工程电磁场导论第七章
- 格式:ppt
- 大小:1.75 MB
- 文档页数:35
《电磁场导论》教学大纲课程编号:1950310 课程分类:必修课课程性质:技术基础课学分:3学分总学时:54学时授课学时:54学时实验学时:0学时先修课程:大学物理、高等数学、工程数学(矢量分析与场论、数理方程)使用教材:孟昭敦,《电磁场导论》,北京,中国电力出版社,2004参考教材:冯慈璋马西奎,《工程电磁场导论》,北京,高等教育出版社,2000开课系所:电气学院电工理论与新技术研究所联系电话:8392806课程负责人:梁振光大纲起草人:孟昭敦●课程性质、地位与任务电磁场理论是高等学校工科电气信息类专业的一门重要技术基础课,也是一些交叉学科的生长点和新兴边缘学科的发展基础。
本课程所涉及的内容是合格的电气工程类专业本科生所应具备的知识结构的必要组成部分,是增强学生适应能力和创造能力所必须具备的基本素质。
本课程的主要任务是:在《大学物理》电磁学的基础上,以《工程数学》的矢量分析和场论为工具,进一步研究宏观电磁场的基本规律;培养学生用“场”的观点,定性分析判断电气工程中电磁现象的初步能力;了解定量分析的基本途径,为进一步学习较复杂的电磁场计算方法奠定基础。
通过本课程的逻辑推理,培养学生的正确思维能力和严谨的科学态度。
●教学内容与要求本大纲对理论概念的教学要求分为“了解”、“理解”和“深刻理解”三个层次;对计算技能的教学要求分为“掌握”、“熟练掌握”两个层次。
第一章电磁场的物理基础1-1电荷密度与电流密度(了解电荷密度和电流密度的概念,理解电荷守恒与电流连续性原理)1-2电场强度与电位移矢量(理解库仑定律、电场强度和电位移矢量的定义,熟练掌握高斯通量定理,了解介质极化的概念)1-3磁感应强度与磁场强度(理解安培力定律、磁感应强度和磁场强度的定义,熟练掌握安培环路定理,了解媒质磁化的概念);1-4麦克斯韦方程组(理解麦克斯韦方程组的积分形式,掌握感应电动势和位移电流的计算)第二章静电场2-1基本方程及其微分形式(深刻理解∇⋅D=ρ和∇⨯E=0及其物理意义,掌握E和D的衔接条件)2-2电位与电位梯度(理解电位ϕ的定义及其与电场强度的关系,了解电力线方程与等位面方程)2-3静电场的边值问题(理解∇2ϕ= -ρ/ε、∇2ϕ=0和唯一性定理,熟练掌握一维静电场边值问题的直接积分法,掌握边值问题的定解条件)2-4镜像法与电轴法(理解镜像法和电轴法的实质和依据,熟练掌握导电平面和介质平面镜像法,掌握导电球面镜像法和电轴法)2-5多导体系统的部分电容(掌握两导体间电容的计算方法,了解多导体系统部分电容、工作电容的概念和静电屏蔽方法)2-6电场能量和电场力(理解电场能量密度的概念、掌握计算电场能量的各种方法和求电场力的虚位移法)第三章恒定电场3-1导电媒质中的恒定电场(了解局外场强的概念,理解电荷守恒和电流连续性原理,深刻理解∇⋅J=0、∇⨯E=0及其物理意义,掌握欧姆定律和焦耳定律的微分形式,掌握J的衔接条件)3-2恒定电场的边值问题(熟练掌握恒定电场∇2ϕ=0的直接积分法,了解分界面上的自由电荷,了解恒定电流从良导体进入不良导体以及载流导体与理想介质分界面的特点) 