人教部编版三年级语文上册四字词语复习归纳总结
- 格式:docx
- 大小:27.67 KB
- 文档页数:2
部编三年级语文上册四字词语积累第1课绚丽多彩第3课糊里糊涂摇头晃脑鸦雀无声连连点头园地摇头晃脑披头撒发张牙舞爪提心吊胆面红耳赤手忙脚乱眼疾手快口干舌燥第6课五彩缤纷舒舒服服园地秋高气爽天高云淡秋风习习一叶知秋金桂飘香层林尽染五谷丰登果实累累春华秋实第10课大吃一惊第11课七上八下四面八方争先恐后第12课自言自语第13课匆匆忙忙园地百发百中百战百胜百依百顺四面八方四通八达四平八稳七上八下七嘴八舌七手八脚第15课百发百中第16课一本正经引人注目风景优美五光十色物产丰富瑰丽无比成群结队各种各样祖祖辈辈第19课银光闪闪第20课葱葱茏茏密密层层严严实实酸甜可口景色诱人汹涌澎湃波澜壮阔第23课斑斑驳驳噼里啪啦恍然大悟蹑手蹑脚一举一动第26课欢蹦乱跳词语扩展1、表示色彩丰富的词语:绚丽多彩五彩斑斓五彩缤纷五颜六色色彩斑斓五光十色万紫千红2、表示笑的词语:哈哈大笑捧腹大笑笑逐颜开眉开眼笑强颜欢笑抚掌大笑破涕为笑哑然失笑3、含数字的词语:一心一意三心二意四面八方五谷丰登六六大顺七嘴八舌八仙过海九牛一毛十全十美千方百计万紫千红4、含有反义词的词语:左邻右舍左顾右盼大材小用声东击西南征北战异口同声扬长避短生离死别贪生怕死来龙去脉黑白分明凶多吉少大惊小怪起死回生有眼无珠大同小异5、“一…一…”式成语:一举一动一心一意一草一木一唱一和一张一弛6、“…手…脚”式成语:蹑手蹑脚大手大脚笨手笨脚碍手碍脚动手动脚7、“自…自…”式成语:自言自语自说自话自给自足自由自在自作自受自生自灭自私自利自立自强8、ABB式词语:黑洞洞急火火雾蒙蒙热腾腾懒洋洋慢腾腾颤巍巍兴冲冲静悄悄空荡荡乱糟糟闹哄哄孤零零冷清清亮晶晶暖洋洋湿漉漉9、AABC式词语:连连点头频频点头丝丝入扣翩翩起舞窃窃私语落落大方依依不舍恋恋不舍头头是道津津有味10、ABCC式词语:兴致勃勃白发苍苍神采奕奕风尘仆仆想入非非得意洋洋得意扬扬小心翼翼喜气洋洋得意扬扬11、ABAC式词语:再接再厉不屈不挠古色古香惟妙惟肖无影无踪美轮美奂若隐若现相辅相成自言自语半信半疑12、AABB式词语:明明白白多多少少蹦蹦跳跳密密麻麻慌慌张张轻轻松松确确实实郁郁葱葱匆匆忙忙辛辛苦苦13、AABB式拟声词:叮叮咚咚叽叽喳喳淅淅沥沥吱吱嘎嘎14、ABAB式拟声词:咯吱咯吱咿呀咿呀叮咚叮咚咕咚咕咚沙啦沙啦吸溜吸溜。
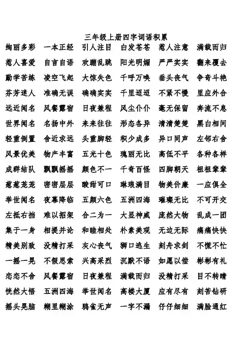
三年级上册四字词语积累绚丽多彩一本正经引人注目白发苍苍惹人注意满载而归惹人喜爱自言自语欢蹦乱跳阳光明媚严严实实翻来覆去勤学苦练凌空飞起大惊失色千呼万唤垂头丧气争奇斗艳芬芳迷人准确无误确确实实千里迢迢不紧不慢里应外合远近闻名风餐露宿日夜兼程风尘仆仆毫无保留奔流不息世界闻名名扬中外来来往往形态各异清清楚楚黑白相间轻重倒置舍近求远头重脚轻积少成多异口同声左邻右舍风景优美物产丰富五光十色瑰丽无比高低不平各种各样成群结队飘飘摇摇颜色不一千奇百怪四脚朝天祖祖辈辈葱葱茏茏密密层层酸甜可口琳琅满目物美价廉一应俱全举世闻名夜幕降临五颜六色五洲四海璀璨无比不可开交左抵右挡难以招架合二为一大显神威庞然大物乱成一团集于一身相提并论和睦相处朴素美观无边无际痛痛快快精美别致没精打采灰心丧气狮口逃生刻舟求剑不慌不忙一摇一晃不假思索兴高采烈沉默不语如愿以偿彬彬有礼恋恋不舍风餐露宿日夜兼程满载而归没精打采目不转睛恍然大悟五洲四海举世闻名高楼大厦应有尽有刻苦钻研摇头晃脑糊里糊涂鸦雀无声一字不漏仔仔细细满脸通红人教版小学三年级语文上册多音字复习资料cáng (躲藏)(冷藏)(收藏) zhāo(朝阳)(朝霞)藏朝zàng (宝藏)(西藏)(矿藏) cháo(朝向)(朝代)zhuǎ(爪子) xiāng(相信)(相同)爪相zhǎo(鹰爪)(虎爪) xiàng(相片)(照相)dāng(当心)(当面)(缝合) mēn(闷热)(屋子里很闷)当闷dàng (上当)(停当) mèn(纳闷)(苦闷)yīng (应该)(应当)(应许) kān(看门)(看家)应看yìng (答应)(一应俱全) kàn(看见)(看书)(看着) dā (答应)(答话) jī(几乎)(茶几)答几dá(回答)(报答)(答题) jǐ(几个)(几位)hǎo (好人)(友好)(好事) dǎo(打倒)(倒地)(摔倒)好倒hào (好学)(好奇)(爱好) dào(倒水)(倒茶)(倒车) lè (快乐)(乐园)(乐意) shèng(盛开)(茂盛)(盛大)乐盛yuè(音乐)(乐曲)(乐器) chéng(盛饭)(盛满)zuò(作文)(作业) liū(圆溜溜)(溜达)作溜zuō(作坊) liù(一溜烟)chéng (乘法)(乘车) jiǎ(假如)(假话)(假山)乘假shèng(一乘轿子) jià(放假)(暑假)(寒假)chāi (出差)(差事) chēng(称赞)(称呼)差 chā (差别)(差距)(时差)称chà (差不多)(差劲)(差得远) chèn(匀称)(称心如意)luò(落水)(降落)(落叶) xīng(兴盛)(兴旺)(兴奋)落兴lào (落下毛病) xìng(高兴)(兴趣)diào (调动)(调查) liáng(打量)(量身高)(思量)调量tiáo (调整) (调皮) liàng(重量)(质量)(数量) shǔ(数一数)(倒数)(数不清) huàng(摇晃)(晃动)数晃shù (数学)(数字)(数量) huǎng(明晃晃)(晃眼睛)jì (系鞋带)(系扣子) fā(发生)(发现)(出发)系发xì (关系)(联系)(太阳系) fà(头发)(发型)(理发)sā(撒播)(撒种)(撒落) dū(首都)(都城)撒都sǎ(撒手)(撒开)(撒娇) dōu(都好)(都有)(都在) juǎn (卷角)(花卷)(胶卷) jiāo(教书)(教课)卷教juàn (试卷)(卷子)(答卷) jiào(教师)(教室)(教育) sì(相似)(似乎) nán(难过)(困难)(难处)似难shì (似的) nàn(灾难)(难民)shě (取舍)(舍近求远) yāo(要求)舍要shè(宿舍)(左邻右舍) yào(重要)(要强)(要点) piāo(漂流)(漂泊)(漂浮) qū(弯曲)漂 piǎo(漂白)曲piào(漂亮) qǔ(歌曲)(乐曲)(曲子)sēn (人参)(参茶) chǔ(处理)(处分)(处决)参处cān(参加)(参与)(参谋) chù(到处)(好处)(长处) zhòng (重要)(重点)(重量) hái(还有)(还在)重还chóng(重复)(重来)(重新) huán(还书)(退还)(还给)三年级一字多义练习题1、端:A、事情的开头;B、平举着拿; C、东西的一头;D、端正;E、项目。
