桥梁工程(大作业)
- 格式:doc
- 大小:36.50 KB
- 文档页数:1
钢筋混凝土简支梁大作业
如下图所示标准跨径为30m、结构计算跨径为28.90m,由5片主梁组成的装配式预应力混凝土简支梁桥,汽车活载为公路-Ⅰ级:
(1)按杠杆原理法计算1号、2号和3号主梁荷载横向分布系数
载)和
moq
(车辆荷
m0r (人群荷载)。
(2)采用修正刚性横梁法计算1号、2号和3号主梁的荷载横向分布系数
(车辆荷载)和
mcq
mcr (人群荷载)
(3)计算1号边主梁的永久作用效应、公路-Ⅰ级汽车活载作用下的跨中设计弯
矩、设计剪力和支点设计剪力;确定桥梁的1号边梁结构所受的作用效应基本组合值及短期效应组合值;画出1号梁的弯矩包络图和剪力包络图。
已知每侧的栏杆及人行道构件的永久作用为10kN/m。
人群荷载标准值
为3.0kN/m2
(4)用偏心压力法计算该桥的跨中横隔梁,在公路—Ⅰ级车辆荷载作用下的2
号和3号主梁之间截面上的弯矩M2?3和靠近2号主梁处截面的剪力Q2。
(5)验算1号边主梁的变形,并计算预拱度值
右
横剖面
支点截面
跨中截面纵剖面。
2014-2015学年第一学期期末《路基路面工程》大作业一、名词解释(共20分,每小题4分)1.路基的压实度:是指路基路面施工质量检测的关键指标之一,表征现场压实后的密度状况,压实度越高,密度越大,材料整体性能越好。
2.半刚性基层材料:由无机结合料、水、土等组成的,经搅拌压实强度达到一定要求时所形成的材料。
3.加州承载比(CBR):承载能力以材料抵抗局部荷载压入变形的能力表征,并采用高质量标准碎石为标准,以它们的相对比值表示CBR。
4.路基工作区:在路基的某一深度处,车辆荷载引起的应力与路基自重引起的应力相比只占一小部分(1/5~1/10),在此深度以下,车辆荷载对土基的作用影响很小,可以忽略不计。
将此深度Za范围内的路基称为路基工作区。
5.设计弯沉值:是根据设计年限内每个车道的累计当量轴次、公路等级、面层和基层类型确定的,相当于路面竣工后第一年不利季节、路面在标准轴载100KN作用下,测得的最大回弹弯沉值。
二、填空(20分,每小题2分)1.路基按其干湿状态不同分为四类:(干燥)、(中湿)、(潮湿)和(过湿)。
2.路面结构是分层铺筑的,通常按照各个层位功能的不同,划分为三个层次即(面层)、(基层)和(垫层)。
3.跌水的基本构造为(进水口)、(消力池)和(出水口)。
4.加筋土挡土墙是由(填土)、(填土中布置的拉筋条)以及(墙面板)三部分组成。
5.路基土中水的来源(大气降水)、(地面水)、(地下水)、(毛细水)、(水蒸气)。
6.影响水泥稳定类基层强度的因素有(土质)、(水泥成分和剂量)(含水量)、(施工工艺过程)。
7.常用的路面地下排水设施有(边沟、截水沟、排水沟、跌水与急流槽、倒虹吸与渡水槽)。
8.我国路面设计以(双轮组单轴载100KN )为标准轴载,以( BZZ—100 )表示。
9.沥青路面的基层按材料和力学特性的不同可以分为(柔性基层)、(半刚性基层)和(半刚性基层)三种。
10.常用的坡面防护有(植物防护)和(工程防护)两大类。
桥梁现场施工作业方案模板一、工程概述。
咱这个桥梁工程啊,那可是个大项目。
这座桥要横跨[具体地点],连接[两端地点],对当地的交通和发展那可是相当重要的事儿。
桥的总长度是[X]米,宽度是[X]米,设计的结构类型是[结构类型,如梁式桥、拱桥等]。
二、施工目标。
1. 质量目标。
咱得把这桥建得杠杠的,质量必须符合国家现行的桥梁工程施工质量验收标准。
不能整那些豆腐渣工程,这桥得稳稳当当的,让大家走得安心。
2. 安全目标。
安全可是重中之重啊,咱的目标就是在整个施工过程中,保证所有施工人员平平安安的,不发生任何重大安全事故。
施工现场要像个安全堡垒一样,把危险都挡在外面。
3. 工期目标。
这工程得按照计划来,计划是[具体工期时长]完成整个桥梁的施工。
咱得合理安排进度,就像安排一场旅行一样,每个景点(施工工序)都得按时到达,可不能拖拖拉拉的。
三、施工准备。
1. 人员准备。
咱得召集一帮能干活儿的兄弟。
首先是项目经理,这就好比是一个军队的指挥官,得有经验、有能力,能把整个工程的大事小事都安排得明明白白的。
