2014年全国一本、二本大学最新排名
- 格式:doc
- 大小:71.00 KB
- 文档页数:5
139上海外国语大学上海语文 2.530.72 1.87 140上海中医药大学上海医药 2.48 3.72 1.89 141湖南农业大学湖南农林 2.45 2.55 2.96 142武汉科技大学湖北综合 2.37 2.28 2.88 143青岛大学山东综合 2.33 2.52 2.63 144成都理工大学四川理工 2.32 2.53 1.79 145湖北大学湖北综合 2.3 2.08 2.98 146河南师范大学河南师范 2.29 2.29 2.06 147山东科技大学山东理工 2.28 2.35 2.8 148云南师范大学云南师范 2.25 3.35 1.71 149青岛科技大学山东理工 2.24 2.78 1.72 150南京林业大学江苏林业 2.232 3.03 151青海大学青海综合 2.2 1.940.42 152福建农林大学福建农林 2.15 1.67 3.14 152安徽医科大学安徽医药 2.15 3.04 1.35 154河北师范大学河北师范 2.12 1.53 3.24 155天津工业大学天津理工 1.99 2.97 1.49 156西藏大学西藏综合 1.98 1.420.48 157兰州理工大学甘肃理工 1.97 3.07 1.39 157河北医科大学河北医药 1.97 1.4 2.74 159华侨大学福建综合 1.952 1.66 159兰州交通大学甘肃理工 1.95 2.3 2.11 161长沙理工大学湖南理工 1.94 2.87 1.46 162江西师范大学江西师范 1.89 1.93 2.29 163江西农业大学江西农林 1.88 1.5 1.92 164东北石油大学黑龙江理工 1.86 1.24 2.15 164宁波大学浙江综合 1.86 2.99 1.03 164中北大学山西理工 1.86 2.75 1.41 167河南理工大学河南理工 1.85 2.15 2.02 168天津中医药大学天津医药 1.84 2.16 2.01 168云南农业大学云南农林 1.84 3.02 1.16 170浙江师范大学浙江师范 1.82 2.31 1.82 171江西财经大学江西财经 1.81 1.13 2.81 171南京邮电大学江苏理工 1.81 2.63 1.4 171沈阳药科大学辽宁医药 1.81 1.03 2.21 174辽宁师范大学辽宁师范 1.8 1.26 2.82 175西南石油大学四川理工 1.79 2.21 1.86 176上海理工大学上海理工 1.782 1.97 177浙江理工大学浙江理工 1.77 3.080.82 178温州医学院浙江医药 1.76 3.370.6 178哈尔滨理工大学黑龙江理工 1.76 1.79 2.21 180河南农业大学河南农林 1.74 2.21 1.71 181新疆医科大学新疆医药 1.73 2.57 1.36 182安徽农业大学安徽农林 1.72 1.79 2.08 183河北农业大学河北农林 1.7 1.43 2.43 184南京中医药大学江苏医药 1.69 1.66 2.14184首都经济贸易大学北京财经 1.690.53 3.22 184长春理工大学吉林理工 1.69 1.782 187广东工业大学广东理工 1.68 2.04 1.67 187广州大学广东综合 1.68 2.36 1.09 189成都中医药大学四川医药 1.67 2.06 1.74 190西南科技大学四川理工 1.65 2.730.57 191广西师范大学广西师范 1.62 1.79 1.82 192辽宁工程技术大学辽宁理工 1.590.78 1.99 192南京信息工程大学江苏理工 1.59 1.850.87 194天津财经大学天津财经 1.520.61 2.78 195浙江工商大学浙江财经 1.51 1.93 1.3 195四川师范大学四川师范 1.51 1.28 2.02 195曲阜师范大学山东师范 1.510.78 2.16 198徐州师范大学江苏师范 1.5 1.57 1.36 199哈尔滨师范大学黑龙江师范 1.430.99 2.25 200华东政法大学上海政法 1.420.7 2.38 201广州医学院广东医药 1.41 2.30.8 201广西医科大学广西医药 1.41 1.99 1.2 203杭州师范大学浙江师范 1.4 2.120.93 204沈阳工业大学辽宁理工 1.35 1.52 1.53 205南华大学湖南综合 1.34 1.96 1.07 206杭州电子科技大学浙江理工 1.33 1.89 1.08 206福建医科大学福建医药 1.33 1.44 1.3 206吉林农业大学吉林农林 1.33 1.42 1.6 209山西医科大学山西医药 1.32 1.36 1.59 210济南大学山东综合 1.31 1.77 1.1 211山西农业大学山西农林 1.30.84 1.26 212桂林理工大学广西理工 1.27 2.260.6 213河南工业大学河南理工 1.26 2.010.85 214中南林业科技大学湖南林业 1.24 1.18 1.61 214甘肃农业大学甘肃农林 1.24 1.22 1.59 216安徽理工大学安徽理工 1.23 1.23 1.54 217新疆农业大学新疆农林 1.22 1.67 1.09 217上海海事大学上海理工 1.22 1.25 1.46 219大连医科大学辽宁医药 1.21 1.37 1.35 220西安科技大学陕西理工 1.2 1.08 1.65 221江西理工大学江西理工 1.18 1.07 1.59 221天津科技大学天津理工 1.18 1.44 1.2 223湖南科技大学湖南综合 1.17 1.47 1.16 223内蒙古师范大学内蒙古师范 1.170.67 1.99 225广东外语外贸大学广东语文 1.160.94 1.53 225河南科技大学河南理工 1.16 1.43 1.18 225华东交通大学江西理工 1.16 1.750.89 228山东中医药大学山东医药 1.14 1.19 1.38 229南通大学江苏综合 1.12 1.630.92 230北京语言大学北京语文 1.110.84 1.560.16 0.24 0.73 0.48 2.67 0.56 2.36 0.20.231.72 0.24 7.220.291.41 0.23 0.25 7.120.111.032.18 0.16 0.27 0.31 2.4 2.36 0.63 0.24 0.14 0.12 0.08 0.12 0.58 0.32 2.45 0.11 0.07 0.28 0.39 0.16 0.1 0.18 0.11 0.20.260.351.070.041.25 0.32.37 2.51 0.25 0.60.421.43 1.32 0.11 0.45 0.35 0.1 0.4 0.08 0.12 0.16 0.81 0.08 0.22 0.332.39 0.13 0.06 0.1 0.11 0.11 0.06 0.2 0.1 0.06 0.1 0.18 0.1 0.07 0.52 0.1 0.02 0.06。
人才培养科学研究排名校名总得分得分得分1 北京大学204.98 90.17 114.812 浙江大学200.54 84.18 116.363 清华大学197.07 86.58 110.494 上海交通大学149.19 64.62 84.575 复旦大学131.84 56.68 75.166 南京大学118.8 53.25 65.557 武汉大学112.12 52.97 59.168 四川大学107.63 50.38 57.259 中山大学100.98 45.82 55.1610 山东大学100.64 47.52 53.1311 华中科技大学97.27 46.44 50.8312 哈尔滨工业大学95.19 43.42 51.7713 吉林大学90.01 44.02 45.9914 南开大学83.69 38.79 44.9115 中国科学技术大学76.32 33.91 42.4116 西安交通大学73.16 36.5 36.6517 中南大学71.05 35.77 35.2818 东南大学69.98 35.49 34.4919 中国人民大学68.14 34.41 33.7320 大连理工大学67.91 32 35.921 天津大学66.71 32.84 33.8722 厦门大学63.12 31.86 31.2623 北京师范大学60.52 30.9 29.6224 华南理工大学60.52 29.64 30.8825 同济大学60.38 31.66 28.7326 北京航空航天大学58.31 28.24 30.0727 兰州大学53.34 25.11 28.2328 重庆大学48.04 