最新整理小学三年级语文上册全册成语汇总大全成语宝库一、带“数字”成语二、带“动物”成语三、带“植物”成语四、带“人体”成语五、带“方位”成语六、带“色彩”成语七、叠字成语八、带“不”字成语九、带“人”字成语十、带“想”的成语十一、带“多”的成语十二、带“看”的成语十三、含有一对近义的成语十四、含有两队近义的成语十五、含有一对反义的成语十六、含有两对反义的成语十七、近义反义的成语十八、隔字相同的成语十九、带“兵器”的成语二十、描写四季成语二十一、描写时辰成语二十二、描写花草树果成语二十三、描写天气成语二十四、描写情况紧急的成语二十五、源自于寓言故事成语二十六、源自于历史故事成语二十七、首尾同字的成语二十八、含有比喻成分的成语二十九、表示稀少的成语三十、描写热闹繁华的成语三十一、描写丰富繁多的成语三十二、描写说的成语三十三、含有夸张成分的成语三十四、成语之最一、数字成语一唱一和一呼百应一干二净一举两得一落千丈一模一样一暴十寒一心一意一败涂地一本正经一臂之力一尘不染一见如故一箭双雕一脉相承一目了然一窍不通一视同仁一泻千里一草一木一成不变一帆风顺一鼓作气一哄而散一如既往一丝不苟一言难尽一衣带水一朝一夕一针见血一知半解一表人才一波三折一步登天一筹莫展一触即发一刀两断一技之长一蹶不振一劳永逸一鸣惊人一念之差一贫如洗一气呵成一清二白一扫而空一息尚存一相情愿略胜一筹两败俱伤两虎相斗两面三刀两全其美两小无猜两袖清风进退两难三长两短三顾茅庐三令五申三生有幸三思而行三头六臂三心二意三言两语半夜三更入木三分火冒三丈三天打鱼,两天晒网四海为家四分五裂四面楚歌四通八达四平八稳危机四伏四海升平五彩缤纷五光十色五湖四海五花八门五颜六色五体投地五脏六腑五谷丰登学富五车五雷轰顶六神无主六亲无靠六月飞霜六根清净七零八落七拼八凑七上八下七手八脚七嘴八舌七窍生烟七情六欲八面玲珑八面威风半斤八两胡说八道八仙过海,各显神通九死一生九牛一毛九霄云外九牛二虎之力含笑九泉十拿九稳十年寒窗十全十美十万火急十指连心十冬腊月神气十足百无禁忌百川归海百读不厌百发百中百废俱兴百感交集百花齐放百口难辩百炼成钢百年不遇百年大计百思不解百战百胜百依百顺百折不挠百孔千疮精神百倍百尺竿头,更进一步百闻不如一见千变万化千差万别千锤百炼千方百计千呼万唤千军万马千钧一发千里迢迢千门万户千难万险千篇一律千千万万千秋万代千山万水千丝万缕千头万绪千辛万苦千言万语千真万确千奇百怪千姿百态千虑一得千虑一失千载难逢千难万险横扫千军万水千山万无一失万众一心万紫千红万死一生万籁俱寂瞬息万变二、动物名称成语【鼠】鼠目寸光鼠肚鸡肠鼠窃狗盗投鼠忌器抱头鼠窜獐头鼠目胆小如鼠【牛】牛鬼蛇神牛刀小试牛鼎烹鸡汗牛充栋对牛弹琴九牛一毛气壮如牛牛毛细雨泥牛入海【虎】虎视眈眈虎口余生虎头虎脑虎背熊腰虎头蛇尾虎落平阳虎穴龙潭放虎归山谈虎色变如虎添翼骑虎难下为虎作伥与虎谋皮藏龙卧虎狐假虎威羊入虎口狼吞虎咽龙行虎步龙吟虎啸龙争虎斗龙盘虎踞龙腾虎跃生龙活虎降龙伏虎【兔】兔死狐悲兔死狗烹狡兔三窟鸟飞兔走守株待兔【龙】龙腾虎跃龙飞凤舞龙马精神龙凤呈祥画龙点睛来龙去脉攀龙附凤群龙无首望子成龙车水马龙人中之龙叶公好龙降龙伏虎老态龙钟笔走龙蛇龙潭虎穴【蛇】蛇蝎心肠画蛇添足惊蛇入草龙蛇混杂杯弓蛇影牛鬼蛇神打草惊蛇虚与委蛇笔走龙蛇春蚓秋蛇【马】马到成功马不停蹄马革裹尸一马当先老马识途汗马功劳万马齐喑一马平川天马行空快马加鞭走马看花信马由缰蛛丝马迹兵荒马乱万马奔腾犬马之劳单枪匹马招兵买马人仰马翻人困马乏鞍前马后人强马壮猴年马月青梅竹马心猿意马悬崖勒马千军万马香车宝马指鹿为马害群之马厉兵秣马塞翁失马盲人瞎马脱僵之马金戈铁马【羊】羊质虎皮羊肠小道羊入虎口亡羊补牢虎入羊群顺手牵羊【猴】猴年马月沐猴而冠尖嘴猴腮杀鸡吓猴杀鸡儆猴【鸡】鸡毛蒜皮鸡鸣狗盗鸡飞蛋打鸡犬不宁鸡犬不留鸡犬升天闻鸡起舞杀鸡吓猴杀鸡取卵偷鸡摸狗鹤立鸡群小肚鸡肠鼠肚鸡肠呆若木鸡【狗】狗急跳墙狗尾续貂狗仗人势狗血喷头犬马之劳猪狗不如兔死狗烹鼠窃狗盗狼心狗肺狐朋狗友狐群狗党偷鸡摸狗画虎类狗鸡犬不惊鸡零狗碎【猪】猪突豨勇猪狗不如杀猪宰羊封豕长蛇凤头猪肚蠢笨如猪【鸟】鸟尽弓藏笨鸟先飞如鸟兽散小鸟依人惊弓之鸟飞禽走兽凤毛麟角鸦雀无声燕雀安知鹤立鸡群鹤发童颜风声鹤唳莺歌燕舞草长莺飞珍禽异兽衣冠禽兽燕语莺声鹊巢鸠占鹦鹉学舌蜻蜓点水欢呼雀跃鸦雀无声鹏程万里一箭双雕风声鹤唳鹤发鸡皮鹤发童颜鹤立鸡群麻雀虽小,五脏俱全螳螂捕蝉,黄雀在后声誉鹊起饮鸩止渴雁过拔毛鸟枪换炮【兽】困兽犹斗如鸟兽散人面兽心飞禽走兽珍禽异兽衣冠禽兽洪水猛兽狼吞虎咽猫鼠同眠黔驴技穷一丘之貉管中窥豹狼心狗肺狼烟四起狼子野心狼狈不堪狼狈为奸豺狼成性豺狼当道引狼入室鹿死谁手中原逐鹿象牙之塔盲人摸象声名狼藉杯盘狼藉豺狼成性狐疑不决黔驴技穷鹏程万里【鱼虫】金蚕脱壳蝇头微利花飞蝶舞螳臂挡车鱼跃鸟飞如鱼得水独占鳌头井底之蛙瓮中捉鳖虾兵蟹将鹬蚌相争沉鱼落雁飞蛾扑火金蝉脱壳积蚊成雷蟾宫折挂蚕食鲸吞蜻蜓点水螳臂挡车蛛丝马迹螳螂捕蝉,黄雀在后鱼目混珠蜂拥而至蛊惑人心物腐虫生漏网之鱼海市蜃楼堤溃蚁穴蚕食鲸吞含有两个动物名称的成语鹤立鸡群鸡鸣狗盗鹬蚌相争蚕食鲸吞蛛丝马迹龙争虎斗龙马精神龙飞凤舞龙腾虎跃龙骧虎步龙潭虎穴龙跃凤鸣车水马龙指鹿为马兔死狐悲鸡犬不宁心猿意马狼吞虎咽三、带植物成语开花结果斩草除根顺藤摸瓜披荆斩棘奇花异果投桃报李粗枝大叶春兰秋菊火树银花叶落归根节外生枝李代桃僵树大根深瓜熟蒂落根深蒂固柳暗花明桃红柳绿瓜田李下风扫落叶布帛蔬栗出水芙蓉一枕黄粱视入草芥雨后春笋昙花一现明日黄花横生枝节草菅人命草木皆兵桑榆暮景黄粱美梦荆棘丛生花枝招展豆蔻年华天女散花如火如荼名列前茅锦上添花囫囵吞枣火中取栗目光如豆沧海一粟胸有成竹春暖花开三顾茅庐世外桃源鸟语花香风吹草动鸡毛蒜皮繁花似锦借花献佛滚瓜烂熟枯木逢春望梅止渴拔苗助长五谷不分花容月貌叶落知秋树大招风藕断丝连萍水相逢草长莺飞花团锦簇四、带人体成语面无人色心旷神怡耳熟能详心花怒放蒙头转向满面春风屈指可数满目疮痍铁面无私令人发指出人头地魂不附体食不果腹不绝于耳爱不释手面黄肌瘦口干舌燥劈头盖脸提心吊胆评头论足肺腑之言心口如一身外之物足不出户手无寸铁心事重重满腔热忱促膝谈心信手拈来灭顶之灾另眼相看腥风血雨喜笑颜开大打出手失之交臂汗流浃背光彩夺目心惊肉跳面红耳赤拳打脚踢鹤发童颜赏心悦目抓耳挠腮浓眉大眼血肉相连毛骨悚然手足无措掩人耳目铁石心肠病入膏肓沁人肺腑血流成河口若悬河面不改色眉飞色舞两手空空信口开河垂头丧气满腹牢骚燃眉之急挖空心思绞尽脑汁义愤填膺引人注目泰山压顶皮开肉绽心灵手巧举手投足点头哈腰肥头大耳心腹之患心心相印唇齿相依骨肉相连至亲骨肉徒费唇舌痛入骨髓趾高气扬筋疲力尽目不暇接破口大骂闭目塞听扬眉吐气怒发冲冠切齿痛恨掩耳盗铃病从口入扣人心弦浪子回头成竹在胸不堪回首眼明手快胆战心惊摩拳擦掌慈眉善目没头没脑肝肠寸断耳目众多肝胆相照恨入骨髓感人肺腑了如指掌眼花缭乱骨瘦如柴脚踏实地夺眶而出惊心动魄俯首听命接踵而来挺身而出唾手可得咬紧牙关为国捐躯良药苦口掉以轻心恨之入骨耳聪目明唇亡齿寒头重脚轻粉身碎骨蓬