两点,过A, 3两点分别作),轴的平行线交双曲线了」(x>0) x于C,。
四川省成都市第七中学2018届高三上学期入学考试理数试题(附答案)成都七中2018届高三上期数学入学考试题(理)第Ⅰ卷(共60分)一、选择题:本大题共12个小题,每小题5分,共60分.在每小题给出的四个选项中,只有一项是符合题目要求的. 1.已知i 是虚数单位,若172ia bi i+=+-(a ,b R ∈),则ab =() A .15-B .3C .15D .3-2.某厂家为了解销售轿车台数与广告宣传费之间的关系,得到如图统计数据表:根据数据表可得回归直线方程y bx a =+,其中 2.4b =,a y bx =-,据此模型预测广告费用为9万元时,销售轿车台数为() A .17B .18C .19D .203.如图程序框图的功能是:给出以下十个数,5,9,80,43,95,73,28,17,60,36,把大于60的数找出来,则框图中的①②应分别填入的是()A .60?x >,1i i =+B .60?x <,1i i =+C .60?x >,1i i =-D .60?x <,1i i =-4.圆C 的圆心在y 轴正半轴上,且与x 轴相切,被双曲线2213y x -=的渐进线截得的弦长C 的方程为()A .22(1)1x y +-=B .22(3x y +=C .22(1x y +=D .22(2)4x y +-=5.已知直线m ,n 和平面α,β,使m α⊥成立的一个充分条件是() A .m n ⊥,//n αB .//m n ,n α⊥C .m n ⊥,n α?D .//m β,βα⊥6.某几何体的三视图如图所示,该几何体的体积为12π,则其正视图中x 的值为()A .5B .4C .3D .27.将函数()sin(2)f x x ?=+(||2π<)的图象向左平移3π个单位长度后,所得函数()g x 的图象关于原点对称,则函数()f x 在0,2π??的最大值为()A .0B .12 C D .18.二项式6(ax +的展开式的第二项的系数为22a x dx -?的值为()A .73B .3C .3或73D .3或103-9.某个家庭有2个孩子,其中一个孩子为女孩,则另一个孩子也为女孩的概率为()A .13B .23C .14D .1210.在ABC ?中,5BC =,G ,O 分别为ABC ?的重心和外心,且5OG BC ?=,则ABC ?的形状是( ) A .锐角三角形 B .钝角三角形C .直角三角形D .上述三种情况都有可能11.对正整数n ,有抛物线22(21)y n x =-,过(2,0)P n 任作直线l 交抛物线于n A ,n B 两点,设数列{}n a 中,14a =-,且1n nn OA OB a n ?=-(其中1n >,n N ∈),则数列{}n a 的前n 项和n T =( )A .4nB .4n -C .2(1)n n +D .2(1)n n -+12.若以曲线()y f x =上任意一点11(,)M x y 为切点作切线1l ,曲线上总存在异于M 的点22(,)N x y ,以点N 为切点作切线2l ,且12//l l ,则称曲线()y f x =具有“可平行性”,现有下列命题:①函数2(2)ln y x x =-+的图像具有“可平行性”;②定义在(,0)(0,)-∞+∞的奇函数()y f x =的图像都具有“可平行性”;③三次函数32()f x x x ax b =-++具有“可平行性”,且对应的两切点11(,)M x y ,22(,)N x y 的横坐标满足1223x x +=;④要使得分段函数1,,()1,0x x m x f x xe x ?+<?=??-<?的图像具有“可平行性”,当且仅当1m =.其中的真命题个数有() A .1B .2C .3D .4第Ⅱ卷(共90分)二、填空题(每题5分,满分20分,将答案填在答题纸上)13.已知0a >,x ,y 满足约束条件1,3,(3),x x y y a x ≥??+≤??≥-?若2z x y =+的最小值为1,则a = .14.若随机变量~(2,1)N ξ,且(3)0.1587P ξ>=,则(1)P ξ>= .15.某大学餐饮中心为了解新生的饮食习惯,在全校一年级学生中进行了抽样调查,调查结果如表所示:根据表中数据,问是否有95%的把握认为“南方学生和北方学生在选用甜品的饮食习惯方面有差异” .(填有或没有)附:22()()()()()n ad bc K a b c d a c b d -=++++16.设等差数列{}n a 的前n 项和为n S ,且12n nn S na a c =+-(c 是常数,*n N ∈),26a =,又122n n n a b +-=,数列{}n b 的前n 项和为n T ,若22n T m >-对*n N ∈恒成立,则正整数m 的最大值是.三、解答题(本大题共6小题,共70分.解答应写出文字说明、证明过程或演算步骤.) 17.ABC ?