25.72 22.3229 中国农业大学47.6 21.92 25.6830 西北工业大学47.38 24.93 22.4531 北京理工大学46.99 23.32 23.6732 华东师范大学46.77 23.16 23.6133 湖南大学46.23 24.08 22.1534 华东理工大学43.52 21.23 22.2835 苏州大学41.42 20.66 20.7536 南京航空航天大学40.92 20.27 20.6537 郑州大学37.89 24.16 13.7338 华中师范大学37.55 19.32 18.2339 南京农业大学36.98 18.2 18.7840 电子科技大学36.86 19.84 17.0241 东北大学36.07 20.09 15.9842 西南大学36.02 20.73 15.2943 武汉理工大学35.52 21.32 14.244 上海大学35.4 17.66 17.7445 南京理工大学34.33 17.76 16.5846 东北师范大学33.04 16.84 16.247 江南大学32.23 16.64 15.5848 西安电子科技大学32.19 17.78 14.4149 华中农业大学32.1 18.24 13.8650 西南交通大学28.77 19.54 9.2251 暨南大学28.69 15.03 13.6652 北京科技大学28.33 14.94 13.3953 北京化工大学28.31 14.98 13.3354 东华大学28.31 15.04 13.2655 南京师范大学28.14 15.6 12.5456 北京交通大学27.18 17.69 9.4957 西北农林科技大学27.13 14.54 12.5958 华南师范大学26.9 14.95 11.9559 中国海洋大学26.35 13.99 12.3660 首都医科大学25.62 13.13 12.4861 西北大学24.74 14.23 10.5162 陕西师范大学24.34 13.12 11.2263 江苏大学24.27 13.36 10.9264 哈尔滨工程大学24.05 13.15 10.965 浙江工业大学23.04 12.65 10.3966 河海大学23.01 14 967 南昌大学22.96 14.47 8.568 扬州大学22.67 12.77 9.9169 北京工业大学22.31 12.66 9.6570 河南大学22.29 13.59 8.771 湖南师范大学22.25 12.92 9.3472 南京工业大学21.41 11.2 10.2273 福州大学20.9 11.81 9.0974 华南农业大学20.05 12.73 7.3275 北京邮电大学20.01 12.3 7.7176 合肥工业大学19.83 13.08 6.7577 云南大学19.41 11.8 7.6278 山西大学19.12 11.07 8.0679 燕山大学17.91 9.93 7.9880 湘潭大学17.91 10.69 7.2281 华北电力大学17.89 11.39 6.582 中国矿业大学17.88 11.48 6.483 中国地质大学(武汉)17.77 11.4 6.3784 上海财经大学17.58 10.68 6.985 浙江师范大学17.49 9.38 8.1286 南京医科大学17.45 9.12 8.3287 中国药科大学17.38 9.7 7.6888 中南财经政法大学17.26 11.24 6.0289 黑龙江大学16.68 10.53 6.1590 上海师范大学16.61 8.89 7.7291 宁波大学16.59 9.06 7.5392 河北大学16.58 9.26 7.3293 中国石油大学(华东)16.24 10.39 5.8594 广西大学16.24 10.6 5.6495 首都师范大学16.12 9.98 6.1596 青岛大学16 10.76 5.2397 福建师范大学15.69 9.48 6.2198 西南财经大学15.53 10.9 4.6399 中国医科大学15.33 8.49 6.83 100 安徽大学14.85 9.3 5.55101 山东农业大学14.78 8.93 5.85 102 昆明理工大学14.65 9.24 5.41 103 长安大学14.57 10.02 4.55 104 中国石油大学(北京)14.56 8.33 6.23 105 安徽师范大学14.55 8.35 6.2 106 青岛科技大学14.47 8.39 6.08 107 中国地质大学(北京)14.37 7.8 6.57 108 北京林业大学14.2 8.84 5.36 109 南方医科大学14.19 8.51 5.67 110 哈尔滨医科大学14.18 8.9 5.27 111 太原理工大学14.06 9.4 4.66 112 贵州大学14 10.16 3.83 113 上海理工大学13.83 8.39 5.44 114 重庆医科大学13.81 7.9 5.92 115 河南师范大学13.76 8.37 5.4 116 四川农业大学13.62 8.61 5.01 117 中国传媒大学13.45 8.54 4.91118 东北林业大学13.27 8.43 4.84 119 西北师范大学13.04 7.36 5.68 120 中国政法大学12.76 8.22 4.54 121 深圳大学12.6 8.25 4.35 122 中央财经大学12.5 7.91 4.58 123 浙江理工大学12.41 7.44 4.97 124 南京信息工程大学12.23 7.49 4.74 125 新疆大学12.2 8.3 3.9 126 东北财经大学12.19 8.18 4.01 127 山东师范大学12.15 7.87 4.27 128 对外经济贸易大学12.01 8.1 3.91 129 浙江工商大学11.95 7.3 4.65 130 广东工业大学11.87 9.05 2.83 131 四川师范大学11.85 8.44 3.41 132 沈阳药科大学11.72 6.64 5.08 133 天津医科大学11.64 6.95 4.69 134 天津师范大学11.51 7.52 3.99135 华侨大学11.43 6.97 4.46 136 江苏师范大学11.34 6.08 5.26 137 山东科技大学11.28 8.19 3.1 138 汕头大学11.24 6.55 4.68 139 辽宁大学11.14 7.57 3.57 140 中北大学11.13 8.2 2.92 141 南通大学11.11 6.86 4.25 142 西安理工大学11.09 7.87 3.21 143 南京邮电大学10.91 7.08 3.83 144 河北工业大学10.7 7.03 3.67 145 广东外语外贸大学10.68 6.93 3.75 146 湖北大学10.5 6.7 3.8 147 济南大学10.47 7.16 3.31 148 成都理工大学10.43 6.72 3.7 149 长沙理工大学10.36 7.38 2.99 150 东北农业大学10.31 7.03 3.28。
2014中国大学排行榜(1~100)名次学校名称所在地区类型总分科学研究人才培养综合声誉办学类型、等级和层次办学类型星级排名办学层次1 北京大学北京综合 100 100 100 100 中国研究型6星级中国顶尖大学2 清华大学北京理工 97.80 98.71 96.61 99.26 中国研究型6星级中国顶尖大学3 上海交通大学上海综合 81.08 85.89 78.26 73.66 中国研究型5星级中国一流大学4 复旦大学上海综合 80.92 81.54 81.44 76.23 中国研究型5星级中国一流大学5 武汉大学湖北综合 80.72 82.83 79.41 77.86 中国研究型5星级中国一流大学6 浙江大学浙江综合 80.45 83.41 78.34 77.54 中国研究型5星级中国一流大学7 中国人民大学北京综合 78.71 74.99 81.16 83.38 中国研究型6星级中国顶尖大学8 南京大学江苏综合 78.30 78.29 78.80 76.14 中国研究型5星级中国一流大学9 吉林大学吉林综合 76.03 77.15 76.37 69.97 中国研究型5星级中国一流大学10 中山大学广东综合 75.33 77.28 73.87 73.72 中国研究型5星级中国一流大学11 北京师范大学北京师范 74.35 74.66 74.34 73.11 中国研究型5星级中国一流大学12 华中科技大学湖北理工 74.27 75.99 73.16 72.01 中国研究型5星级中国一流大学13 四川大学四川综合 74.05 75.42 73.48 70.92 中国研究型5星级中国一流大学14 中国科学技术大学安徽理工 