头垢面五脏六腑咬牙切齿血口喷人腹背受敌肝脑涂地沁人心脾近在眉睫情同手足眼高手低目瞪口呆胸无点墨头重脚轻手足情深口是心非眼疾手快耳闻目睹头破血流眉清目秀袖手傍观口出不逊七嘴八舌交头接耳手无缚鸡之力五、带方位成语旁若无人前车之鉴旁敲侧击人间地狱节外生枝福如东海马放南山居高临下蒙在鼓里前呼后拥外柔中刚前仰后合上蹿下跳东张西望走南闯北字里行间左右开弓转战南北后起之秀内顾之忧掌上明珠雨后春笋梁上君子泰山北斗袖手旁观大敌当前锥处囊中左邻右舍上漏下湿左顾右盼里勾外连天上人间秀外慧中天南地北内外交困举国上下东窗事发下不为例苦中作乐绵里藏针稳操左卷名列前茅力争上游后来居上置之脑后南征北战里应外合外强中干南来北往安内攘外说东道西瞻前顾后左右为难中流砥柱间不容发天下大乱江东父老日薄西山以绝后患九霄云外游戏人间喜出望外外圆内方东鳞西爪内忧外患惩前毖后彻里彻外声东击西俯仰之间六、带色彩成语黄金时代白雪皑皑乌烟瘴气皓首穷经青面獠牙苍髯如戟金光灿烂红颜薄命白发苍苍花里胡哨五黄六月一碧万顷明眸皓齿一寸丹心火树银花炉火纯青须眉茭白人老珠黄红男绿女白纸黑字苍松翠柏绿水青山碧血丹心白云苍狗朱唇皓齿面红耳赤五光十色青红皂白五彩缤纷五颜六色一碧千里万紫千红花红柳绿翠色欲流姹紫嫣红七、叠字成语亭亭玉立姗姗来迟栩栩如生欣欣向荣惺惺作态洋洋得意绵绵不绝静静乐道虎视眈眈来势汹汹生机勃勃热气腾腾炯炯有神沾沾自喜头头是道依依惜别节节败退比比皆是飘飘欲仙井井有条愤愤不平小心翼翼死气沉沉大名鼎鼎滔滔不绝步步登高夸夸其谈花花公子娓娓动听历历在目窃窃私语威风凛凛喜气洋洋天网恢恢神采奕奕摇摇欲坠奄奄一息念念不忘跃跃欲试循循善诱人人自危斤斤计较心心相印白发苍苍白雪皑皑气势汹汹人才济济得意洋洋三三两两沸沸扬扬纷纷扬扬郁郁葱葱昏昏沉沉断断续续战战兢兢羞羞答答浩浩荡荡家家户户歪歪扭扭吞吞吐吐轰轰烈烈庸庸碌碌影影绰绰星星点灯八、带“不”字成语不由自主不谋而合不寒而栗不同凡响不甘示弱不知深浅不露声色不择手段不足为奇不绝于耳不可思议不共戴天不计其数不可收拾不约而同不知去向不学无术情不自禁恬不知耻弱不禁风爱不释手怒不可遏力不从心辞不达意猝不及防名不虚传祸不单行死不悔改时不我待下不为例义不容辞深不可测机不可失参差不齐萎靡不振纹丝不动惶恐不安一尘不染连绵不断疲惫不堪坎坷不平坐立不安一毛不拔表里不一寸步不让欲罢不能无所不有放荡不羁犹豫不决锲而不舍赞谈不已愁眉不展绵绵不绝按兵不动川流不息截然不同措手不及屡教不改原封不动形影不离络绎不绝华而不实揣测不安坚忍不拔从容不迫经久不息九、带“人”字成语人心涣散人生如梦人情冷暖人地生疏人面兽心人困马乏人才济济人浮于事人才辈出人尽其才人命关天人声鼎沸人所共知人迹罕至人烟稠密人各有志人之常情强人所难与人为善为人师表盲人瞎马助人为乐耐人寻味沁人心脾渔人之利耸人听闻痴人说梦任人唯贤高人一等成人之美先人后己拖人下水引人注目不近人情地广人稀振奋人心差强人意风云人物惨无人道大快人心事在人为深入人心不省人事家破人亡脍炙人口风土人情狗仗人势荒无人烟地利人和治病救人冷语冰人舍己为人以貌取人目中无人达官贵人出口伤人嫁祸于人不甘后人仗势欺人睹物思人盛气凌人百年树人平易近人先发制人视同路人十、“想”的成语想了又想(朝思暮想)苦苦地想(苦思冥想)静静地想(静思默想)想得周全(深思熟虑)想得混乱(胡思乱想)想得厉害(浮想联翩)想得很多(左思右想)想得荒唐(痴心妄想)想得离奇(异想天开)十一、“多”的成语观众多(座无虚席)贵宾多(高朋满座)人很多(摩肩接踵)人才多(人才济济)兵马多(千军万马)事物多(林林总总)色彩多(五彩缤纷)类别多(千差万别)困难多(千辛万苦)话儿多(滔滔不绝)读书多(博览群书)见识多(见多识广)变化多(千变万化)走得多(走南闯北)颜色多(五颜六色)花样多(五花八门)十二、带有“看”的近义词的成语见多识广望而生畏察言观色一视同仁一览无余高瞻远瞩坐井观天举世瞩目管中窥豹左顾右盼十三、含有一对近义词的成语惊心动魄争奇斗艳生龙活虎添油加醋降龙伏虎争权夺利高楼大厦狂风暴雨满山遍野翻江倒海怪模怪样民脂民膏五颜六色千言万语无边无际一清二楚火烧火燎千变万化唉声叹气接二连胜星罗棋布翻云覆雨道听途说摩拳擦掌如花似玉慈眉善目争分夺秒地动山摇无忧无虑风驰电掣报仇雪恨酒囊饭袋咬文嚼字无依无靠山崩地裂海阔天空无精打采流言飞语谨言慎行赤手空拳日积月累添枝加叶品头论足心灵手巧口干舌燥心旷神怡难分难解感恩戴德欢蹦乱跳风平浪静千姿百态不声不响涂脂抹粉伤天害理大摇大摆颠三倒四捕风捉影添砖加瓦平心静气抓耳挠腮不偏不倚见多识广察言观色高瞻远瞩左顾右盼调兵遣将粉身碎骨狂风暴雨旁敲侧击改朝换代道听途说千辛万苦眼疾手快生龙活虎惊天动地七拼八凑胡言乱语十四、含有两对近义词的成语深思熟虑真凭实据灵丹妙药凶神恶煞心满意足街头巷议翻山越岭精雕细刻生拉硬扯琼楼玉宇层峦叠嶂心烦意乱崇山峻岭奇形怪状惊涛骇浪装模作样摇头晃脑文丛字顺改朝换代通风报信能说会道甜言蜜语分门别类追根究底虚情假意幸灾乐祸通情达理丰功伟绩歪门邪道生擒活捉离乡背井豪言壮语汪洋大海琼浆玉液斩尽杀绝十五、含有一对反义词的成语出神入化横七竖八来龙去脉浓妆淡抹逆来顺受朝秦暮楚有恃无恐天经地义转危为安若明若暗弄巧成拙扶老携幼顾此失彼弃暗投明因小失大自始至终七上八下逢凶化吉舍己为人避实击虚大公无私走南闯北取长补短除暴安良顶天立地大材小用古为今用夫唱妇随有气无力殊途同归异曲同工南辕北辙朝令夕改今非昔比同床异梦鬼斧神工异口同声大手大脚从头到尾改邪归正惹是生非弄假成真远亲近邻前仰后合天寒地冻先斩后奏功败垂成若隐若现反败为胜铺天盖地弃旧图新以逸待劳化整为零积少成多拈轻怕重起死回生以攻为守争先恐后横眉立目苦尽甘来东倒西歪官逼民反前赴后继公报私仇水深火热前呼后拥东倒西歪眼高手低口是心非头重脚轻有头无尾前倨后恭东逃西散南辕北辙左顾右盼积少成多同甘共苦半信半疑大材小用先人后己有口无心弄假成真举足轻重南腔北调声东击西转危为安东倒西歪反败为胜以少胜多由此及彼十六、含有两对反义词的成语神出鬼没人小鬼大南来北往此起彼伏好逸恶劳有名无实喜新厌旧经天纬地你死我活古往今来凶多吉少大同小异寒来暑往生死存亡悲欢离合盛衰荣辱轻重缓急是非曲直厚此薄彼深入浅出先公后私死去活来有始无终藏头露尾前因后果避实就虚送往迎来扶弱抑强先人后己春华秋实天南地北避重就轻外强中干吉凶祸福十七、含有近义、反义词的成语摇头摆尾返老还童欢天喜地瞻前顾后同生共死惊天动地说长道短寻死觅活昏天黑地挑肥拣瘦开天辟地街头巷尾同甘共苦冷嘲热讽尔虞我诈横冲直撞左顾右盼新仇旧恨大街小巷东张西望阴差阳错左思右想天罗地网长吁短叹南腔北调明争暗斗东奔西跑手舞足蹈生离死别来踪去迹东躲x藏南征北战鬼使神差天崩地塌反义成语爱财如命——挥金如土异口同声——众说纷纭寂然无声——鸦雀无声爱不释手——弃若敝屐半途而废——坚持不懈高瞻远瞩——鼠目寸光一丝不苟——粗枝大叶博古通今——坐井观天近义成语百发百中——百步穿杨急功近利——急于求成