3-3静电比拟(理解导电媒质中的恒定电场与静电场无电荷区域的各种比拟关系,掌握静电比拟法和镜像法)3-4电导与接地电阻(掌握电导和接地电阻的计算,了解多电极系统部分电导和跨步电压的概念)第四章恒定磁场4-1基本方程及其微分形式(深刻理解∇⨯H=0、∇⋅B=0及其物理意义,掌握B和H的衔接条件)4-2标量磁位(理解标量磁位ϕm的定义,了解∇2ϕm=0及其多值性)4-3矢量磁位(深刻理解矢量磁位的定义B=∇⨯A和库仑规范∇⋅A=0,掌握A的衔接条件,熟练掌握简单一维恒定磁场问题求解,了解B线方程与等A面方程)4-4磁场中的镜像法(掌握铁磁媒质平面的镜像法)4-5电感(掌握外自感和互感的计算,了解内自感的概念和聂以曼公式)4-6磁场能量与磁场力(理解磁场能量密度的概念、掌握计算磁场能量的各种方法和求磁场力的虚位移法)4-7磁路及其计算(理解磁路和磁路定律,掌握简单磁路问题的计算,了解铁磁屏蔽的方法)第五章时变电磁场5-1电磁场基本方程组(深刻理解麦克斯韦方程组的微分形式及其物理意义,熟练掌握E与H互为因果的关联性,掌握时变电磁场的分界面衔接条件)5-2坡印亭定理与坡印亭矢量(深刻理解坡印亭定理的物理意义,熟练掌握坡印亭矢量分析电磁能量流动的方法)5-3动态位及其波动方程(理解动态位A、ϕ的定义,了解洛仑兹规范,深刻理解达朗贝尔方程的波动性及其解的推迟效应)5-4正弦电磁场(理解麦克斯韦方程组、坡印亭矢量、达朗贝尔方程和洛仑兹条件的复数形式)5-5电磁辐射(理解单元偶极子在近区和远区的辐射特性,了解似稳条件与似稳场的概念)第六章准静态电磁场6-1电准静态场(理解电准静态场的条件,掌握电准静态场E和H计算,了解电荷在导体中的弛豫过程)6-2磁准静态场(理解磁准静态场的条件,掌握磁准静态场H和E计算,了解电磁场的扩散方程)6-3集肤效应与邻近效应(了解集肤效应和邻近效应)6-4涡流损耗与电磁屏蔽(了解涡流损耗和电磁屏蔽)6-5电路定律和交流阻抗(了解基尔霍夫电流、电压定律与磁准静态场的关系,了解导体的交流内阻抗的计算)第七章平面电磁波7-1电磁场波动方程(了解等相面和等幅面的概念,理解均匀平面电磁波的波动方程)7-2理想介质中的均匀平面波(深刻理解理想介质中的波动方程,熟练掌握平面波的传输特性)7-3导电媒质中的均匀平面波(深刻理解导电媒质中的波动方程,了解其传输特性,掌握良导体中和低损耗介质中平面波的传播特性)7-4均匀平面电磁波的正入射(掌握反射系数与透射系数计算,了解匹配、全反射与驻波、行驻波与驻波比、入端阻抗的概念)第八章均匀传输线8-1无损耗均匀传输线方程(理解无损耗均匀传输线导引TEM波及其在横截面内的分布与静态场相同,掌握电压和电流表示的传输线方程)8-2无损耗均匀传输线的传输特性(理解无损线正弦稳态通解的特点,掌握由边界条件确定积分常数)8-3有损耗均匀传输线(了解有损耗传输线的特点,掌握由原参数计算副参数,了解无畸变传输线的概念)8-4无损耗传输线的反射与透射(掌握反射系数与透射系数计算,了解匹配、全反射与驻波、行驻波与驻波比的概念)8-5无损耗传输线的入端阻抗(理解入端阻抗的定义,了解不同负载下的传输线特性)●各章学时分配第一章电磁场的物理基础(4学时)第二章静电场(12学时)第三章恒定电场(4学时)第四章恒定磁场(8学时)第五章时变电磁场(6学时)第六章准静态电磁场(4学时)第七章平面电磁波(6学时)第八章均匀传输线(6学时)总复习(含机动时间)(4学时)●实验与其它目前暂不具备开设实验条件,计划开设平行平面场模拟实验,电场和磁场的测试实验。
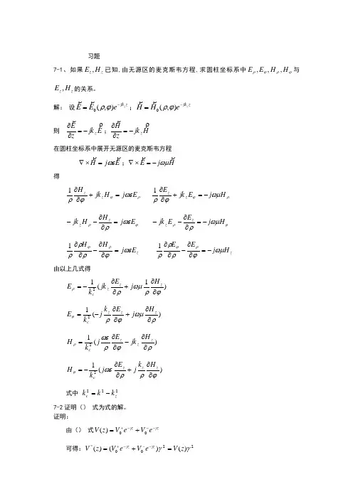
习题7-1、如果z z H E ,已知,由无源区的麦克斯韦方程,求圆柱坐标系中ϕρϕρH H E E ,,,与z z H E ,的关系。