72.98 74.17 72.47 70.41 中国研究型5星级中国一流大学15 南开大学天津综合 72.67 72.79 72.86 71.35 中国研究型5星级中国一流大学16 山东大学山东综合 72.58 72.57 72.92 71.14 中国研究型5星级中国一流大学17 中南大学湖南综合 72.28 73.20 71.60 71.53 中国研究型5星级中国一流大学18 西安交通大学陕西综合 72.13 72.28 72.43 70.25 中国研究型5星级中国一流大学19 厦门大学福建综合 71.66 71.95 71.08 73.01 中国研究型5星级中国一流大学20 哈尔滨工业大学黑龙江理工 71.59 71.41 72.04 70.41 中国研究型5星级中国一流大学21 北京航空航天大学北京理工 70.65 72.08 69.37 70.38 中国研究型5星级中国一流大学22 同济大学上海理工 70.14 70.00 69.81 72.16 中国研究型5星级中国一流大学23 天津大学天津理工 70.03 69.99 69.98 70.45 中国研究型5星级中国一流大学24 华东师范大学上海师范 69.90 69.81 69.84 70.58 中国研究型5星级中国一流大学25 东南大学江苏综合 69.69 69.33 69.88 70.32 中国研究型5星级中国一流大学26 中国农业大学北京农林 68.46 67.36 68.99 70.64行业特色研究型5星级中国一流大学27 华南理工大学广东理工 68.38 67.48 68.32 72.34 中国研究型4星级中国高水平大学28 湖南大学湖南综合 67.92 67.09 68.35 69.48 中国研究型4星级中国高水平大学29 西北工业大学陕西理工 67.82 67.71 67.43 69.95 中国研究型4星级中国高水平大学30 大连理工大学辽宁理工 67.81 66.84 68.49 68.87 中国研究型4星级中国高水平大学31 北京协和医学院北京医药 67.58 68.23 66.67 68.87行业特色研究型5星级中国一流大学32 北京理工大学北京理工 67.33 66.28 67.77 69.76 中国研究型4星级中国高水平大学33 重庆大学重庆综合 67.26 66.10 67.66 70.27 中国研究型4星级中国高水平大学34 东北大学辽宁理工 67.00 65.62 67.66 69.79 中国研究型4星级中国高水平大学35 中国矿业大学江苏/北京理工 66.79 66.46 66.59 68.99行业特色研究型4星级中国高水平大学36 华中师范大学湖北师范 66.72 66.30 66.82 68.05行业特色研究型4星级中国高水平大学37 西北大学陕西综合 66.67 66.49 66.81 66.85 区域研究型4星级中国高水平大学38 兰州大学甘肃综合 66.62 64.62 67.92 69.20 中国研究型4星级中国高水平大学39 北京科技大学北京理工 66.45 64.75 67.43 69.15行业特色研究型4星级中国高水平大学40 东北师范大学吉林师范 66.34 64.99 67.00 69.03行业特色研究型4星级中国高水平大学41 华东理工大学上海理工 66.08 65.54 65.98 68.71行业特色研究型4星级中国高水平大学42 电子科技大学四川理工 65.89 64.84 66.12 69.20行业特色研究型4星级中国高水平大学43 长安大学陕西理工 65.84 65.76 66.02 65.36 行业特色研究型4星级中国高水平大学44 中国地质大学湖北/北京理工 65.81 64.19 66.62 68.99行业特色研究型4星级中国高水平大学44 华中农业大学湖北农林 65.81 65.09 66.16 67.23行业特色研究型4星级中国高水平大学46 北京交通大学北京理工 65.44 64.11 65.76 69.48行业特色研究型4星级中国高水平大学47 南京农业大学江苏农林 65.37 63.65 66.21 68.71行业特色研究型4星级中国高水平大学48 中国海洋大学山东综合 65.24 64.07 65.88 67.23行业特色研究型4星级中国高水平大学49 南京理工大学江苏理工 65.22 64.10 65.46 68.71行业特色研究型4星级中国高水平大学50 武汉理工大学湖北理工 65.15 64.13 65.64 67.23行业特色研究型4星级中国高水平大学50 西南大学重庆综合 65.15 63.15 66.45 67.72 区域研究型4星级中国高水平大学52 苏州大学江苏综合 65.14 64.71 65.56 65.09 区域研究型3星级中国知名大学52 西北农林科技大学陕西农林 65.14 64.01 65.79 66.90行业特色研究型4星级中国高水平大学54 南京师范大学江苏师范 65.10 63.66 66.44 65.21区域特色研究型4星级中国高水平大学54 中国石油大学山东/北京理工 65.10 63.43 65.80 68.87行业特色研究型4星级中国高水平大学56 云南大学云南综合 65.06 63.69 65.82 67.34 区域研究型4星级中国高水平大学57 哈尔滨工程大学黑龙江理工 64.90 64.33 64.60 68.54行业特色研究型4星级中国高水平大学58 南京航空航天大学江苏理工 64.85 63.16 65.44 69.22行业特色研究型4星级中国高水平大学58 河海大学江苏理工 64.85 63.45 65.27 68.71 行业特色研究型4星级中国高水平大学60 湖南师范大学湖南师范 64.75 62.99 65.99 66.57 区域研究型3星级中国知名大学61 西南交通大学四川理工 64.73 62.40 66.02 68.71行业特色研究型4星级中国高水平大学62 暨南大学广东综合 64.67 63.64 65.34 66.00 区域研究型3星级中国知名大学63 北京化工大学北京理工 64.57 63.86 64.71 66.90行业特色研究型4星级中国高水平大学64 郑州大学河南综合 64.55 62.46 66.21 65.91 区域研究型3星级中国知名大学65 西安电子科技大学陕西理工 64.50 63.28 65.26 66.19行业特色研究型4星级中国高水平大学66 北京林业大学北京林业 64.48 62.66 65.14 69.05行业特色研究型4星级中国高水平大学67 中国政法大学北京政法 64.35 61.76 65.48 70.04行业特色研究型5星级中国一流大学68 合肥工业大学安徽理工 64.31 62.59 65.28 67.18行业特色研究型3星级中国知名大学69 北京邮电大学北京理工 64.26 63.55 64.36 66.74行业特色研究型4星级中国高水平大学70 华南师范大学广东师范 64.09 62.42 65.40 65.21区域特色研究型3星级中国知名大学71 陕西师范大学陕西师范 64.06 62.67 65.56 63.24区域特色研究型3星级中国知名大学72 中南财经政法大学湖北财经 64.04 62.22 65.48 65.21行业特色研究型5星级中国一流大学74 上海财经大学上海财经 64.02 62.29 64.75 67.89行业特色研究型5星级中国一流大学75 山西大学山西综合 64.01 62.96 65.25 62.96 区域研究型3星级中国知名大学76 北京工业大学北京理工 63.97 62.86 64.83 64.76 区域研究型3星级中国知名大学77 福州大学福建理工 63.96 62.54 64.62 66.90 区域研究型3星级中国知名大学78 南昌大学江西综合 63.94 62.39 64.66 67.13 区域研究型3星级中国知名大学79 首都医科大学北京医药 63.93 64.10 64.52 60.66区域特色研究型4星级中国高水平大学80 中央民族大学北京民族 63.87 61.78 65.08 67.23行业特色研究型4星级中国高水平大学81 江南大学江苏综合 63.78 62.38 64.34 67.06 区域特色研究型3星级中国知名大学82 东华大学上海理工 63.71 62.22 64.84 64.88 行业特色研究型4星级中国高水平大学83 辽宁大学辽宁综合 63.61 61.75 65.14 64.60 区域研究型3星级中国知名大学84 华南农业大学广东农林 63.52 62.87 64.81 60.66区域特色研究型3星级中国知名大学85 太原理工大学山西理工 63.48 62.19 64.39 64.78 区域研究型3星级中国知名大学86 首都师范大学北京师范 63.47 