然后是技术人员,他们就像军师一样,知道怎么按照图纸施工,解决各种技术难题。
再就是工人兄弟了,有钢筋工、混凝土工、架子工等等,每个工种都得是熟练工,就像各个身怀绝技的武林高手一样。
2. 材料准备。
3. 机械设备准备。
机械设备就是咱的得力助手。
像起重机,那就是个大力士,能把很重的东西轻松吊起来。
还有混凝土搅拌机,就像一个魔法搅拌机,能把各种材料搅拌成咱需要的混凝土。
这些设备都得提前检查好,保证在施工的时候能正常工作,可不能在关键时刻掉链子。
四、施工流程及方法。
1. 基础施工。
桩基础施工。
咱先从打桩开始,这就像给桥打地基钉钉子一样。
采用[具体的打桩方法,如钻孔灌注桩],先在地上钻出一个个深深的孔,就像在地上挖一个个井一样。
然后把钢筋笼放进去,钢筋笼就像一个钢铁骨架,给桩提供支撑。
最后再灌注混凝土,把这个孔填满,这样桩就打好了。
混凝土简支梁桥内力计算交通1001 绿学长一.桥面内力计算A.按T 梁翼板所构成铰接悬臂板的设计计算(一)恒载及其内力(以纵向1m 宽的板条进行计算) 1.每米板上的恒载g : 沥青混凝土面层g 1:0.05×1.0×23=1.15kN/m C55混凝土垫层g 2:0.08×1.0×24=1.92kN/m T 梁翼板自重g 3:(0.15+0.05×500/1150)×1.0×25=4.29 kN/m 人行道及栏杆自重g 1p :3.5kN/m 合计:g=∑g i = 10.86kN/m 2.每米宽板条的恒载内力弯矩 m kN 187975086102121220Ag ⋅-=⨯⨯-=-=...gl M剪力 Q Ag =g · l 0=10.86×0.975=12.49kN (二)车辆荷载产生的内力将后轮作用于铰缝轴线上,后轴作用力为P=140kN ,轮压分布宽度如图所示。
对于车轮荷载中后轮的着地长度为a 2=0.20m ,宽度为b 2=0.60m[由《公路桥涵设计通用规范》(JTG D60-2004)查得],则得:a 1=a 2+2H =0.02+2×0.13=0.46mb 1=b 2+2H =0.06+2×0.13=0.86m荷载对于悬臂根部的有效分布宽度:a =a 1+2l 0+d=0.46+2×0.975+1.4=3.81m冲击系数:1+μ=1.3作用于每米宽板条上的弯矩为:m kN 1518)4860)(0.97581341402(1.3)4(42)(110Ap ⋅-=-⨯⨯⨯-=-+-=...b l a P M μ作用于每米宽板条上的剪力为:23.88kN 813414021.342)(1Ap =⨯⨯⨯=+=.a P Q μ(三)荷载组合 恒+汽:M A =M Ag +M Ap =-7.18+(-18.15)=-25.33kN·mQ A =Q Ag +Q Ap =12.49+23.88=36.37kN所以,行车道板的设计内力为:M A =-25.33kN·m Q A =36.37kNB.按悬臂板设计计算 (一) 恒载及其内力此部分与铰接悬臂板部分相同(二)车辆荷载产生的内力车轮加载最不利位置为边缘,后轴作用力P=140kN,车轮荷载中后轮荷载着地长度a 2=0.20m ,宽度b 2=0.60m ,则得:a 1=a 2+2H =0.02+2×0.13=0.46mb 1=b 2+H =0.06+0.13=0.73m荷载对于悬臂根部的有效部分宽度:a =a 1+2l 0+d=0.46+2×0.975+1.4=3.81m冲击系数:1+μ=1.3作用于每米板宽上的弯矩为(b 1<l 0):m kN 5714)2730)(0.97581341402(1.3)2(42)(110Ap ⋅-=-⨯⨯⨯-=-+-=...b l a P M μ作用于半米宽板上的剪力为:.76kN 74813214021.322)(1Ap =⨯⨯⨯=+=.a P Q μ(三)荷载组合 恒+汽:M A =M Ag +M Ap =-7.18+(-14.57)=-21.75kN·mQ A =Q Ag +Q Ap =12.49+47.76=60.25kN所以,行车道板的设计内力为:M A =-21.75kN·m Q A =60.25kNC.按连续单跨板设计计算(一)恒载及其内力(以纵向1m 宽的板条进行计算) 1.