矩阵的特征值和特征向量 习题
- 格式:ppt
- 大小:809.50 KB
- 文档页数:62
习题六 特征值与特征向量1. 求下列矩阵的特征值和特征向量()()131200012010100⎡⎤⎢⎥-⎣⎦⎡⎤⎢⎥⎢⎥⎢⎥⎣⎦2. 设100212121A ⎡⎤⎢⎥=⎢⎥⎢⎥-⎣⎦求A 的特征值及特征子空间。
3. 设线性变换ϕ在基123,,εεε下的矩阵是320416482A ⎡⎤⎢⎥=--⎢⎥⎢⎥-⎣⎦求的特征值与特征向量。
4. 设A 、B 都是n 阶方阵,且0A ≠,证明AB 与BA 相似。
若0A =,结论如何?5. 已知矩阵74147144A x -⎡⎤⎢⎥=-⎢⎥⎢⎥---⎣⎦的特征值,求x 与A 的特征向量。
6. 证明:(1)若A 是n 阶幂等矩阵(即A 2=A ),则A 的特征值是1或0;(2)若A 是n 阶对合矩阵(即A 2=I ),则A 的特征值是1或-1;(3)反对称实矩阵的特征值为0或纯虚数;(4)n 阶幂零矩阵(A k =0,k 为正整数)只有0为特征值。
7. 设A 的对应于特征值0λ的特征向量为X ,证明: (1) X 是A m 的对应于特征值0m λ的特征向量;(2) 对于多项式()f λ,X 是f(A)的对应于特征值0()f λ的特征向量。
8. 若A 是可逆的,A 、A *、A -1三个矩阵的特征值与特征向量之间的关系如何?9. 设λ是n 阶方阵A 的特征值,证明: (1) 21λλ++是A 2+A+I 的特征值; (2) 若A 可逆,Aλ是A *的一个特征值。
10. 设12,λλ是矩阵A 的两个不同的特征值,12,αα分别是A 的属于12,λλ的特征向量,试证:12αα+不是A 的特征向量。
11. 设 0411100A x y x y ⎡⎤⎢⎥=⎢⎥⎢⎥⎣⎦、是实数 (1) 求A 的特征多项式;(2) 若A 相似于对角阵,求x 、y 应满足何种条件; (3) 若A 正交相似于实对角阵,x 、y 又如何? 12. 设3阶方阵A 的特征值为0,1,-1,对应的特征向量为 X 1=(1,0,0)T , X 2=(1,1,0)T , X 3=(0,1,1)T ,求A 及A 2n 。
特征值与特征向量练习题在线性代数中,特征值与特征向量是重要的概念。
特征值与特征向量的研究对于解决矩阵和线性变换的问题具有重要意义。
本文将为你提供一些特征值与特征向量的练习题,帮助你加深对这些概念的理解。
练习题一:考虑以下矩阵A:A = | 3 4 || 2 1 |问题一:找出矩阵A的特征值和对应的特征向量。
解答一:首先,我们需要找到矩阵A的特征值λ,通过求解矩阵A的特征方程来得到。
特征方程的形式为| A-λI |=0,其中I是单位矩阵。
我们可以写出矩阵A-λI的形式:A-λI = | 3-λ 4 || 2 1-λ |计算行列式并置为零得到特征方程:(3-λ)(1-λ)-(4)(2) = 0展开并整理方程,得到二次方程:λ^2 - 4λ - 5 = 0解方程,得到特征值λ1=5和λ2=-1。
接下来,我们需要找到对应于特征值λ1和λ2的特征向量。
我们可以通过解线性方程组(A-λI)x=0,来得到特征向量。
首先,对于特征值λ1=5,我们可以得到线性方程组:(-2)x1 + 4x2 = 02x1 - 4x2 = 0解方程组,得到x1=2和x2=1。
因此,特征向量v1=(2,1)。
然后,对于特征值λ2=-1,我们可以得到线性方程组:4x1 + 4x2 = 02x1 + 2x2 = 0解方程组,得到x1=-1和x2=1。