解: 设z jk z e E E -=),(0ϕρρρ;z jk z e H H -=),(0ϕρρρ则 E jk z E z ρρ-=∂∂;H jk zH z ρρ-=∂∂ 在圆柱坐标系中展开无源区的麦克斯韦方程E j H ρρωε=⨯∇;H j E ρρωμ-=⨯∇得ρϕωεϕρE j H jk H z z =+∂∂1 ρϕωμϕρH j E jk E z z -=+∂∂1 ϕρωερE j H H jk z z =∂∂-- ϕρωμρH j E E jk z z -=∂∂-- z E j H H ωεϕρρρρϕ=∂∂-∂∂1 z H j E E ωμϕρρρρϕ-=∂∂-∂∂1 由以上几式得)1(12ϕρωμρρ∂∂+∂∂-=z z z cH j E jk k E )(12ρωμϕρϕ∂∂+∂∂-=z z z c H j E k j k E )(12ρϕρωερ∂∂-∂∂=z z z cH jk E j k H )(12ϕρρωεϕ∂∂+∂∂-=z z z c H k j E j k H 式中 222z c k k k -=7-2证明() 式为式的解。
证明:由() 式z z e V e V z V γγ---++=00)(可得:2200'')()()(γγγγz V e V e V z V z z =+=---+因此 0222=-V dzV d γ 即 式7-2、 从图的等效电路,求5) 和式对应的传输线方程的时域形式。
解:图)()(1z I Z dzz dV -= 5) )()(1z V Y dzz dI -= 6) 串联支路上的电压为dV V dtdi dzL dz iR V +=++11 (1) 并联支路上的电流为 di i dt du dzC dz uG i +=++11 (2) 由(1)和(2)式得dz dtdi L iR dV )(11+-= (3) dz dtdu C uG di )(11+-= (4) 两边同除dz 得)(11dtdi L iR dz dV +-= (5) )(11dt du C uG dz di +-= (6) (5)、(6)式就是5) 和式对应的传输线方程的时域形式。
工程电磁场导论电磁场理论中“矢量分析”的一些相关知识1. 标量场和矢量场 场是一个标量或一个矢量的位置函数,即场中任一个点都有一个确定的标量或矢量。
例如,在直角坐标下:2225(,,)4π [(1)(2)]x y z x y z φ=-+++ 标量场如温度场、电位场、高度场等; 22(,,)2x y z x y z xy x z xyz =++A e e e矢量场如流速场、电场、涡流场等。
2. 标量场的梯度 设一个标量函数ϕ (x ,y ,z ),若函数 ϕ 在点 P 可微,则 ϕ 在点P 沿任意方向 的方向导数为)cos ,cos ,(cos ),,(γβαϕϕϕϕ⋅∂∂∂∂∂∂=∂∂zy x l设 ),,,(zy x ∂∂∂∂∂∂=ϕϕϕg )cos ,cos ,(cos γβα=l e 式中α,β, γ分别是任一方向l 与 x, y, z 轴的夹角 则有:),cos(||l l le g g e g =⋅=∂∂ϕ 当0) , (==l g e θl∂∂ϕ最大ϕϕϕϕϕgrad =∇=∂∂+∂∂+∂∂z y x z y xe e e ——梯度(gradient )式中),,(zy x ∂∂∂∂∂∂=∇——哈密顿算子梯度的意义 标量场的梯度是一个矢量,是空间坐标点的函数。
梯度的大小为该点标量函数ϕ的最大变化率,即最大方向导数。
梯度的方向为该点最大方向导数的方向。