62.44 65.06 60.82区域特色研究型3星级中国知名大学86 新疆大学新疆综合 63.47 61.53 64.52 66.90 区域研究型3星级中国知名大学88 安徽大学安徽综合 63.46 61.84 64.68 64.76 区域研究型3星级中国知名大学89 河南大学河南综合 63.44 62.12 65.01 62.04 区域研究型3星级中国知名大学89 海南大学海南综合 63.44 62.32 63.62 67.23 区域研究型3星级中国知名大学91 华北电力大学北京理工 63.43 62.45 64.13 64.44 专业型3星级中国知名大学92 东北林业大学黑龙江林业 63.42 61.90 64.67 64.27区域特色研究型3星级中国知名大学93 浙江工业大学浙江理工 63.41 63.11 64.29 60.84 专业型3星级中国知名大学93 福建师范大学福建师范 63.41 62.60 64.81 60.66区域特色研究型3星级中国知名大学95 内蒙古大学内蒙古综合 63.40 61.87 64.41 65.26 区域研究型3星级中国知名大学95 中央财经大学北京财经 63.40 60.88 64.26 69.99 专业型4星级中国高水平大学97 西南财经大学四川财经 63.39 61.30 64.97 65.04区域特色研究型4星级中国高水平大学98 深圳大学广东综合 63.37 62.49 64.15 63.63 专业型3星级中国知名大学100 贵州大学贵州综合 63.34 61.88 64.23 65.42 区域研究型3星级中国知名大学2014中国大学排行榜(101~200)名次学校名称所在地区类型总分科学研究人才培养综合声誉办学类型、等级和层次办学类型星级排名办学层次101 北京中医药大学北京医药63.31 62.46 63.81 64.60行业特色研究型4星级中国高水平大学102 湘潭大学湖南综合63.28 62.36 64.46 61.97 区域研究型3星级中国知名大学103 哈尔滨医科大学黑龙江医药63.25 62.49 64.23 62.14区域特色研究型3星级中国知名大学104 黑龙江大学黑龙江综合63.23 61.82 64.86 61.97 区域研究型3星级中国知名大学104 南方医科大学广东医药63.23 62.70 64.36 60.49区域特色研究型4星级中国高水平大学106 宁夏大学宁夏综合63.20 61.96 63.56 66.74 区域研究型3星级中国知名大学107 河北大学河北综合63.19 61.80 64.55 62.96 区域研究型3星级中国知名大学107 南京医科大学江苏医药63.19 62.78 64.24 60.33 专业型3星级中国知名大学109 昆明理工大学云南理工63.18 62.34 64.26 61.97区域研究型3星级中国知名大学110 南京工业大学江苏理工63.14 62.61 64.29 60.33 专业型3星级中国知名大学111 扬州大学江苏综合63.12 62.15 64.64 60.49 专业型3星级中国知名大学112 燕山大学河北理工63.09 62.18 64.26 61.81 区域研究型3星级中国知名大学112 对外经济贸易大学北京财经63.09 61.46 64.17 65.04 专业型4星级中国高水平大学114 中国医科大学辽宁医药63.04 62.30 64.38 60.33区域特色研究型3星级中国知名大学115 浙江师范大学浙江师范63.01 62.17 64.36 60.61 专业型3星级中国知名大学116 河北工业大学河北理工62.98 61.40 63.77 66.03 专业型3星级中国知名大学117 江苏大学江苏综合62.96 62.18 64.32 60.33 专业型3星级中国知名大学117 四川农业大学四川农林62.96 61.53 63.96 64.44区域特色研究型3星级中国知名大学119 东北农业大学黑龙江农林62.94 61.16 63.94 65.91 专业型3星级中国知名大学120 山东师范大学山东师范62.93 61.63 64.69 60.66 专业型3星级中国知名大学121 天津医科大学天津医药62.91 61.37 64.05 64.27 专业型3星级中国知名大学122 西南政法大学重庆政法62.90 61.40 64.82 60.77行业特色研究型4星级中国高水平大学123 上海理工大学上海理工62.83 61.39 64.72 60.56 专业型3星级中国知名大学124 山东农业大学山东农林62.82 61.85 64.31 60.33 专业型3星级中国知名大学125 中国药科大学江苏医药62.81 61.36 63.85 64.27行业特色研究型4星级中国高水平大学126 重庆医科大学重庆医药62.80 61.87 63.86 61.97 专业型3星级中国知名大学127 上海师范大学上海师范62.79 61.51 64.49 60.66 专业型3星级中国知名大学128 北京外国语大学北京语言62.77 60.73 64.16 65.04 专业型5星级中国一流大学129 西北师范大学甘肃师范62.74 61.18 64.40 61.97 专业型3星级中国知名大学130 东北财经大学辽宁财经62.69 61.06 64.77 60.33 专业型4星级中国高水平大学131 安徽师范大学安徽师范62.68 61.12 64.30 62.09 专业型3星级中国知名大学131 湖北大学湖北综合62.68 60.95 64.22 63.07 专业型3星级中国知名大学133 西安建筑科技大学陕西理工62.64 61.47 63.95 61.81 专业型3星级中国知名大学134 延边大学吉林综合62.62 60.58 63.79 65.91 区域研究型3星级中国知名大学135 湖南农业大学湖南农林62.61 61.38 63.93 61.97区域特色研究型3星级中国知名大学136 广州中医药大学广东医药62.59 61.09 63.55 64.55 专业型3星级中国知名大学137 上海中医药大学上海医药62.57 61.80 63.86 60.16 专业型4星级中国高水平大学138 天津师范大天津师范62.56 61.34 64.20 60.49 专业型3星级中国知名学大学139 江西师范大学江西师范62.54 61.24 63.89 61.97 专业型-139 武汉科技大学湖北综合62.54 61.19 63.85 62.41 专业型3星级中国知名大学139 西安理工大学陕西理工62.54 61.28 63.89 61.81 专业型3星级中国知名大学142 大连海事大学辽宁理工62.53 60.63 63.85 64.55 专业型3星级中国知名大学142 西藏大学西藏综合62.53 60.91 63.07 66.74 区域研究型-144 石河子大学新疆综合62.52 61.52 63.44 62.63 专业型-145 福建农林大学福建农林62.50 61.41 64.03 60.33 专业型-146 中北大学山西理工62.49 61.52 63.53 61.92 专业型3星级中国知名大学146 青海大学青海综合62.49 60.81 63.10 66.74 区域研究型-148 山东科技大学山东理工62.46 61.49 63.87 60.33 专业型3星级中国知名大学148 河北师范大学河北师范62.46 60.72 64.22 61.97 专业型3星级中国知名大学150 上海外国语大学上海语言62.44 60.58 63.70 64.60 专业型4星级中国高水平大学151 南京林业大学江苏林业62.41 61.25 63.99 60.33 专业型3星级中国知名大学152 长沙理工大学湖南理工62.39 61.45 63.42 61.81 专业型3星级中国知名大学153 青岛大学山东综合62.38 61.26 63.83 60.66 专业型-154 成都理工大学四川理工62.37 61.17 63.60 61.97 专业型3星级中国知名大学155 河北农业大学河北农林62.36 61.03 63.74 61.81 专业型-156 沈阳农业大学辽宁农林62.35 60.65 64.02 62.04 专业型-156 河南农业大学河南农林62.35 61.21 63.55 61.76 专业型3星级中国知名大学158 西南石油大学四川理工62.34 61.06 63.66 61.81 专业型-159 长春理工大学吉林理工62.33 61.01 63.67 61.92 专业型-159 哈尔滨理工大学黑龙江理工62.33 61.10 63.61 61.81 专业型-161 宁波大学浙江综合62.30 61.68 63.29 60.56 专业型-162 