的内角A ,B ,C 的对边分别为a ,b ,c ,已知2sin()8sin 2B AC +=.(1)求cos B ;(2)若6a c +=,ABC ?的面积为2,求b .18.在汶川大地震后对唐家山堰塞湖的抢险过程中,武警官兵准备用射击的方法引爆从湖坝上游漂流而下的一个巨大的汽油罐.已知只有5发子弹,第一次命中只能使汽油流出,第二次命中才能引爆,每次射击是相互独立的,且命中的概率都是23.(1)求油罐被引爆的概率;(2)如果引爆或子弹打光则停止射击,设射击次数为ξ,求ξ的分布列及数学期望()E ξ.(结果用分数表示)19.如图,PA ⊥平面ADE ,B ,C 分别是AE ,DE 的中点,AE AD ⊥,2AD AE AP ===.(1)求二面角A PE D --的余弦值;(2)点Q 是线段BP 上的动点,当直线CQ 与DP 所成的角最小时,求线段BQ 的长.20.已知定点(1,0)F ,定直线l :4x =,动点P 到点F 的距离与到直线l 的距离之比等于12.(1)求动点P 的轨迹E 的方程;(2)设轨迹E 与x 轴负半轴交于点A ,过点F 作不与x 轴重合的直线交轨迹E 于两点B 、C ,直线AB 、AC 分别交直线l 于点M 、N .试问:在x 轴上是否存在定点Q ,使得0QM QN ?=?若存在,求出定点Q 的坐标;若不存在,请说明理由.21.已知函数()sin ln sin g x x x θθ=--在[1,)+∞单调递增,其中(0,)θπ∈.(1)求θ的值;(2)若221()()x f x g x x -=+,当[]1,2x ∈时,试比较()f x 与1'()2f x +的大小关系(其中'()f x 是()f x 的导函数),请写出详细的推理过程;(3)当0x ≥时,1g(1)xe x k x --≥+恒成立,求k 的取值范围.请考生在22、23两题中任选一题作答,如果多做,则按所做的第一题记分. 22.选修4-4:坐标系与参数方程在直角坐标系xOy 中,圆C 的方程为22(6)25x y ++=.(1)以坐标原点为极点,x 轴的正半轴为极轴建立极坐标系,求C 的极坐标方程;(2)直线l 的参数方程是cos ,sin x t y t αα=??=?(t 为参数),l 与C 交于A ,B 两点,||AB =,求l 的斜率.23.选修4-5:不等式选讲已知不等式2|3||4|2x x a -+-<.(1)若1a =,求不等式的解集;(2)若已知不等式的解集不是空集,求a 的取值范围.。
成都七中 2018 年外地生招生考试数学
(考试时间:120 分钟 总分:150 分)
一、选择题(每小题只有一个正确答案,每小题 5 分,共 5 分) 1、满足|a-b|=|a|+|b| 成立的条件是()
A 、ab>0
B 、ab<0
C 、ab≤0
D 、ab≤1
2、已知 a 、b 、c 为正数,若关于 x 的一元二次方程ax 2+bx+c=0有 两个实数根,则关于 x 的方程
a 2x 2+
b 2x+
c 2=0解的情况为()
A 、有两个不相等的正根
B 、有一个正根,一个负根
C 、有两个不相等的负根
D 、不一定有实数根 3、已知数据 的平均数为 a , 的平均数为 b ,则数据 的平均数为()
A 、2a+3b
B 、
3
2
a+b C 、4a+9b D 、2a+b 4、若函数y=2
1
(x 2-100x+196+|x 2-100x+196|) ,则当自变量 x 取 1、2、3……100 这 100 个自然数时,函
数值的和是( )
A 、540
B 、390
C 、194
D 、97 5、已知(m 2+1)(n 2+1)=3(2mn-1) ,则n(
m
1
-m)的值为( ) A 、0 B 、1 C 、-2 D 、-1 6、如果存在三个实数 m 、p 、q ,满足 m+p+q=18,且
p +m 1+q p 1++q +m 1=97
,则q p +m +q m +p +p
m +q 的值是( )
A 、8
B 、9
C 、10
D 、11
7、已知如图,△ABC 中,AB=m ,AC=n ,以 BC 为边向外作正方形 BCDE ,连结 EA ,则 EA 的最大
值为( )
A 、2m+n
B 、m+2n
C 、3m+n
D 、m+3n
8、设 A 、B 、C 、D 为平面上任意四点,如果其中任意三点不在同一直线上,则△ABC 、△ABD 、△ACD 、
△BCD 中至
少存在一个三角形的某个内角满足( )
A 、不超过 15°
B 、不超过 30°
C 、不超过 45°
D 、以上都不对
9、将抛物线T:Y=X2-2X+4绕坐标原点 O 顺时针旋转 30°得到抛物线T’,过点A (33,-3)、B(3,33)
的直线l 与抛物线T’相交于点 P 、Q 。
则△OPQ 的面积为( ) A 、8 B 、9 C 、10 D 、11
10、如图,锐角△ABC 的三条高线 AD 、BE 、CF 相交于点 H ,连结 DE 、EF 、DF 则图中的三角形个
数有( )
A 、40