每米板上的恒载g : 沥青混凝土面层g 1:0.05×1.0×23=1.15kN/m C55混凝土垫层g 2:0.08×1.0×24=1.92kN/m T 梁翼板自重g 3:(0.15+0.05×500/1150)×1.0×25=4.29 kN/m 人行道及栏杆自重g 1p :3.5kN/m 合计:g=∑g i = 10.86kN/m 2.每米宽板条的恒载内力 弯矩:m kN 488528610818122⋅=⨯⨯==...gl M Og剪力:kN 2959750861021210...gl Q Og =⨯⨯==(二)车辆荷载产生的内力 由于:a 1=a 2+2H =0.02+2×0.13=0.46mb 1=b 2+2H =0.06+2×0.13=0.86m荷载对于悬臂根部的有效分布宽度:a =a 1+l /3+d=0.46+2.5/3+1.4=2.69m<2l /3+d =3.06m故:a =3.06m荷载加于支撑处时对于悬臂根部的有效部分宽度:a =a 1+t +d=0.46+0.15+1.4=2.01m<l /3+d =2.23m故:a =3.06m每米宽简支板条的跨中活载弯矩:221400.86(1)1.3(2.5)30.78883.062op p M kN m a μ⨯=+=⨯⨯-=⋅⨯支点处剪力:12/245.75A P a kN == '2'12() 4.118PA a a kN aa b =-= '131226.602Pb A kNab =='24''12() 2.398PA a a kN aa b =-=10.828y = 20.945y = 30.100y = 40.055y = (1)57.32opi i V A y kN μ=+∑= (三)荷载组合 恒+汽:M 0=M Og +M Op =8.48+30.78=39.26kN·m因为:t/h <1/4,即主梁抗扭能力较大,故: 跨中弯矩: M 中=0.5M 0=19.63kN·m 支点弯矩: M 支=-0.7M 0=-27.48kN·m支点剪力: Q 支=Q Og +Q Op =5.29+57.32=62.61kN二.横向分布系数计算荷载位于支点处时,杠杆原理法计算荷载横向分布系数。
大型桥梁工程施工方案一、工程概况本工程是一座大型桥梁工程,位于城市交通要道上,是连接两岸的交通要道,对于改善城市交通状况、提高城市形象具有重要意义。
桥梁总长1000米,宽度32米,是双向六车道的高速公路桥梁。
工程难度较大,对于施工过程要求极高,需要采取科学合理的施工方案,确保施工安全和质量。
二、施工组织1. 施工单位将组织专业的技术人员和管理人员,成立施工组织协调领导小组,明确施工责任,制定详细的施工计划。
2. 设立施工总部,负责协调各部门之间的沟通和协作,及时解决施工中的问题。
3. 成立安全生产管理小组,委托专业的安全生产管理公司进行安全检查和监督,确保施工过程中的安全。
三、基础施工当前大桥梁基深度厚度处理,一般采用纵向枪孔钻机在岩石基础钻孔,再用混凝土填充孔道形成桩基础。
施工过程中应注意以下几点:1. 确定围堰位置和宽度,合理地选择挖土方案,保证基础挖掘过程的稳定性与安全性。
2. 严格控制拆除土方的折损率,减少碎石及土壤的损坏,降低对环境的影响。
3. 混凝土浇筑时,注意振捣和保温措施,确保混凝土的密实性和均匀性。
四、主体结构施工桥梁主体结构施工过程中应注意以下几点:1. 预制现浇混凝土桥梁,应将现场预制构件与现浇构件逐步组合,保证结构的整体稳定性。
2. 钢结构桥梁,应加强对焊接工艺的控制,确保焊接质量。
3. 涵洞内部环境应空气流通,以减少湿度对钢筋的腐蚀,降低啊钢构件结构的施工弊病。
五、桥面及桥栏杆施工桥面及桥栏杆的施工过程中应注意以下几点:1. 桥面铺装应选择高强度、抗冻融及耐重载的铺装材料。
2. 桥栏杆应选用抗风压、护断裂、防腐、维修方便的材料,保证桥栏杆结构的稳定性和安全性。
六、安全与环保在施工过程中,务必重视安全和环保工作。
需要采取以下措施:1. 严格执行安全操作规程,确保施工过程中的安全。
2. 合理安排施工时间,采取减少扬尘、减少噪音的措施,保护周边环境。
3. 严格环保措施,减少对环境的污染。