不名一钱——一贫如洗不求甚解——囫囵吞枣白日做梦——痴心妄想东倒西歪——东扶西倒熙熙攘攘——熙来攘往博古通今——博古知今十八、隔字相同的成语古色古香天兵天将不死不活稳扎稳打任劳任怨有始有终无穷无尽大模大样自高自大破罐破摔大喊大叫自作自受偏听偏信本乡本土有声有色群策群力虎头虎脑无依无靠毛手毛脚人山人海载歌载舞瓮声瓮气如泣如诉问长问短若隐若现不慌不忙难解难分久而久之如醉如痴活灵活现无影无踪无拘无束同心同德无声无息无边无际十九、带兵器的成语兵不血刃折戟沉沙单枪匹马当头棒喝心如刀绞归心似箭当头一棒剑拔弩张明枪暗箭戟指怒目强弩之末一箭双雕琴心剑胆鸟尽弓藏临阵磨枪唇枪舌战亡戟得矛箭在弦上短兵相接借刀杀人心如刀割口蜜腹剑盘马弯弓无的放矢夹枪带棒自相矛盾杯弓蛇影枕戈待旦惊弓之鸟图穷匕见同室操戈有的放矢刀光剑影大刀阔斧大动干戈二十、四季春天阳春三月春光明媚春回大地春暖花开春意盎然春意正浓风和日丽春花烂漫鸟语花香百鸟鸣春百花齐放莺歌燕舞万紫千红春雨如油生机勃勃春色满圆春意盎然和风细雨夏天赤日炎炎烈日炎炎骄阳似火挥汗如雨大汗淋漓鸟语蝉鸣万木葱茏枝繁叶茂莲叶满池秋天秋高气爽天高云淡秋风送爽秋菊怒放秋菊傲骨秋色迷人秋色宜人金桂飘香果实累累北雁南飞满山红叶五谷丰登芦花飘扬冬天天寒地冻北风呼啸滴水成冰寒冬腊月瑞雪纷飞冰天雪地冰封雪盖漫天飞雪白雪皑皑冰封大地二十一、时辰早晨东方欲晓旭日东升万物初醒空气清醒雄鸡报晓晨雾弥漫晨光绚丽中午烈日当头丽日临空艳阳高照万里无云碧空如洗傍晚日落西山夕阳西斜残阳如血炊烟四起百鸟归林华灯初上夜幕低垂日薄西山夜晚夜深人静月明星稀夜色柔美夜色迷人深更半夜漫漫长夜二十二、花草树果花花红柳绿花色迷人花香醉人花枝招展百花齐放百花盛开百花争艳绚丽多彩五彩缤纷万紫千红春暖花开鸟语花香姹紫嫣红花红柳绿百花争艳锦上添花火树银花昨日黄花春花秋月过时黄花花团锦簇花枝招展草绿草如茵一碧千里杂草丛生生机勃勃绿油油树苍翠挺拔郁郁葱葱枯木逢春秀丽多姿青翠欲滴林海雪原耸入云天山寸草不生山清水秀青山绿水高耸入云崇山峻岭山明水秀山穷水尽大好山河刀山火海地动山摇高山深涧悬崖峭壁峰峦雄伟漫山遍野江山如画锦绣山河荒山野地水水流湍急水平如镜高山流水千山万水水滴石穿水乳交融滴水不漏杯水车薪洪水猛兽流水无情瓜果蔬菜清香鲜嫩青翠欲滴果园飘香果实累累果实饱满鲜嫩水灵二十三、天气雪大雪纷飞大雪封山鹅毛大雪漫天飞雪瑞雪纷飞风雪交加雷电电光石火雷电大作惊天动地春雷滚滚电劈石击雷电交加雨阴雨连绵牛毛细雨秋雨连绵随风飘洒倾盆大雨狂风暴雨大雨淋漓暴雨如注大雨滂沱瓢泼大雨大雨倾盆血雨腥风风雨交加风调雨顺枪林弹雨风雨同舟风雨无阻和风细雨狂风暴雨满城风雨春风化雨风雨飘摇斜风细雨未雨绸缪风秋风送爽金风送爽北风呼啸微风习习寒风刺骨风和日丽云彩云满天天高云淡乌云翻滚彤云密布九霄云外腾云驾雾壮志凌云风云变幻风起云涌行云流水风卷残云浮云蔽日孤云野鹤烘云托月过眼云烟烟消云散日旭日东升日上三竿一轮红日日高三尺艳阳高照烈日当头骄阳似火日影西斜天空碧空万里浩浩长空晴空万里万里无云碧空如洗二十四、描写情况紧急的成语千钧一发刻不容缓迫不及待十万火急火烧眉毛燃眉之急二十五、源自于寓言故事的成语鹬蚌相争刻舟求剑鹏程万里守株待兔掩耳盗铃亡羊补牢惊弓之鸟杯弓蛇影抱薪救火二十六、源自于历史故事的成语安步当车暗渡陈仓按图索骥程门立雪班门弄斧兵不厌诈三顾茅庐二十七、首尾同字的成语微乎其微神乎其神天外有天痛定思痛数不胜数举不胜举人外有人防不胜防忍无可忍闻所未闻二十八、含有比喻成分的成语观者如云挥金如土铁证如山爱财如命稳如泰山门庭若市骨瘦如柴冷若冰霜如雷贯耳守口如瓶浩如烟海高手如林二十九、表示稀少的成语不可多得凤毛麟角九牛一毛绝无仅有空前绝后寥寥无几寥若晨星宁缺毋滥前所未有屈指可数三三。
人教版三年级上册四字词语总结第一篇:人教版三年级上册四字词语总结四字词语一本正经2引人注目3白发苍苍4自言自语欢蹦乱跳6、严严实实7转来转去8大惊失色9千呼万唤10垂头丧气11争奇斗艳16远近闻名21五光十色26飘飘摇摇31又松又软36不假思索舒舒服服46舍近求远 12 芬芳迷人13准确无误 14 确确实实15挤来挤去 17 风尘仆仆18奔流不息19风景优美20物产丰富 22高低不平23各种各样,24双龙戏珠25成群结队 27千奇百怪28四脚朝天29祖祖辈辈30密密层层 32合二为一33大显神威乱成一团35相提并论 37兴高采烈 38闻鸡起舞 39 翩翩飞舞40.千呼万唤 42.自言自语远近闻名44黑白相间 45 轻重倒置47 头重脚轻积少成多 49 异口同声50左邻右舍里应外合52 琳琅市场53.应有尽有54物美价廉55夜幕降临56.严严实实来来往往58.舒舒服服59.确确实实60.又松又软61.又香又脆62.又唱又跳63.又说又笑64.不慌不忙65.不紧不慢66.不紧不慢71.庞然大物76如愿以偿满载而归举世闻名91.千言万语 67.不知不觉68,不闻不问 69.左抵右挡难以招架72.紧张危急73.和睦相处74.刻舟求剑75.沉默不语 77彬彬有礼恋恋不舍79.风餐露宿 80日夜兼程82.没精打采目不转睛84.恍然大悟85五洲四海 87 高楼大厦88.学无止境89.举步维艰90.灰心丧气92.千军万马.第二篇:三年级四字词语自然现象:人物动作:开门见山一目了然落英缤纷满天飞舞沉默不语一动不动大材小用小题大做群芳吐艳万紫千红不约而同翩翩起舞三长两短七上八下姹紫嫣红光彩夺目长途跋涉腾云驾雾百发百中百步穿杨层峦叠翠苍翠欲滴异口同声张口结舌形态样子:崇山峻岭连绵不断七嘴八舌赞不绝口小巧玲珑若隐若现悬崖峭壁连绵起伏目不转睛爱不释手栩栩如生惟妙惟肖旭日东升喷薄欲出彬彬有礼交口称赞数量:夕阳西下皓月当空痛改前非悔过自新成千上万多多益善万里无云湛蓝深远博览群书孜孜不倦琳琅满目应有尽有水平如镜清澈见底勤学好问学而不厌五湖四海家家户户清新甜润郁郁葱葱坚持不懈业精于勤古往今来源源不断冰天雪地一望无际专心致志聚精会神零零星星结结实实四面八方熊熊大火废寝忘食竭尽全力人物情感:锲而不舍脚踏实地情况:孤苦伶仃饥寒交迫人物能力:迫在眉睫息息相关孤单失群垂头丧气妙笔生花画龙点睛持续不断连绵不绝诚心诚意和颜悦色降龙伏虎各显神通身无分文穷困潦倒和睦相处自由自在聪明能干闻名遐迩游人如织人山人海恍然大悟羞愧万分滔滔不绝头头是道往事如烟历历在目情不自禁迫不及待面面俱到十全十美诚心诚意小心翼翼寓言道理:兴兴向荣蒸蒸日上津津有味恋恋不舍亡羊补牢南辕北辙当头一棒妙不可言大惊小怪气焰嚣张惊弓之鸟买椟还珠专心致志必不可少铁面无私刚正不阿一举两得受益无穷光阴似箭日月如梭课文中常见词语的解释:光彩夺目:形容颜色和光泽非常耀眼。
三年级上册所有四字成语与词汇学海无涯,书山有路:意思是指:用书堆积起来的大山中,要想攀登遥远的高峰,勤奋就是那登顶的唯一路径;无边无际的知识海洋里,苦难将是一艘前行的船,能够载你走向成功。