3. 散度 如果包围点 P 的闭合面 ∆S 所围区域 ∆V 以任意方式缩小到点 P 时:———散度 (divergence )散度的意义 矢量的散度是一个标量,是空间坐标点的函数; 散度代表矢量场的通量源的分布特性。
在矢量场中,若∇• A = ρ ≠ 0,称之为有源场,ρ 称为 ( 通量 ) 源密度;若矢量场中处处 ∇• A =0 ,称之为无源场。
4. 旋度 旋度是一个矢量,其大小等于环量密度的最大值;其方向为最大环量密度的方向——旋度(curl)旋度的物理意义 矢量的旋度仍为矢量,是空间坐标点的函数。
工程电磁场概论是21世纪的课程材料,由冯慈章和马锡奎编辑,由高等教育出版社于2000年出版。
该书适用于电气工程和自动化的所有专业,也可以用作选修课程材料或供社会读者参考。
本书共八章,由西安交通大学电气工程原理教学研究室根据多年的教学研究与实践编写而成。
这是一本针对电气工程专业的学生的书,旨在学习电磁场理论。
图书制作过程修订过程在“电磁场”的基础上对“工程电磁场简介”进行了修订(冯慈章编辑)。
与电磁场相比,删除了狭义相对论和各向异性介质中的电磁场,并添加了相应的准静态电磁场,波导和谐振器。
该书由冯慈章和马锡奎编辑。
第一章和第五章由马锡奎撰写;第二章和第三章是由刘布曾写的。
第四,第八和附录A由邱洁撰写。
第六,第七章由王忠义撰写。
本书是教育部“面向21世纪的高等教育教学内容和课程体系改革计划”项目的研究成果。
它在1998年被教育部批准为21世纪的课程材料。
高等教育出版社于2010年6月出版。
内容有效性本书共分为八章:静电场,恒定电场,恒定磁场,时变电磁场,准静态电磁场,平面电磁波的传播,均匀传输线上的导波电磁波,波导和谐振器。
附录中列出了矢量分析,电磁单元系统,某些材料的参数和物理常数。
每章的末尾都有总结,总结,思考问题和练习。
本书的最后有一些练习的答案。
本书的某些章节相对独立,可以根据自己的教学需求进行选择。
教学资源辅助教材电磁场的要点和解决方案是冯茨章,马锡奎主编,西安交通大学出版社出版的工程电磁场概论的配套书(高等教育出版社)。
本书共8章,每章包括4部分:基本内容和公式,重点和难点,典型示例分析和自测题。
该书有252页,30万个单词,32(880×1230)格式,ISBN 代码是7-5605-2232-7。
[5]教材特点“工程电磁场概论”与物理学中的电磁学联系在一起,既满足了强电流专业电磁场理论课的基本要求,又扩大了强电流专业电磁场的知识范围。
该书着重介绍了电磁场理论在工程实践中的应用。
《工程电磁场》课程教学大纲英文名称:Engineering Electromagnetic Field课程编号:02170060课程类别:专业课,选修课总学时数:36学分:2开课单位:电气与信息工程学院适用专业:电气工程及其自动化一、课程的性质、目的和任务本课程是电气工程及其自动化专业的一门专业选修课程。
它讲授物质电磁属性存在的性质及电磁波运动形式及其规律。
该课程主要目的和任务是培养学生:在大学物理和高等数学的基础上,系统掌握电磁场的基本概念、基本原理和基本规律,具备用场的观点对电气工程中的电磁现象和电磁过程进行定性分析与判断的初步能力;了解电磁场定量分析的基本途径,为进一步学习和应用各种较复杂的电磁场计算方法打下基础;掌握电场、磁场的基本性质及电磁波的运动形式,为微波通信、天线理论、光纤通信打下坚实的理论基础。
通过电磁场理论的逻辑推理,使同学具有科学的思维方法和勇于探索问题、解决问题的能力。