因此,特征向量v2=(-1,1)。
练习题二:考虑以下对称矩阵B:B = | 2 -1 || -1 2 |问题二:找出对称矩阵B的特征值和对应的特征向量。
解答二:由于对称矩阵的特征值与特征向量具有一些特殊的性质,我们可以利用这些性质来求解。
首先,我们可以通过求解特征方程来得到矩阵B的特征值。
特征方程的形式为| B-λI |=0,其中I是单位矩阵。
我们可以写出矩阵B-λI的形式:B-λI = | 2-λ -1 || -1 2-λ |计算行列式并置为零得到特征方程:(2-λ)(2-λ)-(-1)(-1) = 0展开并整理方程,得到二次方程:λ^2 - 4λ + 3 = 0解方程,得到特征值λ1=1和λ2=3。
特征值与特征向量练习题特征值和特征向量是线性代数中重要的概念,它们在解决实际问题中有着广泛的应用。
下面是一些关于特征值和特征向量的练习题。
1、设矩阵A的元素如下:2 -3 41 -1 10 1 -2矩阵B为A的平方,求B的特征值和特征向量。
2、设矩阵A的元素如下:1 2 34 5 67 8 9矩阵B为A的平方,求B的特征值和特征向量。
3、设矩阵A的元素如下:2 1 00 2 10 0 2矩阵B为A的平方,求B的特征值和特征向量。
4、设矩阵A的元素如下:csharp1 0 00 2 -10 -1 2矩阵B为A的平方,求B的特征值和特征向量。
5、设矩阵A的元素如下:lua1 0 0 00 2 -1 -10 -1 2 -10 -1 -1 2矩阵B为A的平方,求B的特征值和特征向量。
特征值与特征向量特征值和特征向量是线性代数中两个非常重要的概念,它们在许多数学领域中都有广泛的应用,包括解决线性方程组、研究矩阵的性质、以及在机器学习和数据科学中等。
一、特征值特征值是矩阵的一个重要属性,它可以通过对矩阵进行特定的数学操作来得到。
对于一个给定的矩阵A,如果存在一个非零向量v,使得Av = λv对某个标量λ成立,那么我们就说λ是A的特征值,v是对应于特征值λ的特征向量。
特征值的性质可以通过矩阵的特征多项式来研究。
特征多项式f(x) = |xI - A|,其中I是单位矩阵,A是给定的矩阵。
特征多项式的根就是矩阵的特征值。
二、特征向量特征向量是矩阵对应于特征值的向量。
它与特征值有密切的关系,并且在解决线性代数问题中发挥着重要的作用。
设A是n阶方阵,如果存在非零向量v,使得Av = λv对某个标量λ成立,那么我们就说λ是A的特征值,v是对应于特征值λ的特征向量。
特别地,如果λ是矩阵A的特征值,那么对于任何使得|xI - A|= 0成立的x,我们都有(xI - A)v = xv - Av = (x - λ)v,这表明v 也是对应于x的特征向量。
第五章课后习题及解答1. 求下列矩阵的特征值和特征向量:(1) ;1332⎪⎪⎭⎫⎝⎛-- 解:,07313322=--=--=-λλλλλA I2373,237321-=+=λλ ,001336371237121371⎪⎪⎭⎫ ⎝⎛→→⎪⎪⎭⎫⎝⎛=-++- A I λ 所以,0)(1=-x A I λ的基础解系为:.)371,6(T-因此,A 的属于1λ的所有特征向量为:).0()371,6(11≠-k k T,001336371237123712⎪⎪⎭⎫ ⎝⎛→→⎪⎪⎭⎫⎝⎛-=---+ A I λ 所以,0)(2=-x A I λ的基础解系为:.)371,6(T+因此,A 