在读书、学习的道路上,没有捷径可走,也没有顺风船可驶,只要汲取更多更广的知识,也能走向成功。
九牛一毛:九头牛身上的一根毛。
比喻极大数量中极微小的数量,微不足道。
沧海一粟:大海里的一粒谷子。
比喻非常渺小。
孜孜以求:不知疲倦地探求。
全力以赴:把全部力量都投入进去。
百尺竿头,更进一步:百尺竿头指桅杆或杂技长竿的顶端。
比喻极高的官位和功名,或学问、事业有很高的成就。
天各一方戎马一生:指一生从军,作战。
现在指操劳一生(多指父母)。
身经百战:【解释】:亲身经历过很多次战斗。
比喻况历多,经验丰富。
刮骨疗毒:就是将深入骨头的毒液用刀刮除,达到治疗的目的。
特指历史上关公刮骨疗伤,后也用刮骨疗毒比喻意志坚强的人。
传为美谈【拼音】:chuán wéi měi tán 【解释】:美谈:人们津津乐道的好事。
指传扬开去,成为人们赞美、称颂的事情。
约法三章【拼音】:yuèfǎsān zhāng 【解释】:原指订立法律与人民相约遵守。
后泛指订立简单的条款。
秋毫无犯【拼音】:qiūháo wúfàn 【解释】:。
①形容军队纪律严明,对百姓丝毫无犯。
②形容为人清正廉洁。
运筹帷幄【拼音】:yùn chóu wéi wò【解释】:筹:计谋、谋划;帷幄:古代军中帐幕。
指拟定作战策略。
引申为筹划、指挥。
好谋善断【拼音】:hào móu shàn duàn 【解释】:善:擅长;断:决断。
形容人能不断思考,并善于判断。
一无所获【拼音】:yīwúsuǒhuò【解释】:一无:全无。
什么东西都没有获得。
三年级上册语文的日积月累成语1. 《小学语文三年级上册》四字词语归纳有哪些人物动作:沉默不语一动不动不约而同孜孜不倦勤学好问学而不厌翩翩起舞长途跋涉腾云驾雾异口同声张口结舌七嘴八舌爱不释手彬彬有礼交口称赞赞不绝口目不转睛痛改前非悔过自新竭尽全力锲而不舍脚踏实地博览群书坚持不懈业精于勤专心致志聚精会神废寝忘食人物能力:妙笔生花画龙点睛降龙伏虎各显神通聪明能干闻名遐迩滔滔不绝头头是道寓言道理:小题大做三长两短南辕北辙惊弓之鸟买椟还珠一举两得受益无穷光阴似箭日月如梭七上八下百发百中百步穿杨亡羊补牢开门见山一目了然大材小用形态样子:小巧玲珑栩栩如生若隐若现惟妙惟肖数量:成千上万应有尽有五湖四海家家户户古往今来多多益善琳琅满目源源不断零零星星结结实实津津有味恋恋不舍大惊小怪气焰嚣张铁面无私刚正不阿。
2. 小学语文三年级上册四字词语大全津津有味恋恋不舍大惊小怪气焰嚣张铁面无私刚正不阿人物动作:沉默不语一动不动不约而同翩翩起舞长途跋涉腾云驾雾异口同声张口结舌七嘴八舌赞不绝口目不转睛爱不释手彬彬有礼交口称赞痛改前非悔过自新博览群书孜孜不倦勤学好问学而不厌坚持不懈业精于勤专心致志聚精会神废寝忘食竭尽全力锲而不舍脚踏实地人物能力:妙笔生花画龙点睛降龙伏虎各显神通聪明能干闻名遐迩滔滔不绝头头是道寓言道理:亡羊补牢南辕北辙惊弓之鸟买椟还珠一举两得受益无穷光阴似箭日月如梭开门见山一目了然大材小用小题大做三长两短七上八下百发百中百步穿杨形态样子:小巧玲珑若隐若现栩栩如生惟妙惟肖数量:成千上万多多益善琳琅满目应有尽有五湖四海家家户户古往今来源源不断零零星星结结实实。
3. 小学语文三年级上册“四字词语”归纳绚丽多彩、高高飘扬、一本正经、引人注目、白发苍苍、缕缕炊烟、满载而归、月落柳梢、惹人喜爱、自言自语、欢蹦乱跳、阳光明媚、凌空飞起、翩翩飞舞、大惊失色、千呼万唤、垂头丧气、灰心丧气、五彩缤纷、你挤我碰、频频点头、争奇斗艳、芬芳迷人、欣然怒放、准确无误、逆风飞行、千里迢迢、不紧不慢、风餐露宿、日夜兼程、风尘仆仆、毫无保留、奔流不息、滋润万物、相互缠绕、回首遥望、双龙戏珠、来来往往、形态各异、远近闻名、黑白相间、轻重倒置、舍近求远、头重脚轻、积少成多、异口同声、左邻右舍、里应外合(语文园地五)风景优美、物产丰富、五光十色、瑰丽无比、相互交错、高低不平、全身披甲、成群结队、各种各样、颜色不一、千奇百怪、四脚朝天、葱葱茏茏、密密层层、严严实实、痛痛快快、仔仔细细、丁丁当当、肥肥壮壮、吵吵闹闹、蹦蹦跳跳、酸甜可口、琳琅满目、应有尽有、物美价廉、一应俱全、举世闻名、夜幕降临、奔流不息、五洲四海、璀璨无比、左抵右挡、难以招架、庞然大物、乱成一团、和睦相处、没精打采、兴高采烈、沉默不语、如愿以偿、彬彬有礼、恋恋不舍、糊里糊涂、摇头晃脑、鸦雀无声、无边无际、。
三年级上册“四字词语”整理(有重复的请忽略)绚丽多彩、高高飘扬、一本正经、引人注目、白发苍苍、缕缕炊烟、满载而归、月落柳梢、惹人喜爱、自言自语、欢蹦乱跳、阳光明媚、凌空飞起、翩翩飞舞、大惊失色、千呼万唤、垂头丧气、灰心丧气、五彩缤纷、你挤我碰、频频点头、争奇斗艳、芬芳迷人、欣然怒放、准确无误、逆风飞行、千里迢迢、不紧不慢、风餐露宿、日夜兼程、风尘仆仆、毫无保留、奔流不息、滋润万物、相互缠绕、回首遥望、双龙戏珠、来来往往、形态各异、远近闻名、黑白相间、轻重倒置、舍近求远、头重脚轻、积少成多、异口同声、左邻右舍、里应外合风景优美、物产丰富、五光十色、瑰丽无比、相互交错、高低不平、全身披甲、成群结队、各种各样、颜色不一、千奇百怪、四脚朝天、葱葱茏茏、密密层层、严严实实、痛痛快快、仔仔细细、丁丁当当、肥肥壮壮、吵吵闹闹、蹦蹦跳跳、酸甜可口、琳琅满目、应有尽有、物美价廉、一应俱全、举世闻名、夜幕降临、奔流不息、五洲四海、璀璨无比、左抵右挡、难以招架、庞然大物、乱成一团、和睦相处、没精打采、兴高采烈、沉默不语、如愿以偿、彬彬有礼、恋恋不舍、糊里糊涂、摇头晃脑、鸦雀无声、无边无际、一本正经、引人注目、白发苍苍、自言自语、手脚并用、惹人注意、随风飘动、严严实实、转来转去、缕缕炊烟、满载而归、月落柳梢、来回跳动、飘飘摇摇、成群结队、惹人喜爱、确确实实、争奇斗艳、挤来挤去、风尘仆仆、阳光明媚、闻鸡起舞、金秋时节、凌空飞起、翩翩起舞、大惊失色、半沉半浮、你挤我碰、频频点头、芬芳迷人、欣然怒放、含笑一现、准确无误、随意调节、学无止境、毫无保留、奔流不息、花草树木、世界闻名、回首遥望、双龙戏珠、名扬中外、形态各异、风景优美、物产丰富、瑰丽无比、高低不平、颜色不一、四脚朝天、酸甜可口、景色诱人、琳琅满目、应有尽有、一应俱全、大饱口福、旅游胜地、举世闻名、夜幕降临、光彩夺目、五洲四海、璀璨无比、令人神往、难以招架、合二为一、大显神威、哇哇直叫、乱成一团、相提并论、和睦相处、没精打采、灰心丧气、狮口逃生、刻舟求剑、一摇一晃、不假思索、沉默不语、如愿以偿、目不转睛、恍然大悟、鸦雀无声、一动不动、欢蹦乱跳、翻来覆去、勤学苦练、千呼万唤、垂头丧气、争奇斗艳、风餐露宿、五光十色、成群结队、千奇百怪、物美价廉、五颜六色、高楼大厦、左抵右挡、蹦来跳去、兴高采烈、摇头晃脑一本正经引人注目白发苍苍自言自语欢蹦乱跳大惊失色千呼万唤垂头丧气争奇斗艳准确无误一摇一晃风尘仆仆奔流不息双龙戏珠风景优美物产丰富五光十色各种各样成群结队千奇百怪四脚朝天合二为一大显神威乱成一团相提并论不假思索兴高采烈丰富多彩绚丽多彩仔细观察汲取力量惹人注目满载而归惹人喜爱阳光明媚四处寻找垂头丧气五彩缤纷鲜花朵朵留心观察芬芳迷人欣然怒放浪费时间光辉灿烂风餐露宿日夜兼程毫无保留缓缓上升滋润万物世界闻名举世闻名形态各异紧急时刻欣赏风景瑰丽无比高楼大厦相互交错高低不平有深有浅名贵药材景色诱人应有尽有物美价廉一应俱全大饱口福旅游胜地夜幕降临五颜六色光彩夺目五洲四海奔流不息风景优美取长补短左抵右挡难以招架庞然大物一层细沙和睦相处精美别致层层波纹灰心丧气刻舟求剑渐渐平息鼓起勇气十分动听兴高采烈沉默不语如愿以偿彬彬有礼恋恋不舍没精打采目不转睛恍然大悟集于一身哇哇直叫危急时刻渐渐变大互相试探AABB 