河北医科大学河北医药62.28 60.76 63.83 61.81 专业型3星级中国知名大学163 河南理工大学河南理工62.26 61.03 63.56 61.64 专业型-163 兰州理工大学甘肃理工62.26 61.14 63.43 61.81 专业型-163 河南师范大学河南师范62.26 60.93 63.65 61.64 专业型-166 浙江理工大学浙江理工62.25 61.64 63.25 60.44 专业型-166 内蒙古农业大学内蒙古农林62.25 60.48 64.02 61.81 专业型-168 广西师范大学广西师范62.24 60.83 63.59 62.14 专业型-168 江西财经大学江西财经62.24 60.63 63.76 62.20 专业型3星级中国知名大学168 安徽医科大学安徽医药62.24 61.08 63.43 61.81 专业型3星级中国知名大学168 天津中医药大学天津医药62.24 61.18 63.72 60.16 专业型4星级中国高水平大学172 兰州交通大学甘肃理工62.22 60.84 63.62 61.81 专业型-172 天津工业大学天津理工62.22 61.39 63.45 60.33 专业型-174 青岛科技大学山东理工62.21 61.36 63.45 60.33 专业型-174 云南师范大学云南师范62.21 60.85 63.51 62.14 专业型-176 杭州师范大学浙江师范62.18 61.43 63.28 60.49 专业型-177 首都经济贸易大学北京财经62.17 60.81 63.85 60.49 专业型3星级中国知名大学178 华侨大学福建综合62.16 60.93 63.59 61.00 专业型-178 安徽农业大学安徽农林62.16 60.68 63.64 61.81 专业型-178 四川师范大学四川师范62.16 60.66 63.57 62.14 专业型-181 中南林业科湖南林业62.15 60.76 63.54 61.81 专业型-技大学181 吉林农业大学吉林农林62.15 60.78 63.53 61.81 专业型-183 内蒙古师范大学内蒙古师范62.14 60.45 63.80 61.81 专业型-184 温州医科大学浙江医药62.13 61.47 63.18 60.33 专业型3星级中国知名大学185 南京邮电大学江苏理工62.12 61.20 63.43 60.16 专业型-185 辽宁工程技术大学辽宁理工62.12 60.62 63.65 61.64 专业型-187 辽宁师范大学辽宁师范62.11 60.64 63.96 60.16 专业型-188 沈阳工业大学辽宁理工62.10 61.17 63.42 60.16 专业型-189 华东政法大学上海政法62.09 60.65 63.81 60.49 专业型3星级中国知名大学189 哈尔滨师范大学黑龙江师范62.09 60.72 63.80 60.33 专业型-191 广州大学广东综合62.08 61.11 63.25 60.99 专业型-191 南京中医药大学江苏医药62.08 60.81 63.73 60.16 专业型3星级中国知名大学193 江西农业大学江西农林62.07 60.56 63.56 61.81 专业型-194 汕头大学广东综合62.05 60.93 63.52 60.33 专业型-194 浙江工商大学浙江财经62.05 61.08 63.33 60.44 专业型3星级中国知名大学196 贵州师范大学贵州师范62.02 60.83 63.20 61.81 专业型-197 山西师范大学山西师范62.01 60.53 63.45 61.81 专业型-197 成都中医药大学四川医药62.01 60.83 63.56 60.16 专业型3星级中国知名大学199 长江大学湖北综合62.00 60.63 63.33 61.81 应用型-199 西安科技大学陕西理工62.00 60.55 63.42 61.81 专业型-2014中国大学排行榜(201-300强)名次学校名称所在地区类型总分科学研究人才培养综合声誉办学类型、等级和层次办学类型星级排名办学层次201 云南农业大学云南农林61.99 61.07 63.28 60.16 应用型- -202 安徽理工大学安徽理工61.98 60.54 63.38 61.81 应用型- -202 广东工业大学广东理工61.98 60.76 63.52 60.33 应用型- -202 甘肃农业大学甘肃农林61.98 60.42 63.50 61.81 应用型- -202 北京语言大学北京语言61.98 60.74 63.50 60.49 专业型4星级中国高水平大学206 大连医科大学辽宁医药61.97 60.54 63.36 61.81 应用型- -206 河南工业大学河南理工61.97 60.75 63.20 61.64 应用型- -206 广东外语外贸大学广东语言61.97 60.72 63.49 60.49 专业型3星级中国知名大学206 曲阜师范大学山东师范61.97 60.59 63.69 60.16 应用型- -206 天津财经大学天津财经61.97 60.58 63.70 60.16 应用型- -211 重庆邮电大学重庆理工61.96 60.80 63.09 61.81 应用型- -211 新疆农业大学新疆农林61.96 60.53 63.34 61.81 应用型- -211 湖南科技大学湖南综合61.96 60.97 63.32 60.16 应用型- -211 东北石油大学黑龙江理工61.96 60.73 63.58 60.00 应用型- -211 南京信息工程大学江苏理工61.96 60.93 63.36 60.16 应用型- -216 江苏师范大学江苏师范61.95 60.85 63.36 60.33 应用型- -217 沈阳药科大学辽宁医药61.94 60.50 63.70 60.16 专业型4星级中国高水平大学218 重庆交通大学重庆理工61.93 61.07 63.16 60.16 应用型- -219 济南大学山东综合61.92 60.88 63.28 60.33 应用型 - -219 安徽工业大学安徽理工61.92 60.68 63.15 61.64 应用型- -221 东北电力大学吉林理工61.91 60.60 63.22 61.64 应用型- -221 广州医科大学广东医药61.91 60.99 63.16 60.33 应用型- -223 武汉纺织大学湖北理工61.90 60.71 63.04 61.81 应用型- -224 重庆工商大学重庆财经61.89 60.70 62.99 61.97 应用型- -224 北京工商大学北京财经61.89 60.71 63.30 60.66 应用型- -226 杭州电子科技大学浙江理工61.88 60.85 63.23 60.28 应用型- -227 中南民族大学湖北民族61.87 60.84 63.23 60.16 应用型- -227 广西医科大学广西医药61.87 60.30 63.36 61.81 应用型- -229 烟台大学山东综合61.86 60.79 63.26 60.16 应用型 - - 229 南通大学江苏综合61.86 60.83 63.22 60.16 应用型 - -231 上海海洋大学上海农林61.84 60.79 63.22 60.16 应用型- -231 陕西科技大学陕西理工61.84 60.29 63.31 61.81 应用型- -233 青岛理工大学山东理工61.83 60.78 63.20 60.16 应用型- -233 黑龙江中医药大学黑龙江医药61.83 60.56 63.47 60.00 专业型3星级中国知名大学233 新疆医科大学新疆医药61.83 60.60 63.38 60.16 应用型- -236 天津科技大学天津理工61.82 60.60 63.36 60.16 应用型- -236 西南科技大学四川理工61.82 60.86 63.10 60.16 应用型- -236 新疆师范大学新疆师范61.82 60.39 63.18 61.81 应用型- -239 湖北工业大学湖北理工61.81 60.46 63.08 61.81 应用型- -239 山西医科大学山西医药61.81 60.50 63.44 60.16 应用型- -239 青海民族大学青海民族61.81 60.37 63.22 61.64 应用型- -239 石家庄铁道大学河北理工61.81 60.72 63.26 60.00 应用型- -243 广西民族大广西民族61.80 60.32 63.20 61.81 应用型 - -学243 上海海事大学上海理工61.80 60.55 63.36 60.16 