的属于2λ的所有特征向量为:).0()371,6(22≠+k k T(2) ;211102113⎪⎪⎪⎭⎫ ⎝⎛--解:2)2)(1(21112113--==------=-λλλλλλ A I所以,特征值为:11=λ(单根),22=λ(二重根)⎪⎪⎪⎭⎫ ⎝⎛-→→⎪⎪⎪⎭⎫ ⎝⎛------=-0001100011111121121 A I λ所以,0)(1=-x A I λ的基础解系为:.)1,1,0(T因此,A 的属于1λ的所有特征向量为:).0()1,1,0(11≠k k T⎪⎪⎪⎭⎫ ⎝⎛-→→⎪⎪⎪⎭⎫ ⎝⎛-----=-0001000110111221112 A I λ所以,0)(2=-x A I λ的基础解系为:.)0,1,1(T因此,A 的属于2λ的所有特征向量为:).0()0,1,1(22≠k k T(3) ;311111002⎪⎪⎪⎭⎫ ⎝⎛-解:3)2(31111102-==------=-λλλλλ A I所以,特征值为:21=λ(三重根)⎪⎪⎪⎭⎫⎝⎛-→→⎪⎪⎪⎭⎫ ⎝⎛----=-0000001111111110001 A I λ所以,0)(1=-x A I λ的基础解系为:.)1,0,1(,)0,1,1(TT -因此,A 的属于1λ的所有特征向量为:TT k k )1,0,1()0,1,1(21-+(21,k k 为不全为零的任 意常数)。
习题五1. 求下列矩阵的特征值和特征向量:1)1124-⎛⎫ ⎪⎝⎭;2)123213336⎛⎫ ⎪ ⎪ ⎪⎝⎭;3)001010100⎛⎫ ⎪ ⎪ ⎪⎝⎭;4)310410482⎛⎫⎪-- ⎪ ⎪--⎝⎭。
并说明哪些矩阵可以相似于对角形矩阵。
解:1)11(2)(3)24λλλλ-=----,特征值2,3λ= 。
当2λ=时, 1(1,1)η'=- ,故属于2λ=的特征向量为 11k η(10k ≠)。
当3λ=时 ,2(1,2)η'=- ,故属于3λ=的特征向量为 22k η(20k ≠)。
由于线性无关的特征向量个数为2,故可以对角化。
2)123213(1)(9)336λλλλλλ------=+----,特征值0,1,9λ=- 。
当0λ=时, 1(1,1,1)η'=-- ,故属于0λ=的特征向量为 11k η(10k ≠)。
当1λ=-时, 2(1,1,0)η'=- ,故属于1λ=-的特征向量为 22k η(20k ≠)。
当9λ=时, 3(1,1,2)η'= ,故属于9λ=的特征向量为 33k η(30k ≠)。
由于线性无关的特征向量个数为3,故可以对角化。
3)201010(1)(1)10λλλλλ--=+--,特征值1,1λ=- 。
当1λ=时, 1(0,1,0)η'= ,2(1,0,1)η'=。
故属于1λ=的特征向量为1122k k ηη+(12,k k 不全为零)。
当1λ=-时, 3(1,0,1)η'=- ,故属于1λ=-的特征向量为 33k η(30k ≠)。
由于线性无关的特征向量个数为3,故可以对角化。
4)2310410(1)(2)482λλλλλ--+=-+-+ ,特征值1,2λ=- 。
当1λ=时, 1(3,6,20)η'=- ,故属于1λ=的特征向量为 11k η(10k ≠)。
当2λ=-时, 2(0,0,1)η'= ,故属于2λ=-的特征向量为 22k η(20k ≠)。