2016-2017学年第二学期期末考试《桥梁工程》大作业一名词解释 (共10题,总分值50)1. 移动模架施工:移动模架造桥机是一种自带模板,利用承台或墩柱作为支承,对桥梁进行现场浇筑的施工机械。
其主要特点:施工质量好,施工操作简便,成本低廉等。
在国外,已广泛地被采用在公路桥、铁路桥的连续梁施工中,是较为先进的施工方法。
国内已开始在高速公路、铁路客运专线上使用。
移动模架造桥机主要由:支腿机构、支承桁梁、内外模板、主梁提升机构等组成。
可完成由移动支架到浇筑成型等一系列施工。
2. 铰接板法:铰接板法是计算楼板的一种假定,具体的内容为:平面内刚度无穷大,即不考虑挠曲,平面外刚度为0而荷载是根据实际情况决定的,如不同使用功能的房间有不同的荷载。
3. 汽车荷载冲击力:汽车过桥时对桥梁结构产生的竖向动力效应4. 可变作用:在结构使用期间,其量值随时间变化,且其变化值与平均值比较不可忽略的作用。
5. 偶然作用:在结构使用期间出现的概率很小,一旦出现,其值很大且持续时间很短的作用。
6. 高水位:在江河、湖泊的某一地点,经过长时期对水位的观测后,得出的最高水位值,称为最高水位。
7. 柱式桥墩:柱式桥墩一般根据桥梁的所在环境确定,一般采用柱式桥墩的结构方便与泄洪作用,工程中桥墩立柱一般采用圆柱形,采用矩形立柱的桥墩一般少见,多用于沿河流走向的高架桥。
8. 计算跨径:计算跨径,对于有支座的桥梁,是指桥跨结构相邻两个支座中心间的水平距离。
对于拱式桥,是相邻拱脚截面形心之间的水平距离。
9. 柔性排架墩:柔性墩(flexible pier)传统的简支梁一端设置固定支座,,一端设置活动支座。
在顺桥方向,桥梁墩台之间的水平联系被完全隔断,各桥墩单独承担梁上传来传来的制动力或牵引力。
为抵抗强大的水平力作用,桥墩截面不得不做的较大形成“胖柱”。
10. 截面效率指标:截面效率指标就是指截面是否经济合理的指标用ρ表示上核心矩用Ks表示下核心矩用Kx表示二问答题 (共5题,总分值50)1.横隔梁的功能是什么?如何布置?构造尺寸上应注意些什么?其与主梁的联结构造形式如何? 保证各主梁相互连接成整体,他的刚度越大,桥梁的整体。
桥梁工程作业第一次作业1)桥梁有哪些基本类型?按照结构体系分类,各种类型的受力特点是什么?答:梁桥、拱桥、斜拉桥、悬索桥。
按结构体系划分,有梁式桥、拱桥、钢架桥、缆索承重桥(即悬索桥、斜拉桥)等四种基本体系。
梁式桥:梁作为承重结构是以它的抗弯能力来承受荷载的。
拱桥:主要承重结构是拱肋或拱圈,以承压为主。
刚架桥:由于梁与柱的刚性连接,梁因柱的抗弯刚度而得到卸载作用,整个体系是压弯构件,也是有推力的结构。
缆索桥:它是以承压的塔、受拉的索与承弯的梁体组合起来的一种结构体系。
2)桥梁的基本组成部分有哪些?各组成部分的作用如何?答:有五大件和五小件组成。
具体有桥跨结构、支座系统、桥墩、桥台、基础、桥面铺装、排水防水系统、栏杆、伸缩缝和灯光照明。
桥跨结构是线路遇到障碍时,跨越这类障碍的主要承载结构。
支座系统式支承上部结构并传递荷载于桥梁墩台上,应满足上部结构在荷载、温度或其他因素所预计的位移功能。
桥墩是支承两侧桥跨上部结构的建筑物。
桥台位于河道两岸,一端与路堤相接防止路堤滑塌,另一端支承桥跨上部结构。
基础保证墩台安全并将荷载传至地基的结构部分。
桥面铺装、排水防水系统、栏杆、伸缩缝、灯光照明与桥梁的服务功能有关3)桥梁规划设计的基本原则是什么?答:桥梁工程建设必须遵照“安全、经济、适用、美观”的基本原则,设计时要充分考虑建造技术的先进性以及环境保护和可持续发展的要求。
第二次作业4)基本可变荷载包括哪些内容?答:包括汽车荷载、汽车冲击力荷载、汽车荷载离心力、汽车荷载引起的土侧压力、人群荷载、汽车荷载制动力、风荷载、温度荷载和其他可变荷载。
5)其他可变荷载包括哪些内容?答:包括水压力、冰压力和支座摩擦阻力等。
6)偶然荷载主要指哪几种?答:有地震作用船舶漂流物的撞击作用汽车撞击作用。
第三次作业7)桥规对安全等级有何规定?答:分为三个等级,一级指特大桥、重要桥梁,二级指大桥、中桥、重要小桥,三级指小桥、涵洞。
8)试举属于永久荷载、可变荷载的具体桥梁设计荷载各3例。
大工17《桥梁结构》大作业及全部五道题答案题目一题目:某桥梁的主要参数为:主跨长度为50m,桥面宽度为12m,主梁宽度为2.5m,双侧净空高度均为8m。