应用型- -243 湖南中医药大学湖南医药61.80 60.68 63.23 60.16 应用型- -246 浙江农林大学浙江林业61.79 60.88 63.02 60.16 应用型- -246 武汉工程大学湖北理工61.79 60.38 63.12 61.81 应用型- -248 温州大学浙江综合61.78 60.59 63.16 60.67 应用型 - - 248 南华大学湖南综合61.78 60.57 63.29 60.16 应用型 - -248 江西理工大学江西理工61.78 60.56 63.32 60.16 应用型- -248 贵阳医学院贵州医药61.78 60.35 63.12 61.81 应用型 - -248 哈尔滨商业大学黑龙江财经61.78 60.31 63.17 61.81 应用型- -253 三峡大学湖北综合61.77 60.74 63.12 60.16 应用型 - -253 重庆师范大学重庆师范61.77 60.56 63.25 60.33 应用型- -253 福建医科大学福建医药61.77 60.50 63.34 60.16 应用型- -253 山西财经大学山西财经61.77 60.29 63.16 61.81 应用型- -253 大连工业大学辽宁理工61.77 60.73 63.12 60.16 应用型- -258 西华大学四川综合61.76 60.17 63.22 61.92 应用型 - -258 沈阳建筑大学辽宁理工61.76 60.27 63.17 61.81 应用型- -258 山东财经大学山东财经61.76 60.68 63.11 60.33 应用型- -258 沈阳师范大学辽宁师范61.76 60.50 63.33 60.16 应用型- -258 山东理工大学山东理工61.76 60.60 63.23 60.16 应用型- -263 景德镇陶瓷学院江西理工61.75 60.75 63.06 60.16 应用型- -264 东华理工大学江西理工61.74 60.63 63.14 60.16 应用型- -264 安徽财经大学安徽财经61.74 60.24 63.14 61.81 应用型- -264 常州大学江苏理工61.74 60.67 62.99 60.66 应用型 - -264 山东中医药大学山东医药61.74 60.42 63.37 60.16 应用型- -268 中国民航大学天津理工61.73 60.62 63.10 60.33 应用型- -268 重庆理工大学重庆理工61.73 60.68 63.00 60.49 应用型- -268 桂林理工大学广西理工61.73 60.70 63.11 60.00 应用型- -268 长春中医药大学吉林医药61.73 60.29 63.11 61.64 应用型- -272 中国计量学院浙江理工61.72 60.76 62.99 60.16 应用型- -272 太原科技大学山西理工61.72 60.57 63.20 60.00 应用型- -274 桂林电子科技大学广西理工61.71 60.59 63.14 60.16 应用型- -274 聊城大学山东综合61.71 60.44 63.26 60.16 应用型 - -276 华北水利水电大学河南理工61.70 60.15 63.18 61.64 应用型- -276 华东交通大学江西理工61.70 60.45 63.23 60.16 应用型- -276 天津理工大学天津理工61.70 60.52 63.17 60.16 应用型- -276 北京建筑大学北京理工61.70 60.66 63.07 60.00 应用型- -276 浙江中医药大学浙江医药61.70 60.50 63.18 60.16 应用型- -281 河南科技大学河南理工61.69 60.41 63.30 60.00 应用型- -281 河北科技大学河北理工61.69 60.32 63.33 60.16 应用型- -283 河北联合大学河北理工61.68 60.40 63.25 60.16 应用型- -284 海南师范大学海南师范61.67 60.56 63.02 60.33 应用型- -284 大连大学辽宁综合61.67 60.53 63.10 60.16 应用型 - -284 河南中医学院河南医药61.67 60.14 63.09 61.81 应用型- -284 云南民族大学云南民族61.67 60.42 63.21 60.16 应用型- -284 吉首大学湖南综合61.67 60.16 63.05 61.81 应用型 - -284 西北政法大学陕西政法61.67 60.22 63.40 60.16 专业型- -290 辽宁中医药大学辽宁医药61.66 60.42 63.18 60.16 应用型- -290 昆明医科大学云南医药61.66 60.08 63.11 61.81 应用型- -290 大连交通大学辽宁理工61.66 60.60 63.06 60.00 应用型- -293 山东建筑大学山东理工61.65 60.48 63.09 60.16 应用型- -293 宁夏医科大学宁夏医药61.65 60.50 63.07 60.16 应用型- -293 青海师范大学青海师范61.65 60.45 63.12 60.16 应用型- -293 山西农业大学山西农林61.65 60.18 63.38 60.16 应用型- -293 西藏民族学院西藏民族61.65 60.25 62.94 61.81 应用型- -293 塔里木大学新疆农林61.65 60.29 62.94 61.64 应用型 - -299 青岛农业大学山东农林61.64 60.43 63.12 60.16 应用型- -300 南昌航空大学江西理工61.62 60.40 63.12 60.16 应用型- -2014中国大学排行榜(301-400强)名次学校名称所在地区类型总分科学研究人才培养综合声誉办学类型、等级和层次办学类型星级排名办学层次300 成都信息工程学院四川理工 61.62 60.14 62.96 61.81 应用型- -300 鲁东大学山东综合 61.62 60.42 63.09 60.16 应用型- - 300 西北民族大学甘肃民族 61.62 60.33 63.18 60.16 应用型- -300 内蒙古科技大学内蒙古综合 61.62 60.30 63.24 60.00 应用型- -300 黑龙江八一农垦大学黑龙江农林 61.62 60.48 63.06 60.00 应用型- -306 西安工业大学陕西理工 61.61 60.37 63.07 60.33 应用型- -306 湖北中医药大学湖北医药 61.61 60.23 63.26 60.16 应用型- -306 江苏科技大学江苏理工 61.61 60.44 63.04 60.16 应用型- - 309 西华师范大学四川师范 61.60 60.21 63.24 60.16 应用型- -309 西安石油大学陕西理工 61.60 60.39 63.08 60.16 应用型- -309 内蒙古工业大学内蒙古理工 61.60 60.21 63.29 60.00 应用型- -309 齐鲁工业大学山东理工 61.60 60.42 63.09 60.00 应用型- - 313 吉林师范大学吉林师范 61.59 60.27 63.20 60.00 应用型- - 313 武汉轻工大学湖北理工 61.59 60.48 62.97 60.16 应用型- - 313 南京财经大学江苏财经 61.59 60.39 63.05 60.16 应用型- -313 广西中医药大学广西医药 61.59 60.06 63.02 61.64 应用型- -313 内蒙古医科大学内蒙古医药 61.59 60.02 63.05 61.64 应用型- -318 吉林化工学院吉林理工 61.58 60.57 62.90 60.00 应用型- - 318 辽宁工业大学辽宁理工 61.58 60.05 63.01 61.64 应用型- - 318 河北经贸大学河北财经 61.58 60.35 63.08 60.16 应用型- - 318 浙江财经大学浙江财经 61.58 60.38 63.05 60.16 应用型- - 318 徐州医学院江苏医药 61.58 60.42 63.05 60.00 应用型- - 323 广东财经大学广东财经 61.57 60.27 63.09 60.33 应用型- - 323 云南财经大学云南财经 61.57 60.21 63.17 60.16 应用型- - 323 辽宁科技大学辽宁理工 61.57 60.19 63.23 60.00 应用型- - 326 集美大学福建综合 61.56 60.26 63.06 60.33 应用型- - 326 天津商业大学天津财经 61.56 60.33 