第五章 矩阵的特征值与特征向量 习题1. 试用施密特法把下列向量组正交化:(1)⎪⎪⎪⎭⎫ ⎝⎛=931421111) , ,(321a a a ;(2)⎪⎪⎪⎪⎪⎭⎫ ⎝⎛---=011101110111) , ,(321a a a . 2. 设x 为n 维列向量, x T x =1, 令H =E -2xx T , 证明H 是对称的正交阵. 3. 求下列矩阵的特征值和特征向量:(1)⎪⎪⎪⎭⎫ ⎝⎛----201335212; (2)⎪⎪⎪⎭⎫ ⎝⎛633312321.4. 设A 为n 阶矩阵, 证明A T 与A 的特征值相同.5. 设λ≠0是m 阶矩阵A m ⨯n B n ⨯m 的特征值, 证明λ也是n 阶矩阵BA 的特征值.6. 已知3阶矩阵A 的特征值为1, 2, 3, 求|A 3-5A 2+7A |.7. 已知3阶矩阵A 的特征值为1, 2, -3, 求|A *+3A +2E |.8. 设矩阵⎪⎪⎪⎭⎫ ⎝⎛=50413102x A 可相似对角化, 求x .9. 已知p =(1, 1, -1)T 是矩阵⎪⎪⎪⎭⎫ ⎝⎛---=2135212b a A 的一个特征向量.(1)求参数a , b 及特征向量p 所对应的特征值;(2)问A 能不能相似对角化?并说明理由.10. 试求一个正交的相似变换矩阵, 将对称阵⎪⎪⎪⎭⎫ ⎝⎛----020212022化为对角阵.11. 设矩阵⎪⎪⎪⎭⎫ ⎝⎛------=12422421x A 与⎪⎪⎪⎭⎫ ⎝⎛-=Λy 45相似, 求x , y ; 并求一个正交阵P , 使P -1AP =Λ.12. 设3阶方阵A 的特征值为λ1=2, λ2=-2, λ3=1; 对应的特征向量依次为p 1=(0, 1, 1)T , p 2=(1, 1, 1)T , p 3=(1, 1, 0)T , 求A .13. 设3阶对称矩阵A 的特征值λ1=6, λ2=3, λ3=3, 与特征值λ1=6对应的特征向量为p 1=(1, 1, 1)T , 求A .14. 设⎪⎪⎪⎭⎫ ⎝⎛-=340430241A , 求A 100.。
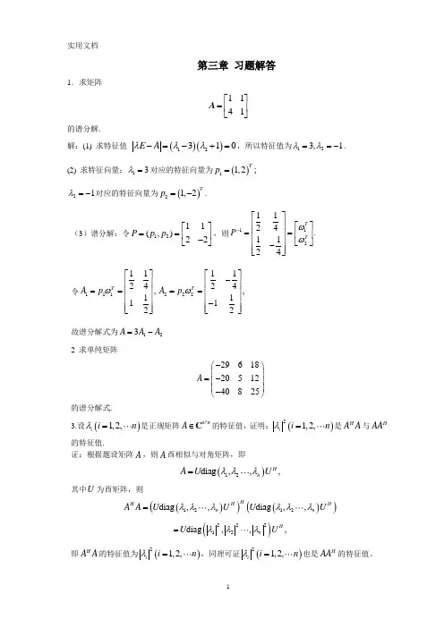
第三章 习题解答1.求矩阵1141⎡⎤=⎢⎥⎣⎦A 的谱分解.解:(1) 求特征值()()12310E A λλλ-=-+=,所以特征值为123,1λλ==-.(2) 求特征向量:13λ=对应的特征向量为()11,2;Tp =21λ=-对应的特征向量为()21,2Tp =-.(3)谱分解:令1211(,)22P p p ⎡⎤==⎢⎥-⎣⎦,则1121124.1124TT P ωω-⎡⎤⎢⎥⎡⎤==⎢⎥⎢⎥⎢⎥⎣⎦-⎢⎥⎣⎦令1111124,112TA p ω⎡⎤⎢⎥==⎢⎥⎢⎥⎢⎥⎣⎦2221124,112T A p ω⎡⎤-⎢⎥==⎢⎥⎢⎥-⎢⎥⎣⎦故谱分解式为123A A A =- 2 求单纯矩阵296182051240825A -⎛⎫⎪=- ⎪ ⎪-⎝⎭的谱分解式.3.设()1,2,i i n λ=是正规矩阵n?n A ∈C 的特征值,证明:()21,2,ii n λ=是H A A 与HAA 的特征值.证:根据题设矩阵A ,则A 酉相似与对角矩阵,即()12diag ,,,H n A U U λλλ=其中U 为酉矩阵,则()()()()1212diag ,,diag ,,HH H H n n A A U U U U λλλλλλ=()22212diag ,,,HnU Uλλλ=即HA A 的特征值为()21,2,ii n λ=,同理可证()21,2,i i n λ=也是H AA 的特征值。