根据给定参数,请计算该桥梁的自重。
答案:根据给定参数,可以计算出桥面面积和主梁体积,进而得到该桥梁的自重。
具体计算如下:1. 计算桥面面积:桥面面积 = 主跨长度 x 桥面宽度 = 50m x12m = 600m^22. 计算主梁体积:主梁体积 = 桥面面积 x 主梁宽度 = 600m^2 x 2.5m = 1500m^33. 计算桥梁自重:假设桥梁的单位体积重量为ρ,则桥梁自重= 主梁体积x ρ根据具体情况选择合适的单位体积重量值,计算出桥梁的自重。
题目二题目:某桥梁的设计车速为80km/h,主跨长度为60m。
请根据给定参数,计算主梁截面的最小惯性矩。
答案:根据给定参数,可以使用恩克勒-欧拉公式计算主梁截面的最小惯性矩。
具体计算如下:1. 计算主梁截面的最小惯性矩:I = (v x L^3) / (384 x E)其中,v为设计车速,L为主跨长度,E为弹性模量。
根据具体数值代入公式,计算出主梁截面的最小惯性矩。
题目三题目:一座桥梁的主跨长度为80m,设计采用连续梁结构。
请根据给定参数,计算连续梁的支座反力。
答案:根据给定参数,可以采用连续梁的静力平衡方程计算支座反力。
具体计算如下:1. 计算连续梁的支座反力:根据静力平衡方程,支座反力 = 累计荷载 / 总跨数根据具体情况计算出累计荷载和总跨数,进而计算出连续梁的支座反力。
题目四题目:一座悬臂梁的长度为30m,梁上受到均匀分布荷载,设计受力要求为悬臂梁上任意截面的弯矩不超过100kNm。
请根据给定参数,计算荷载的最大值。
答案:根据给定参数,可以使用悬臂梁的弯矩公式计算荷载的最大值。
具体计算如下:1. 计算荷载的最大值:根据悬臂梁的弯矩公式,荷载的最大值= (最大弯矩 / 悬臂梁长度) x (12 / 梁宽度^2)根据具体情况代入公式,计算出荷载的最大值。
东南大学研究生课程2019-2020学年 春季桥梁工程概念设计(MS005170) 期末大作业命题及要求任课教师:贺志启东南大学土木工程学院2020年4月10日Part 1:设计基本资料1.工程概况重庆轨道交通十号线是重庆轨道交通线网中一条先南北后东西的骨干线路,全线南北向联系南岸区、渝中区、江北区、北部新区、渝北区五区,贯穿两江新区核心地带。
线路南起兰花路站,途经渝中半岛、重庆北站、江北国际机场T2、T3航站楼,最终到达悦来国际会议展览馆。
南纪门长江大桥图1 轨道交通十号线示意图重庆市轨道交通十号线线路全长45.34km,其中地下段长度为37.23km,高架线长度为8.11km。
本线全线共设车站27座,其中地下站25座,高架站2座,平均站间距1.688km。
十号线全线与11条轨道交通线路进行换乘,涉及换乘站14座。
线路分两期建设:一期工程(王家庄—鲤鱼池段)已于2014年开工,二期工程(鲤鱼池—兰花路段)根据建设计划将于2016年年内开工。
轨道交通十号线二期以轨道专用桥的形式,在渝中区南纪门处跨越长江。
拟建的南纪门长江大桥,将连接渝中区与南岸区,是整个十号线的关键控制工程。
图2 南纪门长江大桥区位图2.建设条件2.1自然地理2.1.1 地理位置及交通现状拟建重庆轨道交通十号线南纪门长江大桥南起于南岸区后堡,正桥跨越长江,北至渝中区南纪门。
从行政区划上看,长江以南属于南岸区南坪街道,长江以北属于渝中区南纪门街道。
大桥两岸属于四川盆地东南浅丘城区,经济以工商业和航运业为主。
场地现状交通条件较好,水路交通通过长江航运可到达拟建场地,陆上交通方面,长江以南则南滨路、南坪新街和南坪正街的道路可抵达场地,在长江以北通过长江滨江路、解放西路、南区路等道路可抵达场地,交通方便。
2.1.2 气象拟建大桥位于南岸区南坪街道和渝中区南纪门街道之间,场地属于东经105°17'~110°11'、北纬28°10'~32°13'之间的青藏高原与长江中下游平原的过渡地带。
桥梁工程危大工程施工方案一、工程概况本工程是某地区一条重要交通干线的桥梁改造工程,原桥梁为老旧桥梁,不再满足交通需求,需要进行整体改造。
新桥梁总长200米,宽度为12米,主要承载车辆和行人的通行。
因为桥梁所处地域复杂,水文条件变化大,所以这是一项危险大、风险高的工程。