63.05 60.16 应用型- - 326 佳木斯大学黑龙江综合 61.56 60.23 63.18 60.00 应用型- - 329 长春工业大学吉林理工 61.55 60.21 63.15 60.16 应用型- - 329 北方工业大学北京理工 61.55 60.26 63.08 60.16 应用型- -329 福建中医药大学福建医药 61.55 60.31 63.04 60.16 应用型- -329 外交学院北京语言 61.55 60.06 63.20 60.49 专业型4星级中国高水平大学333 绍兴文理学院浙江师范 61.54 60.35 62.98 60.16 应用型- - 333 西安工程大学陕西理工 61.54 60.20 63.14 60.16 应用型- - 333 四川理工学院四川理工 61.54 60.02 62.96 61.64 应用型- - 336 赣南师范学院江西师范 61.53 60.29 63.02 60.16 应用型- - 336 喀什师范学院新疆师范 61.53 60.04 62.91 61.64 应用型- - 338 安徽工程大学安徽理工 61.52 60.13 63.04 60.61 应用型- - 338 临沂大学山东师范 61.52 60.28 62.95 60.44 应用型- - 338 西南民族大学四川民族 61.52 60.47 62.84 60.16 应用型- - 338 西南林业大学云南林业 61.52 60.18 63.06 60.33 应用型- - 338 湖南工业大学湖南理工 61.52 60.19 63.09 60.16 应用型- - 338 泸州医学院四川医药 61.52 60.20 63.08 60.16 应用型- - 338 齐齐哈尔大学黑龙江综合 61.52 60.18 63.13 60.00 应用型- - 345 吉林财经大学吉林财经 61.51 60.18 63.09 60.16 应用型- -345 广东医学院广东医药 61.51 60.31 63.00 60.00 应用型- -345 国际关系学院北京政法 61.51 60.05 63.01 60.99 专业型3星级中国知名大学345 北京信息科技大学北京理工 61.51 60.34 62.92 60.16 应用型- -349 北华大学吉林综合 61.50 60.15 63.13 60.00 应用型- -349 沈阳航空航天大学辽宁理工 61.50 60.24 63.01 60.16 应用型- -349 北京联合大学北京综合 61.50 60.25 62.96 60.33 应用型- -349 安徽中医药大学安徽医药 61.50 60.20 63.03 60.16 应用型- -349 郑州轻工业学院河南理工 61.50 60.13 63.10 60.16 应用型- -349 贵州财经大学贵州财经 61.50 60.23 63.05 60.00 应用型- -349 江西中医药大学江西医药 61.50 60.27 63.01 60.00 应用型- -349 西安外国语大学陕西语言 61.50 60.08 63.07 60.49 专业型3星级中国知名大学357 延安大学陕西综合 61.49 60.04 63.16 60.16 应用型- -357 上海工程技术大学上海理工 61.49 60.23 62.99 60.16 应用型- -357 渤海大学辽宁综合 61.49 60.14 63.10 60.00 应用型- - 357 新疆财经大学新疆财经 61.49 60.24 63.02 60.00 应用型- -357 内蒙古民族大学内蒙古综合 61.49 60.25 63.01 60.00 应用型- -357 北京第二外国语学院北京语言 61.49 60.15 63.03 60.33 专业型3星级中国知名大学363 南京审计学院江苏财经 61.48 60.29 62.91 60.16 应用型- - 363 北京农学院北京农林 61.48 60.26 62.94 60.16 应用型- - 363 浙江海洋学院浙江农林 61.48 60.35 62.90 60.00 应用型- - 363 大连民族学院辽宁民族 61.48 60.29 62.94 60.00 应用型- - 367 苏州科技学院江苏理工 61.47 60.17 63.01 60.16 应用型- - 367 天津城建大学天津理工 61.47 60.25 62.95 60.00 应用型- -367 四川外国语大学重庆语言 61.47 60.04 63.12 60.16 专业型3星级中国知名大学370 上海电力学院上海理工 61.46 60.24 62.96 60.00 应用型-- 370 沈阳大学辽宁综合 61.46 60.14 63.00 60.16 应用型-- 370 广东药学院广东医药 61.46 60.19 62.97 60.16 应用型-- 370 新乡医学院河南医药 61.46 60.12 63.07 60.00 应用型-- 370 辽宁医学院辽宁医药 61.46 60.13 63.06 60.00 应用型-- 370 安徽建筑大学安徽理工 61.46 60.24 62.95 60.00 应用型--376 北京服装学院北京理工 61.45 60.11 62.98 60.33 应用型-- 376 沈阳理工大学辽宁理工 61.45 60.08 63.07 60.00 应用型-- 376 广西师范学院广西师范 61.45 60.09 63.07 60.00 应用型-- 376 遵义医学院贵州医药 61.45 60.12 63.04 60.00 应用型-- 376 潍坊医学院山东医药 61.45 60.09 63.07 60.00 应用型-- 376 北方民族大学宁夏民族 61.45 60.21 62.96 60.00 应用型-- 376 商丘师范学院河南师范 61.45 60.71 62.49 60.00 应用型-- 376 沈阳化工大学辽宁理工 61.45 60.11 63.05 60.00 应用型-- 384 广东海洋大学广东农林 61.44 60.17 62.98 60.00 应用型-- 384 广西科技大学广西理工 61.44 60.14 62.93 60.33 应用型-- 384 泰山医学院山东医药 61.44 60.15 62.99 60.00 应用型-- 384 贵州民族大学贵州民族 61.44 60.21 62.95 60.00 应用型-- 384 淮北师范大学安徽师范 61.44 60.12 63.02 60.00 应用型--384 中国青年政治学院北京政法 61.44 60.13 63.01 60.00 应用型--384 黑龙江科技大学黑龙江理工 61.44 60.11 63.04 60.00 应用型--384 大连外国语大学辽宁语言 61.44 60.11 63.04 60.00 专业型3星级中国知名大学392 中原工学院河南理工 61.43 60.05 63.02 60.16 应用型- - 392 信阳师范学院河南师范 61.43 60.11 63.02 60.00 应用型- - 392 江苏理工学院江苏师范 61.43 60.20 62.89 60.16 应用型- - 392 长春师范大学吉林师范 61.43 60.14 62.93 60.16 应用型- - 392 大连海洋大学辽宁农林 61.43 60.08 62.99 60.16 应用型- - 392 山东工商学院山东财经 61.43 60.18 62.95 60.00 应用型- - 392 河北工程大学河北理工 61.43 60.09 63.02 60.00 应用型- - 392 甘肃政法学院甘肃政法 61.43 60.20 62.93 60.00 应用型- - 392 滨州医学院山东医药 61.43 60.13 62.98 60.00 应用型- -2014中国大学排行榜(401-500强)名次学校名称所在地区类型总分科学研究人才培养综合声誉办学类型、等级和层次办学类型星级排名办学层次392 湖州师范学院浙江师范61.43 60.19 62.94 60.00 应用型- -392 辽宁石油化工大学辽宁理工61.43 60.07 63.04 60.00 应用型- -392 皖南医学院安徽医药61.43 60.08 63.04 60.00 应用型- -392 上海对外经贸大学上海财经61.43 60.13 62.99 60.00 应用型- -392 吉林建筑大学吉林理工61.43 60.15 62.96 60.00 应用型- - 406 天津外国语大天津语言61.42 60.03 63.02 60.16 应用型- -。