4 设A 是n n ⨯阶的实对称矩阵,并且20,A =你能用几种方法证明0.A =证:(1)设λ是矩阵A 的一个特征值,x 是对应于λ的一个非零特征向量,即,Ax x λ=220,A x x λ==所以20,λ=即0,λ=所以矩阵A 的特征值全为零,又A 酉相似与对角矩阵()12diag ,,,n λλλ所以0.A =(2)设0,A ≠则20,HA A A =≠与题设矛盾,所以结论成立。
5 试证:对于每一个实对称矩阵A ,都存在一个n 阶方阵S ,使3A S =。
5.1 求下列矩阵的特征值和特征向量。
(1)⎥⎦⎤⎢⎣⎡=2321A ;(2)⎥⎥⎥⎦⎤⎢⎢⎢⎣⎡=200121002A ;(3)⎥⎥⎥⎥⎦⎤⎢⎢⎢⎢⎣⎡-=000111011-11-111-11 A 5.2 已知n 阶满秩矩阵A 的n 个特征值n λλλ,,,21及对应的特征向量u n u u ,,,21 ,试求伴随矩阵A *的特征值及对应的特征向量。
5.3 设[]Tn ,,2,1 =α,T A αα=,求A 的特征值和特征向量。
5.4 试证:若AP P B 1-=,0λ是A 的某个特征值,又知g 是A 的属于0λ特征向量,则g P 1-是B 的属于0λ的特征向量。
5.5 已知三阶矩阵⎥⎥⎥⎥⎥⎥⎥⎥⎦⎤⎢⎢⎢⎢⎢⎢⎢⎢⎣⎡---=a c b c aA 01351的行列式为-1,且与A 对应的伴随矩阵*A 有一个特征向量[]T 1,1,1--,求a,b,c 的值。
5.6 设矩阵A 满足A 2=A (称这样的A 为幂等阵),试证:(1) A 的特征值只能是1或0;(2) A+2I 必为满秩阵。
5.7 设三阶矩阵A 的特征值为1,-1,2,求:(1) B=I A A 342+-的特征值;(2)B ;(3)I A 5-。
5.8 已知三阶矩阵A 的三个特征值为1,2,3。
(1)求矩阵⎥⎥⎦⎤⎢⎢⎣⎡=-*1)2(A A B 的特征值; (2)求B ;(3)算332211A A A ++的值。
5.9 设21,ηη分别是矩阵A 属于不同特征值21,λλ的特征向量,试证21ηη+不是A 的特征向量。
5.10 问下列矩阵能否与对角矩阵相似?为什么?(1)⎥⎥⎥⎦⎤⎢⎢⎢⎣⎡101010101;(2)⎥⎥⎥⎦⎤⎢⎢⎢⎣⎡--301121402;(3)⎥⎥⎥⎦⎤⎢⎢⎢⎣⎡----284014013; 5.11 已知⎥⎥⎥⎦⎤⎢⎢⎢⎣⎡-=11322002a A , ⎥⎥⎥⎦⎤⎢⎢⎢⎣⎡-=b B 00020001 若已知A 与B 相似,试求a ,b 的值及矩阵P ,使得B AP P =-1。
考研数学一(矩阵的特征值与特征向量)-试卷1(总分:76.00,做题时间:90分钟)一、选择题(总题数:7,分数:14.00)1.选择题下列每题给出的四个选项中,只有一个选项符合题目要求。
(分数:2.00)__________________________________________________________________________________________ 解析:2.设A为n阶可逆矩阵,λ是A的一个特征值,则伴随矩阵A *的一个特征值是(分数:2.00)A.λ-1|A|n-1.B.λ-1|A|.√C.λ|A|.D.λ|A|n-1.解析:解析:如Aα=λα,则A -1α.故选(B).3.设A=2是可逆矩阵A的一个特征值,则+E(分数:2.00)A.B.C. √D.解析:解析:如Aα=λα,则+1)α.