二、工程目标1、确保施工期间的安全生产,零事故;2、保证施工质量,达到国家相关标准;3、确保施工进度,按时完工。
三、工程分析1、地理条件复杂此桥梁位于一条河道之上,河道水流湍急,水文条件变化大,潮汐影响明显。
泥沙含量高,周边地区地质情况复杂,岩石和砂砾混合。
2、气象条件恶劣该地区常年多雨,且台风频发,气温变化大。
这些气象条件对施工安全和进度均带来了挑战。
3、交通压力大该桥梁是一条交通枢纽,日常交通量大,施工期间交通减少会给周边交通带来一定影响。
四、施工方案1、安全施工为确保施工期间的安全,我们将采取以下措施:(1)成立专门的施工安全管理团队,建立安全警示标志,对施工现场进行安全隐患排查;(2)严格按照相关法律法规进行施工,确保施工现场安全;(3)设立一定的施工区域,对周边交通进行合理分流,减少交通事故发生的几率;(4)对施工人员进行安全培训和技能培训,提高员工安全意识,加强施工安全管理。
2、质量保障我们将采取以下措施保障施工质量:(1)严格控制原材料的质量,选用符合国家相关标准的建筑材料;(2)对相关工艺进行严格控制,确保施工工艺符合设计要求;(3)建立质量跟踪管理制度,做好质量记录和追踪;(4)实行质量监督,对施工过程进行严格监督,确保施工质量。
3、进度保障为保障施工进度,我们将采取以下措施:(1)合理安排施工人员和物资,合理组织施工进度;(2)建立施工进度管理制度,每天进行进度跟踪;(3)严格执行施工计划,确保施工进度;(4)对施工现场的人员和机械设备进行管理,确保施工的连续性。
4、应急预案针对可能出现的突发情况,我们建立应急预案:(1)根据可能出现的风暴、洪水等自然灾害,提前准备相应的物资和人员力量;(2)建立应急指挥中心,对突发事故进行及时的处理和协调,确保灾害损失最小化;(3)定期进行应急演练,提高应变能力;(4)建立相应的应急信息发布渠道,及时向相关部门和市民发布应急信息。
《桥梁工程》课程大作业:
钢筋混凝土简支T梁桥设计计算实例:
荷载:恒载:桥面铺装:沥青表处5cm 重力密度23 kN/m3
混凝土垫层平均10cm重力密度24 kN/m3
C30 T梁重力密度25 kN/m3
活载:公路Ⅱ级;人群荷载q r=3.0kN/m2
单跨简支梁;桥面净宽:净-7m+2×0.75m;计算跨径 =24.60m;
结构重要性系数1.0。
详见图3-1、3-2。
请计算如下内容:
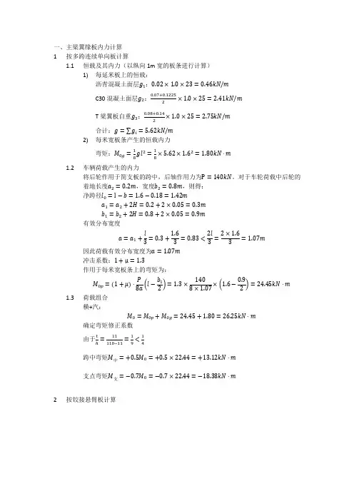
1. 按整体现浇的多跨连续单向板计算结构自重及其内力;汽车荷载产生的内力。
(按纵向1m宽的板条计算)
2. 按铰接悬臂板计算结构自重及其内力;汽车荷载产生的内力。
(按纵向1m宽的板条计算)并按承载能力极限状态和正常使用极限状态计算内力组合。
3. 按悬臂板计算结构自重及其内力;汽车荷载产生的内力。
(按纵向1m宽的板条计算)
注:以上内力包括:剪力和弯矩。
4. 求1#和2#梁的结构自重产生的内力。
(假设每侧的栏杆和人行道构件重量的作用力为5kN/m)
5. 求1#、2#和3#梁在支点和跨中处相应于公路Ⅱ级和人群荷载的横向分布系数。
6. 求1#、2#和3#梁跨中弯矩的设计值和对应的剪力值;
求1#、2#和3#梁支点剪力的设计值;
7.计算汽车荷载作用下,中横隔梁在1#梁和2#梁之间r-r截面上的弯矩M r和靠近2#梁处截面的剪力Q2右。
8.已知主梁开裂构件等效截面的抗弯刚度B=1.980×109N.m2,判定主梁是否需设预拱度?预拱度为多大?主梁变形是否满足要求?。
大桥工程作业
简介
本文档旨在对大桥工程作业进行介绍,并提供一些相关信息。
工程描述
大桥工程是指建造、修建和维护大型桥梁的工作。
大桥通常用
于连接两个地理区域,以便交通和运输的便利。
大桥工程需要考虑
多种因素,例如地质情况、环境保护、结构设计等,以确保桥梁的
安全和稳定。
工程步骤
大桥工程通常包括以下步骤:
1. 规划和设计:确定大桥的位置、跨度和结构类型,进行工程
设计和绘图。
2. 环境评估:评估工程对环境的影响,制定相应的环保措施。
3. 地质勘测:了解桥梁基础的地质条件,为建设过程提供参考。
4. 基础建设:在桥梁位置上进行地基处理和基础建设,以支撑桥梁的结构。
5. 梁体建设:建设桥梁的梁体结构,包括梁段的安装和混凝土浇筑。