飘飘摇摇祖祖辈辈密密层层清清楚楚痛痛快快严严实实舒舒服服来来往往确确实实花花绿绿高高兴兴快快乐乐ABAB 请教请教商量商量推敲推敲研究研究交流交流学习学习又A又B 又香又脆又松又软又肥又厚又唱又跳又说又笑又松又软不A不B 不紧不慢不慌不忙不知不觉不闻不问不屈不扰不伦不类A来B去穿来穿去转来转去挤来挤去跳来跳去走来走去跑来跑去越A越B 越来越小越变越好越来越快越飞越高越来越近含有反义词黑白相间轻重倒置舍近求远头重脚轻积少成多异口同声左邻右舍里应外合远近闻名。
人教版三年级语文上册成语大全及解释成语在语文学习中起着非常重要的作用,它不仅能够丰富我们的语言表达能力,还能够传递深刻的文化内涵。
在三年级语文上册中,我们将学习到许多有趣且实用的成语。
接下来,我将为大家整理一份人教版三年级语文上册成语大全,并给出相应的解释。
一、爱莫能助āi mò néng zhù解释:想要帮助却无能为力。
二、百发百中bǎi fā bǎi zhòng解释:形容射箭或射击非常准确。
三、百花齐放bǎi huā qí fàng解释:形容各种各样的事物或人才齐集。
四、百年树人bǎi nián shù rén解释:需要长时间培养的人才。
五、百折不挠bǎi zhé bú náo解释:形容意志坚定,不屈不挠。
六、杯弓蛇影bēi gōng shé yǐng解释:形容因多疑而产生无谓的恐惧。
七、闭门羹bì mén gēng解释:比喻被拒之门外。
八、不分青红皂白bù fēn qīng hóng zào bái 解释:不加区别地概括一切。
九、不可开交bù kě kāi jiāo解释:形容死战到底。
十、不可收拾bù kě shōu shí解释:形容情势激烈,无法控制。
十一、不言而喻 bù yán ér yù解释:形容道理显而易见。
十二、沧海一粟cāng hǎi yī sù解释:形容极其渺小。
十三、草木皆兵cǎo mù jiē bīng解释:形容极度恐惧,四处谨慎小心。
十四、插翅难飞chā chì nán fēi解释:比喻做某事非常困难。
十五、春暖花开chūn nuǎn huā kāi解释:形容春天气候温暖,百花盛开。
第一单元绚丽多彩糊里糊涂鸦雀无声一字不漏糊里糊涂争先恐后摇头晃脑披头散发张牙舞爪提心吊胆面红耳赤手忙脚乱眼疾手快口干舌燥沁人心脾第二单元春光明媚忐忑不安摇摇欲坠五彩缤纷五颜六色舒舒服服秋高气爽五谷丰登瓜果飘香春华秋实层林尽染天高云淡果实累累金桂飘香一叶知秋第三单元大吃一惊细嚼慢咽争先恐后七上八下四面八方三言两语自言自语第四单元百发百中百战百胜百依百顺四面八方四通八达四平八稳七上八下七嘴八舌七手八脚眉开眼笑哑然失笑捧腹大笑开怀大笑哄堂大笑喜笑颜开相视而笑匆匆忙忙窗明几亮第五单元一本正经引人注目大惊失色从容不迫心平气和没精打采四季常青第六单元五光十色祖祖辈辈密不透风酸甜可口成群结队来来往往银光闪闪葱葱茏茏密密层层严严实实生机勃勃一帆风顺景色诱人第七单元呢喃细语敲敲打打滴滴答答叮叮咚咚波澜壮阔汹涌澎湃斑斑驳驳恍然大悟蹑手蹑脚一举一动一言一行一朝一夕一心一意一生一世凝神静气噼里啪啦第八单元一摇一晃自言自语当头一棒硝烟滚滚弹片纷飞争分夺秒怒目圆睁目瞪口呆耳闻目睹凉风习习耿耿于怀落落大方经久不息坚持不懈欢蹦乱跳四字词专项练习绚( )多( ) 糊( )糊( ) ( )( )晃脑 ( )( )无声连连( )( )披头( )( ) 张( )( )爪 ( )心( )胆面红( )( ) 手忙( )( ) 眼( )手( ) 口( )舌( ) 五彩( )( ) 舒舒( )( ) 秋高( )( )天( )云( ) 秋风( )( ) 一( )知( ) ( )桂( )香 ( )林( )染五( )丰( ) 果实( )( ) 春( )秋( ) 大( )一( ) 七( )八( ) 四( )八( ) 争( )恐( ) 自( )自( ) 匆匆( )( )百( )百( )( )战( )胜 ( )依( )顺 ( )面( )方( )通( )达 ( )平( )稳 ( )上( )下 ( )嘴( )舌 ( )手( )脚一( )正( ) 引( )注( )风景( )( ) 五( )十( ) 物( )丰( )瑰丽( )( ) 成( )结( ) 各( )各( )( )( )辈辈 ( )( )闪闪葱葱( )( ) 密密( )( ) 严严( )( ) 酸( )可( ) 景( )诱( ) ( )( )澎湃 ( )澜( )阔 ( )( )驳驳噼( )啪( ) ( )然( )悟蹑( )蹑( )( )举( )动欢( )乱( )词语扩展1、表示色彩丰富的词语:绚丽多彩五彩斑斓五彩缤纷五颜六色色彩斑斓五光十色万紫千红2、表示笑的词语:哈哈大笑捧腹大笑笑逐颜开眉开眼笑强颜欢笑抚掌大笑破涕为笑哑然失笑3、含数字的词语:一心一意三心二意四面八方五谷丰登六六大顺七嘴八舌八仙过海九牛一毛十全十美千方百计万紫千红4、含有反义词的词语:左邻右舍左顾右盼大材小用声东击西南征北战异口同声扬长避短生离死别贪生怕死来龙去脉黑白分明凶多吉少大惊小怪起死回生有眼无珠大同小异5、“一…一…”式成语:一举一动一心一意一草一木一唱一和一张一弛6、“…手…脚”式成语:蹑手蹑脚大手大脚笨手笨脚碍手碍脚动手动脚7、“自…自…”式成语:自言自语自说自话自给自足自由自在自作自受自生自灭自私自利自立自强8、ABB式词语:黑洞洞急火火雾蒙蒙热腾腾懒洋洋慢腾腾颤巍巍兴冲冲静悄悄空荡荡乱糟糟闹哄哄孤零零冷清清亮晶晶暖洋洋湿漉漉9、AABC式词语:连连点头频频点头丝丝入扣翩翩起舞窃窃私语落落大方依依不舍恋恋不舍头头是道津津有味10、ABCC式词语:兴致勃勃白发苍苍神采奕奕风尘仆仆想入非非得意洋洋得意扬扬小心翼翼喜气洋洋得意扬扬11、ABAC式词语:再接再厉不屈不挠古色古香惟妙惟肖无影无踪美轮美奂若隐若现相辅相成自言自语半信半疑12、AABB式词语:明明白白多多少少蹦蹦跳跳密密麻麻慌慌张张轻轻松松确确实实郁郁葱葱匆匆忙忙辛辛苦苦13、AABB式拟声词:叮叮咚咚叽叽喳喳淅淅沥沥吱吱嘎嘎14、ABAB式拟声词:咯吱咯吱咿呀咿呀叮咚叮咚咕咚咕咚沙啦沙啦。
L 大青树下的小学晨钟暮鼓:佛教法规,寺庙中晚上打鼓,早晨敲钟。