二、课程教学内容及教学要求第零章矢量分析及场的概念1.教学内容(1)矢量的代数运算(2)场的基本概念(3)标量场的梯度(4)矢量场的散度和旋度(5)矢量积分定理2.重点、难点重点:矢量距离、点乘、叉乘、梯度、散度、旋度、散度定理、斯托克斯定理、赫姆霍兹定理;难点:梯度、散度和旋度的物理意义3.教学基本要求理解学习工程电磁场的意义;掌握矢量分析的基本概念和定律;了解场论中梯度、散度、旋度、通量和环量等基本概念。
第二章静电场1.教学内容(2)高斯定理(3)静电场基本方程(4)静电场边值问题(5)静电场问题的计算方法(6)静电能量与力2.重点、难点重点:库仑定理;高斯定理;泊松方程;拉普拉斯方程;分离变量法;电轴法;镜像法难点:电场强度与电位之间的关系、叠加原理的分别和独立作用原则、求解边值问题3.教学基本要求理解电场强度与电位的定义、电场强度线积分与路径无关的性质和电场强度与电位之间的关系;了解静电场中的导体和电介质,极化强度和电位移向量;掌握高斯通量定理和无旋性构成的静电场的基本方程及电场强度、电位和电位移在不同媒质分界面的边界条件,泊松方程和拉普拉斯方程,了解求解边值问题的常用的方法和场的实验研究;理解边值问题解答的唯一性;掌握简单的静电场问题的计算方法;理解能量、能量密度和力的概念。
《工程电磁场》课程教学大纲央又名称:Engineering Electromagnetic Field课程编号:02170060课程类别:专业课,选修课总学时数:36学分:2开课单位:电气与信息工程学院适用专业:电气工程及其自动化一、课程的性质、目的和任务本课程是电气工程及其自动化专业的一门专业选修课程。
它讲授物质电磁属性存在的性质及电磁波运动形式及其规律。
该课程主要目的和任务是培养学生:在大学物理和高等数学的基础上,系统掌握电磁场的基本概念、基本原理和基本规律,具备用场的观点对电气工程中的电磁现象和电磁过程进行定性分析与判断的初步能力;了解电磁场定量分析的基本途径,为进一步学习和应用各种较复杂的电磁场计算方法打下基础;掌握电场、磁场的基本性质及电磁波的运动形式,为微波通信、天线理论、光纤通信打下坚实的理论基础。
通过电磁场理论的逻辑推理,使同学具有科学的思维方法和勇于探索问题、解决问题的能力。
二、课程教学内容及教学要求第零章矢量分析及场的概念1.教学内容(1)矢量的代数运算(2)场的基本概念(3)标量场的梯度(4)矢量场的散度和旋度(5)矢量积分定理2.重点、难点重点:矢量距离、点乘、叉乘、梯度、散度、旋度、散度定理、斯托克斯定理、赫姆霍兹定理;难点:梯度、散度和旋度的物理意义3.教学基本要求理解学习工程电磁场的意义;掌握矢量分析的基本概念和定律;了解场论中梯度、散度、旋度、通量和环量等基本概念。
第二章静电场1.教学内容(1)电场强度(2)高斯定理(3)静电场基本方程(4)静电场边值问题(5)静电场问题的计算方法(6)静电能量与力2.重点、难点重点:库仑定理;高斯定理;泊松方程;拉普拉斯方程;分离变量法;电轴法;镜像法难点:电场强度与电位之间的关系、叠加原理的分别和独立作用原则、求解边值问题3.教学基本要求理解电场强度与电位的定义、电场强度线积分与路径无关的性质和电场强度与电位之间的关系;了解静电场中的导体和电介质,极化强度和电位移向量;掌握高斯通量定理和无旋性构成的静电场的基本方程及电场强度、电位和电位移在不同媒质分界面的边界条件,泊松方程和拉普拉斯方程,了解求解边值问题的常用的方法和场的实验研究;理解边值问题解答的唯一性;掌握简单的静电场问题的计算方法;理解能量、能量密度和力的概念。