B 、45
C 、47
D 、63 二、填空题
11、将一个各面都涂油漆的正方形切割成 125 个同样大小的小正方体,那么仅有 2 面涂油漆的小正方体
共有 个。
12、已知x≠y ,且x 2=2y+5,y 2=2x+5 ,则x 3-2x 2y 2+y 3= 。
13、如图,多边形 ABDEC 是由边长为 m 的等边△ABC 和正方形 BDEC 组成,☉O 过 A 、D 、E 三
点,则∠ACO= 。
14、已知实数 a 、b 、c 满足a≠b ,且2(a-b)+2(b-c)+(c+a)=0,则)
)(()
)(b -c b a b a a c ---(= 。
15、将小王与小孙现在的年龄按从左至右的顺序排列得到一个四位数,这个数为完全平方数,再过 31 年,
将他们的年龄按同样方式排列,又得到一个四位数,这个数仍然为完全平方数,则小王现在的年龄是 岁。
16、设合数 k 满足,1<k<100,若 k 的数字和为质数,就称合数 k 为“山寨质数”,则这种“山寨质数”
的个数是 个。
17、如图,在平面直角坐标系中,☉M 经过坐标原点,且与 x 轴、y 轴分别相交于点 A(-8,0),B(0,-6)两
点。
若抛物线对称轴过点 M ,顶点 C 在圆上,开口向下,交 x 轴于点 D 、E 两点,P 在抛物线上,
若S △PDE =51
S △ABC ,则满足条件的 P 点有 个。
18、如图,Rt △ABC 中∠ACB=90°,∠A=60°.D 为 AB 中点,BE=3,AC=4,☉B 经过点 E ,P 为☉B 上
一动点,则 4PC+3PD 的最小值为 。
三、解答题
19 、 是 否 存 在 这 样 的 整 系 数 二 次 三 项 式 : f (x )=ax 2
+bx+c ,其中 a 不 是 2018 的 倍
数 , 而 且f (1),f (2),......f (2018)被 2018 除的余数各不相同?请做出判断并说明理由。
20、若 m 、n 、p 为三个整数,且 m+n+p=21,
m n =n
p
,求: (1)当 m 取最小值时,np 的值; (2)当 m 取最大值时,np 的值。
21、平面直角坐标系内,A 坐标为(0,3),B 为 x 轴负半轴上一动点,C 为 B 关于 A 的对称点,D
为 B 关于 y 轴的对称点,作△BCD 的外接圆,交 y 轴负半轴于 E 点,连结 BE 、CE 、BI 平分∠CBD 交 CE 于点 I 。
(1)如图 1,若 AI ⊥CE ,设 Q 为☉A 上在第二象限内一点,连接 DQ 交 y 轴于 T 点,连结 BQ 并延长交 y 轴正半轴于 G 点,求AT·AG 的值;
(2)如图 2,若 A(0,3),B 、D 关于 y 轴对称,当tan ∠ABO=
4
3
时,线段 AB 上一动点 P (不与 A 、B 重合),连结 PD 交 y 轴于 M 点,△PMB 外接圆☉O 1 交 y 轴另一点为 N ,若☉O 1半径为 R ,求
R
MN
的值
图1 图2
成都七中2018 年外地生招生考试数学参考答案
一、选择题(每小题只有一个正确答案,每小题 5 分,共50 分)
1.C
2.C
3.A
4.B
5.D
6.D
7.A
8.C
9.B 10.C
二、填空题(11-14 题,每题7 分,15-18 题,每题8 分,共60 分)
11、36
12、-16
13、75°
15、12
16、23
17、
3
19、解:存在……………………………….2 分
取a=1009,令f(x)=1009x2+2010x
则有……………………………….3 分
由于对任何正整数,乘积都是偶数.
由此1009 是2018 的倍数.
∴令被2018 除的余数与被2018 除的余数相同
即,除的余数各不相同. ………………………………..5 分
20、(1)当m 取最小值1 时,x=4 或x=-5
①x=4,则m=1,n=4,p=16,∴np=64
②x=-5,则m=1,n=-5,p=25,∴np=-125
综上所述,m 取最小值 1 时,np 值为64 或-125……………………………………4 分(2
21、(1)解:连结BE、QC、TB,
则∠QCB+∠CBQ=90°,
又∠QDB+∠DTO=90°,而∠QCB=∠QDB,
∴∠CBQ=∠DTO=∠BTO
∴△ABG∽△ATB. ∴ . …………………………5 分
∵∠BFE=∠BCE+∠FBC ∠FBE=∠DBE+∠FBD ∠BEC=∠DBE,∠FBC=∠FBD ∴∠BFE=∠FBE ∴BE=EF
∵AF 为中位线,(或由垂经定理)
∴EF=CF
∵AF⊥CE,∴F 为CE 的中点
∴AE=AC,FE=FC.∴△BEO∽△CBE. ∴OE:OB=BE:CE=1:2.
设☉A 的半径为R,由,OE=R-3,
得解得R=5,或R=3(不合题意,舍去).
∴ .………………………………………………5 分
(方法二提示:可连结AD、CD 证△BAG∽△TAD,注:△TAD
≌△TAB,本质类似)(2)。