当λ=2(C).4.设A是3阶不可逆矩阵,α1,α2是Ax=0的基础解系,α3是属于特征值λ=1的特征向量,下列不是A的特征向量的是(分数:2.00)A.α1 +3α2.B.α1一α2.C.α1 +α3.√D.2α3.解析:解析:如Aα1 =λα1,Aα2 =λα2,则 A(k 1α1 +k 2α2 )=k 1 Aα1 +k 2 Aα2 =k 1λα1 +k 2λα2 =λ(k 1α1 +k 2α2 ).因此k 1α1 +k 2α2是A的特征向量,所以(A)、(B)、(D)均正确.设Aβ1 =λβ1,Aβ2 =μβ2,λ≠μ,若A(β1 +β2 )=k(β1 +β2 ),则λβ1 +μβ2 =kβ1 +kβ2.即有 (λ-k)β1 +(μ—k)β2 =0.因为λ—k,μ一k不全为0,与β1,β2是不同特征值的特征向量线性无关相矛盾.从而α1 +α3不是A的特征向量.故应选(C).5.设α0是A属于特征值λ0的特征向量,则α0不一定是其特征向量的矩阵是(分数:2.00)A.(A+E) 2.B.一2A.C.A T.√D.A *.解析:解析:由|λE一A T|=|(λE—A) T|=|λE一A|,知A与A T有相同的特征值,但方程组(AE—A)x=0与(AE—A T )x=0不一定同解,故A与A T特征向量不一定相同.故应选(C).6.(分数:2.00)A.B.C.D. √解析:解析:(A)是实对称矩阵,(C)有3个不同的特征值,均可对角化.(B)和(D)特征值都是0,0,3.在(B)中,n一r(0E—A)=2,说明λ=0有2个线性无关的特征向量.故可以相似对角化.在(D)中,n—r(0E—A)=1,说明λ=0只有1个线性无关的特征向量.因此不能相似对角化.故应选(D).7.设A是n阶非零矩阵,A m =0,下列命题中不一定正确的是(分数:2.00)A.A的特征值只有零.B.A必不能对角化.C.E+A+A 2+…+A m-1必可逆.D.A只有一个线性无关的特征向量.√解析:解析:设Aα=λα,α≠0,则A mα=λmα=0.故λ=0.(A)正确.因为A≠0,r(A)≥1,那么Ax=0的基础解系有n—r(A)个解,即λ=0有n—r(A)个线性无关的特征向量.故(B)正确,而(D)不一定正确.由(E一A)(E+A+A 2+…+A m-1 )=E一A m =E,知(C)正确.故应选(D).二、填空题(总题数:9,分数:18.00)8.设A是n阶矩阵,r(A)<n,则A必有特征值 1,且其重数至少是 2.(分数:2.00)填空项1:__________________ (正确答案:正确答案:λ=0)填空项1:__________________ (正确答案:n—r(A))解析:解析:r(A)<n |A|=0 λ=0必是A的特征值.由r(A)<有非0解.设η1,η2,…,ηn-r(A)是Ax=0的基础解系,则Aηj=0=0ηj,即λ=0是矩阵A的特征值,ηj(j=1,2,…,n—r(A))是λ=0的特征向量.因此λ=0有n—r(A)个线性无关的特征向量.从而λ=0至少是矩阵A的n—r(A)重特征值.注意:k重特征值至多有k个线性无关的特征向量.9.设A是n阶可逆矩阵,A是A的特征值,则(A * ) 2 +E必有特征值 1.(分数:2.00)填空项1:__________________ (正确答案:正确答案:[*])解析:解析:A的特征值为λ(A * ) 2 +E的特征值为.10.已知-2是x= 1.