2014全国二本大学排名代号院校名称理工类文史类0060 解放军理工大学 5552080 上海师范大学 5412110 武汉科技大学 5172240 江西农业大学 517 5012441 上海工程技术大学 5442442 徐州师范大学 517 5002470 西北师范大学 5182480 河北科技大学 5292490 河北师范大学 517 5002500 长江大学 520 5022510 山西医科大学 517 5002520 山西师范大学 517 5002540 沈阳医学院 5212580 吉林工程技术师范学院 517 500 2630 辽宁师范大学 517 5032650 河南农业大学 5172680 山东经济学院 517 5002740 山东建筑大学 524 5002750 贵州师范大学 517 5002790 首都体育学院 517 506 2820 甘肃中医学院 5172850 贵阳中医学院 517 500 2870 云南农业大学 517 500 2880 昆明医学院 5172910 云南财经大学 530 509 2920 青海大学 517 5002930 青海师范大学 517 500 2940 青海民族学院 517 500 2950 宁夏医学院 5172960 广州大学 5422980 北京建筑工程学院 543 2990 新疆财经大学 517 500 3000 西安科技大学 530 500 3001 内蒙古财经学院 517 500 3002 上海立信会计学院 543 3008 厦门理工学院 535 502 3010 山东科技大学 5403011 金陵科技学院 517 500 3017 南京晓庄学院 517 500 3020 天津农学院 5173030 河南理工大学 517 5003032 山东体育学院 517 5003034 广州医学院 5433036 吉林医药学院 5173042 广东警官学院 517 5003043 云南警官学院 517 5003050 湖南科技大学 528 5063060 黑龙江科技学院 517 5003080 华北煤炭医学院 517 5003090 淮北煤炭师范学院 517 5003110 三峡大学(面向全省) 524 507 三峡大学(面向宜昌市) 519 5043130 西安体育学院 5003140 沈阳体育学院 5173150 成都体育学院 517 5003160 武汉体育学院 517 5003170 西南石油大学 535 5003180 新疆医科大学 5173190 西安石油大学 531 5003200 沈阳化工学院 5203210 江汉大学(面向全省) 527 510 江汉大学(面向武汉市) 517 5033220 青岛科技大学 5393240 武汉工程大学 540 5143260 辽宁科技大学 5173270 安徽工业大学 5173280 内蒙古科技大学 517 5003281 内蒙古科技大学包头医学院 517 3290 青岛理工大学 5203310 成都理工大学 537 5003320 石家庄经济学院 517 5053330 郧阳医学院 517(本地517) 3350 西安理工大学 543 5133360 沈阳工业大学 517 5003370 哈尔滨理工大学 5183390 内蒙古师范大学 517 5003400 兰州理工大学 517 5003410 太原科技大学 517 5003420 北京机械工业学院 5373430 中北大学 517 5003438 太原工业学院 517 5003450 沈阳理工大学 517 5003460 西安工业大学 535 5053470 重庆工学院 523 5003480 杭州电子科技大学 5493490 桂林电子科技大学 534 500 3500 北京信息工程学院 544 500 3510 南华大学 517 5003520 东华理工大学 517 5003530 石河子大学 517 5003540 沈阳航空工业学院 523 500 3550 南昌航空大学 527 5053560 郑州航空工业管理学院 517 500 3580 江苏科技大学 540 5113590 沈阳建筑大学 5273610 福建工程学院 517 5003620 吉林建筑工程学院 517 500 3630 合肥学院 517 5003650 天津科技大学 543 5213651 天津科技大学 519 5003660 北京工商大学 531 5003670 郑州轻工业学院 517 5003680 景德镇陶瓷学院 517 5003690 天津工业大学 530 5003700 西安工程大学 5273720 武汉科技学院 527 5073730 成都医学院 5253740 山东轻工业学院 517 5003750 浙江理工大学 5493780 兰州交通大学 531 5003790 大连交通大学 535 5193810 成都中医药大学 517 5033834 北京师范大学-香港浸会大学联合国际学院 517 502 3860 重庆交通大学 541 5183880 集美大学 542 5213890 南京邮电大学 562 5133920 西安邮电学院 530 5013930 中国民航大学 543 5113940 中国民用航空飞行学院 517 5003950 广西师范大学 526 5003960 宁夏大学 517 5023970 上海水产大学 517 500全国二本大学排名名单2011 全国二本院校排名: 1、首都经济贸易大学 2、大连外国语学院 3、南京邮电大学 4、西北政法大学 5、天津财经大学 6、上海金融学院 7、上海理工大学 8、上海大学 9、上海大学 10、上海立信会计学院 11、天津外国语学院 12、北京工商大学 13、南京财经大学 14、上海政法学院 15、上海电力学院 16、杭州电子科技大学 17、大连医科大学 18、南京工业大学 19、浙江工商大学 20、浙江财经学院 21、四川外语学院 22、北方工业大学 23、扬州大学 24、南京审计学院 25、云南财经大学 26、中国民航大学 27、江西财经大学 28、武汉科技大学 29、北京信息工程学院二本军事学院解放军军事交通学院武警医学院武警工程学院军事经济学院空军雷达学院解放军国际关系学院郑州防空兵学院海军航空工程学院以上仅供参考!!倚窗远眺,目光目光尽处必有一座山,那影影绰绰的黛绿色的影,是春天的颜色。
2014年最新
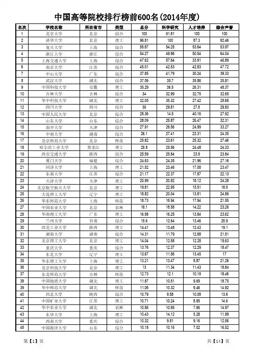
全国一本、二本大学排名2014高考报考自愿
2014年最新
全国一本、二本大学排名2014年最新全国一本大学排名
排名学校名称所在省市类型总分科学研究人才培养综合声誉
1 北京大学北京综合100 91.81 100 100
2 清华大学北京理工96.81 100 87.
3 92.46
3 复旦大学上海综合57.45 53.9
4 57.8 65.15
4 浙江大学浙江综合52.14 51.72 50.
5 52.3
5 南京大学江苏综合45.61 44.64 44.78 46.12
6 上海交通大学上海综合42.84 45.83 36.66 51.18
7 武汉大学湖北综合41.3 42.04 37.91 47.79
8 吉林大学吉林综合37.27 35.06 37.78 39.94
9 中国人民大学北京综合37.24 31.27 36.66 74.24
10 四川大学四川综合32.71 34.47 28.09 42.12
11 华中科技大学湖北理工32.58 34.41 28 41.33
12 中山大学广东综合32.56 32.78 28.15 51.73
13 南开大学天津综合30.29 31.05 25.95 45.73
14 北京师范大学北京师范29.58 29.94 24.71 51.7
15 中国科技大学安徽理工28.34 28.68 25.33 38.42
16 西安交通大学陕西综合28.11 27.25 26.25 39.33
17 中南大学湖南综合28.11 27.05 26.57 38.67
18 哈尔滨工业大学黑龙江理工28.03 27.45 25.89 39.12
19 山东大学山东综合27.9 24.01 29.16 40.15
20 厦门大学福建综合25.57 23.84 23.94 42.18
21 北京航空航天大学北京理工23.14 25.49 17.09 40.48
22 天津大学天津理工22.51 21.6 20.29 37.94
23 同济大学上海理工21.68 17.49 21.52 47.18
24 中国农业大学北京农林21.01 22.34 15.57 42.15
25 华东师范大学上海师范20.73 21.78 17.11 31.94
26 东南大学江苏综合19.2 15.06 20.02 38.42
27 西北工业大学陕西理工18.37 19.68 13.65 35.58
28 大连理工大学辽宁理工17.92 15.53 17.11 35.74。