6. 完工及验收:对桥梁进行全面检查,确保符合相关的质量和安全标准。
工程挑战
大桥工程存在一些挑战,包括但不限于:
- 地理条件复杂:有些地区的地质和气候条件可能非常恶劣,增加了工程的难度和风险。
- 资金和预算:大桥工程需要大量的资金支持,预算管理是一个重要的考虑因素。
- 施工技术:桥梁的施工需要各种专业技术,包括建筑、土木工程和材料科学等。
- 环境保护:桥梁的建设和运营需要合理的环境保护措施,以减少对自然环境的影响。
结论
大桥工程是一项复杂而重要的任务,对于地区的发展和交通运输起着至关重要的作用。
在执行大桥工程时,需要充分考虑工程的规划、设计、施工和环境保护等方面的因素,以确保工程质量和安全。
混凝土简支梁桥内力计算一.基本资料1.桥梁跨径与桥宽标准跨径:40m(墩中心距离)主梁全长:39.96m计算跨径:39.0m桥面净空:净14+2×1.75m=17.5m。
2.车辆荷载:公路-I级汽车荷载,人群荷载3.0kN/m,结构重要性指数γ0=1.1。
3.主要结构尺寸主梁高度h=2300mm,主梁间距S=2500mm,其中主梁上翼缘预制部分宽为1600mm,现浇段宽为900mm,全桥由7片梁组成,设7道横隔梁。
桥梁结构尺寸参见附图。
4.恒载计算参数预制主梁(包括横隔梁)的容重 1=25kN/m3主梁现浇部分的自重 1=25kN/m3二期恒载桥面铺装5cm厚沥青混凝土 2=23kN/m3,平均8cm厚混凝土垫层 3=24kN/m3人行道及栏杆g1p=3.5kN/m(每片主梁分担的荷重)二.计算要求1.计算桥面板的内力(包括边梁悬臂板);2.计算支点处的荷载横向分布系数(按杠杆法计算);3.计算和比较跨中的荷载横向分布系数(按修正偏心受压法、铰接梁法、G-M法计算)及横向分布系数沿主梁纵向的分布;4.计算内力各主梁和边梁跨中、l/4截面、变截面和支点截面的最大弯矩及相应的剪力;5.计算内力各主梁和边梁跨中、l/4截面、变截面和支点截面的最大剪力及相应的弯矩;恒载内力标准值计算结果截面位置距支点截面的距离x(mm)预制梁自重现浇段自重二期恒载弯矩剪力弯矩剪力弯矩剪力M G1PK(kN·m)V G1PK(kN)M G1mK(kN·m)V G1mK(kN)M G2K(kN·m)V G2K(kN)支点截面0变截面2000 L/4截面9750 跨中截面1950活载内力标准值计算结果 截面位置 距支点截面的距离x(mm) 车道荷载 人群荷载最大弯矩 最大剪力 最大弯矩 最大剪力M Q1K(kN·m) V Q1K(kN) V Q1K (kN) M Q1K (kN·m)M Q2K(kN·m)V Q1K(kN) V Q1K (kN) M Q2K (kN·m)支点截面 0 变截面2000L/4截面9750 跨中截面1950。
2015-2016学年第二学期期末考试《桥梁工程》大作业一、简答题(每题10分,共100分)1、简述桥梁分孔的影响因素。
答:考虑经济、通航、地质、地貌、桥梁体系、施工方法等影响。
2、桥面铺装的作用是什么?有哪些类型?答作用:保护桥面板不受车辆轮胎的直接磨耗,防止主梁遭受雨水的侵蚀,并对车辆轮重的集中荷载起一定的分布作用。
类型:水泥混凝土、沥青表面处治、沥青混凝土3、混凝土梁桥按受力特点不同可以分成哪几种类型?各有何特点?答:简支梁桥:属静定结构。
受力、构造、施工简单。
连续梁桥:属超静定结构。
跨越能力大,对基础要求高。
悬臂梁桥:属静定结构。
行驶状况不好,较少采用4、叙述荷载横向分布系数沿桥跨的变化规律。
答:无中间横隔梁或仅有一根中横隔梁的桥梁,跨中部分采用跨中的mc,从离支点l/4处起至支点的区段内由mc直线过渡至m0;有多根内横隔梁的桥梁,变化规律一样,变化点在第一根内横隔梁处。
5、简述先张法预应力混凝土构件的制作工艺。
答:先张拉钢筋,锚固与加力台座上,再浇筑混凝土,待混凝土达到强度后放松钢筋,靠粘结力获得预应力。
6、拱桥按体系可以分成哪几种类型?各有何特点?答:板拱、肋拱、双曲拱、箱形拱。
板拱特点:在较薄的拱板上增设纵向肋以提高拱圈抗弯刚度。
肋拱特点:以较小的截面面积获得较大的截面抵抗矩,减轻了结构自重,多用于大、中跨径的拱桥。
双曲拱特点:截面抵抗矩比板拱大,可节省材料。
但施工繁冗、整体性差、易开裂,一般用于中、小跨径拱桥。