(分数:2.00)填空项1:__________________ (正确答案:正确答案:—4)解析:解析:因为-2是矩阵A11.设A是秩为2的3阶实对称矩阵,且A 2 +5A=0,则A的特征值是 1.(分数:2.00)填空项1:__________________ (正确答案:正确答案:-5,-5,0)解析:解析:因为A是实对称矩阵,故A~=2.设Aα=λα(α≠0)由A 2+5A=0得λ2+5λ=0.因此A的特征值为0或-5.从而A~.所以矩阵A的特征值是:-5,-5,0.12.已知α=(1,1,一1) T是矩阵x= 1.(分数:2.00)填空项1:__________________ (正确答案:正确答案:4)解析:解析:设Aα=λα,即,亦即13.设A是3阶矩阵,且各行元素之和都是5,则A必有特征向量 1.(分数:2.00)填空项1:__________________ (正确答案:正确答案:[*])解析:解析:因为各行元素之和都是5,即亦即从而A.所以矩阵A14.设A是3阶实对称矩阵,特征值是0,1,2.如果λ=0与λ=1的特征向量分别是α1=(1,2,1) T与α2 =(1,一1,1) T,则λ=2的特征向量是 1.(分数:2.00)填空项1:__________________ (正确答案:正确答案:t(一1,0,1) T)解析:解析:设λ=2的特征向量是α=(x 1,x 2,x 3 ),则因实对称矩阵不同特征值的特征向量相互正交,故有所以λ=2的特征向量是t(一1,0,1) T,t≠0.15.已知x= 1,y= 2.(分数:2.00)填空项1:__________________ (正确答案:正确答案:0)填空项1:__________________ (正确答案:1)解析:解析:由A~B,知∑a ii=∑b ii且一1是A的特征值,即16.已知矩阵a= 1.(分数:2.00)填空项1:__________________ (正确答案:正确答案:-1)解析:解析:由A的特征多项式知矩阵A的特征值是λ=-1(三重根),因为A只有2个线性无关的从而a=-1.三、解答题(总题数:22,分数:44.00)17.解答题解答应写出文字说明、证明过程或演算步骤。
第3章 特征值和特征向量 练习题1、设非奇异矩阵 A 的一个特征值为 λ = 2,试求出 1231-⎪⎭⎫⎝⎛A 的一个特征值。
( 3 / 4 )2、设矩阵 ⎪⎪⎪⎭⎫⎝⎛=20203020x A 的一个特征值 λ1 = 0,求 x 值和 A 的全部特征值。
(2;0、3、4)3、设矩阵 ⎪⎪⎪⎭⎫ ⎝⎛-=20020y y x A 的一个特征值为-3,且A 的三个特征值之积为 -12,确定 x 和 y 的值。
( 1 ; 2 或 -2 )4、设矩阵⎪⎪⎪⎭⎫⎝⎛=a A 11121112 可逆,向量 β = ( 1 , b , 1 )T 是矩阵 A 的逆矩阵 A -1 的一个特征向量,λ 是 β 所属的特征值,试求 a 、b 和 λ 的值 .( a = 2 ,b = 1 ,λ = 1 / 4 或 a = 2 ,b = -2 ,λ = 1 )5、设三阶方阵 A 的一个特征值为 1 / 9,与其对应的特征向量 α = ( 1 , 1 , 1 )T ,求方阵 A 的 9 个元素之和。
( 1 / 3 )6、设 n 阶方阵 A 有 n 个特征值 0,1,2,…,n - 1,且方阵 B 与 A 相似,求 | B+E | 。