比方可以使人警觉醒悟的话。
.孤孀老绒:寡妇。
孤孀,单身的遗孀;老绒,老婆,女人。
蜚誉全球:指国内外都很知名气。
绿林英雄:指聚拢山林抵抗封建统治阶级的人们。
旧时也指聚众行劫的群盗股匪。
争奇斗艳:竞相呈现形貌、颜色的奇异、明媚,以比凹凸心服口服服:信服。
心里嘴上都信服。
指真心信服。
装腔作势:有意装出一种腔调,做出一种姿势。
形容有意做作想引人留意或恫吓别人。
乔装装扮:转变服饰,装扮成另外模样,以隐瞒身份。
百读不厌:形容诗文或书籍写得格外好,不管读多少遍也不感到厌倦。
风平浪静:没有风浪,水面很安静,比方安静无事。
停云落月:表示对亲友的思念〔旧时多用在书信里〕。
马虎大意:粗:粗疏。
指做事马虎,不细心。
如影随形:似乎影子老是跟着身体一样,比方两个人常在一起,格外糸密。
叶落归根:树叶从树根生发出来,凋落后最终还是回到树根。
比方事物总有确定的归宿。
多指作客他乡的人最终要回到本乡。
荒无人烟:格外荒凉,没有人家,用以形容一个地方偏僻荒凉。
人烟:指住户、居民,因有炊烟的地方就有人居住。
品箫弄笛:吹奏洞箫和笛子。
指人擅长音乐。
手舞足蹈:两手舞动,两只脚也跳了起来。
形容愉快到了极点。
也指手乱舞、脚乱跳的狂态。
狂风暴雨:指大风大雨。
亦比方猛烈的声势或境况险恶。
赏罚清楚:指该赏的赏,该罚的罚。
形容处理事情清楚明白。
狐假虎威:是先秦时代汉族寓言故事。
假:借。
狐狸借老虎之威吓退百兽。
后以“狐假虎威”来比方仰仗或倚仗别人的权势来欺压、恫吓人。
相互依存:就是双方的存在与进展要以对方的存在与进展为条件,双方互为因果,互为条件,双方都不能离开对方。
各得其所:原指各人都得到满足。
后指每个人或事物都得到恰当的位置或安排。
两小无猜神采飞扬振臂高呼男女小的时候在一起玩耍,天真烂漫,没有猜疑。
形容兴奋得意,精神焕发的样子。
举起手欢呼。
形容格外愉快。
其次单元4.古诗三首春寒料峭:料峭:微寒。
部编人教版三年级上册语文知识点归纳总结第一单元一、易读错的字。
坪坝(bà)汉族(hàn)鲜艳(yàn)打扮(bàn)飘扬(yáng)朗读(lǎng)摔跤(shuāi jiāo) 凤尾竹(fèng)洁白(jié) 荒野(huāng)口笛(dí) 罚站(fá)放假(jià) 衣裳(shang)背诵(sòng) 照例(lì)段落(duàn) 练习(liàn)吓呆(dāi)戒尺(jiè) 挨打(ái) 清楚(chǔ)二、易写错的字晨:上边是扁“日”,下边不要少写一横。
装:上半部分右边是“士”,不是“土”。
荒:中间部分是“亡”,不要多写一点。
舞:共有十四画,第十三笔是竖折。
扬:右面的第一笔是横折折折钩。
要写得左窄右宽。
二、词语听写。
早晨汉族鲜艳服装打扮敬爱国旗敬礼安静树枝好奇孔雀招引粗壮枝干影子停车绒球花阵雨荒野跳舞功课狂风狂欢处罚放假互相能够双臂落下风笛所以猜出扬起急急忙忙四、形近字组词。
晨(早晨) 服(服装) 粗(粗壮)辰(星辰) 报(报纸) 组(小组)扮(打扮) 扬(扬起) 猜(猜测)纷(纷纷) 杨(杨树) 情(情况)荒(荒原) 静(静止) 球(气球)慌(惊慌) 净(干净) 救(求救)五、近反义词及多音字。
近义词:鲜艳——艳丽打扮——装扮绚丽——绚烂敬爱——敬重飘扬—--飘荡安静——寂静湿润——潮湿碰触——碰撞欢快——欢乐一定——肯定流利——流畅霎时——顿时详细——详尽好奇——新奇洁白——雪白轰响——轰鸣狂欢——狂喜突然——忽然觉得——感觉认真——仔细清楚——明白鸦雀无声—悄然无声反义词:安静——热闹古老——年轻粗壮——纤细洁白——乌黑落下——升起润湿——干燥详细——简略清楚——模糊糊里糊涂——明明白白招引——驱赶扬起——放鸦雀无声——人声鼎沸主动——被动认真——马虎多音字:更:gèng(更加) gēng(更换)假:jiǎ(真假) jià(暑假)背:bèi(背诵) bēi(背包)圈:quān(圆圈) juàn(羊圈)六、词语积累。
四字成语
一:绚丽多彩
二:一本正经引人注目
三:白发苍苍
四:惹人注意满载而归
五:来回跳动惹人喜爱自言自语欢蹦乱跳六:阳光明媚
七:严严实实转来转去
十:凌空飞起翩翩飞舞大惊失色千呼万唤垂头丧气
十一:五彩缤纷频频点头舒舒服服
十三:鲜花朵朵争奇斗艳芬芳迷人欣然怒放十四:四面飞散准确无误确确实实
十五:挤来挤去千里迢迢不紧不慢
十七:风餐露宿日夜兼程风尘仆仆毫无保留十八:奔流不息花草树木滋润万物
十九:世界闻名相互缠绕回首遥望双龙戏珠20:名扬中外来来往往形态各异清清楚楚22:风景优美物产丰富五光十色瑰丽无比相互交错高低不平有深有浅各种各样
成群结队穿来穿去飘飘摇摇颜色不一
千奇百怪四脚朝天祖祖辈辈
23:葱葱茏茏密密层层严严实实各种各样酸甜可口又香又脆空中飞舞又松又软
北风呼呼又肥又厚
24:琳琅满目一应俱全举世闻名五颜六色奔流不息五洲四海璀璨无比
25:左抵右挡合二为一庞然大物哇哇直叫乱成一团集于一身
27:互相碰撞相提并论和睦相处翻来覆去28:痛痛快快精美别致蹦来跳去灰头丧气29:一摇一晃渐渐平息十分动听
30:不假思索
31:兴高采烈沉默不语如愿以偿
32:彬彬有礼恋恋不舍。
部编人教版语文三年级上册语文成语积累课内:
绚丽多彩高高飘扬急急忙忙咿咿呀呀糊里糊涂摇头晃脑鸦雀无声一字不漏披头散发张牙舞爪提心吊胆面XXX手忙脚乱眼疾手快口干舌燥闪闪发光五彩缤纷你挤我碰频频点头舒舒服服春光明媚秋高气爽
果实累累
蹭来蹭去
美味可口
七嘴八舌
淡妆浓抹
穿来穿去
密密层层
滴滴答答
斑斑驳驳
欢蹦乱跳
严严实实
课外:
人山人海
花红柳绿
天高云淡XXX
争先恐后哈哈大笑七手八脚风景优美祖祖辈辈又香又脆叮叮咚咚噼里啪啦气焰猖狂来来往往争先恐后草船借箭秋风
走来走去七上八下百发百中一本正经物产丰富
五光十色
又肥又厚
澎湃XXX
恍然大悟
硝烟滚滚
天崩地裂
火眼金睛
一叶知秋金桂飘香层林尽染五谷丰收跑来跑去吱吱嘎嘎细嚼慢咽大吃一惊四面八方吱吱呀呀匆匆忙忙引人讨厌百战百胜百依百顺四通八达四平八稳引人注目四季常绿又酸又甜又酸又软互相交错高低不平各种各样成群结队银光闪闪咯吱咯吱密不透风葱葱茏茏景色诱人悄悄柔柔呢喃细语敲敲打打波澜壮阔叽叽喳喳凝神静气晃来晃去爬来爬去蹑手蹑脚惹人喜爱自言自语分秒必争目瞪口呆瞋目圆睁耳濡目染五光十色七上八下爱屋及乌
对牛弹琴。
最新]部编版三年级语文上册:3上四字词语汇总.doc三年级语文上册四字词第1课绚丽多彩这一课的主题是色彩,我们可以使用诸如“五彩斑斓”、“色彩斑斓”、“五光十色”、“万紫千红”等词语来描述这种绚丽多彩的感觉。
第3课糊里糊涂,摇头晃脑,鸦雀无声,连连点头这一课描述了人们的各种情感和动作,包括糊里糊涂、摇头晃脑、鸦雀无声、连连点头等。
我们可以使用诸如“手忙脚乱”、“口干舌燥”等词语来描述这些情感和动作。