箱形拱特点为:箱形截面抗扭刚度很大,整体性和稳定性都较好,但施工制作较复杂。
适用于大跨径拱桥。
7、简支梁桥计算跨径16m,桥面宽9m,试初拟截面尺寸。
答:预应力混凝土T梁,梁高1m,主梁间距1.6m。
8、拱桥不等跨分孔的处理方法有哪些?答:(1)采用不同的矢跨比;(2)采用不同的拱脚标高;(3)调整拱上建筑的恒截重量;(4)采用不同类型的拱跨结构。
9、确定计算跨径为25m的简支梁桥在计算弯矩效应时,公路-Ⅱ汽车车道荷载标准值。
第1篇一、项目背景随着我国经济的快速发展,交通基础设施的需求日益增长。
桥梁作为交通基础设施的重要组成部分,承担着重要的运输任务。
然而,随着时间的推移,部分桥梁由于设计、施工、使用等因素的影响,出现不同程度的病害,严重影响桥梁的安全性能和使用寿命。
为了确保桥梁的安全运行,提高桥梁的使用寿命,有必要对病害桥梁进行大修施工。
二、项目概述1. 项目名称:某高速公路桥梁大修施工2. 项目地点:某市某高速公路3. 项目规模:全长XX公里,共有桥梁XX座4. 项目工期:XX个月5. 项目投资:XX万元三、施工方案设计1. 施工组织设计(1)施工组织机构成立项目指挥部,下设施工、质量、安全、材料、财务、后勤等职能科室。
各科室负责人由有经验的技术人员担任,确保施工顺利进行。
(2)施工进度计划根据项目规模、施工难度、资源配备等因素,制定合理的施工进度计划。
具体安排如下:第一阶段:施工准备(1个月)- 完成施工图纸的审核、会审工作;- 组织施工人员进场,进行技术交底;- 完成施工场地平整、围挡设置、临时设施搭建等工作。
第二阶段:施工实施(XX个月)- 进行桥梁病害调查、检测,确定施工方案;- 进行施工材料、设备、人员等资源配置;- 进行桥梁加固、维修、更换等施工;- 进行施工过程中的质量、安全、环保等管理工作。
第三阶段:竣工验收(1个月)- 完成施工质量验收;- 完成施工安全验收;- 完成施工环保验收;- 组织竣工验收会议,验收合格后交付使用。
2. 施工方案(1)施工工艺根据桥梁病害情况,采用以下施工工艺:- 病害检测:利用无损检测技术,对桥梁进行检测,确定病害类型、范围、程度等;- 施工方案设计:根据病害情况,制定合理的施工方案,包括加固、维修、更换等;- 施工材料:选用符合国家标准的优质材料,确保施工质量;- 施工设备:选用先进的施工设备,提高施工效率;- 施工人员:组织专业施工队伍,进行技术培训,提高施工技能。
2015-2016学年第二学期期末考试《桥梁工程》大作业
一、简答题(每题10分,共100分)
1、简述桥梁分孔的影响因素。
答:考虑经济、通航、地质、地貌、桥梁体系、施工方法等影响。
2、桥面铺装的作用是什么?有哪些类型?
答作用:保护桥面板不受车辆轮胎的直接磨耗,防止主梁遭受雨水的侵蚀,并对车辆轮重的集中荷载起一定的分布作用。
类型:水泥混凝土、沥青表面处治、沥青混凝土
3、混凝土梁桥按受力特点不同可以分成哪几种类型?各有何特点?
答:简支梁桥:属静定结构。
受力、构造、施工简单。
连续梁桥:属超静定结构。
跨越能力大,对基础要求高。
悬臂梁桥:属静定结构。
行驶状况不好,较少采用
4、叙述荷载横向分布系数沿桥跨的变化规律。
答:无中间横隔梁或仅有一根中横隔梁的桥梁,跨中部分采用跨中的mc,从离支点l/4处起至支点的区段内由mc直线过渡至m0;有多根内横隔梁的桥梁,变化规律一样,变化点在第一根内横隔梁处。
5、简述先张法预应力混凝土构件的制作工艺。
答:先张拉钢筋,锚固与加力台座上,再浇筑混凝土,待混凝土达到强度后放松钢筋,靠粘结力获得预应力。
6、拱桥按体系可以分成哪几种类型?各有何特点?
板拱、肋拱、双曲拱、箱形拱。
7、简支梁桥计算跨径16m,桥面宽9m,试初拟截面尺寸。
8、拱桥不等跨分孔的处理方法有哪些?
答:(1)采用不同的矢跨比;
(2)采用不同的拱脚标高;
(3)调整拱上建筑的恒截重量;
(4)采用不同类型的拱跨结构。
9、确定计算跨径为25m的简支梁桥在计算弯矩效应时,公路-Ⅱ汽车车道荷载标准值。
答:
10、桥梁墩台的作用是什么?承受哪些荷载?
答:恒载内力计算、活在内力计算、其他荷载内力计算(温度、混凝土收缩徐变、拱脚变位等)、强度、稳定性验算等。