( n! )7、设向量 α = ( 1 , 0 , - 1 ) T ,矩阵 A = α αT ,若 n 为正整数,计算行列式 det ( a E - A n ) 的值 。
( a 2 ( a - 2n ) )8、设 3 阶实对称矩阵 A 的秩 r ( A ) = 2,且满足 A 2 = 2 A ,求行列式 | 4 E - A | 的值。
(16)9、设 A 是2阶实对称矩阵,且满足 A 2 + A - 6 E = O ,其中 E 是2阶单位矩阵,求行列式det A 和 det ( A* - 2E ) 的值。
( 9 或 4 或 - 6 ;25 或 0 )10、设 ⎪⎪⎪⎭⎫⎝⎛=0101010y x A 有三个线性无关的特征向量(可以相似对角化),求 x 、y 应满足的条件。
求矩阵的特征值和特征向量例题一、背景特征值和特征向量是矩阵理论中的重要概念,它们是描述矩阵特性的两个重要参数,在数学、物理、工程等领域有着广泛的应用。
本例题将介绍如何求矩阵的特征值和特征向量,并通过例题加深对相关概念和方法的理解。
二、方法求矩阵的特征值和特征向量的方法主要有两种:特征多项式法和特征向量法。
1.特征多项式法:通过求解矩阵的行列式,得到其特征多项式,进而求得特征值,再通过解特征方程得到特征向量。
这种方法适用于求解特征值不重合且特征向量个数等于矩阵阶数的情况。
2.特征向量法:通过求解矩阵与向量间的关系,得到特征向量。
这种方法适用于求解任意矩阵的特征值和特征向量。
三、例题解析【例1】已知矩阵A=1-120求它的特征值和特征向量。
解法1:特征多项式为f(λ)=|-λ-A|=0,即:(-λ-1)(λ²+3λ+2)=0解得:λ1=1,λ2=-2由于λ2=-2是重根,只需解方程|A-2E|=0得一个特征向量。
得:(-2-ξ)ξ²-4ξ+1=0,解得:ξ=1或ξ=0.5当ξ=0.5时,λ=λ¹=1时,A-2E的行列式为0,所以舍去。
所以特征值为λ¹=1,λ₂=-2,对应的特征向量为(1,-1,0)T和(0,2,1)T。
解法2:设Aξ=λξ,代入数据得:(-1,-ξ)×(ξ²-3ξ-2)=0,解得:ξ=1或ξ=-2当ξ=-2时,λ¹=1时,A-2E的行列式为0,所以舍去。
所以特征值为λ₁=1,λ₂=-2,对应的特征向量为(ξ₁,-ξ₁,0)T和(0,ξ₂,ξ₂)T。
【例2】设三阶矩阵A=3-45-6-389求它的特征值及对应的特征向量。
根据矩阵的特征多项式F(x)=|3xI-A|=0,得到6x³+5x²-5x+7=0.分解因式得:x²(x+1)(x-7)=0.解得x₁=-1,x₂=x₃=7.分别代入F(x)=0中可得矩阵A的三个特征值为λ₁=-1,λ₂=7,λ₃=7.当λ₁=-1时,对应的一个基础解系为(4,-6,5)T;当λ₂=7时,因为矩阵的阶数大于零且特征值所对角线上的元素不可能全为零(它还有第二个特征值λ₃≠0),因此至少有两个相同的非零特征向量可以分别求出对应于λ₁=-1和λ₂=7的线性无关的特征向量,记这两个向量分别为α₁和α₂,令(Aα₁-α₂,α₂)=5≠0,(Aα₃-α₃,α₃)=3≠0,即可求出这两个非零特征向量的分量分别为(-9/7,-8/7,5),(-9/4,-3,6)于是A的属于不同特征值的特征向量互相线性无关,因此就得到了三个线性无关的特征向量:α₁=(4,-6,5)T,α₂=(-9/7,-8/7,5)T,α₃=(-9/4,-3,6)T.四、总结求矩阵的特征值和特征向量的方法有多种,需要根据具体情况选择合适的方法。