第6课五彩缤纷,舒舒服服这一课的主题是感觉,我们可以使用诸如“五彩缤纷”、“舒舒服服”等词语来描述这种感觉。
第10课大吃一惊这一课描述了人们的惊讶和震撼,我们可以使用诸如“大吃一惊”等词语来描述这种情感。
第11课七上八下,四面八方,争先恐后这一课描述了人们的竞争和追求,包括七上八下、四面八方、争先恐后等。
我们可以使用诸如“四通八达”、“百战百胜”等词语来描述这些情感和动作。
第12课自言自语这一课描述了人们的自言自语和内心独白,我们可以使用诸如“自说自话”、“自由自在”等词语来描述这种情感。
第13课匆匆忙忙这一课描述了人们的匆忙和忙碌,我们可以使用诸如“手忙脚乱”、“赶快赶快”等词语来描述这种情感。
第15课百发百中这一课描述了人们的成功和胜利,我们可以使用诸如“百发百中”等词语来描述这种情感。
第16课一本正经,引人注目,风景优美,物产丰富这一课的主题是自然和文化,我们可以使用诸如“景色诱人”、“瑰丽无比”、“成群结队”等词语来描述这种感觉。
第19课银光闪闪这一课的主题是闪光和反射,我们可以使用诸如“银光闪闪”等词语来描述这种感觉。
第20课葱葱茏茏,密密层层,严严实实,酸甜可口,景色诱人这一课的主题是自然和美食,我们可以使用诸如“汹涌澎湃”、“波澜壮阔”等词语来描述这种感觉。
第23课斑斑驳驳,噼里啪啦,恍然大悟,蹑手蹑脚,一举一动这一课描述了人们的行动和思考,包括斑斑驳驳、噼里啪啦、恍然大悟、蹑手蹑脚、一举一动等。
三年级上册“四字词语”整理(有重复的请忽略)绚丽多彩、高高飘扬、一本正经、引人注目、白发苍苍、缕缕炊烟、满载而归、月落柳梢、惹人喜爱、自言自语、欢蹦乱跳、阳光明媚、凌空飞起、翩翩飞舞、大惊失色、千呼万唤、垂头丧气、灰心丧气、五彩缤纷、你挤我碰、频频点头、争奇斗艳、芬芳迷人、欣然怒放、准确无误、逆风飞行、千里迢迢、不紧不慢、风餐露宿、日夜兼程、风尘仆仆、毫无保留、奔流不息、滋润万物、相互缠绕、回首遥望、双龙戏珠、来来往往、形态各异、远近闻名、黑白相间、轻重倒置、舍近求远、头重脚轻、积少成多、异口同声、左邻右舍、里应外合风景优美、物产丰富、五光十色、瑰丽无比、相互交错、高低不平、全身披甲、成群结队、各种各样、颜色不一、千奇百怪、四脚朝天、葱葱茏茏、密密层层、严严实实、痛痛快快、仔仔细细、丁丁当当、肥肥壮壮、吵吵闹闹、蹦蹦跳跳、酸甜可口、琳琅满目、应有尽有、物美价廉、一应俱全、举世闻名、夜幕降临、奔流不息、五洲四海、璀璨无比、左抵右挡、难以招架、庞然大物、乱成一团、和睦相处、没精打采、兴高采烈、沉默不语、如愿以偿、彬彬有礼、手脚并用、恋恋不舍、糊里糊涂、摇头晃脑、鸦雀无声、无边无际、一本正经、引人注目、白发苍苍、自言自语、惹人注意、随风飘动、严严实实、转来转去、缕缕炊烟、满载而归、月落柳梢、来回跳动、飘飘摇摇、成群结队、惹人喜爱、确确实实、争奇斗艳、挤来挤去、风尘仆仆、阳光明媚、闻鸡起舞、金秋时节、凌空飞起、翩翩起舞、大惊失色、半沉半浮、你挤我碰、频频点头、芬芳迷人、欣然怒放、含笑一现、准确无误、随意调节、学无止境、毫无保留、奔流不息、花草树木、世界闻名、回首遥望、双龙戏珠、名扬中外、形态各异、风景优美、物产丰富、瑰丽无比、高低不平、颜色不一、四脚朝天、酸甜可口、景色诱人、琳琅满目、应有尽有、一应俱全、大饱口福、旅游胜地、举世闻名、夜幕降临、光彩夺目、五洲四海、璀璨无比、令人神往、难以招架、合二为一、大显神威、哇哇直叫、乱成一团、相提并论、和睦相处、没精打采、灰心丧气、狮口逃生、刻舟求剑、一摇一晃、不假思索、沉默不语、如愿以偿、目不转睛、恍然大悟、鸦雀无声、一动不动、欢蹦乱跳、翻来覆去、勤学苦练、千呼万唤、垂头丧气、争奇斗艳、风餐露宿、五光十色、成群结队、千奇百怪、物美价廉、五颜六色、高楼大厦、左抵右挡、蹦来跳去、兴高采烈、摇头晃脑一本正经引人注目白发苍苍自言自语欢蹦乱跳大惊失色千呼万唤垂头丧气争奇斗艳准确无误一摇一晃风尘仆仆奔流不息双龙戏珠风景优美物产丰富五光十色各种各样成群结队千奇百怪四脚朝天合二为一大显神威乱成一团相提并论不假思索兴高采烈丰富多彩绚丽多彩仔细观察汲取力量惹人注目满载而归惹人喜爱阳光明媚四处寻找垂头丧气五彩缤纷鲜花朵朵留心观察芬芳迷人欣然怒放浪费时间光辉灿烂风餐露宿日夜兼程毫无保留缓缓上升滋润万物世界闻名举世闻名形态各异紧急时刻欣赏风景瑰丽无比高楼大厦相互交错高低不平有深有浅名贵药材景色诱人应有尽有物美价廉一应俱全大饱口福旅游胜地夜幕降临五颜六色光彩夺目五洲四海奔流不息风景优美取长补短左抵右挡难以招架庞然大物一层细沙和睦相处精美别致层层波纹灰心丧气刻舟求剑渐渐平息鼓起勇气十分动听兴高采烈沉默不语如愿以偿彬彬有礼恋恋不舍没精打采目不转睛恍然大悟集于一身哇哇直叫危急时刻渐渐变大互相试探AABB 飘飘摇摇祖祖辈辈密密层层清清楚楚痛痛快快严严实实舒舒服服来来往往确确实实花花绿绿高高兴兴快快乐乐ABAB 请教请教商量商量推敲推敲研究研究交流交流学习学习又A又B 又香又脆又松又软又肥又厚又唱又跳又说又笑又松又软不A不B 不紧不慢不慌不忙不知不觉不闻不问不屈不扰不伦不类A来B去穿来穿去转来转去挤来挤去跳来跳去走来走去跑来跑去越A越B 越来越小越变越好越来越快越飞越高越来越近含有反义词黑白相间轻重倒置舍近求远头重脚轻积少成多异口同声左邻右舍里应外合远近闻名。
人教部编版三年级语文上册四字词语复习归纳总结
金秋时节春华秋实春种秋收山河壮丽景色宜人天高云淡闻名中外金光闪闪一动不动奇形怪状纷纷出发四海为家各种各样青山绿水无影无踪秀丽神奇怦然心动名胜古迹绿树成荫不由自主川流不息来来往往高楼大厦鲜花盛开风景优美取长补短尺有所短寸有所长坐井观天无边无际拔苗助长一叶障目水到渠成弯弯曲曲自言自语自由自在迫不及待四面八方十全十美二话不说一本正经三心二意六神无主五颜六色五光十色五彩缤纷不好意思百花齐放吞吞吐吐叫苦连天断断续续摇摇摆摆五谷丰登前因后果天南地北七上八下九死一生弃暗投明深入浅出汪洋大海家家户户议论纷纷助人为乐雪中送炭少年儿童成百上千画龙点睛不学无术精卫填海后羿射日宇宙飞船女娲补天嫦娥奔月瓜果飘香引人注目兴致勃勃生机勃勃百花盛开百鸟争鸣秋高气爽丰富多彩不约而同徒劳无功四处张望展翅高飞叽叽喳喳指手画脚秋收冬藏叠翠流金和蔼可亲一心一意相得益彰天高云淡十年树木百年树人树木茂盛议论纷纷不约而同引人注目金光闪闪风景优美八仙过海暗中观察名山大川蒙蒙细雨点点灯光山清水秀青山绿水山遥路远千家万户千军万马千言万语千秋万代云开雾散冰天雪地鹅毛大雪风雨交加微风习习电闪雷鸣东张西望
信以为真自以为是大摇大摆半信半疑神气活现无影无踪摇头摆尾鸟语花香和风细雨鸡飞狗跳鼠目寸光同心协力先来后到眉开眼笑有眼无珠左顾右盼积少成多声东击西依依不舍彬彬有礼津津有味欣欣向荣心心相印亭亭玉立历历在目井井有条栩栩如生花红柳绿春色满园含苞欲放山穷水尽名山大川烟消云散山高路陡风平浪静狼吞虎咽龙飞凤舞惊弓之鸟漏网之鱼害群之马胆小如鼠如虎添翼如鱼得水。